Патент на изобретение №2199531
|
||||||||||||||||||||||||||
(54) ТИОСЕМИКАРБАЗОНЫ ПИРИДИН-2-КАРБОКСАЛЬДЕГИДОВ И ФАРМАЦЕВТИЧЕСКАЯ КОМПОЗИЦИЯ НА ИХ ОСНОВЕ
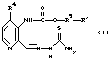
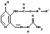
(57) Реферат: Изобретение относится к новым тиосемикарбазонам формулы I ![]() где R4 представляет Н или СН3, R5 представляет CHR, бензил или орто- или паразамещенный бензил, R представляет Н, СН3, СН2СН3, СН2СН2-СН3 или СН(СН3)2, R’ представляет остаток фосфорной кислоты, соль фосфорной кислоты или -S-S-R” группу, R” представляет СН2СН2NHR6, СН2СН2ОН, СН2COOR7, орто- или паразамещенный C1-С3 алкилфенил или орто- или паразамещенный нитрофенил, R6 представляет Н, C1-C4 ацильную группу, трифторацетильную, бензоильную или замещенную бензоильную группу, R7 представляет Н, C1-C4 алкил, фенил, замещенный фенил, бензил или замещенный бензил. Соединения формулы I проявляют противоопухолевую активность и могут быть использованы в медицине при лечении неоплазии. 2 с. и 20 з.п. ф-лы, 11 ил. Настоящее изобретение относится к новым пролекарственным формам ингибиторов рибонуклеотидредуктазы, обладающим повышенной растворимостью в воде, биологической доступностью и устойчивостью к метаболической инактивации in vivo, и к их применению для лечения рака и/или опухолей. Рак занимает одну из лидирующих позиций в известных на сегодняшний день причинах смерти, а эффективное лечение множества солидных опухолей остается недостижимым. Предполагается, что новые противоопухолевые лекарственные средства, обладающие сильной ингибирующей активностью в отношении рибонуклеотидредуктазы, фермента, необходимого для деления клеток, должны представлять собой выгодное дополнение к существующим в настоящее время схемам лекарственной терапии рака. Хорошо известно, что восстановительное превращение рибонуклеотидов в соответствующие дезоксирибонуклеотиды является ключевым этапом биосинтеза ДНК. Так как в клетках млекопитающих дезоксирибонуклеотиды присутствуют в предельно малых количествах, исследователи предполагают, что ингибитор рибонуклеотидредуктазы может быть более эффективным в блокаде синтеза ДНК, чем ингибитор ДНК-полимеразы. Смотри Cory and Chiba, “Combination Chemotherapy Directed at the Components of Nucleoside Diphosphate Reductase”, Inhibitors of Ribonucleoside diphosphate reductase Activity, Cory, J.G. and Cory, A.M. Eds. ; Pergamon Press: Oxford, 1989; pp. 245-264. Следовательно, разработка сильных ингибиторов рибонуклеотидредуктазы должна привести к созданию потенциально сильного оружия против рака. В течение многих лет исследования новых -(N)-гетероциклических карбоксальдегидтиосемикарбазонов (HCTs), класса соединений – наиболее сильных ингибиторов рибонуклеозиддифосфатредуктазы, привлекают повышенное внимание. Описаны различные HCTs, такие как 5-гидроксипиридин-2-карбоксальдегидтиосемикарбазон (5-НР), 4-метил-5-амино-1-формилизохинолинтиосемикарбазон (MAIQ-1), 5-(ацетиламино)пиридин-2-карбоксальдегидтиосемикарбазон (5-ААР), 3- и 5-аминопиридин-2-карбоксальдегидтиосемикарбазон (3-АР и 5-АР) и их 4-метильные производные (3-АМР и 5-АМР), 3- и 5-гидрокси-4-метилпиридин-2-карбоксальдегидтиосемикарбазон (3-НМР и 5-НМР). Смотри DeConti, et al., Cancer Res. , 1972, 32, 1455-1462; Agrawal, et al., J. Med. Chem. 1976, 19, 970-972; French, et al., J. Med. Chem. 1974, 17, 172-181; Liu, et al., J. Med. Chem. 1992, 35, 3672-3677; Wang, et al., J. Med. Chem. 1992, 35, 3667-3671.
Исследования взаимосвязи структуры и активности соединений НСТ показали, что как 3-АР, так и 3-АМР оказывали намного большее терапевтическое воздействие на лейкемию L1210, карциному легких М-109 и карциному яичников человека А2780, чем другие НСТ, исследованные к настоящему времени. Liu, et al. , J. Med. Chem. 1992, 35, 3672-3677; Agrawal et al., “The Chemistry and Biological Activity of the -(N)-Heterocyclic Carboxaldehyde Thiosemicarbazones”. Progress in Medical Chemistry; Ellis, G.P. West G.B. Eds.; Elsevier/North-Holland Biomedical Press: New York, 1978; Vol. 15, pp. 321-356. Кроме того, 3-АР и 3-АМР являются мощными агентами со значительной антинеопластической активностью по сравнению с гидроксимочевиной (HU), одобренным ингибитором рибонуклеотидредуктазы, используемым в клинике.
Несмотря на активность, проявляемую 3-АР и 3-АМР in vivo, терапевтический потенциал этих новых ведущих соединений ряда НСТ может быть лимитирован их ограниченной растворимостью в воде и биологической доступностью. Liu, et al. , J. Med. Chem. , 1992, 35, 3672. Кроме того, потенциальную проблему представляет N-ацетилирование аминофункции 3-АР и 3-АМР как метаболический путь, ведущий к инактивации этих противоопухолевых агентов. Следовательно, основываясь на этих иссследованиях, настоящее изобретение направлено на создание некоторых растворимых в воде пролекарств 3-АР и 3-АМР. Они включают пролекарства, содержащие фосфат.
Задачей изобретения является создание водорастворимых форм пролекарства 3-АР и 3-АМР для повышения концентрации 3-АР и 3-АМР, доставляемого в место действия его в организме больного.
Задачей изобретения также является создание пролекарственных форм 3-АР и 3-АМР, которые повышают их биологическую доступность.
Следующей задачей изобретения является создание пролекарственных форм 3-АР и 3-АМР, которые снижают ацетилирование их аминофункций in vivo.
Еще одной задачей изобретения является создание способов лечения неоплазии у больных животных или человека с использованием пролекарственных соединений настоящего изобретения.
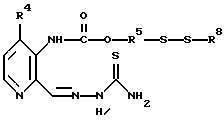
Настоящее изобретение относится к пролекарственным формам 3-аминопиридин-2-карбоксальдегидтиосемикарбазона (3-АР) и 3-амино-4-метилпиридин-2-карбоксальдегидтиосемикарбазона (3-АМР), которые обладают повышенной растворимостью в воде, биологической доступностью и устойчивостью к метаболической инактивации. В пролекарственных формах 3-АР и 3-АМР, которые значительно более растворимы по сравнению с 3-АР и 3-АМР, 3-аминогруппа 3-АР или 3-АМР превращена в метильную или уретановую группу, предпочтительно уретановую, которая замещена фосфаторганической группой или дисульфидной группой, как показано на фигуре 1. Для получения хорошей растворимости в воде при нейтральных рН и повышенной биологической доступности были созданы фосфатсодержащие пролекарства. Растворимые в воде дисульфидные пролекарства могут быть избирательно активированы в опухолевых клетках, содержащих повышенный уровень глутатиона и/или глутатион-3-трансферазы, тем самым используется известный способ, основанный на устойчивости опухоли к многим лекарствам. Во всех случаях карбамоильный линкер пролекарства служит в качестве временной защитной группы 3-аминогруппы исходных лекарств, 3-АР и 3-АМР, тем самым пролекарства менее подвержены метаболической инактивации путем N-ацетилирования.
Пролекарства настоящего изобретения пригодны для лечения неоплазии у больных животных или человека. In vivo эти пролекарства метаболизируются с получением активных терапевтических агентов 3-АР или 3-АМР. Сравнение введения настоящих пролекарств и исходных терапевтических агентов с целью предотвращения роста солидных опухолей у млекопитающих показывает повышенную эффективность пролекарств.
Особенно предпочтительными пролекарствами согласно изобретению являются пролекарства I и II, представленные на схеме в конце описания, которые представляют собой фосфаторганические производные 3-АР, причем фосфаторганическая группа присоединена к 3-АР через уретановый фрагмент в положении 3-аминогруппы; и пролекарство III, которое представляет собой дисульфидное производное 3-АР, причем дисульфидная группа присоединена к 3-АР через уретановый фрагмент, в положении 3-аминогруппы. Предпочтительными также являются аналогичные пролекарственные формы 3-АМР.
