Патент на изобретение №2198871
|
||||||||||||||||||||||||||
(54) ФЕНИЛГЛИЦИНОВЫЕ ПРОИЗВОДНЫЕ
(57) Реферат: Изобретение относится к новым соединениям формулы (I), где R1 – водород или фрагмент сложного эфира, Е – водород или гидрокси, три из Х1-Х4 обозначают группу C(Ra), C(Rb) или C(Rc), а четвертый обозначает C(Rd) или N, где Ra-Rd – водород, алкенил, алкинил, алкенилокси, алкокси, алкиламино, алкоксиалкокси, алкоксиалкиламиноалкил, алкоксикарбонилалкил, алкоксикарбониларилалкокси, алкоксикарбонилалкилкарбоксамидо, алкил, алкоксикарбонилкарбоксамидо, алкилсульфанил, алкилсульфинил, алкилсульфонил, алкилуреидо, алкилтиоуреидо, алкилсульфониламиноалкокси, алкилсульфониламино, аминоалкокси, арилалкенил, арилалкокси, арилалкил, арилалкилкарбоксамидо, арилкарбонилалкокси, арилкарбоксамидо, арилокси, арилоксиалкокси, арилсульфониламино, арилсульфониламиноалкокси, карбокси, карбоксиалкил, замещенный алкил, замещенный амино, галоген, замещенный галоген, циклоалкил, замещенный циклоалкил, гидрокси, замещенный гидрокси, гетероцикл, замещенный гетероцикл, или две смежные группы из Ra-Rd вместе образуют фрагмент сконденсированного ди- или монооксанового кольца или арильного кольца. Указанные соединения обладают амидолитической активностью в отношении комплекса фактор VIIа/тканевый фактор и благодаря этому свойству могут использоваться в качестве активного компонента в фармкомпозиции, а также для лечения различных заболеваний, обусловленных этой активностью. 4 с. и 20 з. п. ф-лы.
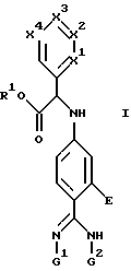
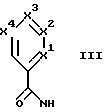
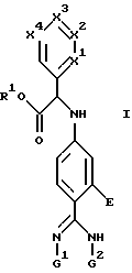
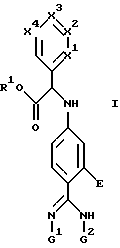
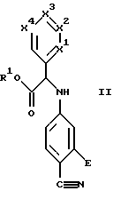
Изобретение относится к новым N-(4-карбамимидоилфенил)глициновым производным формулы ![]() где R1 обозначает водород или фрагмент сложноэфирной группы, который может расщепляться в физиологических условиях; Е обозначает водород или гидрокси; три символа из Х1-Х4 независимо друг от друга обозначают группу C(Ra), C(Rb) или C(Rc), а четвертый обозначает группу C(Rd) или N; Ra-Rd каждый независимо друг от друга обозначает водород, алкенил, алкенилкарбонилоксиалкокси, алкенилокси, алкинил, алкинилокси, алкокси, алкоксиалкенил, алкоксиалкокси, алкоксиалкил, алкоксиалкил(алкил)аминоалкил, алкоксиалкилкарбоксамидо, алкоксикарбонил, алкоксикарбонилалкокси, алкоксикарбонилалкил, алкоксикарбонилалкилкарбоксамидо, алкоксикарбониларилалкокси, алкоксикарбониларилокси, алкоксикарбонилкарбоксамидо, алкил, алкил(алкилкарбонил)амино, алкилкарбонил, алкилкарбонилалкокси, алкилкарбонилоксиалкокси, алкилкарбоксамидо, алкилкарбоксамидоалкокси, алкилсульфанил, алкилсульфанилалкокси, алкилсульфинил, алкилсульфонил, алкилсульфониламино, алкилсульфониламиноалкокси, алкилуреидил, алкилтиоуреидил, амино, аминоалкокси, арил, арилалкенил, арилалкинил, арилалкокси, арилалкоксиалкокси, арилалкил, арилалкилкарбоксамидо, арилкарбонилалкокси, арилкарбоксамидо, арилкарбоксамидоалкокси, арилокси, арилоксиалкокси, арилсульфониламино, арилсульфониламиноалкокси, карбокси, карбоксиалкил, карбоксиалкилкарбоксамидо, карбоксиалкокси, карбоксиарилалкокси, карбоксиарилокси, карбоксикарбоксамидо, карбамоилалкокси, циклоалкил, циклоалкокси, циклоалкилалкокси, циклоалкиламино, циклоалкиламиноалкил, циклоалкиламинокарбонилокси, циклоалкилкарбамоилалкокси, циклоалкилкарбоксамидо, дигидроксиалкокси, галоген, галоалкенил, галоалкокси, галоалкил, гидрокси, гидроксиалкокси, гидроксиалкоксиалкокси, гидроксиалкил, гидроксициклоалкокси, гидроксициклоалкиламино, моно- или диалкиламино, моно- или диалкиламиноалкокси, моно- или диалкиламиноалкил, моно- или диалкиламинокарбонилалкокси, 2,2,2-трифторацетиламиноалкокси или гетероциклический заместитель, выбранный из группы, включающей азепанилкарбонилалкокси, бензоимидазолил, морфолинилалкокси, морфолинилалкил, морфолинилоксоалкокси, пиперидинилалкокси, пиперидиниламино, пиперидиниламиноалкил, пиперидинилокси, алкилсульфонилпиперидинилокси, фуранилалкокси, 1,3-диоксо-1,3-дигидроизоиндолилалкил, имидазолил, имидазолилалкил, изатиазолилокси, дигидроизоксазолил, пиперазинил, пиперазинилалкил, пиридиниламиноалкил, биспиридинилалкиламино, пиридинилокси, пиримидиниламиноалкилазепанилиденамино, пирролидинил, пирролидинилалкокси, пирролидинилалкил, пирролидинилокси, пирролидинилоксоалкокси, оксопирролидинилалкокси, оксадиазолил, тетрагидрофуранилалкокси, тетрагидрофуранилокси, тетрагидропиранилалкокси, тетрагидропираниламино, тетрагидротиопираниламино, тетрагидропиранилокси, диоксогексагидротиопираниламино, тиазолилалкокси и тиофенил, где гетероциклические заместители необязательно замещены алкилом, алкоксигруппой, карбоксиалкилом, гидрокси-, тетразолилметоксигруппой, алкилсульфонилом или алкоксикарбонилалкилом или две смежные группы из Ra-Rd вместе образуют фрагмент сконденсированного 1,4-диоксанового, 1,3-диоксоланового, 1-оксанового или арильного кольца, при условии, что не более трех групп из Ra-Rd имеют одинаковые значения и Х1 не замещен арилом, карбоксигрупой или алкоксикарбонилом, и один из символов G1 и G2 обозначает водород, а другой обозначает водород, алкил, гидрокси, алкокси, ароил или группу COO-Re или OCO-Re и Re обозначает алкил, необязательно замещенный галогеном, гидрокси-, алкокси-, карбоксигруппой, алкилкарбонилоксикарбонилом или арилкарбонилоксикарбонилом, а также к их гидратам или сольватам и физиологически приемлемым солям. Кроме того, изобретение относится к способу получения указанных выше соединений, к фармацевтическим композициям, содержащим указанные выше соединения, а также к применению этих соединений для приготовления фармацевтических композиций. Примерами физиологически приемлемых солей указанных соединений формулы I являются соли с физиологически совместимыми минеральными кислотами, такими как соляная кислота, серная кислота, сернистая кислота или фосфорная кислота, или с органическими кислотами, такими как метансульфоновая кислота, пара-толуолсульфоновая кислота, уксусная кислота, трифторуксусная кислота, лимонная кислота, фумаровая кислота, малеиновая кислота, винная кислота, янтарная кислота или салициловая кислота. Соединения формулы I могут быть сольватированы, прежде всего гидратированы. Гидратация может быть осуществлена в процессе производства или происходить вследствие гигроскопических свойств первоначально безводного соединения формулы I. Соединения формулы I содержат по крайней мере один асимметричный атом углерода и вследствие этого могут существовать в виде энантиомерной смеси, диастереоизомерной смеси или в виде оптически чистых соединений. В контексте настоящего изобретения понятие “алкил”, индивидуально или в сочетании с другими группами, такими как алкокси, алкоксикарбонил и т.д., обозначает углеводородный радикал с прямой или разветвленной цепью, содержащий 1-6, предпочтительно 1-4 атомов углерода, такой как метил, этил, пропил, изопропил и бутил. Понятие “алкокси” обозначает группу алкил-O-, где алкил имеет указанные выше значения, например метокси, этокси, н-пропокси, изопропокси, н-бутокси, изобутокси. Понятие “алкенил” индивидуально или в сочетании с другими группами обозначает углеводородный радикал с прямой или разветвленной цепью, содержащий олефиновую связь и до 6, предпочтительно до 4, атомов углерода. Понятие “алкинил” индивидуально или в сочетании с другими группами обозначает углеводородный радикал с прямой или разветвленной цепью, содержащий тройную связь и до 6, предпочтительно до 4, атомов углерода. Понятие “циклоалкил” обозначает циклическую алкильную группу, содержащую от трех до шести атомов углерода, например циклопропил, циклобутил, циклопентил и циклогексил. Понятие “циклоалкокси” или “циклоалкилокси” обозначает циклоалкильную группу, связанную с окси-(-O-)-группой, например, циклопентилокси. Понятие “арил” индивидуально или в сочетании с другими группами, такими как арилокси, аралкил и т.д., обозначает карбоциклический ароматический радикал, такой как фенил, нафтил или инданил, предпочтительно фенил и нафтил, прежде всего фенил, который может быть замещен, например, галогеном, таким как бром, фтор или хлор, алкоксигруппой, например метокси-, этокси- или пропоксигруппой, алкилендиоксигруппой, например метилендиоксигруппой, гидрокси-, нитро-, амино-, моно- или диалкиламиногруппой, фенилом, феноксигруппой, СООН или СОО-алкилом, например COOCH3 или СООС2Н5. Предпочтительными заместителями являются алкокси, галоген, предпочтительно фтор, алкил, амино, нитро, диалкиламино и карбокси, прежде всего алкокси, галоген и алкил. Примерами аралкильных групп являются бензил, фенэтил, моно- или диметоксибензил, аминобензил или нитробензил, примерами арилоксигрупп являются фенокси- или метоксикарбонилфеноксигруппа, а примерами аралкилоксигрупп являются бензилокси-, метоксибензилокси- и фенэтоксигруппа. Понятие “галоген” обозначает фтор, хлор, бром и иод, предпочтительно фтор и хлор. Понятие “гидрокси” обозначает группу -ОН. Понятие “карбонил” обозначает группу -С(О)-. Понятие “карбокси” обозначает группу -С(О)ОН. Понятие “карбоксамидо” обозначает группу -C(O)-NH-. Понятие “карбамоил” обозначает группу NH2-C(O)-. Понятие “оксо” обозначает группу -О-. Понятие “амино” обозначает группу -NH2. Понятие “сульфанил” обозначает группу -S-. Понятие “сульфинил” обозначает группу -SO-. Понятие “сульфонил” обозначает группу -SO2-. Понятие “уреидил” обозначает группу NH2-C(O)-NH-. Понятие “тиоуреидил” обозначает группу NH2-C(S)-NH-. Примерами галоалкила являются трифторметил и пентафторэтил; примерами галоалкокси являются трифторметокси и пентафторэтокси. Примерами сложноэфирных групп, расщепляемых в физиологических условиях, которые обозначены символом R1, являются алкил, прежде всего метил и этил; морфолинэтил; тетрагидропиранил; алкоксикарбонилалкил, такой как трет-бутоксикарбонилметил (пивоксил); алкоксикарбонилоксиалкил, такой как 1-(этоксикарбонилокси)этил, гексилоксикарбонилоксиэтил (гексетил) и 1-(изопропилоксикарбонилокси)этил (проксетил); алкилкарбонилоксиалкил, такой как 1-ацетоксиэтил (аксетил), 1-(пивалоилокси)этил и 1-(циклогексилацетокси)этил. Наиболее предпочтительными сложноэфирными группами являются метильная и этильная, прежде всего этильная группа. Под объем изобретения прежде всего подпадают указанные выше соединения, в которых три символа из Х1-X4 независимо друг от друга обозначают группу C(Ra), C(Rb) или C(Rc), а четвертый обозначает группу С(Rd). В предпочтительном варианте осуществления изобретение включает прежде всего указанные выше соединения, в которых a-Rd независимо друг от друга обозначают водород, алкенил, алкенилкарбонилоксиалкокси, алкенилокси, алкинил, алкокси, алкоксиалкенил, алкоксиалкокси, алкоксиалкил, алкоксикарбонилалкокси, алкоксикарбониларилалкокси, алкоксикарбониларилокси, алкил, алкилкарбонилалкокси, алкилкарбонилоксиалкокси, алкилкарбоксамидоалкокси, алкилсульфанилалкокси, аминоалкокси, арил, арилалкенил, арилалкокси, арилалкоксиалкокси, арилалкил, арилкарбонилалкокси, арилкарбоксамидоалкокси, арилокси, арилоксиалкокси, карбокси, карбоксиалкил, карбоксиалкокси, карбоксиарилалкокси, карбоксиарилокси, карбамоилалкокси, циклоалкил, циклоалкокси, циклоалкилалкокси, циклоалкиламино, циклоалкиламиноалкил, циклоалкиламинокарбонилокси, циклоалкилкарбамоилалкокси, дигидроксиалкокси, галоген, галоалкенил, галоалкокси, галоалкил, гидроксиалкокси, гидроксиалкоксиалкокси, гидроксиалкил, гидроксициклоалкокси, моно- или диалкиламиноалкокси, моно- или диалкиламиноалкил, моно- или диалкиламинокарбонилалкокси или гетероциклический заместитель, выбранный из группы, включающей морфолинилалкокси, морфолинилалкил, морфолинилоксоалкокси, пиперидинилалкокси, пиперидинилокси, пиридиниламиноалкил, алкилсульфонилпиперидинилокси, фуранилалкокси, имидазолилалкил, изатиазолилокси, пирролидинил, пирролидинилалкокси, пирролидинилалкил, пирролидинилокси, пирролидинилоксоалкокси, оксадиазолил, тетрагидрофуранилалкокси, тетрагидрофуранилокси, тетрагидропиранилалкокси, тетрагидропиранилокси и тиазолилалкокси, где гетероциклические заместители необязательно замещены алкилом, алкокси-, тетразолилметоксигруппой, алкилсульфонилом или алкоксикарбонилалкилом или две смежные группы из Ra-Rd вместе образуют фрагмент сконденсированного 1,4-диоксанового, 1,3-диоксоланового, 1-оксанового или арильного кольца. Особенно предпочтительными являются указанные выше соединения, в которых Ra-Rd независимо друг от друга обозначают водород, алкенил, алкенилокси, алкинил, алкокси, алкоксиалкенил, алкоксиалкокси, алкоксиалкил, алкоксикарбониларилалкокси, алкил, алкилкарбонилалкокси, алкилсульфанилалкокси, арилкарбоксамидоалкокси, карбамоилалкокси, карбониларилалкокси, циклоалкокси, циклоалкилалкокси, циклоалкиламинокарбонилокси, циклоалкилкарбамоилалкокси, дигидроксиалкокси, галоген, галоалкенил, галоалкокси, галоалкил, гидроксиалкокси, гидроксиалкоксиалкокси, гидроксиалкил, гидроксициклоалкокси, моно- или диалкиламиноалкокси или гетероциклический заместитель, выбранный из группы, включающей пиперидинилокси, фуранилалкокси, изатиазолилокси, морфолинилалкил, пиридиниламиноалкил, пирролидинилалкил, пирролидинилокси, тетрагидрофуранилокси и тетрагидропиранилокси, где гетероциклические заместители необязательно замещены алкилом, алкокси-, тетразолилметоксигруппой, алкилсульфонилом или алкоксикарбонилалкилом. Другими предпочтительными соединениями являются соединения, в которых Ra-Rd независимо друг от друга обозначают водород, алкенил, алкенилокси, алкинил, алкокси, алкоксиалкенил, алкоксиалкокси, алкоксиалкил, алкил, алкилкарбонилалкокси, алкилсульфанилалкокси, арилкарбоксамидоалкокси, алкоксикарбониларилалкокси, карбамоилалкокси, карбоксиарилалкокси, циклоалкокси, циклоалкилалкокси, циклоалкиламинокар-бонилокси, циклоалкилкарбамоилалкокси, дигидроксиалкокси, галоген, галоалкенил, галоалкокси, галоалкил, гидроксиалкокси, гидроксиалкоксиалкокси, гидроксиалкил, гидроксициклоалкокси, моно- или диалкиламиноалкокси или гетероциклический заместитель, выбранный из группы, включающей пиперидинилокси, фуранилалкокси, изатиазолилокси, морфолинилалкил, пиридиниламиноалкил, пирролидинилалкил, пирролидинилокси, тетрагидрофуранилокси и тетрагидропиранилокси, где гетероциклические заместители необязательно замещены алкилом, алкокси-, тетразолилметоксигруппой, алкилсульфонилом или алкоксикарбонилалкилом. Наиболее предпочтительными соединениями являются соединения, в которых Ra-Rd независимо друг от друга обозначают водород, алкенил, алкинил, алкокси, алкил, карбамоилалкокси, циклоалкокси, циклоалкилалкокси, дигидроксиалкокси, галоген, галоалкокси, галоалкил, гидроксиалкокси, гидроксиалкил, гидроксициклоалкокси, моно- или диалкиламиноалкокси или гетероциклический заместитель, выбранный из группы, включающей морфолинилалкил, пиперидинилокси, пиридиниламиноалкил, пирролидинилалкил, пирролидинилокси и тетрагидропиранилокси, где гетероциклические заместители необязательно замещены алкилом, алкокси-, тетразолилметоксигруппой, алкилсульфонилом или алкоксикарбонилалкилом. Согласно еще одному предпочтительному варианту осуществления изобретения предпочтительными являются соединения, в которых Ra-Rd независимо друг от друга обозначают водород, алкенил, алкинил, алкокси, алкил, карбамоилалкокси, галоген, гидроксиалкокси, гидроксициклоалкокси, моно- или диалкиламиноалкокси или гетероциклический заместитель, выбранный из группы, включающей морфолинилалкил, пиперидинилокси, пиридиниламиноалкил, пирролидинилалкил и тетрагидропиранилокси, где гетероциклический заместитель необязательно замещен алкилом, алкокси-, тетразолилметоксигруппой, алкилсульфонилом или алкоксикарбонилалкилом. В наиболее предпочтительном варианте осуществления изобретение относится к указанным выше соединениям, в которых X1 обозначает группу C(Ra), X2 обозначает группу C(Rb), X3 обозначает группу C(Rc) и X4 обозначает группу (C(Rd). Изобретение предпочтительно включает указанные выше соединения, в которых Ra обозначает водород, карбамоилалкокси, гидроксиалкокси или галоген, предпочтительно водород. Кроме того, изобретение также предпочтительно относится к указанным выше соединениям, в которых Rb обозначает водород, алкенил, алкинил, алкoкси или алкил, предпочтительно алкокси. Далее, изобретение предпочтительно относится к указанным выше соединениям, в которых Rc обозначает водород, алкокси, моно- или диалкиламиноалкокси или гидроксиалкокси, предпочтительно водород или алкокси. Еще в одном предпочтительном варианте осуществления изобретение относится к указанным выше соединениям, в которых Rd обозначает водород, алкокси, гидроксициклоалкокси, моно- или диалкиламиноалкокси или гетероциклический заместитель, выбранный из группы, включающей морфолинилалкил, пиперидинилокси, пиридиниламиноалкил, пирролидинилалкил или тетрагидропиранилокси, где гетероциклические заместители необязательно замещены алкилом или алкилсульфонилом. Кроме того, изобретение предпочтительно относится к указанным выше соединениям, в которых один из символов G1 и G2 обозначает водород, а другой обозначает водород, алкил, гидрокси, алкокси, ароил или группу COO-Re или OCO-Re и Re обозначает алкил, необязательно замещенный галогеном, гидрокси-, алкокси-, карбоксигруппой, алкилкарбонилоксикарбонилом или арилкарбонилоксикарбонилом. Предпочтительными указанными выше соединениями являются соединения, в которых один из символов G1 и G2 обозначает водород или гидрокси, а другой обозначает водород. В особенно предпочтительном варианте осуществления оба символа G1 и G2 обозначают водород. Кроме того, предпочтительными являются указанные выше соединения, в которых R1 обозначает водород. Предпочтительными указанными выше соединениями также являются соединения, в которых символ Е обозначает водород. В наиболее предпочтительном варианте осуществления предпочтительными указанными выше соединениями являются соединения, в которых не более двух из радикалов Ra-Rd одновременно обозначают водород. Согласно еще одному варианту осуществления изобретение включает указанные выше соединения, в которых Х1 обозначает группу C(Ra) и Х2, X3 и Х4 независимо друг от друга обозначают группу, выбранную из групп C(Rd), C(Rb) и C(Rc). Кроме того, изобретение относится к указанным выше соединениям, в которых Х2 обозначает группу C(Rb) и X1, X3 и X4 независимо друг от друга обозначают группу, выбранную из групп С(Rd), C(Ra) и C(Rc). Кроме того, изобретение относится к указанным выше соединениям, в которых X3 обозначает группу С(Rc) и Х1, Х2 и Х4 независимо друг от друга обозначают группу, выбранную из групп С(Rd), C(Rb) и C(Ra). Кроме того, изобретение относится к указанным выше соединениям, в которых Х4 обозначает группу C(Rd) и X1, X2 и X3 независимо друг от друга обозначают группу, выбранную из групп С (Ra), С (Rb) и С (Rc). В частности, предпочтительными соединениями являются соединения формулы I, описанные в примерах, в качестве индивидуальных соединений, находящиеся в форме свободных кислот, их сложных эфиров, а также гидратов или сольватов и фармацевтически приемлемых солей. Предпочтительными индивидуальными соединениями являются соединения, выбранные из группы, включающей: а) (RS)-(4-карбамимидоилфениламино)-[4-(2-диметиламиноэтокси)-3-этоксифенил] уксусную кислоту; б) (RS)- и (SR)-(4-карбамимидоилфениламино)-[3-этокси-5-[(1-RS,2RS)-2-гидроксициклопентилокси]фенил]уксусную кислоту; в) (RS)-(4-карбамимидоилфениламино)-(3,5-диэтокси-2-фторфенил)уксусную кислоту; г) (RS)-(4-карбамимидоилфениламино)-[3-этокси-5-[(1-метилпиперидин-4-илокси)фенил]уксусную кислоту; д) (RS)- и (SR)-(4-карбамимидоилфениламино)-[3-этокси-4-[(RS)-2-гидрокси-1-метилэтокси]фенил]уксусную кислоту; e) (RS)- и (SR)-(4-карбамимидоилфениламино)-[3-этокси-5-[(1RS,2RS)-2-гидроксициклогексилокси]фенил]уксусную кислоту; ж) (RS)-(4-карбамимидоилфениламино)-[3-этокси-5-(1-метансульфонилпиперидин-4-илокси)фенил]уксусную кислоту; з) (4-карбамимидоилфениламино)-[3-этокси-5-(тетрагидропиран-4-илокси)фенил]уксусную кислоту; и) (RS)-(4-карбамимидоилфениламино)-(3-этинил-5-пирролидин-1-илметилфенил) уксусную кислоту; к) (RS)-(4-карбамимидоилфениламино)-(3-пирролидин-1-илметил-5-винилфенил)уксусную кислоту; л) гидрохлорид (RS)-(4-карбамимидоилфениламино)-(3-этокси-4-метоксифенил)уксусную кислоту; м) (RS)-(4-карбамимидоилфениламино)-(2-фтор-3,5-диметоксифенил)уксусную кислоту; н) (RS)-(4-карбамимидоилфениламино)-[3-этокси-5-(пиридин-2-иламинометил)фенил]уксусную кислоту; о) (RS)-(4-карбамимидоилфениламино)-(3-этокси-5-морфолин-4-илметилфенил)уксусную кислоту; п) (RS)-(4-карбамимидоилфениламино)-[3-этокси-4-(2-гидроксиэтокси)фенил] уксусную кислоту; р) (RS)-(4-карбамимидоилфениламино)-[4,5-диэтокси-2-(2-гидроксиэтокси)фенил]уксусную кислоту; с) (RS)-(4-карбамимидоилфениламино)-[3-(3-диметиламино-2,2-диметилпропокси)-5-этилфенил]уксусную кислоту; т) (RS)-(4-карбамимидоилфениламино)-[3-этокси-4-(2-гидроксиэтокси)фенил] уксусную кислоту; у) (RS)-(4-карбамимидоилфениламино)-[4,5-диэтокси-2-(3-гидроксипропокси)фенил] уксусную кислоту и ф) (RS)-(4-карбамимидоилфениламино)-(2-карбамоилметокси-4,5-диэтоксифенил)уксусную кислоту. Соединения формулы I могут быть получены путем превращения нитрильной группы в соединении формулы II ![]() где X1, X2, X3, X4, R1 и Е имеют указанные выше значения, в карбамимидоильную группу или в N-гидроксикарбамимидоильную группу и при необходимости путем модификации реакционноспособной группы, присутствующей в полученном соединении формулы I, и при необходимости путем превращения полученного соединения формулы I в физиологически совместимую соль или превращения соли соединения формулы I в свободную кислоту или основание. Превращение нитрильной группы в соединении формулы II в карбамимидоильную группу -C(NH)NH2 или в N-гидроксикарбамимидоильную группу -C(NOH)NH2 может быть осуществлено хорошо известными методами. Например, превращение в N-гидроксикарбамимидоильную группу может быть осуществлено путем растворения соединения формулы II в растворителе, таком как ДМФ, этанол или метанол, обработки раствора гидроксиламином или солью гидроксиламина с неорганической кислотой, такой как гидрохлорид гидроксиламина, и после этого основанием, таким как диизопропилэтиламин или триэтиламин, гидрид натрия или метанолят натрия, обычно при температуре до 80oС. Превращение нитрильной группы в карбамимидоильную группу может быть осуществлено, например, путем обработки соединения формулы II в растворителе, таком как этанол или метанол, или в смеси растворителей, такой как хлороформ и метанол или хлороформ и этанол, струей безводного хлористого водорода, обычно при температуре ниже 10oС, последующей обработки реакционного раствора растворителем, таким как диэтиловый эфир, и фильтрации осадившегося иминоэфира. Полученный таким образом продукт обрабатывают в растворителе, таком как метанол или этанол, либо газообразным аммиаком, либо аммонийной солью, такой как хлорид аммония, обычно при температуре до 80oС. В альтернативном варианте содержащий иминоэфир раствор может быть упарен и остаток может быть обработан газообразным аммиаком или аммонийной солью в метаноле или этаноле. Аналогичным образом иминоэфир может быть превращен в N-гидроксикарбамимидоильное производное формулы I с помощью гидроксиламина или его соли в присутствии основания. В качестве модификаций функциональных групп, присутствующих в соединении формулы I, могут рассматриваться прежде всего превращение N-гидроксикарбамимидоильной группы в карбамимидоильную группу, этерификация карбоксигруппы до сложного эфира, омыление сложноэфирной группы и расщепление группы простого эфира, такой как простая арилалкильная эфирная группа, например группа простого бензилового эфира. Все эти реакции могут быть осуществлены хорошо известными методами. Для превращения N-гидроксикарбамимидоильной группы в карбамимидоильную группу амидоксим формулы I может быть подвергнут гидрированию в растворителе, таком как этанол, метанол, диоксан, ТГФ или ледяная уксусная кислота, или в смеси растворителей, такой как этанол и ледяная уксусная кислота, с помощью водорода в присутствии катализатора, такого как палладий, платина или никель. Таким путем могут быть модифицированы другие реакционноспособные группы, присутствующие в соединении формулы I, которые обладают реакционной способностью в отношении восстановителя. Например, в случае осуществления гидрирования в присутствии палладия бензилоксигруппу Ra, Rd, Rc или Rd превращают в гидроксигруппу. Путем взаимодействия соединения формулы I, в котором G1 и G2 обозначают водород, с эфиром хлормуравьиной кислоты формулы ClС(O)O-Re, где Re имеет указанные выше значения и где гидрокси- или карбоксигруппа присутствует в защищенной форме, в растворителе, таком как дихлорметан, диоксан или ДМФ, или в смеси растворителей, такой как дихлорметан и вода или этилацетат и вода, в присутствии органического основания, такого как пиридин или триэтиламин, или неорганического основания, такого как гидроксид натрия, карбонат натрия или бикарбонат калия, получают соответствующее соединение формулы I, в которой G1 и G2 обозначают группу -С(O)O-Re. Аналогично этому соединение формулы I, где G1 и G2 обозначают водород, может быть превращено с помощью пара-нитрофенилкарбоната формулы пара-NO2C6H4OCOO-Re в соответствующее соединение формулы I, где один из радикалов G1 и G2 обозначает -COO-Re. Реакцию осуществляют путем обработки пара-нитрофенилкарбоната в ТГФ и ДМФ сначала N, N-диизопропилэтиламином, а затем соединением формулы I, где 1 и G2 обозначают водород. Путем взаимодействия соединения формулы I, в котором G1 и G2 обозначают водород, с ацилхлоридом, таким как ароилхлорид, получают соответствующее соединение формулы I, в котором один из радикалов G1 и G2 обозначает водород, а другой обозначает ацил. Реакцию проводят путем обработки ацилхлорида в ТГФ и ДМФ сначала N,N-диизопропилэтиламином, а затем соединением формулы I, где G1 и G2 обозначают водород. Соединения формулы I, в которой G1 или G2 обозначают группу -COO-Re и Re обозначает алкил, замещенный алкилкарбонилокси- или ароилоксигруппой, могут быть получены хорошо известными способами (Synthesis, 1990, с. 1159-1166; J. Med. Chem. 31, с. 318-322, 1988) путем взаимодействия карбамимидоильного производного с пара-нитрофенилалканоилоксиэтилкарбонатом. Путем взаимодействия соединения формулы I, в котором один из радикалов G1 и G2 обозначает гидрокси, а другой обозначает водород, с ацилгалогенидом может быть получено соединение формулы I, где один из радикалов G1 и G2 обозначает -OCORe. Реакцию проводят путем обработки ацилхлорида в ТГФ и ДМФ сначала N,N-диизопропилэтиламином, а затем соединением формулы I, в котором G1 и G2 обозначают водород. Соединения формулы II могут быть получены хорошо известными методами, например, представленными ниже в настоящем описании и/или описанными в примерах, или по аналогии с указанными методами. Например, альдегид формулы III ![]() где X1, X2, X3 и Х4 имеют указанные выше значения, может быть подвергнут взаимодействию с пара-аминобензонитрилом формулы IV ![]() где Е имеет указанное выше значение, и бензилизонитрилом и первичным алканолом, таким как метанол или этанол, в присутствии эфирата трифторида бора. Путем гидролиза образовавшегося иминоэфира с помощью воды получают соединение формулы II, в которой R1 обозначает метил или этил. Путем гидролиза сложноэфирной группы R1, например путем обработки LiOH в тетрагидрофуране, получают соединение формулы II, в которой R1 обозначает водород. Для получения соединений формулы II используют следующие реакции. Путем взаимодействия соединений формулы II, в которых один или несколько радикалов Ra-Rd обозначает(ют) алкилтиогруппу, с окислителем, таким как мета-хлорпербензойная кислота или озон, в пригодном растворителе, таком как смесь ацетон-вода или метиленхлорид, получают соединение формулы II, в котором алкилтиогруппа превращена в алкилсульфинильную или алкилсульфонильную группу; обозначает(ют) алкоксигруппу, такую как метокси-, изопропокси- или бензилоксигруппа, с кислотой Льюиса, такой как трибромид брома или трихлорид брома, в пригодном растворителе, таком как метиленхлорид, или необязательно путем каталитического гидрирования, например, в этилацетате или этаноле, получают соединения формулы II, в которых алкоксигруппа превращена в гидроксигруппу; обозначает(ют) гидроксигруппу, – с алкилирующим агентом, таким как алкилбромид, алкилиодид или алкилмезилат, в присутствии основания, такого как карбонат калия или карбонат цезия, в растворителе, таком как ДМФ или ацетон, или – путем реакции Мицунобу с использованием спирта в присутствии DEAD и трифенилфосфина в растворителе, таком как ТГФ или диоксан, или – путем взаимодействия с эпоксидом, таким как циклопентеноксид, в присутствии основания, такого как карбонат калия, предпочтительно при температуре до 150oС, получают соединения формулы II, в которых гидроксигруппа превращена в алкоксигруппу; обозначает(ют) гидроксигруппу, с арил- или гетероарилбороновой кислотой, такой как фенилбороновая кислота или 3-пиридилбороновая кислота, в присутствии ацетата меди и основания, такого как пиридин или триэтиламин, в растворителе, таком как метиленхлорид, получают соединения формулы II, в которых гидроксигруппа превращена в арилокси- или гетероарилоксигруппу; обозначает(ют) гидрокси, с ангидридом трифторметансульфоновой кислоты в присутствии основания, такого как пиридин или триэтиламин, и в пригодном растворителе, таком как метиленхлорид или ТГФ, и путем последующего взаимодействия с арил- или гетероарилбороновой кислотой, такой как пиридинбороновая кислота или тиофенбороновая кислота, в присутствии пригодного катализатора, такого как тетракис(трифенилфосфин) палладий, в растворителе, таком как толуол, предпочтительно при температуре до 100oС, получают соединения формулы II, в которых гидроксигруппа превращена в арильную или гетероарильную группу; обозначает(ют) нитрогруппу, путем каталитического гидрирования в присутствии катализатора, например палладия на угле, в растворителе, таком как этанол или ТГФ, получают соединения формулы II, в которых нитрогруппа превращена в аминогруппу; обозначает аминогруппу, – с алкилирующим агентом, таким как алкилгалогенид или алкилмезилат, в присутствии основания, такого как основание Хюнига или триэтиламин, в растворителе, таком как ТГФ, предпочтительно при повышенной температуре, или – с карбонильным производным, таким как пиридинкарбоксальдегид или 1-метил-4-пиперидон, в присутствии восстановителя, такого как, например, триацетоксиборогидрид натрия, в растворителе, таком как этилацетат, или – с эпоксидом, таким как, например, циклопентеноксид, в присутствии перхлората, такого как перхлорат лития, в растворителе, таком как ацетонитрил, предпочтительно при повышенной температуре, получают соединения формулы II, в которых аминогруппа превращена в алкиламино- или диалкиламиногруппу; обозначает(ют) аминогруппу, с хлорангидридом, таким как хлорангидрид циклопентанкарбоновой кислоты, фенилсульфонилхлорид или бутилсульфамо-илхлорид, в присутствии основания, такого как триэтиламин или основание Хюнига, и в инертном растворителе, таком как ТГФ или метиленхлорид, получают соединения формулы II, в которых аминогруппа превращена в амидную или сульфонамидную, или сульфамидную группу; обозначает(ют) аминогруппу, с изоцианатом, таким как, например, бутилизоцианат, в пригодном растворителе, таком как ТГФ, получают соединения формулы II, в которых аминогруппа превращена в мочевину; обозначает(ют) галоген, – с производным ацетилена, таким как, например, триметилсилилацетилен, в присутствии ацетата палладия и трифенилфосфина в растворителе, таком как триэтиламин, – путем реакции Стилле со станнаном, таким как, например, аллилтрибутилстаннан или трибутилэтинилстаннан, в присутствии катализатора, такого как тетракис(трифенилфосфин)палладий, и в пригодном растворителе, таком как диметилацетамид, предпочтительно при повышенных температурах, получают соединения формулы II, в которых заместитель, представляющий собой галоген, превращен в аллильную, или алкинильную, или винильную группу; обозначает(ют) галоген, путем реакции Сузуки с арил- или гетероарилбороновой кислотой, такой как фенилбороновая кислота или 3-пиридилбороновая кислота, в присутствии тетракис(трифенилфосфин)палладия и основания, такого как, например, карбонат калия, и в растворителе, таком как толуол или диоксан, получают соединения формулы II, в которых заместитель, представляющий собой галоген, превращен в арильную или гетероарильную группу; обозначает(ют) галоген, с эфиром бороновой кислоты, таким как бис(пинаколато)диборон, в присутствии ацетата калия и хлорида бис(трифенилфосфин)палладия(II) в растворителе, таком как диоксан, и последующего взаимодействия с арил- или гетероарилгалогенидом, таким как, например, 3-бромпиридин, в присутствии карбоната калия и тетракис(трифенилфосфин)палладия в растворителе, таком как толуол, при повышенной температуре получают соединения формулы II, в которых заместитель, представляющий собой галоген, превращен в арильную или гетероарильную группу; обозначает(ют) алкенил или алкинил, путем каталитического гидрирования в присутствии катализатора, например палладия на угле, и в растворителе, таком как этанол, этанолуксусная кислота или ТГФ, получают соединения формулы II, в которых алкенильная или алкинильная группа восстановлена до алкильной группы; обозначает(ют) винил, путем реакции добавления колец (3+2) с помощью, например, нитроэтана и ди-трет-бутилдикарбоната, в присутствии диметиламинопиридина в растворителе, таком как ацетонитрил, получают соединения формулы II, в которых винильная группа превращена в дигидроизоксазольную группу; обозначает(ют) гидроксиметил, с метансульфонилхлоридом в присутствии основания, такого как триэтиламин, и в растворителе, таком как метиленхлорид или ТГФ, и последующего взаимодействия с пригодным амином, таким как, например, пирролидин или морфолин, в растворителе, таком как ТГФ, получают соединения формулы II, в которых гидроксиметильная группа превращена в моно- или диалкиламинометильную группу; обозначат(ют) гидроксиметил, с окислителем, таким как оксалилхлорид и диметилсульфоксид, в присутствии триэтиламина и в растворителе, таком как метиленхлорид, предпочтительно при низкой температуре, получают соединения формулы II, в которых гидроксиметильная группа превращена в формильную группу; обозначает(ют) формил, путем реакции Виттига с использованием галогенида алкилтрифенилфосфония, такого как, например, бромид метилтрифенилфосфония, в присутствии основания, такого как, например, карбонат калия, в растворителе, таком как смесь диоксан-вода, предпочтительно при повышенной температуре, получают соединения формулы II, в которых формильная группа превращена в алкенильную группу; обозначает(ют) формил, с амином, таким как, например, пирролидин, и с пригодным восстановителем, таким как, например, цианборогидрид натрия, в растворителе, таком как метанол, при значении рН, доведенном до 6, например, с помощью уксусной кислоты, получают соединения формулы II, в которых формильная группа превращена в алкиламинометильную группу; обозначает(ют) формил, – с 1,2-диамином, таким как, например, 1,2-фенилендиамин, в присутствии окислителя, такого как DDQ, в растворителе, таком как ацетонитрил, или – с глиоксалем и аммиаком в смеси вода-этанол получают соединения формулы II, в которых формильная группа превращена в имидазолильную группу; обозначает(ют) бензилоксикарбонилалкоксигруппу, путем каталитического гидрирования в присутствии катализатора, например палладия на угле, в растворителе, таком как смесь этанол-уксусная кислота, получают соединения формулы II, в которых бензилоксикарбонилалкоксигруппа превращена в карбоксиалкоксигруппу; обозначает(ют) карбоксиалкоксигруппу, с амином, таким как, например, пирролидин или морфолин, и связывающим веществом, таким как, например, БОП, в присутствии основания, такого как 4-этилморфолин, и в растворителе, таком как ДМФ, получают соединения формулы II, в которых карбоксиалкоксигруппа превращена в карбамоилалкоксигруппу. Соединения формулы III являются хорошо известными. Они могут быть получены, например, путем взаимодействия соединений формулы III, в которых один или несколько радикалов Ra-Rd обозначает(ют) гидроксигруппу, – с алкилирующим агентом, таким как, например, бензилбромид или этилбромид, в присутствии основания, такого как карбонат калия или карбонат цезия, в пригодном растворителе, таком как ДМФ или ацетон, предпочтительно при повышенной температуре, или – путем реакции Мицунобу со спиртом в присутствии DEAD и трифенилфосфина в растворителе, таком как ТГФ или диоксан, получают соединения формулы II, в которых гидроксигруппа превращена в алкоксигруппу; обозначает(ют) формильную группу, посредством реакции Виттига с галогенидом алкилтрифенилфосфония, таким как, например, бромид метилтрифенилфосфония, в присутствии основания, такого как, например, карбонат калия, в растворителе, таком как смесь диоксан-вода, предпочтительно при повышенной температуре, получают соединения формулы II, в которых формильная группа превращена в алкенильную группу. Соединения формулы III, в которых один из радикалов Ra-Rd обозначает алкилтио или 1-гидроксиалкил, также могут быть получены путем взаимодействия альдегида, защищенного в виде ацеталя или аминаля, где рассматриваемый радикал из Ra-Rd обозначает водород, бром или иод, с сильным основанием, таким как, например, бутиллитий, например, в ТГФ, и последующего взаимодействия с дисульфидами, такими как, например, диметилдисульфид, в растворителе, таком как ТГФ, или альдегидами, такими как ацетальдегид, и последующего удаления защитной группы альдегидной функции с помощью водной кислоты. Соединения формулы III также могут быть получены путем – формилирования соответствующим образом замещенного ароматического соединения с использованием обычных методов, таких как реакция Вильсмайера, взаимодействие с тетрахлоридом титана и простым метилдихлорметиловым эфиром, взаимодействие с хлороформом-гидроксидом натрия или с гексаметилентетрамином и уксусной кислотой; – окисления бензилового спирта известными методами, например с помощью диоксида марганца; – взаимодействия толуольного производного N-бромсукцинимида в присутствии инициатора радикалов, например AlBN, и последующего взаимодействия с 2-нитропропаном в присутствии основания, такого как этилат натрия. В том случае, если их получение не описано в примерах, соединения формул III и IV могут быть получены описанными выше методами или аналогичными методами. Соединения формулы I, их сольваты и соли ингибируют образование факторов свертывания Ха, IХа и тромбина, индуцируемого фактором VIIa и тканевым фактором. Поэтому эти соединения оказывают воздействие как на агрегацию тромбоцитов, которая индуцируется этими факторами, так и на плазматическое коагулирование крови. Вследствие этого они ингибируют образование тромбов и могут применяться для лечения или предупреждения болезней, таких как тромбоз, апоплексия, инфаркт сердца, воспаление и артериосклероз. Кроме того, эти соединения оказывают воздействие на опухолевые клетки и предупреждают метастазы. Поэтому они также могут применяться в качестве противоопухолевых агентов. Таким образом, настоящее изобретение относится также к фармацевтической композиции, содержащей описанное выше соединение, в предназначенной для введения галеновой форме. Изобретение также включает описанные выше соединения, предназначенные для применения в качестве лекарственных средств, прежде всего в качестве ингибиторов образования факторов свертывания Ха, IХа и тромбина, индуцируемого фактором VIIa и тканевым фактором, прежде всего в качестве лекарственных средств для лечения или предупреждения тромбоза, апоплексии, инфаркта сердца, воспаления и артериосклероза или в качестве противоопухолевых агентов. Кроме того, изобретение относится к применению описанного выше соединения для приготовления лекарственных средств, содержащих указанное выше соединение, предназначенных для лечения или предупреждения тромбоза, апоплексии, инфаркта сердца, воспаления и артериосклероза или в качестве противоопухолевых агентов. Ингибирование амидолитической активности комплекса фактор VIIa/тканевый фактор соединениями по изобретению может быть продемонстрировано с использованием хромогенного пептидного субстрата, как это описано ниже. Измерения проводили с использованием титрационных микропланшетов при комнатной температуре. Для этой цели 100 мкл раствора, содержащего 26 нМ тканевого фактора, 9 нМ растворимого фактора VIIa и 8 мМ хлорида кальция, добавляли в каждую лунку планшета к 25 мкл раствора ингибитора в буфере [рН 7,5, 100 мМ буфера, содержащего 0,14 М NaCl, 0,1 M N-(2-гидроксиэтил)пиперазин-N’-(2-этансульфоновую кислоту) (HEPES), 0,5 мг/л не содержащего жирных кислот бычьего сывороточного альбумина (БСА) и 0,05% NaN3]. После инкубации в течение 15 мин начинали реакцию путем добавления 50 мкл хромогенного субстрата Chromozym-tPA (3,5 мМ, MeSO2-D-Phe-Gly-Arg-пара-нитроанилид) и в течение 10 мин оценивали гидролиз субстрата спектрофотометрическим методом с помощью кинетического планшет-ридера для титрационных микропланшетов. Значения Ki определяли на основе графиков зависимостей ингибирования согласно методу, описанному в Biochem. J. 55, 170-171, 1953. Результаты представлены ниже (Ki выражены в мкМ/л): Пример – Ki 4.е – 0,061 15 – 0,084 17 – 0,0385 26.e – 0,1144 Кроме того, активность веществ с низкой молекулярной массой может быть определена в опыте по оценке свертываемости с определением “протромбинового времени” (РТ). Вещества использовали в виде 10 мМ раствора в ДМСО или ДМСО/0,1 М НСl (DHCl) и после этого приготавливали требуемые разведения с помощью этого же растворителя. Затем 0,25 мл человеческой плазмы (полученной из цельной крови, антикоагулированной с помощью 1/10 объема 108 мМ цитрата натрия) помещали в специальный предназначенный для проведения измерений контейнер. Затем с этой плазмой для каждого варианта смешивали по 5 мкл каждого из серийных разведений вещества. Полученную смесь плазма/ингибитор инкубировали в течение 2 мин при 37oС. После этого в измерительный контейнер полуавтоматического прибора (фирма ACL, Automated Coagulation Laboratory (Instrument Laboratory)) вносили с помощью пипетки 50 мкл смеси плазма/ингибитор. Реакцию свертывания инициировали путем добавления 0,1 мл Innovin (рекомбинантный человеческий тканевый фактор, объединенный с кальциевым буфером и синтетическими фосфолипидами (фирма Dade Behring , Inc.). Промежуток времени до сшивания фибрина определяли фотооптическим путем с помощью прибора фирмы ACL. Концентрацию ингибитора, которая приводит к удвоению времени свертывания РТ, определяли с помощью графика.
