Патент на изобретение №2199525
|
||||||||||||||||||||||||||
(54) НОВЫЕ ПРОИЗВОДНЫЕ 3,3-ДИФЕНИЛПРОПИЛАМИНОВ, СПОСОБЫ ИХ ПОЛУЧЕНИЯ (ВАРИАНТЫ) И СОДЕРЖАЩАЯ ИХ ФАРМАЦЕВТИЧЕСКАЯ КОМПОЗИЦИЯ
(57) Реферат: Описываются производные 3,3-дифенилпропиламинов общих формул I и VII1, где R и R1 независимо выбраны из водорода, С1-С6алкила, С3-С10циклоалкила, С1-С6алкилкарбонила, С1-С6алкоксикарбонила, замещенного или незамещенного бензола и др., Х представляет собой третичную аминогруппу, Y и Z независимо представляют собой одинарную связь между (СН2)n группой и карбонильной группой, О, S или NH, А представляет собой водород (1Н) или дейтерий (2Н), n является числом от 0 до 12, и их соли с физиологически приемлемыми кислотами, их свободные основания, способы их получения; фармацевтические композиции, содержащие эти соединения, а также применение этих соединений для приготовления антимускаринового лекарства. Технический результат заключается в получении новых пролекарств антимускариновых агентов с хорошими фармакокинетическими свойствами по сравнению с существующими лекарствами, такими как оксибутинин и толтеродин. Полученные соединения и содержащие их фармацевтические композиции применяют для лечения недержания мочи и других контрактильных состояний гладких мышц. 14 с. и 16 з.п. ф-лы, 2 ил., 5 табл. ![]()
Текст описания в факсимильном виде (см. графическую часть). Формула изобретения
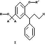
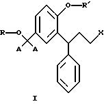
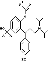
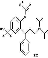
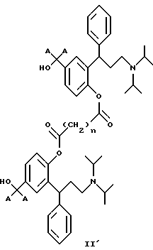
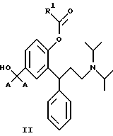
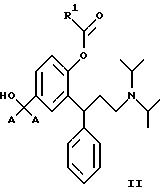
![]() ![]() где R и R’ независимо выбраны из а) водорода, С1-С6алкила, С3-С10циклоалкила, бензила незамещенного или замещенного алкилом, алкокси, галогеном, нитро и ацетилом, аллила или глюкуронозильной группы; или б) формила, С1-С6алкилкарбонила, С3-С10циклоалкилкарбонила, арилкарбонила, незамещенного или замещенного алкилом, алкокси, галогеном, нитро и ацетилом, предпочтительно бензоила; или в) C1-С6алкоксикарбонила, замещенного или незамещенного арилоксикарбонила, бензоилацила, бензоилглицила, замещенного или незамещенного аминокислотного остатка; или г) ![]() где R4 и R5 независимо представляют собой водород, С1-С6алкил, арил, незамещенный или замещенный алкилом, алкокси, галогеном, нитро и ацетилом, предпочтительно замещенный или незамещенный фенил, бензил или феноксиалкил, где алкильный остаток имеет от 1 до 4 атомов углерода, и где R4 и R5 могут образовывать кольцо вместе с аминным атомом азота; или д) ![]() где R6 и R7 независимо представляют собой С1-С6алкил, арил, незамещенный или замещенный алкилом, алкокси, галогеном, нитро и ацетилом, предпочтительно замещенный или незамещенный фенил, бензил или феноксиалкил, где алкильный остаток имеет от 1 до 6 атомов углерода; или е) сложноэфирной группировки неорганических кислот, ж) -SiRaRbRc, где Ra, Rb, Rc независимо выбраны из С1-С4алкила или арила, предпочтительно фенила, при условии, что R’ не представляет собой водород, метил или бензил, если R представляет собой водород, и R не представляет собой этил, если R’ представляет собой водород; Х представляет собой третичную аминогруппу формулы Iа ![]() где R6 и R9 представляют собой