Настоящее изобретение относится к соединению, соответствующему формуле![]() где R4 представляет собой Н или СН3 и R5 представляет собой CHR, бензил или орто- или паразамещенный бензил; R представляет собой Н, СН3, СН2СН3, СН2СН2СН3 или ,R’ представляет собой остаток фосфорной кислоты, соль фосфорной кислоты или -S-S-R” группу; R” представляет собой CH2CH2NHR6, СН2СН2OН, CH2COOR7, орто- или паразамещенный C1-С3 алкилфенил или орто- или паразамещенный нитрофенил; R6 представляет собой Н, C1-C4 ацильную группу, трифторацетильную, бензоильную или замещенную бензоильную группу, и R7 представляет собой Н, C1-C4 алкил, фенил, замещенный фенил или бензил, или замещенный бензил. Настоящее изобретение относится также к фармацевтическим композициям, которые включают антинеопластически эффективное количество любого одного или более из пролекарственных соединений, как описывается выше, в фармацевтической лекарственной форме. Необязательно, но предпочтительно, фармацевтические композиции в соответствии с настоящим изобретением также включают фармацевтически приемлемую добавку, разбавитель или наполнитель и предпочтительной лекарственной формой является пероральная лекарственная форма. Терапевтические способы в соответствии с настоящим изобретением включают введение больному, страдающему раком или имеющему опухоль, эффективного антинеопластического количества, по меньшей мере, одного или более пролекарственных соединений в соответствии с настоящим изобретением. В этом варианте настоящего изобретения предпочтительно, чтобы рак находился на стадии ремиссии и в случае опухоли опухоль значительно уменьшалась. Краткое описание чертежей На фигуре 1 изображены пролекарства настоящего изобретения. На фигурах 2 и 3 изображен механизм высвобождения лекарства из фосфатсодержащих и дисульфидсодержащих пролекарств in vitro и in vivo соответственно. Фигуры 4 и 5 показывают синтез пролекарства I (как пара, так и орто). Фигура 6 показывает четыре альтернативных пути синтеза пролекарства II. На фигуре 7 изображен синтез дисульфидного пролекарства 29. Фигура 8 показывает синтез пролекарства III. На фигуре 9 изображен график превращения пролекарства I (пара) в 3-АР в присутствии фракции S9 печени. На фигурах 10 и 11 представлены графики, сравнивающие снижение роста опухоли M109 у Balb/c мышей, получавших контрольный раствор, 3-АР или пролекарство I (пара). Подробное описание изобретения Термин “больной” используют в описании для обозначения животного, включая млекопитающее, такого как человек, который подлежит лечению предлагаемыми композициями в соответствии с настоящим изобретением. Для лечения тех инфекций, состояний или заболеваний, которые специфичны для конкретного животного, такого как больной человек, к такому конкретному животному относится термин “больной”. Термин “неоплазия” используют в описании для обозначения патологического процесса, в результате которого образуется и растет канцерогенная или малигнизированная неоплазма, т. е. нетипичная ткань, которая растет благодаря клеточной пролиферации, часто значительно быстрее, чем в норме, и продолжает расти после прекращения действия стимулов, которые инициировали рост новообразования. Малигнизированная неоплазма характеризуется частичным или полным отсутствием структурной организации и координации функций с нормальной тканью, а также чаще всего инвазивностью в окружающие ткани, метастазированием в некоторые места и вероятным рецидивным ростом после попыток ее удаления и является причиной смерти больного, если не применяют адекватного лечения. Используемый здесь термин “неоплазия” используют для описания всех раковых заболеваний, и он включает или охватывает патологические процессы, связанные со злокачественными заболеваниями крови, асцитами и солидными опухолями. Термин “антинеопластическо-эффективное количество” используют в описании для обозначения количества настоящих соединений, которые используют при лечении пациента, страдающего раковой опухолью, для предотвращения дальнейшего роста неоплазмы, создания ее подконтрольного роста и, предпочтительно, индукции стадии ремиссии опухолевого процесса. Термин “терапевтически эффективное количество” используют в описании для обозначения того количества соединения в соответствии с настоящим изобретением, которое вводят больному млекопитающему, особенно больному человеку, страдающему раком, для снижения или торможения роста или распространения злокачественного заболевания крови, асцита или оформленной опухоли. Предпочтительно, чтобы соединения в соответствии с настоящим изобретением вызывали стадию ремиссии злокачественного заболевания крови, асцита или оформленной опухоли. В случае оформленных опухолей соединения в соответствии с настоящим изобретением должны тормозить дальнейший рост опухолевой ткани и предпочтительно вызывать уменьшение существующей опухоли. Термин “защищенная” используют для обозначения фосфатной группы или гидроксильной группы в любом одном или более промежуточном соединении, которую защищают от нежелательных реакций, но защиту которой можно снять в избирательных условиях. Защитные группы, которые могут быть использованы для этой цели, включают среди множества других, например, трихлорэтильную, этильную, цианоэтильную, триметилсилилэтильную, силилэтильную, трет-бутилдиметилсилильную, трет-бутильную, трифенилсилильную и трет-бутилдифенилсилильную группы. Существует широкий выбор блокирующих групп из класса силильных блокирующих групп, блокирующих групп на основе простых эфиров, блокирующих групп на основе сложных эфиров и относящихся к ним группам, причем каждую блокирующую группу выбирают, основываясь на ее способности защищать часть соединения от нежелательной реакции и легкости ее удаления, а также химической совместимости. Настоящее изобретение относится к пролекарственным формам 3-аминопиридин-2-карбоксальдегидтиосемикарбазона (3-АР) и 3-амино-4-метилпиридин-2-карбоксальдегидтиосемикарбазона (3-АМР), которые обладают повышенной растворимостью в воде, биологической доступностью и/или проявляют устойчивость в отношении метаболической инактивации по сравнению с 3-АР и/или 3-АМР соответственно. Для получения пролекарственных форм, которые значительно более растворимы, чем исходные лекарства 3-АР и 3-АМР, 3-аминогруппа 3-АР или 3-АМР превращена в метильную или уретановую группу, предпочтительно уретановую, которая замещена фосфаторганической группой или дисульфидной группой, как показано на фигуре 1. Пролекарственные соединения в соответствии с настоящим изобретением проявляют значительно большую растворимость в воде и/или усиленную активность по сравнению с формами, не являющимися пролекарствами. Синтез пролекарственных форм 3-АР и 3-АМР Синтез пролекарства I Как изображено на фигуре 4, при синтезе пролекарства I (пара) в соответствии с настоящим изобретением триэфирфосфат 2а взаимодействует с аналогом 6 пиридин-2-стиренил-3-карбоновой кислоты в присутствии (РhО)2Р(O)N3 и Et3N с получением триэфирфосфат уретанового соединения 7, который после озонолиза (разложения озоном) и последующего взаимодействия с тиосемикарбизидом и удаления защитных групп фосфатного эфира позволяет получить пролекарство I (пара) 3-АР. Аналогичная схема синтеза пролекарства I (орто) представлена на фигуре 5, где производное 6-2-винилпиридин-3-карбоновой кислоты конденсируют с триэфирфосфатом 2b до получения уретанового соединения 10, которое после озонолиза (расщепления озоном) дает 3-уретанпиридин-2-карбоксальдегидное производное 11, которое конденсируют с тиосемикарбазидом для получения тиосемикарбозона 12, которое обрабатывают в кислых условиях (трифторуксусная кислота в метиленхлориде) для удаления триметилсилилэтильных блокирующих фосфат групп, как показано на фигуре 5, и получают пролекарство I (пара). Синтез пролекарства II Схемы синтеза пролекарства II представлены на фигуре 6. Пролекарство II аналогично пролекарству I, за исключением того, что удаляют бензольное кольцо в уретановой боковой цепи пролекарства I. Как показано на фигуре 6, пролекарство II легко синтезировать из стандартных предшественников. Фосфотриэфирный линкер (15 а-b) взаимодействует с 2-метилпиридиновым производным 13 или с 2-винилпиридиновым производным 14 (которое среди других методов может быть получено с помощью введения винильной группы по Stille в 2-хлор-3-аминопиридин), что дает уретановые производные 16(а-b) и 17 (a-b), которые последовательно подвергают окислению, например, с помощью озона или двуокиси селена для образования 2-карбоксальдегидных производных 18 и 19. Каждое из этих 2-карбоксальдегидных производных затем взаимодействует с тиосемикарбазидом, с последующим снятием защиты с фосфотриэфира, получая пролекарство II. Синтез пролекарства III Синтез пролекарства III (ортоварианта, где R представляет собой паранитрофенильную группу) изображен на фигуре 7. В этом синтезе винильное производное 5 (полученное в соответствии со схемой получения, представленной на фигуре 4), которое после озонолиза дает 2-карбоксальдегид пиридина 21, который превращают в диметилацетальное производное 22 и затем деэтерифицируют до ацеталькарбоновокислого производного 23. Ацеталькарбоновокислое производное 23 взаимодействует с дисульфидным промежуточным продуктом 24 (полученным в результате конденсации 2-тиолбензилового спирта 25 и паранитрофенилхлормеркаптида 26) в присутствии (РhО)2Р(O)N3 в триэтиламине и бензоле, в результате чего получают диметилацетальное производное 27, которое последовательно подвергают воздействию умеренно повышенной температуры и кислой среды в смеси вода/ТГФ для превращения ацеталя в карбоксальдегидное производное 28. Карбоксальдегид 28 последовательно взаимодействует с тиосемикарбазидом в присутствии каталитического количества концентрированной НСl, что дает пролекарство 29 (орто). Парапроизводное пролекарства 29 синтезируют аналогичным или тем же самым способом, что и в случае ортопроизводного, за исключением того, что промежуточное соединение 24 модифицируют так, что группа бензилового спирта находится вместо ортоположения в параположении по отношению к сере (используя паратиолбензиловый спирт). На фигуре 8 показан синтез ортоформы пролекарства III, где R представляет собой трифторацетильную группу. Промежуточный смешанный дисульфид 32 получают путем реакции транстиолирования с дисульфидом 30, который получают окислением ортотиолбензилового спирта и трифторацетилированного амина алкилмеркаптида 33. Смешанный дисульфид 32 затем взаимодействует с ацеталькарбоновокислым производным 23 в присутствии (РhО)2Р(O)N3 и триэтиламина в бензоле при 80oС, что дает уретановое производное 33, которое последовательно обрабатывают толуолсульфоновой кислотой в воде и тетрагидрофураном при слегка повышенной температуре (60oС) для получения карбоксальдегидного производного 34. Карбоксальдегидное производное 34 затем взаимодействует с тиосемикарбазидом в присутствии каталитического количества кислоты, что дает пролекарство III, где R представляет собой трифторацетильную группу. Многие другие пролекарственные соединения в соответствии с настоящим изобретением так же, как родственные соединения, легко могут быть синтезированы аналогично путем простой модификации описанных выше способов, хорошо известных в науке. Растворимость в воде Для того чтобы определить растворимость в воде пролекарства I (динатриевой соли) относительно растворимости 3-АР, использовали следующую процедуру. Для определения водорастворимости 3-АР в деионизированной воде 5 мг 3-АР помещали в 125-мл эрленмейеровский сосуд, в который добавляли 100 мл воды. Смесь встряхивали при комнатной температуре. Через 2 часа твердый 3-АР не полностью растворялся в воде. Суммарная водорастворимость 3-АР в деионизированной воде была <1 мг/20 мл. В случае пролекарства I (пара) 8 мг пролекарства помещали в 50-мл эрленмейеровский сосуд. К пролекарству добавляли 0,5 мл воды, которая легко его растворяла с образованием прозрачного, слегка желтого раствора уже через несколько минут. Общая растворимость пролекарства (динатриевой соли) в деионизированной воде была 16 мг/мл, более чем в 300 раз превышая растворимость в воде 3-АР.