Значение Ki соединений по настоящему изобретению предпочтительно составляет приблизительно 0,1-500 нМ, более предпочтительно приблизительно 0,1-100 нМ. Величины РТ предпочтительно составляют приблизительно 0,1-10 мкМ, более предпочтительно приблизительно 0,1-5 мкМ.
Как указано выше, объектом настоящего изобретения являются также лекарственные средства, содержащие соединение формулы I, его сольват или соль, а также способ получения таких лекарственных средств, предусматривающий приготовление галеновой формы для введения на основе одного или нескольких таких соединений, сольватов или солей и при необходимости других обладающих терапевтической активностью веществ. Эти лекарственные средства могут вводиться перорально, например, в форме драже, желатиновых капсул с твердым и мягким покрытием, растворов, эмульсий или суспензий, или ректально, например, в форме суппозиториев, или в виде спрея. Однако введение также может осуществляться парентерально, например в форме инъецируемых растворов.
Для приготовления таблеток, таблеток с покрытием (филмтаблеток), драже и желатиновых капсул с твердым покрытием действующее вещество может быть смешано с фармацевтически инертными неорганическими или органическими эксципиентами. Пригодными эксципиентами для таблеток, филмтаблеток, драже и желатиновых капсул с твердым покрытием являются, например, лактоза, кукурузный крахмал или его производные, тальк, стеариновая кислота или ее соли. Пригодными эксципиентами для желатиновых капсул с мягким покрытием являются, например, растительные масла, воски, жиры, полутвердые и жидкие полиолы; однако в зависимости от природы действующего вещества для желатиновых капсул с мягким покрытием обычно не требуется никаких эксципиентов. Пригодными эксципиентами для приготовления растворов и сиропов являются, например, вода, полиолы, сахароза, инвертный сахар и глюкоза; пригодными эксципиентами для инъецируемых растворов являются, например, вода, спирты, полиолы, глицерин и растительные масла, а пригодными эксципиентами для суппозиториев являются природные и гидрогенизированные масла, воски, жиры, полужидкие или жидкие полиолы. Кроме того, фармацевтические композиции могут также содержать консерванты, солюбилизаторы, стабилизаторы, смачивающие агенты, эмульгаторы, подслащивающие вещества, красители, корригенты, соли для изменения осмотического давления, буферы, агенты для нанесения покрытия или антиоксиданты.
Доза действующего вещества для лечения или предупреждения указанных выше болезней может варьироваться в широких пределах и должна, конечно, быть адаптирована к индивидуальным требованиям в каждом конкретном случае. Как правило, в случае орального или парентерального, например, внутривенного или подкожного введения, для взрослых пригодна доза, составляющая приблизительно 0,1-20 мг/кг, предпочтительно приблизительно 0,6-4 мг/кг, в день, хотя указанный выше верхний предел может быть превышен, или доза может быть уменьшена, если это показано.
Ниже изобретение проиллюстрировано на примерах.
Пример 1.
1.1. Раствор 1,19 г 3,5-диметоксибензальдегида и 0,7234 г 4-аминобензонитрила в 20 мл метанола перемешивали при комнатной температуре. Через 1 ч добавляли 0,75 мл бензилизонитрила. Полученный раствор охлаждали до 0oС, а затем по каплям добавляли 2,33 мл эфирата трехфтористого бора таким образом, чтобы температура не превышала 10oС. Реакционную смесь перемешивали при комнатной температуре в течение 1 ч, а затем концентрировали при пониженном давлении. Остаток растворяли в 21 мл метанола и 2,2 мл воды, полученный раствор перемешивали при комнатной температуре в течение 2 ч, а затем концентрировали. Неочищенный продукт выделяли экстракцией и очищали хроматографией на силикагеле, при этом получали 1,66 г метилового эфира (RS)-(4-цианофениламино)-(3,5-диэтоксифенил)уксусной кислоты в виде пены коричневого цвета.
1.2. 22,9 мл 1 н. раствора LiOH добавляли к раствору соединения, полученного, как описано в примере 1.1, в 25 мл тетрагидрофурана. Реакционную смесь перемешивали при комнатной температуре в течение 2 ч. ТГФ выпаривали, полученный водный раствор подкисляли 1 н. НС1 и экстрагировали этилацетатом. Неочищенный продукт осаждали добавлением смеси этилового эфира с циклогексаном, при этом получали 1,29 г (RS)-(4-цианофениламино)-(3,5-диэтоксифенил)уксусной кислоты в виде твердого вещества.
1.3. 2,61 г гидрохлорида гидроксиламина и 10,5 мл триэтиламина добавляли к раствору 1,28 г соединения, полученного, как описано в примере 1.2, в 26 мл этанола. Полученный раствор кипятили с обратным холодильником в течение ночи, а затем концентрировали. Полученный остаток очищали хроматографией на силикагеле, при этом получали 0,74 г (Е)- и/или (Z)-(RS)-(3,5-диэтоксифенил)-[4-(N-гидроксикарбамимидоил)фениламино]уксусной кислоты в виде твердого вещества светло-серого цвета.
Пример 2. Аналогично примеру 12. а) из 4-этокси-3-метоксибензальдегида, 4-аминобензонитрила и бензилизонитрила получали метиловый эфир (RS)-(4-цианофениламино)-(4-этокси-3-метоксифенил)уксусной кислоты, из которого через промежуточное образование (RS)-(4-цианофениламино)-(4-этокси-3-метоксифенил)уксусной кислоты получали (Е)- и/или (Z)-(RS)-(4-этокси-3-метоксифенил)-[4-(N-гидроксикарбамимидоил)фениламино]уксусную кислоту; 2. б) из 4-бензилокси-3-этоксибензальдегида, 4-аминобензонитрила и бензилизонитрила получали метиловый эфир (RS)-(4-бензилокси-3-этоксифенил)-(4-цианофениламино) уксусной кислоты, из которого через промежуточное образование (RS)-(4-бензилокси-3-этоксифенил)-(4-цианофениламино)уксусной кислоты получали (Е)- и/или (Z)-(RS)-(4-бензилокси-3-этоксифенил)-[4-(N-гидроксикарбамимидоил)фениламино] уксусную кислоту; 2. в) из 3,5-диметоксибензальдегида, 4-амино-2-гидроксибензонитрила (полученного гидрированием над Pd/C 2-гидрокси-4-нитробензонитрила (W. Borsche, Ann. Chem. , 390, 1 (1912)) и бензилизонитрила получали метиловый эфир (RS)-(4-циано-3-гидроксифениламино)-(3,5-диметоксифенил) уксусной кислоты, из которого через промежуточное образование (RS)-(4-циано-3-гидроксифениламино)-(3,5-диметоксифенил)уксусной кислоты получали (Е)- и/или (Z)-(RS)-(3,5-диметоксифенил)-[3-гидрокси-4-(N-гидроксикарбамимидоил)фениламино] уксусную кислоту; 2. г) из бензальдегида, 4-аминобензонитрила и бензилизонитрила получали (RS)-(4-циано-3-гидроксифениламино)-(3,5-диметоксифенил)уксусную кислоту, из которой через промежуточное образование (RS)-(4-циaнoфeнилaмино)фенилуксусной кислоты получали (Е)- и/или (Z)-(RS)-[4-(N-гидроксикарбамимидоил)фениламино]фенилуксусную кислоту; 2. д) из 4-бензилокси-3-метоксибензальдегида, 4-аминобензонитрила и бензилизонитрила получали метиловый эфир (RS)-(4-бензилокси-3-метоксифенил)-(4-цианофениламино)уксусной кислоты, из которого через промежуточное образование (RS)-(4-бензилокси-3-метоксифенил)-(4-цианофениламино)уксусной кислоты получали (Е)- и/или (Z)-(RS)-(4-бензилокси-3-метоксифенил)-[4-(N-гидроксикарбамимидоил)фениламино]уксусную кислоту; 2.е) из метилового эфира 4-(4-формил-2-метоксифенокси)бензойной кислоты, 4-аминобензонитрила и бензилизонитрила получали метиловый эфир (RS)-4-[4-[(4-цианофениламино)метоксикарбонилметил] -2-метоксифенокси] бензойной кислоты, из которого через промежуточное образование (RS)-4-[4-[карбокси(4-цианофениламино)метил] -2-метоксифенокси] бензойной кислоты получали (Е)- и/или (Z)-(RS)-4-[4-[карбокси[4-(N-гидроксикарбамимидоил)фениламино] метил] -2-метоксифенокси]бензойную кислоту; 2.ж из 3,5-трифторметилбензальдегида, 4-аминобензонитрила и бензилизонитрила получали метиловый эфир (RS)-(3,5-бис-трифторметилфенил)-(4-цианофениламино) уксусной кислоты, из которого через промежуточное образование (RS)-(3,5-бис-трифторметилфенил)-(4-цианофениламино)уксусной кислоты получали (Е)- и/или (Z)-(RS)-(3,5-бис-трифторметилфенил)-[4-(N-гидроксикарбамимидоил)фениламино]уксусную кислоту. Пример 3. Раствор 0,3 г соединения, полученного, как описано в примере 1.3, в 6 мл этанола, 3 мл диметилформамида (ДМФ), 5 мл воды и 5 мл уксусной кислоты гидрировали в течение 4 ч в присутствии каталитического количества одного из каталитических количеств никеля Ренея. Затем реакционную смесь фильтровали, неочищенный продукт очищали хроматографией на силикагеле, при этом получали 0,12 г (RS)-(4-карбамимидоилфениламино)-3,5-диэтоксифенил)уксусной кислоты в виде твердого вещества светло-серого цвета. Пример 4. Аналогично примеру 3 4. а) из соединения, полученного, как описано в примере 2.а, получали ацетат (RS)-(4-карбамимидоилфениламино)-(4-этокси-3-метоксифенил)уксусной кислоты (1:1); 4. б) из соединения, полученного, как описано в примере 2.6, получали ацетат (RS)-(4-бензилокси-3-этоксифенил)-(4-карбамимидоилфениламино)уксусной кислоты (1:1); 4. в) из соединения, полученного, как описано в примере 2.в, получали ацетат (RS)-(4-карбамимидоил-3-гидроксифениламино)-(3,5-диметоксифенил)уксусной кислоты (1:1); 4. г) из соединения, полученного, как описано в примере 2.г, получали (RS)-(4-кapбaмимидoилфeнилaминo)фeнилyкcycнyю кислоту; 4. д) из соединения, полученного, как описано в примере 2д, получали (RS)-(4-бензилокси-3-метоксифенил)-(4-карбамимидоилфениламино)уксусную кислоту; 4. е) из соединения, полученного, как описано в примере 2.е, получали ацетат (RS)-4-[4-[(4-карбамимидоилфениламино)карбоксиметил]-2-метоксифенокси] бензойной кислоты (1:1); 4. ж) из соединения, полученного, как описано в примере 2.ж, получали (RS)-(3,5-бис-трифторметилфенил)-(4-карбамимидоилфениламино)уксусную кислоту. Пример 5. 5.1. Аналогично примеру 1.1 метиловый эфир 5-формил-2,3-диметоксибензойной кислоты (Wu F.Y., Brink D.L., J. Agric. Food. Chem., 25, 692 (1977)) вводили в реакцию с 4-аминобензонитрилом и бензилизонитрилом, при этом получали метиловый эфир (RS)-5-[(4-цианофениламино)метоксикарбонилметил] -2,3-диметоксибензойной кислоты. 5.2. Аналогично примеру 1.2 из соединения, полученного, как описано в примере 5.1, получали метиловый эфир (Е)- и/или (Z)-(RS)-5-[[4-(N-гидроксикарбамимидоил)фениламино] метоксикарбонилметил] -2,3 -диметоксибензойной кислоты. 5.3. Аналогично примеру 3 из соединения, полученного, как описано в примере 5.2, получали ацетат метилового эфира (RS)-5-[(4-карбамимидоилфениламино)метоксикарбонилметил]-2,3-диметоксибензойной кислоты (1:1). 5.4. Аналогично примеру 1.2 из соединения, полученного, как описано в примере 5.3, получали метиловый эфир (RS)-5-[(4-карбамимидоилфениламино)карбоксиметил]-2,3-диметоксибензойной кислоты. Пример 6. 6.1. Аналогично примеру 1.1 3,5-диметилбензальдегид вводили в реакцию с 4-аминобензонитрилом и бензилизонитрилом, при этом получали метиловый эфир (RS)-(4-цианофениламино)-(3,5-диметилфенил)уксусной кислоты. Аналогично примеру 1.2 из этого соединения получали (RS)-(4-цианофениламино)-(3,5-диметилфенил)уксусную кислоту. 6.2. Раствор 0,5 г соединения, полученного, как описано в примере 6.1, в 20 мл СНСl3/метанола (5:1) охлаждали до 0oС. Затем через реакционную смесь в течение 20 мин пропускали сухой газообразный хлористый водород, выдерживали при 4oС в течение 2 суток и концентрировали. Остаток растворяли в 200 мл насыщенного раствора аммиака в метаноле, кипятили с обратным холодильником в течение 3 ч и концентрировали. Остаток кристаллизовали из этилацетата, при этом получали 0,552 г гидрохлорида метилового эфира (RS)-(4-карбамимидоилфениламино)-(3,5-диметилфенил)уксусной кислоты (1:1) в виде твердого кристаллического вещества. 6.3. Аналогично примеру 1.3 из соединения, полученного, как описано в примере 6.2, получали гидрохлорид (RS)-(4-карбамимидоилфениламино)-(3,5-диметилфенил)уксусной кислоты (1:1). Пример 7. Аналогично примеру 6 7. а) 3,4-диметилбензальдегид вводили в реакцию с 4-аминобензонитрилом и бензилизонитрилом, при этом получали метиловый эфир (RS)-(4-цианофениламино)-(3,4-диметилфенил)уксусной кислоты, из которого через промежуточное образование (RS)-(4-цианофениламино)-(3,4-диметилфенил)уксусной кислоты и гидрохлорида метилового эфира (RS)-(4-карбамимидоилфениламино)-(3,4-диметилфенил)уксусной кислоты (1: 1) получали гидрохлорид (RS)-(4-карбамимидоилфениламино)-(3,4-диметилфенил)уксусной кислоты (1:1); 7.б) 3,4-диэтоксибензальдегид вводили в реакцию с 4-аминобензонитрилом и бензилизонитрилом, при этом получали метиловый эфир (RS)-(4-цианофениламино)-(3,4-диэтоксифенил)уксусной кислоты, из которого через промежуточное образование (RS)-(4-цианофениламино)-(3,4-диэтоксифенил)уксусной кислоты и гидрохлорида метилового эфира (RS)-(4-карбамимидоилфениламино)-(3,4-диэтоксифенил)уксусной кислоты (1: 1) получали (RS)-(4-карбамимидоилфениламино)-(3,4-диэтоксифенил)уксусную кислоту; 7. в) 3,4-диметоксибензальдегид вводили в реакцию с 4-аминобензонитрилом и бензилизонитрилом, при этом получали метиловый эфир (RS)-(4-цианофениламино)-(3,4 -диметоксифенил)уксусной кислоты, из которого через промежуточное образование (RS)-(4-цианофениламино)-(3,4-диметоксифенил) уксусной кислоты и гидрохлорида метилового эфира (RS)-(4-карбамимидоилфениламино)-(3,4-диметоксифенил)уксусной кислоты (1: 1) получали гидрохлорид (RS)-(4-карбамимидоилфениламино)-(3,4-диметоксифенил)уксусной кислоты (1:1); 7. г) 3,5-диметоксибензальдегид вводили в реакцию с 4-аминобензонитрилом и бензилизонитрилом, при этом получали метиловый эфир (RS)-(4-цианофениламино)-(3,5-диметоксифенил)уксусной кислоты, из которого через промежуточное образование (RS)-(4-цианофениламино)-(3,5-диметоксифенил)уксусной кислоты и гидрохлорида метилового эфира (RS)-(4-карбамимидоилфениламино)-(3,5-диметоксифенил)уксусной кислоты (1: 1) получали гидрохлорид (RS)-(4-карбамимидоилфениламино)-(3,5-диметоксифенил)уксусной кислоты (1:1); 7. д) 3,5-дихлорбензальдегид вводили в реакцию с 4-аминобензонитрилом и бензилизонитрилом, при этом получали метиловый эфир (RS)-(4-цианофениламино)-(3,5-дихлорфенил)уксусной кислоты, из которого через промежуточное образование (RS)-(4-цианофениламино)-(3,5-дихлорфенил)уксусной кислоты и гидрохлорида метилового эфира (RS)-(4-карбамимидоилфениламино)-(3,5-дихлорфенил)уксусной кислоты (1: 1) получали гидрохлорид (RS)-(4-карбамимидоилфениламино)-(3,5-дихлорфенил)уксусной кислоты (1:1); 7.е) 4,5-диметокси-2-фторбензальдегид вводили в реакцию с 4-аминобензонитрилом и бензилизонитрилом, при этом получали метиловый эфир (RS)-(4-цианофениламино)-(2-фтор-4,5-диметоксифенил)уксусной кислоты, из которого через промежуточное образование (RS)-(4-цианофениламино)-(2-фтор-4,5-диметоксифенил)уксусной кислоты и гидрохлорида метилового эфира (RS)-(4-карбамимидоилфениламино)-(2-фтор-4,5-диметоксифенил)уксусной кислоты (1:1) получали гидрохлорид (RS)-(4-карбамимидоилфениламино)-(2-фтор-4,5-диметоксифенил)уксусной кислоты (1:1); 7.ж) 3-этокси-4-метоксибензальдегид вводили в реакцию с 4-аминобензонитрилом и бензилизонитрилом, при этом получали метиловый эфир (RS)-(4-цианофениламино)-(3-этокси-4-метоксифенил)уксусной кислоты, из которого через промежуточное образование (RS)-(4-цианофениламино)-(3-этокси-4-метоксифенил)уксусной кислоты и гидрохлорида метилового эфира (RS)-(4-карбамимидоилфениламино)-(3-этокси-4-метоксифенил)уксусной кислоты (1: 1) получали гидрохлорид (RS)-(4-карбамимидоилфениламино)-(3-этокси-4-метоксифенил) уксусной кислоты (1:1); 7. з) 2,6-диметоксипиридин-4-альдегид (Kompis I., Muller W., Bohni E., Then R. , Montavon M., Eur. J. Chem.-Chim. Ther., 12, 531 (1977)) вводили в реакцию с 4-аминобензонитрилом и бензилизонитрилом, при этом получали метиловый эфир (RS)-(4-цианофениламино)-(2,6-диметоксипиридин-4-ил)уксусной кислоты, из которого через промежуточное образование (RS)-(4-цианофениламино)-(2,6-диметоксипиридин-4-ил)уксусной кислоты и гидрохлорида метилового эфира (RS)-(4-карбамимидоилфениламино)-(2,6-диметоксипиридин-4-ил)уксусной кислоты (1: 1) получали гидрохлорид (RS)-(4-карбамимидоилфениламино)-(2,6-диметоксипиридин-4-ил)уксусной кислоты (1:1) и 7. и) 3,5-диметоксибензальдегид вводили в реакцию с 3-аминобензонитрилом и бензилизонитрилом, при этом получали метиловый эфир (RS)-(3-цианофениламино)-(3,5-диметоксифенил)уксусной кислоты, из которого через промежуточное образование (RS)-(3-циaнoфeнилaминo)-(3,5-диметоксифенил)уксусной кислоты и гидрохлорида метилового эфира (RS)-(3-карбамимидоилфениламино)-(2,6-диметоксифенил)уксусной кислоты (1: 1) получали гидрохлорид (RS)-(3-карбамимидоилфениламино)-(3,5-диметоксифенил)уксусной кислоты (1:1). Пример 8. 8.1. Аналогично примеру 1.1 3-бензилокси-5-метоксибензальдегид вводили в реакцию с 4-аминобензонитрилом и бензилизонитрилом, при этом получали метиловый эфир (RS)-(3-бензилокси-5-метоксифенил)-(4-цианофениламино)уксусной кислоты. 8.2. Аналогично примеру 1.2 из соединения, полученного, как описано в примере 8.1, получали (RS)-(3-бензилокси-5-метоксифенил)-(4-цианофениламино)уксусную кислоту. 8.3. Аналогично примеру 1.2 из соединения, полученного, как описано в примере 8.2, получали гидрохлорид метилового эфира (RS)-(3-бензилокси-5-метоксифенил)-(4-карбамимидоилфениламино)уксусной кислоты (1:1) и гидрохлорид метилового эфира (RS)-(4-карбамимидоилфениламино)-(3-гидрокси-5-метоксифенил)уксусной кислоты (1:1). 8.4. Аналогично примеру 1.2 из первого соединения, полученного, как описано в примере 8.3, получали гидрохлорид (RS)-(3-бензилокси-5-метоксифенил)-(4-карбамимидоилфениламино)уксусной кислоты (1:1), а из второго соединения, полученного, как описано в примере 8.3, получали гидрохлорид (RS)-(4-карбамимидоилфениламино)-(3-гидрокси-5-метоксифенил)уксусной кислоты (1:1). Пример 9. Аналогично примеру 8 3-бензилокси-5-метоксибензальдегид вводили в реакцию с 4-аминобензонитрилом и бензилизонитрилом, при этом получали метиловый эфир (RS)-(3-бензилокси-5-метоксифенил)-(4-цианофениламино)уксусной кислоты. Затем из этого соединения получали (RS)-(3-бензилокси-5-этоксифенил)-(4-цианофениламино)уксусную кислоту, из которой через промежуточное образование гидрохлорида метилового эфира (RS)-(3-бензилокси-5-этоксифенил)-(4-карбамимидоилфениламино)уксусной кислоты (1:1) получали гидрохлорид (RS)-(3-бензилокси-5-этоксифенил)-(4-карбамимидоилфениламино)уксусной кислоты (1:1), а через промежуточное образование гидрохлорида метилового эфира (RS)-(4-карбамимидоилфениламино)-(3-этокси-5-гидроксифенил)уксусной кислоты (1: 1) получали гидрохлорид (RS)-(4-карбамимидоилфениламино)-(3-этокси-5-гидроксифенил)уксусной кислоты (1:1). Пример 10. 10.а. Раствор 0,5 г (RS)-(4-цианофениламино)-(3,4-диэтоксифенил)уксусной кислоты (см. пример 7. б) в 24 мл СНСl3/метанола (5:1) охлаждали до 0oС, а затем через раствор пропускали поток сухого газообразного НС1. Затем реакционную смесь выдерживали при oС в течение 1 суток и концентрировали. Остаток растворяли в CH2Cl2 и промывали насыщенным раствором NaHCO3. Органическую фазу сушили над Na2SO4 и фильтровали. Фильтрат концентрировали, остаток растворяли в этаноле. Раствор обрабатывали 1,02 г гидрохлорида гидроксиламина и 4,1 мл триэтиламина. Реакционную смесь кипятили с обратным холодильником в течение 3 ч. Неочищенный продукт экстрагировали и кристаллизовали из диэтилового эфира, при этом получали 0,27 г метилового эфира (Е)- и/или (Z)-(RS)-(3,4-диэтоксифенил)-[4-(N-гидроксикарбамимидоил)фениламино] уксусной кислоты в виде кристаллического твердого вещества. 10.б. Аналогично примеру 17.а из ацетата метилового эфира (RS)-(4-цианофениламино)-(3,5-диметоксифенил)уксусной кислоты (см. пример 7.г) получали гидрохлорид (Е)- и/или (Z)-(RS)-(3,5-диметоксифенил)-[4-(N-гидроксикарбамимидоил)фениламино]уксусной кислоты (1:1). Пример 11. Аналогично примеру 1.3 11. а) из (RS)-(4-цианофениламино)-(3,4-диэтоксифенил)уксусной кислоты (см. пример 7. б) получали (Е)- и/или (Z)-(RS)-(3,4-диэтоксифенил)-[4-(N-гидроксикарбамимидоил)фениламино]уксусную кислоту и 11.6) из (RS)-(4-цианофениламино)-(3,5-диметоксифенил)уксусной кислоты (см. пример 7.г) получали (Е)- и/или (Z)-(RS)-(3,5-диметоксифенил)-[4-(N-гидроксикарбамимидоил)фениламино]уксусную кислоту. Пример 12. 12.1. 0,808 мл этилового эфира бромуксусной кислоты и 1 г карбоната калия добавляли к раствору 838 мг 2-гидрокси-4,5-диметилбензальдегида (J. Chem. Soc. , 820 (1953)) в 150 мл ацетона. Полученную суспензию кипятили с обратным холодильником в течение ночи, фильтровали и полученный фильтрат концентрировали. Неочищенный продукт выделяли экстракцией и очищали хроматографией на силикагеле, при этом получали 952 мг этилового эфира (2-формил-4,5-диметилфенокси)уксусной кислоты в виде твердого вещества светложелтого цвета. 12.2. Аналогично примеру 1 соединение, полученное, как описано в примере 12.1, вводили в реакцию с 4-аминобензонитрилом и бензилизонитрилом, при этом получали метиловый эфир (RS)-(4-цианофениламино)-(2-этоксикарбонилметокси-4,5-диметилфенил)уксусной кислоты. Затем из полученного продукта через промежуточное образование (RS)-(2-карбоксиметокси-4,5-диметилфенил)-(4-цианофениламино)уксусной кислоты получали (Е)- и/или (Z)-(RS)-(2-карбоксиметокси-4,5-диметилфенил)-[4-(N-гидроксикарбамимидоил)фениламино] уксусную кислоту. Пример 13. Аналогично примеру 12.1 из 2-гидрокси-3,5-диметоксибензальдегида (Sinhababu A.K., Borchardt R.T., J. Org. Chem., 48, 1941-1944 (1983)) получали этиловый эфир (2-формил-4,6-диметоксифенокси)уксусной кислоты. Аналогично примеру 1 полученное соединение вводили в реакцию с 4-аминобензонитрилом, при этом получали метиловый эфир (RS)-(4-цианофениламино)-(2-этоксикарбонилметокси-3,5-диметоксифенил)уксусной кислоты. Затем из полученного соединения через промежуточное образование (RS)-(2-карбоксиметокси-3,5-диметоксифенил)-(4-цианофениламино)уксусной кислоты получали (Е)- и/или (Z)-(RS)-(2-карбоксиметокси-3,5-диметоксифенил)-[4-(N-гидроксикарбамимидоил)фениламино]уксусную кислоту. Пример 14. Аналогично примеру 3 из соединения, полученного, как описано в примере 12.2, получали (RS)-(4-карбамимидоилфениламино)-(2-карбоксиметокси-4,5-диметилфенил)уксусную кислоту. Пример 15. Аналогично примеру 3 из соединения, полученного, как описано в примере 13, получали (RS)-(4-карбамимидоилфениламино)-(2-карбоксиметокси-3,5-диметоксифенил)уксусную кислоту. Пример 16. Суспензию 10,88 г 2-бензилокси-4,5-диметоксибензальдегида и 4,72 г 4-аминобензонитрила интенсивно перемешивали при комнатной температуре в течение 1 ч, а затем добавляли 5 мл бензилизонитрила. Реакционную смесь охлаждали до 0oС, а затем добавляли 15 мл эфирата трехфтористого бора таким образом, чтобы температура не превышала 10oС. Полученный раствор коричневого цвета перемешивали при 5oС. Через 15 мин начиналось образование осадка. Затем смесь перемешивали при 5oС еще в течение 3 ч, твердое вещество отделяли фильтрованием и высушивали. При этом получали 19,1 г комплекса метилового эфира (Е)- и/или (Z)-(RS)-N-бензил-2-(2-бензилокси-4,5-диметоксифенил)-2-(4-цианофениламино)иминоуксусной кислоты с трехфтористым бором в виде кристаллического вещества светло-серого цвета. 16.2. Суспензию 13,1 г соединения, полученного, как описано в примере 16.1, в 1300 мл метанола и 130 мл воды кипятили с обратным холодильником в течение 1 ч. Полученный раствор концентрировали при пониженном давлении. После выпаривания почти всего метанола начинал выпадать осадок, который отделяли фильтрованием и высушивали. При этом получали 9,6 г метилового эфира (RS)-(2-бензилокси-4,5-диметоксифенил)-(4-цианофениламино)уксусной кислоты. 16.3. 400 мг палладия на угле добавляли к раствору 3,8 г соединения, полученного, как описано в примере 16.2, в 170 мл метанола и 17 мл ТГФ. Реакционную смесь гидрировали в течение 5 ч, затем фильтровали и концентрировали при пониженном давлении. Неочищенный продукт очищали хроматографией на силикагеле, при этом получали 1,5 г метилового эфира (RS)-(4-цианофениламино)-(2-гидрокси-4,5-диметоксифенил)уксусной кислоты. 16.4. Аналогично примеру 12.1 из соединения, полученного, как описано в примере 16.3, получали метиловый эфир (RS)-(4-цианофениламино)-(4,5-диметокси-2-метоксикарбонилметоксифенил)уксусной кислоты. 16.5. Аналогично примерам 1.2 и 1.3 из соединения, полученного, как описано в примере 16.4, через промежуточное образование (RS)-(2-карбоксиметокси-4,5-диметоксифенил)-(4-цианофениламино)уксусной кислоты получали (Е)- и/или (Z)-(RS)-(2-кapбoкcимeтoкcи-4,5-димeтoкcифeнил)-[4-(N-гидроксикарбамимидоил)фениламино]уксусную кислоту. Пример 17. Аналогично примеру 3 из соединения, полученного, как описано в примере 16.5, получали (RS)-(4-кapбaмимидoилфeнилaминo)-(2-кapбoкcимeтокси-4,5-диметоксифенил)уксусную кислоту. Пример 18. 18.1. 0,49 мл метилового эфира R-молочной кислоты, 1,26 г трифенилфосфина и 0,76 ммоля диэтилазодикарбоксилата добавляли к раствору 1,06 г соединения, полученного, как описано в примере 16.3, в 14 мл ТГФ. Реакционную смесь перемешивали при комнатной температуре в течение 1 ч, а затем концентрировали при пониженном давлении. Полученный остаток очищали хроматографией на силикагеле, при этом получали 0,91 г смеси 1:1 метиловых эфиров (S)-2-[2-[(R)- и -[(S)-(4-цианофениламино)метоксикарбонилметил]-4,5-диметоксифенокси]пропионовых кислот в виде пены коричневого цвета. 18.2. Аналогично примеру 1.2 из соединения, полученного, как описано в примере 18.1, получали два эпимера: (S)-2-[2-[(R)- или -[(S)-карбокси(4-цианофениламино)метил] -4,5-диметоксифенокси] пропионовую кислоту и (S)-2-[2-[(S)- или -[(R)-карбокси(4-цианофениламино)метил] -4,5-диметоксифенокси] пропионовую кислоту. Эпимеры разделяли хроматографией на силикагеле. 18.3. Аналогично примеру 1.3 из первого эпимера, упомянутого в примере 18.2, получали (Е)- и/или (Z)-(S)-2-[2-[(R)- или – [(S)-карбокси[4-(N-гидроксикарбамимидоил)фениламино] метил] -4,5-диметоксифенокси] пропионовую кислоту, а из второго эпимера, упомянутого в примере 18.2, получали (Е)- и/или (Z)-(S)-2-[2-[(S)- или -[(R)-карбокси[4-(N-гидроксикарбамимидоил)фениламино]метил]-4,5-диметоксифенокси]пропионовую кислоту. Пример 19. Аналогично примеру 3 из первого эпимера, упомянутого в примере 18.3, получали (S)-2-[(S)- или -[(R)-2-[(4-карбамимидоилфениламино)карбоксиметил] -4,5-диметоксифенокси]пропионовую кислоту, а из второго эпимера, упомянутого в примере 18.3, получали (S)-2-[(R)- или -[(S)-2-[(4-карбамимидоилфениламино)карбоксиметил]-4,5-диметоксифенокси]пропионовую кислоту. Пример 20. 20.1. Аналогично примеру 1.1 2-гидрокси-3,5-диметилбензальдегид (Casiraghi G., Casnatti G., J. Chem. Soc., 1862 (1980)) вводили в реакцию с 4-аминобензонитрилом и бензилизонитрилом, при этом получали метиловый эфир (RS)-(4-цианофениламино)-(2-гидрокси-3,5-диметилфенил)уксусной кислоты. 20.2. Аналогично примерам 16.4-16.6 из соединения, полученного, как описано в примере 20.1, через промежуточное образование метилового эфира (RS)-(4-цианофениламино)-(2-этоксикарбонилметокси-4,5-диметилфенил)уксусной кислоты и (RS)-(2-карбоксиметокси-4,5-диметилфенил)-(4-цианофениламино)уксусной кислоты получали (Е)- и/или (Z)-(RS)-(2-карбоксиметокси-3,5-диметилфенил)-[4-(N-гидроксикарбамимидоил)фениламино]уксусную кислоту. Пример 21. Аналогично примеру 3 из соединения, полученного, как описано в примере 20.2, получали ацетат (RS)-(4-карбамимидоилфениламино)-(2-карбоксиметокси-3,5-диметилфенил)уксусной кислоты (1:1). Пример 22. 22.1. 2,35 мл диизопропилэтиламина и 0,83 ммоля фенилацетилхлорида добавляли к раствору 2,3 г метилового эфира (RS)-(2-амино-4-бензилокси-5-метоксифенил)-(4-цианофениламино)уксусной кислоты (полученного по реакции 4-бензилокси-5-метокси-2-нитробензальдегида с 4-аминобензонитрилом и бензилизонитрилом с образованием метилового эфира (RS)-(4-бензилокси-5-метокси-2-нитрофенил)-(4-цианофениламино)уксусной кислоты и гидрированием нитрогруппы в присутствии Pt/C) в 60 мл ТГФ. Полученный раствор перемешивали при 50oС в течение 3 ч, а затем при комнатной температуре в течение ночи и концентрировали при пониженном давлении. Остаток очищали хроматографией на силикагеле, при этом получали 2,05 г метилового эфира (RS)-(4-бензилокси-5-метокси-2-фенилацетиламинофенил)-(4-цианофениламино)уксусной кислоты в виде бесцветного кристаллического вещества. 