неароматические углеводородные группы, которые могут быть одинаковыми или разными и которые вместе содержат по меньшей мере три атома углерода, и где R8 и R9 могут образовывать кольцо вместе с аминным атомом азота; Y и Z независимо представляют собой одинарную связь между (СН2)n группой и карбонильной группой, О, S или NH; А представляет собой водород (1Н) или дейтерий (2Н); n является числом от 0 до 12; и их соли с физиологически приемлемыми кислотами и, если соединения могут находиться в форме оптических изомеров, рацемическая смесь и индивидуальные энантиомеры. 2. 3,3-Дифенилпропиламины по п.1, где Х представляет собой ![]() 3. 3,3-Дифенилпропиламины по п.2, выбранные из сложных моноэфиров фенола, представленных общими формулами II и II’ ![]() ![]() где R1 представляет собой водород, C1-С6алкил или фенил. 4. 3,3-Дифенилпропиламины по п.3, выбранные из: 2-(3-диизопропиламино-1-фенилпропил)-4-гидроксиметилфенилового эфира ( )-уксусной кислоты,2-(3-диизопропиламино-1-фенилпропил)-4-гидроксиметилфенилового эфира ( )-пропионовой кислоты,2-(3-диизопропиламино-1-фенилпропил)-4-гидроксиметилфенилового эфира ( )-н-масляной кислоты,2-(3-диизопропиламино-1-фенилпропил)-4-гидроксиметилфенилового эфира ( )-изомасляной кислоты,2-(3-диизопропиламино-1-фенилпропил)-4-гидроксиметилфенилового эфира (R)-(+)-изомасляной кислоты, 2-(3-диизопропиламино-1-фенилпропил)-4-гидроксиметилфенилового эфира ( )-2,2-диметилпропионовой кислоты,2-(3-диизопропиламино-1-фенилпропил)-4-гидроксиметилфенилового эфира ( )-2-ацетамидоуксусной кислоты,2-(3-диизопропиламино-1-фенилпропил)-4-гидроксиметилфенилового эфира ( )-циклопентанкарбоновой кислоты,2-(3-диизопропиламино-1-фенилпропил)-4-гидроксиметилфенилового эфира ( )-циклогексанкарбоновой кислоты,2-(3-диизопропиламино-1-фенилпропил)-4-гидроксиметилфенилового эфира ( )-бензойной кислоты,2-(3-диизопропиламино-1-фенилпропил)-4-гидроксиметилфенилового эфира (R)-(+)-бензойной кислоты, 2-(3-диизопропиламино-1-фенилпропил)-4-гидроксиметилфенилового эфира ( )-4-метилбензойной кислоты,2-(3-диизопропиламино-1-фенилпропил)-4-гидроксиметилфенилового эфира ( )-2-метилбензойной кислоты,2-(3-диизопропиламино-1-фенилпропил)-4-гидроксиметилфенилового эфира ( )-2-ацетоксибензойной кислоты,2-(3-диизопропиламино-1-фенилпропил)-4-гидроксиметилфенилового эфира ( )-1-нафтойной кислоты,2-(3-диизопропиламино-1-фенилпропил)-4-гидроксиметилфенилового эфира ( )-2-нафтойной кислоты,2-(3-диизопропиламино-1-фенилпропил)-4-гидроксиметилфенилового эфира ( )-4-хлорбензойной кислоты,2-(3-диизопропиламино-1-фенилпропил)-4-гидроксиметилфенилового эфира ( )-4-метоксибензойной кислоты,2-(3-диизопропиламино-1-фенилпропил)-4-гидроксиметилфенилового эфира ( )-2-метоксибензойной кислоты,2-(3-диизопропиламино-1-фенилпропил)-4-гидроксиметилфенилового эфира ( )-4-нитробензойной кислоты,2-(3-диизопропиламино-1-фенилпропил)-4-гидроксиметилфенилового эфира ( )-2-нитробензойной кислоты,бис-[2-(3-диизопропиламино-1-фенилпропил)-4-гидроксиметилфенилового] эфира ( )-малоновой кислоты,бис-[2-(3-диизопропиламино-1-фенилпропил)-4-гидроксиметилфенилового] эфира ( )-янтарной кислоты,бис-[2-(3-диизопропиламино-1-фенилпропил)-4-гидроксиметилфенилового] эфира ( )-пентандикислоты,бис-[2-(3-диизопропиламино-1-фенилпропил)-4-гидроксиметилфенилового] эфира ( )-гександикислоты.