Биологическая активацияБиологическая активация фосфатсодержащих пролекарств происходит посредством расщепления связи между фосфором и кислородом, связывающей фосфатную группу с метильной или уретановой частью, с последующей фрагментацией с потерей хинонметида (метид – метильное соединение металла), формальдегида и/или СO2, что позволяет получить лекарства 3-АР или 3-АМР в качестве конечных продуктов. Эти пути отражены на фигуре 2. Хинонметиды сами по себе способны разрушать ДНК и тем самым вносят вклад в торможение деления клеток. Таким образом, хинонметиды могут действовать аддитивно или синергически, увеличивая ингибирующее действие родительских лекарств. На фигуре 3 изображен путь биологической активации пролекарств, связанных через дисульфидную связь. Полагают, что при инкубации с GSH (восстановленным глутатионом) или сходным тиолом происходит восстановительная активация дисульфидсвязанного пролекарства посредством ряда преобразований, при которых 3-заместитель, присоединенный к ароматическому кольцу, должен служить в качестве удаляемой группы (благодаря эффектам удаления электрона из ароматического кольца) с последующей фрагментацией аналогично фосфатсодержащим пролекарствам, получая при этом в качестве конечных продуктов терапевтически эффективные агенты 3-АР или 3-АМР и другие хинонметиды. На фигуре 9 показано превращение пролекарства I (пара) в 3-АР in vitro в присутствии фракции S9 из печени крысы. 1 мкМ раствора пролекарства I в культуральной среде инкубировали с приблизительно 2,5 мг фракции S9 печени. Концентрация пролекарства снижалась очень быстро и через 100 минут инкубации при 37oС была ниже пределов измерений. Приблизительно 80% пролекарства было извлечено в виде 3-АР и не было обнаружено других метаболитов. Скорость превращения пролекарства I в 3-АР составляла 20 нмоль/мин на 1 мг ткани печени крысы. Регенерированный 3-АР был стабилен во фракции S9 печени. Когда пролекарство I просто инкубировали в культуральной среде при 37oС в течение двух часов, концентрация пролекарства оставалась относительно стабильной и 3-АР не был обнаружен с помощью ВЭЖХ. Этот результат указывает на то, что выделение 3-АР из пролекарства I является ферментативным процессом. Эффективность in vivo На фигуре 10 показаны результаты эксперимента по сравнению эффективности in vivo пролекарства I и 3-АР. Мыши линии Balb/c получали подкожные инъекции в правый бок в день 0,2 мл суспензии опухолевых клеток M109 с концентрацией 5 106 клеток/мл, которые перед этим выращивали в культуре до логарифмической фазы, переваривали трипсином для разделения, промывали PBS и восстанавливали. Крысы получали инъекции 3-АР, пролекарства I или контрольного растворителя дважды на 3-й день и один раз на 4-й, дважды на 6-й день и один раз на 7-й день. Десять мышей получали только инъекции 3-АР, причем каждая инъекция обеспечивала дозу 4,5 мг/кг веса тела. Десять мышей получали только инъекции пролекарства I, при этом каждая инъекция обеспечивала дозу 10 мг/кг веса тела. Десять мышей получали только инъекции контрольного растворителя. Размер опухолей определяли пальпированием на 7, 10, 13 и 17 дни и полученные результаты представлены на фигуре 10. Этот эксперимент ясно показывает, что пролекарство I немного эффективнее в подавлении опухолевого роста по сравнению с 3-АР в эквимолярной дозе. На фигуре 11 приведено также сравнение снижения роста опухоли М109 у мышей линии Balb/c при использовании двух контрольных растворителей (1 – забуференная фосфатом сыворотка и 2 – 10% ДМСО). Эти результаты также показывают, что пролекарство I является более эффективным по сравнению с 3-АР (моль на моль). Контроль 1 использовали в качестве контроля для пролекарства; контроль 2 использовали в отношении лекарства.
Терапевтический аспект в соответствии с настоящим изобретением относится к способам лечения неоплазии у больных животных или человека, в особенности опухолей у человека, включающим введение эффективных в отношении препятствия неопластического роста количеств пролекарственных соединений в соответствии с настоящим изобретением для торможения (ингибирования) дальнейшего роста неоплазмы, ее подконтрольного роста и предпочтительно создания условий для ремиссии опухоли. При этом способе согласно настоящему изобретению терапевтически эффективное количество, по меньшей мере, одного пролекарства согласно настоящему изобретению вводят больному, страдающему раком или злокачественной или доброкачественной опухолью, для торможения роста или распространения такого рака или опухоли. В терапевтическом аспекте настоящего изобретения предпочтительно, чтобы терапевтически эффективное количество вызывало ремиссию злокачественной опухоли или злокачественных заболеваний крови, асцитов или солидной опухоли. В случае солидных опухолей предпочтительно, чтобы опухоль действительно уменьшалась в размере.
Фармацевтические композиции, основанные на этих пролекарственных соединениях, включают описанные выше соединения в терапевтически эффективном для лечения неоплазии количестве, необязательно в комбинации с фармацевтически приемлемой добавкой, носителем или наполнителем. Любой специалист поймет, что терапевтически эффективное количество будет варьироваться в зависимости от состояния, которое предстоит лечить, тяжести заболевания, схемы лечения, которая будет использована, фармакокинетики используемого агента, а также от больного (животного или человека), которого предстоит лечить.
В целом предпочтительно вводить фармацевтическую композицию в форме для перорального введения, более предпочтительно в виде составов, покрытых оболочкой для рассасывания в кишечнике, таких как таблетки, капсулы или им подобные, однако некоторые составы могут вводиться парентеральным, внутривенным, внутримышечным, трансдермальным, защечным, подкожным, в виде суппозитория или иным путем. Составы для внутривенного и внутримышечного введения предпочтительно вводить в стерильном солевом растворе. Конечно, любой специалист может модифицировать фармацевтические композиции в пределах указаний спецификации для получения множества составов для особого пути введения, но при этом он не должен представлять композиции настоящего изобретения в виде нестабильных или с ухудшенной терапевтической активностью.
Настоящие соединения являются пролекарственными формами активных антинеопластических агентов 3-АР и 3-АМР. В зависимости от пути введения в определенных фармацевтических лекарственных формах некоторые из настоящих соединений могут быть более подходящими, чем другие соединения. Специалист поймет каким образом следует использовать химическое разнообразие настоящих соединений для создания одной или более лекарственных форм для облегчения доставки активных соединений к мишени их действия в организме больного. Специалист также воспользуется благоприятными фармакокинетическими параметрами пролекарственных форм там, где это возможно для доставки настоящих соединений к мишени их действия в организме больного для достижения желаемого максимального антинеопластического эффекта соединения.
Количество соединения, включенное в терапевтически активные составы в соответствии с настоящим изобретением, является эффективным количеством для лечения рака или злокачественной опухоли. В целом, терапевтически эффективное количество соединения в соответствии с настоящим изобретением в лекарственной форме обычно находится в диапазоне от менее чем приблизительно 0,05 мг/кг до приблизительно 500 мг/кг веса тела больного, подлежащего лечению, или значительно больше, в зависимости от используемого соединения, типа подлежащей лечению опухоли, способности активного соединения локализоваться в подлежащей лечению ткани, пути введения и фармакокинетики соединения у больного. В случае лечения солидной опухоли соединение предпочтительно вводить в количествах, соответствующих диапазону от приблизительно 0,05 мг/кг до приблизительно 250 мг/кг или более за один раз. Этот диапазон доз обычно обеспечивает эффективные концентрации активного соединения в диапазоне от приблизительно 0,01 до приблизительно 500 мг на 1 мл крови у больного, подлежащего лечению. Длительность лечения может составлять один или более дней или лечение может продолжаться несколько месяцев или значительно больше (годы) в зависимости от патологического состояния, подвергаемого лечению. Следует отметить, что использование пролекарственного соединения в соответствии с настоящим изобретением позволит в предпочтительных случаях вводить больному меньше (в молярном выражении) пролекарственного соединения для достижения желаемого результата по сравнению с 3-АР или 3-АМР. Таким образом, настоящие соединения и способы благоприятны также потому, что они, как полагают, значительно менее токсичны для больных, чем 3-АР или 3-АМР, поскольку желаемое противораковое действие может быть достигнуто у больного использованием меньшего (в молярном выражении) количества соединения.
