Патент на изобретение №2198872
|
||||||||||||||||||||||||||
(54) ЗАМЕЩЕННЫЕ БЕНЗОЛСУЛЬФОНИЛМОЧЕВИНЫ И -ТИОМОЧЕВИНЫ, СПОСОБ ИХ ПОЛУЧЕНИЯ, СОДЕРЖАЩАЯ ИХ ФАРМАЦЕВТИЧЕСКАЯ КОМПОЗИЦИЯ И СПОСОБ ЕЕ ПОЛУЧЕНИЯ
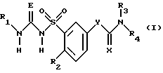
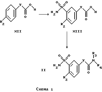
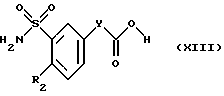
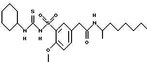
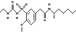
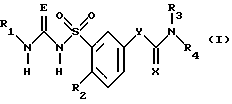
(57) Реферат: Изобретение относится к новым замещенным бензолсульфонилмочевинам или -тиомочевинам формулы I, а также к их фармацевтически приемлемым солям, способу их получения, содержащей их фармацевтической композиции и способу ее получения. Предлагаемые согласно изобретению замещенные бензолсульфонилмочевины или -тиомочевины обладают противоаритмической активностью, аналогичной активности глибенкламида, но при этом проявляют меньшее воздействие на содержание сахара в крови при использовании их в эффективных дозах. В соединениях формулы I R1 означает водород, С1-7-алкил, С3-7-циклоалкил; R2 означает водород, C1-6-алкоксил; R3, R4 каждый независимо означает водород, С1-12-алкил, С3-10-циклоалкил; Е означает кислород или серу; Х означает кислород; Y означает (CR5R5′)m, где R5, R5′ означают водород, m = 1, 2, 3. Предлагается способ получения соединения формулы I, где Е означает серу, получают путем взаимодействия бензолсульфонилтиомочевины формулы II или его соли III с тиоизоцианатом формулы IV, в которых R1, R2, R3, R4, Х и Y имеют вышеуказанные значения, а М означает катион щелочного или щелочно-земельного металла. Фармацевтическая композиция содержит в качестве активного вещества эффективное количество соединения формулы I или его фармацевтически приемлемой соли и фармацевтически приемлемые добавки. Композицию получают смешением эффективного количества соединения формулы I или его фармацевтически приемлемой соли вместе с по меньшей мере одним носителем или вспомогательным веществом до пригодной дозировочной формы. 4 с. и 5 з.п. ф-лы, 2 табл. ![]() ![]() ![]() R1-N=C=S IV Изобретение относится к замещенным бензолсульфонилмочевинам и -тиомочевинам формулы (I) ![]() R1 означает водород, С1-7-алкил, С3-7-циклоалкил, R2 означает водород, С1-6-алкоксил, R3, R4 каждый независимо означает водород, С1-12-алкил, С3-10-циклоалкил, Е означает кислород или серу, Х означает кислород, Y означает (CR5 R5′)m, где R5, R5′ означают водород, m = 1, 2, 3, а также к их фармацевтически приемлемым солям. Понятие “алкил” описывает, если не указано ничего другого, линейные или разветвленные насыщенные углеводородные остатки. Циклоалкильный остаток дополнительно может содержать алкильные заместители. В качестве галоидного заместителя используют элементы фтор, хлор, бром и иод. Далее, могут встречаться соединения с хиральными центрами в алкильных цепях Y, R3 и R4. В этом случае к изобретению относятся как отдельные антиподы сами по себе, так и также смесь обоих энантиомеров в различных соотношениях, а также относящиеся сюда же мезосоединения или смеси из мезосоединений, энантиомеров или диастереомеров. Подобные сульфонилмочевины известны из выложенного описания изобретения к неакцептованной заявке на патент ФРГ 198354. В нем описываются снижающие сахара в крови (гипогликемические) активности сульфонилмочевин. В качестве прототипа таких снижающих содержание сахара в крови сульфонилмочевин считается Глибенкламид, который применяют в качестве средства для лечения терапевтически сахарного диабета и который служит в науке пользующимся большим успехом “инструментом” для исследования так называемых АТФ-чувствительных калиевых каналов. Наряду со своим гипогликемическим действием Глибенкламид обладает еще другими действиями, которые до сих пор терапевтически еще не могут использоваться, однако которые все вместе сводятся к блокированию именно этих АТФ-чувствительных калиевых каналов. К этому же относится в особенности антифибриллярное действие на сердце. При лечении мерцания желудочков сердца или его предстадий, однако одновременное снижение содержания сахара в крови нежелательно или даже опасно, так как оно может далее ухудшать состояние пациента. Задачей настоящего изобретения поэтому является синтезирование соединений, которые обладают таким же хорошим воздействием на сердце, как Глибенкламид, однако не влияют или отчетливо меньше влияют на содержание сахара в крови в эффективных для сердца дозах или концентрациях, чем Глибенкламид. В качестве подопытных животных для обнаружения таких действий пригодны, например, мыши, крысы, морские свинки, кролики, собаки, обезьяны или свиньи. Соединения формулы (I) служат в качестве биологически активных веществ лекарственных средств в медицине человека и ветеринарии. Далее, их можно применять в качестве промежуточных продуктов для получения других биологически активных веществ лекарственных средств. Предпочтительны соединения формулы (I), в которых: R1 обозначает водород, алкил с 1, 2, 3, 4, 5, 6 или 7 С-атомами, циклоалкил с 3, 4, 5, 6 или 7 С-атомами, R2 обозначает водород, алкоксил с 1, 2, 3, 4, 5 или 6 С-атомами, R3 и R4 являются одинаковыми или разными и обозначают водород, Е обозначает кислород или серу, Х обозначает кислород или серу, Y обозначает (СR5 R5′)m, где m = 1, 2, 3, a R5 и R5′ независимо друг от друга обозначают водород, а также их фармацевтически приемлемые соли. Особенно предпочтительны соединения формулы (I), в которых: R1 обозначает водород, алкил с 1-4 С-атомами, циклоалкил с 3-7 С-атомами, R2 обозначает алкоксил с 1-4 С-атомами, R3 и R4 являются одинаковыми или разными и обозначают водород, Е обозначает кислород или серу, Х обозначает кислород или серу, Y обозначает (СR5 R5′)m, где R5 и R5′ независимо друг от друга обозначают водород, m = 1, 2, 3 или 4, а также их фармацевтически приемлемые соли. Особенно предпочтительны соединения формулы (I), в которых: R1 обозначает водород, алкил с 1-4 С-атомами, циклоалкил с 3 или 4 С-атомами, R2 обозначает метокси- или этоксигруппу, R3 и R4 являются одинаковыми или разными и обозначают водород, алкил с 4, 5, 6, 7 или 8 С-атомами, циклоалкил с 3-6 С-атомами, Е обозначает серу или кислород, Х обозначает кислород, Y обозначает (СR5R5′)m, где R5 и R5′ обозначают водород m = 1 или 2, а также их фармацевтически приемлемые соли. Также особенно предпочтительны соединения формулы (I), в которых: R1 обозначает водород, алкил с 1, 2 или 3 С-атомами или циклоалкил с 3 С-атомами, R2 обозначает метокси- или этоксигруппу, R3 и R4 являются одинаковыми или разными и обозначают водород, алкил с 5, 6, 7 или 8 С-атомами, циклоалкил с 5 или 6 С-атомами, Е обозначает кислород или серу, Х обозначает кислород, Y обозначает (СR5R5′ )m, где R5 и R5′ независимо друг от друга обозначают водород, m = 1 или 2, а также их фармацевтически приемлемые соли. Далее, особенно предпочтительны соединения формулы (I) в которых: R1 обозначает водород, алкил с 1, 2 или 3 С-атомами или циклоалкил с 3 С-атомами, R2 обозначает метокси- или этоксигруппу, R3 обозначает водород, R4 обозначает алкил с 5-8 С-атомами, циклоалкил с 5 или 6 С-атомами, Е обозначает серу или кислород, Х обозначает кислород, Y обозначает (СR5R5′)m, где R5 и R5′ независимо друг от друга обозначают водород, m = 1 или 2, а также их фармацевтически приемлемые соли. Соединения формулы (I) настоящего изобретения являются ценными лекарственными средствами для лечения нарушений сердечного ритма самого различного генеза и для предотвращения обусловленной аритмией скоропостижной смерти от остановки сердца и поэтому могут найти применение в качестве антиаритмических средств. Примерами аритмических нарушений сердца являются суправентрикулярные нарушения ритма, как например тахикардии предсердия, мерцания предсердия или пароксизмальные суправентрикулярные нарушения ритма, или вентрикулярные нарушения ритма, как вентрикулярные экстрасистолы, в особенности, однако, угрожающие жизни вентрикулярные тахикардии или особенно опасное мерцание желудочков сердца. Они пригодны в особенности для таких случаев, в которых аритмии являются следствием сужения коронарного сосуда, как это, например, имеет место в случае стенокардии или во время острого инфаркта сердца или как хроническое последствие инфаркта сердца. Поэтому они в особенности пригодны в случае постинфрактных пациентов для предотвращения скоропостижной смерти от остановки сердца. Другими картинами заболеваний, где играют роль такого рода нарушения ритма и/или скоропостижная, обусловленная аритмией, смерть от остановки сердца, являются, например, сердечная недостаточность или гипертрофия сердца как следствие хронически повышенного кровяного давления. Сверх того, соединения формулы (I) могут положительно влиять на уменьшенную сократимость сердца. При этом речь может идти об обусловленном заболеванием уменьшении (ослаблении) сокращаемости сердца, например, при сердечной недостаточности, однако также о критических случаях, как падение сердечной деятельности при шоковых воздействиях. Точно так же при трансплантации сердца сердце после осуществленной операции может снова быстрее и надежнее устанавливать свою функциональную способность. То же самое имеет значение для операций на сердце, которые требуют временного прекращения сердечной активности за счет вызывающих кардиоплегию растворов, причем соединения могут применяться как для защиты органов, например, при обработке с помощью физиологических жидкостей или при их хранении в физиологических жидкостях, так также при переносе в организм реципиента. Изобретение относится, далее, к способу получения соединений формулы (I). Можно поступать таким образом, что (а) сульфонамид формулы (II) ![]() или его соль формулы (III) ![]() вводят во взаимодействие с R1-замещенным изоцианатом формулы IV R1-N=С=O (IV), где R1, R2, R3, R4, X, Y и M имеют указанные в п.1 формулы изобретения значения, с получением замещенной бензолсульфонилмочевины формулы (IА). В качестве катионов М в солях формулы (III) принимают во внимание ионы щелочных и щелочно-земельных металлов. Эквивалентно R1-замещенным изоцианатам формулы (IV) можно использовать R1-замещенные сложные эфиры карбаминовой кислоты, R1-замещенные галоидангидриды карбаминовой кислоты или R1-замещенные мочевины, (б) бензосульфонилмочевину формулы (Iа) ![]() можно получать из ароматического бензолсульфонамида формулы (II) или его соли формулы (III) с R1-замещенным трихлорацетамидом формулы (V) Cl3C – С (С=O) NH-R1, (V) в присутствии основания и в инертном растворителе, согласно Suhthesis, 1987, 734-735, при температурах 25-150oС. В качестве оснований пригодны, например, гидроксиды или также алкоголяты щелочных или щелочно-земельных металлов, как гидроксид натрия, гидроксид