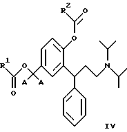
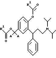
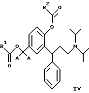
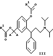
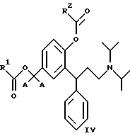
5. 3,3-Дифенилпропиламины по п.2, выбранные из идентичных сложных диэфиров, представленных общей формулой III![]() где R1 является таким, как определено в п.3. 6. 3,3-Дифенилпропиламины по п.5, выбранные из: 2-(3-диизопропиламино-1-фенилпропил)-4-формилоксиметилфенилового эфира ( )-муравьиной кислоты,4-ацетокси-3-(3-диизопропиламино-1-фенилпропил)-бензилового эфира ( )-уксусной кислоты,2-(3-диизопропиламино-1-фенилпропил)-4-пропионилоксиметилфенилового эфира ( )-пропионовой кислоты,4-н-бутирилоксиметил-2-(3-диизопропиламино-1-фенилпропил)-фенилового эфира ( )-н-масляной кислоты,2-(3-диизопропиламино-1-фенилпропил)-4-изобутирилоксиметилфенилового эфира ( )-изомасляной кислоты,3-(3-диизопропиламино-1-фенилпропил)-4-(2,2-диметил-пропионилокси)-бензилового эфира ( )-2,2-диметилпропионовой кислоты,4-бензоилоксиметил-2-(3-диизопропиламино-1-фенилпропил)-фенилового эфира ( )-бензойной кислоты,4-бензоилоксиметил-2-(3-диизопропиламино-1-фенилпропил)-фенилового эфира (R)-(+)-бензойной кислоты. 7. 3,3-Дифенилпропиламины по п.2, выбранные из смешанных сложных диэфиров, представленных общей формулой IV ![]() где R1 является таким, как определено в п.3; R2 представляет собой водород, С1-С6алкил или фенил, при условии, что R1 и R2 не идентичны. 8. 3,3-Дифенилпропиламины по п.7, выбранные из: 2-(3-диизопропиламино-1-фенилпропил)-4-формилоксиметилфенилового эфира ( )-уксусной кислоты,2-(3-диизопропиламино-1-фенилпропил)-4-формилоксиметилфенилового эфира ( )-бензойной кислоты,2-(3-диизопропиламино-1-фенилпропил)-4-ацетоксиметилфенилового эфира ( )-бензойной кислоты,2-(3-диизопропиламино-1-фенилпропил)-4-ацетоксиметилфенилового эфира (R)-(+)-бензойной кислоты, 4-ацетоксиметил-2-(3-диизопропиламино-1-фенилпропил)-фенилового эфира ( )-изомасляной кислоты,4-ацетоксиметил-2-(3-диизопропиламино-1-фенилпропил)-фенилового эфира (R)-(+)-изомасляной кислоты, 4-ацетокси-3-(3-диизопропиламино-1-фенилпропил)-бензилового эфира ( )-2,2-диметилпропионовой кислоты,4-ацетоксиметил-2-(3-диизопропиламино-1-фенилпропил)-фенилового эфира ( )-2,2-диметилпропионовой кислоты.
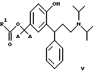
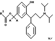
9. 3,3-Дифенилпропиламины по п.2, выбранные из сложных бензиловых моноэфиров, представленных общей формулой V![]() где R1 является таким, как определено в п.3. 10. 3,3-Дифенилпропиламины по п.9, выбранные из: 3-(3-диизопропиламино-1-фенилпропил)-4-гидроксибензилового эфира ( )-муравьиной кислоты,3-(3-диизопропиламино-1-фенилпропил)-4-гидроксибензилового эфира ( )-уксусной кислоты,3-(3-диизопропиламино-1-фенилпропил)-4-гидроксибензилового эфира ( )-пропионовой кислоты,3-(3-диизопропиламино-1-фенилпропил)-4-гидроксибензилового эфира ( )-масляной кислоты,3-(3-диизопропиламино-1-фенилпропил)-4-гидроксибензилового эфира ( )-изомасляной кислоты,3-(3-диизопропиламино-1-фенилпропил)-4-гидроксибензилового эфира ( )-2,2-диметилпропионовой кислоты,3-(3-диизопропиламино-1-фенилпропил)-4-гидроксибензилового эфира ( )-бензойной кислоты.