22.2. Аналогично примерам 1.2 и 1.3 из соединения, полученного, как описано в примере 22.1, через промежуточное образование (RS)-(4-бензилокси-5-метокси-2-фенилацетиламинофенил)-(4-цианофениламино)уксусной кислоты получали (Е)- и/или (Z)-(RS)-(4-бензилокси-5-метокси-2-фенилацетиламинофенил)-[4-(N-гидроксикарбамимидоил)фениламино]уксусную кислоту. Пример 23. Аналогично примеру 22 метиловый эфир (RS)-(2-амино-4-бензилокси-5-метоксифенил)-(4-цианофениламино)уксусной кислоты вводили в реакцию: 23. а) с ацетилхлоридом, при этом получали метиловый эфир (RS)-(2-ацетиламино-4-бензилокси-5-метоксифенил)-(4-цианофениламино)уксусной кислоты, из которого через промежуточное образование (RS)-(2-ацетиламино-4-бензилокси-5-метоксифенил)-(4-цианофениламино)уксусной кислоты получали (Е)- и/или (Z)-(RS)-(2-ацетиламино-4-бензилокси-5-метоксифенил)-[4-(N-гидроксикарбамимидоил)фениламино]уксусную кислоту; 23. б) с метоксиацетилхлоридом, при этом получали метиловый эфир (RS)-[4-бензилокси-5-метокси-2-(2-метоксиацетиламино)фенил] -(4-цианофениламино)уксусной кислоты, из которого через промежуточное образование (RS)-[4-бензилокси-5-метокси-2-(2-метоксиацетиламино)фенил] -(4-цианофениламино)уксусной кислоты получали (Е)- и/или (Z)-(RS)-[4-бензилокси-5-метокси-2-(2-метоксиацетиламино)фенил] -[4-(N-гидроксикарбамимидоил)фениламино] уксусную кислоту; 23. в) с метансульфонилхлоридом, при этом получали метиловый эфир (RS)-[4-бензилокси-2-(бисметансульфониламино)-5-метоксифенил] -(4-цианофениламино)уксусной кислоты, из которого через промежуточное образование (RS)-(4-бензилокси-2-метансульфониламино-5-метоксифенил)-(4-цианофениламино)уксусной кислоты получали (Е)- и/или (Z)-(RS)-(4-бензилокси-2-метансульфониламино-5-метоксифенил)-[4-(N-гидроксикарбамимидоил)фениламино]уксусную кислоту. Пример 24. Аналогично примеру 3 24. а) из соединения, полученного, как описано в примере 22.2, получали (RS)-(4-бензилокси-5-метокси-2-фенилацетиламинофенил)-(4-карбамимидоилфениламино)уксусную кислоту; 24. б из соединения, полученного, как описано в примере 23.а, получали (RS)-(2-ацетиламино-4-бензилокси-5-метоксифенил)-(4-карбамимидоилфениламино)уксусную кислоту; 24. в) из соединения, полученного, как описано в примере 23.б, получали [4-бензилокси-5-метокси-2-(2-метоксиацетиламино)фенил] -(4-карбамимидоилфениламино)уксусную кислоту и 24. г) из соединения, полученного, как описано в примере 23.в, получали (RS)-(4-бензилокси-2-метансульфониламино-5-метоксифенил)-(4-карбамимидоилфениламино)уксусную кислоту. Пример 25. 25.1. Аналогично примеру 18.1 соединение, полученное, как описано в примере 16.3, вводили в реакцию с 2-бензилоксиэтанолом, при этом получали метиловый эфир (RS)-[2-(2-бензилоксиэтокси)-4,5-диметоксифенил]-(4-цианофениламино)уксусной кислоты. 25.2. Аналогично примерам 1.2 и 1.3 из соединения, полученного, как описано в примере 25.1, через промежуточное образование (RS)-[2-(2-бензилоксиэтокси)-4,5-диметоксифенил] -(4-цианофениламино)уксусной кислоты получали (Е)- и/или (Z)-(RS)-[2-(2-бензилоксиэтокси)-4,5-диметоксифенил]-[4-(N-гидроксикарбамимидоил)фениламино]уксусную кислоту. Пример 26. 26. а. Аналогично примеру 3 из соединения, полученного, как описано в примере 25.2, получали (RS)-[2-(2-бензилоксиэтокси)-4,5-диметоксифенил]-(4-карбамимидоилфениламино)уксусную кислоту. 26. б. 11 мг 10%-ного палладия на угле добавляли к раствору 100 мг соединения, полученного, как описано в примере 25.2, в 5 мл этанола, 5 мл ТГФ, 2 мл воды и 1 мл уксусной кислоты. Реакционную смесь гидрировали в течение ночи, а затем фильтровали. Фильтрат концентрировали при пониженном давлении, остаток кристаллизовали из метанола/ацетона, при этом получали 30 мг (RS)-(4-карбамимидоилфениламино)-[2-(2-гидроксиэтокси)-4,5-диметоксифенил] уксусной кислоты в виде бесцветного кристаллического вещества. Пример 27. 27.1. 6,2 мл метилакрилата, 25 мл триэтиламина, 270 мг Рd(OАс)2 и 1,5 г три(орто-толил)фосфина добавляли к раствору 14,7 г 6-бромвератрового альдегида в 100 мл диметилацетамида. Реакционную смесь нагревали при 110oС в течение 4 ч, а затем охлаждали до комнатной температуры и выливали в смесь этилацетата с водой. Неочищенный продукт экстрагировали и очищали хроматографией на силикагеле, при этом получали 10,8 г метилового эфира (Е)-3-(2-формил-4,5-диметоксифенил)акриловой кислоты в виде твердого вещества желтого цвета. 27.2. 1,1 г порошка магния добавляли к раствору 1,15 г соединения, полученного, как описано в примере 27.1, в 20 мл метанола. Реакционную смесь перемешивали при комнатной температуре в течение 2 ч, обрабатывали 25 мл 3 н. НСl и экстрагировали этилацетатом. Неочищенный продукт очищали хроматографией на силикагеле, при этом получали 776 мг метилового эфира 3-(2-гидроксиметил-4,5-диметоксифенил)пропионовой кислоты в виде масла желтого цвета. 27.3. 1,5 мг МnО2 добавляли к раствору 812 мг соединения, полученного, как описано в примере 27.2, в 15 мл 1,2-дихлорэтана. Реакционную смесь перемешивали при 50oС в течение 3 ч, фильтровали и концентрировали. Остаток очищали хроматографией на силикагеле, при этом получали 671 мг метилового эфира 3-(2-формил-4,5-диметоксифенил)пропионовой кислоты в виде бесцветной смолы. 27.4. Аналогично примеру 1.1 соединение, полученное, как описано в примере 27.3, вводили в реакцию с 4-аминобензонитрилом и бензилизонитрилом, при этом получали метиловый эфир (RS)-3-[2-[(4-цианофенилами-но)метоксикарбонилметил] -4,5-диметоксифенил]пропионовой кислоты. Аналогично примерам 1.2 и 1.3 из полученного соединения через промежуточное образование (RS)-3-[2-[карбокси(4-цианофениламино)метил] -4,5-диметоксифенил]пропионовой кислоты получали (Е)- и/или (Z)-(RS)-3-[2-[карбокси[4-(N-гидроксикарбамимидоил)фениламино]метил]-4,5-диметоксифенил]пропионовую кислоту. Пример 28. Аналогично примеру 3 из соединения, полученного, как описано в примере 27.4, получали (RS)-3-[2-[(4-карбамимидоилфениламино)карбоксиметил] -4,5-диметоксифенил]пропионовую кислоту. Пример 29. 29.1. Аналогично примеру 27 из 2-бром-3,5-диметоксибензальдегида (J. Org. Chem. , 48, 1941 (1983)) получали метиловый эфир (Е)-3-(2-формил-4,6-диметоксифенил)акриловой кислоты. 29.2. 160 мг 10%-ного палладия на угле добавляли к раствору 3,7 г соединения, полученного, как описано в примере 29.1, в 60 мл ТГФ. Реакционную смесь гидрировали в течение 5 ч, затем фильтровали и концентрировали. Остаток очищали хроматографией на силикагеле, при этом получали метиловый эфир 3-(2-гидроксиметил-4,6-диметоксифенил)пропионовой кислоты в виде бесцветного масла. 29.3 Аналогично примеру 27.3 из соединения, полученного, как описано в примере 29.2, получали метиловый эфир 3-(2-формил-4,6-диметоксифенил)пропионовой кислоты. 29.4. Аналогично примеру 1.1 соединение, полученное, как описано в примере 29.3, вводили в реакцию с 4-аминобензонитрилом и бензилизонитрилом, при этом получали метиловый эфир (RS)-3-[2-[(4-цианофениламино)метоксикарбонилметил] -4,6-диметоксифенил]пропионовой кислоты. Аналогично примерам 1.2 и 1.3 из этого соединения через промежуточное образование (RS)-3-[2-[карбокси(4-цианофениламино)метил] -4,6-диметоксифенил]пропионовой кислоты получали (Е)- и/или (Z)-(RS)-3-[2-[карбокси [4-(N-гидроксикарбамимидоил)фениламино]метил] -4,6-диметоксифенил]пропионовую кислоту. Пример 30. Аналогично примеру 3 из соединения, полученного, как описано в примере 29.4, получали (RS)-3-[2-[(4-карбамимидоилфениламино)карбоксиметил] -4,6-диметоксифенил]пропионовую кислоту. Пример 31. 31.1. 6,27 г трет-бутилдиметилсилилхлорида, 6,63 мл триэтиламина и 270 мг имидазола добавляли к раствору 10 г диэтилового эфира 5-(гидроксиметил)изофталевой кислоты в 100 мл ДМФ. Реакционную смесь перемешивали при комнатной температуре в течение 4 ч, а затем экстрагировали. Силилированный неочищенный продукт растворяли в 150 мл ТГФ. К полученному раствору добавляли 17,8 г LiВН4 и реакционную смесь перемешивали при 40oС в течение ночи. Затем при 0oС осторожно добавляли насыщенный раствор NH4Cl. Неочищенный продукт выделяли экстракцией и очищали хроматографией на силикагеле, при этом получали 4,93 г трет-бутил(3,5-диметоксибензилокси)диметилсилана и 5,31 г этилового эфира 3- (трет-бутилдиметилсиланилоксиметил)-5-гидроксиметилбензойной кислоты. 31.2. 0,64 мл оксалилхлорида добавляли при -60oС к раствору 0,76 мл диметилсульфоксида в 10 мл СН2Сl2. Через 5 мин в течение 5 мин добавляли 2 г этилового эфира 3-(трет-бутилдиметилсиланилоксиметил)-5-гидроксиметилбензойной кислоты (см. пример 31.1) в 20 мл СН2Сl2 таким образом, чтобы температура не превышала -60oС. Через 15 мин добавляли 4,295 мл триэтиламина. Затем реакционную смесь нагревали до комнатной температуры и экстрагировали, при этом получали 2,0 г этилового эфира 3-(трет-бутилдиметилсиланилоксиметил)-5-формилбензойной кислоты. 31.3. Аналогично примеру 1 соединение, полученное, как описано в примере 31.2, вводили в реакцию с 4-аминобензонитрилом и бензилизонитрилом, при этом получали этиловый эфир (RS)-3-[(4-цианофениламино)метоксикарбонилметил]-5-гидроксиметилбензойной кислоты. Затем из этого соединения через промежуточное образование (RS)-3-[карбокси(4-цианофе-ниламино)метил] -5-гидроксиметилбензойной кислоты получали (Е)- и/или (Z)-(RS)-3-[карбокси [4-(N-гидроксикарбамимидоил)фениламино]метил]-5-гидроксиметилбензойную кислоту. Пример 32. 32. а. Аналогично примеру 3 из соединения, полученного, как описано в примере 31.3, получали (RS)-3-[(4-карбамимидоилфениламино)карбоксиметил]-5-гидроксиметилбензойную кислоту. 32. б. 0,42 мл тионилхлорида добавляли к раствору 0,2 г соединения, полученного, как описано в примере 32.а. Реакционную смесь перемешивали при комнатной температуре в течение ночи, а затем концентрировали. Остаток обрабатывали диэтиловым эфиром, при этом получали 0,157 г гидрохлорида метилового эфира (RS)-3-[(4-карбамимидоилфениламино)метоксикарбонилметил]-5-гидроксиметилбензойной кислоты (1:1). Пример 33. 33.1. Аналогично примеру 31.2 из трет-бутил(3,5-диметоксибензилокси)диметилсилана (см. пример 31.1) получали 3,5-бис-(трет-бутилдиметилсиланилоксиметил)бензальдегид. 33.2. Аналогично примеру 1 соединение, полученное, как описано в примере 33.1, вводили в реакцию с 4-аминобензонитрилом и бензилизонитрилом, при этом получали метиловый эфир (RS)-(3,5-бис-гидроксиметилфенил)-(4-цианофениламино)уксусной кислоты. Из этого соединения через промежуточное образование (RS)-(3,5-бис-гидроксиметилфенил)-(4-цианофениламино)уксусной кислоты получали (Е)- и/или (Z)-(RS)-(3,5-бис-гидроксиметилфенил)-[4-(N-гидроксикарбамимидоил)фениламино]уксусную кислоту. Пример 34. Аналогично примеру 3 из соединения, полученного, как описано в примере 33.2, получали (RS)-(3,5-бис-гидроксиметилфенил)-(4-карбамимидоилфениламино)уксусную кислоту. Пример 35. Нижеуказанные соединения получали аналогично примеру 1: а) (Е)- и/или (Z)-(RS)-(3,4-дипропоксифенил)-[4-(N-гидроксикарбамимидоил)фениламино]уксусную кислоту, МС:402 (М+Н+), получали из 3,4-ди-н-пропоксибензальдегида через промежуточное образование метилового эфира (RS)-(4-цианофениламино)-(3,4-дипропоксифенил)уксусной кислоты и (RS)-(4-цианофениламино)-(3,4-дипропоксифенил)уксусной кислоты; б) (RS)-(3,4-диизопропоксифенил)-[4-(N-гидроксикарбамимидоил)фениламино] уксусную кислоту, МС:402 (М+Н+), получали из 3,4-диизопропоксибензальдегида через промежуточное образование метилового эфира (RS)-(4-цианофениламино)-(3,4-диизопропоксифенил)уксусной кислоты и (RS)-(4-цианофениламино)-(3,4-диизопропоксифенил)уксусной кислоты; в) (RS)-(3,5-диизопропоксифенил)-[4-(N-гидроксикарбамимидоил)фениламино] уксусную кислоту, МС:402 (М+Н+), получали из 3,5-диизопропоксибензальдегида через промежуточное образование метилового эфира (RS)-(4-цианофениламино)-(3,5-диизопропоксифенил)уксусной кислоты и (RS)-(4-цианофениламино)-(3,5-диизопропоксифенил)уксусной кислоты; г) (RS)-[4-(N-гидроксикарбамимидоил)фениламино] -(4-метокси-3-пропоксифенил)уксусную кислоту, МС: 372 (М+Н+), получали из 3-пропокси-4-метоксибензальдегида через промежуточное образование метилового эфира (RS)-(4-цианофениламино)-(4-метокси-3-пропоксифенил)уксусной кислоты и (RS)-(4-цианофениламино)-(4-метокси-3-пропоксифенил)уксусной кислоты; д) (RS)-[4-(N-гидроксикарбамимидоил)фениламино] -(4-изопропокси-3-метоксифенил)уксусную кислоту, МС: 374 (М+Н+), получали из 4-изопропокси-3-метоксибензальдегида через промежуточное образование метилового эфира (RS)-(4-цианофениламино)-(4-изопропокси-3-метоксифенил)уксусной кислоты и (RS)-(4-цианофениламино)-(4-изопропокси-3-метоксифенил)уксусной кислоты; е) (Е)- и/или (Z)-(RS)-[4-(N-гидроксикарбамимидоил)фениламино] нафталин-2-илуксусную кислоту, МС:336 (М+Н+), получали из 2-нафтальдегида через промежуточное образование метилового эфира (RS)-(4-цианофениламино)нафталин-2-илуксусной кислоты и (RS)-(4-цианофениламино)нафталин-2-илуксусной кислоты. Пример 36. Нижеуказанные амидины получали аналогично примеру 3 из амидоксимов, полученных, как описано в примере 35: а) (RS)-(4-кapбaмимидoилфeнилaминo)-(3,4-дипpoпoкcифeнил)уксусная кислота, МС:386 (М+Н+); б) (RS)-(4-кapбaмимидoилфeнилaминo)-(3,4-диизoпpoпoкcифeнил)уксусная кислота, МС:386 (М+Н+); в) (RS)-(4-карбамимидоилфениламино)-(3,5-диизопропоксифенил)уксусная кислота, МС:386 (М+Н+); г) (RS)-(4-карбамимидоилфениламино)-(4-метокси-3-пропоксифенил)уксусная кислота, МС:358 (М+Н+); д) (RS)-(4-карбамимидоилфениламино)-(4-изопропокси-3-метоксифенил)уксусная кислота, MC:358 (М+Н+); е) (RS) – (4-карбамимидоилфениламино)нафталин-2-илуксусная кислота, МС: 320 (M+H+). Пример 37. а) Метиловый эфир (RS)-[4-(N-гидроксикарбамимидоил)фениламино]-(6-метоксинафталин-2-ил)уксусной кислоты получали из 6-метокси-2-нафтальдегида аналогично примеру 1.3 через промежуточное образование метилового эфира (RS)-(4-циaнoфeнилaминo)-(6-мeтoкcинaфтaлин-2-ил)уксусной кислоты. б) Метиловый эфир гидролизовали аналогично примеру 1.2, при этом получали (Е)- и/или (Z)-(RS)-[4-(N-гидроксикарбамимидоил)фениламино]-(6-метоксинафталин-2-ил)уксусную кислоту, МС:366 (М+Н+). Пример 38. Амидоксим, полученный, как описано в примере 37.а, гидролизовали аналогично примеру 3, при этом получали (RS)-(4-карбамимидоилфениламино)-(6-метоксинафталин-2-ил)уксусную кислоту, МС:350 (М+Н+). Пример 39. 39.1. Аналогично примеру 1.1 из 3-бензилоксибензальдегида и 4-аминобензонитрила получали метиловый эфир (RS)-(3-бeнзилoкcифeнил)-(4-цианофениламино)уксусной кислоты, МС:373 (М+Н)+. 39.2. Хлористый водород пропускали через раствор 2,01 г метилового эфира (RS)-(3-бeнзилoкcифeнил)-(4-циaнoфeнилaминo)уксусной кислоты в 25 мл хлористого метилена и 5 мл метанола при 0oС в течение 75 мин. Раствор выдерживали при 4oС в течение 23 ч, а затем упаривали в вакууме. Остаток обрабатывали 20 мл метанола, 1,66 г ацетата аммония и кипятили с обратным холодильником в течение 3,5 ч. Затем раствор упаривали в вакууме, остаток растворяли в 95 мл хлористого метилена, 75 мл воды и 19 мл насыщенного раствора карбоната натрия, обрабатывали 3,1 г ди-трет-бутилдикарбоната и интенсивно перемешивали при 20oС в течение 3,5 ч. После экстракции и хроматографии на силикагеле получали метиловый эфир (E)/(Z)-(RS)-(3-бензилоксифенил)-[4-(трет-бутоксикарбониламино-трет-бутоксикарбонилиминометил)фениламино] уксусной кислоты в виде пены желтого цвета, МС:590 (М+Н)+. 39.3. 655 мг метилового эфира (Е)/(Z)-(RS)-(3-бензилоксифенил)-[4-(трет-бутоксикарбониламино-трет-бутоксикарбонилиминометил)фениламино] уксусной кислоты растворяли в 3 мл хлористого метилена, содержащего 3 мл трифторуксусной кислоты, и выдерживали при комнатной температуре в течение 50 мин. Затем раствор упаривали в вакууме, остаток хроматографировали на силикагеле, при этом получали 440 мг трифторацетата метилового эфира (RS)-(3-бензилоксифенил)-(4-карбамимидоилфениламино)уксусной кислоты, tпл 162oС, MC:390 (М+Н)+. 39.4. Аналогично примеру 70 из трифторацетата метилового эфира (RS)-(3-бензилоксифенил)-(4-карбамимидоилфениламино)уксусной кислоты получали (RS)-(3-бензилоксифенил)-(4-карбамимидоилфениламино)уксусную кислоту, tпл 306oС, МС:376 (М+Н)+. Пример 40. 40.1. Аналогично примеру 1.1 из 2-(этоксикарбонилметокси)бензальдегида, 4-аминобензонитрила, толуол-4-сульфонилметилизоцианида и ВF3ОЕt2 в этаноле получали этиловый эфир (RS)-(4-цианофениламино)-(2-этоксикарбонилметоксифенил)уксусной кислоты, tпл 108oС, МС:383 (М+Н)+. 40.2. Хлористый водород пропускали через раствор 1,5 г этилового эфира (RS)-(4-цианофениламино)-(2-этоксикарбонилметоксифенил)уксусной кислоты в 20 мл хлороформа и 4 мл этанола при 0oС в течение 1 ч. Затем раствор выдерживали в течение 6 ч при комнатной температуре и упаривали. Остаток обрабатывали 15 мл этанола и 1,2 г ацетата аммония и кипятили с обратным холодильником в течение 3,5 ч. Реакционную смесь упаривали, остаток обрабатывали 35 мл хлористого метилена, 17 мл воды и 17 мл насыщенного раствора карбоната натрия, содержащего 916 мг ди-трет-бутилдикарбоната, и интенсивно перемешивали при комнатной температуре в течение 2,25 ч. После экстракции и хроматографии на силикагеле получали 1,7 г этилового эфира (RS)-[4-(трет-бутоксикарбониламиноиминометил)фениламино]-(2-этоксикарбонилметоксифенил)уксусной кислоты в виде белой пены, МС:500 (М+Н)+. 40.3. 499 мг этилового эфира (RS)-[4-(трет-бутоксикарбониламиноиминометил)фениламино] -(2-этоксикарбонилметоксифенил)уксусной кислоты обрабатывали 14 мл ТГФ и 2 мл 1 н. LiOH, через 4 ч добавляли 2 мл 1 н. НС1 до рН 4 и реакционную смесь упаривали в вакууме. Затем из ацетонитрила/воды получали 182 мг (RS)-(4-карбамимидоилфениламино)-(2-карбоксиметоксифенил)уксусной кислоты, tпл 223oC, MC:344 (M+H)+. Пример 41. 41.1. Аналогично примеру 1.1 из 2,5-диметоксибензальдегида и 4-аминобензонитрила получали метиловый эфир (RS)-(4-цианофениламино)-(2,5-диметоксифенил)уксусной кислоты, МС:327 (M+H)+. 41.2. Аналогично примеру 1.2 из этого соединения получали (RS)-(4-цианофениламино)-(2,5-диметоксифенил)уксусную кислоту, МС:312 (М)+. 41.3. Аналогично примеру 1.3 из этого соединения получали (Z)-(RS)-(2,5-диметоксифенил)-[4-(N-гидроксикарбамимидоил)фениламино] уксусную кислоту, МС:346 (M+H)+. 41.4. 555 мг (Z)-(RS)-(2,5-диметоксифенил)-[4-(N-гидроксикарбамимидоил)фениламино] уксусной кислоты в 8 мл уксусной кислоты и 16 мл воды перемешивали в атмосфере водорода в присутствии никеля Ренея. После добавления 13 мл уксусной кислоты раствор отфильтровывали и упаривали в вакууме. Остаток растирали в воде, а затем в метаноле, отфильтровывали в вакууме и высушивали. При этом получали 404 мг (RS)-(4-карбамимидоилфениламино)-(2,5-диметоксифенил)уксусной кислоты, tпл 310oС, МС:330 (М+Н)+. Пример 42. 42.1. Аналогично примеру 52.1 из 5-бензилокси-2-гидроксибензальдегида и этилового эфира бромуксусной кислоты получали этиловый эфир (4-бензилокси-2-формилфенокси)уксусной кислоты, tпл 65oС, МС:314 (М)+. 42.2. Аналогично примеру 1.1 из этилового эфира (4-бензилокси-2-формилфенокси)уксусной кислоты и 4-аминобензонитрила в этаноле получали этиловый эфир (RS)-(5-бензилокси-2-этоксикарбонилметоксифенил)-(4-цианофениламино)уксусной кислоты в виде смолы желтого цвета, МС:489 (M+H)+. 42.3. 1,7 г этилового эфира (RS)-(5-бензилокси-2-этоксикарбонилметоксифенил)-(4-цианофениламино)уксусной кислоты, 1,13 мл диэтилдитиофосфата и 4 мл этанола нагревали при 60oС в течение 2 ч. Затем реакционную смесь разбавляли этилацетатом, промывали насыщенным раствором гидрокарбоната натрия, водой и насыщенным раствором хлорида натрия, сушили и упаривали в вакууме. После хроматографии на силикагеле получали 1,6 г этилового эфира (RS)-(5-бензилокси-2-этоксикарбонилметоксифенил)-(4-тиокарбамоилфениламино)уксусной кислоты, tпл 166oС, МС:523 (M+H)+. 42.4. 1,6 г этилового эфира (RS)-(5-бензилокси-2-этоксикарбонилметоксифенил)-(4-тиокарбамоилфениламино)уксусной кислоты, 25 мл ацетона и 1,95 мл иодистого метила перемешивали при 40oС в течение 3,5 ч. Затем раствор упаривали, остаток немедленно растворяли в этаноле, обрабатывали 0,18 мл уксусной кислоты и 720 мг ацетата аммония и нагревали до 60oС в течение 1,5 ч. Затем реакционную смесь упаривали в вакууме, обрабатывали 27 мл хлористого метилена, 14 мл воды, 14 мл насыщенного раствора гидрокарбоната натрия и 740 мг ди-трет-бутилдикарбоната и интенсивно перемешивали при комнатной температуре в течение 5 ч. После экстракции и хроматографии на силикагеле получали 1,4 г этилового эфира (RS)-(5-бензилокси-2-этоксикарбонилметоксифенил)-[4-(трет-бутоксикарбониламиноиминометил)фениламино] уксусной кислоты в виде белой пены, МС:606 (М+Н)+. 42.5. Аналогично примеру 40.3 после нейтрализации смеси уксусной кислотой и выпаривания растворителя в вакууме из этилового эфира (RS)-(5-бензилокси-2-этоксикарбонилметоксифенил)-[4-(трет-бутоксикарбониламиноиминометил)фениламино] уксусной кислоты получали (RS)-(5-бензилокси-2-гидроксикарбонилметоксифенил)-[4-(трет-бутоксикарбониламиноиминометил)фениламино] уксусную кислоту, которую растворяли в хлористом метилене/ТФУ (1:1) и перемешивали при комнатной температуре в течение 1,5 ч. Полученный раствор упаривали, к остатку в воде добавляли раствор аммиака до рН 8 и раствор снова упаривали. (RS)-(5-Бензилокси-2-карбоксиметоксифенил)-(4-карбамимидоилфениламино] уксусную кислоту кристаллизовали из воды и с целью очистки несколько раз растирали в этаноле, tпл 258oС, МС:450 (М+Н)+. Пример 43. 43.1. Аналогично примеру 42.2 из этилового эфира (2-формил-4-метоксифенокси)уксусной кислоты и 4-аминобензонитрила получали этиловый эфир (RS)-(4-цианофениламино)-(2-этоксикарбонилметокси-5-метоксифенил)уксусной кислоты, МС:413 (М+Н)+. 43.2. Аналогично примеру 40.2 из этилового эфира (RS)-(4-цианофениламино)-(2-этоксикарбонилметокси-5-метоксифенил)уксусной кислоты получали этиловый эфир (RS)-[4-(трет-бутоксикарбониламиноиминометил)фениламино]-(2-этоксикарбонилметокси-5-метоксифенил)уксусной кислоты, МС:530 (М+Н)+. 43.3. Аналогично примеру 1.2 из этого соединения получали (RS)-[4-(трет-бутоксикарбониламиноиминометил)фениламино] -(2-карбоксиметокси-5-метоксифенил)уксусную кислоту. 43.4. 356 мг (RS)-[4-(трет-бутоксикарбониламиноиминометил)фениламино]-(2-карбоксиметокси-5-метоксифенил)уксусной кислоты перемешивали в 3,7 мл хлористого метилена и 3,7 мл ТФУ в течение 1 ч. Затем реакционную смесь упаривали в вакууме, остаток хроматографировали на силикагеле в этилацетате/ацетоне/воде/уксусной кислоте (6:2:1:1). Из этилацетата/ацетона/воды/уксусной кислоты (12:2:1:1) получали кристаллическую (RS)-(4-карбамимидоилфениламино)-(2-карбоксиметокси-5-метоксифенил)укусную кислоту, tпл 213oС, МС:374 (М+Н)+. Пример 44. 44.1. Аналогично примеру 50.1 из 5-этокси-2-гидроксибензальдегида и этилового эфира бромуксусной кислоты получали этиловый эфир (4-этокси-2-формилфенокси)уксусной кислоты, tпл 61-62oС, МС:252 (М)+. 44.2. Аналогично примеру 50.2 из этилового эфира (4-этокси-2-формилфенокси)уксусной кислоты и 4-аминобензонитрила в присутствии 2-морфолиноэтилизоцианида и BF3OEt2 в этаноле получали этиловый эфир (RS)-(4-цианофениламино)-(5-этокси-2-этоксикарбонилметоксифенил)уксусной кислоты, МС: 427 (М+Н)+. 44.3. Аналогично примеру 40,2 из этилового эфира (RS)-(4-цианофениламино)-(5-этокси-2-этоксикарбонилметоксифенил)уксусной кислоты получали этиловый эфир (RS)-[4-(трет-бутоксикарбониламиноимино-метил)фениламино] -(5-этокси-2-этоксикарбонилметоксифенил)уксусной кислоты, МС:544 (М+Н)+. 44.4. 617 мг этилового эфира (RS)-[4-(трет-бутоксикарбониламиноиминометил)фениламино] -(5-этокси-2-этоксикарбонилметоксифенил)уксусной кислоты обрабатывали 15,8 мл ТГФ и 2,26 мл 1 н. LiOH и перемешивали при комнатной температуре в течение 3 ч. Затем в реакционную смесь добавляли ТФУ до рН 7 и упаривали в вакууме. Остаток растворяли в 4,5 мл хлористого метилена и 4,5 мл ТФУ, через 1 ч реакционную смесь упаривали в вакууме. Остаток растворяли в воде и снова упаривали, затем нейтрализовали раствором аммиака в метаноле. (RS)-(4-Карбамимидоилфениламино)-(2-карбоксиметокси-5-этоксифенил)уксусную кислоту кристаллизовали из метанола и очищали растиранием в этилацетате/ацетоне/воде/уксусной кислоте (12:2:1:1), tпл 241oC, MC:388 (M+H)+. Пример 45. 45.1. 2,49 г 5-этокси-2-гидроксибензальдегида, 2,7 мл этилового эфира 5-бромвалериановой кислоты, 15 мл ДМСО, 3,1 г K3CO3 и 75 г KI перемешивали при 55oС в течение 2,5 ч. После обработки и хроматографии на силикагеле получали 4,7 г этилового эфира 5-(4-этокси-2-формилфенокси)пентановой кислоты, МС:294 (М)+. 45.2. Аналогично примеру 40.1 из этилового эфира 5-(4-этокси-2-формилфенокси)пентановой кислоты и 4-аминобензонитрила получали этиловый эфир (RS)-5-{ 2-[(4-цианофениламино)этоксикарбонилметил] -4-этоксифенокси} пентановой кислоты, tпл 80-81oС, МС:469 (М+Н)+. 45.3. Аналогично примеру 40.2 из этого соединения получали этиловый эфир (RS)-5-(2-{ [4-(трет-бутоксикарбониламиноиминометил)фениламино] этоксикарбонилметил}-4-этоксифенокси)пентановой кислоты, МС:586 (М+Н)+. 45.4. Аналогично примеру 44.4 из этого соединения получали (RS)-5-{2-[(4-карбамимидоилфениламино)карбоксиметил]-4-этоксифенокси}пентановую кислоту, tпл 260oС, МС:428 (М-Н)–. Пример 46. 46.1. Аналогично примеру 45.1 из 5-этокси-2-гидроксибензальдегида и 2-бромэтилметилового эфира получали 5-этокси-2-(2-метоксиэтокси)бензальдегид, МС:224 (М)+. 46.2. Аналогично примеру 1.1 из 5-этокси-2-(2-метоксиэтокси)бензальдегида, 4-амино-N-гидроксибензамидина, 2-морфолиноэтилизоцианида и BF3OEt2 в метаноле получали метиловый эфир (Е)/(Z)-(RS)-[5-этокси-2-(2-метоксиэтокси)фенил] -[4-(N-гидроксикарбамимидоил)фениламино]уксусной кислоты, МС:418 (М+Н)+. 46.3. Метиловый эфир (Е)/(Z)-(RS)-[5-этокси-2-(2-метоксиэтокси)фенил]-[4-(N-гидpoкcикapбaмимидoил)фeнилaминo] уксусной кислоты гидролизовали в ТГФ и 1 н. LiOH, при этом получали (E)/(Z)-(RS)-[5-этокси-2-(2-метоксиэтокси)фенил] -[4-(N-гидроксикарбамимидоил)фениламино] уксусную кислоту. Реакционную смесь нейтрализовали уксусной кислотой, раствор упаривали, неочищенный продукт использовали, как описано в примере 46.4. 46.4. Аналогично примеру 50.5 из этого соединения получали (RS)-(4-карбамимидоилфениламино)-[5-этокси-2-(2-метоксиэтокси)фенил] уксусную кислоту. Неочищенный продукт растирали в воде/метаноле (1:1), отфильтровывали вакуум-фильтрацией и высушивали, tпл 275oС, МС:388 (М+Н)+. Пример 47. 47.1. Аналогично примеру 52.1 из 5-этокси-2-гидроксибензальдегида и метилового эфира 3-бромметилбензойной кислоты получали метиловый эфир 3-(4-этокси-2-формилфеноксиметил)бензойной кислоты, tпл 67-69oС, МС:314 (М)+. 47.2. Аналогично примеру 52.2 из метилового эфира 3-(4-этокси-2-формилфеноксиметил)бензойной кислоты и 4-аминобензонитрила в метаноле получали метиловый эфир (RS)-3-{2-[(4-цианофениламино)метоксикарбонилметил]-4-этоксифеноксиметил}бензойной кислоты, МС:475 (М+Н)+. 47.3. Аналогично примеру 50.3 из метилового эфира (RS)-3-{2-[(4-цианофениламино)метоксикарбонилметил] -4-этоксифеноксиметил} бензойной кислоты получали метиловый эфир (E)/(Z)-(RS)-3-(4-этокси-2-{[4-(N-гидроксикарбамимидоил)фениламино] метоксикарбонилметил} феноксиметил)бензойной кислоты, МС: 508 (М+Н)+. 47.4. Аналогично примеру 46.3 из метилового эфира (E)/(Z)-(RS)-3-(4-этокси-2-{ [4-(N-гидроксикарбамимидоил)фениламино] метоксикарбонилметил} феноксиметил)бензойной кислоты получали (E)/(Z)-(RS)-3-(4-этокси-2-{[4-(N-гидроксикарбамимидоил)фениламино] карбоксиметил} феноксиметил)бензойную кислоту. 47.5. Аналогично примеру 50.5 из этого соединения получали (RS)-3-{2-[(4-карбамимидоилфениламино)карбоксиметил] -4-этоксифеноксиметил} бензойную кислоту. Неочищенный продукт растирали в воде, а затем в этаноле, tпл 260oС, МС:464 (М+Н)+. Пример 48. 48.1. Аналогично примеру 45.1 из 5-этокси-2-гидроксибензальдегида и хлорацетамида получали 2-(4-этокси-2-формилфенокси)ацетамид, tпл 127-129oС, МС:223 (M)+. 48.2. Аналогично примеру 1.1 из 2-(4-этокси-2-формилфенокси)ацетамида, 4-аминобензонитрила, 2-морфолиноэтилизоцианида и ВF3ОЕt2 в метаноле получали метиловый эфир (RS)-(2-карбамоилметокси-5-этоксифенил)-(4-цианофениламино)уксусной кислоты в виде белой пены, МС:384 (M+H)+. 48.3. Аналогично примеру 1.3 из метилового эфира (RS)-(2-карбамоилметокси-5-этоксифенил)-(4-цианофениламино)уксусной кислоты, гидрохлорида гидроксиламина и триэтиламина в метаноле получали метиловый эфир (Z)-(RS)-(2-карбамоилметокси-5-этоксифенил)-[4-(N-гидроксикарба-мимидоил)фениламино] уксусной кислоты, tпл 175oС, МС:417 (М+Н)+. 48.4. 305 мг этилового эфира (Z)-(RS)-(2-карбамоилметокси-5-этоксифенил)-[4-(N-гидроксикарбамимидоил)фениламино] уксусной кислоты обрабатывали в 8 мл метанола/уксусной кислоты (1:1) никелем Ренея и перемешивали в атмосфере водорода. Затем реакционную смесь фильтровали, упаривали в вакууме, остаток очищали растиранием в ацетонитриле. При этом получали 265 мг метилового эфира (RS)-(4-карбамимидоилфениламино)-(2-карбамоилметокси-5-этоксифенил)уксусной кислоты, tпл 200oС (разл.), МС:401 (М+Н)+. 