калия, гидроксид кальция, метилат натрия, метанолят натрия, метилат калия или метанолят калия. В качестве инертных растворителей пригодны простые эфиры, как тетрагидрофуран, диоксан, этиленгликольдиметиловый простой эфир (диглим); нитрилы, как ацетонитрил; амиды, как диметилформамид (ДМФ) или N-метилпирролидон (N МР); гексаметилтриамид фосфорной кислоты; сульфоксиды, как ДМСО; сульфоны, как сульфолан; углеводороды, как бензол, толуол, ксилолы. Далее, пригодны также смеси этих растворителей друг с другом, (в) бензосульфонилтиомочевину формулы (Ib) ![]() получают из бензосульфонамида формулы (II), а также его соли формулы (III) и R1-замещенного тиоизоцианата формулы (VI) R1 – N = С = S, (VI), (г) бензосульфонилмочевину формулы (Ia) можно получать путем реакции превращения бензосульфонилтиомочевины формулы (Ib). Замену атома серы на атом кислорода в соответственно замещенной бензолсульфонилтиомочевине формулы (Ib) можно осуществлять, например, с помощью оксидов или солей тяжелых металлов или также за счет применения оксилителей, как пероксид водорода, пероксид натрия или азотная кислота. Тиомочевины можно также обессеривать за счет обработки с помощью фосгена или пентахлорида фосфора. В качестве промежуточных соединений получают амидины хлормуравьиной кислоты, соответственно карбодиимиды, которые, например, путем омыления или присоединения воды переводят в соответствующие замещенные бензосульфонилмочевины формулы (Ia). Изотиомочевины при обессеривании ведут себя как и тиомочевины и вследствие этого могут служить точно так же в качестве исходных веществ для этих реакций, (д) бензолсульфонилмочевину формулы (Iа) можно получать путем взаимодействия амина формулы R1– NН2 с бензолсульфонилизоцианатом формулы (VII) ![]() Точно также амин R1 – NН2 вводить во взаимодействие со сложным эфиром бензосульфонилкарбаминовой кислоты, галоидангидридом бензосульфонилкарбаминовой кислоты или бензолсульфонилмочевиной формулы (Ia) (с R1 = Н) с получением соединения формулы (Iа), (е) бензолсульфонилтиомочевину формулы (Ib) можно получать путем взаимодействия амина формулы R1 – NН2 с бензолсульфонилтиоцианатом формулы (VIII) ![]() (ж) бензолсульфонилмочевину формулы (Iа) можно получать из бензосульфонилмочевины формулы (IX) ![]() и R3 R4 NH с помощью дегидратирующих средств или посредством активирования с помощью галоидангидридов карбоновых кислот, соответственно, посредством образования смешанных ангидридов. В качестве дегидратирующих средств можно использовать любые соединения, пригодные для получения амидных связей, как например дициклогексилкарбодиимид, карбонилбисимидазол, ангидрид пропанфосфорной кислоты. В качестве растворителей находят применение инертные апротонные растворители, как ТГФ, ДМФ, диэтиловый эфир, дихлорметан, а также смеси этих растворителей, (з) бензосульфонилтиомочевину формулы (Ib) можно получать из бензосульфонилтиомочевины формулы (X) ![]() и R3 R4 NН с помощью дегидратирующих средств или посредством активирования с помощью галоидангидридов карбоновых кислот соответственно, посредством образования смешанных ангидридов. В качестве дегидратирующих средств можно использовать любые соединения, пригодные для получения амидных связей, как например дициклогексилкарбодиимид, карбонилбисимидазол, ангидрид пропанфосфорной кислоты. В качестве растворителей находят применение инертные апротонные растворители, как ТГФ, ДМФ, диэтиловый эфир, дихлорметан, а также смеси этих растворителей. Соединения формулы (I), а также их физиологически приемлемые соли являются ценными терапевтическими средствами, которые пригодны не только в качестве антиаритмических средств, но и также в качестве профилактических средств при нарушениях сердечно-сосудистой системы, сердечной недостаточности, трансплантации сердца или в случае церебральных сосудистых заболеваний у людей или млекопитающих (например, как обезьяны, собаки, мыши, крысы, кролики, морские свинки и кошки). Под физиологически приемлемыми солями соединений формулы (I) понимают согласно Remmington’s Pharmaceutical Science, 17-е издание, 1985, с. 14-18, соединения формулы (XI) ![]() которые можно получать из нетоксичных органических или неорганических оснований и бензосульфонилмочевин формулы (I). При этом предпочтительные соли, в которых М в формуле (XI) обозначает ионы натрия, калия, рубидия, кальция, магния, а также продукты присоединения основных аминокислот, как например лизин или аргинин. Исходные соединения для упомянутых способов синтеза бензосульфонилмочевин формулы (I) получают известными методами, которые описаны в литературе (например, в стандартных работах, как Губен-Вейл, Методы органической химии, изд. Georg Thieme, Штутгарт, Органические реакции, John Wiley and Sons, Inc. Нью-Йорк, а также в вышеуказанных патентных заявках), а именно при реакционных условиях, которые известны и пригодны для указанных взаимодействий. При этом можно таже использовать сами по себе известные, однако здесь подробнее не упомянутые варианты. Исходные вещества в желательном случае также можно получать in situ, таким образом, что их не выделяют из реакционной смеси, а тотчас вводят во взаимодействие далее. Так, пригодным образом замещенную карбоновую кислоту формулы (XII) согласно схеме 1 можно подвергать галогенсульфированию и полученный путем последующего аммонолиза сульфонамид формулы (ХIII) вводить во взаимодействие с соответствующим амином R3 R3 NH, после активирования группы карбоновой кислоты, с получением амида карбоновой кислоты формулы (II) ![]() В качестве методов активирования пригодно получение хлорангидрида карбоновой кислоты или смешанных ангидридов карбоновых кислот с помощью галоидангидридов муравьиной кислоты. Далее, можно применять известные для получения амидной связи реагенты, как например карбонил-бисимидазол, дициклогексилкарбодиимид и ангидрид пропанфосфорной кислоты. Получаемые в схеме 1 в качестве промежуточных продуктов сульфонамиды формулы (XIII) ![]() можно вводить во взаимодействие с соответствующими изоцианатами формулы R1 – N = С = Х с получением бензолсульфонилмочевино-карбоновых кислот формулы (ХIV) ![]() Соединения формулы (I) могут иметь один или несколько хиральных центров. Поэтому при их получении они могут образовываться в виде рацематов или, если применяют оптически активные исходные вещества, также в оптически активной форме. Если соединения содержат два или более хиральных центров, то при синтезе они могут образовываться в виде смесей рацематов, из которых можно выделять в чистой форме отдельные изомеры, например, путем перекристаллизации из инертных растворителей. Полученные рацематы, если желательно, можно разделять само по себе известными методами, механически или химически, на их энантиомеры. Так, из рацемата путем введения во взаимодействие с оптически активным разделяющим средством могут образовываться диастереомеры. В качестве разделяющих средств для основных соединений пригодны, например, оптически активные кислоты, как R-, соответственно, R, R- и S-, соответственно, S, S-формы винной кислоты, дибензоилвинной кислоты, диацетилвинной кислоты, камфорсульфокислот, миндальных кислот, яблочной кислоты или молочной кислоты. Далее, карбинолы можно амидировать с помощью хиральных ацилирующих реагентов, например R- или S- -метилбензил-изоцианата, и затем разделять. Различные формы диастереомеров можно разделять известным образом, например, путем фракционной кристаллизации, и энантиомеры формулы (I) можно известным образом высвобождать из диастереомеров. Разделения энантиомеров, далее, достигают путем хроматографии на оптически активных носителях.
Предлагаемые согласно изобретению соединения формулы (I) и их физиологически приемлемые соли можно применять для приготовления фармацевтических композиций. При этом их вместе по меньшей мере с одним твердым, жидким носителем или вспомогательным веществом, индивидуально или в комбинации с другими, активными в отношении круга кровообращения сердца, лекарственными средствами, как например антагонисты кальция, NO-доноры или АСЕ-ингибиторы, можно доводить до пригодной дозировочной формы. Эти композиции можно применять в качестве лекарственных средств в медицине или ветеринарии. В качестве носителей принимают во внимание органические или неорганические вещества, которые пригодны для кишечного (например, орального), парентерального, как например внутривенного, введения, или для топических применений и не реагируют с новыми соединениями, например, как вода, растительные масла, бензиловые спирты, полиэтиленгликоли, глицеринтриацетат, желатина, углеводы, как лактоза или крахмал, стеарат магния, тальк, ланолин, вазелины. Для орального применения служат в особенности таблетки, драже, капсулы, сиропы, соки или капли; для ректального применения служат растворы, предпочтительно масляные или водные растворы, далее, суспензии, эмульсии или имплантаты; для топического применения служат мази, кремы, пасты, лосьоны, гели, пульверизуемые препараты, пены, аэрозоли, растворы (например, в спиртах, как этанол или изопропанол, ацетонитриле, пропан-1,2-диоле или их смесях друг с другом или с водой) или порошки. Соединения формулы (I) также можно лиофилизировать и полученные лиофилизаты применять, например, для приготовления препаратов для инъекций. В особенности для топического применения принимают во внимание также липосомальные композиции, которые содержат стабилизаторы и/или смачиватели, эмульгаторы, соли и/или вспомогательные вещества, как смазки, консерванты, стабилизаторы и/или смачиватели, эмульгаторы, соли для влияния на осмотическое давление, буферные вещества, красители и вкусовые и/или ароматические вещества. Если желательно, они могут также содержать одно или несколько других биологически активных веществ, например один или несколько витаминов.
Дозировки, которые необходимы для лечения нарушений сердечного ритма с помощью соединений формулы (I), зависят от того, лечат ли для профилактики или в острых (критических) случаях. Обычно принимают во внимание область доз примерно по меньшей мере от 0,1 мг, предпочтительно по меньшей мере от 1 мг, до самое болышее 100 мг, предпочтительно самое большее 10 мг на 1 кг и в день, когда осуществляют профилактику. Предпочтителен диапазон доз 1-10 мг на 1 кг и в день. При этом дозу можно вводить в виде оральной или парентеральной разовой дозы или разделять вплоть до 4 разовых доз. Если лечат острые случаи нарушений сердечного ритма, например, в интенсивной терапии, то может быть предпочтительным парентеральное введение. Предпочтительная область доз в критических ситуациях тогда может составлять предпочтительно 10-100 мг и эти дозы могут вводиться, например, в виде внутривенного продолжительного вливания.