В терапевтическом аспекте настоящего изобретения введение активного соединения может варьироваться от непрерывного (внутривенная капельница) до внутримышечного, до нескольких пероральных приемов в день (например, Q.I.D. (дневная доза за четыре приема)) и может включать среди других путей введения парентеральный, включая внутривенный и внутримышечный, пероральный, местный, подкожный, трансдермальный (который может включать агент, повышающий проницаемость), защечный и в виде суппозитория путь введения. Пероральное введение является предпочтительным путем введения настоящих соединений.
Для приготовления фармацевтических композиций в соответствии с настоящим изобретением терапевтически действующее количество одного или более соединений в соответствии с настоящим изобретением предпочтительно тщательно смешивают с необязательным, фармацевтически приемлемым носителем согласно традиционным способам приготовления фармацевтических смесей для получения лекарственной формы. Носитель может принимать множество форм в зависимости от желаемой формы введения препарата, например перорального или парентерального.
В случае парентеральных составов носитель может включать стерильную воду или водный раствор хлористого натрия в сочетании с другими ингредиентами, помогающими растворению, такими как этанол и другие фармацевтически приемлемые растворители, включая наряду с другими ДМСО.
Разумеется, в тех случаях, когда растворы должны применяться и храниться в стерильном виде, композиции и носители также должны быть стерильными. Также могут быть приготовлены суспензии для инъекций, для чего могут быть использованы подходящие жидкие носители, суспендирующие агенты и им подобные.
При приготовлении предпочтительных фармацевтических композиций в лекарственной форме для перорального введения может быть использована любая одна или более обычная фармацевтическая среда. Так, для жидких пероральных препаратов, таких как суспензии, эликсиры и растворы, могут быть использованы подходящие носители и добавки, включая воду, гликоли, масла, спирты, пахучие агенты, консерванты, окрашивающие агенты и им подобные. Для твердых пероральных препаратов, таких как порошки, таблетки, капсулы, и для твердых препаратов, таких как суппозитории, могут быть использованы подходящие носители и добавки, включая крахмалы, сахарные носители, такие как декстроза, маннитол, лактоза и близкие им носители, разбавители, гранулирующие агенты, смазывающие агенты, связующие агенты, дезинтегрирующие агенты и им подобные. Если это желательно, таблетки или капсулы могут быть покрыты оболочкой для всасывания в кишечнике или поддерживающими непрерывное выделение с использованием стандартных методов.
Соединения и композиции в соответствии с настоящим изобретением применяются для лечения неоплазии, включая рак у млекопитающих, включая человека. В целом, для лечения злокачественных опухолей композиции обычно вводят в парентеральной, предпочтительно внутривенной лекарственной форме в количествах, варьирующих от приблизительно 10 мг до приблизительно 500 мг или более от одного до четырех раз в день. Настоящие соединения предпочтительно вводят перорально, однако они могут вводиться и другим способом, например парентерально или даже местно или в форме суппозитория.
Соединения настоящего изобретения могут вводиться сами по себе или в комбинации с другими агентами, включая, в частности, другие соединения настоящего изобретения. Кроме того, введение одного или более соединений настоящего изобретения вместе с другими антинеопластическими агентами при комбинированной химиотерапии, такими как антиметаболиты, этопозид, доксорубицин, таксол, винкристин, циклофосфамид или митомицин С и многими другими, также рассматривается настоящим изобретением.
Настоящее изобретение иллюстрируется следующими примерами. Любому специалисту будет понятно, что эти примеры никаким образом не являются ограничивающими объем настоящего изобретения.
ПримерыВ этом разделе представлены подробные условия реакций и характеристики каждого соединения в соответствии со следующими процедурами. Все спектры ЯМР измеряли при 300 МГц для 1Н и при 75 МГц для 13С на ЯМР спектрометре QE Plus 300 МГц. Масс-спектры записывали на масс-спектрометре VG ZAB-SE и приборе VG 70-SE-4F. Здесь также включены некоторые относящиеся к делу ссылки. Перед использованием все растворители перегоняли. Синтез пролекарства 1 Синтез триэфирфосфатного соединения 2а К раствору 4-гидроксибензилового спирта (1,09 г, 8,79 ммоль) в 30 мл безводного ацетонитрила при 0o добавляли четыреххлористый углерод (6,76 г, 44 ммоль), N,N-диизопропилэтиламин (2,39 г, 18,5 ммоль) и DMAP (диметиламинопиридин) (107 мг, 0,88 ммоль). Через 2 минуты по каплям добавляли ди-(2-(триметилсилил)этилфосфит 1 в 5 мл ацетонитрила. Реакционную смесь медленно нагревали до комнатной температуры в течение 4 час. Растворитель удаляли и остаток подвергали флэш-хроматографии (гексан:EtOAc, 1:1) для получения соединения 2а в виде бесцветного масла. 1H-ЯМР (CDCl3, 300 МГц) 7,34 (АВ-кв., J=8,4 Гц, 2Н), 7,21 (АВ-кв., J=8,7 Гц, 2Н), 4,67 (с, 2Н), 4,18-4,30 (м, 4Н), 1,04-1,18 (м, 4Н), 0,03 (с, 18Н).
Синтез 2-хлорникотинового метилового эфира соединения 4К суспензии 2-хлорникотиновой кислоты соединения 3 (15,8 г, 0,1 моль) в 100 мл безводного МеОН при 0oС по каплям добавляли тионилхлорид (17,8 г, 0,15 моль). Реакционную смесь затем медленно нагревали до комнатной температуры и перемешивали в течение 2 дней. Растворитель затем удаляли в вакууме и остаток растворяли в насыщ. NаНСО3. Полученный основной раствор затем экстрагировали EtOAc (3 100 мл). Объединенные органические фазы промывали насыщенным солевым раствором, сушили над NaSO4, концентрировали под вакуумом для получения 2-хлорникотинового метилового эфира соединения 4 (15,3 г, 89%) в виде масла: 1H-ЯМР (CDCl3, 300 МГц) 8,52 (дд, J=1,8, 4,5 Гц, 1Н), 8,19 (дд, J=2,1, 7,8 Гц, 1Н), 7,38 (дд, J=4,8, 7,8 Гц, 1Н), 3,97 (с, 3Н).
Синтез винилэфирного пиридинового соединения 5К раствору 2-хлорникотинового метилового эфира соединения 4 (1,71 г, 10 ммоль) в 10 мл DMF (диметилформамиде) добавляли уксуснокислый натрий (1,64 г, 20 ммоль), трифенилфосфин (1,05 г, 4 ммоль), уксуснокислый палладий (II) (0,112 г, 0,5 ммоль) и затем стирол (10,4 г, 0,10 моль). Полученную смесь нагревали до 130oС в течение 3 дней. Реакционную смесь охлаждали до комнатной температуры и гасили 20 мл воды. Смесь экстрагировали EtOAc (3 50 мл). Органические фазы сушили над сернокислым натрием и концентрировали под вакуумом. Остаток подвергали флэш-хроматографии (гексан:EtOAc, от 8:1 до 6: 1) для получения соединения 5 (1,70 г, 71%) в виде желтого масла: 1H-ЯМР (CDCl3, 300 МГц) 8,73 (дд, J=1,4, 4,5 Гц, 1Н), 8,21 (дд, J=1,8, 7,8 Гц, 1Н), 8,15 (АВ-кв., J=15,6 Гц, 1Н), 7,65 (АВ-кв., J=7,2 Гц, 2Н), 7,37 (АВ-кв., J=7,5 Гц, 2Н), 7,30-7,42 (м, 1Н), 7,23 (дд, J=4,8, 7,8 Гц, 1Н), 3,97 (с, 3Н).
Синтез винилкарбоновой кислоты соединения 6К раствору винилового эфира пиридина 5 (3,31 г, 13,85 ммоль) в 10 мл ТГФ добавляли NaOH (3 н., 5 мл) и реакционную смесь перемешивали в течение ночи. Реакционный раствор затем подкисляли до рН 7 с помощью Dowex 50W8-100. Смолу отфильтровывали и фильтрат концентрировали для получения сырого соединения 6 (3,0 г, 96%), которое пригодно для проведения следующей стадии реакции. 1H-ЯМР (ацетон – d6, 300 МГц) 8,52 (АВ-кв., J=15,9 Гц, 1Н), 8,45 (дд, J=1,5, 4,5 Гц, 1Н), 8,20 (дд, J=1,5, 7,5 Гц, 1Н), 7,82 (АВ-кв., J= 15,9 Гц, 1Н), 7,59 (7,58, J=1,5 Гц, 1Н), 7,56 (с, 1Н), 7,15-7,30 (м, 3Н), 7,04 (дд, J=4,5, 7,8 Гц, 1Н).
Синтез уретанового соединения 7Смесь соединения 6, полученного выше (1,0 г, 4,46 ммоль), дифенилфосфорилазида (1,3 г, 2,97 ммоль) и триэтиламина (0,48 г, 4,75 IT моль) в 10 мл бензола нагревали с обратным холодильником в течение 10 мин. Добавляли спирт 2а (1,2 г, 2,97 ммоль) в 5 мл бензола и смесь нагревали с обратным холодильником в течение 3 час. Добавляли 5 мл диоксана и смесь непрерывно нагревали в течение 2 час. После охлаждения растворитель удаляли и остаток очищали на колонке с силикагелем (гексан:EtOAc, от 5:1 до 2:1) для получения желтого твердого соединения 7 (1,20 г, 64%): 1H-ЯМР (CDCl3, 300 МГц) 8,41 (дд, J= 1,2, 5,1 Гц, 1Н), 7,74 (д, J=15,9 Гц, 1Н), 7,57 (д, J=8,1 Гц, 2Н), 7,15-7,45 (м, 10Н), 6,77 (шир. 1Н), 5,20 (с, 2Н), 4,20-4,32 (м, 4Н), 1,05-1,20 (м, 4Н), 0,03 (с, 18 Н).