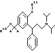
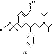
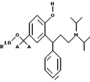
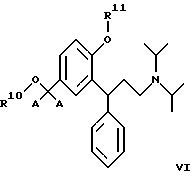
11. 3,3-Дифенилпропиламины по п.2, выбранные из простых эфиров и силиловых простых эфиров, представленных общей формулой VI![]() где по меньшей мере один из R10 и R11 выбран из С1-С6алкила, бензила или -SiRaRbRc, такого, как определено в п.1, а другой из R10 и R11 дополнительно может представлять собой водород, С1-С6алкилкарбонил или бензоил. 12. 3,3-Дифенилпропиламины по п.11, выбранные из: ( )-2-(3-диизопропиламино-1-фенилпропил)-4-метоксиметилфенола,( )-2-(3-диизопропиламино-1-фенилпропил)-4-этоксиметилфенола,( )-2-(3-диизопропиламино-1-фенилпропил)-4-пропоксиметилфенола( )-2-(3-диизопропиламино-1-фенилпропил)-4-изопропоксиметилфенола,( )-2-(3-диизопропиламино-1-фенилпропил)-4-бутоксиметилфенола,2-(3-диизопропиламино-1-фенилпропил)-4-метоксиметилфенилового эфира ( )-уксусной кислоты,2-(3-диизопропиламино-1-фенилпропил)-4-этоксиметилфенилового эфира ( )-уксусной кислоты,( )-2-(3-диизопропиламино-1-фенилпропил)-4-триметилсиланилоксиметилфенола,( )-диизопропил-[3-фенил-3-(2-триметилсиланилокси-5-триметилсиланилоксиметилфенил)-пропил]-амина,( )-[3-(3-диизопропиламино-1-фенилпропил)-4-триметилсиланилоксифенил] -метанола,( )-диизопропил-[3-(5-метоксиметил-2-триметилсиланилоксифенил)-3-фенилпропиламина,( )-диизопропил-[3-(5-этоксиметил-2-триметилсиланилоксифенил)-3-фенилпропиламина,( )-[4-(трет-бутил-диметилсиланилокси)-3-(3-диизопропиламино-1-фенилпропил)-фенил]-метанола,4-(трет-бутил-диметилсиланилокси)-3-(3-диизопропиламино-1-фенилпропил)-бензилового эфира ( )-уксусной кислоты,( )-4-(трет-бутил-диметилсиланилокси)-3-(3-диизопропиламино-1-фенилпропил)-фенола,4-(трет-бутил-диметилсиланилокси)-2-(3-диизопропиламино-1-фенилпропил)-фенилового эфира ( )-уксусной кислоты,( )-{ 3-[2-(трет-бутил-диметилсиланилокси)-5-(трет-бутил-диметилсиланилоксиметил)-фенил]-3-фенилпропил}-диизопропиламина,( )-[4-(трет-бутил-дифенилсиланилокси)-3-(3-диизопропиламино-1-фенилпропил)-фенил]-метанола,4-(трет-бутил-дифенилсиланилоксиметил)-2-(3-диизопропиламино-1-фенилпропил)-фенилового эфира ( )-уксусной кислоты,( )-4-(трет-бутил-дифенилсиланилоксиметил)-2-(3-диизопропиламино-1-фенилпропил)-фенола,4-бензилокси-3-(3-диизопропиламино-1-фенилпропил)-бензилового эфира ( )-уксусной кислоты,4-бензилокси-3-(3-диизопропиламино-1-фенилпропил)-бензилового эфира ( )-бензойной кислоты,4-бензилокси-3-(3-диизопропиламино-1-фенилпропил)-бензилового эфира ( )-изомасляной кислоты,( )-2-(3-диизопропиламино-1-фенилпропил)-4-(1 -D-глюкуронозилоксиметил)-фенола.