Согласно изобретению, кроме описанных в примерах осуществления соединений, также можно получать представленные в следующей таблице соединения формулы (I):(1) N-метиламид 3-сульфониламино-N-(метиламинокарбонил)-4-метоксифенил- уксусной кислоты, (2) N-этиламид 3-сульфониламино-N-(метиламинокарбонил)-4-метоксифенил-уксусной кислоты, (3) N-1-пропиламид 3-сульфониламино- N-(метиламинокарбонил) -4-метоксифенил-уксусной кислоты, (4) N-2-пропиламид 3-сульфониламино-N-(метиламинокарбонил) -4-метоксифенил-уксусной кислоты, (5) N-1-бутиламид 3-сульфониламино-N-(метиламинокарбонил) -4-метоксифенил-уксусной кислоты, (6) N-2-бутиламид 3 сульфониламино-N-(метиламинокарбонил) -4-метоксифенил-уксусной кислоты, (7) N-1-пентиламид 3-сульфониламино-N-(метиламинокарбонил) -4-метоксифенил-уксусной кислоты, (8) N-2-пентиламид 3-сульфониламино-N-(метиламинокарбонил) -4-метоксифенил-уксусной кислоты, (9) N-3-пентиламид 3-сульфониламино-N-(метиламинокарбонил) -4-метоксифенил-уксусной кислоты, (10) N-1-бутил 2-метиламид 3-сульфониламино-N-(метиламинокарбонил) -4-метоксифенил-уксусной кислоты, (11) N-1-бутил 3-метиламид 3-сульфониламино-N-(метиламинокарбонил) -4-метоксифенил уксусной кислоты, (12) N-1-гексиламид 3-сульфониламино-N-(метиламинокарбонил) -4-метоксифенил-уксусной кислоты, (13) N-2-гексиламид 3-сульфониламино-N -(метиламинокарбонил) -4-метоксифенил-уксусной кислоты, (14) N-3-гексиламид 3-сульфониламино-N-(метиламинокарбонил)-4 -метоксифенил-уксусной кислоты, (15) N-1-гептиламид 3-сульфониламино-N-(метиламинокарбонил) -4-метоксифенил-уксусной кислоты, (16) N-2-гептиламид 3-сульфониламино-N-(метиламинокарбонил) -4-метоксифенил-уксусной кислоты, (17) N-3-гептиламид 3-сульфониламино-N-(метиламинокарбонил) -4-метоксифенил-уксусной кислоты, 18) N-1-октиламид 3-сульфониламино-N-(метиламинокарбонил) -4-метоксифенил-уксусной кислоты, (19) N-2-октиламид 3-сульфониламино-N-(метиламинокарбонил) -4-метоксифенил-уксусной кислоты, (20) N-1-адамантиламид 3-сульфониламино-N-(метиламинокарбонил) -4-метоксифенил-уксусной кислоты, (21) N-2-адамантиламид 3-сульфониламино-N-(метиламинокарбонил) -4-метоксифенил-уксусной кислоты, (22) N-диметиламид 3-сульфониламино-N-(метиламинокарбонил) -4-метоксифенил-уксусной кислоты, (23) N-метил-N’-этиламид 3-сульфониламино-N-(метиламинокарбонил) -4-метоксифенил-уксусной кислоты, (24) N-метил-N’-1-пропиламид 3-сульфониламино-N-(метиламинокарбонил) -4-метоксифенил-уксусной кислоты, (25) N-метил-N’-2-пропиламид 3-сульфониламино-N -(метиламинокарбонил) -4-метоксифенил-уксусной кислоты, (26) N-метил-N’-1-бутиламид 3-сульфониламино-N-(метиламинокарбонил) -4-метоксифенил-уксусной кислоты, (27) N-метил-N’-2-бутиламид 3-сульфониламино-N-(метиламинокарбонил) -4-метоксифенил-уксусной кислоты, (28) N-диэтиламид 3-сульфониламино -N-(метиламинокарбонил)-4-метоксифенил-уксусной кислоты, (29) N-этил-N’-1-пропиламид 3-сульфониламино-N-(метиламинокарбонил) -4-метоксифенил-уксусной кислоты, (30) N-этил-N’-2-пропиламид 3-сульфониламино-N-(метиламинокарбонил) -4-метоксифенил-уксусной кислоты, (31) пирролидинамид 3-сульфониламино-N-(метиламинокарбонил) -4-метоксифенил-уксусной кислоты, (32) пиперидиламид 3-сульфониламино-N-(метиламинокарбонил) -4-метоксифенил-уксусной кислоты, (33) морфолиноамид 3-сульфониламино-N-(метиламинокарбонил) -4-метоксифенил-уксусной кислоты, (34) (N-метил-пиперазинил)-амид 3-сульфониламино-N-(метиламинокарбонил) -4-метоксифенил-уксусной кислоты, (35) 4-тио-морфолиниламид 3-сульфониламино-N-(метиламинокарбонил) -4-метоксифенил-уксусной кислоты, (36) N-метиламид 3-сульфониламино-N-(метиламинотиокарбонил) -4-метоксифенил-уксусной кислоты, (37) N-этиламид 3-сульфониламино-N-(метиламинотиокарбонил)- 4-метоксифенил-уксусной кислоты, (38) N-1-пропиламид 3-сульфониламино-N-(метиламинотиокарбонил) -4-метоксифенил-уксусной кислоты, (39) N-2-пропиламид 3-сульфониламино-N-(метиламинотиокарбонил) -4-метоксифенил-уксусной кислоты, (40) N-1-бутиламид 3-сульфониламино-N-(метиламинотиокарбонил) -4-метоксифенил-уксусной кислоты, (41) N-2-бутиламид 3-сульфониламино-N-(метиламинотиокарбонил) -4-метоксифенил-уксусной кислоты, (42) N-1-пентиламид 3-сульфониламино-N-(метиламинотиокарбонил) -4-метоксифенил-уксусной кислоты, (43) N-2-пентиламид 3-сульфониламино-N-(метиламинотиокарбонил) -4-метоксифенил-уксусной кислоты, (44) N-3-пентиламид 3-сульфониламино-N-(метиламинотиокарбонил) -4-метоксифенил-уксусной кислоты, (45) N-1-бутил-2-метиламид 3-сульфониламино-N-(метиламинотиокарбонил) -4-метоксифенил-уксусной кислоты, (46) N-1-бутил-3-метиламид 3-сульфониламино-N-(метиламинотиокарбонил) -4-метоксифенил-уксусной кислоты, (47) N-1-гексиламид 3-сульфониламино-N-(метиламинотиокарбонил) -4-метоксифенил-уксусной кислоты, (48) N-2-гексиламид 3-сульфониламино-N-(метиламинотиокарбонил) -4-метоксифенил-уксусной кислоты, (49) N-3-гексиламид 3-сульфониламино-N-(метиламинотиокарбонил) -4-метоксифенил-уксусной кислоты, (50) N-1-гептиламид 3-сульфониламино-N-(метиламинотиокарбонл) -4-метоксифенил-уксусной кислоты, (51) N-2-гептиламид 3-сульфониламино-N-(метиламинотиокарбонил) -4-метоксифенил-уксусной кислоты, (52) N-3-гептиламид 3-сульфониламино-N-(метиламинотиокарбонил) -4-метоксифенил-уксусной кислоты, (53) N-1-октиламид 3-сульфониламино-N-(метиламинотиокарбонил) -4-метоксифенил-уксусной кислоты, (54) N-2-октиламид 3-сульфониламино-N-(метиламинотиокарбонил) -4-метоксифенил-уксусной кислоты, (55) N-1-адамантиламид 3-сульфониламино-N-(метиламинотиокарбонил) -4-метоксифенил-уксусной кислоты, (56) N-2-адамантиламид 3-сульфониламино-N-(метиламинотиокарбонил) -4-метоксифенил-уксусной кислоты, (57) N-диметиламид 3-сульфониламино-N-(метиламинотиокарбонил) -4-метоксифенил-уксусной кислоты, (58) N-метил-N’-этиламид 3-сульфониламино-N-(метиламинотиокарбонил) -4-метоксифенил-уксусной кислоты, (59) N-метил-N’-1-пропиламид 3-сульфониламино-N-(метиламинотиокарбонил) -4-метоксифенил-уксусной кислоты, (60) N-метил-N’-2-пропиламид 3-сульфониламино-N-(метиламинотиокарбонил) -4-метоксифенил-уксусной кислоты, (61) N-метил- N’-1-бутиламид 3-сульфониламино-N-(метиламинотиокарбонил) -4-метоксифенил-уксусной кислоты, (62) N-метил-N’-2-бутиламид 3-сульфониламино- N -(метиламинотиокарбонил) -4-метоксифенил-уксусной кислоты, (63) N-диэтиламид 3-сульфониламино-N-(метиламинотио-карбонил) -4-метоксифенил-уксусной кислоты, (64) N-этил-N’-1-пропиламид 3-сульфониламино-N-(метил-аминотиокарбонил) -4-метоксифенил-уксусной кислоты, (65) N-этил-N’-2-пропиламид 3-сульфониламино-N-(метил-аминотиокарбонил) -4-метоксифенил-уксусной кислоты, (66) пирролидиниламид 3-сульфониламино-N-(метиламинотио-карбонил) -4-метоксифенил-уксусной кислоты, (67) пиперидиламид 3-сульфониламино-N-(метиламинотиокарбонил) -4-метоксифенил-уксусной кислоты, (68) морфолиноамид 3-сульфониламино-N-(метиламинотио-карбонил) -4-метоксифенил-уксусной кислоты, (69) (N-метил-пиперазинил)-амид 3-сульфониламино-N-(метиламинотиокарбонил) -4-метоксифенил-уксусной кислоты, (70) 4-тиоморфолиниламид 3-сульфониламино-N-(метиламинотиокарбонил) -4-метоксифенил-уксусной кислоты, (71) N-метиламид 3-сульфониламино-N-(метиламинотикарбонил) -4-метоксифенил-пропионовой кислоты, (72) N-этиламид 3-сульфониламино-N-(метиламинокарбонил) -4-метоксифенил-пропионовой кислоты, (73) N-1-пропиламид 3-сульфониламино-N-(метиламинокарбонил) -4-метоксифенил-пропионовой кислоты, (74) N-2-пропиламид 3-сульфониламино-N-(метиламинокарбонил) -4-метоксифенил-пропионовой кислоты, (75) N-1-бутиламид 3-сульфониламино-N-(метиламинокарбонил) -4-метоксифенил-пропионовой кислоты, (76) N-2-бутиламид 3-сульфониламино-N-(метиламинокарбонил) -4-метоксифенил-пропионовой кислоты, (77) N-1-пентиламид 3-сульфониламино-N-(метиламинокарбонил) -4-метоксифенил-пропионовой кислоты, (78) N-2-пентиламид 3-сульфониламино-N-(метиламинокарбонил) -4-метоксифенил-пропионовой кислоты, (79) N-3-пентиламид 3-сульфониламино-N-(метиламинокарбонил) -4-метоксифенил-пропионовой кислоты, (80) N-1-бутил-2-метиламид 3-сульфониламино-N-(метил-аминокарбонил) -4-метоксифенил-пропионовой кислоты, (81) N-1-бутил-3-метиламид 