Синтез 2-карбоксальдегидуретанового соединения 8Раствор соединения 7 (1,14 г, 1,82 ммоль) в CH2Cl2/MeOH (100 мл, 1:4) озонировали при -78oС и за ходом реакции следили с помощью ТСХ. После завершения реакции избыток озона удаляли барботированием кислорода через реакционную смесь до тех пор, пока синий реакционный раствор не становился бесцветным. Реакцию затем гасили метилсульфидом (3 мл) при -78oС и раствору давали медленно нагреться и его перемешивали при комнатной температуре в течение 5 час. Растворитель упаривали и остаток очищали хроматографией на силикагеле (гексан: EtOAc, 4:1) для получения соединения 8 (0,708 г, 70%) в виде легкого желтого масла: 1H-ЯМР (CDCl3, 300 МГц) 10,48 (шир. 1Н), 10,07 (с, 1Н), 8,83 (д, J=8,7 Гц, 1Н), 8,44 (дд, J=0,9, 4,2 Гц, 1Н), 7,49 (дд, J=4,5, 8,7 Гц, 1Н), 7,40 (ABq, J=8,4 Гц, 2Н), 7,23 (ABq, J=8,1 Гц, 2Н), 5,19 (с, 2Н), 4,18-4,28 (м, 4Н), 1,02-1,20 (м, 4Н), 0,02 (с, 18Н).
Синтез тиосемикарбазонового соединения 9К раствору альдегидного соединения 8 (1,40 г, 2,54 ммоль) в EtOH/H2O (6 мл, 5:1) по каплям добавляли раствор тиосемикарбазида (0,254 г, 2,79 ммоль) в EtOH/H2O (30 мл, 7:3). После перемешивания при комнатной температуре в течение 3 час смесь фильтровали и твердое вещество промывали 5 мл EtOH/H2O (7: 3) и 5 мл эфира для получения соединения 9 (1,20 г) в виде белого твердого вещества. Фильтрат концентрировали и остаток очищали хроматографией на силикагеле (CH2Cl2: МеОН= 20: 1) для получения соединения 9 (0,096 г). Суммарный выход составил 1,296 г (82%). 1H-ЯМР (CD3OD, 300 МГц) 8,25-8,32 (м, 2Н), 8,19 (с, 1Н), 7,46 (АВ-кв., J=8,7 Гц, 2Н), 7,41 (дд, J=48, 8,4 Гц, 1Н), 7,23 (АВ-кв., J=8,1 Гц, 2Н), 5,21 (с, 2Н), 4,20-4,40 (м, 4Н), 1,02-1,20 (м, 4Н), 0,03 (с, 18Н).
Синтез пролекарства I (пара)Свободная кислота: соединение 9 (48 мг, 0,077 ммоль) обрабатывали СН2Сl2/ТФУ (1 мл, 4:1) при комнатной температуре в течение 30 мин. Растворитель затем удаляли в вакууме и остаток промывали CH2Cl2/MeOH (5 мл, 10:1) для получения свободной кислотной формы пролекарства I (свободная кислота) в виде желтого твердого вещества (35 мг, 108%). 1H-ЯМР (ДМСО-d6, 300 МГц) 11,75 (с, 1Н), 9,97 (шир., 1Н), 8,53 (шир., 1Н), 8,39 (д, J=4,2 Гц, 1Н), 8,30 (д, J=8,1 Гц, 1Н), 8,23 (с, 1Н), 7,94 (шир., 1Н), 7,45 (дд, J=3,6, 4,8 Гц, 1Н), 7,39 (АВ-кв., J=8,4 Гц, 2Н), 7,18 (АВ-кв., J=7,8 Гц, 2Н), 5,13 (с, 2Н).
Натриевая соль: соединение 9 (47 мг, 0,075 ммоль) обрабатывали СН2Сl2/ТФУ (1 мл, 4:1) при комнатной температуре в течение 30 мин. Растворитель затем удаляли в вакууме и сырую кислоту пролекарства I растворяли в 2,5 мл 0,5 М NаНСО3. Полученный раствор очищали на колонке С-18 для получения пролекарства I в виде натриевой соли (22 мг, 67%). 1H-ЯМР (CD3OD, 300 МГц) 8,30-8,42 (м, 2Н), 8,19 (с, 1Н), 7,39 (дд, J=4,5, 8,4 Гц, 1Н), 7,28 (АВ-кв., J=9,3, 10,5 Гц, 4Н), 5,12 (с, 2Н).
Синтез пролекарства I (орто)Синтез фосфотриэфирного промежуточного продукта 2b К раствору 2-гидроксибензилового спирта (1,19 г, 9,57 ммоль) в 30 мл безводного ацетонитрила при 0oС добавляли четыреххлористый углерод (7,37 г, 47,8 ммоль), N, N-диизопропилэтиламин (2,60 г, 20,1 ммоль) и DMAP (117 мг, 0,96 ммоль). Через 2 минуты по каплям добавляли ди-(2-(триметилсилил)этилфосфит (2,70 г, 9,57 ммоль) в 5 мл ацетонитрила. Реакционную смесь медленно нагревали до комнатной температуры в течение ночи. Растворитель удаляли и остаток подвергали флэш-хроматографии (гексан:EtOAc, 4: 1) для получения соединения 2b (2,50 г, 64%) в виде бесцветного масла. 1H-ЯМР (CDCl3, 300 МГц) 7,44 (д, J=8,4 Гц, 1Н), 7,15-7,35 (м, 3Н), 4,64 (с, 2Н), 4,18-4,35 (м, 4Н), 4,09 (шир., 1Н), 1,13 (дд, J=6,3, 10,2, 4Н), 0,35 (с, 18Н).
Синтез уретанового соединения 10Смесь соединения 6 (2,0 г, 8,91 ммоль), дифенилфосфорилазида (2,61 г, 9,50 ммоль) и триэтиламина (0,96 г, 9,50 ммоль) в 20 мл бензола нагревали с обратным холодильником в течение 10 мин. Добавляли спирт 2b (2,40 г, 5,94 ммоль) в 5 мл бензола и смесь нагревали с обратным холодильником в течение 4 час. После охлаждения растворитель удаляли и остаток очищали на колонке с силикагелем (гексан:EtOAc, 4:1) для получения желтого твердого соединения 10 (2,41 г, 73%): 1H-ЯМР (CDCl3, 300 МГц) 8,38 (д, J=4,5 Гц, 1Н), 8,19 (д, шир. , J=6,9 Гц, 1Н), 7,74 (д, J=15,3 Гц, 1Н), 7,63 (д, J=7,2 Гц, 2Н), 7,10-7,50 (м, 10Н), 5,32 (с, 2Н), 4,20-4,38 (м, 4Н), 1,05-1,20 (м, 4Н), 0,04 (с, 18Н).
Синтез карбоксальдегидуретанового соединения 11Раствор соединения 10 (2,30 г, 3,70 ммоль) в CH2Cl2/MeOH (50 мл, 1:4) озонировали при -78oС и за ходом реакции следили с помощью ТСХ. После завершения реакции избыток озона удаляли барботированием кислорода через реакционную смесь до тех пор, пока синий реакционный раствор не становился бесцветным. Реакцию затем гасили метилсульфидом (3 мл) при -78oС и раствору давали медленно нагреться и его перемешивали при комнатной температуре в течение 5 час. Растворитель упаривали и остаток очищали хроматографией на силикагеле (гексан: EtOAc, 4:1) для получения соединения 11 (1,70 г, 83%) в виде легкого желтого масла: 1H-ЯМР (CDCl3, 300 МГц) 10,48 (шир., 1Н), 10,50 (с, 1Н), 10,05 (с, 1Н), 8,86 (д, J=8,7 Гц, 1Н), 8,45 (дд, J=1,5, 4,2 Гц, 1Н), 7,4-7,55 (м, 3Н), 7,35 (тд, J=1,5, 7,5 Гц, Н), 7,20 (т, J=7,5 Гц, 2Н), 5,35 (с, 2Н), 4,18-4,28 (м, 4Н), 1,02-1,20 (м, 4Н), 0,02 (с, 18Н).
Синтез тиосемикарбазонового соединения 12К раствору альдегидного соединения 11 (1,60 г, 2,90 ммоль) в EtOH/H2O (5 мл, 7:3) добавляли при комнатной температуре раствор тиосемикарбазида (0,29 г, 3,19 ммоль) в EtOH/H2O (50 мл, 7:3). После перемешивания при комнатной температуре в течение 4 час смесь фильтровали и твердое вещество промывали 5 мл EtOH/H2O (7:3) и 5 мл эфира для получения соединения 12 (1,50 г, 83%) в виде желтого твердого вещества. 1H-ЯМР (ДМСО-d6, 300 МГц) 11,73 (с, 1Н), 10,02 (шир., 1Н), 8,48 (шир., 1Н), 8,20-8,55 (м, 3Н), 7,89 (шир., 1Н), 7,10-7,60 (м, 5Н), 5,23 (с, 2Н), 4,00-4,30 (м, 4Н), 0,9-1,20 (м, 4Н), 0,03 (с, 18Н).