48.5. Метиловый эфир (RS)-(4-карбамимидоилфениламино)-(2-карбамоилметокси-5-этоксифенил)уксусной кислоты гидролизовали в ТГФ с 1 н. LiOH, при этом получали (RS)-(4-карбамимидоилфениламино)-(2-карбамоилметокси-5-этоксифенил)уксусную кислоту, которую очищали растиранием в воде и разбавленном растворе аммиака, tпл 266oС, МС:387 (М+Н)+. Пример 49. 49.1. Аналогично примеру 50.1 из 5-бензилокси-2-гидроксибензальдегида получали 5-бензилокси-2-(2-гидроксиэтокси)бензальдегид, tпл 83oС, МС:272 (М)+. 49.2. Аналогично примеру 1.1 из 5-бензилокси-2-(2-гидроксиэтокси)бензальдегида, 4-аминобензонитрила, 2-морфолиноэтилизоцианида и BF3OEt2 в метаноле получали метиловый эфир (RS)-[5-бензилокси-2-(2-гидрок-сиэтокси)фенил]-(4-цианофениламино)уксусной кислоты, МС:433 (М+Н)+. 49.3 Каталитическое гидрирование метилового эфира (RS)-[5-бензилокси-2-(2-гидроксиэтокси)фенил]-(4-цианофениламино)уксусной кислоты в присутствии Pd/C в этилацетате/этаноле привело к получению метилового эфира (RS)-(4-цианофениламино)-[5-гидрокси-2-(2-гидроксиэтокси)фенил]уксусной кислоты, МС:343 (М+Н)+. 49.4. Аналогично примеру 64.1 из метилового эфира (RS)-(4-цианофениламино)-[5-гидрокси-2-(2-гидроксиэтокси)фенил] уксусной кислоты и этилбромида в ДМФ в присутствии иодида натрия получали метиловый эфир (RS)-(4-цианофениламино)-[5-этокси-2-(2-гидроксиэтокси)фенил]уксусной кислоты, МС:370 (М)+. 49.5. Аналогично примеру 1.3 из метилового эфира (RS)-(4-цианофениламино)-[5-этокси-2-(2-гидроксиэтокси)фенил] уксусной кислоты, гидрохлорида гидроксиламина и триэтиламина в метаноле получали метиловый эфир (RS)-(E)/(Z)-[5-этокси-2-(2-гидроксиэтокси)фенил] -[4-(N-гидроксикарбамимидоил)фениламино]уксусной кислоты, МС:404 (М+Н)+. 49.6. Аналогично примеру 48.4 из метилового эфира (RS)-(E)/(Z)-[5-этокси-2-(2-гидроксиэтокси)фенил] -[4-(N-гидроксикарбамимидоил)фениламино] уксусной кислоты получали ацетат метилового эфира (RS)-(4-кapбaмимидоилфениламино)-[5-этокси-2-(2-гидроксиэтокси)фенил] уксусной кислоты, tпл 183oС, МС:388 (М+Н)+. 49.7. Аналогично примеру 48.5 из ацетата метилового эфира (RS)-(4-карбамимидоилфениламино)-[5-этокси-2-(2-гидроксиэтокси)фенил] уксусной кислоты получали (RS)-(4-карбамимидоилфениламино)-[5-этокси-2-(2-гидроксиэтокси)фенил]уксусную кислоту, tпл 268oС, МС:374 (М+Н)+. Пример 50. 50.1. 2,5 г 2-гидрокси-4-метоксибензальдегида, 6,8 г К3СО3, 3,3 мл хлорэтанола и 33 мл ДМСО нагревали при 80oС в течение 8 ч. После экстракции этилацетатом и хроматографии на силикагеле в хлористом метилене/ацетоне получали 2,1 г 2-(2-гидроксиэтокси)-4-метоксибензальдегида. пл 94oС, МС:196 (М)+. 50.2. Аналогично примеру 1.1 из 2-(2-гидроксиэтокси)-4-метоксибензальдегида, 4-аминобензонитрила, 2-морфолиноэтилизоцианида и ВF3ОЕt2 получали метиловый эфир (RS)-(4-цианофениламино)-[2-(2-гидроксиэтокси)-4-метоксифенил]уксусной кислоты, МС:357 (М+Н)+. 50.3. Аналогично примеру 1.3 из метилового эфира (RS)-(4-цианофениламино)-[2-(2-гидроксиэтокси)-4-метоксифенил] уксусной кислоты, гидрохлорида гидроксиламина и триэтиламина в метаноле получали метиловый эфир (Z)-(RS)-[4-(N-гидроксикарбамимидоил)фениламино] -[2-(2-гидроксиэтокси)-4-метоксифенил]уксусной кислоты, tпл 92oС, МС:390 (М+Н)+. 50.4. Метиловый эфир (Z)-(RS)-[4-(N-гидроксикарбамимидоил)фениламино]-[2-(2-гидроксиэтокси)-4-метоксифенил] уксусной кислоты гидролизовали в ТГФ с 1 н. LiOH, при этом получали (Z)-(RS)-[4-(N-гидроксикарбамимидоил)фениламино]-[2-(2-гидроксиэтокси)-4-метоксифенил]уксусную кислоту. 50.5. Аналогично примеру 3 из этого соединения в уксусной кислоте/воде (2: 1) получали ацетат (RS)-(4-карбамимидоилфениламино)-[2-(2-гидроксиэтокси)-4-метоксифенил] уксусной кислоты (1:2). Неочищенный продукт хроматографировали на силикагеле 100 с обращенной фазой С18 в воде/метаноле (от 19:1 до 4:1), а затем очищали хроматографией на силикагеле в этилацетате/ацетоне/воде/уксусной кислоте (от 12:2:1:1 до 6:2:1:1) и растирали в ацетонитриле, tпл 205oС, МС:360 (М+Н)+. Пример 51. 51.1. Аналогично примеру 50.1 из 4-бензилокси-2-гидроксибензальдегида и 2-хлорэтанола получали 4-бензилокси-2-(2-гидроксиэтокси)бензальдегид, tпл 95oС, МС:272 (M)+. 51.2. Аналогично примеру 1.1 из 4-бензилокси-2-(2-гидроксиэтокси)бензальдегида, 4-аминобензонитрила, 2-морфолиноэтилизоцианида и BF3OEt2 получали метиловый эфир (RS)-[4-бензилокси-2-(2-гидроксиэтокси)фенил]-(4-цианофениламино)уксусной кислоты, МС:432 (М)+. 51.3. Аналогично примеру 50.3 из метилового эфира (RS)-[4-бензилокси-2-(2-гидроксиэтокси)фенил] -(4-цианофениламино)уксусной кислоты получали метиловый эфир (RS)-(E)/(Z)-[4-бензилокси-2-(2-гидроксиэтокси)фенил] -[4-(N-гидроксикарбамимидоил)фениламино] уксусной кислоты, пл 90oС, МС: 466 (M+H)+. 51.4. Аналогично примеру 50.4 это соединение гидролизовали в ТГФ с 1 н. LiOH, при этом получали (RS)-(Е)/(Z)-[4-бензилокси-2-(2-гидроксиэтокси)фенил]-[4-(N-гидроксикарбамимидоил)фениламино]уксусную кислоту. 51.5. Аналогично примеру 50.5 из этого соединения получали (RS)-[4-бензилокси-2-(2-гидроксиэтокси)фенил] -(4-карбамимидоилфениламино)уксусную кислоту. Неочищенный продукт кристаллизовали из воды и очищали растиранием в метаноле, МС:436 (М+Н)+. Пример 52. 52.1. Аналогично примеру 12.1 и при добавлении 3 мол.% KI, из 2-гидрокси-4,5-диметоксибензальдегида и метилового эфира 3-бромметилбензойной кислоты получали метиловый эфир 3-(2-формил-4,5-диметоксифеноксиметил)бензойной кислоты, tпл 144oC, MC:330 (М)+. 52.2. Аналогично примеру 1.1 из метилового эфира 3-(2-формил-4,5-диметоксифеноксиметил)бензойной кислоты, 4-аминобензонитрила, 2-морфолиноэтилизоцианида и ВF3ОЕt2 получали метиловый эфир (RS)-3-{2-[(4-цианофениламино)метоксикарбонилметил]-4,5-диметоксифеноксиметил}бензойной кислоты, МС:513 (М+Na)+. 52.3. Аналогично примеру 1.3 из метилового эфира (RS)-3-{2-[(4-цианофениламино)метоксикарбонилметил]-4,5-диметоксифеноксиметил}бензойной кислоты в метаноле получали метиловый эфир (Z)-(RS)-3-(2- {[4-(N-гидроксикарбамимидоил)фениламино] метоксикарбонилметил} -4,5-диметоксифеноксиметил)бензойной кислоты, tпл 173oC, MC:524 (M+H)+. Пример 53. 53.1. Аналогично примеру 18.1 из 5-этил-2,4-дигидроксибензальдегида, этанола, трифенилфосфина и диэтилазодикарбоксилата получали 4-этокси-5-этил-2-гидроксибензальдегид, МС:194 (М)+. 53.2. Аналогично примеру 45.1 из 4-этокси-5-этил-2-гидроксибензальдегида и хлорацетамида получали 2-(5-этокси-4-этил-2-формилфенокси)ацетамид, tпл 163-164oС, MС:251 (М)+. 53.3. Аналогично примеру 1.1 из 2-(5-этокси-4-этил-2-формилфенокси)ацетамида, 4-аминобензонитрила, 2-морфолиноэтилизоцианида и ВF3ОЕt2 в метаноле получали метиловый эфир (RS)-(2-карбамоилметокси-4-этокси-5-этилфенил)-(4-цианофениламино)уксусной кислоты, tпл 150-152oС, МС:412 (М+Н)+. 53.4. Аналогично примеру 1.3 из метилового эфира (RS)-(2-карбамоилметокси-4-этокси-5-этилфенил)-(4-цианофениламино)уксусной кислоты, гидрохлорида гидроксиламина и триэтиламина в метаноле получали метиловый эфир (RS)-(E/Z)-(2-карбамоилметокси-4-этокси-5-этилфенил)-[4-(N-гидроксикарбамимидоил)фениламино]уксусной кислоты, tпл 130-133oС, МС:445 (M+H)+. 53.5. Аналогично примеру 48.4 из метилового эфира (RS)-(E/Z)-(2-карбамоилметокси-4-этокси-5-этилфенил)-[4-(N-гидроксикарбамимидоил)фениламино] уксусной кислоты получали ацетат метилового эфира (RS)-(4-карбамимидоилфениламино)-(2-карбамоилметокси-4-этокси-5-этилфенил)уксусной кислоты, tпл 230oС, МС:429 (M+H)+. 53.6. Аналогично примеру 48.5 из ацетата метилового эфира (RS)-(4-карбамимидоилфениламино)-(2-карбамоилметокси-4-этокси-5-этилфенил)уксусной кислоты получали (RS)-(4-карбамимидоилфениламино)-(2-карбамоилметокси-4-этокси-5-этилфенил)уксусную кислоту, tпл 299oС, МС:415 (М+Н)+. Пример 54. 54.1. Аналогично примеру 50.1 из 4-этокси-5-этил-2-гидроксибензальдегида получали 4-этокси-5-этил-2-(2-гидроксиэтокси)бензальдегид, МС:238 (М)+. 54.2. Аналогично примеру 1.1 из 4-этокси-5-этил-2-(2-гидроксиэтокси)бензальдегида, 4-аминобензонитрила, 2-морфолиноэтилизоцианида и BF3OEt2 в метаноле получали метиловый эфир (RS)-(4-цианофениламино)-[4-этокси-5-этил-2-(2-гидроксиэтокси)фенил]уксусной кислоты, МС:399 (M+H)+. 54.3. Аналогично примеру 1.3 из метилового эфира (RS)-(4-цианофениламино)-[4-этокси-5-этил-2-(2-гидроксиэтокси)фенил]уксусной кислоты, гидрохлорида гидроксиламина и триэтиламина в метаноле получали метиловый эфир (RS)-(E/Z)-[4-этокси-5-этил-2-(2-гидроксиэтокси)фенил] -[4-(N-гидроксикарбамимидоил)фениламино]уксусной кислоты, МС:432 (М+Н)+. 54.4. Аналогично примеру 48.4 из метилового эфира (RS)-(E/Z)-[4-этокси-5-этил-2-(2-гидроксиэтокси)фенил]-[4-(N-гидроксикарбамимидоил)фениламино] уксусной кислоты получали ацетат метилового эфира (RS)-(4-карбамимидоилфениламино)-[4-этокси-5-этил-2-(2-гидроксиэтокси)фенил] уксусной кислоты, tпл 188oС, МС:416 (М+Н)+. 54.5. Аналогично примеру 48.5 из ацетата метилового эфира (RS)-(4-карбамимидоилфениламино)-[4-этокси-5-этил-2-(2-гидроксиэтокси)фенил] уксусной кислоты получали (RS)-(4-карбамимидоилфениламино)-[4-этокси-5-этил-2-(2-гидроксиэтокси)фенил]уксусную кислоту, tпл 271oС, MC:402 (М+Н)+. Пример 55. 55.1. Аналогично примеру 52.1 из 4-этокси-5-этил-2-гидроксибензальдегида и этилового эфира бромуксусной кислоты получали этиловый эфир (5-этокси-4-этил-2-формилфенокси)уксусной кислоты, tпл 99-101oС, МС:280 (M)+. 55.2. Аналогично примеру 1.1 из этилового эфира (5-этокси-4-этил-2-формилфенокси)уксусной кислоты, 4-амино-N-гидроксибензамидина, 2-морфолиноэтилизоцианида и ВF3ОЕt2 в этаноле получали этиловый эфир (RS)-(E/Z)-(4-этокси-2-этоксикарбонилметокси-5-этилфенил)-[4-(N-гидроксикарбамимидоил)фениламино]уксусной кислоты, МС:488 (М+Н)+. 55.3. Аналогично примеру 48.4 из этилового эфира (RS)-(Е/Z)-(4-этокси-2-этоксикарбонилметокси-5-этилфенил)-[4-(N-гидроксикарбамимидоил)фениламино] уксусной кислоты получали ацетат этилового эфира (RS)-(4-карбамимидоилфениламино)-(4-этокси-2-этоксикарбонилметокси-5-этилфенил)уксусной кислоты, tпл 195oC, MC:472 (M+H)+. 55.4. Аналогично примеру 48.5 из этилового эфира (4-карбамимидоилфениламино)-(4-этокси-2-этоксикарбонилметокси-5-этилфенил)уксусной кислоты получали (4-карбамимидоилфениламино)-(2-карбоксиметокси-4-этокси-5-этилфенил)уксусную кислоту, которую очищали растиранием в воде, tпл 252oC. Пример 56. 56.1. Аналогично примеру 52.1 из 2-гидрокси-5-метил-3-пропилбензальдегида и 2-хлорэтанола получали 2-(2-гидроксиэтокси)-5-метил-3-пропилбензальдегид, МС:222 (М)+. 56.2. Аналогично примеру 52.2 из 2-(2-гидроксиэтокси)-5-метил-3-пропилбензальдегида и 4-аминобензонитрила получали метиловый эфир (RS)-(4-цианофениламино)-[2-(2-гидроксиэтокси)-5-метил-3-пропилфенил] уксусной кислоты, tпл 137-139oС, МС:382 (М)+. 56.3. Аналогично примеру 52.3 из метилового эфира (RS)-(4-цианофениламино)-[2-(2-гидроксиэтокси)-5-метил-3-пропилфенил] уксусной кислоты получали метиловый эфир (E)/(Z)-(RS)-[4-(N-гидроксикарбамимидоил)фениламино]-[2-(2-гидроксиэтокси)-5-метил-3-пропилфенил]уксусной кислоты, МС:416 (M+H)+. 56.4. Аналогично примеру 52.4 это соединение гидролизовали в ТГФ с 1 н. LiOH, при этом получали (E)/(Z)-(RS)-[4-(N-гидроксикарбамимидоил)фениламино] -[2-(2-гидроксиэтокси)-5-метил-3-пропилфенил]уксусную кислоту. 56.5. Аналогично примеру 52.5 из этого соединения получали (RS)-(4-карбамимидоилфениламино)-[2-(2-гидроксиэтокси)-5-метил-3-пропилфенил] уксусную кислоту, которую кристаллизовали из воды и очищали растиранием в этаноле, tпл 240oС, МС:386 (М+Н)+. Пример 57. 57.1. Аналогично примеру 52.1 из 3-аллил-5-метилсалицилового альдегида получали 3-аллил-2-(2-гидроксиэтокси)-5-метилбензальдегид, МС:220 (М)+. 57.2. Аналогично примеру 52.2 из 3-аллил-2-(2-гидроксиэтокси)-5-метилбензальдегида и 4-аминобензонитрила получали метиловый эфир (RS)-[3-аллил-2-(2-гидроксиэтокси)-5-метилфенил] -(4-цианофениламино)уксусной кислоты, tпл 123oС, МС:381 (М+Н)+. 57.3. Раствор метилового эфира (RS)-[3-аллил-2-(2-гидроксиэтокси)-5-метилфенил] -(4-цианофениламино)уксусной кислоты в хлористом метилене/метаноле (5:1) при 0oС насыщали хлористым водородом и выдерживали при комнатной температуре в течение 1 дня. Затем раствор упаривали в вакууме, остаток в метаноле с ацетатом аммония кипятили с обратным холодильником. После выпаривания раствора и хроматографии на силикагеле в хлористом метилене/метаноле получали метиловый эфир (RS)-[3-аллил-2-(2-гидроксиэтокси)-5-метилфенил]-(4-карбамимидоилфениламино)уксусной кислоты. 57.4. Это соединение гидролизовали в ТГФ с 1 н. LiOH, при этом получали (RS)-[3-аллил-2-(2-гидроксиэтокси)-5-метилфенил] -(4-карбамимидоилфениламино)уксусную кислоту, tпл 228oС (из воды), МС:384 (М+Н)+. Пример 58. 58.1. 4,2 г гексаметилентетрамина осторожно добавляли к 1,5 г 2-метил-4-пропилфенола в 11 мл трифторуксусной кислоты и полученную смесь нагревали при 120oС в течение 5 ч. После добавления 11 мл 1 н. соляной кислоты смесь перемешивали при 107oС в течение 1 ч. Затем смесь охлаждали до комнатной температуры, разбавляли этилацетатом и последовательно промывали водой, разбавленным раствором гидрокарбоната натрия, водой и раствором хлорида натрия. После упаривания раствора и хроматографии на силикагеле в гексане/толуоле получали 2-гидрокси-3-метил-5-пропилбензальдегид, МС:178 (M)+. 58.2. Аналогично примеру 52.1 из 2-гидрокси-3-метил-5-пропилбензальдегида и 2-хлорэтанола получали 2-(2-гидроксиэтокси)-3-метил-5-пропилбензальдегид, МС:222 (М)+. 58.3. Аналогично примеру 52.2 из 2-(2-гидроксиэтокси)-3-метил-5-пропилбензальдегида и 4-аминобензонитрила получали метиловый эфир (RS)-(4-цианофениламино)-[2-(2-гидроксиэтокси)-3-метил-5-пропилфенил] уксусной кислоты, tпл 100oС, МС:382 (М)+. 58.4. Аналогично примеру 57.3 из метилового эфира (RS)-(4-цианофениламино)-[2-(2-гидроксиэтокси)-3-метил-5-пропилфенил] уксусной кислоты получали метиловый эфир (RS)-(4-карбамимидоилфениламино)-[2-(2-гидроксиэтокси)-3-метил-5-пропилфенил]уксусной кислоты. 58.5. Это соединение гидролизовали в ТГФ с 1 н. LiOH, при этом получали (RS)-(4-карбамимидоилфениламино)-[2-(2-гидроксиэтокси)-3-метил-5-пропилфенил]уксусную кислоту, tпл 230oС (из воды), МС:386 (М+Н)+. Пример 59. 59.1. Аналогично примеру 1.1 3-нитробензальдегид вводили в реакцию с 4-аминобензонитрилом и бензилизонитрилом, при этом получали метиловый эфир (RS)-(4-цианофениламино)-(3-нитрофенил)уксусной кислоты. 59.2. 600 мг 10%-ного палладия на угле добавляли к раствору 6,2 г нитросоединения, полученного, как описано в примере 59.1, в 150 мл ТГФ. Смесь гидрировали в течение 5 ч при атмосферном давлении. Затем катализатор отделяли фильтрованием, неочищенный продукт очищали хроматографией на силикагеле. 59.3. Аналогично примеру 22.1 соединение, полученное, как описано в примере 59.2, вводили в реакцию с ацетилхлоридом, при этом получали метиловый эфир (RS)-(3-aцeтилaминoфeнил)-(4-цианофениламино)уксусной кислоты. 59.4. Аналогично примеру 1.2, а затем 1.3 из соединения, описанного в примере 59.3, через промежуточное образование (RS)-(3-ацетиламинофенил)-(4-цианофениламино)уксусной кислоты получали (Е)-и/или (Z)-(RS)-(3-ацетиламинофенил)-[4-(N-гидроксикарбамимидоил)фениламино]уксусную кислоту. Пример 60. 60.1. Аналогично примеру 3 из соединения, описанного в примере 59.4, получали ацетат (RS)-(3-ацетиламинофенил)-(4-карбамимидоилфениламино)уксусной кислоты (1:1). Пример 61. 61.1. 1,7 мл диизопропилэтиламина и 1,2 мл иодистого метила добавляли к раствору 2,8 г анилина, описанного в примере 54.2, в 15 мл ТГФ и реакционную смесь кипятили с обратным холодильником в течение ночи. Неочищенный продукт выделяли экстракцией. После хроматографии на силикагеле получали 0,59 г метилового эфира (RS)-(4-цианофениламино)-(3-метиламинофенил)уксусной кислоты в виде твердого вещества желтого цвета и 1,49 г метилового эфира (RS)-(4-цианофениламино)-(3-диметиламинофенил)уксусной кислоты в виде белого порошка. 61.2. Аналогично примеру 1.2, а затем 1.3 из монометилпроизводного, описанного в примере 61.1, через промежуточное образование (RS)-(4-цианофениламино)-(3-метиламинофенил)уксусной кислоты получали (Е)- и/или (Z)-(RS)-[4-(N-гидроксикарбамимидоил)фениламино] -(3-метиламинофенил)уксусную кислоту, а из соответствующего диметилпроизводного через промежуточное образование (RS)-(4-цианофениламино)-(3-диметиламинофенил)уксусной кислоты получали (Е)- и/или (Z)-(RS)-(3-диметиламинофенил)-[4-(N-гидроксикарбамимидоил)фениламино]уксусную кислоту. Пример 62. Аналогично примеру 61 из метилового эфира (RS)-(3-аминофенил)-(4-цианофениламино)уксусной кислоты и иодистого этила получали метиловый эфир (RS)-(4-циaнoфeнилaминo)-(3-диэтилaминoфeнил)уксусной кислоты, из которого затем через промежуточное образование (RS)-(4-циaнoфeнилaминo)-(3-диэтиламинофенил)уксусной кислоты получали (Е)- и/или (Z)-(RS)-(3-диэтиламинофенил)-[4-(N-гидpoкcикapбaмимидoил)фeнилaминo]уксусную кислоту. Пример 63. Аналогично примеру 3 63. а) из монометилпроизводного, описанного в примере 61.2, получали гидрохлорид (RS)-(4-карбамимидоилфениламино)-(3-метиламинофенил)уксусной кислоты (1:1); 63. б) из диметилпроизводного, описанного в примере 61.2, получали гидрохлорид (RS)-(4-карбамимидоилфениламино)-(3-диметиламинофенил)уксусной кислоты (1:1); 63. в) из соединения, описанного в примере 62, получали гидрохлорид (RS)-(4-карбамимидоилфениламино)-(3-диэтиламинофенил)уксусной кислоты (1:1). Пример 64. 64.1. 2,76 мл 2-бромэтанола и 5,40 г карбоната калия добавляли к раствору 5 г 3-этокси-4-гидроксибензальдегида в 150 мл ДМФ. Реакционную смесь нагревали при 70oС в течение ночи, а затем при 120oС в течение еще 4 ч. Затем смесь охлаждали до комнатной температуры, фильтровали и концентрировали в высоком вакууме. Неочищенный продукт выделяли экстракцией и очищали хроматографией на силикагеле, при этом получали 6,09 г 3-этокси-4-(2-гидроксиэтокси)бензальдегида в виде твердого вещества белого цвета. 64.2. Аналогично примеру 1.1 из альдегида, описанного в примере 64.1, 4-аминобензонитрила и бензилизонитрила получали метиловый эфир (RS)-(4-цианофениламино)-[3-этокси-4-(2-гидроксиэтокси)фенил]уксусной кислоты. 64.3. Сухой газообразный НС1 пропускали в течение 20 мин через охлажденный до -10oС раствор 926 мг соединения, полученного, как описано в примере 64.2, в 10 мл CHCl3/MeOH (3:1). Реакционную смесь выдерживали при 4oС в течение ночи, а затем концентрировали. Остаток растворяли в 5 мл метанола и обрабатывали 5 мл насыщенного раствора аммиака в метаноле. Полученный раствор перемешивали при комнатной температуре в течение 3 ч, а затем упаривали. Неочищенный продукт очищали хроматографией на силикагеле, при этом получали 391 мг гидрохлорида метилового эфира (RS)-(4-карбамимидоилфениламино)-[3-этокси-4-(2-гидроксиэтокси)фенил] уксусной кислоты (1:1) в виде лиофилизированного порошка белого цвета. Пример 65. Аналогично примеру 64 65. а) из 3-этокси-4-гидроксибензальдегида и гидрохлорида 1-хлор-2-диметиламиноэтана получали 4-(2-диметиламиноэтокси)-3-этоксибензальдегид, из которого затем по реакции с 4-аминобензонитрилом и бензилизонитрилом получали метиловый эфир (RS)-(4-цианофениламино)-[4-(2-диметиламиноэтокси)-3-этоксифенил] уксусной кислоты, а затем гидрохлорид метилового эфира (RS)-(4-карбамимидоилфениламино)-[4-(2-диметиламиноэтокси)-3-этоксифенил]уксусной кислоты (1:2); 65. б) из 3-гидрокси-4-изопропоксибензальдегида (полученного с выходом 75% моноалкилированием 3,4-дигидроксибензальдегида в присутствии изопропилбромида и K2CO3 в ДМФ) и 2-бромэтанола получали 3-(2-гидроксиэтокси)-4-изопропоксибензальдегид, из которого затем по реакции с 4-аминобензонитрилом и толуол-4-сульфонилметилизоцианидом получали метиловый эфир (RS)-(4-цианофениламино)-[3-(2-гидроксиэтокси)-4-изопропоксифенил] уксусной кислоты, а затем гидрохлорид метилового эфира (RS)-(4-карбамимидоилфениламино)-[3-(2-гидроксиэтокси)-4-изопропоксифенил]уксусной кислоты (1:1); 65. в) из 3-гидрокси-4-изопропоксибензальдегида и иодацетамида получали 2-(5-формил-2-изопропоксифенокси)ацетамид, из которого затем по реакции с 4-аминобензонитрилом и толуол-4-сульфонилметилизоцианидом получали метиловый эфир (RS)-(3-кapбaмoилмeтoкcи-4-изoпpoпoкcифeнил)-(4-цианофениламино)уксусной кислоты, а затем гидрохлорид метилового эфира (RS)-(4-карбамимидоилфениламино)-(3-карбамоилметокси-4-изопропоксифенил)уксусной кислоты (1:1); 65. г) из 3,4-дигидроксибензальдегида и 1-бромбутана получали 3,4-дибутоксибензальдегид, из которого затем по реакции с 4-аминобензонитрилом и бензилизонитрилом получали метиловый эфир (RS)-(4-цианофениламино)-(3,4-дибутоксифенил)уксусной кислоты, а затем метиловый эфир (RS)-(4-карбамимидоилфениламино)-(3,4-дибутоксифенил)уксусной кислоты. Пример 66. 66.1. Аналогично примеру 59.1 из метилового эфира (RS)-(4-цианофениламино)-(3-этокси-4-гидроксифенил)уксусной кислоты (см. пример 350.1) и 2-хлор-1-пропанола получали смесь метиловых эфиров (RS)- и (SR)-(4-цианофениламино)-[3-этокси-4-[(RS)-2-гидрокси-1-метилэтокси]фенил]уксусных кислот. 66.2. Аналогично примеру 64.3 из соединения, описанного в примере 66.1, получали смесь гидрохлоридов метиловых эфиров (RS)- и (SR)-(4-карбамимидоилфениламино)-[3-этокси-4-[(RS)-2-гидрокси-1-метилэтокси] фенил] уксусных кислот (1:1). Пример 67. 67.1. Аналогично примеру 64.1 из 3-этокси-4-гидроксибензальдегида и 1-хлор-2-метил-2-пропанола получали 3-этокси-4-(2-гидрокси-2-метилпропокси)бензальдегид. 67.2. Аналогично примеру 1.1 из альдегида, полученного, как описано в примере 62.1, 4-амино-N-гидроксибензамидина и толуол-4-сульфонилметилизоцианида получали этиловый эфир (RS)-(E)- и/или – (Z)-[3-этокси-4-(2-гидрокси-2-метилпропокси)фенил]-[4-(N-гидроксикарбамимидоил)фениламино]уксусной кислоты. 67.3. Аналогично примеру 3 из амидоксима, полученного, как описано в примере 67.2, получали этиловый эфир (RS)-(4-карбамимидоилфениламино)-[3-этокси-4-(2-гидрокси-2-метилпропокси)фенил]уксусной кислоты. Пример 68. 68.1. Аналогично примеру 64.1 из 3-гидрокси-4-нитробензальдегида и иодистого этила получали 3-этокси-4-нитробензальдегид. 68.2. Аналогично примеру 1 из альдегида, полученного, как описано в примере 68.1, 4-аминобензонитрила и толуол-4-сульфонилметилизоцианида получали метиловый эфир (RS)-(4-цианофениламино)-(3-этокси-4-нитрофенил)уксусной кислоты. 68.3. Аналогично примеру 54.2 из нитропроизводного, полученного, как описано в примере 68.2, получали метиловый эфир (RS)-(4-амино-3-этоксифенил)-(4-цианофениламино)уксусной кислоты. 68.4. Аналогично примеру 61.1 из анилина, описанного в примере 68.3, и изопропилбромида получали метиловый эфир (RS)-(4-цианофениламино)-(3-этокси-4-изопропиламинофенил)уксусной кислоты. 68.5. Аналогично примеру 64.3 из соединения, описанного в примере 68.4, получали гидрохлорид метилового эфира (RS)-(4-карбамимидоилфениламино)-(3-этокси-4-изопропиламинофенил)уксусной кислоты (1:1). Пример 69. Аналогично примерам 68.4 и 68.5 69.а) из метилового эфира (RS)-(4-амино-3-этоксифенил)-(4-цианофениламино)уксусной кислоты и иодистого этила получали метиловый эфир (RS)-(4-цианофениламино)-(3-этокси-4-этиламинофенил)уксусной кислоты, из которого затем получали гидрохлорид метилового эфира (RS)-(4-карбамимидоилфениламино)-(3-этокси-4-этиламинофенил)уксусной кислоты (1:1); 69.б) из метилового эфира (RS)-(4-амино-3-этоксифенил)-(4-цианофениламино)уксусной кислоты и иодистого этила получали метиловый эфир (RS)-(4-цианофениламино)-(4-диэтиламино-3-этоксифенил)уксусной кислоты, из которого затем получали гидрохлорид метилового эфира (RS)-(4-карбамимидоилфениламино)-(4-диэтиламино-3-этоксифенил)уксусной кислоты (1:1); 69.в) из метилового эфира (RS)-(3-амино-4-этоксифенил)-(4-цианофениламино)уксусной кислоты [полученного аналогично примерам 68.1-3 из 5-гидрокси-3-нитробензальдегида и бромистого этила через промежуточное образование 4-этокси-3-нитробензальдегида и метилового эфира (RS)-(4-цианофениламино)-(4-этокси-3-нитрофенил)уксусной кислоты] и метилиодида получали метиловый эфир (RS)-(4-цианофениламино)-(4-этокси-3-метиламинофенил)уксусной кислоты, из которого затем получали гидрохлорид метилового эфира (RS)-(4-карбамимидоилфениламино)-(4-этокси-3-метиламинофенил)уксусной кислоты (1:1); 69.г) из метилового эфира (RS)-(3-амино-4-этоксифенил)-(4-цианофениламино)уксусной кислоты (см. пример 69.в) и метилиодида получали метиловый эфир (RS)-(4-цианофениламино)-(3-диметиламино-4-этоксифенил)уксусной кислоты, из которого затем получали гидрохлорид метилового эфира (RS)-(4-карбамимидоилфениламино)-(3-диметиламино-4-этоксифенил)уксусной кислоты (1:2); 69. д) из метилового эфира (RS)-(3-амино-4-этоксифенил)-(4-цианофениламино)уксусной кислоты (см.пример 69.в) и этилиодида получали метиловый эфир (RS)-(4-цианофениламино)-(4-этокси-3-этиламинофенил)уксусной кислоты, из которого затем получали гидрохлорид метилового эфира (RS)-(4-карбамимидоилфениламино)-(4-этокси-3-этиламинофенил)уксусной кислоты (1:1); 69. е) из метилового эфира (RS)-(3-амино-4-этоксифенил)-(4-цианофениламино)уксусной кислоты (см. пример 69.в) и этилиодида получали метиловый эфир (RS)-(4-цианофениламино)-(3-диэтиламино-4 этоксифенил)уксусной кислоты, из которого затем получали гидрохлорид метилового эфира (RS)-(4-карбамимидоилфениламино)-(3-диэтиламино-4-этоксифенил)уксусной кислоты (1:1). Пример 70. 70.1. Аналогично примеру 64.1 из 4-гидрокси-3-нитробензальдегида по реакции с метилиодидом получали 3-нитро-пара-анисовый альдегид. 70.2. Аналогично примеру 1.1 из альдегида, полученного, как описано в примере 70.1, 4-аминобензонитрила и бензилизонитрила получали метиловый эфир (RS)-(4-цианофениламино)-(4-метокси-3-нитрофенил)уксусной кислоты. 70.3. Аналогично примеру 59.2 из нитропроизводного, описанного в примере 70.2, получали метиловый эфир (RS)-(3-aминo-4-мeтoкcифeнил)-(4-цианофениламино)уксусной кислоты. 70.4. Аналогично примеру 22.1 из анилина, описанного в примере 68.3, и ацетилхлорида получали метиловый эфир (RS)-(3-ацетиламино-4-метоксифенил)-(4-цианофениламино)уксусной кислоты. 70.5 Аналогично примеру 1.2 из сложного эфира, описанного в примере 70.4, получали (RS)-(3-aцeтилaминo-4-мeтoкcифeнил)-(4-циaнoфeниламино)уксусную кислоту. 70.6. Аналогично примеру 1.3 из нитрила, описанного в примере 70.5, получали (Е)- и/или (Z)-(RS)-(3-ацетиламино-4-метоксифенил)- [4-(N-гидроксикарбамимидоил)фениламино]уксусную кислоту. Пример 71. 71. а. Аналогично примерам 70.2-6 из 4-метил-3-нитробензальдегида, 4-аминобензонитрила и бензилизонитрила получали метиловый эфир (RS)-(4-цианофениламино)-(4-метил-3-нитрофенил)уксусной кислоты, из которого затем получали метиловый эфир (RS)-(3-амино-4-метилфенил)-(4-цианофениламино)уксусной кислоты. Затем из этого соединения по реакции с ацетилхлоридом получали метиловый эфир (RS)-(3-ацетиламино-4-метилфенил)-(4-цианофениламино)уксусной кислоты, а затем через промежуточное образование (RS)-(3-ацетиламино-4-метилфенил)-(4-цианофениламино)уксусной кислоты получали (Е)- и/или (Z)-(RS)-(3-ацетиламино-4-метилфенил)-[4-(N-гидроксикарбамимидоил)фениламино] уксусную кислоту. 71. б. Аналогично примерам 70.4-6 из метилового эфира (RS)-(3-амино-4-метоксифенил)-(4-цианофениламино)уксусной кислоты, описанного в примере 70.3, ангидрида глутаровой кислоты и основания Хюнига (Hunig) в ДМФ получали (RS)-4-{5-[(4-цианофениламино)метоксикарбонилметил]-2-метоксифенилкарбамоил} масляую кислоту, из которой затем через промежуточное образование (RS)-4-{ 5-[карбокси-(4-цианофениламино)метил] -2-метоксифенилкарбамоил} масляной кислоты получали (RS)-(E)- и/или -(Z)-4-(5-{карбокси-[4-(N-гидроксикарбамимидоил)фениламино]метил}-2-метоксифенилкарбамоил)масляную кислоту. 71. в. Аналогично примерам 70.4-6 из метилового эфира (RS)-(3-амино-4-метоксифенил)-(4-цианофениламино)уксусной кислоты, описанного в примере 70.3, ангидрида янтарной кислоты и основания Хюнига получали (RS)-N-{5-[(4-цианофениламино) метоксикарбонилметил] -2-метоксифенил} сукцинамидную кислоту, из которой затем через промежуточное образование (RS)-N-{5-[карбокси-(4-цианофениламино)метил] -2-метоксифенил} сукцинамидной кислоты получали (RS)-(E)- и/или – (Z)-N-(5-{карбокси-[4-(N-гидроксикарбамимидоил)фениламино]метил}-2-метоксифенил)сукцинамидную кислоту. Пример 72. 72.1. Аналогично примеру 22.1 из метилового эфира (RS)-(4-цианофениламино)-(4-этокси-3-этиламинофенил)уксусной кислоты, полученного в качестве промежуточного соединения в примере 69.д, по реакции с ацетилхлоридом получали метиловый эфир (RS)-[3-(ацетилэтиламино)-4-этоксифенил]-(4-цианофениламино)уксусной кислоты. 72.2. Аналогично примеру 64.3 из нитрила, полученного, как описано в примере 72.1, получали (RS)-[3-(ацетилэтиламино)-4-этоксифенил]-(4-карбамимидоилфениламино)уксусную кислоту. Пример 73. 