3-сульфониламино-N-(метил-аминокарбонил) -4-метоксифенил-пропионовой кислоты, (82) N-1-гексиламид 3-сульфониламино-N-(метиламинокарбонил) -4-метоксифенил-пропионовой кислоты, (83) N-2-гексиламид 3-сульфониламино-N-(метиламинокарбонил) -4-метоксифенил-пропионовой кислоты, (84) N-3-гексиламид 3-сульфониламино-N-(метиламинокарбонил) -4-метоксифенил-пропионовой кислоты, (85) N-1-гептиламид 3-сульфониламино-N-(метиламинокарбонил) -4-метоксифенил-пропионовой кислоты, (86) N-2-гептиламид 3-сульфониламино-N-(метиламинокарбонил) -4-метоксифенил-пропионовой кислоты, (87) N-3-гептиламид 3-сульфониламино-N-(метиламинокарбонил) -4-метоксифенил-пропионовой кислоты, (88) N-1-октиламид 3-сульфониламино-N-(метиламинокарбонил) -4-метоксифенил-пропионовой кислоты, (89) N-2-октиламид 3-сульфониламино-N-(метиламинокарбонил) -4-метоксифенил-пропионовой кислоты, (90) N-1-адамантиламид 3-сульфониламино-N-(метиламинокарбонил) -4-метоксифенил-пропионовой кислоты, (91) N-2-адамантиламид 3-сульфониламино-N-(метиламинокарбонил) -4-метоксифенил-пропионовой кислоты, (92) N-диметиламид 3-сульфониламино-N-(метиламинокарбонил) -4-метоксифенил-пропионовой кислоты, (93) N-метил-N’-этиламид 3-сульфониламино-N-(метиламинокарбонил) -4-метоксифенил-пропионовой кислоты, (94) N-метил-N’-1-пропиламид 3-сульфониламино-N-(метиламинокарбонил) -4-метоксифенил-пропионовой кислоты, (95) N-метил-N’-2-пропиламид 3-сульфониламино-N-(метиламинокарбонил) -4-метоксифенил-пропионовой кислоты, (96) N-метил-N’-1-бутиламид 3-сульфониламино-N-(метиламинокарбонил) -4-метоксифенил-пропионовой кислоты, (97) N-метил-N’-2-бутиламид 3-сульфониламино-N-(метиламинокарбонил) -4-метоксифенил-пропионовой кислоты, (98) N-диэтиламид 3-сульфониламино-N-(метиламинокарбонил) -4-метоксифенил-пропионовой кислоты, (99) N-этил-N’-1-пропиламид 3-сульфониламино-N-(метиламинокарбонил) -4-метоксифенил-пропионовой кислоты, (100) N-этил-N’-2-пропиламид 3-сульфониламино-N-(метиламинокарбонил) -4-метоксифенил-пропионовой кислоты, (101) пирролидиниламид 3-сульфониламино-N-(метиламинокарбонил) -4-метоксифенил-пропионовой кислоты, (102) пиперидиламид 3-сульфониламино-N-(метиламинокарбонил) -4-метоксифенил-пропионовой кислоты, (103) морфолиноамид 3-сульфониламино-N-(метиламинокарбонил) -4-метоксифенил-пропионовой кислоты, (104) (N-метилпиперазинил)-амид 3-сульфониламино-N-(метиламинокарбонил) -4-метоксифенил-пропионовой кислоты, (105) 4-тиоморфолиниламид 3-сульфониламино-N-(метиламинокарбонил)-4-метоксифенил-пропионовой кислоты, (106) N-метиламид 3-сульфониламино-N-(метиламинотиокарбонил) -4-метоксифенил-пропионовой кислоты, (107) N-этиламид 3-сульфониламино-N-(метиламинотиокарбонил) -4-метоксифенил-пропионовой кислоты, (108) N-1-пропиламид 3-сульфониламино-N-(метиламинотиокарбонил) -4-метоксифенил-пропионовой кислоты, (109) N-2-пропиламид 3-сульфониламино-N-(метиламинотиокарбонил) -4-метоксифенил-пропионовой кислоты, (110) N-1-бутиламид 3-сульфониламино-N-(метиламинотиокарбонил) -4-метоксифенил-пропионовой кислоты, (111) N-2-бутиламид 3-сульфониламино-N-(метиламинотиокарбонил) -4-метоксифенил-пропионовой кислоты, (112) N-1-пентиламид 3-сульфониламино-N-(метиламинотиокарбонил) -4-метоксифенил-пропионовой кислоты, (113) N-2-пентиламид 3-сульфониламино-N-(метиламинотиокарбонил) -4-метоксифенил-пропионовой кислоты, (114) N-3-пентиламид 3-сульфониламино-N-(метиламинотиокарбонил) -4-метоксифенил-пропионовой кислоты, (115) N-1-бутил-2-метиламид 3-сульфониламино-N-(метиламинотиокарбонил) -4-метоксифенил-пропионовой кислоты, (116) N-1-бутил-3-метиламид 3-сульфониламино-N-(метиламинокарбонил) -4-метоксифенил-пропионовой кислоты, (117) N-1-гексиламид 3-сульфониламино-N-(метиламинокарбонил) -4-метоксифенил-пропионовой кислоты, (118) N-2-гексиламид 3-сульфониламино-N-(метиламинотиокарбонил) -4-метоксифенил-пропионовой кислоты, (119) N-3-гексиламид 3-сульфониламино-N-(метиламинотиокарбонил) -4-метоксифенил-пропионовой кислоты, (120) N-1-гептиламид 3-сульфониламино-N-(метиламинотиокарбонил) -4-метоксифенил-пропионовой кислоты, (121) N-2-гептиламид 3-сульфониламино-N-(метиламинотиокарбонил) -4-метоксифенил-пропионовой кислоты, (122) N-3-гептиламид 3-сульфониламино-N-(метиламинотиокарбонил) -4-метоксифенил-пропионовой кислоты, (123) N-1-октиламид 3-сульфониламино-N-(метиламинотиокарбонил) -4-метоксифенил-пропионовой кислоты, (124) N-2-октиламид 3-сульфониламино-N-(метиламинотиокарбонил) -4-метоксифенил-пропионовой кислоты, (125) N-1-адамантиламид 3-сульфониламино-N-(метиламинотиокарбонил) -4-метоксифенил-пропионовой кислоты, (126) N-2-адамантиламид 3-сульфониламино-N-(метиламинотиокарбонил) -4-метоксифенил-пропионовой кислоты, (127) N-диметиламид 3-сульфониламино-N-(метиламинотиокарбонил) -4-метоксифенил-пропионовой кислоты, (128) N-метил-N’-этиламид 3-сульфониламино-N-(метиламинотиокарбонил) -4-метоксифенил-пропионовой кислоты, (129) N-метил-N’-1-пропиламид 3-сульфониламино-N-(метиламинотиокарбонил) -4-метоксифенил-пропионовой кислоты, (130) N-метил-N’-2-пропиламид 3-сульфониламино-N-(метиламинотиокарбонил) -4-метоксифенил-пропионовой кислоты, (131) N-метил-N’-1-бутиламид 3-сульфониламино-N-(метиламинотиокарбонил) -4-метоксифенил-пропионовой кислоты, (132) N-метил-N’-2-бутиламид 3-сульфониламино-N-(метиламинотиокарбонил) -4-метоксифенил-пропионовой кислоты, (133) N-диэтиламид 3-сульфониламино-N-(метиламинотиокарбонил) -4-метоксифенил-пропионовой кислоты, (134) N-этил-N’-1-пропиламид 3-сульфониламино-N-(метиламинотиокарбонил) -4-метоксифенил-пропионовой кислоты, (135) N-этил-N’-2-пропиламид 3-сульфониламино-N-(метиламинотиокарбонил) -4-метоксифенил-пропионовой кислоты, (136) пирролидиниламид 3-сульфониламино-N-(метиламинотиокарбонил) -4-метоксифенил-пропионовой кислоты, (137) пиперидиламид 3-сульфониламино-N-(метиламинотиокарбонил) -4-метоксифенил-пропионовой кислоты, (138) морфолиноамид 3-сульфониламино-N-(метиламинотиокарбонил) -4-метоксифенил-пропионовой кислоты, (139) (N-метилпиперазинил)-амид 3-сульфониламино-N-(метиламинотиокарбонил) -4-метоксифенил-пропионовой кислоты, (140) 4-тиоморфолиниламид 3-сульфониламино-N-(метиламинотиокарбонил) -4-метоксифенил-пропионовой кислоты, (141) N-метиламид 3-сульфониламино-N-(метиламинотиокарбонил) -4-метилфенил-уксусной кислоты, (142) N-этиламид 3-сульфониламино-N-(метиламинотиокарбонил) -4-метилфенил-уксусной кислоты, (143) N-1-пропиламид 3-сульфониламино-N-(метиламинотиокарбонил) -4-метилфенил-уксусной кислоты, (144) N-2-пропиламид 3-сульфониламино-N-(метиламинотиокарбонил) -4-метилфенил-уксусной кислоты, (145) N-1-бутилбромид 3-сульфониламино-N-(метиламинотиокарбонил) -4-метилфенил-уксусной кислоты, (146) N-2-бутиламид 3-сульфониламино-N-(метиламинотиокарбонил) -4-метилфенил-уксусной кислоты, (147) N-1-пентиламид 3-сульфониламино-N -(метиламинотиокарбонил) -4-метилфенил-уксусной кислоты, (148) N-2-пентиламид 3-сульфониламино-N-(метиламинотиокарбонил) -4-метилфенил-уксусной кислоты, (149) N-3-пентиламид 3-сульфониламино-N-(метиламинотиокарбонил) -4-метилфенил-уксусной кислоты, (150) N-1-бутил-2-метиламид 3-сульфониламино-N-(метиламинотиокарбонил) -4-метилфенил-уксусной кислоты, (151) N-1-бутил-3-метиламид 3-сульфониламино-N-(метиламинотиокарбонил) -4-метилфенил-уксусной кислоты, (152) N-1-гексиламид 3-сульфонил-N-(метиламинотиокарбонил) -4-метилфенил-уксусной кислоты, (153) N-2-гексиламид 3-сульфониламино-N-(метиламинотиокарбонил) -4-метилфенил-уксусной кислоты, (154) N-3-гексиламид 3-сульфониламино-N-(метиламинотиокарбонил) -4-метилфенил-уксусной кислоты, (155) N-1-гептиламид 3-сульфониламино-N-(метиламинотиокарбонил) -4-метилфенил-уксусной кислоты, (156) N-2-гептиламид 3-сульфониламино-N-(метиламинотиокарбонил) -4-метилфенил-уксусной кислоты, (157) N-3-гептиламид 3-сульфониламино-N-(метиламинотиокарбонил) -4-метилфенил-уксусной кислоты, (158) N-1-октиламид 3-сульфониламино-N-(метиламинотиокарбонил) -4-метилфенил-уксусной кислоты, (159) N-2-октиламид 3-сульфониламино-N-(метиламинотиокарбонил) -4-метилфенил-уксусной кислоты, (160) N-1-адамантиламид 3-сульфониламино-N-(метиламинотиокарбонил) -4-метилфенил-уксусной кислоты, (161) N-2-адамантиламид 