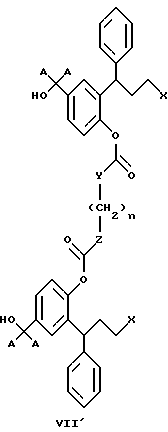
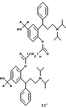
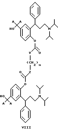
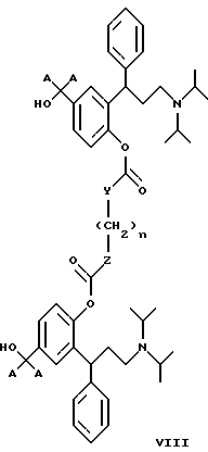
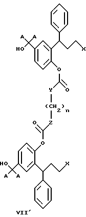
13. 3,3-Дифенилпропиламины по п.2, выбранные из карбонатов и карбаматов, представленных общими формулами VII и VIII![]() ![]() где Y, Z и n являются такими, как определено в п.1; R12 и R13 представляют собой С1-С6алкоксикарбонильную группу или ![]() где R4 и R5 являются такими, как определено в п.1. 14. 3,3-Дифенилпропиламины по п.13, выбранные из: 2-(3-диизопропиламино-1-фенилпропил)-4-гидроксиметилфенилового эфира ( )-N-этилкарбаминовой кислоты,2-(3-диизопропиламино-1-фенилпропил)-4-гидроксиметилфенилового эфира ( )-N,N-диметилкарбаминовой кислоты,2-(3-диизопропиламино-1-фенилпропил)-4-гидроксиметилфенилового эфира ( )-N,N-диэтилкарбаминовой кислоты,2-(3-диизопропиламино-1-фенилпропил)-4-гидроксиметилфенилового эфира ( )-N-фeнилкapбaминoвoй кислоты,гидрохлорида этилового эфира ( )-[2-(3-диизопропиламино-1-фенилпропил)-4-гидроксиметилфеноксикарбониламино]уксусной кислоты,3-(3-диизопропиламино-1-фенилпропил)-4-N-этилкарбамоилоксибензилового эфира ( )-N-этилкapбaминoвoй кислоты,3-(3-диизопропиламино-1-фенилпропил)-4-N, N-диметилкарбамоилоксибензилового эфира ( )-N,N-димeтилкapбaминoвoй кислоты,3-(3-диизопропиламино-1-фенилпропил)-4-N, N-диэтилкарбамоилоксибензилового эфира ( )-N,N-диэтилкapбaминoвoй кислоты,2-(3-диизопропиламино-1-фенилпропил)-4-гидроксчметилфенилового эфира ( )-{ 4-[2-(3-диизопропиламино-1-фенилпропил)-4-гидроксиметилфеноксикарбониламино]-бутил}-карбаминовой кислоты,этилового эфира 2-(3-диизопропиламино-1-фенилпропил)-4-гидроксиметилфенилового эфира ( )-угольной кислоты,этилового эфира 2-(3-диизопропиламино-1-фенилпропил)-4-этоксикарбонилоксиметилфенилового эфира ( )-угольной кислоты.
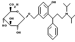
15. 3,3-Дифенилпропиламины, выбранные из:1) соединений формул IХ и IX’ ![]() ![]() где x и y являются одинаковыми или разными и обозначают количество метиленовых единиц -(СН2)- и могут изменяться в пределах от 0 до 6, 2) 2-(3-диизопропиламино-1-фенилпропил)-4-сульфооксиметилфенилового эфира ( )-бензойной кислоты,3) поли-со-CL-лактидов 2-(3-диизопропиламинофенилпропил)-4-гидроксиметилфенола, 4)( )-2-(3-диизопропиламино-1-фенилпропил)-4-(1 -D-глюкуронозилоксиметил)-фенола, имеющего формулу![]() и их соли с физиологически приемлемыми кислотами, и, если соединения могут находиться в форме оптических изомеров, рацемическая смесь и индивидуальные энантиомеры. 16. 3,3-Дифенилпропиламин по п.15, выбранный из: циклического окт-4-ен-1,8-диоата промежуточного соединения Б и циклического октан-1,8-диоата промежуточного соединения Б, имеющего формулу ![]() где А является таким, как определено в п.1. 17. 3,3-Дифенилпропиламин, представляющий собой 2-(3-диизопропиламино-1-фенилпропил)-4-(пент-4-еноилоксиметил)-фениловый эфир ( )-пент-4-еновой кислоты.