73.1. Аналогично примеру 22.1 из метилового эфира (RS)-(4-цианофениламино)-(3-этокси-4-гидроксифенил)уксусной кислоты, описанного в примере 350, по реакции с ангидридом трифторметансульфоновой кислоты в CH2Cl2 в присутствии триэтиламина получали метиловый эфир (RS)-(4-цианофениламино)-(3-этокси-4-трифторметансульфонилоксифенил)уксусной кислоты. 73.2. 118 мг фенилбороновой кислоты и 101 мг карбоната калия добавляли к раствору 222 мг соединения, описанного в примере 72.1, в 5 мл толуола. Реакционную смесь продували аргоном в течение 15 мин, а затем обрабатывали 17 мг тетракис (трифенил) палладия и нагревали при 90oС в течение 5 ч. Неочищенный продукт выделяли экстракцией и очищали хроматографией на силикагеле, при этом получали 166 мг метилового эфира (RS)-(4-цианофениламино)-(2-этоксибифенил-4-ил)уксусной кислоты в виде твердого вещества белого цвета. 73.3. Аналогично примеру 59.3 из нитрила, полученного, как описано в примере 68.2, получали гидрохлорид этилового эфира (RS)-(4-карбамимидоилфениламино)-(2-этилбифенил-4-ил)уксусной кислоты (1:1). Пример 74. Аналогично примеру 73 из этилового эфира (RS)-(4-цианофениламино)-(3-этил-4-гидроксифенил)уксусной кислоты, описанного в примере 180, получали этиловый эфир (RS)-(4-цианофениламино)-(3-этил-4-трифторметансульфонилоксифенил)уксусной кислоты, из которого затем через промежуточное образование этилового эфира (RS)-(4-цианофениламино)-(2-этилбифенил-4-ил)уксусной кислоты получали гидрохлорид этилового эфира (RS)-(4-карбамимидоилфениламино)-(2-этилбифенил-4-ил)уксусной кислоты (1:1). Пример 75. Раствор 271 мг сложного эфира, полученного, как описано в примере 64.3, в 5 мл ТГФ охлаждали до 0oС и обрабатывали 3,5 мл 1 н. LiOH. Затем смесь перемешивали в течение 2 ч, нейтрализовали 1 н. НСl и ТГФ выпаривали. Образовавшийся бесцветный осадок отделяли фильтрованием и тщательно промывали водой и диэтиловым эфиром. При этом получали 195 мг (RS)-(4-карбамимидоилфениламино)-[3-этокси-4-(2-гидроксиэтокси)фенил] уксусной кислоты в виде твердого вещества белого цвета. Пример 76. Аналогично примеру 75 76. а) из сложного эфира, полученного, как описано в примере 65.а, получали (RS)-(4-карбамимидоилфениламино)-[4-(2-диметиламиноэтокси)-3-этоксифенил]уксусную кислоту; 76. б) из сложного эфира, полученного, как описано в примере 65.б, получали (RS)-(4-карбамимидоилфениламино)-[3-(2-гидроксиэтокси)-4-изопропоксифенил]уксусную кислоту; 76. в) из сложного эфира, полученного, как описано в примере 60.в, получали (RS)-(4-карбамимидоилфениламино)-(3-карбамоилметокси-4-изопропоксифенил)уксусную кислоту и (RS)-(4-карбамимидоилфениламино)-(3-карбоксиметокси-4-изопропоксифенил)уксусную кислоту; 76. г) из сложного эфира, полученного, как описано в примере 65.г, получали (RS)-(4-карбамимидоилфениламино)-(3,4-дибутоксифенил)уксусную кислоту; 76. д) из сложного эфира, полученного, как описано в примере 61.2, получали смесь (RS)- и (SR)-(4-карбамимидоилфениламино)-[3-этокси-4-[(RS)-2-гидрокси-1-метилэтокси]фенил]yксусных кислот; 76. е) из сложного эфира, полученного, как описано в примере 67.3, получали (RS)-(4-карбамимидоилфениламино)-[3-этокси-4-(2-гидрокси-2-метилпропокси)фенил]уксусную кислоту; 76. ж) из сложного эфира, полученного, как описано в примере 68.5, получали (RS)-(4-карбамимидоилфениламино)-(3-этокси-4-изопропиламинофенил)уксусную кислоту; 76. з) из сложного эфира, полученного, как описано в примере 69.а, получали (RS)-(4-карбамимидоилфениламино)-(3-этокси-4-этиламинофенил)уксусную кислоту; 76. и) из сложного эфира, полученного, как описано в примере 69.б, получали (RS)-(4-карбамимидоилфениламино)-(4-диэтиламино-3-этоксифенил)уксусную кислоту; 76. к) из сложного эфира, полученного, как описано в примере 69.в, получали гидрохлорид метилового эфира (RS)-(4-карбамимидоилфениламино)-(4-этокси-3-метиламинофенил)уксусной кислоты (1:1); 76. л) из сложного эфира, полученного, как описано в примере 69.г, получали (RS)-(4-карбамимидоилфениламино)-(3-диметиламино-4-этоксифенил)уксусную кислоту; 76. м) из сложного эфира, полученного, как описано в примере 69.д, получали (RS)-(4-карбамимидоилфениламино)-(4-этокси-3-этиламинофенил)уксусную кислоту; 76. н) из сложного эфира, полученного, как описано в примере 69.е, получали (RS)-(4-карбамимидоилфениламино)-(3-диэтиламино-4-этоксифенил)уксусную кислоту; 76. о) из сложного эфира, полученного, как описано в примере 72.2, получали (RS)-[3-(ацетилэтиламино)-4-этоксифенил] -(4-карбамимидоилфениламино)уксусную кислоту; 76. п) из сложного эфира, полученного, как описано в примере 73.3, получали (RS)-(4-карбамимидоилфениламино)-(2-этоксибифенил-4-ил)уксусную кислоту; 76.р) из сложного эфира, полученного, как описано в примере 74, получали (RS)-(4-карбамимидоилфениламино)-(2-этилбифенил-4-ил)уксусную кислоту. Пример 77. Аналогично примеру 3 77. а) из амидоксима, полученного, как описано в примере 70.6, получали (RS) – (3-ацетиламино-4-метоксифенил)-(4-карбамимидоилфениламино)уксусную кислоту; 77. б) из амидоксима, полученного, как описано в примере 71.а, получали (RS)-(3-ацетиламино-4-метилфенил)-(4-карбами-мидоилфениламино)уксусную кислоту; 77. в) из сложного эфира, полученного, как описано в примере 71.б, получали гидрохлорид (RS)-4-{5-[(4-карбамимидоилфениламино)карбоксиметил]-2-метоксифенилкарбамоил}масляной кислоты (1:1); 77. г) из сложного эфира, полученного, как описано в примере 71.в, получали гидрохлорид (RS)-N-{5-[(4-карбамимидоилфенилами-но)карбоксиметил]-2-метоксифенил}сукцинамидной кислоты (1:2). Пример 78. 78.1. Аналогично примеру 64.1 из 3,5-дигидроксибензальдегида и этилиодида получали 3-этокси-5-гидроксибензальдегид. 78.2. Аналогично примеру 18.1 из фенола, полученного, как описано в примере 78.1, и 2-бензилоксиэтанола получали 3-(2-бензилоксиэтокси)-5-этоксибензальдегид. 78.3. Аналогично примеру 1.1 из бензальдегида, полученного, как описано в примере 78.2, 4-аминобензонитрила и бензилизонитрила получали метиловый эфир (RS)-[3-(2-бензилоксиэтокси)-5-этоксифенил]-(4-цианофениламино)уксусной кислоты. 78.4. Аналогично примеру 1.2 из сложного эфира, полученного, как описано в примере 78.3, получали (RS)-[3-(2-бензилоксиэтокси)-5-этоксифенил]-(4-цианофениламино)уксусную кислоту. 78.5. Аналогично примеру 1.3 из нитрила, полученного, как описано в примере 78.4, получали (Е)- и/или (Z)-(RS)-[3-(2-бензилоксиэтокси)-5-этоксифенил]-[4-(N-гидроксикарбамимидоил)фениламино]уксусную кислоту. Пример 79. 79.1. Аналогично примеру 64.1 из фенола, полученного, как описано в примере 78.1, и этилового эфира бромуксусной кислоты получали этиловый эфир (3-этокси-5-формилфенокси)уксусной кислоты. 79.2. Аналогично примеру 1.1 из бензальдегида, полученного, как описано в примере 79.1, 4-аминобензонитрила и бензилизонитрила получали этиловый эфир (RS)-(4-цианофениламино)-(3-этокси-5-этоксикарбонилметоксифенил)уксусной кислоты. 79.3. Аналогично примеру 1.2 из сложного эфира, полученного, как описано в примере 79.2, получали (RS)-(3-карбоксиметокси-5-этоксифенил)-(4-цианофениламино)уксусную кислоту. 79.4. Аналогично примеру 1.3 из нитрила, полученного, как описано в примере 79.3, получали (RS)-(3-карбоксиметокси-5-этоксифенил)-(4-цианофениламино)уксусную кислоту. Пример 80. Аналогично примеру 67 80. а) из фенола, описанного в примере 78.1, и этилового эфира 4-броммасляной кислоты получали этиловый эфир 4-(3-этокси-5-формилфенокси)масляной кислоты, из которого затем по реакции с 4-амино-N-гидроксибензамидином и толуол-4-сульфонилметилизоцианидом получали этиловый эфир (RS)-(E)- и/или -(Z)-4-(3-этокси-5-{ этоксикарбонил-[4-(N-гидроксикарбамимидоил)фениламино] метил} фенокси)масляной кислоты, а затем ацетат этилового эфира (RS)-4-{3-[(4-карбамимидоилфениламино)этоксикарбонилметил] -5-этоксифенил} масляной кислоты (1:1); 80. б) из 3,5-дигидроксибензальдегида и 1-бромбутана получали 3,5-дибутоксибензальдегид, из которого затем по реакции с 4-амино-N-гидроксибензамидином и толуол-4-сульфонилметилизоцианидом получали метиловый эфир (3,5-дибутоксифенил)-[4-(N-гидроксикарбамимидоил)фениламино] уксусной кислоты, а затем метиловый эфир (4-карбамимидоилфениламино)-(3,5-дибутоксифенил)уксусной кислоты (соединение включает уксусную кислоту). Пример 81. 81.1. Раствор диметил-5-иодизофталата в 800 мл ТГФ обрабатывали 22,2 г СаСl2, а затем порциями добавляли 15,2 г NaBH4. Полученную смесь перемешивали при комнатной температуре в течение 1 дня. Затем смесь подкисляли 250 мл 3 н. НСl и разбавляли 2 л воды. Неочищенный продукт выделяли экстракцией и очищали кристаллизацией из ТГФ/гексана. При этом получали 11,2 г (3-гидроксиметил-5-иодфенил)метанола в виде кристаллов белого цвета. 81.2. 4,13 г тетракис(трифенил)палладия добавляли к насыщенному аргоном раствору 4,72 г иодпроизводного, описанного в примере 76.1, в 250 мл толуола. Затем смесь насыщали СО, нагретым до 70oС, и с помощью распылительного насоса в течение 6 ч добавляли 6,15 мл гидрида трибутил олова. Затем смесь охлаждали до комнатной температуры и фильтровали. Твердое вещество растворяли в метаноле и перемешивали с активированным углем. После фильтрования через Dicalite продукт кристаллизовали при добавлении метанола. При этом получали 3,5-бис-гидроксиметилбензальдегид в виде твердого вещества светло-серого цвета. 81.3. Аналогично примеру 1.1 бензальдегид, полученный, как описано в примере 81.2, вводили в реакцию с 4-аминобензонитрилом и бензилизонитрилом, при этом получали метиловый эфир (RS)-(3,5-бис-гидроксиметилфенил)-(4-цианофениламино)уксусной кислоты. 81.4. Раствор 1,82 мл ДМСО в 150 мл СН2Сl2 при -78oС обрабатывали 1,86 мл оксалилхлорида и полученную смесь перемешивали при -78oС в течение 30 мин. Затем добавляли по каплям 2,62 г соединения, описанного в примере 81.3, в 50 мл CH2Cl2, и полученную смесь перемешивали при -78oС в течение 30 мин. Затем по каплям добавляли 17,88 мл триэтиламина и реакционную смесь перемешивали при -78oС в течение еще 2 ч. Затем смесь нагревали до комнатной температуры и упаривали. Остаток очищали хроматографией на силикагеле. При этом получали 2,34 г метилового эфира (RS)-(4-цианофениламино)-(3,5-диформилфенил)уксусной кислоты в виде твердой пены светло-желтого цвета. 81.5. Суспензию 425 мг диальдегида, описанного в примере 81.4, 456 мг карбоната калия и 943 мг бромида метилтрифенилфосфония в 17 мл диоксана, содержащего 1,5% воды, нагревали при 110oС в течение 16 ч. Затем реакционную смесь концентрировали, неочищенный продукт выделяли хроматографией на силикагеле. При этом получали 293 мг метилового эфира (RS)-(4-цианофениламино)-(3,5-дивинилфенил)уксусной кислоты в виде твердого вещества светло-желтого цвета. 81.6. Аналогично примеру 29.2 из соединения полученного, как описано в примере 81.5, получали метиловый эфир (RS)-(4-цианофениламино)-(3,5-диэтилфенил)уксусной кислоты. 81.7. Аналогично примеру 59.3 из нитрила, полученного, как описано в примере 81.6, получали метиловый эфир (RS)-(4-карбамимидоилфениламино)-(3,5-диэтилфенил)уксусной кислоты. Пример 82. Аналогично примерам 81.5-7 из диальдегида, описанного в примере 81.4, и бромида этилтрифенилфосфония получали метиловый эфир (4-цианофениламино)-(3,5-дипропенилфенил)уксусной кислоты, из которого через промежуточное образование метилового эфира (RS)-(4-цианофениламино)-(3,5-дипропилфенил)уксусной кислоты получали метиловый эфир (4-карбамимидоилфениламино)-(3,5-дипропилфенил)уксусной кислоты. Пример 83. Аналогично примеру 64.3 из метилового эфира (4-цианофениламино)-(3,5-дипропенилфенил)уксусной кислоты, описанного как промежуточное соединение в примере 82, получали гидрохлорид метилового эфира (RS)-(4-карбамимидоилфениламино)-(3,5-дипропенилфенил)уксусной кислоты (1: 1) (в конфигурации Е и Z). Пример 84. 84.1. Раствор 130 мг альдегида, описанного в примере 81.2, в 10 мл ДМФ обрабатавали 62 мг NaH и реакционную смесь перемешивали при комнатной температуре в течение 10 мин. Затем добавляли 0,15 мл метилиодида и смесь перемешивали при комнатной температуре в течение 1 дня. Затем реакционную смесь упаривали, неочищенный продукт очищали хроматографией на силикагеле. При этом получали 85 мг 3,5-бис-метоксиметилбензальдегида. 84.2. Аналогично примеру 1.1 из бензальдегида, описанного в примере 84.1, 4-аминобензонитрила и толуол-4-сульфонилметилизоцианида получали метиловый эфир (RS)-(3,5-бис-метоксиметилфенил)-(4-цианофениламино)уксусной кислоты. 84.3. Аналогично примеру 64.3 из нитрила, полученного, как описано в примере 84.2, получали гидрохлорид метилового эфира (RS)-(3,5-бис-метоксиметилфенил)-(4-карбамимидоилфениламино)уксусной кислоты (1:1). Пример 85. 85.1. Раствор 2,87 г метилового эфира (RS)-(4-цианофениламино)-(3,5-диформилфенил)уксусной кислоты в 20 мл диоксана и 1,3 мл ДМФ обрабатывали 3,18 г бромида метилтрифенилфосфония и 1,84 г карбоната калия. Суспезию нагревали до 100oС в течение 3 суток, затем охлаждали до комнатной температуры, фильтровали и концентрировали. Неочищенный продукт выделяли экстракцией и очищали хроматографией на силикагеле. При этом получали 1,31 г метилового эфира (RS)-(4-цианофениламино)-(3-формил-5-винилфенил)уксусной кислоты в виде твердого вещества светло-желтого цвета. 85.2. К суспензии 200 мг альдегида, описанного в примере 80.1, и 0,062 мл пирролидина в 2 мл метанола добавляли по каплям уксусную кислоту до рН 6. Затем добавляли 46 мг цианоборoгидрида натрия, полученную смесь перемешивали при комнатной температуре в течение ночи, подкисляли 1 н. НСl до рН 3 и упаривали. Неочищенный продукт выделяли экстракцией и очищали хроматографией на силикагеле. При этом получали 200 мг метилового эфира (RS)-(4-цианофениламино)-(3-пирролидин-1-илметил-5-винилфенил)уксусной кислоты в виде бесцветного масла. 85.3. Аналогично примеру 64.3 из соединения, описанного в примере 85.2, получали гидрохлорид метилового эфира (RS)-(4-карбамимидоилфениламино)-(3-пирролидин-1-илметил-5-винилфенил)-уксусной кислоты (1:2). Пример 86. Аналогично примеру 3 86.1) из амидоксима, описанного в примере 78.5, получали (RS)-[3-(2-бензилоксиэтокси)-5-этоксифенил]-(4-карбамимидоилфениламино)уксусную кислоту; 86.2) из амидоксима, описанного в примере 79.4, получали (RS)-(4-кapбaмимидоилфениламино)-(3-карбоксиметокси-5-этоксифенил]уксусную кислоту. Пример 87. Аналогично примеру 16.3 87. а) из соединения, описанного в примере 78.5, получали (RS)-(4-карбамимидоилфениламино)-[3-этокси-5-(2-гидроксиэтокси)фенил]уксусную кислоту; 87. б) из соединения, описанного в примере 88.ж, получали ацетат (RS)-(4-карбамимидоилфениламино)-(3-этил-5-пирролидин-1-илметилфенил)уксусной кислоты (1:1). Пример 88. Аналогично примеру 75 88. а) из сложного эфира, описанного в примере 80.а, получали (RS)-4-{ 3-[(4-карбамимидоилфениламино)карбоксиметил] -5-этоксифенокси} масляную кислоту; 88. б) из сложного эфира, описанного в примере 80.б, получали (RS)-(4-карбамимидоилфениламино)-(3,5-дибутоксифенил)уксусную кислоту; 88. в) из сложного эфира, описанного в примере 81.7, получали (RS)-(4-карбамимидоилфениламино)-(3,5-диэтилфенил)уксусную кислоту; 88. г) из сложного эфира, описанного в примере 82, получали (RS)-(4-карбамимидоилфениламино)-(3,5-дипропилфенил)уксусную кислоту; 88. д) из сложного эфира, описанного в примере 83, получали (4-карбамимидоилфениламино)-(3,5-дипропенилфенил)уксусную кислоту (соединение включает уксусную кислоту); 88. е) из сложного эфира, описанного в примере 84.3, получали (RS)-(3,5-бис-метоксиметилфенил)-(4-карбамимидоилфениламино)уксусную кислоту; 88.ж) из сложного эфира, описанного в примере 85.3, получали (RS)-(4-карбамимидоилфениламино)-(3-пирролидин-1-илметил-5-винилфенил)уксусную кислоту. Пример 89. 89.1. 114 г гексаметилентетрамина добавляли к раствору 20 г 4-этилфенола в 400 мл АсОН и реакционную смесь перемешивали при 100oС в течение 5 ч. Затем добавляли 150 мл воды и 150 мл 25%-ного раствора НСl. Смесь перемешивали при 100oС в течение 1 ч, а затем охлаждали до комнатной температуры. Неочищенный продукт выделяли экстракцией диэтиловым эфиром и очищали хроматографией на силикагеле. При этом получали 8,6 г 5-этил-2-гидроксибензальдегида в виде светло-желтой жидкости. 89.2. Аналогично примеру 64.1 из фенола, полученного, как описано в примере 89.1, и иодацетамида получали 2-(4-этил-2-формилфенокси)ацетамид. 89.3. Аналогично примеру 1.1 из бензальдегида, описанного в примере 89.2, 4-аминобензонитрила и бензилизонитрила получали этиловый эфир (RS)-(2-карбамоилметокси-5-этилфенил)-(4-цианофениламино)уксусной кислоты. 89.4. Аналогично примеру 64.3 из нитрила, описанного в примере 89.3, получали гидрохлорид этилового эфира (RS)-(4-карбамимидоилфениламино)-(2-карбамоилметокси-5-этилфенил)уксусной кислоты (1:1). Пример 90. 90. а. Аналогично примерам 89.2-4 из альдегида, описанного в примере 89.1, и гидрохлорида 1-хлор-2-диметиламиноэтана получали 2-(2-диметиламиноэтокси)-5-этилбензальдегид, из которого по реакции с 4-аминобензонитрилом и толуол-4-сульфонилметилизоцианидом получали метиловый эфир (RS)-(4-цианофениламино)-[2-(2-диметиламиноэтокси)-5-этилфенил] уксусной кислоты, а затем гидрохлорид метилового эфира (RS)-(4-карбамимидоилфениламино)-[2-(2-диметиламиноэтокси)-5-этилфенил]уксусной кислоты (1:1). 90.б. Аналогично примеру 89 из 4-пропилфенола получали 2-гидрокси-5-пропилбензальдегид, из которого по реакции с 2-бромэтанолом получали 2-(2-гидроксиэтокси)-5-пропилбензальдегид. Из этого соединения по реакции с 4-аминобензонитрилом и бензилизонитрилом получали метиловый эфир (RS)-(4-цианофениламино)-[2-(2-гидроксиэтокси)-5-пропилфенил] уксусной кислоты, а затем ацетат метилового эфира (RS)-(4-карбамимидоилфениламино)-[2-(2-гидроксиэтокси)-5-пропилфенил]уксусной кислоты (1:1). 90. в. Аналогично примерам 89.2-4 из 2-гидрокси-5-пропилбензальдегида, промежуточного соединения, описанного в примере 90.б, и иодацетамида получали 2-(2-формил-4-пропилфенокси)ацетамид, из которого по реакции с 4-аминобензонитрилом и толуол-4-сульфонилметилизоцианидом получали метиловый эфир (RS)-(2-карбамоилметокси-5-пропилфенил)-(4-цианофениламино)уксусной кислоты, а затем гидрохлорид метилового эфира (RS)-(4-карбамимидоилфениламино)-(2-карбамоилметокси-5-пропилфенил)уксусной кислоты (1:1). 90. г. Аналогично примеру 89 из 4-(2-гидроксиэтил)фенола получали 5-(2-гидроксиэтил)салициловый альдегид, из которого по реакции с 2-бромэтанолом получали 2-(2-гидроксиэтокси)-5-(2-тидроксиэтил)бензальдегид. Затем из этого соединения по реакции с 4-аминобензонитрилом и бензилизонитрилом получали этиловый эфир (RS)-(4-цианофениламино)-[2-(2-гидроксиэтокси)-5-(2-гидроксиэтил)фенил] уксусной кислоты, а затем гидрохлорид этилового эфира (RS)-(4-карбамимидоилфениламино)-[2-(2-гидроксиэтокси)-5-(2-гидроксиэтил)фенил] уксусной кислоты (1:1). 90. д. Аналогично примеру 89 из 4-изопропилфенола получали 5-изопропилсалициловый альдегид, из которого по реакции с 2-бромэтанолом получали 2-(2-гидроксиэтокси)-5-изопропилбензальдегид. Затем из этого соединения по реакции с 4-аминобензонитрилом и бензилизонитрилом получали метиловый эфир (RS)-(4-цианофениламино)-[2-(2-гидроксиэтокси)-5-изопропилфенил] уксусной кислоты, а затем метиловый эфир (RS)-(4-карбамимидоилфениламино)-[2-(2-гидроксиэтокси)-5-изопропилфенил]уксусной кислоты. Пример 91. 91.1. 21 мл СНСl3 добавляли по каплям в течение 30 мин к нагретой до 55oС суспензии 20 г 4-гидроксипропиофенона в 95 мл 28%-ной NaOH. Суспензию желтого цвета нагревали при 55oС в течение 1,5 ч, а затем по каплям добавляли еще 5 мл СНСl3, выдерживали при 60oС в течение 5 ч, охлаждали до комнатной температуры и выливали в смесь, содержащую 70 мл концентрированной хлористоводородной кислоты и 200 мл воды. Образовавшийся осадок желтого цвета отделяли фильтрованием. Остающийся неочищенный продукт выделяли из фильтрата экстракцией. Осадок и экстракт объединяли и очищали хроматографией на силикагеле. При этом получали 2,24 г 2-гидрокси-5-пропионилбензальдегида в виде твердого вещества зеленоватого цвета. 91.2. Аналогично примерам 89.2-4 из фенола, описанного в примере 91.1, и 2-бромэтанола получали 2-(2-гидроксиэтокси)-5-пропионилбензальдегид. Из этого соединения по реакции с 4-аминобензонитрилом и толуол-4-сульфонилметилизоцианидом получали метиловый эфир (RS)-(4-цианофениламино)-[2-(2-гидроксиэтокси)-5-пропионилфенил] уксусной кислоты, а затем гидрохлорид метилового эфира (RS)-(4-карбамимидоилфениламино)-[2-(2-гидроксиэтокси)-5-пропионилфенил]уксусной кислоты (1:1). Пример 92. 92.1. Аналогично примеру 64.1 из фенола, описанного в примере 89.1, и N-(2-бромэтил)фталимида получали 2-[2-(1,3-диоксо-1,3-дигидроизоиндол-2-ил)этокси]-5-этилбензальдегид. 92.2. Аналогично примеру 1.1 из бензальдегида, полученного, как описано в примере 92.1, 4-аминобензонитрила и бензилизонитрила получали метиловый эфир (RS)-(4-цианофениламино)-{ 2-[2-(1,3-диоксо-1,3-дигидроизоиндол-2-ил)этокси]-4,5-диметоксифенил}уксусной кислоты. 92.3. 0,82 мл гидразингидрата добавляли к раствору 2,73 г фталимида, описанного в примере 92.2, в 20 мл МеОН и 20 мл CHCl3. Реакционную смесь перемешивали при комнатной температуре в течение 1 дня, затем обрабатывали 10 мл уксусной кислоты в 20 мл МеОН и перемешивали при комнатной температуре в течение ночи. Затем выпавший в осадок гидразинацетат отделяли фильтрованием, фильтрат выпаривали. Неочищенный продукт выделяли хроматографией на силикагеле. При этом получали 1,48 г ацетата метилового эфира (RS)-[2-(2-аминоэтокси)-5-этилфенил] -(4-цианофениламино)уксусной кислоты (1:1) в виде лиофилизированного продукта белого цвета. 92.4. Аналогично примеру 59.3 из нитрила, полученного, как описано в примере 92.3, получали гидрохлорид метилового эфира (RS)-[2-(2-аминоэтокси)-5-этилфенил]-(4-карбамимидоилфениламино)уксусной кислоты (1:3). Пример 93. Аналогично примеру 64.3 из нитрила, полученного, как описано в примере 92.2, получали гидрохлорид метилового эфира (RS)-(4-карбамимидоилфениламино)-{ 2-[2-(1,3-диоксо-1,3-дигидроизоиндол-2-ил)этокси]-5-этилфенил}уксусной кислоты (1:1). Пример 94. 94.1. Аналогично примеру 22.1 из амина, полученного, как описано в примере 92.3, и ацетилхлорида получали метиловый эфир (RS)-[2-(2-ацетиламиноэтокси)-5-этилфенил]-(4-цианофениламино)уксусной кислоты. 94.2. Аналогично примеру 64.3 из нитрила, полученного, как описано в примере 94.1, получали гидрохлорид метилового эфира (RS)- [2-(2-ацетиламиноэтокси)-5-этилфенил]-(4-карбамимидоилфениламино)уксусной кислоты (1:1). Пример 95. Аналогично примеру 94 95. а) из амина, полученного, как описано в примере 92.3, и ангидрида трифторуксусной кислоты получали метиловый эфир (RS)-(4-цианофениламино)-{ 5-этил-2-[2-(2,2,2-трифторацетиламино)этокси] фенил} уксусной кислоты, из которого затем получали гидрохлорид метилового эфира (RS)-(4-карбамимидоилфениламино)-{ 5-этил-2-[2-(2,2,2-трифторацетиламино)этокси] фенил}уксусной кислоты (1:1); 95. б) из амина, полученного, как описано в примере 92.3, и метансульфонилхлорида получали метиловый эфир (RS)-(4-цианофениламино)-[5-этил-2-(2-метансульфониламиноэтокси)фенил]уксусной кислоты, из которого затем получали гидрохлорид метилового эфира (RS)-(4-кapбaмимидoилфeнилaминo)-[5-этил-2-(2-метансульфониламиноэтокси)фенил]уксусной кислоты (1:1); 95. в) из амина, полученного, как описано в примере 92.3, и фенилсульфонилхлорида получали метиловый эфир (RS)-[2-(2-бен-золсульфониламиноэтокси)-5-этилфенил] -(4-цианофениламино)уксусной кислоты, из которого затем получали гидрохлорид метилового эфира (RS)-[2-(2-бензолсульфонила-миноэтокси)-5-этилфенил]-(4-карбамимидоилфениламино)уксусной кислоты (1:1). Пример 96. Аналогично примеру 75 96. а) из сложного эфира, полученного, как описано в примере 89.4, получали (RS)-(4-карбамимидоилфениламино)-(2-карбамоилметокси-5-этилфенил)уксусную кислоту; 96. б) из сложного эфира, полученного, как описано в примере 89.а, получали (RS)-(4-карбамимидоилфениламино)-[2-(2-диметиламиноэтокси)-5-этилфенил]уксусную кислоту; 96. в) из сложного эфира, полученного, как описано в примере 90.б, получали (RS)-(4-карбамимидоилфениламино)-[2-(2-гидроксиэтокси)-5-пропилфенил] уксусную кислоту; 96. г) из сложного эфира, полученного, как описано в примере 90.в, получали (RS)-(4-карбамимидоилфениламино)-(2-карбамоилметокси-5-пропилфенил)уксусную кислоту; 96. д) из сложного эфира, полученного, как описано в примере 89.г, получали (RS)-(4-карбамимидоилфениламино)-[2-(2-гидроксиэтокси)-5-(2-гидроксиэтил)фенил]уксусную кислоту; 96. е) из сложного эфира, полученного, как описано в примере 90.д, получали (RS)-(4-карбамимидоилфениламино)-[2-(2-гидроксиэтокси)-5-изопропилфенил]уксусную кислоту; 96. ж) из сложного эфира, полученного, как описано в примере 92.4, получали ацетат (RS)-[2-(2-аминоэтокси)-5-этилфенил]-(4-карбамимидоилфениламино)уксусной кислоты (1:1); 96.з) из сложного эфира, полученного, как описано в примере 92, получали (RS)-N-(2-{ 2-[(4-карбамимидоилфениламино)карбоксиметил] -4-этилфенокси} этил)фталамидная кислота; 96. и) из сложного эфира, полученного, как описано в примере 94.2, получали (RS)-[2-(2-ацетиламиноэтокси)-5-этилфенил] -(4-карбамимидоилфениламино)уксусную кислоту; 96. к) из сложного эфира, полученного, как описано в примере 95.а, получали (RS)-(4-карбамимидоилфениламино)-{ 5-этил-2-[2-(2,2,2-трифторацетиламино)этокси]фенил}уксусную кислоту; 96. л) из сложного эфира, полученного, как описано в примере 95.б, получали (RS)-(4-карбамимидоилфениламино)-[5-этил-2-(2-метансульфониламиноэтокси)фенил]уксусную кислоту; 96. м) из сложного эфира, полученного, как описано в примере 95.в, получали (RS)-[2-(2-бензолсульфониламиноэтокси)-5-этилфенил] -(4-карбамимидоилфениламино)уксусную кислоту; 96. н) из сложного эфира, полученного, как описано в примере 91.2, получали гидрохлорид метилового эфира (RS)-(4-карбамимидоилфениламино)-[2-(2-гидроксиэтокси)-5-пропионилфенил]уксусной кислоты (1:1). Пример 97. 14 мг NaBH4 добавляли к раствору кетона, описанного в примере 96.н, в 5 мл этанола, 5 мл воды и 5 мл ДМФ. Реакционную смесь перемешивали при комнатной температуре в течение ночи, а затем концентрировали досуха. Остаток переносили в воду, при этом образовывался осадок белого цвета, который отделяли фильтрованием. В результате получали 82 мг смеси (RS)- и (SR)-(4-карбамимидоилфениламино)-[2-(2-гидроксиэтокси)-5-[(RS)-1-гидроксипропил] фенил] уксусных кислот в виде твердого вещества белого цвета. Пример 98. 98.1. Аналогично примеру 1.1 из 4,5-диметокси-2-метилбензальдегида, 4-аминобензонитрила и толуол-4-сульфонилметилизоцианида получали метиловый эфир (RS)-(4-цианофениламино)-(4,5-диметокси-2-метилфенил)уксусной кислоты, из которого затем, аналогично примеру 64.3 получали гидрохлорид метилового эфира (RS)-(4-кapбaмимидoилфeнилaминo)-(4,5-диметокси-2-метилфенил)уксусной кислоты (1:1). 98.2. Аналогично примеру 98.1 из 2,5-диметил-4-метоксибензальдегида, 4-аминобензонитрила и толуол-4-сульфонилметилизо-цианида получали метиловый эфир (RS)-(4-цианофениламино)-(4-метокси-2,5-диметилфенил)уксусной кислоты, из которого затем получали ацетат метилового эфира (RS)-(4-кapбaмимидoилфeнилaминo)-(4-мeтoкcи-2,5-димeтилфeнил)yкcycнoй кислоты (1:1). Пример 99. 99.1. Аналогично примеру 64.1 из 4,5-диэтокси-2-гидроксибензальдегида [полученного окислением 3,4-диметоксибензальдегида по Байеру-Виллигеру (Bayer-Villiger) мета-хлорнадбензойной кислотой в метаноле, последующим гидролизом полученного эфира формилфенола с помощью КОН в метаноле с получением 3,4-диэтоксифенола и последующим формилированием по Гаттерману (Gattermann) цианидом цинка, КСl и НСl в диэтиловом эфире] и 2-бромэтанола получали 4,5-диэтокси-2-(2-гидроксиэтокси)бензальдегид. 99.2. Аналогично примеру 1.1 из бензальдегида, полученного, как описано в примере 99.1, 4-амино-N-гидроксибензамидина и бензилизонитрила получали этиловый эфир (Е)- и/или (Z)-(RS)-[4,5-диэтокси-2-(2-гидроксиэтокси)фенил] -[4-(N-гидроксикарбамимидоил)фениламино]уксусной кислоты. 