3-сульфониламино-N-(метиламинотиокарбонил) -4-метилфенил-уксусной кислоты, (162) N-диметиламид 3-сульфониламино-N-(метиламинотиокарбонил) -4-метилфенил-уксусной кислоты, (163) N-метил-N’-этиламид 3-сульфониламино-N-(метиламинотиокарбонил) -4-метилфенил-уксусной кислоты, (164) N-метил-N’-1-пропиламид 3-сульфониламино-N-(метиламинотиокарбонил) -4-метилфенил-уксусной кислоты, (165) N-метил-N’-2-пропиламид 3-сульфониламино-N-(метиламинотиокарбонил) -4-метилфенил-уксусной кислоты, (166) N-метил-N’-1-бутиламид 3-сульфониламино-N-(метиламинотиокарбонил) -4-метилфенил-уксусной кислоты, (167) N-метил-N’-2-бутиламид 3-сульфониламино-N-(метиламинотиокарбонил) -4-метилфенил-уксусной кислоты, (168) N-диэтиламид 3-сульфониламино-N-(метиламинотиокарбонил) -4-метилфенил-уксусной кислоты, (169) N-этил-N’-1-пропиламид 3-сульфониламино-N-(метиламинотиокарбонил) -4-метилфенил-уксусной кислоты, (170) N-этил-N’-2-пропиламид 3-сульфониламино-N-(метиламинотиокарбонил) -4-метилфенил-уксусной кислоты, (171) пирролидиниламид 3-сульфониламино-N-(метиламинотиокарбонил) -4-метилфенил-уксусной кислоты, (172) пиперидиламид 3-сульфониламино-N-(метиламинотиокарбонил) -4-метилфенил-уксусной кислоты, (173) морфолиноамид 3-сульфониламино-N-(метиламинотиокарбонил) -4-метилфенил-уксусной кислоты, (174) (N-метил-пиперазинил)амид 3-сульфониламино-N-(метиламинотиокарбонил) -4-метилфенил-уксусной кислоты, (175) 4-тиоморфолиниламид 3-сульфониламино- N-(метиламинотиокарбонил) -4-метилфенил-уксусной кислоты, (176) N-метиламид 3-сульфониламино-N-(метиламинотиокарбонил) -4-метилфенил-пропионовой кислоты, (177) N-этиламид 3-сульфониламино-N-(метиламинтиокарбонил) -4-метилфенил-пропионовой кислоты, (178) N-1-пропиламид 3-сульфониламино-N-(метиламинотиокарбонил) -4-метилфенил-пропионовой кислоты, (179) N-2-пропиламид 3-сульфониламино-N-(метиламинотиокарбонил) -4-метилфенил-пропионовой кислоты, (180) N-1-бутиламид 3-сульфониламино-N-(метиламинотиокарбонил) -4-метилфенил-пропионовой кислоты, (181) N-2-бутиламид 3-сульфониламино-N-(метиламинотиокарбонил) -4-метилфенил-пропионовой кислоты, (182) N-1-пентиламид 3-сульфониламино-N-(метиламинотиокарбонил) -4-метилфенил-пропионовой кислоты, (183) N-2-пентиламид 3-сульфониламино-N-(метиламинотиокарбонил) -4-метилфенил-пропионовой кислоты, (184) N-3-пентиламид 3-сульфониламино-N-(метиламинотиокарбонил) -4-метилфенил-пропионовой кислоты, (185) N-1-бутил-2-метиламид 3-сульфониламино-N-(метиламинотиокарбонил) -4-метилфенил-пропионовой кислоты, (186) N-1-бутил-3-метиламид 3-сульфониламино-N-(метиламинотиокарбонил) -4-метилфенил-пропионовой кислоты, (187) N-1-гексиламид 3-сульфониламино-N-(метиламинотиокарбонил) -4-метилфенил-пропионовой кислоты, (188) N-2-гексиламид 3-сульфониламино-N-(метиламинотиокарбонил) -4-метилфенил-пропионовой кислоты, (189) N-3-гексиламид 3-сульфониламино-N-(метиламинотиокарбонил) -4-метилфенил-пропионовой кислоты, (190) N-1-гептиламид 3-сульфониламино-N-(метиламинотиокарбонил) -4-метилфенил-пропионовой кислоты, (191) N-2-гептиламид 3-сульфониламино-N-(метиламинотиокарбонил) -4-метилфенил-пропионовой кислоты, (192) N-3-гептиламид 3-сульфониламино-N-(метиламинотиокарбонил) -4-метилфенил-пропионовой кислоты, (193) N-1-октиламид 3-сульфониламино-N-(метиламинотиокарбонил) -4-метилфенил-пропионовой кислоты, (194) N-2-октиламид 3-сульфониламино-N-(метиламинотиокарбонил) -4-метилфенил-пропионовой кислоты, (195) N-1-адамантиламид 3-сульфониламино-N-(метиламинотиокарбонил) -4-метилфенил-пропионовой кислоты, (196) N-2-адамантиламид 3-сульфониламино-N-(метиламинотиокарбонил) -4-метилфенил-пропионовой кислоты, (197) N-диметиламид 3-сульфониламино-N-(метиламинотиокарбонил) -4-метилфенил-пропионовой кислоты, (198) N-метил-N’-этиламид 3-сульфониламино-N-(метиламинотиокарбонил) -4-метилфенил-пропионовой кислоты, (199) N-метил-N’-1-пропиламид 3-сульфониламино-N-(метиламинотиокарбонил) -4-метилфенил-пропионовой кислоты, (200) N-метил-N’-2-пропиламид 3-сульфониламино-N-(метиламинотиокарбонил) -4-метилфенил-пропионовой кислоты, (201) N-метил-N’-1-бутиламид 3-сульфониламино-N-(метиламинотиокарбонил) -4-метилфенил-пропионовой кислоты, (202) N-метил-N’-2-бутиламид 3-сульфониламино-N-(метиламинотиокарбонил) -4-метилфенил-пропионовой кислоты, (203) N-диэтиламид 3-сульфониламино-N-(метиламинотиокарбонил) -4-метилфенил-пропионовой кислоты, (204) N-этил-N’-1-пропиламид 3-сульфониламино-N-(метиламинотиокарбонил) -4-метилфенил-пропионовой кислоты, (205) N-этил-N’-2-пропиламид 3-сульфониламино-N-(метиламинотиокарбонил) -4-метилфенил-пропионовой кислоты, (206) пирролидиниламид 3-сульфониламино-N-(метиламинотиокарбонил) -4-метилфенил-пропионовой кислоты, (207) пиперидиламид 3-сульфониламино-N-(метиламинотиокарбонил) -4-метилфенил-пропионовой кислоты, (208) морфолиноамид 3-сульфониламино-N- (метиламинотиокарбонил) -4-метилфенил-пропионовой кислоты, (209) (N-метилпиперазинил)амид 3-сульфониламино-N-(метиламинотиокарбонил) -4-метилфенил-пропионовой кислоты, (210) 4-тиоморфолиниламид 3-сульфониламино-N-(метиламинотиокарбонил) -4-метилфенил-пропионовой кислоты. Получение исходных веществ Получение 3-сульфониламино-фенил-карбоновых кислот Замещенные в положении 4 фенилкарбоновые кислоты при перемешивании порциями добавляют к избытку хлорсульфокислоты. Перемешивают в течение 30 минут при комнатной температуре, затем выливают на лед и отсасывают образовавшийся хлорангидрид сульфокислоты. Его растворяют в растворе аммиака, перемешивают в течение 30 минут при комнатной температуре и раствор нейтрализуют с помощью 2 н. соляной кислоты. Полученный продукт отсасывают. По этому способу получают: 3-Сульфониламино-4-метоксифенил-3-пропионовую кислоту, т.пл. 172-176oС. ![]() 3-Сульфониламино-4-метокси-фенилуксусную кислоту, т.пл. 164oС. ![]() 3-Сульфониламино-4-этокси-фенилуксусную кислоту, т.пл. 183-185oС. ![]() Получение 3-сульфониламино-N-(метиламинотиокарбонил) -4-метоксифенил-уксусной кислоты ![]() 5 г 3-сульфониламино-4-метоксифенил-уксусной кислоты растворяют в 3 мл ДМФ и вместе с 245 мг гидроксида натрия перемешивают в течение 30 минут при 40oС. К реакционной смеси добавляют 328 мг метилизотиоцианата и перемешивают следующие 2 часа при 70oС. К охлажденному раствору добавляют 2 н. соляную кислоту и продукт отсасывают. Т.пл. 174oС. Аналогичным образом получают: 3-Сульфониламино-N-(метиламинотиокарбонил) -4-этоксифенил-уксусную кислоту, т.пл. 152-154oС ![]() ПРИМЕРЫ ПРИМЕР 1: Циклогексиламид 3-сульфониламино-N-(метиламинотиокарбонил) -4-метоксифенил-пропионовой кислоты ![]() 500 мг циклогексиламида 3-сульфониламино-4-метоксифенил-пропионовой кислоты растворяют в 10 мл ДМФ, смешивают с 88 мг NаОН и перемешивают в течение 30 минут при 40oС. Затем добавляют 107 мг метилтиоизоцианата и перемешивают следующие 2 часа при 70oС. После охлаждения и нейтрализации с помощью 2 н. соляной кислоты продукт отсасывают и высушивают, т.пл. 163oС. ПРИМЕР 2: Циклогексиламид 3-сульфониламино-N-(метиламинотиокарбонил) -4-метоксифенил-уксусной кислоты ![]() Аналогичным образом из 500 мг циклогексиламида 3-сульфониламино-4-метоксифенил-уксусной кислоты получают 360 мг циклогексиламида 3-сульфониламино-N-(метиламинотиокарбонил)-4-метоксифенил-уксусной кислоты. Т.пл. 185oС. ПРИМЕР 3: N-3-Пентиламид 3-сульфониламино-N-(метиламинотиокарбонил)-4-метоксифенил-уксусной кислоты ![]() 400 мг 3-сульфониламино-N-(метиламинотиокарбонил)-4-метоксифенил-уксусной кислоты растворяют в 5 мл ТГФ и смешивают с 224 мг карбонил-бисимидазола. Перемешивают 2 часа при комнатной температуре. После добавки 120 мг 3-аминопентана перемешивают при комнатной температуре в течение ночи. Уменьшают количество растворителя в вакууме и к остатку добавляют 2 н. HCl. Твердое вещество отсасывают. Т.пл. 169oС. ПРИМЕР 4: N-(R)-1-Циклогексил-1-этиламид 3-сульфониламино-N-(метиламинотиокарбонил) -4-метоксифенил)-уксусной кислоты ![]() Аналогично примеру 3 из 300 мг 3-сульфониламино-N-(метиламинотиокарбонил) -4-метоксифенил-уксусной кислоты и 144 мг (R)-1-циклогексил-1-этиламина получают N- (R)-1-циклогексил-1-этиламид 3-сульфониламино-N-(метиламинотиокарбонил)-4-метоксифенил-уксусной кислоты. Т.