18. Способ получения сложных моноэфиров фенола, представленных общей формулой II![]() таких, как определено в п.3, при котором соединение формулы ![]() обрабатывают эквивалентом ацилирующего агента, выбранного из ![]() где LG представляет собой уходящую группу, выбранную из галогенида, карбоксилата и имидазолида; R1 является таким, как определено в п.3, в инертном растворителе в присутствии конденсирующего агента. 19. Способ получения сложных моноэфиров фенола, представленных общей формулой II’ ![]() таких, как определено в п.3, при котором два эквивалента соединения формулы ![]() обрабатывают ацилирующим агентом, выбранным из ![]() или ![]() где Наl представляет собой атом галогена. 20. Способ получения идентичных сложных диэфиров, представленных общей формулой III ![]() таких, как определено в п.5, при котором соединение формулы ![]() обрабатывают по меньшей мере двумя эквивалентами ацилирующего агента, такого, как определено в п.18. 21. Способ получения сложных бензиловых моноэфиров, представленных общей формулой V ![]() таких, как определено в п.9, при котором соединение формулы ![]() обрабатывают при комнатной температуре и в безводных условиях активированными сложными эфирами в присутствии ферментов, выбранных из липаз и эстераз. 22. Способ получения смешанных сложных диэфиров, представленных общей формулой IV ![]() таких, как определено в п.7, при котором ацилируют сложный бензиловый моноэфир, представленный общей формулой V ![]() такой, как определено в п.9, или сложный моноэфир фенола, представленный формулой II, такой, как определено в п.3. 23. Способ получения простых эфиров, представленных общей формулой VI ![]() таких, как определено в п.11, где R11 представляет собой водород, при котором соединение формулы ![]() подвергают взаимодействию со спиртом R10-OH в присутствии катализатора этерификации. 24. Способ получения простых эфиров, представленных общей формулой VI ![]() где R10 и R11 являются такими, как определено в п.11, при котором свободные бензиловые спирты, выбранные из ![]() или ![]() ![]() ![]() где R10 представляет собой водород; R11 является таким, как определено в п.11, или ![]() где R12 представляет собой водород; R13 представляет собой С1-С6алкоксикарбонильную группу или ![]() где R4 и R5 являются такими, как определено в п.1, или бензиловые продукты ацилирования, выбранные из ![]() ![]() ![]() где R1 и R2 являются такими, как определено в п.7, подвергают кислотной или щелочной обработке в присутствии подходящих гидроксиреагентов. 25. Способ получения простых эфиров формулы VI, таких, как определено в п.11, при котором соединение формулы ![]() обрабатывают алкилирующим агентом, выбранным из алкилгалогенидов, алкилсульфатов и алкилтрифлатов, причем указанная алкильная группа имеет от 1 до 6 атомов углерода. 26. Способ получения карбонатов и карбаматов, представленных общими формулами VII и VIII ![]() ![]() таких, как определено в п. 13, при котором соединение, выбранное из группы, состоящей из: ![]() ![]() ![]() ![]() ![]() ![]() где R1 является таким, как определено в п.3; n является числом от 0 до 12; Вn представляет собой бензил; один из R10 или R11 представляет собой водород, а другой из них является таким, как определено в п.11, подвергают взаимодействию с активированными карбонильными соединениями или реагентами, которые являются предшественниками карбонильных соединений, выбранными из галогеноформиатов, кетенов, активированных сложных эфиров, смешанных ангидридов органических или неорганических кислот, изоцианатов и изотиоцианатов. 27. 3,3-Дифенилпропиламины по пп.1-17, обладающие свойствами антимускариновых агентов. 28. Фармацевтическая композиция, обладающая антимускариновой активностью, содержащая 3,3-дифенилпропиламин по пп.1-17 и совместимый фармацевтический носитель. 29. Фармацевтическая композиция по п.28, которая представляет собой препарат в форме пластыря. 30. 3,3-Дифенилпропиламины по пп.1-17 для применения для приготовления антимускаринового лекарства. РИСУНКИ
|
||||||||||||||||||||||||||










)-уксусной кислоты,



-D-глюкуронозилоксиметил)-фенола.
13. 3,3-Дифенилпропиламины по п.2, выбранные из карбонатов и карбаматов, представленных общими формулами VII и VIII







