99.3. Аналогично примеру 3 из амидоксима, полученного, как описано в примере 99.2, получали ацетат этилового эфира (RS)-(4-карбамимидоилфениламино)-[4,5-диэтокси-2-(2-гидроксиэтокси)фенил]уксусной кислоты (1:1). Пример 100. Аналогично примеру 99 100. а) из 4,5-диэтокси-2-гидроксибензальдегида и 3-бром-1-пропанола получали 4,5-диэтокси-2-(3-гидроксипропокси)бензальдегид, из которого по реакции с 4-амино-N-гидроксибензамидином и бензилизонитрилом получали этиловый эфир (RS)-(E)- и/или -(Z)-[4,5-диэтокси-2-(3-гидроксипропокси)фенил] -[4-(N-гидроксикарбамимидоил)фениламино] уксусной кислоты, а затем ацетат этилового эфира (RS)-(4-карбамимидоилфениламино)-[4,5-диэтокси-2-(3-гидроксипропокси)фенил]уксусной кислоты (1:1); 100. б) из 4,5-диэтокси-2-гидроксибензальдегида и этилового эфира бромуксусной кислоты получали этиловый эфир (4,5-диэтокси-2-формилфенокси)уксусной кислоты, из которого по реакции с 4-амино-N-гидроксибензамидином и бензилизонитрилом получали этиловый эфир (RS)-(Е)- и/или -(Z)-(4,5-диэтокси-2-этоксикарбонилметоксифенил)-[4-(N-гидроксикарбамимидоил)фениламино] уксусной кислоты, а затем ацетат этилового эфира (RS)-(4-карбамимидоилфениламино)-(4,5-диэтокси-2-этоксикарбонилметоксифенил)уксусной кислоты (1:1); 100. в) из 4,5-диэтокси-2-гидроксибензальдегида и этилового эфира 2-бромизомасляной кислоты получали этиловый эфир 2-(4,5-диэтокси-2-формилфенокси)-2-метилпропионовой кислоты, из которого по реакции с 4-амино-N-гидроксибензамидином и бензилизонитрилом получали этиловый эфир (RS)-(Е)- и/или (Z)-2-(4,5-диэтокси-2-{[4-(N-гидроксикарбамимидоил)фениламино]метоксикарбонилметил} фенокси)-2-метилпропионовой кислоты, а затем этиловый эфир (RS)-2-{ 2-[(4-карбамимидоилфениламино)метоксикарбонилметил] -4,5-диэтоксифенокси} -2-метилпропионовой кислоты; 100. г) из 4,5-диэтокси-2-гидроксибензальдегида и иодацетамида получали 2-(4,5-диэтокси-2-формилфенокси)ацетамид, из которого по реакции с 4-амино-N-гидроксибензамидином и бензилизонитрилом получали этиловый эфир (2-карбамоилметокси-4,5-диэтоксифенил)-[4-(N-гидроксикарбамимидоил)фениламино] уксусной кислоты, а затем гидрохлорид этилового эфира (RS)-(4-карбамимидоилфениламино)-(2-карбамоилметокси-4,5-диэтоксифенил)уксусной кислоты (1:1). Пример 101. 101.1. Аналогично примерам 16.1-2 из 6-бромвератрового альдегида, 4-аминобензонитрила и бензилизонитрила получали метиловый эфир (RS)-(2-бром-4,5-диметоксифенил)-(4-цианофениламино)уксусной кислоты. 101.2. Аналогично примеру 64.3 из нитрила, полученного, как описано в примере 101.1, получали гидрохлорид метилового эфира (RS)-(2-6poм-4,5-диметоксифенил)-(4-карбамимидоилфениламино)уксусной кислоты (1:1). Пример 102. 102.1. Раствор 0,91 мг бромида, описанного в примере 101.1, в 20 мл 1,2-диметоксиэтана обрабатывали 0,32 г 3-тиофенбороновой кислоты и 0,76 мг CsF. Через полученную суспензию в течение 30 мин пропускали аргон. Затем добавляли 87 мг тетракис(трифенилфосфин)палладия и реакционную смесь кипятили с обратным холодильником в течение ночи. Неочищенный продукт выделяли экстракцией и очищали хроматографией на силикагеле. При этом получали 241 мг метилового эфира (RS)-(4-цианофениламино)-(4,5-диметокси-2-тиофен-3-илфенил)уксусной кислоты в виде твердого вещества серого цвета. 102.2. Аналогично примеру 64.3 из соединения, описанного в примере 101.1, получали ацетат метилового эфира (RS)-(4-карбамимидоилфениламино)-(4,5-диметокси-2-тиофен-3-илфенил)уксусной кислоты (1:1). Пример 103. 103.1. 4,70 г пинаколилдибороната и 3,63 г ацетата калия добавляли к раствору 5 г бромида, описанного в примере 101.1, в 100 мл диоксана и через реакционную смесь в течение 15 мин пропускали аргон. Затем добавляли 0,52 г хлорида бис(трифенилфосфин)палладия (II), реакционную смесь нагревали при 80oС в течение ночи, фильтровали и упаривали. Неочищенный продукт выделяли хроматографией на силикагеле. При этом получали 3.89 г метилового эфира (RS)-(4-цианофениламино)-[4,5-диметокси-2-(4,4,5,5-тетраметил[1,3,2] диоксаборолан-2-ил)фенил]уксусной кислоты в виде пены розового цвета. 103.2. Аналогично примеру 73.2 из эфира бороновой кислоты, описанного в примере 102.1, получали метиловый эфир (RS)-(4-цианофениламино)-(4,5-диметокси-2-пиридин-3-илфенил)уксусной кислоты. 103.3. Аналогично примеру 64.3 из соединения, полученного, как описано в примере 103.2, получали гидрохлорид метилового эфира (RS)-(4-карбамимидоилфениламино)-(4,5-диметокси-2-пиридин-3-илфенил)уксусной кислоты (1:1). Пример 104. 104. а. Аналогично примеру 102 из бромида, описанного в примере 101.1, и фенилбороновой кислоты получали метиловый эфир (RS)-(4-цианофениламино)-(4,5-диметоксибифенил-2-ил)уксусной кислоты, из которого затем получали гидрохлорид метилового эфира (RS)-(4-карбамимидоилфениламино)-(4,5-диметоксибифенил-2-ил)уксусной кислоты (1:1). 104. б. Аналогично примерам 73.2-3 из бромида, описанного в примере 101.1, и 2-тиофенбороновой кислоты получали метиловый эфир (RS)-(4-цианофениламино)-(4,5-диметокси-2-тиофен-2-илфенил)уксусной кислоты, из которого затем получали ацетат метилового эфира (RS)-(4-карбамимидо-илфениламино)-(4,5-диметокси-2-тиофен-2-илфенил)уксусной кислоты (1:1). Пример 105. Аналогично примеру 75 105. а) из сложного эфира, описанного в примере 98.1, получали (RS)-(4-карбамимидоилфениламино)-(4,5-диметокси-2-метилфенил)уксусную кислоту; 105. б) из сложного эфира, описанного в примере 98.2, получали (RS)-(4-карбамимидоилфениламино)-(4-метокси-2,5-диметилфенил)уксусную кислоту; 105. в) из сложного эфира, описанного в примере 99.3, получали (RS)-(4-карбамимидоилфениламино)-[4,5-диэтокси-2-(2-гидроксиэтокси)фенил] уксусную кислоту; 105. г) из сложного эфира, описанного в примере 100.а, получали (RS)-(4-карбамимидоилфениламино)-[4,5-диэтокси-2-(3-гидроксипропокси)фенил] уксусную кислоту; 105. д) из сложного эфира, описанного в примере 100.б, получали (RS)-(4-карбамимидоилфениламино)-(2-карбоксиметокси-4,5-диэтоксифенил)уксусную кислоту; 105. е) из сложного эфира, описанного в примере 100.в, получали (RS)-2-{ 2-[(4-карбамимидоилфениламино)карбоксиметил] -4,5-диэтоксифенокси} -2-метилпропионовую кислоту; 105. ж) из сложного эфира, описанного в примере 100.г, получали (RS)-(4-карбамимидоилфениламино)-(2-карбамоилметокси-4,5-диэтоксифенил)уксусную кислоту; 105. з) из сложного эфира, описанного в примере 101.2, получали (RS)-(2-бром-4,5-диметоксифенил)-(4-карбамимидоилфениламино)уксусную кислоту; 105. и) из сложного эфира, описанного в примере 102.2, получали (RS)-(4-карбамимидоилфениламино)-(4,5-диметокси-2-тиофен-3-илфенил)уксусную кислоту; 105. к) из сложного эфира, описанного в примере 104.а, получали (RS)-(4-карбамимидоилфениламино)-(4,5-диметоксибифенил-2-ил)уксусную кислоту; 105. л) из сложного эфира, описанного в примере 104.б, получали (RS)-(4-карбамимидоилфениламино)-(4,5-диметокси-2-тиофен-2-илфенил)уксусную кислоту; 105. м) из сложного эфира, описанного в примере 103.3, получали (RS)-(4-карбамимидоилфениламино)-(4,5-диметокси-2-пиридин-3-илфенил)уксусную кислоту. Пример 106. 106.1. Аналогично примеру 102.1 из бромида, описанного в примере 103.1, и 2-фуранбороновой кислоты получали (RS)-(4-цианофениламино)-(2-фуран-2-ил-4,5-диметоксифенил)уксусную кислоту. 106.2. Аналогично примеру 1.2 из соединения, описанного в примере 106.1, получали (RS)-(4-цианофениламино)-(2-фуран-2-ил-4,5-диметоксифенил)уксусную кислоту. 106.3. Аналогично примеру 1.3 из соединения, описанного в примере 106.2, получали (2-фуран-2-ил-4,5-диметоксифенил)-[4-(N-гидроксикарбамимидоил)фениламино]уксусную кислоту. 106.4. Аналогично примеру 3 из амидоксима, полученного, как описано в примере 106.3, получали (RS)-(4-карбамимидоилфениламино)-(2-фуран-2-ил-4,5-диметоксифенил)уксусную кислоту. Пример 107. 107.1. 2.13 мл конц. азотной кислоты добавляли в течение 30 мин к охлажденному до -30oС раствору 10 г 3,4-диэтоксибензальдегида в 185 мл 1,2-дихлорэтана. Затем реакционную смесь нагревали до 0oС и выливали в лед. Продукт реакции выделяли экстракцией, при этом получали 12,06 г 4,5-диэтокси-2-нитробензальдегида. 107.2. Аналогично примеру 1.1 из бензальдегида, полученного, как описано в примере 107.1, 4-аминобензонитрила и бензилизонитрила получали метиловый эфир (RS)-(4-цианофениламино)-(4,5-диэтокси-2-нитрофенил)уксусной кислоты. 107.3. Аналогично примеру 59.2 восстановлением нитросоединения, полученного, как описано в примере 107.2, в присутствии платины на угле получали метиловый эфир (RS)-(2-амино-4,5-диэтоксифенил)-(4-циано-фениламино)уксусной кислоты. 107.4. Аналогично примеру 22.1 из анилина, полученного, как описано в примере 107.3, и ангидрида глутаровой кислоты получали (RS)-4-{2-[карбокси-(4-цианофениламино)метил]-4,5-диэтоксифенилкарбамоил}масляную кислоту. 107.5. Аналогично примеру 1.3 из соединения, полученного, как описано в примере 107.4, получали (RS)-4-(2-{ карбокси[4-(N-гидроксикарбамимидоил)фениламино]метил}-4,5-диэтоксифенилкарбамоил)масляную кислоту. 107.6. Аналогично примеру 3 из амидоксима, полученного, как описано в примере 107.5, получали 4-{2-[(4-карбамимидоилфениламино)карбоксиметил]-4,5-диэтоксифенилкарбамоил} масляную кислоту (соединение включает уксусную кислоту). Пример 108. 108.1. Аналогично примеру 22.1 из анилина, описанного в примере 107.3, и монометилоксалилхлорида получали (RS)-(4-цианофениламино)-[4,5-диэтокси-2-(оксалиламино)фенил]уксусную кислоту. 108.2. Аналогично примеру 64.3 из соединения, полученного, как описано в примере 107.1, получали гидрохлорид метилового эфира (RS)-(4-карбамимидоилфениламино)-[4,5-диэтокси-2-(метоксиоксалиламино)фенил] уксусной кислоты (1:1). 108.3. Аналогично примеру 1.2 из сложного эфира, полученного, как описано в примере 107.2, получали (RS)-(4-карбамимидоилфениламино)-[4,5-диэтокси-2-(оксалиламино)фенил]уксусную кислоту. Пример 109. 109.1. Охлажденный до 0oС раствор 6,81 г 3,4-диметилбензилового спирта и 11,62 мл N, N, N’,N’-тетраметилэтилендиамина в 150 мл пентана обрабатывали 62,5 мл 1,6 М раствора н-бутиллития в гексане и реакционную смесь кипятили с обратным холодильником в течение 11 ч. Затем при -30oС добавляли по каплям 12,69 г иода в 50 мл ТГФ, после чего смесь перемешивали при -30oС в течение 15 мин и нагревали до комнатной температуры. Затем реакционную смесь добавляли к 100 мл 10%-ной серной кислоты. Неочищенный продукт выделяли экстракцией и очищали хроматографией на силикагеле. При этом получали 2,95 г (2-иод-4,5-диметилфенил)метанола в виде твердого вещества светло-желтого цвета. 109.2. Аналогично примеру 27.1 из иодида, полученного, как описано в примере 109.1, и метилакрилата получали метиловый эфир (Е)-3-(2-гидроксиметил-4,5-диметилфенил)акриловой кислоты. 109.3. Аналогично примеру 27.2 из соединения, описанного в примере 109.2, получали метиловый эфир 3-(2-гидроксиметил-4,5-диметилфенил)пропионовой кислоты. 109.4. Аналогично примеру 27.3 из соединения, описанного в примере 109.3, получали метиловый эфир 3-(2-формил-4,5-диметилфенил)пропионовой кислоты. 109.5. Аналогично примеру 1 из бензальдегида, полученного, как описано в примере 109.4, 4-аминобензонитрила и бензилизонитрила получали метиловый эфир (RS)-3-[2-[(4-цианофениламино)метоксикарбонилметил] -4,5-диметилфенил] пропионовой кислоты, из которого через промежуточное образование (RS)-3-[2-[карбокси(4-цианофениламино)метил] -4,5-диметилфенил] пропионовой кислоты получали (Е)- и/или (Z)-(RS)-3-[2-[карбокси[4-(N-гидроксикарбамимидоил)фениламино]метил]-4,5-диметилфенил]пропионовую кислоту. 109.6. Аналогично примеру 3 из амидоксима, полученного, как описано в примере 109.5, получали (RS)-3-{2-[(4-карбамимидоилфениламино)карбоксиметил] -4,5-диметилфенил}пропионовую кислоту. Пример 110. 110.1. Аналогично примеру 64.1 3,75 г фенола, описанного в примере 89.1, алкилировали цис,транс-кротилбромидом. Неочищенное промежуточное соединение, 2-бут-2-енилокси-5-этилбензальдегид, выделяли экстракцией, нагревали при 200oС в течение одного дня и перегоняли в колбонагревателе (bulb-tube oven). При этом получали 3,39 г (RS)-5-этил-2-гидрокси-3-(1-метилаллил)бензальдегида в виде жидкости желтого цвета. 110.2. Аналогично примеру 64.1 из фенола, описанного в примере 110.1, и 2-бромэтанола получали (RS)-5-этил-2-(2-гидроксиэтокси)-3-(1-метилаллил)бензальдегид. 110.3. Аналогично примеру 1.1 из бензальдегида, описанного в примере 110.2, 4-амино-N-гидроксибензамидина и бензилизонитрила получали этиловый эфир [5-этил-2-(2-гидроксиэтокси)-3-(1-метилаллил)фенил] -[4-(N-гидроксикарбамимидоил)фениламино]уксусной кислоты. 110.4. Аналогично примеру 3 из амидоксима, полученного, как описано в примере 110.3, получали смесь этиловых эфиров (RS)- и (SR)-[(RS)-3-втор-бутил-5-этил-2-(2-гидроксиэтокси)фенил] -(4-карбамимидоилфениламино)уксусных кислот. Пример 111. Аналогично примеру 110 из фенола, описанного в примере 87.б, с помощью алкилирования цис, транс-кротилбромидом и последующего нагревания при 200oС получали (RS)-2-гидрокси-3-(1-метилаллил)-5-пропилбензальдегид. Из этого фенола по реакции с 2-бромэтанолом получали (RS)-2-(2-гидроксиэтокси)-3-(1-метилаллил)-5-пропилбензальдегид. Из полученного альдегида по реакции с 4-амино-N-гидроксибензамидином и бензилизонитрилом получали этиловый эфир [4-(N-гидроксикарбамимидоил)фениламино] -[2-(2-гидроксиэтокси)-3-(1-метилаллил)-5-пропилфенил] уксусной кислоты, из которого затем получали смесь ацетатов этиловых эфиров (RS)- и (SR)-[(RS)-3-втор-бутил-2-(2-гидроксиэтокси)-5-пропилфенил]-(4-карбамимидоилфениламино)уксусных кислот (1:1). Пример 112. 112.1. Аналогично примеру 1.1 из бензальдегида, полученного, как описано в примере 110.2, 4-аминобензонитрила и бензилизонитрила получали смесь этиловых эфиров (RS)- и (SR)-(4-циaнoфeнилaминo)-[5-этил-2-(2-гидроксиэтокси)-3-[(RS)-1-метилаллил]фенил]уксусных кислот. 112.2. Аналогично примеру 59.3 из нитрила, полученного, как описано в примере 112.1, получали смесь гидрохлоридов этиловых эфиров (RS)- и (SR)-(4-карбамимидоилфениламино) – [5-этил-2-(2-гидроксиэтокси)-3-[(RS)-1-метилаллил]фенил]уксусных кислот (1:1). Пример 113. 113.1. Аналогично примеру 89.1 из метилового эфира 5-метоксисалициловой кислоты получали метиловый эфир 3-формил-2-гидрокси-5-метоксибензойной кислоты. 113.2. Аналогично примеру 64.1 из фенола, полученного, как описано в примере 113.1, и 2-бромэтанола получали 7-метокси-5-оксо-2,3-дигидро-5Н-бензо[е] [1,4]диоксепин-9-карбальдегид. 113.3. Аналогично примеру 1.1 из бензальдегида, полученного, как описано в примере 113.2, 4-амино-N-гидроксибензамидина и бензилизонитрила получали метиловый эфир (RS)-3-[(4-цианофениламино)метоксикарбонилметил]-2-(2-гидроксиэтокси)-5-метоксибензойной кислоты. Пример 114. 114.1. 8,41 мл брома в 100 мл СНСl3 добавляли по каплям в течение 2 ч к охлажденному до 0oС раствору 10 г 4-этилфенола в 200 мл СНСl3 и 100 мл метанола. Затем реакционную смесь нагревали до комнатной температуры и концентрировали. Продукт реакции выделяли экстракцией. При этом получали 33,14 г 2-бром-4-этилфенола в виде масла светло-коричневого цвета. 114.2. Аналогично примеру 89.1 из фенола, описанного в примере 114.1, получали 3-бром-5-этил-2-гидроксибензальдегид. 114.3. Аналогично примеру 59.1 из фенола, описанного в примере 114.2, и 2-бромэтанола получали 3-бром-5-этил-2- (2-гидроксиэтокси)бензальдегид. 114.4. Аналогично примеру 1.1 из бензальдегида, полученного, как описано в примере 114.3, 4-аминобензонитрила и бензилизонитрила получали метиловый эфир (RS)-[3-бром-5-этил-2-(2-гидроксиэтокси)фенил] -(4-цианофениламино)уксусной кислоты. 114.5. Аналогично примеру 69.3 из нитрила, полученного, как описано в примере 114.4, получали гидрохлорид метилового эфира (RS)-[3-бром-5-этил-2-(2-гидроксиэтокси)фенил] -(4-карбамимидоилфениламино)уксусной кислоты (1: 1). Пример 115. 115.1. Аналогично примеру 73.1 из бромида, описанного в примере 110.4, и фенилбороновой кислоты получали (4-цианофенил)-[5-этил-2-(2-гидроксиэтокси)бифенил-3-ил]уксусную кислоту. 115.2. Аналогично примеру 64.3 из соединения, описанного в примере 115.1, получали гидрохлорид метилового эфира (RS)-(4-карбамимидоилфениламино)-[5-этил-2-(2-гидроксиэтокси)бифенил-3-ил]уксусной кислоты (1:1). Пример 116. Аналогично примеру 75 116. а) из сложного эфира, описанного в примере 110.4, получали смесь (RS)- и (SR)-[(RS)-3-втор-бутил-5-этил-2-(2-гидроксиэтокси)фенил] -(4-карбамимидоилфениламино)уксусных кислот; 116. б) из сложного эфира, описанного в примере 111, получали смесь (RS)-и (SR)-[(RS)-3-втор-бутил-2-(2-гидроксиэтокси)-5-пропилфенил] -(4-карбамимидоилфениламино)уксусных кислот; 116. в) из сложного эфира, описанного в примере 112.2, получали смесь (RS)- и (SR)-(4-карбамимидоилфениламино)-[5-этил-2-(2-гидроксиэтокси)-3-[(RS)-1-метилаллил]фенил]уксусных кислот; 116. г из сложного эфира, описанного в примере 113.4, получали (RS)-(4-карбамимидоилфениламино)-(7-метокси-5-оксо-2,3-дигидро-5Н-бензо[е] [1,4] диоксепин-9-ил)уксусную кислоту и (RS)-3-[(4-карбамимидоилфениламино)карбоксиметил]-2-(2-гидроксиэтокси)-5-метоксибензойную кислоту; 116. д) из сложного эфира, описанного в примере 114.5, получали (RS)-[3-бром-5-этил-2-(2-гидроксиэтокси)фенил] -(4-карбамимидоилфениламино)уксусную кислоту; 116. е) из сложного эфира, описанного в примере 115.2, получали (RS)-(4-карбамимидоилфениламино)-[5-этил-2-(2-гидроксиэтокси)бифенил-3-ил] уксусную кислоту. Пример 117. Аналогично методике, описанной в примере 64.1, но с использованием нижеуказанных гидроксиальдегидов и алкилирующих агентов, получали альдегиды, из которых, аналогично примеру 1 получали соответствующие амидоксимы: 117. а) из 3-этокси-4-гидроксибензальдегида и 2-бромпропана получали 3-этокси-4-изопропоксибензальдегид, из которого через промежуточное образование метилового эфира (RS)-(4-цианофениламино)-(3-этокси-4-изопропоксифенил)уксусной кислоты и (RS)-(4-цианофениламино)-(3-этокси-4-изопропоксифенил)уксусной кислоты получали (Е)- и/или (Z)-(RS)-(3-этокси-4-изопропоксифенил)-[4-(N-гидроксикарбамимидоил)фениламино]уксусную кислоту; 117. б) из 3-аллил-4-гидроксибензальдегида и 2-бромпропана получали 3-аллил-4-изопропоксибензальдегид, из которого через промежуточное образование метилового эфира (RS)-(3-аллил-4-изопропоксифенил)-(4-цианофениламино)уксусной кислоты и (RS)-(3-аллил-4-изопропоксифенил)-(4-цианофениламино)уксусной кислоты получали (Е)- и/или (Z)-(RS)-(3-аллил-4-изопропоксифенил)-[4-(N-гидроксикарбамимидоил)фениламино]уксусную кислоту; 117. в) из 3-этокси-4-гидроксибензальдегида и бромциклопропана получали 3-этокси-4-циклопропоксибензальдегид, из которого через промежуточное образование метилового эфира (RS)-(4-цианофениламино)-(4-циклопропокси-3-этоксифенил)уксусной кислоты и (RS)-(4-цианофениламино)-(4-циклопропокси-3-этоксифенил)уксусной кислоты получали (RS)-(4-циклопропокси-3-этоксифенил)-[4-(N-гидроксикарбамимидоил)фениламино]уксусную кислоту. Пример 118. Аналогично примеру 3 из соединений, полученных, как описано в примере 117, получали соответствующие амидины: 118. а) из соединения, описанного в примере 117.а, получали (RS)-(4-карбамимидоилфениламино)-(3-этокси-4-изопропоксифенил)уксусную кислоту; 118. б) из соединения, описанного в примере 117.б, получали (RS)-(4-карбамимидоилфениламино)-(4-изопропокси-3-пропилфенил)уксусную кислоту; 118. в) из соединения, описанного в примере 117.в, получали (RS)-(4-карбамимидоилфениламино)-(4-циклопропокси-3-этоксифенил)уксусную кислоту. Пример 119. 119.1. Аналогично методике, описанной в примере 64.1, из 3-аллил-4-гидроксибензальдегида и бензилбромида получали 3-аллил-4-бензилоксибензальдегид. 119.2. Аналогично методике, описанной в примере 1.1, но заменяя 3,5-диметоксибензальдегид на 3-аллил-4-бензилоксибензальдегид, получали метиловый эфир (RS)-(3-аллил-4-бензилоксифенил)-(4-цианофениламино)уксусной кислоты. 119.3. Аналогично методике, описанной в примере 6.2, из соединения, описанного в примере 119.2, получали эфир амидина, а именно метиловый эфир (RS)-(3-аллил-4-бензилоксифенил)-(4-карбамимидоилфениламино)уксусной кислоты. Пример 120. Сложный эфир, описанный в примере 119.3, гидролизовали методом, описанным в примере 75, при этом получали (RS)-(3-аллил-4-бензилоксифенил)-(4-карбамимидоилфениламино)уксусную кислоту. Пример 121. 121.1. Аналогично методике, описанной в примере 64.1, по реакции 3,5-дигидроксибензальдегида с 1,3 эквивалентами 2-бромпропана при 60oС в течение 4 ч получали 3-гидрокси-5-изопропоксибензальдегид. По аналогичной методике при взаимодействии полученного соединения с 1,5 эквивалентами этилбромида получали 3-этокси-5-изопропоксибензальдегид. 121.2. Раствор 1,2 г 3-этокси-5-изопропоксибензальдегида (см. пример 117.1) в 35 мл метанола обрабатывали 0,87 г 4-амино-N-гидроксибензамидина и перемешивали при комнатной температуре в течение 1 ч. Затем добавляли 0,70 мл бензилизонитрила, полученный раствор охлаждали до 0oС и по каплям добавляли 2,45 мл эфирата трехфтористого бора таким образом, чтобы температура не превышала 10oС. Реакционную смесь перемешивали при комнатной температуре в течение 1 ч, а затем концентрировали при пониженном давлении. Остаток переносили в 21 мл метанола и 2,1 мл воды, полученный раствор перемешивали при комнатной температуре в течение 1 ч, а затем концентрировали. Неочищенный продукт выделяли экстракцией и очищали хроматографией на силикагеле. При этом получали 0,44 г метилового эфира (Е)- и/или (Z)-(RS)-(3-этокси-5-изопропоксифенил)-[4-(N-гидроксикарбамимидоил)фениламино] уксусной кислоты в виде кристаллического вещества желтоватого цвета. Пример 122. Аналогично методике, описанной в примере 75, сложный эфир, полученный, как описано в примере 121.2, гидролизовали с получением (Е)- и/или (Z)-(RS)-(3-этокси-5-изопропоксифенил)-[4-(N-гидроксикарбамимидоил)фениламино] уксусной кислоты. Пример 123. Аналогично примеру 3 из продукта, описанного в примере 122, получали (RS)-(4-карбамимидоилфениламино)-(3-этокси-5-изопропоксифенил)уксусную кислоту. Пример 124. 124.1. 7,3 г метилового эфира (RS)-(3-бензилокси-5-этоксифенил)-(4-цианофениламино)уксусной кислоты растворяли в 146 мл этанола и 146 мл уксусной кислоты, затем обрабатывали 0,7 г катализатора палладий на угле и гидрировали при комнатной температуре. После отделения катализатора фильтрованием фильтрат концентрировали, остаток хроматографировали на силикагеле в гексане/этилацетате (3: 1). При этом получали 5,1 г бесцветного метилового эфира (RS)-(4-цианофениламино)-(3-этокси-5-гидроксифенил)уксусной кислоты. 124.2. Аналогично методике, описанной в примере 18, но заменяя метиловый эфир молочной кислоты на фенол, полученный, как описано в примере 124.1, и 4-морфолиноэтанол, получали метиловый эфир (RS)-(4-цианофениламино)-[3-этокси-5-(2-морфолин-4-илэтокси)фенил]уксусной кислоты. 124.3. Аналогично методике, описанной в примере 6.2., из соединения, полученного, как описано в примере 124.1, получали гидрохлорид метилового эфира (4-карбамимидоилфениламино)-[3-этокси-5-(2-морфолин-4-илэтокси)фенил] уксусной кислоты (1:1). Пример 125. Аналогично методике, описанной в примере 75, сложный эфир, описанный в примере 124.3, гидролизовали с получением (RS)-(4-карбамимидоилфениламино)-[3-этокси-5-(2-морфолин-4-илэтокси)фенил]уксусной кислоты. Пример 126. Аналогично методике, описанной в примере 18, но заменяя метиловый эфир молочной кислоты на фенол, описанный в примере 125.1, и трет-бутил-4-гидрокси-1-пиперидинкарбоновую кислоту, получали трет-бутиловый эфир (RS)-4-{ 3-[(4-цианофениламино)метоксикарбонилметил] -5-этоксифенокси} пиперидин-1-карбоновой кислоты. 126.2. 1,5 г соединения, полученного, как описано в примере 126.1, перемешивали при 0oС с 13 мл 2 М хлористоводородной кислоты в этилацетате в течение 1,5 ч. Затем реакционную смесь упаривали, при этом получали 1,0 г гидрохлорида метилового эфира (RS)-(4-цианофениламино)-[3-этокси-5-(пиперидин-4-илокси)фенил]уксусной кислоты. 126.3. 0,93 г амина, полученного, как описано в примере 126.2, растворяли в 15 мл тетрагидрофурана и обрабатывали 0,78 мл N-этилдиизопропиламина. Затем при 0oС впрыскивали 0,19 мл метансульфонилхлорида и реакционную смесь перемешивали при 0oС в течение 1,5 ч. Затем реакционную смесь выливали в охлажденную во льду 2 М хлористоводородную кислоту и экстрагировали этилацетатом. После выпаривания органической фазы и хроматографии остатка на силикагеле в этилацетате/гексане (1:1) получали 0,45 г метилового эфира (RS)-(4-цианофениламино)-[3-этокси-5-(1-метансульфонилпиперидин-4-илокси)фенил] уксусной кислоты. 126.4. Аналогично методике, описанной в примере 6.2, из соединения, описанного в примере 126.3, получали гидрохлорид метилового эфира (RS)-(4-карбамимидоилфениламино)-[3-этокси-5-(1-метансульфонилпиперидин-4-илокси)фенил]уксусной кислоты. Пример 127. Аналогично примеру 197, но при использовании фенола, полученного, как описано в примере 124.1, через промежуточное образование смеси этиловых эфиров (RS)- и (SR)-(4-цианофениламино)-[3-этокси-5-[(1RS,2RS)-2-гидроксициклопентилокси] фенил] уксусных кислот получали смесь гидрохлоридов этиловых эфиров (RS)- и (SR)-(4-карбамимидоилфениламино)-[3-этокси-5-[(1RS,2RS)-2-гидроксициклопентилокси]фенил]уксусных кислот. Пример 128. Аналогично методике, описанной в примере 127, но заменяя циклопентеноксид на циклогексеноксид, через промежуточное образование смеси этиловых эфиров (RS)- и (SR)-(4-цианофениламино)-[3-этокси-5-[(1RS,2RS)-2-гидроксициклогексилокси] фенил]уксусных кислот получали смесь гидрохлоридов этиловых эфиров (RS)- и (SR)-(4-карбамимидоилфениламино)-[3-этокси-5-[(1RS,2RS)-2-гидроксициклогексилокси]фенил]уксусных кислот. Пример 129. Аналогично методике, описанной в примере 206, но при использовании фенола, полученного, как описано в примере 124.1, через промежуточное образование метилового эфира (RS)-(4-цианофениламино)-[3-этокси-5-(4-тритилоксициклогексилокси)фенил] уксусной кислоты получали метиловый эфир (RS)-(4-карбамимидоилфениламино)-[3-этокси-5-(4-гидроксициклогексилокси)фенил] уксусной кислоты. Пример 130. Аналогично методике, описанной в примерах 200.2 и 200.3, но при использовании фенола, полученного, как описано в примере 124.1, через промежуточное образование метилового эфира (RS)-(4-цианофениламино)-(3-этокси-5-изобутоксифенил)уксусной кислоты получали гидрохлорид метилового эфира (RS)-(4-карбамимидоилфениламино)-(3-этокси-5-изобутоксифенил)уксусной кислоты. Пример 131. Аналогично методике, описанной в примере 75, соединения, описанные в примерах 126.4, 127, 128 и 129, гидролизовали с получением соответствующих кислот: 131.1) из продукта, описанного в примере 126.4, получали (RS)-(4-карбамимидоилфениламино)-[3-этокси-5-(1-метансульфонилпиперидин-4-илокси)фенил] уксусную кислоту; 131.2) из продукта, описанного в примере 127, получали смесь (RS)- и (SR)-(4-карбамимидоилфениламино)-[3-этокси-5-[(1RS, 2RS)-2-гидроксициклопентилокси]фенил]уксусных кислот; 131.3) из продукта, описанного в примере 128, получали смесь (RS)- и (SR)-(4-карбамимидоилфениламино)-[3-этокси-5-[(1RS, 2RS)-2-гидроксициклогексилокси]фенил]уксусных кислот; 131.4) из продукта, описанного в примере 129, получали (RS)-(4-карбамимидоилфениламино)-[3-этокси-5-(4-гидроксициклогексилокси)фенил] уксусную кислоту; 131.5) из продукта, описанного в примере 130, получали (RS)-(4-карбамимидоилфениламино)-(3-этокси-5-изобутоксифенил)уксусную кислоту. Пример 132. Аналогично примеру 64.1 из альдегида, описанного в примере 89.1, и этилового эфира бромуксусной кислоты получали этиловый эфир (4-этил-2-формилфенокси)уксусной кислоты, из которого по методике, описанной в примере 1, получали метиловый эфир (RS)-(4-цианофениламино)-(2-этоксикарбонилметокси-5-этилфенил)уксусной кислоты, из которого получали (RS)-(2-карбоксиметокси-5-этилфенил)-(4-цианофениламино)уксусную кислоту, из которой в итоге получали (Е)- и/или (Z)-(RS)-(2-карбоксиметокси-5-этилфенил)-[4-(N-гидроксикарбамимидоил)фениламино]уксусную кислоту. Пример 133. Аналогично примеру 3 из соединения, полученного, как описано в примере 132, получали (RS)-(4-карбамимидоилфениламино)-(2-карбоксиметокси-5-этилфенил)уксусную кислоту. Пример 134. 134.1. Аналогично примеру 64.1 из альдегида, описанного в примере 89.1, и бензилбромида получали 2-бензилокси-5-этилбензальдегид. 134.2. Аналогично примеру 1.1 из альдегида, описанного в примере 134.1, 4-аминобензонитрила и толуол-4-сульфонилметилизоцианида получали метиловый эфир (RS)-(2-бензилокси-5-этилфенил)-(4-цианофениламино)уксусной кислоты. 134.3. Аналогично методике, описанной в примере 124.1, продукт, описанный в примере 134.2, гидрировали с получением метилового эфира (RS)-(4-цианофениламино)-(5-этил-2-гидроксифенил)уксусной кислоты. 134.4. Аналогично примеру 59.1 из фенола, описанного в примере 134.3, и 2-бромэтилметилового эфира получали метиловый эфир (RS)-(4-цианофениламино)-[5-этил-2-(2-метоксиэтокси)фенил]уксусной кислоты. 