пл. 84oС. ПРИМЕР 5: N-(S)-1-Циклогексил-1-этиламид 3-сульфониламино-N-(метиламинотиокарбонил) -4-метоксифенил-уксусной кислоты ![]() Аналогично примеру 3 из 300 мг 3-сульфониламино-N-(метиламинотикарбонил) -4-метоксифенил-уксусной кислоты и 144 мг (S)-1-циклогексил-1-этиламина получают N- (S)-1-циклогексил-1-этиламин 3-сульфониламино-N-(метиламинотиокарбонил)-4-метоксифенил-уксусной кислоты. Т.пл. 84oC. ПРИМЕР 6: N-1-Бутиламид 3-сульфониламино-N-(метиламинотиокарбонил) -4-метоксифенил-уксусной кислоты ![]() Аналогично примеру 3 продукт получают из 300 мг 3-сульфониламино-N -(метиламинотиокарбонил) -4-метоксифенил-уксусной кислоты и 83 мг бутиламина. Т.пл. 136oС. ПРИМЕР 7: N-Изопропиламид 3-сульфониламино-N-(метиламинотиокарбонил)-4-метоксифенил-3-пропионовой кислоты ![]() Т.пл. 116oС. ПРИМЕР 8: N-Изопропиламид 3-сульфониламино-N-(метиламинотиокарбонил) -4-метоксифенил-3-пропионовой кислоты ![]() Т.пл. 172oС. ПРИМЕР 9: N-2-Пентиламид 3-сульфониламино-N-(метиламинотиокарбонил) -4-метоксифенил-3-уксусной кислоты ![]() Т.пл. 137oС. ПРИМЕР 10: N-Изопропиламид 3-сульфониламино-N-(метиламинотиокарбонил) -4-метоксифенил-3-уксусной кислоты ![]() Масло. ПРИМЕР 11: N-2-(R-)Бутиламид 3-сульфониламино-N-(метиламинотиокарбонил) -4-метоксифенил-уксусной кислоты ![]() Т.пл. 123oС. ПРИМЕР 12: N-2-(S)-Бутиламид 3-сульфониламино-N-(метиламинотиокарбонил) -4-метоксифенил-уксусной кислоты ![]() Т.пл. 119oС. ПРИМЕР 13: N-4-Гептиламид 3-сульфониламино-N-(метиламинотиокарбонил) -4-метоксифенил-уксусной кислоты ![]() Т.пл. 118oС. ПРИМЕР 14: N-6-Метил-2-гептиламид 3-сульфониламино-N-(метиламинотиокарбонил) -4-метоксифенил-уксусной кислоты ![]() Т.пл. 113oС. ПРИМЕР 15: N-2-Ундециламид 3-сульфониламино-N-(метиламинотиокарбонил) -4-метоксифенил-уксусной кислоты ![]() Масло. ПРИМЕР 16: N-2-Гексиламид 3-сульфониламино-N-(метиламинотиокарбонил) -4-метоксифенил-уксусной кислоты ![]() Т.пл. 111oС. ПРИМЕР 17: N-3,3-Диметил-2-бутиламид 3-сульфониламино-N-(метиламинотиокарбонил) -4-метоксифенил-уксусной кислоты ![]() Т.пл. 170oС. ПРИМЕР 18: N-2-(S)-Гептиламид 3-сульфонилами-N-(метиламинотиокарбонил) -4-метоксифенил-уксусной кислоты ![]() Т.пл. 139oС. ПРИМЕР 19: N-2-(R)-Гептиламид 3-сульфониламино-N-(метиламинотиокарбонил) -4-метоксифенил-уксусной кислоты ![]() Т.пл. 138oС. ПРИМЕР 20: N-2-Октиламид 3-сульфониламино-N-(метиламинотиокарбонил) -4-метоксифенил-уксусной кислоты ![]() Т.пл. 103oС. ПРИМЕР 21: N-6-(2-метил)-гептан-2-ол-амид 3-сульофниламино -N-(метиламинотиокарбонил)-4-метоксифенил-уксусной кислоты ![]() Т.пл. 85oС. ПРИМЕР 22: N-2-(S)-Пентиламид 3-сульфониламино-N-(метиламинотиокарбонил) -4-метоксифенил-уксусной кислоты ![]() Т.пл. 102oC. ПРИМЕР 23: N-4-Гептиламид 3-сульфониламино-N-(метиламинотиокарбонил) -4-этоксифенил-уксусной кислоты ![]() Т.пл. 157oС. ПРИМЕР 24: N-(S)-1-Циклогексилэтиламид 3-сульфониламино-N-(метиламинотиокарбонил) -4-этоксифенил-уксусной кислоты ![]() Т.пл. 162oС. ПРИМЕР 25: N-6-Метил-2-гептиламид 3-сульфониламино-N -(метиламинотиокарбонил) -4-этоксифенил-уксусной кислоты ![]() Т.пл. 122oС. ПРИМЕР 26: N-2-(S)-Гептиламид 3-сульфониламино-N-(метиламинотиокарбонил)-4-этоксифенил-уксусной кислоты ![]() Т.пл. 137oС. ПРИМЕР 27: N-2-(S )-Гептиламид 3-сульфониламино-N-(метиламинокарбонил) -4-этоксифенил-уксусной кислоты ![]() Т.пл. 151oС. ПРИМЕР 28: N-2-Октиламид 3-сульфониламино-N-(метиламинотиокарбонил) -4-этоксифенил-уксусной кислоты ![]() Т. пл. 123oС. ПРИМЕР 29: N-1-Адамантиламид 3-сульфониламино-N-(метиламинотиокарбонил) -4-этоксифенил-уксусной кислоты ![]() Т.пл. 170oС. ПРИМЕР 30: N-н-Гептиламид 3-сульфониламино-N-(метиламинотиокарбонил) -4-метоксифенил-уксусной кислоты ![]() Т.пл. 139oС. ПРИМЕР 31: N-н-Октиламид 3-сульфониламино-N-(метиламинотиокарбонил) -4-метоксифенил-уксусной кислоты ![]() Т.пл. 132oС. ПРИМЕР 32: N-н-Нониламид 3-сульфониламино-N-(метиламинотиокарбонил) -4-метоксифенил-уксусной кислоты ![]() Т.пл. 134oС. ПРИМЕР 33: N-2-(S)-Гептиламид 3-сульфониламино-N-(метиламинокарбонил) -4-метоксифенил-уксусной кислоты ![]() Т.пл. 178oС. ПРИМЕР 34: N-2-Октиламид 3-сульфониламино-N-(метиламинокарбонил) -4-метоксифенил-уксусной кислоты ![]() Масло. ПРИМЕР 35: N-2-(S )-Гептиламид 1-/3-сульфониламино-N-(метиламинотиокарбонил) -(4-метоксифенил)/-циклопропан-1-карбоновой кислоты ![]() Т.пл. 184oС. ПРИМЕР 36: N-2-Октиламид 3-сульфониламино-N-(этиламинотиокарбонил) -4-метоксифенил-уксусной кислоты ![]() Т.пл. 125oС. ПРИМЕР 37: N-2-Октиламид 3-сульфониламино-N-(изопропиламинотиокарбонил) -4-метоксифенил-уксусной кислоты ![]() Т.пл. 141oС. ПРИМЕР 38: N-2-Октиламид 3-сульфониламино-N-(циклопропиламинотиокарбонил) -4-метоксифенил-уксусной кислоты ![]() Т.пл. 128oС. ПРИМЕР 39: N-2-Октиламид 3-сульфониламино-N-(циклогексиламинотиокарбонил) -4-метоксифенил-уксусной кислоты ![]() Масло. ПРИМЕР 40: N-2-Октиламид 3-сульфониламино-N-(изопропиламинокарбонил) -4-метоксифенил-уксусной кислоты ![]() Т.пл. 118oС. ПРИМЕР 41: N-2-Октиламид 3-сульфониламино-N-(циклопропиламинокарбонил) -4-метоксифенил-уксусной кислоты ![]() Масло ПРИМЕР 42: N-2-Октиламид 3-сульфониламино-N-(этиламинокарбонил) -4-метоксифенил-уксусной кислоты ![]() Масло ПРИМЕР 43: N-2-Октиламид 3-сульфониламино-N-(метиламинокарбонил) -4-этоксифенил-уксусной кислоты ![]() ПРИМЕР 44: N-2-Октиламид 3-сульфониламино-N-(изопропиламинотиокарбонил) -4-метоксифенил-уксусной кислоты ![]() Т.пл. 141oС. ПРИМЕР 45: N-4-Нониламид 3-сульфониламино-N-(метиламинотиокарбонил) -4-метоксифенил-уксусной кислоты ![]() Т.пл. 145oС. ПРИМЕР 46: N-3-Гептиламид 3-сульфониламино-N-(метиламинотиокарбонил) -4-метоксифенил-уксусной кислоты ![]() Т.пл. 100oС. ПРИМЕР 47: N-2-Нониламид 3-сульфониламино-N-(метиламинокарбонил) -4-метоксифенил-уксусной кислоты ![]() Т.пл. 107oС. ПРИМЕР 48: N-2-(S)-Гептиламид 3-сульфониламино-N-(этиламинотиокарбонил) -4-метоксифенил-уксусной кислоты ![]() Т.пл. 145oС. ПРИМЕР 49: N-2-(S)-Гептиламид 3-сульфониламино-N-(изопропиламинотиокарбонил) -4-метоксифенил-уксусной кислоты ![]() Т.пл. 159oС. ПРИМЕР 50: N-2-Октиламид 3-сульфониламино-N-(трет-бутиламинотиокарбонил) -4-метоксифенил-уксусной кислоты ![]() Т.пл. 126oС. ПРИМЕР 51: N-2-Дециламид 3-сульфониламино-N-(метиламинотиокарбонил) -4-метоксифенил-уксусной кислоты ![]() Т.пл. 112oС. ПРИМЕР 52: N-2-(S)-Гептиламид 3-сульфониламино-N-(циклопропиламинотиокарбонил) -4-метоксифенил-уксусной кислоты ![]() Т.пл. 165oС. ПРИМЕР 53: N-2-(S)-Гептиламид 3-сульфониламино-N-(метиламинотиокарбонил) -4-пропоксифенил-уксусной кислоты ![]() Т.пл. 120oС. ПРИМЕР 54: N-4-Нониламид 3-сульфониламино-N-(метиламинотиокарбонил) -4-метоксифенил-уксусной кислоты ![]() Т.пл. 122oС. ПРИМЕР 55: N-4-Нонил-2-метиламид 3-сульфониламино-N-(метиламинотиокарбонил) -4-метоксифенил-уксусной кислоты ![]() Т.пл. 136oС. ПРИМЕР 56: N-4-Нонил-3-метиламид 3-сульфониламино-N-(метиламинотиокарбонил) -4-метоксифенил-уксусной кислоты ![]() Т.пл. 129oС. ПРИМЕР 57: N-3-Октил-2,2-диметиламид 3-сульфониламино-N-(метиламинотиокарбонил) -4-метоксифенил-уксусной кислоты ![]() Т.пл. 178oС. ПРИМЕР 58: N-3-Октил-2-метиламид 3-сульфониламино-N-(метиламинотиокарбонил) -4-метоксифенил-уксусной кислоты ![]() Т.