Свободная кислота: синтез пролекарства I (орто)Соединение 12 (580 мг, 0,93 ммоль) обрабатывали СН2Сl2/ТФУ (1 мл, 4:1) при комнатной температуре в течение 1 час. Растворитель затем удаляли в вакууме для получения свободной кислотной формы пролекарства I (орто) в виде желтого твердого вещества (395 мг, 102%). 1H-ЯМР (ДМСО-d6, 300 МГц) 11,89 (с, 1Н), 10,16 (шир., 1Н), 8,57 (шир., 1Н), 8,48 (д, J=7,1 Гц, 1Н), 8,40 (д, J= 8,4 Гц, 1Н), 8,23 (с, 1Н), 8,12 (шир., 1Н), 7,60 (дд, J=5,1, 8,4 Гц, 1Н), 7,46 (д, J=8,4 Гц, 1H), 7,27-7,38 (м, 2Н), 7,20 (т, J=7,2 Гц, 2Н), 51,25 (с, 2Н).
Натриевая соль:Сырую кислоту пролекарства I (орто) растворяли в 50 мл насыщ. NаНСО3. Полученный раствор очищали на колонке С-18 для получения натриевой соли пролекарства I (орто) (120 мг, 31%). 1H-ЯМР (CD3OD, 300 МГц) 8,44 (шир., 1H), 8,29 (д, J=3,9 Гц, 1H), 8,24 (с, 1H), 7,37 (дд, J=4,8, 8,4 Гц, 1Н), 7,25-7,35 (м, 1H), 7,20 (тд, J=1,5, 7,5 Гц, 1H), 6,89 (т, J=7,5 Гц, 1Н), 5,37 (с, 2Н).
Синтез пиридинкарбоксальдегида 21Раствор соединения 5 (10,0 г, 41,84 ммоль) в метаноле (140 мл) и дихлорметане (55 мл) озонировали при -78oС в течение 1 час. Зеленоватый раствор затем гасили диметилсульфидом (10 мл) при -78oС. Реакционную смесь оставляли перемешиваться при комнатной температуре в течение ночи. Растворитель удаляли в вакууме для получения остатка, который очищали на силикагеле для получения 6,24 г (90%) альдегидного соединения 21 в виде беловатого твердого вещества. 1H-ЯМР соединения 21 (CDCl3): 10,35 (с, 1H), 8,89-8,91 (м, 1H), 8,10-8,13 (м, 1Н), 7,57-7,61 (м, 1Н), 4,00 (с, 3Н).
Синтез метилового эфира пиридиндиметилацеталя 22К метанольному раствору (47 мл) альдегидного соединения 21 (3,10 г, 18,79 ммоль) добавляли триметилортоформиат (10,3 мл, 93,95 ммоль) вместе с каталитическим количеством ТsОН. Реакционную смесь нагревали с обратным холодильником в течение 12 час. Реакционную смесь охлаждали и растворитель упаривали для получения остатка, который перерастворяли в EtOAc (125 мл) и Et2O (25 мл). Полученный органический слой промывали насыщенным раствором бикарбоната двууглекислого натрия и насыщенным солевым раствором. Органический слой сушили (Nа2SO4) и концентрировали в вакууме для получения 3,65 г (92%) диметилацеталя соединения 22 в виде густого масла. 1Н-ЯМР соединения 22 (CDCl3): 8,63-8,64 (м, 1Н), 7,93-7,96 (м, 1H), 7,20-7,24 (м, 1Н), 5,96 (с, 1Н), 3,80 (д, J=1,0 Гц, 3Н), 3,31 (с, 6Н).
Синтез карбоновой кислоты пиридиндиметилацеталя 23К раствору соединения 22 (3,65 г, 17,29 ммоль) в ТГФ (10 мл) добавляли 3 н. раствор NaOH (8,64 мл, 25,93 ммоль) при комнатной температуре. Желтоватый раствор перемешивали при комнатной температуре в течение 22 час. Реакционную смесь подкисляли с помощью кислой смолы Dowex (50WX8-100) до рН 4,5. Твердые продукты отфильтровывали и промывали ТГФ (30 мл). Фильтраты концентрировали в вакууме для получения 3,4 г (100%) сырой кислоты 23 в виде бледно-желтой пены. 1H-ЯМР соединения 23 (ДМСО-d6): 8,42-8,44 (м, 1H), 7,90-7,93 (м, 1H), 7,24-7,28 (м, 1H), 6,26 (с, 1H), 3,27 (с, 6Н).
Синтез уретандисульфидных соединений 27Суспензию сырой кислоты 23 (894 мг, 4,54 ммоль) в бензоле (30 мл), дисульфидный линкер 24 (1,33 г, 80% чистота, 4,54 ммоль), триэтиламин (0,63 мл, 4,54 ммоль) и дифенилфосфорилазид (0,98 мл, 4,54 ммоль) нагревали с обратным холодильником в течение 16 час. Реакционную смесь охлаждали до комнатной температуры и растворитель удаляли в вакууме (при 40oС) для получения остатка, который очищали хроматографией на силикагеле (40-60% EtOAc/гексаны) для получения 0,942 г (53%) соединения 27. 1H-ЯМР соединения 27 (CDCl3): 8,60-8,48 (м, 2Н), 8,14-8,23 (м, 3Н), 7,25-7,67 (м, 7Н), 5,41 (с, 2Н), 5,33 (с, 1Н), 3,46 (с, 6Н).
Синтез карбоксальдегидуретандисульфидного соединения 28К раствору соединения 27 (700 мг, 1,437 ммоль) в ТГФ (20 мл) добавляли воду (3 мл) и каталитическое количество TsOH. Полученный раствор нагревали при 60oС в течение 16 час. Реакционной смеси давали остыть до комнатной температуры и растворитель удаляли в вакууме. Полученный остаток очищали хроматографией на силикагеле (30-40% EtOAc/гексаны) для получения 391 мг (62%) соединения 28 в виде желтого порошка. 1H-ЯМР соединения 28 (CDCl3): 10,57 (с, 1Н), 10,09 (с, 1Н), 8,85 (д, J=8,7 Гц, 1Н), 8,46 (д, J=4,4 Гц, 1Н), 8,19-8,16 (м, 2Н), 7,69-7,31 (м, 7Н), 5,45(с, 2Н).
Синтез пролекарства 29 (орто)К раствору соединения 28 (175 мг, 0,397 ммоль) в ТГФ (6 мл) добавляли теплый (~ 40oС) водный (0,75 мл) раствор тиосемикарбазида (18,2 мг, 0,197 ммоль). К полученному желтому раствору добавляли 2 капли 10% НСl. Реакционную смесь перемешивали при комнатной температуре в течение 3 час. Растворитель удаляли в вакууме, а продукт упаривали совместно с ТГФ (4 5 мл). Полученные таким образом желтоватые твердые продукты сушили при высоком вакууме в течение 12 час для получения желаемого дисульфидного пролекарства 29 с почти 100% выходом.
1Н-ЯМР соединения 29 (ДМСО-d6) 11,68 (с, 1Н), 9,98 (шир.с, 1Н), 8,40-8,35 (м, 2Н), 8,23-8,19 (м, 2Н), 7,90-7,35 (м, 9Н), 5,36 (с, 1Н), 5,25 (с, 1Н).
Синтез дисульфидного промежуточного соединения 32К смеси 2-тиобензилового спирта 25 (2,63 г, 18,78 ммоль), 2-тиоэтилтрифторацетамида 31 (3,25 г, 18,78 ммоль) и триэтиламина (2,85 г, 28,2 ммоль) в 50 мл ТГФ/Н2O (50 мл, 4:1) при 0oС добавляли по каплям перекись водорода (1,7 мл, 30% вес/вес). Реакционную смесь перемешивали при 0oС в течение 30 мин и затем подкисляли конц. НСl до рН 2. Смесь экстрагировали EtOAc (1:1) для получения смеси соединения 32 и димера тиоэтилтрифтореацетамида (3,93 г). Смесь может быть использована для следующей стадии без дополнительной очистки. Небольшая часть чистого соединения 32 также была получена в виде бесцветного масла. 1H-ЯМР (CDCl3, 300 МГц) 7,70-7,82 (м, 1Н), 7,47-7,53 (м, 1Н), 7,30-7,40 (м, 2Н), 6,69 (шир., 1Н), 4,88 (с, 2Н), 3,67 (кв, J=6,3 Гц, 2Н), 2,89 (т, J=6,3 Гц, 2Н), 2,16 (шир., 1Н).
Синтез диметилацетальуретандисульфида 33Смесь сырого соединения 23 (1,38 г, 7,0 ммоль), сырого соединения 32 (3,5 г, 11,3 ммоль), дифенилфосфорилазида (3,09 г, 11,3 ммоль) и триэтиламина (1,14 г, 11,3 ммоль) в 25 мл бензола нагревали с обратным холодильником в течение 12 час. После охлаждения реакционную смесь непосредственно наносили на колонку с силикагелем и элюировали растворителем (гексан:EtOAc, 2:1) для получения бледно-желтого масла соединения 33 (1,50 г, 42%): 1H-ЯМР (CDCl3, 300 МГц) 8,48 (с, 1Н), 8,46 (с, 1Н), 8,23 (дд, J=0,9, 4,5 Гц, 1Н), 7,81 (дд, J=1,5, 6,0 Гц, 1H), 7,20-7,50 (м, 3Н), 6,87 (шир., 1Н), 5,41 (с, 2Н), 5,33 (с, 1H), 3,60-3,72 (м, 2Н), 3,47 (с, 6Н), 2,89 (т, J= 6,6, 2Н).