134.5. Аналогично методике, описанной в примере 6.2, из соединения, описанного в примере 134.4, получали гидрохлорид метилового эфира (RS)-(4-карбамимидоилфениламино)-[5-этил-2-(2-метоксиэтокси)фенил] уксусной кислоты (1:1). Пример 135. Аналогично примерам 89.2-4 из альдегида, описанного в примере 89.1, и 2-бромэтанола получали 5-этил-2-(2-гидроксиэтокси)бензальдегид, из которого по реакции с 4-аминобензонитрилом и толуол-4-сульфонилметилизоцианидом получали метиловый эфир (RS)-(4-цианофениламино)-[5-этил-2-(2-гидроксиэтокси)фенил]уксусной кислоты, а затем гидрохлорид метилового эфира (RS)-(4-карбамимидоилфениламино)-[5-этил-2-(2-гидроксиэтокси)фенил]уксусной кислоты (1: 1). Пример 136. Аналогично методике, описанной в примере 18, но заменяя метиловый эфир молочной кислоты на фенол, описанный в примере 143.3, и 4-морфолиноэтанол, получали метиловый эфир (RS)-(4-цианофениламино)-[5-этил-2-(2-морфолин-4-илэтокси)фенил] уксусной кислоты, из которого затем по методике, описанной в примере 64.3, получали гидрохлорид метилового эфира (RS)-(4-карбамими-доилфениламино)-[5-этил-2-(2-морфолин-4-илэтокси)фенил]уксусной кислоты (1:1). Пример 137. Аналогично методике, описанной в примере 75, сложные эфиры, полученные в примерах 134.5, 135 и 136, гидролизовали с получением нижеуказанных кислот: 137. а) из продукта, описанного в примере 134.5, получали (RS)-(4-кap6aмимидоилфениламино)-[5-этил-2-(2-метоксиэтокси)фенил]уксусную кислоту; 137. б) из продукта, описанного в примере 135, получали (RS)-(4-кapбaмимидоилфениламино)-[5-этил-2-(2-гидроксиэтокси)фенил]уксусную кислоту; 137. в) из продукта, описанного в примере 136, получали (RS)-(4-кapбaмимидоилфениламино)-[5-этил-2-(2-морфолин-4-илэтокси)фенил]уксусную кислоту. Пример 138. 138.1. Аналогично примеру 69.1 из 2-аллил-4-бензилоксифенола и этилбромида получали 2-аллил-4-бензилокси-1-этоксибензол. 138.2. Аналогично методике, описанной в примере 124.1, продукт, описанный в примере 138.1, гидрировали с получением 4-этокси-3-пропилфенола. 138.3. Аналогично методике, описанной в примере 94.1, из продукта, описанного в примере 138.2, получали 5-этокси-2-гидрокси-4-пропилбензальдегид. 138.4. Аналогично примеру 64.1 из продукта, описанного в примере 138.3, получали 5-этокси-2-(2-гидроксиэтокси)-4-пропилбензальдегид. 138.5. Аналогично примеру 1 из альдегида, описанного в примере 138.4, через промежуточное образование метилового эфира (RS)-(4-цианофениламино)-[5-этокси-2-(2-гидроксиэтокси)-4-пропилфенил] уксусной кислоты и метилового эфира (RS)-(4-цианофениламино)-[5-этокси-2-(2-гидроксиэтокси)-4-пропилфенил] уксусной кислоты получали (RS)-[5-этокси-2-(2-гидроксиэтокси)-4-пропилфенил] -[4-(N-гидроксикарбамимидоил)фениламино]уксусную кислоту. Пример 139. Аналогично примеру 3 из продукта, описанного в примере 138.5, получали (RS)-(4-карбамимидоилфениламино)-[5-этокси-2-(2-гидроксиэтокси)-4-пропилфенил]уксусную кислоту. Пример 140. 140.1. Аналогично методике, описанной в примерах 140.1-3, из 2-бензилокси-2-(2-метилаллил)фенола через промежуточное образование 1-бензилокси-4-этокси-3-(2-метилаллил)бензола и 4-этокси-3-изобутилфенола получали 5-этокси-2-гидрокси-4-изобутилбензальдегид. 140.2. Аналогично примеру 64.1 из продукта, описанного в примере 140.1, и бензилбромида получали 2-бензилокси-5-этокси-4-изобутилбензальдегид. 140.3. Аналогично примеру 1.1 из альдегида, описанного в примере 140.2, получали метиловый эфир (RS)-(2-бензилокси-5-этокси-4-изобутилфенил)-(4-цианофениламино)уксусной кислоты. 140.4. Аналогично методике, описанной в примере 124.1, но заменяя растворитель этанол/уксусная кислота на этанол/ТГФ, продукт, описанный в примере 140.3, гидрировали с получением метилового эфира (RS)-(4-цианофениламино)-(5-этокси-2-гидрокси-4-изобутилфенил)уксусной кислоты. 140.5. Аналогично методике, описанной в примере 18, из продукта, описанного в примере 140.4, и 2-(бензилокси)этанола получали метиловый эфир (RS)-[2-(2-бензилоксиэтокси)-5-этокси-4-изобутилфенил)] -(4-цианофениламино)уксусной кислоты. 140.6. Аналогично примеру 64.3 из продукта, описанного в примере 140.5, получали гидрохлорид метилового эфира (RS)-[2-(2-бензилоксиэтокси)-5-этокси-4-изобутилфенил)]-(4-карбамимидоилфениламино)уксусной кислоты (1:1). 140.7. Аналогично примеру 140.4 продукт, полученный, как описано в примере 140.7, гидрировали с получением гидрохлорида метилового эфира (RS)-(4-карбамимидоилфениламино)-[5-этокси-2-(2-гидроксиэтокси)-4-изобутилфенил]уксусной кислоты (1:1). Пример 141. Сложный эфир, описанный в примере 140.7, гидролизовали по методике, описанной в примере 75, с получением гидрохлорида (RS)-(4-карбамимидоилфениламино)-[5-этокси-2-(2-гидроксиэтокси)-4-изобутилфенил)] уксусной кислоты (1:1). Пример 142. 142.1. Аналогично методике, описанной в примере 124.1, но заменяя растворитель этанол/уксусная кислота на этилацетат, 2-аллил-4-этилфенол гидрировали с получением 4-этил-2-пропилфенола. 142.2. Аналогично методике, описанной в примере 94.1, из продукта, описанного в примере 142.1, получали 5-этил-2-гидрокси-3-пропилбензальдегид. 142.3. Аналогично примеру 132 из альдегида, полученного, как описано в примере 142.2, через промежуточное образование этилового эфира (4-этил-2-формил-6-пропилфенокси)уксусной кислоты, метилового эфира (RS)-(4-цианофениламино)-(2-этоксикарбонилметокси-5-этил-3-пропилфенил)уксусной кислоты и (RS)-(2-карбоксиметокси-5-этил-3-пропилфенил)-(4-цианофениламино)уксусной кислоты, получали (Е)- и/или (Z)-(RS)-(2-карбоксиметокси-5-этил-3-пропилфенил)-[4- (N-гидроксикарбамимидоил)фениламино]уксусную кислоту. Пример 143. Аналогично примеру 142.3 из альдегида, полученного, как описано в примере 142.2, но заменяя бромацетат на бензилбромид, через промежуточное образование 2-бензилокси-5-этил-3-пропилбензальдегида, метилового эфира (RS)-(2-бензилокси-5-этил-3-пропилфенил)-(4-цианофениламино)уксусной кислоты и (RS)-(2-бензилокси-5-этил-3-пропилфенил)-(4-цианофениламино)уксусной кислоты, получали (Е)- и/или (Z)-(RS)-(2-бензилокси-5-этил-3-пропилфенил)-[4-(N-гидроксикарбамимидоил)фениламино]уксусную кислоту. Пример 144. Аналогично примеру 3 из нижеуказанных амидоксимов получали соответствующие амидины: 144. а) из продукта, описанного в примере 142.3, получали (RS)-(4-карбамимидоилфениламино)-(2-карбоксиметокси-5-этил-3-пропилфенил)уксусную кислоту; 144. б) из продукта, описанного в примере 143, получали (RS)-(4-карбамимидоилфениламино)-(5-этил-2-гидрокси-3-пропилфенил)уксусную кислоту. Пример 145. 145.1. 25 г 2-(2-метил-2-пропенил)-4-этилфенола перемешивали при 195oС в течение 48 ч. После хроматографии реакционной смеси на силикагеле в гексане/этилацетате (19:1) получали 22,9 г 2-(2-метил-2-пропенил)-4-этилфенола в виде масла. 145.2. Аналогично методике, описанной в примере 94.1, продукт, описанный в примере 145.1, формилировали с получением 5-этил-2-гидрокси-3-(2-метилаллил)бензальдегида. 145.3. Аналогично примерам 89.2-4 из альдегида, описанного в примере 145.2, и 2-бромэтилметилового эфира получали 5-этил-2-(2-метоксиэтокси)-3-(2-метилаллил)бензальдегид, из которого по реакции с 4-аминобензонитрилом и толуол-4-сульфонилметилизоцианидом получали метиловый эфир (RS)-(4-цианофениламино)-[5-этил-2-(2-метоксиэтокси)-3-(2-метилаллил)фенил] уксусной кислоты, а затем гидрохлорид метилового эфира (RS)-(4-карбамимидоилфениламино)-[5-этил-2-(2-метоксиэтокси)-3-(2-метилаллил)фенил]уксусной кислоты (1: 1). Пример 146. Аналогично примерам 134.1-5 из 5-этил-2-гидрокси-3-(2-пропенил)бензальдегида и бензилбромида получали 3-аллил-2-бензилокси-5-этилбензальдегид, из которого получали метиловый эфир (RS)-(3-аллил-2-бензилокси-5-этилфенил)-(4-цианофениламино)уксусной кислоты, а затем метиловый эфир (RS)-(4-цианофениламино)-(5-этил-2-гидрокси-3-пропилфенил)уксусной кислоты, из которого по реакции с 2-(бензилокси)этанолом получали метиловый эфир (RS)-[2-(2-бензилоксиэтокси)-5-этил-3-пропилфенил] -(4-цианофениламино)уксусной кислоты и, наконец, гидрохлорид метилового эфира (RS)-[2-(2-бензилоксиэтокси)-5-этил-3-пропилфенил] -(4-карбамимидоилфениламино)уксусной кислоты (1:1). Пример 147. Аналогично методике, описанной в примере 124.1, но заменяя растворитель этанол/уксусная кислота на этилацетат/ТГФ, продукт, описанный в примере 136, гидрировали с получением гидрохлорида метилового эфира (RS)-(4-карбамимидоилфениламино)-[5-этил-2-(2-гидроксиэтокси)-3-пропилфенил] уксусной кислоты (1:1). Пример 148. Аналогично методике, описанной в примере 146, из альдегида, описанного в примере 145.2, получали 2-бензилокси-5-этил-3-(2-метилаллил)бензальдегид, из которого получали метиловый эфир (RS)-[2-бензилокси-5-этил-3-(2-метилаллил)фенил] -(4-цианофениламино)уксусной кислоты, из которого получали метиловый эфир (RS)-(4-цианофениламино)-(5-этил-2-гидрокси-3-изобутилфенил)уксусной кислоты, из которого затем получали метиловый эфир (RS)-[2-(2-бензилоксиэтокси)-5-этил-3-изобутилфенил] -(4-цианофениламино)уксусной кислоты и, наконец, гидрохлорид метилового эфира (RS)-[2-(2-бензилоксиэтокси)-5-этил-3-изобутилфенил] -(4-карбамимидоилфениламино)уксусной кислоты (1:1). Пример 149. Сложные эфиры, описанные в последующих примерах, гидролизовали с получением соответствующих кислот по методике, описанной в примере 75: 149.а) из продукта, описанного в примере 145.3, получали (RS)-(4-кapбaмимидоилфениламино)-[5-этил-2-(2-метоксиэтокси)-3-(2-метилаллил)фенил] уксусную кислоту; 149.б) из продукта, описанного в примере 147, получали (RS)-(4-кapбaмимидоилфениламино)-[5-этил-2-(2-гидроксиэтокси)-3-пропилфенил] уксусную кислоту; 149. в) из продукта, описанного в примере 148, получали гидрохлорид (RS)-[2-(2-бензилоксиэтокси)-5-этил-3-изобутилфенил] -(4-карбамимидоилфениламино)уксусной кислоты (1:1). Пример 150. Кислоты, описанные в последующих примерах, гидрировали с получением соответствующих продуктов по методике, описанной в примере 124.1: 150. а) из кислоты, описанной в примере 149.а, получали (RS)-(4-карбамимидоилфениламино)-[5-этил-3-изобутил-2-(2-метоксиэтокси)фенил] уксусную кислоту; 150. б) из кислоты, описанной в примере 149.в, получали (RS)-(4-карбамимидоилфениламино)-[5-этил-2-(2-гидроксиэтокси)-3-изобутилфенил] уксусную кислоту. Пример 151. 151.1. Аналогично методике, описанной в примере 12.1, но заменяя этиловый эфир бромуксусной кислоты на бензиловый эфир бромуксусной кислоты, из метилового эфира (RS)-(4-цианофениламино)-(5-этил-2-гидрокси-3-пропилфенил)уксусной кислоты (полученного, как описано в примере 146) получали метиловый эфир (RS)-(2-бензилоксикарбонилметокси-5-этил-3-пропилфенил)-(4-цианофениламино)уксусной кислоты. 151.2. Продукт, описанный в примере 141.1, гидрировали по методике, описанной в примере 124.1, но заменяя растворитель этанол/уксусная кислота на этилацетат/ТГФ, с получением метилового эфира (RS)-(2-карбоксиметокси-5-этил-3-пропилфенил)-(4-цианофениламино)уксусной кислоты. 151.3. Раствор 0,8 г продукта, полученного, как описано в примере 151.2, в 8 мл ДМФ обрабатывали 0,86 г ВОР, 0,3 мл 4-этилморфолина и 0,19 мл пирролидина и перемешивали при комнатной температуре в течение ночи. Затем реакционную смесь упаривали, остаток переносили в этилацетат и однократно экстрагировали 5%-ным раствором гидросульфата/10%-ным раствором сульфата калия и дважды водой. Органическую фазу сушили и выпаривали, остаток хроматографировали в гексане/этилацетате (1:1). При этом получали 0,58 г метилового эфира (RS)-(4-цианофениламино)-[5-этил-2-(2-оксо-2-пирролидин-1-илэтокси)-3-пропилфенил]уксусной кислоты бежевого цвета. 151.4. Аналогично примеру 64.3 из продукта, полученного, как описано в примере 151.3, получали гидрохлорид метилового эфира (RS)-(4-карбамимидоилфениламино)-[5-этил-2-(2-оксо-2-пирролидин-1-илэтокси)-3-пропилфенил] уксусной кислоты (1:1). Пример 152. Нижеуказанные продукты получали аналогично методике, описанной в примерах 151.3-4, но заменяя пирролидин следующими основаниями: 152. а) гидрохлорид метилового эфира (RS)-(4-карбамимидоилфениламино)-[5-этил-2-(2-морфолин-4-ил-2-оксоэтокси)-3-пропилфенил] уксусной кислоты (1: 1) получали с использованием морфолина через промежуточное образование метилового эфира (RS)-(4-цианофениламино)-[5-этил-2-(2-морфолин-4-ил-2-оксоэтокси)-3-пропилфенил]уксусной кислоты; 152. б) гидрохлорид метилового эфира (RS)-[2-(2-азепан-1-ил-2-оксоэтокси)-5-этил-3-пропилфенил] -(4-карбамимидоилфениламино)уксусной кислоты (1:1) получали с использованием гексаметиленимина через промежуточное образование метилового эфира (RS)-[2-(2-азепан-1-ил-2-оксоэтокси)-5-этил-3-пропилфенил] -(4-цианофениламино)уксусной кислоты; 152. в) гидрохлорид метилового эфира (RS)-(4-карбамимидоилфениламино)-(2-циклопропилкарбамоилметокси-5-этил-3-пропилфенил)уксусной кислоты (1:1) получали с использованием циклопропиламина через промежуточное образование метилового эфира (RS)-(4-цианофениламино)-(2-циклопропилкарбамоилметокси-5-этил-3-пропилфенил)уксусной кислоты. Пример 153. Сложные эфиры, приведенные в последующих примерах, гидролизовали с получением соответствующих кислот по методике, описанной в примере 75: 153. а) из продукта, описанного в примере 151.4, получали (RS)-(4-кapбaмимидоилфениламино)-[5-этил-2-(2-оксо-2-пирролидин-1-илэтокси)-3-пропилфенил]уксусную кислоту; 153.б) из продукта, описанного в примере 152.а, получали (RS)-(4-карбамимидоилфениламино)-[5-этил-2-(2-морфолин-4-ил-2-оксоэтокси)-3-пропилфенил] уксусную кислоту; 153.в) из продукта, описанного в примере 152.б, получали (RS)-[2-(2-азепан-1-ил-2-оксоэтокси)-5-этил-3-пропилфенил] -(4-карбамимидоил-фениламино)уксусную кислоту; 153. г) из продукта, описанного в примере 152.в, получали (RS)-(4-карбамимидоилфениламино)-(2-циклопропилкарбамоилметокси-5-этил-3-пропилфенил)уксусную кислоту. Пример 154. Рацематы могут быть разделены на индивидуальные изомеры хроматографией в гептане/этаноле (83:17) с добавлением 0,4% ТФУ на колонке с хиральным материалом (Chiralpak AD). 154. а. Из (RS)-(4-карбамимидоилфениламино)-(3,4-диэтоксифенил)уксусной кислоты получали (R)-(4-карбамимидоилфениламино)-(3,4-диэтоксифенил)уксусную кислоту и (S)-(4-кapбaмимидoилфeнилaминo)-(3,4-диэтоксифенил)уксусную кислоту. 154.б. Из (RS)-(4-карбамимидоилфениламино)-[3-этокси-5-(тетрагидропиран-4-илокси)фенил] уксусной кислоты получали (R)-(4-карбамимидоилфениламино)-[3-этокси-5-(тетрагидропиран-4-илокси)фенил] уксусную кислоту и (S)-(4-карбамимидоилфениламино)-[3-этокси-5-(тетрагидропиран-4-илокси)фенил] уксусную кислоту. 154. в. Из (RS)-(4-карбамимидоилфениламино)-(2-карбоксиметокси-5-этоксифенил)уксусной кислоты получали (S)-(4-карбамимидоилфениламино)-(2-карбоксиметокси-5-этоксифенил)уксусную кислоту и (R)-(4-карбамимидоилфениламино)-(2-карбоксиметокси-5-этоксифенил)уксусную кислоту. Пример 155. 155.1. Аналогично примеру 22.1 5,00 г метилового эфира (RS)-(4-цианофениламино)-(3-этокси-5-гидроксифенил)уксусной кислоты, описанного в примере 124.1, вводили в реакцию с 3,29 мл ангидрида трифторметансульфоновой кислоты в СН2Сl2 в присутствии 5,34 мл триэтиламина. При этом получали 6,19 г метилового эфира (RS)-(4-цианофениламино)-(3-этокси-5-трифторметансульфонилоксифенил)уксусной кислоты в виде твердого вещества светло-желтого цвета, МС:457 [(М-Н)–]. 155.2. Аналогично примеру 73.2 из метилового эфира (RS)-(4-цианофениламино)-(3-этокси-5-трифторметансульфонилоксифенил)уксусной кислоты, описанного в примере 155.1, по реакции с фенилбороновой кислотой получали метиловый эфир (RS-(4-цианофениламино)-(5-этоксибифенил-3-ил)уксусной кислоты, МС:386 ([М]+). 155.3. Аналогично примеру 6.2 из метилового эфира (RS)-(4-цианофениламино)-(5-этоксибифенил-3-ил)уксусной кислоты, описанного в примере 155.2, получали ацетат метилового эфира (RS)-(4-карбамимидоилфениламино)-(5-этоксибифенил-3-ил)уксусной кислоты, МС:404 ([М+Н]+). Аналогичные примеры. 155. а. Аналогично примеру 155 из метилового эфира (RS)-(4-цианофениламино)-(3-этокси-5-гидроксифенил)уксусной кислоты через промежуточное образование метилового эфира (RS)-(4-цианофениламино)-(3-этокси-5-трифторметансульфонилоксифенил)уксусной кислоты по реакции с 3-аминофенилбороновой кислотой получали метиловый эфир (RS)-(3′-амино-5-этоксибифенил-3-ил)-(4-цианофениламино)уксусной кислоты, из которого затем получали гидрохлорид метилового эфира (RS)-(3′-амино-5-этоксибифенил-3-ил)-(4-карбамимидоилфениламино)уксусной кислоты, МС:419 ([М+Н]+). 155. б. Аналогично примеру 145 из метилового эфира (RS)-(4-цианофениламино)-(3-этокси-5-гидроксифенил)уксусной кислоты через промежуточное образование метилового эфира (RS)-(4-цианофениламино)-(3-этокси-5-трифторметансульфонилоксифенил)уксусной кислоты по реакции с тиофен-2-бороновой кислотой получали метиловый эфир (RS)-(4-цианофениламино)-(3-этокси-5-тиофен-2-илфенил)уксусной кислоты, из которого затем получали гидрохлорид метилового эфира (RS)-(4-карбамимидоилфениламино)-(3-этокси-5-тиофен-2-илфенил)уксусной кислоты. 155. в. Аналогично примеру 155 из этилового эфира (RS)-(4-цианофениламино)-(3-гидрокси-5-метилфенил)уксусной кислоты, описанного в примере 156.1, получали этиловый эфир (RS)-(4-цианофениламино)-(3-метил-5-трифторметансульфонилоксифенил)уксусной кислоты, из которого по реакции с 4-N,N-диметиламинофенилбороновой кислотой получали этиловый эфир (RS)-(4-цианофениламино)-(4′-диметиламино-5-метилбифенил-3-ил)уксусной кислоты и, наконец, этиловый эфир (RS)-(4-карбамимидоилфениламино)-(4′-диметиламино-5-метилбифенил-3-ил)уксусной кислоты. 155. г Аналогично примеру 155 из этилового эфира (RS)-(4-цианофениламино)-(3-гидрокси-5-метилфенил)уксусной кислоты, описанного в примере 156, получали этиловый эфир (RS)-(4-цианофениламино)-(3-метил-5-трифторметансульфонилоксифенил)уксусной кислоты, из которого по реакции с 3-N,N-диметиламинофенилбороновой кислотой получали этиловый эфир (RS)-(4-цианофениламино)-(3′-диметиламино-5-метилбифенил-3-ил)уксусной кислоты и, наконец, гидрохлорид этилового эфира (RS)-(4-кapбaмимидоилфениламино)-(3′-диметиламино-5-метилбифенил-3-ил)уксусной кислоты. 155. д. Аналогично примеру 155 из этилового эфира (RS)-(4-цианофениламино)-(3-гидрокси-5-метилфенил)уксусной кислоты, описанного в примере 181.1, получали этиловый эфир (RS)-(4-цианофениламино)-(3-метил-5-трифторметансульфонилоксифенил)уксусной кислоты, из которого по реакции с 3-аминофенилбороновой кислотой получали этиловый эфир (RS)-(3′-амино-5-метилбифенил-3-ил)-(4-цианофениламино)уксусной кислоты и, наконец, этиловый эфир (RS)-(3′-aминo-5-мeтилбифeнил-3-ил)-(4-кapбaмимидoилфениламино)уксусной кислоты (соединение включает уксусную кислоту), МС:403 ([М+Н]+). Пример 156. 156.1. Раствор 5,00 г 1-бром-3,5-диметилбензола в ССl4 обрабатывали 20,20 г N-бромсукцинимида и 0,655 г пероксида дибензоила и кипятили с обратным холодильником в течение 5 ч. Затем смесь охлаждали до комнатной температуры, отделяли фильтрованием образующийся сукцинимид, растворитель выпаривали в вакууме. После хроматографии на колонке (циклогексан/этилацетат) выделяли 3,87 г 1-бром-3-бромметил-5-диброметилбензола, который суспендировали в воде и кипятили с обратным холодильником в присутствии 1,74 г карбоната кальция, 2,73 г ацетата натрия и 0,58 г бромида тетрабутиламмония в течение 15 ч. Затем смесь охлаждали до комнатной температуры, фильтровали и фильтрат подкисляли разбавленной НС1 до рН 2. Неочищенный продукт, полученный экстракцией CH2Cl2, очищали хроматографией на колонке (циклогексан/этилацетат). При этом получали 0,80 г 3-бром-5-гидроксиметилбензальдегида, МC:214/216 ([М]+). 156.2. Аналогично примеру 27.2 из 3-бром-5-гидроксиметилбензальдегида, описанного в примере 156.1, по реакции с 4-аминобензонитрилом и бензилизонитрилом получали этиловый эфир (3-бром-5-гидроксиметилфенил)-(4-цианофениламино)уксусной кислоты. 156.3. 403 мг этилового эфира (RS)-(3-бром-5-гидроксиметилфенил)-(4-цианофениламино)уксусной кислоты, описанного в примере 156.2, суспендировали в 3,1 мл триэтиламина, добавляли 4 мг трифенилфосфина и через реакционную смесь пропускали аргон в течение 30 мин. Затем добавляли 7 мг ацетата палладия (II) и 0,22 мл триметилсилилацетилена и смесь нагревали при 80oС в течение 26 ч. Затем смесь охлаждали до комнатной температуры, неочищенный продукт выделяли экстракцией и очищали хроматографией на колонке (н-гексан/этилацетат). При этом получали 398 мг этилового эфира (RS)-(4-цианофениламино)-(3-гидроксиметил-5-триметилсиланилэтинилфенил)уксусной кислоты в виде масла коричневого цвета, МС:406 ([М]+). 156.4. 398 мг этилового эфира (RS)-(4-цианофениламино)-(3-гидроксиметил-5-триметилсиланилэтинилфенил)уксусной кислоты, описанного в примере 156.3, растворяли в 6 мл CH2Cl2 и 0,41 мл триэтиламина, а затем при 0oС добавляли по каплям 0,1 мл метансульфонилхлорида. Смесь перемешивали в течение ночи, промежуточное соединение выделяли экстракцией. Промежуточное соединение растворяли в 5 мл ТГФ и перемешивали в присутствии 0,41 мл триэтиламина и 0,32 мл пирролидина. Повторной экстракцией получали неочищенный продукт, который очищали хроматографией на колонке (циклогексан/этилацетат). При этом получали 130 мг этилового эфира (RS)-(4-цианофениламино)-(3-пирролидин-1-илметил-5-триметилсиланилэтинилфенил)уксусной кислоты в виде твердого вещества светло-коричневого цвета, МС:460 ([М]+). 156.5. 130 мг этилового эфира (RS)-(4-цианофениламино)-(3-пирролидин-1-илметил-5-триметилсиланилэтинилфенил)уксусной кислоты, описанного в примере 156.4, растворяли в 2 мл ТГФ и обрабатывали при 0oС 0,43 мл 1 М раствора фторида тетрабутиламмония в ТГФ. Реакционную смесь выдерживали при 0oС в течение 5 ч, затем добавляли воду и промежуточный продукт экстрагировали этилацетатом. Полученный промежуточный продукт обрабатывали при 0oС 31 мг цианоборогидрида натрия в 5 мл МеОН. Затем добавляли метанольный раствор НС1 до рН 6 и реакционную смесь перемешивали при комнатной температуре в течение ночи. Реакционную смесь подщелачивали метанольным раствором КНСО3, растворитель выпаривали в вакууме, остаток очищали хроматографией на колонке (СН2Сl2/метанол). При этом получали 27 мг этилового эфира (RS)-(4-цианофениламино)-(3-этинил-5-пирролидин-1-илметилфенил)уксусной кислоты в виде твердого вещества светло-желтого цвета, МС:374 ([М+Н]+). 156.6. Из этилового эфира (RS)-(4-цианофениламино)-(3-этинил-5-пирролидин-1-илметилфенил)уксусной кислоты, описанного в примере 156.5, аналогично примерам 6.2 и 1.2 получали (RS)-(4-карбамимидоилфениламино)-(3-этинил-5-пирролидин-1-илметилфенил)уксусную кислоту, МС:377 ([М+Н]+). Пример 157. Аналогично примеру 1.2 из метилового эфира (RS)-(4-карбамимидоилфениламино)-(5-этоксибифенил-3-ил)уксусной кислоты (соединение включает уксусную кислоту), описанного в примере 155.3, получали (RS)-(4-карбамимидоилфениламино)-(5-этоксибифенил-3-ил)уксусную кислоту, МС:390 ([М+Н]+). Аналогичные примеры. 157. а. Аналогичным образом из гидрохлорида метилового эфира (RS)-(3′-амино-5-этоксибифенил-3-ил)-(4-карбамимидоилфениламино)уксусной кислоты, описанного в примере 155.а, получали (RS)-(3′-амино-5-этоксибифенил-3-ил)-(4-карбамимидоилфениламино)уксусную кислоту, МС:405 ([M+H]+). 157. б. Аналогичным образом из гидрохлорида метилового эфира (RS)-(4-карбамимидоилфениламино)-(3-этокси-5-тиофен-2-илфенил)уксусной кислоты, описанного в примере 155. б, получали (RS)-(4-карбамимидоилфениламино)-(3-этокси-5-тиофен-2-илфенил)уксусную кислоту, МС:396 ([M+H]+). 157. в. Аналогичным образом из гидрохлорида этилового эфира (RS)-(4-карбамимидоилфениламино)-(4′-диметиламино-5-метилбифенил-3-ил)уксусной кислоты, описанного в примере 155.в, получали (RS)-(4-карбамимидоилфениламино)-(4′-диметиламино-5-метилбифенил-3-ил)уксусную кислоту, МС:404 ([М+Н]+). 157. г. Аналогичным образом из гидрохлорида этилового эфира (RS)-(4-карбамимидоилфениламино)-(3′-диметиламино-5-метилбифенил-3-ил)уксусной кислоты, описанного в примере 155.г, получали (RS)-(4-карбамимидоилфениламино)-(3′-диметиламино-5-метилбифенил-3-ил)уксусную кислоту, МС:404 ([М+Н]+). 157. д. Аналогичным образом из этилового эфира (RS)-(3′-амино-5-метилбифенил-3-ил)-(4-карбамимидоилфениламино)уксусной кислоты (соединение включает уксусную кислоту), описанного в примере 155.д, получали (RS)-(3′-амино-5-метилбифенил-3-ил)-(4-карбамимидоилфениламино)уксусную кислоту, МС: 375 ([М+Н]+). Пример 158. 158.1. Аналогично примеру 12.1 из 4-бром-2-гидрокси-5-метоксибензальдегида (CAS 63272-66-2) по реакции с бромэтанолом получали 4-бром-2-(2-гидроксиэтокси)-5-метоксибензальдегид, МС:274/276 ([М]+). 158.2. Аналогично примеру 27.2 из 4-бром-2-(2-гидроксиэтокси)-5-метоксибензальдегида, полученного, как описано в примере 158.1, по реакции с 4-аминобензонитрилом и бензилизонитрилом получали метиловый эфир (RS)-[4-бром-2-(2-гидроксиэтокси)-5-метоксифенил] -(4-цианофениламино)уксусной кислоты, МС:434/436 ([М]+). 158.3. Из метилового эфира (RS)-[4-бром-2-(2-гидроксиэтокси)-5-метоксифенил] -(4-цианофениламино)уксусной кислоты, описанного в примере 158.2, аналогично примеру 68.2 по реакции с 3-аминофенилбороновой кислотой, получали метиловый эфир (RS)-[3′-амино-5-(2-гидроксиэтокси)-2-метоксибифенил-4-ил]-(4-цианофениламино)уксусной кислоты, МС:448 ([М+Н]+). 158.4. Аналогично примеру 6.2 из метилового эфира (RS)-[3′-амино-5-(2-гидроксиэтокси)-2-метоксибифенил-4-ил] -(4-цианофениламино)уксусной кислоты, описанного в примере 158.3, получали метиловый эфир (RS)-[3′-амино-5-(2-гидроксиэтокси)-2-метоксибифенил-4-ил] -(4-карбамимидоилфениламино)уксусной кислоты (соединение включает уксусную кислоту), МС:456 ([М+Н]+). Пример 159. Аналогично примеру 1.2 из метилового эфира (RS)-[3′-амино-5-(2-гидроксиэтокси)-2-метоксибифенил-4-ил]-(4-карбамимидоилфениламино)уксусной кислоты (соединение включает уксусную кислоту), описанного в примере 158, получали (RS)-[3′-амино-5-(2-гидроксиэтокси)-2-метоксибифенил-4-ил] -(4-карбамимидоилфениламино)уксусную кислоту, МС:451 ([М+Н]+). Пример 160 160.1. 3,6 г 2-бром-4,5-диметоксибензальдегида и 3,22 г 2,2-диметил-1,3-пропандиола растворяли в 200 мл толуола и кипятили с обратным холодильником в присутствии 0,8 г пара-толуолсульфоновой кислоты в течение 3 ч. Затем реакционную смесь охлаждали до комнатной температуры и промывали раствором NаНСО3, водой и насыщенным раствором NaCl. Растворитель выпаривали в вакууме, при этом получали 5,1 г 2-(2-бром-4,5-диметоксифенил)-5,5-диметил[1,3]диоксана в виде игл желто-зеленого цвета. 160.2. 1,0 г 2-(2-бром-4,5-диметоксифенил)-5,5-диметил[1,3] диоксана, описанного в примере 160.1, растворяли в 10 мл 1-метил-2-пирролидона и обрабатывали 0,54 г CuCN. Реакционную смесь кипятили с обратным холодильником в течение 3 ч, после охлаждения неочищенный продукт получали экстракцией. Очистку проводили хроматографией на колонке (н-гексан/этилацетат), при этом получали 0,83 г 2-(5,5-диметил[1,3]диоксан-2-ил)-4,5-диметоксибензонитрила в виде светло-желтого масла. 160.3. Аналогично примеру 1.3 из 2,77 г 2-(5,5-диметил[1,3]диоксан-2-ил)-4,5-диметоксибензонитрила по реакции с H2NOH HC1 получали 1,47 г (Е)- и/или (Z)-2-(5,5-диметил[1,3] диоксан-2-ил)-N-гидрокси-4,5-диметоксибензамидина в виде смолы зеленоватого цвета, МС:293 ([М-ОН]–). 160.4. Смесь 1,34 г (Е)- и/или (Z)-2-(5,5-диметил[1,3]диоксан-2-ил)-N-гидрокси-4,5-диметоксибензамидина, 1,20 мл DBU (1,8-диазабицикло[5,4,0]ундецен-7-ена) и 0,61 мл уксусного ангидрида в 50 мл ДМФ перемешивали при комнатной температуре в течение 1 ч, а затем при 80oС в течение 2 ч. Затем ДМФ удаляли в вакууме, остаток растворяли в этилацетате. Раствор в этилацетате промывали водой и насыщенным раствором NaCl, после удаления растворителя остаток очищали хроматографией на колонке (СН2С2/этилацетат). При этом получали 0,43 г 3-[2-(5,5-диметил[1,3]диоксан-2-ил)-4,5-диметоксифенил]-5-метил[1,2,4] оксадиазола в виде твердого вещества белого цвета, МС:334 ([М] +). 160.5. 2,0 г 3-[2-(5,5-диметил[1,3]диоксан-2-ил)-4,5-диметоксифенил]-5-метил[1,2,4] оксадиазола перемешивали в 100 мл ацетона в присутствии 10 мл концентрированной HC1 при комнатной температуре в течение 3 ч. Затем к реакционной смеси добавляли насыщенный раствор NaHCO3 до рН 7, ацетон удаляли в вакууме и полученную смесь экстрагировали этилацетатом. После удаления растворителя остаток очищали хроматографией на колонке (СН2С2/этилацетат), при этом получали 1,12 г 4,5-диметокси-2-(5-метил[1,2,4]оксадиазол-3-ил)бензальдегида в виде твердого вещества белого цвета, МС:248 ([М]+). 160.6. Аналогично примеру 27.2 из 141 мг 4,5-диметокси-2-(5-метил[1,2,4] оксадиазол-3-ил)бензальдегида, описанного в примере 160.5, получали 56 мг метилового эфира (RS)-(4-цианофениламино)-[4,5-диметокси-2-(5-метил[1,2,4] оксадиазол-3-ил)фенил] уксусной кислоты в виде пены желтого цвета, МС:409 ([М+Н]+). 