пл. 123oС. Фармакологические данные С помощью следующих моделей можно устанавливать терапевтические свойства соединений формулы (I). (1) Продолжительность потенциала действия в случае сосочковой мышцы морской свинки (а) Введение Состояния недостатка АТФ (аденозинтрифосфорной кислоты), которые наблюдаются во время ишемии в клетке миокарда, приводят к сокращению продолжительности потенциала действия. Они считаются одной из причин так называемых Reentry-аритмий, которые могут вызывать скоропостижную смерть от остановки сердца. Причиной этого считается открытие чувствительных к АТФ калиевых каналов за счет снижения количества АТФ. (б) Метод Для измерения потенциала действия используют стандартную микроэлектродную технику. Для этой цели морских свинок обоего пола умерщвляют путем удара по голове, извлекают сердца, отделяют сосочковые мыщцы и подвешивают в ванне для органов. Ванну для органов промывают с помощью раствора Рингера (0,9% NaCl, 0,048% КСl, 0,024% СаСl2, 0,02% NаНСО3 и 0,1% глюкозы) и обрабатывают с помощью газообразной смеси из 95% кислорода и 5% диоксида углерода при температуре 36oС. Мышцу возбуждают за счет электрода с прямоугольными импульсами 1 вольт и длительностью 1 мс при частоте 2 Гц. Потенциал действия выводится через внутриклеточно введенный стеклянный микроэлектрод, заполненный с помощью 3 мМ раствора KCl, и регистрируется. Испытуемые вещества добавляют в раствор Рингера в концентрации 2,2 10-5 моль на литр. Потенциал действия усиливают с помощью усилителя Hugo Sachs и представляют на осциллоскопе. Продолжительность потенциала действия определяют при степени реполяризации 95% (АРD95). Сокращения потенциала действия вызывают либо за счет добавки с концентрацией 1 мкмоль раствора средства для открытия калиевого канала Ное 234 (J. Kaiser, H. , Naunyn-Schmiedeberqs Arch. Pharm. 1991, 343, R 59) или за счет добавки 2-дезоксиглюкозы. Сокращающее (уменьшающее) потенциал действия воздействие этих веществ предотвращается или уменьшается за счет одновременного введения испытуемых веществ. Испытуемые вещества добавляют в электролит в виде концентрированных растворов в пропандиоле. Указанные величины относятся к измерениям спустя 30 минут после добавления. Глибенкламид при этих измерениях служит в качестве стандарта. Испытуемая концентрация во всех случаях составляет 2 10-5 , 2 10-6 или 20 10-6 моль на литр.
При определении потенциала действия использовали соединения примеров 1, 9, 13, 18 и соединения формул D и E![]() ![]() (в) Результаты Измеренные величины представлены в табл. 1. Мембранный потенциал в изолированных -клетках.
Механизм, посредством которого сульфонилмочевины снижают уровень глюкозы в крови, в принципе ясен. Сульфонилмочевины воздействуют на -клетки поджелудочной железы, где они вызывают высвобождение инсулина, влияя на электрический потенциал плазмолеммы. Гипогликемическая сульфонилмочевина, например глибенкламид, вызывает деполяризацию клеточной мембраны, что ведет к увеличению притока ионов кальция и, в результате, к высвобождению инсулина. Степень деполяризации мембраны U регистрировали для некоторых веществ по настоящему изобретению в выделяющих инсулин клетках линии RINm5F. В этой модели активность отражает способность соединений снижать уровень сахара в крови.
Культивирование.
Клетки RINm5F держали в культуральной среде RPMI 1640, содержащей 11 ммоль глюкозы, с добавкой 10% (о/о) эмбриональной телячьей сыворотки, 2 ммоль глютамина и 50 мкг/мл гентамицина. Клетки высевали каждые два или три дня на чашках Петри и хранили в увлажненной атмосфере, содержащей 95% O2 и 5% СО2 при температуре 37oС. Изолированные клетки получали путем инкубации в течение 3 мин в среде без Са2+, содержащей 0,25% трипсин.
Изолированные клетки RINm5F помещали в светокамеру и ставили под инвертационный микроскоп, оснащенный контрастной оптикой с дифференциальной интерференцией. Микропипетку, обработанную огневым полированием и обладающую отверстием около 1 мкм помещали под оптический контроль (400-кратное увеличение) на поверхность клетки. Прикладывая незначительное отрицательное давление во внутреннем канале пипетки, добивались высокой электроизоляции между стеклом и клеточной мембраной. Затем изоляцию разрушали, совершая быстрое отсасывание пипеткой. В данной конфигурации целых клеток клеточный потенциал измеряли посредством усилителя с фиксацией уровня (L/M ЕРС 7, List, Дармштадт, Германия), а ток целой клетки измеряли посредством линейного измерения напряжения. Пипетку заполняли раствором KCl, содержащим (в ммоль/л) 140 КСl, 10 NaCl, 1,1 MgCl2, 0,5 EGTA, 1 Мg-аденозин-5′-трифосфат, 10 HEPES и обладающим рН = 7,2, а ванна содержала раствор NaCl, содержащий (в ммоль/л) 140 NaCl, 4,7 KCl, 1,1 MgCl2, 2 CaCl2, 10 HEPES и обладающий рН = 7,4. Изготавливали основные растворы (концентрация 100 ммоль/л) испытуемых веществ в диметилсульфоксиде (ДМСО) и далее их разводили соответствующим раствором NaCl. ДМСО сам по себе не оказывал действия на клеточный потенциал. Чтобы стабилизировать клеточный потенциал во всех экспериментах в растворе ванной должен был присутствовать диазоксид, вещество, взывающее открывание чувствительных к аденозин-5′-трифосфату каналов К+ (100 мкмоль/л). Эксперименты проводили при температуре 34 1oС.
РезультатыБыли измерены приведенные ниже показатели U (изменения клеточного потенциала испытуемых веществ). Контрольные показатели, приведенные в скобках, представляют собой клеточные потенциалы U перед добавкой испытуемых соединений (см. табл. 2).
Оценка результатовВысокий показатель ДБП95 (30 минут), идущий близко к ДБП95 (начальный показатель), означает, что испытуемое соединение в клетках сердца способно изменить на противоположное воздействие введенного вещества “Ное 234” (рилмакалим), которое вызывает открывание каналов калия, и которое само по себе вызывает значительное сокращение длительности биопотенциала (например, от ДБП95 (начальный показатель) = 178 мс до контрольного значения ДБП95 (30 минут) = 29 мс, приведенного выше). Низкий абсолютный показатель U означает, что испытуемое соединение незначительно изменяет мембранный потенциал -клеток, в то время как высокий показатель U означает, что соединение деполяризует мембраны -клеток и, таким образом, обладает действием, вызывающим высвобождение инсулина.
Полученные результаты показывают, что вещества по настоящему изобретению проявляют выраженное действие на клетки сердечной мышцы в концентрации 2 или 20 мкмоль/л, в то время как по сравнению с глибенкламидом они практически не обладают биологически значимым воздействием или же они обладают намного менее выраженным воздействием на -клетки при сопоставимой концентрации в 10 мкмоль/л.
Наоборот, глибенкламид, который является типичным примером гипоглицемической сульфонилмочевины, пригодной для лечения диабета, обладает выраженным воздействием на -клетки при концентрациях 1 и 10 мкмоль/л, то есть в том же диапазоне концентраций, при которых получали воздействия на клетки сердечной мышцы (2 и 20 мкмоль/л).
Таким образом, было показано, что соединения по настоящему изобретению оказывают благоприятное действие на сердце и могут быть использованы, например, в качестве лекарства от аритмии, но эти соединения не обладают значительным гипоглицемическим действием, т.е. они незначительно снижают уровень глюкозы в крови, что представляло бы собой нежелательное побочное действие, например, при сердечной недостаточности.
Пример на приготовление таблеток.
Смесь 100 г активного ингредиента (соединения по примеру 2), 570 г лактозы и 200 г крахмала тщательно смешивают и увлажняют раствором 5 г додецилсульфата натрия и 10 г поливинилпирролидона приблизительно в 200 мл воды. Влажную смесь просеивают, сушат и вновь просеивают. Добавляют 100 г микрокристаллической целлюлозы и 15 г гидрированного растительного масла. Все тщательно смешивают и спрессовывают в таблетки, получая 10000 таблеток, каждая из которых содержит 10 мг активного ингредиента.
Пример на приготовление капсул.
20 г активного ингредиента, 6 г лаурилсульфата натрия, 56 г крахмала, 56 г лактозы, 0,8 г диоксида кремния и 1,2 г стеарата магния смешивают друг с другом. Полученной смесью далее заполняют 1000 подходящих твердых желатиновых капсул, каждая из которых содержит 20 мг активного ингредиента (соединения по примеру 11).
Пример на приготовление суппозиториев.
3 г активного ингредиента растворяют в растворе 3 г 2,3-дигидроксибутандионовой кислоты в 25 мл пропиленгликоля 400. Совместно расплавляют 12 г поверхностно-активного вещества и необходимое до 300 г количество триглицеридов. Полученную смесь смешивают с ранее полученным раствором, после перемешивания выливают в формы при температуре 37-38oС и получают 100 суппозиториев, каждый из которых содержит 30 мг активного ингредиента (соединения по примеру 7).
В зависимости от состояния больного и способа введения, количество вводимых соединений может составлять 0,01-100 мг/кг веса тела, предпочтительно 1-10 мг/кг веса тела, в день.