Синтез карбоксальдегидуретандисульфидного соединения 34Раствор соединения 33 (0,394 г, 0,78 ммоль) и каталитического количества PTSSA в ТГФ/Н2О (4 мл/мл) нагревали до 60oС и за ходом реакции следили с помощью ТСХ. Через 30 час растворитель упаривали и остаток очищали хроматографией на силикагеле (гексан:EtOAc, 2:1) для получения соединения 34 (0,282 г, 79%) в виде легкого желтого твердого вещества: 1H-ЯМР (CDCl3, 300 МГц) 10,55 (с, 1H), 10,08 (с, 1H), 8,80 (д, J=8,4 Гц, 1H), 8,47 (д, J=8,4 Гц, 1H), 8,47 (д, J=4,2 Гц, 1H), 7,83 (д, J=7,5 Гц, 1H), 7,30-7,58 (м, 4Н), 6,88 (шир., 1H), 5,43 (с, 2Н), 7,23 (кв, J=6,3 Гц, 2Н), 2,93 (т, J=6,6 Гц, 2Н).
Синтез пролекарства III (орто)Альдегидное соединение 34 (0,216 г, 0,47 ммоль) растворяли в 2 мл горячего EtOH и затем охлаждали до комнатной температуры. К этому раствору добавляли в один прием тиосемикарбазид (47 мг, 0,52 ммоль) в EtOH/H2O (2,4 мл, 1: 1). После перемешивания при комнатной температуре в течение 4 час смесь помещали в холодильник (0-5oС) на ночь. Смесь затем фильтровали и твердое вещество промывали 2 мл H2O, 2 мл EtOH/H2O (2:1) и 4 мл эфира для получения соединения 35 (0,206 г, 82%) в виде белого твердого вещества. 1H-ЯМР (CD3OD, 300 МГц) 8,30-8,40 (м, 2Н), 8,20 (с, 1Н), 7,83 (дд, J=1,8, 7,2 Гц, 1Н), 7,30-7,55 (м, 4 Гц, 1H), 5,41 (с, 2Н), 3,59 (т, J= 6,6 Гц, 2Н), 2,89 (т, J=6,9 Гц, 2Н)Биологическая активность Мыши линии Balb/c в день 0 получали подкожно в правый бок инъекцию 0,2 мл суспензии опухолевых клеток М109 в количестве 5 106 клеток/мл, которые росли до лог. фазы в культуре, обрабатывались для разделения трипсином, промывались PBS и восстанавливались. Два раза на 3-й день, один раз на 4-й день, два раза на 6-й день и один раз на 7-й день крысы получали 3-АР, пролекарство I (пара) или растворитель в качестве контроля. Десять мышей получали лишь инъекции 3-АР, при этом каждая доза составляла 4,5 мг/кг веса тела. Десять мышей получали лишь инъекции пролекарства I, при этом каждая инъекция включала дозу 10 мг/кг веса тела. Десять мышей получали лишь инъекции растворителя в качестве контроля. Размер опухолей измеряли пальпацией на 7-й, 10-й, 13-й и 17-й дни и эти результаты представлены на фигуре 10. Этот эксперимент ясно показывает, что пролекарство I значительно более эффективно в снижении опухолевого роста, чем равная молярная доза 3-АР. В случае фигуры 11 противоопухолевые эффекты пролекарства I (пара) сравнивали с таковыми 3-АР, используя забуференный фосфатом солевой раствор (PBS) и водный диметилсульфоксид (10% ДМСО) в качестве контролей.
В этом эксперименте показано, что пролекарство I также демонстрирует более высокую противоопухолевую активность по сравнению с 3-АР или двумя контролями.
Следует понимать, что примеры и осуществления, описанные здесь выше, являются только иллюстрирующими и не рассматриваются как ограничивающие настоящее изобретение каким-либо образом. Различные модификации или изменения в отношении описанного здесь выше, которые могут быть сделаны обычными специалистами, также рассматриваются настоящим изобретением и должны быть включены в содержание и объем этой заявки и последующей формулы изобретения.
Формула изобретения
![]() где R4 представляет собой Н или СН3; R5 представляет собой CHR, бензил или орто- или паразамешенный бензил; R представляет собой Н, СН3, СН2СН3, СН2СН2СН3 или ![]() R’ представляет собой остаток фосфорной кислоты, соль фосфорной кислоты или -S-S-R” группу; R” представляет собой CH2CH2NHR6, CH2CH2OH, CH2COOR7, орто- или пара-замещенный C1-С3 алкилфенил или орто- или паразамещенный нитрофенил; R6 представляет собой Н, C1-C4 ацильную группу, трифторацетильную, бензоильную или замещенную бензоильную группу; R7 представляет собой Н, C1-C4 алкил, фенил, замещенный фенил, или бензил, или замещенный бензил. 2. Соединение по п.1, где R5 представляет собой CH2. 3. Соединение по п.1, где R5 представляет собой ![]() 4. Соединение по п.3, где R представляет собой СН3. 5. Соединение по п.1, где R4 представляет собой Н. 6. Соединение по п.1, где R4 представляет собой СН3. 7. Соединение по п.1, которое представляет собой соединение формулы ![]() где R4 представляет собой Н или СН3; R5 представляет собой CH2 или ![]() R8 представляет собой CH2CH2NH2, CH2CH2NHAc, СН2СН2ОН или СН2СO2Н. 8. Соединение по п.7, где R4 представляет собой СН3. 9. Соединение по п.7, где R4 представляет собой Н. 10. Композиция, используемая при лечении неоплазии у животных, включая человека, включающая терапевтически эффективное количество соединения, соответствующего формуле ![]() где R4 представляет собой Н или СН3; R5 представляет собой CHR, бензил или орто- или паразамещенный бензил; R представляет собой Н, СН3, СН2СН3, СН2СН2СН3 или ![]() R’ представляет собой остаток фосфорной кислоты, соль фосфорной кислоты или -S-S-R” группу; R” представляет собой CH2CH2NHR6, CH2CH2OH, CH2COOR7, орто- или паразамещенный C1-C3 алкилфенил и орто- или паразамещенный нитрофенил; R6 представляет собой Н, C1-C4 ацильную группу, трифторацетильную, бензоильную или замещенную бензоильную группу; R7 представляет собой Н, C1-C4 алкил, или бензил, или замещенный бензил. 11. Композиция по п. 10, где R4 представляет собой Н или СН3 и R6 представляет собой СН2СН2NН2, CH2CH2NHAc, CH2CH2OH или СН2СO2Н. 12. Композиция по п.10 где R4 представляет собой Н. 13. Композиция по п.10 где R4 представляет собой СН3. 14. Композиция по п.10, где R4 представляет собой Н или СН3, R5 представляет собой СН2 или и R” представляет собой пара- или ортозамещенный нитрофенил.
15. Композиция по п.14, где R4 представляет собой Н.
16. Композиция по п.14, где R4 представляет собой СН3.
17. Композиция по п.14, где R5 представляет собой ![]() 18. Композиция по п.14, где R5 представляет собой CH2. 19. Композиция, используемая при лечении неоплазии у больных животных или людей, по п.10, включающая терапевтически эффективное количество соединения, соответствующего формуле ![]() где R4 представляет собой Н или СН3; R5 представляет собой CH2 или ![]() R8 представляет собой CH2CH2NH2, CH2CH2NHAc, CH2CH2OH или СН2СО2Н. 20. Композиция по п.19, где R4 представляет собой СН3. 21. Композиция по п.19, где R4 представляет собой Н. 22. Соединение по любому из пп. 1-9, используемое для получения лекарственного средства для лечения неоплазии. РИСУНКИ
MM4A – Досрочное прекращение действия патента СССР или патента Российской Федерации на изобретение из-за неуплаты в установленный срок пошлины за поддержание патента в силе
Дата прекращения действия патента: 15.05.2007
Извещение опубликовано: 20.07.2010 БИ: 20/2010
|
||||||||||||||||||||||||||


-(N)-гетероциклических карбоксальдегидтиосемикарбазонов (HCTs), класса соединений – наиболее сильных ингибиторов рибонуклеозиддифосфатредуктазы, привлекают повышенное внимание. Описаны различные HCTs, такие как 5-гидроксипиридин-2-карбоксальдегидтиосемикарбазон (5-НР), 4-метил-5-амино-1-формилизохинолинтиосемикарбазон (MAIQ-1), 5-(ацетиламино)пиридин-2-карбоксальдегидтиосемикарбазон (5-ААР), 3- и 5-аминопиридин-2-карбоксальдегидтиосемикарбазон (3-АР и 5-АР) и их 4-метильные производные (3-АМР и 5-АМР), 3- и 5-гидрокси-4-метилпиридин-2-карбоксальдегидтиосемикарбазон (3-НМР и 5-НМР). Смотри DeConti, et al., Cancer Res. , 1972, 32, 1455-1462; Agrawal, et al., J. Med. Chem. 1976, 19, 970-972; French, et al., J. Med. Chem. 1974, 17, 172-181; Liu, et al., J. Med. Chem. 1992, 35, 3672-3677; Wang, et al., J. Med. Chem. 1992, 35, 3667-3671.
Исследования взаимосвязи структуры и активности соединений НСТ показали, что как 3-АР, так и 3-АМР оказывали намного большее терапевтическое воздействие на лейкемию L1210, карциному легких М-109 и карциному яичников человека А2780, чем другие НСТ, исследованные к настоящему времени. Liu, et al. , J. Med. Chem. 1992, 35, 3672-3677; Agrawal et al., “The Chemistry and Biological Activity of the 
,
16 мг/мл, более чем в 300 раз превышая растворимость в воде 3-АР.