Формула изобретения
![]() где R1 обозначает водород, С1-7-алкил, С3-7-циклоалкил; R2 обозначает водород, C1-6-алкоксил; R3, R4 каждый независимо друг от друга обозначает водород, С1-12-алкил, С3-10-циклоалкил; Е обозначает кислород или серу; Х обозначает кислород; Y обозначает (CR5R5′)m, где R5, R5′ обозначают водород; m=1, 2, 3, а также их фармацевтически приемлемые соли. 2. Соединение формулы (I) по п.1, отличающееся тем, что R обозначает водород, C1-4-алкил, С3-7-циклоалкил; R2 обозначает С1-4алкоксил; R3 и R4 каждый независимо друг от друга обозначает водород С1-10 алкил, С3-6 циклоалкил; Е обозначает кислород или серу; Х обозначает кислород; Y обозначает (CR5R5′)m, где R5, R5′ обозначают водород; m=1, 2, 3. 3. Соединение формулы (I) по п.1 или 2, отличающееся тем, что R1 обозначает водород, C1-4-алкил, циклоалкил с 3 или 4 С-атомами; R2 обозначает метокси- или этоксигруппу; R3 и R4 каждый независимо друг от друга обозначает водород, С4-8-алкил, С3-6-циклоалкил; Е обозначает серу или кислород; Х обозначает кислород; Y обозначает (CR5R5′)m, где R5 и R5′ обозначают водород; m = 1 или 2. 4. Соединение формулы (I) по любому из пп.1-3, отличающееся тем, что R1 обозначает водород, С1-3-алкил, или циклоалкил с 3 С-атомами; R2 обозначает метокси- или этоксигруппу; R3 и R4 каждый независимо друг от друга обозначает водород, С5-8-алкил, С5-6-циклоалкил; Е обозначает кислород или серу; Х обозначает кислород; Y обозначает (CR5R5′)m, где R5 и R5′ обозначают водород; m = 1 или 2. 5. Соединение формулы (I) по любому из пп.1-4, отличающееся тем, что R1 обозначает водород, C1-3-алкил или циклоалкил с 3 С-атомами. R2 обозначает метокси- или этоксигруппу; R3 обозначает водород; R4 обозначает C5-8 алкил или С5-6 циклоалкил; E обозначает серу или кислород; Х обозначает кислород; Y обозначает (CR5R5′)m, где R5 и R5′ обозначают водород; m = 1 или 2. 6. Способ получения бензолсульфонилтиомочевины, отличающийся тем, что бензолсульфонилтиомочевину формулы (Ib) ![]() получают путем взаимодействия бензолсульфонамида формулы (II) ![]() или его соли формулы (111) ![]() где R2, R3, R4, X и Y имеют указанные в п.1 значения, М обозначает катион щелочного или щелочно-земельного металла, с R1-замещенным тиозоцианатом формулы (VI) R1-N=C=S, (VI) где R1 имеет указанные в п.1 значения. 7. Соединения формулы (I) по п.1, обладающие антиаритмической активностью. 8. Способ получения фармацевтической композиции, обладающей антиаритмической активностью, отличающийся тем, что эффективное количество соединения формулы (I) по пп.1-6 или его физиологически приемлемой соли вместе по меньшей мере с одним носителем или вспомогательным веществом доводят до пригодной дозировочной формы. 9. Фармацевтическая композиция, обладающая антиаритмической активностью, включающая активное вещество и фармацевтически приемлемые добавки, отличающаяся тем, что в качестве активного вещества она содержит соединение формулы (I) по пп.1-5 или его физиологически приемлемую соль в эффективном количестве. Приоритет по пунктам: 17.02.1995 – по пп. 1-4 и 6-9; 23.06.1995 – по п.5. РИСУНКИ
|
||||||||||||||||||||||||||

















-метилбензил-изоцианата, и затем разделять. Различные формы диастереомеров можно разделять известным образом, например, путем фракционной кристаллизации, и энантиомеры формулы (I) можно известным образом высвобождать из диастереомеров. Разделения энантиомеров, далее, достигают путем хроматографии на оптически активных носителях.
Предлагаемые согласно изобретению соединения формулы (I) и их физиологически приемлемые соли можно применять для приготовления фармацевтических композиций. При этом их вместе по меньшей мере с одним твердым, жидким носителем или вспомогательным веществом, индивидуально или в комбинации с другими, активными в отношении круга кровообращения сердца, лекарственными средствами, как например антагонисты кальция, NO-доноры или АСЕ-ингибиторы, можно доводить до пригодной дозировочной формы. Эти композиции можно применять в качестве лекарственных средств в медицине или ветеринарии. В качестве носителей принимают во внимание органические или неорганические вещества, которые пригодны для кишечного (например, орального), парентерального, как например внутривенного, введения, или для топических применений и не реагируют с новыми соединениями, например, как вода, растительные масла, бензиловые спирты, полиэтиленгликоли, глицеринтриацетат, желатина, углеводы, как лактоза или крахмал, стеарат магния, тальк, ланолин, вазелины. Для орального применения служат в особенности таблетки, драже, капсулы, сиропы, соки или капли; для ректального применения служат растворы, предпочтительно масляные или водные растворы, далее, суспензии, эмульсии или имплантаты; для топического применения служат мази, кремы, пасты, лосьоны, гели, пульверизуемые препараты, пены, аэрозоли, растворы (например, в спиртах, как этанол или изопропанол, ацетонитриле, пропан-1,2-диоле или их смесях друг с другом или с водой) или порошки. Соединения формулы (I) также можно лиофилизировать и полученные лиофилизаты применять, например, для приготовления препаратов для инъекций. В особенности для топического применения принимают во внимание также липосомальные композиции, которые содержат стабилизаторы и/или смачиватели, эмульгаторы, соли и/или вспомогательные вещества, как смазки, консерванты, стабилизаторы и/или смачиватели, эмульгаторы, соли для влияния на осмотическое давление, буферные вещества, красители и вкусовые и/или ароматические вещества. Если желательно, они могут также содержать одно или несколько других биологически активных веществ, например один или несколько витаминов.
Дозировки, которые необходимы для лечения нарушений сердечного ритма с помощью соединений формулы (I), зависят от того, лечат ли для профилактики или в острых (критических) случаях. Обычно принимают во внимание область доз примерно по меньшей мере от 0,1 мг, предпочтительно по меньшей мере от 1 мг, до самое болышее 100 мг, предпочтительно самое большее 10 мг на 1 кг и в день, когда осуществляют профилактику. Предпочтителен диапазон доз 1-10 мг на 1 кг и в день. При этом дозу можно вводить в виде оральной или парентеральной разовой дозы или разделять вплоть до 4 разовых доз. Если лечат острые случаи нарушений сердечного ритма, например, в интенсивной терапии, то может быть предпочтительным парентеральное введение. Предпочтительная область доз в критических ситуациях тогда может составлять предпочтительно 10-100 мг и эти дозы могут вводиться, например, в виде внутривенного продолжительного вливания.
Согласно изобретению, кроме описанных в примерах осуществления соединений, также можно получать представленные в следующей таблице соединения формулы (I):






























































10-5 моль на литр. Потенциал действия усиливают с помощью усилителя Hugo Sachs и представляют на осциллоскопе. Продолжительность потенциала действия определяют при степени реполяризации 95% (АРD95). Сокращения потенциала действия вызывают либо за счет добавки с концентрацией 1 мкмоль раствора средства для открытия калиевого канала Ное 234 (J. Kaiser, H.
, Naunyn-Schmiedeberqs Arch. Pharm. 1991, 343, R 59) или за счет добавки 2-дезоксиглюкозы. Сокращающее (уменьшающее) потенциал действия воздействие этих веществ предотвращается или уменьшается за счет одновременного введения испытуемых веществ. Испытуемые вещества добавляют в электролит в виде концентрированных растворов в пропандиоле. Указанные величины относятся к измерениям спустя 30 минут после добавления. Глибенкламид при этих измерениях служит в качестве стандарта. Испытуемая концентрация во всех случаях составляет 2

-клетках.
Механизм, посредством которого сульфонилмочевины снижают уровень глюкозы в крови, в принципе ясен. Сульфонилмочевины воздействуют на
U регистрировали для некоторых веществ по настоящему изобретению в выделяющих инсулин клетках линии RINm5F. В этой модели активность отражает способность соединений снижать уровень сахара в крови.
Культивирование.
Клетки RINm5F держали в культуральной среде RPMI 1640, содержащей 11 ммоль глюкозы, с добавкой 10% (о/о) эмбриональной телячьей сыворотки, 2 ммоль глютамина и 50 мкг/мл гентамицина. Клетки высевали каждые два или три дня на чашках Петри и хранили в увлажненной атмосфере, содержащей 95% O2 и 5% СО2 при температуре 37oС. Изолированные клетки получали путем инкубации в течение 3 мин в среде без Са2+, содержащей 0,25% трипсин.
Изолированные клетки RINm5F помещали в светокамеру и ставили под инвертационный микроскоп, оснащенный контрастной оптикой с дифференциальной интерференцией. Микропипетку, обработанную огневым полированием и обладающую отверстием около 1 мкм помещали под оптический контроль (400-кратное увеличение) на поверхность клетки. Прикладывая незначительное отрицательное давление во внутреннем канале пипетки, добивались высокой электроизоляции между стеклом и клеточной мембраной. Затем изоляцию разрушали, совершая быстрое отсасывание пипеткой. В данной конфигурации целых клеток клеточный потенциал измеряли посредством усилителя с фиксацией уровня (L/M ЕРС 7, List, Дармштадт, Германия), а ток целой клетки измеряли посредством линейного измерения напряжения. Пипетку заполняли раствором KCl, содержащим (в ммоль/л) 140 КСl, 10 NaCl, 1,1 MgCl2, 0,5 EGTA, 1 Мg-аденозин-5′-трифосфат, 10 HEPES и обладающим рН = 7,2, а ванна содержала раствор NaCl, содержащий (в ммоль/л) 140 NaCl, 4,7 KCl, 1,1 MgCl2, 2 CaCl2, 10 HEPES и обладающий рН = 7,4. Изготавливали основные растворы (концентрация 100 ммоль/л) испытуемых веществ в диметилсульфоксиде (ДМСО) и далее их разводили соответствующим раствором NaCl. ДМСО сам по себе не оказывал действия на клеточный потенциал. Чтобы стабилизировать клеточный потенциал во всех экспериментах в растворе ванной должен был присутствовать диазоксид, вещество, взывающее открывание чувствительных к аденозин-5′-трифосфату каналов К+ (100 мкмоль/л). Эксперименты проводили при температуре 34
1oС.
Результаты