Биологическая активация
106 клеток/мл, которые перед этим выращивали в культуре до логарифмической фазы, переваривали трипсином для разделения, промывали PBS и восстанавливали. Крысы получали инъекции 3-АР, пролекарства I или контрольного растворителя дважды на 3-й день и один раз на 4-й, дважды на 6-й день и один раз на 7-й день. Десять мышей получали только инъекции 3-АР, причем каждая инъекция обеспечивала дозу 4,5 мг/кг веса тела. Десять мышей получали только инъекции пролекарства I, при этом каждая инъекция обеспечивала дозу 10 мг/кг веса тела. Десять мышей получали только инъекции контрольного растворителя. Размер опухолей определяли пальпированием на 7, 10, 13 и 17 дни и полученные результаты представлены на фигуре 10. Этот эксперимент ясно показывает, что пролекарство I немного эффективнее в подавлении опухолевого роста по сравнению с 3-АР в эквимолярной дозе. На фигуре 11 приведено также сравнение снижения роста опухоли М109 у мышей линии Balb/c при использовании двух контрольных растворителей (1 – забуференная фосфатом сыворотка и 2 – 10% ДМСО). Эти результаты также показывают, что пролекарство I является более эффективным по сравнению с 3-АР (моль на моль). Контроль 1 использовали в качестве контроля для пролекарства; контроль 2 использовали в отношении лекарства.
Терапевтический аспект в соответствии с настоящим изобретением относится к способам лечения неоплазии у больных животных или человека, в особенности опухолей у человека, включающим введение эффективных в отношении препятствия неопластического роста количеств пролекарственных соединений в соответствии с настоящим изобретением для торможения (ингибирования) дальнейшего роста неоплазмы, ее подконтрольного роста и предпочтительно создания условий для ремиссии опухоли. При этом способе согласно настоящему изобретению терапевтически эффективное количество, по меньшей мере, одного пролекарства согласно настоящему изобретению вводят больному, страдающему раком или злокачественной или доброкачественной опухолью, для торможения роста или распространения такого рака или опухоли. В терапевтическом аспекте настоящего изобретения предпочтительно, чтобы терапевтически эффективное количество вызывало ремиссию злокачественной опухоли или злокачественных заболеваний крови, асцитов или солидной опухоли. В случае солидных опухолей предпочтительно, чтобы опухоль действительно уменьшалась в размере.
Фармацевтические композиции, основанные на этих пролекарственных соединениях, включают описанные выше соединения в терапевтически эффективном для лечения неоплазии количестве, необязательно в комбинации с фармацевтически приемлемой добавкой, носителем или наполнителем. Любой специалист поймет, что терапевтически эффективное количество будет варьироваться в зависимости от состояния, которое предстоит лечить, тяжести заболевания, схемы лечения, которая будет использована, фармакокинетики используемого агента, а также от больного (животного или человека), которого предстоит лечить.
В целом предпочтительно вводить фармацевтическую композицию в форме для перорального введения, более предпочтительно в виде составов, покрытых оболочкой для рассасывания в кишечнике, таких как таблетки, капсулы или им подобные, однако некоторые составы могут вводиться парентеральным, внутривенным, внутримышечным, трансдермальным, защечным, подкожным, в виде суппозитория или иным путем. Составы для внутривенного и внутримышечного введения предпочтительно вводить в стерильном солевом растворе. Конечно, любой специалист может модифицировать фармацевтические композиции в пределах указаний спецификации для получения множества составов для особого пути введения, но при этом он не должен представлять композиции настоящего изобретения в виде нестабильных или с ухудшенной терапевтической активностью.
Настоящие соединения являются пролекарственными формами активных антинеопластических агентов 3-АР и 3-АМР. В зависимости от пути введения в определенных фармацевтических лекарственных формах некоторые из настоящих соединений могут быть более подходящими, чем другие соединения. Специалист поймет каким образом следует использовать химическое разнообразие настоящих соединений для создания одной или более лекарственных форм для облегчения доставки активных соединений к мишени их действия в организме больного. Специалист также воспользуется благоприятными фармакокинетическими параметрами пролекарственных форм там, где это возможно для доставки настоящих соединений к мишени их действия в организме больного для достижения желаемого максимального антинеопластического эффекта соединения.
Количество соединения, включенное в терапевтически активные составы в соответствии с настоящим изобретением, является эффективным количеством для лечения рака или злокачественной опухоли. В целом, терапевтически эффективное количество соединения в соответствии с настоящим изобретением в лекарственной форме обычно находится в диапазоне от менее чем приблизительно 0,05 мг/кг до приблизительно 500 мг/кг веса тела больного, подлежащего лечению, или значительно больше, в зависимости от используемого соединения, типа подлежащей лечению опухоли, способности активного соединения локализоваться в подлежащей лечению ткани, пути введения и фармакокинетики соединения у больного. В случае лечения солидной опухоли соединение предпочтительно вводить в количествах, соответствующих диапазону от приблизительно 0,05 мг/кг до приблизительно 250 мг/кг или более за один раз. Этот диапазон доз обычно обеспечивает эффективные концентрации активного соединения в диапазоне от приблизительно 0,01 до приблизительно 500 мг на 1 мл крови у больного, подлежащего лечению. Длительность лечения может составлять один или более дней или лечение может продолжаться несколько месяцев или значительно больше (годы) в зависимости от патологического состояния, подвергаемого лечению. Следует отметить, что использование пролекарственного соединения в соответствии с настоящим изобретением позволит в предпочтительных случаях вводить больному меньше (в молярном выражении) пролекарственного соединения для достижения желаемого результата по сравнению с 3-АР или 3-АМР. Таким образом, настоящие соединения и способы благоприятны также потому, что они, как полагают, значительно менее токсичны для больных, чем 3-АР или 3-АМР, поскольку желаемое противораковое действие может быть достигнуто у больного использованием меньшего (в молярном выражении) количества соединения.
В терапевтическом аспекте настоящего изобретения введение активного соединения может варьироваться от непрерывного (внутривенная капельница) до внутримышечного, до нескольких пероральных приемов в день (например, Q.I.D. (дневная доза за четыре приема)) и может включать среди других путей введения парентеральный, включая внутривенный и внутримышечный, пероральный, местный, подкожный, трансдермальный (который может включать агент, повышающий проницаемость), защечный и в виде суппозитория путь введения. Пероральное введение является предпочтительным путем введения настоящих соединений.
Для приготовления фармацевтических композиций в соответствии с настоящим изобретением терапевтически действующее количество одного или более соединений в соответствии с настоящим изобретением предпочтительно тщательно смешивают с необязательным, фармацевтически приемлемым носителем согласно традиционным способам приготовления фармацевтических смесей для получения лекарственной формы. Носитель может принимать множество форм в зависимости от желаемой формы введения препарата, например перорального или парентерального.
В случае парентеральных составов носитель может включать стерильную воду или водный раствор хлористого натрия в сочетании с другими ингредиентами, помогающими растворению, такими как этанол и другие фармацевтически приемлемые растворители, включая наряду с другими ДМСО.
Разумеется, в тех случаях, когда растворы должны применяться и храниться в стерильном виде, композиции и носители также должны быть стерильными. Также могут быть приготовлены суспензии для инъекций, для чего могут быть использованы подходящие жидкие носители, суспендирующие агенты и им подобные.
При приготовлении предпочтительных фармацевтических композиций в лекарственной форме для перорального введения может быть использована любая одна или более обычная фармацевтическая среда. Так, для жидких пероральных препаратов, таких как суспензии, эликсиры и растворы, могут быть использованы подходящие носители и добавки, включая воду, гликоли, масла, спирты, пахучие агенты, консерванты, окрашивающие агенты и им подобные. Для твердых пероральных препаратов, таких как порошки, таблетки, капсулы, и для твердых препаратов, таких как суппозитории, могут быть использованы подходящие носители и добавки, включая крахмалы, сахарные носители, такие как декстроза, маннитол, лактоза и близкие им носители, разбавители, гранулирующие агенты, смазывающие агенты, связующие агенты, дезинтегрирующие агенты и им подобные. Если это желательно, таблетки или капсулы могут быть покрыты оболочкой для всасывания в кишечнике или поддерживающими непрерывное выделение с использованием стандартных методов.
Соединения и композиции в соответствии с настоящим изобретением применяются для лечения неоплазии, включая рак у млекопитающих, включая человека. В целом, для лечения злокачественных опухолей композиции обычно вводят в парентеральной, предпочтительно внутривенной лекарственной форме в количествах, варьирующих от приблизительно 10 мг до приблизительно 500 мг или более от одного до четырех раз в день. Настоящие соединения предпочтительно вводят перорально, однако они могут вводиться и другим способом, например парентерально или даже местно или в форме суппозитория.
Соединения настоящего изобретения могут вводиться сами по себе или в комбинации с другими агентами, включая, в частности, другие соединения настоящего изобретения. Кроме того, введение одного или более соединений настоящего изобретения вместе с другими антинеопластическими агентами при комбинированной химиотерапии, такими как антиметаболиты, этопозид, доксорубицин, таксол, винкристин, циклофосфамид или митомицин С и многими другими, также рассматривается настоящим изобретением.
Настоящее изобретение иллюстрируется следующими примерами. Любому специалисту будет понятно, что эти примеры никаким образом не являются ограничивающими объем настоящего изобретения.
Примеры
7,34 (АВ-кв., J=8,4 Гц, 2Н),
7,49 (дд, J=4,5, 8,7 Гц, 1Н),
7,83 (д, J=7,5 Гц, 1H), 






и R” представляет собой пара- или ортозамещенный нитрофенил.
15. Композиция по п.14, где R4 представляет собой Н.
16. Композиция по п.14, где R4 представляет собой СН3.
17. Композиция по п.14, где R5 представляет собой 