160.7. Аналогично примеру 6.2 из метилового эфира (RS)-(4-цианофениламино)-[4,5-диметокси-2-(5-метил[1,2,4] оксадиазол-3-ил)фенил] уксусной кислоты, описанного в примере 160.6, получали метиловый эфир (RS)-(4-карбамимидоилфениламино)-[4,5-диметокси-2-(5-метил[1,2,4] оксадиазол-3-ил)фенил] уксусной кислоты (соединение включает уксусную кислоту), МС:426 ([М+Н]+). Пример 161. Аналогично примеру 1.2 из метилового эфира (RS)-(4-карбамимидоилфениламино)-[4,5-диметокси-2-(5-метил[1,2,4] оксадиазол-3-ил)фенил] уксусной кислоты, описанного в примере 160, получали (RS)-(4-карбамимидоилфениламино)-[4,5-диметокси-2-(5-метил[1,2,4] оксадиазол-3-ил)фенил]уксусную кислоту, МС:412 ([М+Н]+). Пример 162. 162.1. 3-Метилсульфанилбензальдегид получали из 2-(3-бромфенил)-1,3-диоксолана по реакции с н-бутиллитием, диметилдисульфидом и последующей обработкой 1М НСl (J. Med. Chem., 41, 373 (1998)). 162.2. Аналогично примеру 1.1 из 3-метилсульфанилбензальдегида, полученного, как описано в примере 162.1, по реакции с 4-аминобензонитрилом и бензилизонитрилом в EtOH получали этиловый эфир (RS)-(4-цианофениламино)-(3-метилсульфанилфенил)уксусной кислоты, МС:344 ([M+NH4]+). 162.3. Аналогично примеру 6.2 из этилового эфира (RS)-(4-цианофениламино)-(3-метилсульфанилфенил)уксусной кислоты, полученного, как описано в примере 163.2, получали гидрохлорид этилового эфира (RS)-(4-карбамимидоилфениламино)-(3-метилсульфанилфенил)уксусной кислоты (1:1), МС:344 ([М+Н]+). Пример 163. 163.1. Аналогично примеру 162.1 3-этилсульфанилбензальдегид получали из 2-(3-бромфенил)-1,3-диоксолана по реакции с н-бутиллитием, диэтилдисульфидом и последующей обработкой 1 М НСl, МС:166 ([М]+). 163.2. Аналогично примеру 1.1 из 3-этилсульфанилбензальдегида, полученного, как описано в примере 163.1, по реакции с 4-аминобензонитрилом и бензилизонитрилом в EtOH получали этиловый эфир (RS)-(4-цианофениламино)-(3-этилсульфанилфенил)уксусной кислоты, МС:340 ([М]+). 163.3. Аналогично примеру 6.2 из этилового эфира (RS)-(4-цианофениламино)-(3-этилсульфанилфенил)уксусной кислоты, полученного, как описано в примере 163.2, получали гидрохлорид этилового эфира (RS)-(4-карбамимидоилфениламино)-(3-этилсульфанилфенил)уксусной кислоты (1:1), МС:358 ([М+Н]+). Пример 164. Гидрохлорид этилового эфира (RS)-(4-карбамимидоилфениламино)-(3-этилсульфанилфенил)уксусной кислоты (1: 1), описанный в примере 163.3 (150 мг, 0,381 ммоля), растворяли в ацетоне (3 мл), добавляли воду (1,5 мл) и полученную смесь охлаждали до 0oС. Затем добавляли озон (261 мг, 0,404 ммоля) и смесь перемешивали при 0oС в течение 40 мин. Затем реакционную смесь концентрировали и продукт очищали хроматографией на колонке (SiO2, CH2Cl2= >CH2Cl2/MeOH 4: 1). При этом получали 91 мг (56%) гидрохлорида этилового эфира (RS)-(4-карбамимидоилфениламино)-(3-этансульфонилфенил)уксусной кислоты (1:1) в виде пены желтого цвета. Пример 165. 165.1. Аналогично примеру 164.1 из гидрохлорида этилового эфира (RS)-(4-карбамимидоилфениламино)-(3-этилсульфанилфенил)уксусной кислоты (1: 1), описанного в примере 163.3, по реакции с озоном (0,53 эквивалента) получали смесь гидрохлоридов этиловых эфиров (RS)- и (SR)-(4-карбамимидоилфениламино)-[(RS)-3-этансульфинилфенил]уксусных кислот (1:1). Пример 166. 166. а. Аналогично примеру 75 из гидрохлорида этилового эфира (RS)-(4-карбамимидоилфениламино)-(3-метилсульфанилфенил)уксусной кислоты (1: 1), полученного, как описано в примере 162.3, получали (RS)-(4-карбамимидоилфениламино)-(3-метилсульфанилфенил)уксусную кислоту, МС:316 ([М+Н]+). 166. б. Аналогично примеру 75 из гидрохлорида этилового эфира (RS)-(4-карбамимидоилфениламино)-(3-этилсульфанилфенил)уксусной кислоты (1:1), полученного, как описано в примере 163.3, получали (RS)-(4-карбамимидоилфениламино)-(3-этилсульфанилфенил)уксусную кислоту, МС:330 ([М+Н]+). 166. в. Аналогично примеру 75 из гидрохлорида этилового эфира (RS)-(4-карбамимидоилфениламино)-(3-этансульфонилфенил)уксусной кислоты (1:1), полученного, как описано в примере 164.1, получали (RS)-(4-карбамимидоилфениламино)-(3-этансульфонилфенил)уксусную кислоту, МС:362 ([М+Н]+). 166. г. Аналогично примеру 75 из смеси гидрохлоридов этиловых эфиров (RS)- и (SR)-(4-карбамимидоилфениламино)-[(RS)-3-этансульфинилфенил]уксусных кислот (1:1), полученных, как описано в примере 165.1, получали смесь (RS)- и (SR)-(4-карбамимидоилфениламино)-[(RS)-3-этансульфинилфенил] уксусных кислот, МС:346 ([М+Н]+). Пример 167. 167.1. Раствор анисового альдегида (13,6 г, 100 ммолей) и N,N’-диизопропилэтилендиамина (14,4 г, 100 ммолей) в толуоле (100 мл) кипятили с обратным холодильником с насадкой для отделения воды в течение 10 ч. Затем реакционную смесь концентрировали (досуха) и высушивали в высоком вакууме. Часть альдегида с защитными группами (5,46 г, 20,8 ммоля) растворяли в сухом диэтиловом эфире (50 мл), добавляли N,N,N’,N’-тетраметилэтилендиамин (3,5 мл, 41,7 ммоля) и смесь охлаждали до -78oС. Затем при -78oС медленно добавляли 1,6 М раствор н-бутиллития в гексане (26,1 мл, 41,7 ммолей). Через 30 мин смесь нагревали до комнатной температуры. Через 1 ч смесь снова охлаждали до -78oС, добавляли диметилдисульфид (3,71 мл, 41,7 ммоля) и медленно нагревали до комнатной температуры. Через 1 ч выдерживания при комнатной температуре добавляли воду и смесь трижды экстрагировали диэтиловым эфиром. Органическую фазу концентрировали, остаток перемешивали с 10%-ной НСl в течение 2 ч, а затем экстрагировали диэтиловым эфиром. Органическую фазу сушили, фильтровали, полученный фильтрат концентрировали. Остаток очищали хроматографией (SiO2, гексан/СН2Сl2 1:1), при этом получали 2,99 г 4-метокси-3-метилсульфанилбензальдегида в виде твердого вещества желтоватого цвета. 167.2. Аналогично примеру 1.1 из 4-метокси-3-метилсульфанилбензальдегида, полученного, как описано в примере 167.1, по реакции с 4-аминобензонитрилом и бензилизонитрилом в EtOH получали этиловый эфир (RS)-(4-цианофениламино)-(4-метокси-3-метилсульфанилфенил)уксусной кислоты, МС:379 ([M+Na] +). 167.3. Аналогично примеру 6.2 из этилового эфира (RS)-(4-цианофениламино)-(4-метокси-3-метилсульфанилфенил)уксусной кислоты, полученного, как описано в примере 167.2, получали гидрохлорид этилового эфира (RS)-(4-карбамимидоилфениламино)-(4-метокси-3-метилсульфанилфенил)уксусной кислоты (1:1), МС:374 ([М+Н]+). Пример 168. 168.1. 1 М раствор BBr3 в CH2Cl2 (4,5 мл, 4,5 ммоля) добавляли при -78oС к раствору этилового эфира (RS)-(4-цианофениламино)-(4-метокси-3-метилсульфанилфенил)уксусной кислоты (320 мг, 0,899 ммоля), полученного, как описано в примере 167.2, в CH2Cl2 (10 мл). Смесь перемешивали при -78oС в течение 5 мин, при 0oС в течение 30 мин и при комнатной температуре в течение 2 ч. Затем добавляли ледяную воду, смесь перемешивали в течение 10 мин и экстрагировали СН2Сl2. Органическую фазу сушили, фильтровали и концентрировали. Остаток очищали хроматографией (SiO2, гексан/EtOAc 2:1), при этом получали этиловый эфир (RS)-(4-цианофениламино)-(4-гидрокси-3-метилсульфанилфенил)уксусной кислоты в виде бесцветного масла (198 мг, 64%), МС:343 ([М+Н]+). 168.2. Суспензию этилового эфира (RS)-(4-цианофениламино)-(4-гидрокси-3-метилсульфанилфенил)уксусной кислоты (198 мг, 0,58 ммоля), описанного в примере 168.1, Cs2CO2 (227 мг, 0,64 ммоля) и изопропилиодида (58 мкл, 0,58 ммоля) в ацетоне (3 мл) кипятили с обратным холодильником в течение 4 ч. Затем добавляли воду и смесь экстрагировали СН2Сl2. Органическую фазу сушили, фильтровали и концентрировали. Остаток очищали хроматографией (SiO2, гексан/ЕtOАс 2: 1), при этом получали этиловый эфир (RS)-(4-цианофениламино)-(4-изопропокси-3-метилсульфанилфенил)уксусной кислоты в виде бесцветного масла (140 мг, 63%), МС:443 ([М+ОАс]+). 168.3. Аналогично примеру 6.2 из этилового эфира (RS)-(4-цианофениламино)-(4-изопропокси-3-метилсульфанилфенил)уксусной кислоты, полученного, как описано в примере 168.2, получали гидрохлорид этилового эфира (RS)-(4-карбамимидоилфениламино)-(4-изопропокси-3-метилсульфанилфенил)уксусной кислоты (1:1), МС:402 ([М+Н]+). Пример 169. 169.1. Аналогично примеру 168.2 из этилового эфира (RS)-(4-цианофениламино)-(4-гидрокси-3-метилсульфанилфенил)уксусной кислоты, полученного, как описано в примере 168.1, по реакции с этилиодидом и Cs2CO3 в ацетоне получали этиловый эфир (RS)-(4-цианофениламино)-(4-этокси-3-метилсульфанилфенил)уксусной кислоты. 169.2. Аналогично примеру 6.2 из этилового эфира (RS)-(4-цианофениламино)-(4-этокси-3-метилсульфанилфенил)уксусной кислоты, полученного, как описано в примере 169.1, получали гидрохлорид этилового эфира (RS)-(4-карбамимидоилфениламино)-(4-этокси-3-метилсульфанилфенил)уксусной кислоты (1:1), МС:388 ([М+Н]+). Пример 170. 170.1. Аналогично примеру 168.2 из этилового эфира (RS)-(4-цианофениламино)-(4-гидрокси-3-метилсульфанилфенил)уксусной кислоты, полученного, как описано в примере 168.1, по реакции с 2-метил-3-иодпропаном и Cs2CO3 в ацетоне получали этиловый эфир (RS)-(4-цианофениламино)-(4-изобутокси-3-метилсульфанилфенил)уксусной кислоты. 170.2. Аналогично примеру 6.2 из этилового эфира (RS)-(4-циaнoфeнилaмино)-(4-изобутокси-3-метилсульфанилфенил)уксусной кислоты, полученного, как описано в примере 170.1, получали гидрохлорид этилового эфира (RS)-(4-карбамимидоилфениламино)-(4-изобутокси-3-метилсульфанилфенил)уксусной кислоты (1: 1), МС:416 ([М+Н]+). Пример 171. 171.1. Аналогично примеру 168.2 из этилового эфира (RS)-(4-цианофениламино)-(4-гидрокси-3-метилсульфанилфенил)уксусной кислоты, полученного, как описано в примере 168.1, по реакции с этиловым эфиром бромуксусной кислоты и Cs2CO3 в ацетоне получали этиловый эфир (RS)-(4-цианофениламино)-(4-этоксикарбонилметокси-3-метилсульфанилфенил)уксусной кислоты. 171.2. Аналогично примеру 6.2 из этилового эфира (RS)-(4-цианофениламино)-(4-этоксикарбонилметокси-3-метилсульфанилфенил)уксусной кислоты, полученного, как описано в примере 171.1, получали гидрохлорид этилового эфира (RS)-(4-карбамимидоилфениламино)-(4-этоксикарбонилметокси-3-метилсульфанилфенил)уксусной кислоты (1:1), МС:446 ([М+Н]+). Пример 172. 172.1. Аналогично примеру 168.2 из этилового эфира (RS)-(4-цианофениламино)-(4-гидрокси-3-метилсульфанилфенил)уксусной кислоты, полученного, как описано в примере 168.1, по реакции с иодацетамидом и Сs2СО3 в ацетоне получали этиловый эфир (RS)-(4-цианофениламино)-(4-карбамоилметокси-3-метилсульфанилфенил)уксусной кислоты, МС:417 ([M+NH4]+). 172.2. Аналогично примеру 6.2 из этилового эфира (RS)-(4-цианофениламино)-(4-карбамоилметокси-3-метилсульфанилфенил)уксусной кислоты, полученного, как описано в примере 162.1, получали гидрохлорид этилового эфира (RS)-(4-карбамимидоилфениламино)-(4-карбамоилметокси-2-метилсульфанилфенил)уксусной кислоты (1:1), МС:417 ([М+Н]+). Пример 173. 173.1. Аналогично примеру 167.1 анисовый альдегид вводили в реакцию с N, N’-диизопропилэтилендиамином и затем с N, N.N’,N’-тетраметилэтилендиамином/н-BuLi и диэтилдисульфидом. После удаления защитных групп в 10%-ной НСl и хроматографии получали 3-этилсульфанил-4-метоксибензальдегид в виде масла желтого цвета, МС:196 ([М]+). 173.2. Аналогично примеру 1.1 из 3-этилсульфанил-4-метоксибензальдегида, полученного, как описано в примере 173.1, по реакции с 4-аминобензонитрилом и бензилизонитрилом в EtOH получали этиловый эфир (RS)-(4-цианофениламино)-(3-этилсульфанил-4-метоксифенил)уксусной кислоты, МС:393 ([М+Na]+). 173.3. Аналогично примеру 6.2 из этилового эфира (RS)-(4-цианофениламино)-(3-этилсульфанил-4-метоксифенил)уксусной кислоты, полученного, как описано в примере 173.2, получали гидрохлорид этилового эфира (RS)-(4-карбамимидоилфениламино)-(3-этилсульфанил-4-метоксифенил)уксусной кислоты (1:1), МС:388 ([М+Н]+). Пример 174. 174.1. Аналогично примеру 168.1 из этилового эфира (RS)-(4-цианофениламино)-(3-этилсульфанил-4-метоксифенил)уксусной кислоты, полученного, как описано в примере 173.2, по реакции с ВВr3 в СН2Сl2 получали этиловый эфир (RS)-(4-цианофениламино)-(3-этилсульфанил-4-гидроксифенил)уксусной кислоты, МС:357 ([М+Н]+). 174.2. Аналогично примеру 168.2 из этилового эфира (RS)-(4-цианофениламино)-(3-этилсульфанил-4-гидроксифенил)уксусной кислоты, полученного, как описано в примере 174.1, по реакции с изопропилиодидом и Cs2CO3 в ацетоне получали этиловый эфир (RS)-(4-цианофениламино)-(3-этилсульфанил-4-изопропоксифенил)уксусной кислоты, МС:421 ([M+Na]+). 174.3. Аналогично примеру 6.2 из этилового эфира (RS)-(4-цианофениламино)-(3-этилсульфанил-4-изопропоксифенил)уксусной кислоты, полученного, как описано в примере 164.2, получали гидрохлорид этилового эфира (RS)-(4-карбамимидоилфениламино)-(3-этилсульфанил-4-изопропоксифенил)уксусной кислоты (1: 1), МС:416 ([М+Н]+). Пример 175. 175.1. Аналогично примеру 167.1 анисовый альдегид вводили в реакцию с N, N’-диизопропилэтилендиамином и затем с N, N,N’,N’-тетраметилэтилендиамином/н-BuLi и ацетальдегидом. После удаления защитных групп в 10%-ной НСl и хроматографии получали (RS)-3-(1-гидроксиэтил)-4-метоксибензальдегид в виде масла желтоватого цвета, МС:180 ([М]+). 175.2. Аналогично примеру 1.1 из (RS)-3-(1-гидроксиэтил)-4-метоксибензальдегида, полученного, как описано в примере 175.1, по реакции с 4-аминобензонитрилом и бензилизонитрилом в EtOH получали смесь этиловых эфиров (RS)- и (SR)-(4-цианофениламино)-[3-[(RS)-1-гидроксиэтил] -4-метоксифенил] уксусных кислот, МС:405 ([М+Na]+). 175.3. Аналогично примеру 6.2 из смеси этиловых эфиров (RS)- и (SR)-(4-цианофениламино)-[3-[(RS)-1-гидроксиэтил] -4-метоксифенил] уксусной кислоты, полученных, как описано в примере 165.2, получали смесь гидрохлоридов этиловых эфиров (RS)- и (SR)-(4-карбамимидоилфениламино)-[3-[(RS)-1-этоксиэтил]-4-метоксифенил]уксусных кислот (1:1), МС:400 ([М+Н]+). Пример 176. 176.1. Аналогично примеру 178.1 из 4-бром-1-изопропокси-2-изопропилбензола (полученного из 2-изопропилфенола алкилированием изопропилиодидом/К2СО3 и затем бромированием КВr/МСРВА) по реакции с н-BuLi и ДМФ получали 4-изопропокси-3-изопропилбензальдегид, МС:206 ([M]+). 176.2. Аналогично примеру 1.1 из 4-изопропокси-3-изопропилбензаль-дегида, полученного, как описано в примере 176.1, по реакции с 4-аминобензонитрилом и бензилизонитрилом в EtOH получали этиловый эфир (RS)-(4-цианофениламино)-(4-изопропокси-3-изопропилфенил)уксусной кислоты, МС:403 ([M+Na] +). 176.3. Аналогично примеру 6.2 из этилового эфира (RS)-(4-цианофениламино)-(4-изопропокси-3-изопропилфенил)уксусной кислоты получали гидрохлорид этилового эфира (RS)-(4-карбамимидоилфениламино)-(4-изопропокси-3-изопропилфенил)уксусной кислоты (1:1). Пример 177. 177.1. Аналогично примеру 168.1 из этилового эфира (RS)-(4-цианофениламино)-(4-изопропокси-3-изопропилфенил)уксусной кислоты, полученного, как описано в примере 176.2, по реакции с ВВr3 в CH2Cl2 получали этиловый эфир (RS)-(4-цианофениламино)-(4-гидрокси-3-изопропилфенил)уксусной кислоты. 177.2. Аналогично примеру 168.2 из этилового эфира (RS)-(4-цианофениламино)-(4-гидрокси-3-изопропилфенил)уксусной кислоты, полученного, как описано в примере 177.1, по реакции с иодацетамидом и Сs2СО3 в ацетоне получали этиловый эфир (RS)-(4-карбамоилметокси-3-изопропилфенил)-(4-цианофениламино)уксусной кислоты, МС:413 ([M+NH4]+). 177.3. Аналогично примеру 6.2 из этилового эфира (RS)-(4-карбамоилметокси-3-изопропилфенил)-(4-цианофениламино)уксусной кислоты, полученного, как описано в примере 177.2, получали гидрохлорид этилового эфира (RS)-(4-карбамимидоилфениламино)-(4-карбамоилметокси-3-изопропилфенил)уксусной кислоты (1:1). Пример 178. 178.1. Раствор 4-бром-2-этил-1-метоксибензола (J. Chem. Soc., Perkin Trans. 1, 1423 (1987)) (2,13 г, 9,9 ммоля) в ТГФ (30 мл) охлаждали до -78oС. Затем медленно добавляли 1,6 М раствор н-BuLi в гексане (7,42 мл, 11,9 ммоля) и смесь перемешивали при -78oС в течение 1,5 ч. Смесь медленно нагревали до -10oС и затем снова охлаждали до -78oС. Затем медленно добавляли ДМФ (2,29 мл, 29,7 ммоля) и смесь перемешивали при -78oС в течение 1 ч и при 0oС в течение 1 ч. Реакционную смесь выливали в ледяную 3 М НСl и экстрагировали диэтиловым эфиром. Органическую фазу сушили и фильтровали, фильтрат концентрировали. Остаток очищали хроматографией (SiO2, гексан/AcOEt 8:1 = > 2: 1). При этом получали 690 мг (42%) 3-этил-4-метоксибензальдегида в виде жидкости желтоватого цвета. 178.2. Аналогично примеру 1.1 из 3-этил-4-метоксибензальдегида, полученного, как описано в примере 178.1, по реакции с 4-аминобензонитрилом и бензилизонитрилом в EtOH получали этиловый эфир (RS)-(4-цианофениламино)-(3-этил-4-метоксифенил)уксусной кислоты, МС:337 ([М-Н]–). 178.3. Аналогично примеру 6.2 из этилового эфира (RS)-(4-цианофениламино)-(3-этил-4-метоксифенил)уксусной кислоты, полученного, как описано в примере 178.2, получали гидрохлорид этилового эфира (RS)-(4-карбамимидоилфениламино)-(3-этил-4-метоксифенил)уксусной кислоты (1:1). Пример 179. 179.1. TiCl4 (45,6 г, 238 ммолей) медленно добавляли к раствору 2-этилфенола (15 г, 119 ммолей) в 150 мл CH2Cl2 при 0oС. Смесь нагревали до комнатной температуры и добавляли дихлорметилметиловый эфир (18,3 мл, 200 ммолей) (при интенсивном выделении газообразного НС1). Смесь перемешивали при комнатной температуре в течение 4 ч, затем охлаждали до 0oС и по каплям добавляли 1 М НСl (119 мл, 119 ммолей). Смесь перемешивали в течение 10 мин и затем экстрагировали диэтиловым эфиром. Органическую фазу промывали насыщенным раствором NaHCO3 и раствором NaCl, сушили, фильтровали и концентрировали. Остаток очищали хроматографией (SiO2, CH2Cl2 = > CH2Cl2/MeOH 9:1). При этом получали 3-этил-4-гидроксибензальдегид в виде масла коричневого цвета (7,97 г, 45%). 179.2. Смесь 3-этил-4-гидроксибензальдегида (7,8 г, 51,9 ммоля), полученного, как описано в примере 179.1, К2СО3 (10,8 г, 78 ммолей) и изопропилиодида (7,86 мл, 78 ммолей) нагревали в ДМФ (65 мл) при 80oС в течение 3 ч, а затем перемешивали при комнатной температуре в течение 12 ч. Реакционную смесь выливали в ледяную 0,5 М НСl и экстрагировали диэтиловым эфиром. Органическую фазу промывали раствором NaCl, сушили, фильтровали и концентрировали. Остаток очищали хроматографией (SiO2, гексан/AcOEt 4:1). При этом получали 3-этил-4-изопропоксибензальдегид в виде масла оранжевого цвета (6,12 г, 61%), МС:192 ([М]+). 179.3. Аналогично примеру 1.1 из 3-этил-4-изопропоксибензальдегида, полученного, как описано в примере 179.2, по реакции с 4-аминобензонитрилом и бензилизонитрилом в EtOH получали этиловый эфир (RS)-(4-цианофениламино)-(3-этил-4-изопропоксифенил)уксусной кислоты, МС:389 ([M+Na]+). 179.4. Аналогично примеру 6.2 из этилового эфира (RS)-(4-цианофениламино)-(3-этил-4-изопропоксифенил)уксусной кислоты, полученного, как описано в примере 179.3, получали гидрохлорид этилового эфира (RS)-(4-карбамимидоилфениламино)-(3-этил-4-изопропоксифенил)уксусной кислоты (1: 1), МС: 384 ([М+Н]+). Пример 180. 180.1. Аналогично примеру 168.1 из этилового эфира (RS)-(4-цианофениламино)-(3-этил-4-изопропоксифенил)уксусной кислоты, полученного, как описано в примере 179.3, по реакции с BBr3 в СН2Сl2 получали этиловый эфир (RS)-(4-цианофениламино)-(3-этил-4-гидроксифенил)уксусной кислоты, МС: 325 ([М+Н]+). 180.2. Аналогично примеру 168.2, из этилового эфира (RS)-(4-цианофениламино)-(3-этил-4-гидроксифенил)уксусной кислоты, полученного, как описано в примере 180.1, по реакции с иодацетамидом и Cs2CO3 в ацетоне получали этиловый эфир (RS)-(4-карбамоилметокси-3-этилфенил)-(4-цианофениламино)уксусной кислоты, МС:380 ([М-Н]–). 180.3. Аналогично примеру 6.2 из этилового эфира (RS)-(4-карбамоилметокси-3-этилфенил)-(4-цианофениламино)уксусной кислоты, полученного, как описано в примере 180.2, получали гидрохлорид этилового эфира (RS)-(4-карбамимидоилфениламино)-(4-карбамоилметокси-3-этилфенил)уксусной кислоты (1:1), МС:399 ([М+Н]+). Пример 181. 181.1. Аналогично примеру 168.2 из этилового эфира (RS)-(4-цианофениламино)-(3-этил-4-гидроксифенил)уксусной кислоты, полученного, как описано в примере 180.1, по реакции с пропилиодидом и Cs2CO3 в ацетоне получали этиловый эфир (RS)-(4-цианофениламино)-(3-этил-4-пропоксифенил)уксусной кислоты, МС:366 ([М]+). 181.2. Аналогично примеру 6.2 из этилового эфира (RS)-(4-цианофениламино)-(3-этил-4-пропоксифенил)уксусной кислоты, полученного, как описано в примере 171.1, получали гидрохлорид этилового эфира (RS)-(4-карбамимидоилфениламино)-(3-этил-4-пропоксифенил)уксусной кислоты (1:1), МС:384 ([М+Н]+). Пример 182. 182.1. Суспензию этилового эфира (RS)-(4-цианофениламино)-(3-этил-4-гидроксифенил)уксусной кислоты, описанного в примере 180.1, (328 мг, 1,01 ммоля) и 2СО3 (89 мг, 0,25 ммоля) в циклопентеноксиде (0,896 мл, 10,1 ммоля) и EtOH (0,5 мл) кипятили с обратным холодильником в течение 9 ч. Затем реакционную смесь концентрировали и высушивали в высоком вакууме. Остаток очищали хроматографией (SiO2, гексан/AcOEt 1:1). При этом получали смесь этиловых эфиров (RS)- и (SR)-(4-цианофениламино)-[3-этил-4-[(RS, 2RS)-2-гидроксициклопентилокси] фенил] уксусных кислот (226 мг, 55%) в виде бесцветной пены, МС:407 ([М-Н]–). 182.2. Аналогично примеру 6.2 из смеси этиловых эфиров (RS)- и (SR)-(4-цианофениламино)-[3-этил-4-[(RS, 2RS)-2-гидроксициклопентилокси] фенил] уксусной кислоты, полученных, как описано в примере 182.1, получали смесь гидрохлоридов этиловых эфиров (RS)- и (SR)-(4-карбамимидоилфениламино)-[3-этил-4-[(1RS,2RS)-2-гидроксициклопентилокси]фенил]уксусных кислот (1:1), МС: 426 ([М+Н]+). Пример 183. 183.1. Раствор этилового эфира (RS)-(4-цианофениламино)-(3-этил-4-гидроксифенил)уксусной кислоты (400 мг, 1,23 ммоля), описанного в примере 180.1, этиленкарбонат (110 мг, 1,23 ммоля) и бромид тетрабутиламмония (264 мг, 1,23 ммоля) в ДМФ (0,6 мл) кипятили в течение 6 ч при 155oС. Реакционную смесь концентрировали и остаток очищали хроматографией (SiO2, гексан/AcOEt 9: 1). При этом получали этиловый эфир (RS)-(4-цианофениламино)-[3-этил-4-(2-гидроксиэтокси)фенил] уксусной кислоты (111 мг, 24%) в виде масла желтого цвета. 183.2. Аналогично примеру 6.2 из этилового эфира (RS)-(4-цианофениламино)-[3-этил-4-(2-гидроксиэтокси)фенил] уксусной кислоты, полученного, как описано в примере 183.1, получали гидрохлорид этилового эфира (RS)-(4-карбамимидоилфениламино)-[3-этил-4-(2-гидроксиэтокси)фенил] уксусной кислоты (1: 1). Пример 184. 184.1. Аналогично примеру 18.1 из этилового эфира (RS)-(4-цианофениламино)-(3-этил-4-гидроксифенил)уксусной кислоты, полученного, как описано в примере 180.1, по реакции с N-(2-гидроксиэтил)пирролидином, диэтилазодикарбоксилатом и трифенилфосфином в ТГФ, получали этиловый эфир (RS)-(4-цианофениламино)-[3-этил-4-(2-пирролидин-1-илэтокси)фенил]уксусной кислоты. 184.2. Аналогично примеру 6.2 из этилового эфира (RS)-(4-цианофениламино)-[3-этил-4-(2-пирролидин-1-илэтокси)фенил] уксусной кислоты, полученного, как описано в примере 184.1, получали гидрохлорид этилового эфира (RS)-(4-карбамимидоилфениламино)-[3-этил-4-(2-пирролидин-1-илэтокси)фенил] уксусной кислоты (1:1), МС:439 ([М+Н]+). Пример 185. 185.1. 3-Этил-4-нитробензальдегид получали из 4-нитробензальдегида введением защитных групп с использованием этиленгликоля, по реакции с этилмагнийхлоридом и DDQ и с последующим удалением защитных групп в НСl (J. Organomet. Chem., 447, 1 (1993)), МС:179 ([М]+). 185.2. Аналогично примеру 1.1 из 3-этил-4-нитробензальдегида, полученного, как описано в примере 185.1, по реакции с 4-аминобензонитрилом и бензилизонитрилом в EtOH получали этиловый эфир (RS)-(4-цианофениламино)-(3-этил-4-нитрофенил)уксусной кислоты, МС:354 ([М+Н]+). 185.3 Аналогично примеру 6.2 из этилового эфира (RS)-(4-цианофениламино)-(3-этил-4-нитрофенил)уксусной кислоты, полученного, как описано в примере 185.2, получали гидрохлорид этилового эфира (RS)-(4-карбамимидоилфениламино)-(3-этил-4-нитрофенил)уксусной кислоты (1:1), МС:371 ([М+Н]+). Пример 186. 186.1. Аналогично примеру 59.2 из этилового эфира (RS)-(4-цианофениламино)-(3-этил-4-нитрофенил)уксусной кислоты, полученного, как описано в примере 185.2, по реакции с Н2 в ТГФ/EtOH (1:1) в присутствии катализатора Pd/C получали этиловый эфир (RS)-(4-амино-3-этилфенил)-(4-цианофениламино)уксусной кислоты, МС:322 ([М-Н]–). 186.2. Аналогично примеру 61.1 из этилового эфира (RS)-(4-амино-3-этилфенил)-(4-цианофениламино)уксусной кислоты, полученного, как описано в примере 186.1, по реакции с этилиодидом и диизопропилэтиламином в ТГФ получали этиловый эфир (RS)-(4-цианофениламино)-(3-этил-4-этиламинофенил)уксусной кислоты, МС:352 ([М+Н]+). 186.3. Аналогично примеру 6.2 из этилового эфира (RS)-(4-цианофениламино)-(3-этил-4-этиламинофенил)уксусной кислоты, полученного, как описано в примере 186.2, получали гидрохлорид этилового эфира (RS)-(4-карбамимидоилфениламино)-(3-этил-4-этиламинофенил)уксусной кислоты (1:1), МС:369 ([М+Н] +). Пример 187. 187.1. Аналогично примеру 61.1 из этилового эфира (RS)-(4-амино-3-этилфенил)-(4-цианофениламино)уксусной кислоты, полученного, как описано в примере 186.1, по реакции с изопропилиодидом и диизопропилэтиламином в ТГФ получали этиловый эфир (RS)-(4-цианофениламино)-(3-этил-4-изопропиламинофенил)уксусной кислоты, МС:366 ([М+Н]+). 187.2. Аналогично примеру 6.2 из этилового эфира (RS)-(4-цианофениламино)-(3-этил-4-изопропиламинофенил)уксусной кислоты, полученного, как описано в примере 187.1, получали гидрохлорид этилового эфира (RS)-(4-карбамимидоилфениламино)-(3-этил-4-изопропиламинофенил)уксусной кислоты (1: 1), МС:383 ([М+Н]+). Пример 188. 188.1. Раствор изопропилизоцианата (130 мг, 1,55 ммоля) в ТГФ (2 мл) добавляли к раствору этилового эфира (RS)-(4-амино-3-этилфенил)-(4-цианофениламино)уксусной кислоты (500 мг, 1,55 ммоля), описанного в римере 186.1, в ТГФ (10 мл). Смесь перемешивали при комнатной температуре в течение ночи. Затем добавляли дополнительное количество изопропилизоцианата (260 мг, 3,1 ммоля) и смесь перемешивали при 50oС в течение ночи. Затем реакционную смесь концентрировали. Остаток суспендировали в CH2Cl2/MeOH (98:2) и отфильтровывали бесцветное твердое вещество. Полученное твердое вещество промывали EtOH и высушивали в высоком вакууме. При этом получали этиловый эфир (RS)-(4-цианофениламино)-[3-этил-4-(3-изопропилуреидо)фенил]уксусной кислоты (395 мг, 62%) в виде бесцветного твердого вещества, МС:409 ([М+Н]+). 188.2. Аналогично примеру 6.2 из этилового эфира (RS)-(4-цианофениламино)-[3-этил-4-(3-изопропилуреидо)фенил] уксусной кислоты, полученного, как описано в примере 188.1, получали гидрохлорид этилового эфира (RS)-(4-карбамимидоилфениламино)-[3-этил-4-(изопропилуреидо)фенил]уксусной кислоты (1:1). Пример 189. 189. а. Аналогично примеру 75 из гидрохлорида этилового эфира (RS)-(4-карбамимидоилфениламино)-(4-метокси-3-метилсульфанилфенил)уксусной кислоты (1: 1), полученного, как описано в примере 167.3, получали (RS)-(4-карбамимидоилфениламино)-(4-метокси-3-метилсульфанилфенил)уксусную кислоту, МС:346 ([М+Н]+). 189. б. Аналогично примеру 75 из гидрохлорида этилового эфира (RS)-(4-карбамимидоилфениламино)-(4-изопропокси-3-метилсульфанилфенил)уксусной кислоты (1:1), полученного, как описано в примере 168.3, получали (RS)-(4-карбамимидоилфениламино)-(4-изопропокси-3-метилсульфанилфенил)уксусную кислоту, МС:374 ([М+Н]+). 189. в. Аналогично примеру 75 из гидрохлорида этилового эфира (RS)-(4-карбамимидоилфениламино)-(4-этокси-3-метилсульфанилфенил)уксусной кислоты (1: 1), полученного, как описано в примере 169.2, получали (RS)-(4-карбамимидоилфениламино)-(4-этокси-3-метилсульфанилфенил)уксусную кислоту, МС:360 ([М+Н]+). 189. г. Аналогично примеру 75 из гидрохлорида этилового эфира (RS)-(4-карбамимидоилфениламино)-(4-изобутокси-3-метилсульфанилфенил)уксусной кислоты (1:1), полученного, как описано в примере 170.2, получали (RS)-(4-карбамимидоилфениламино)-(4-изобутокси-3-метилсульфанилфенил)уксусную кислоту, МС:388 ([М+Н]+). 189. д. Аналогично примеру 75 из гидрохлорида этилового эфира (RS)-(4-карбамимидоилфениламино)-(4-этоксикарбонилметокси-3-метилсульфанилфенил)уксусной кислоты (1:1), полученного, как описано в примере 171.2, получали (RS)-(4-карбамимидоилфениламино)-(4-карбоксиметокси-3-метилсульфанилфенил)уксусную кислоту, МС:390 ([М+Н]+). 189. е. Аналогично примеру 75 из гидрохлорида этилового эфира (RS)-(4-карбамимидоилфениламино)-(4-карбамоилметокси-3-метилсульфанилфенил)уксусной кислоты (1:1), полученного, как описано в примере 172.2, получали (RS)-(4-карбамимидоилфениламино)-(4-карбамоилметокси-3-метилсульфанилфенил)уксусную кислоту, МС:389 ([М+Н]+). 189. ж. Аналогично примеру 75 из гидрохлорида этилового эфира (RS)-(4-карбамимидоилфениламино)-(3-этилсульфанил-4-метоксифенил)уксусной кислоты (1: 1), полученного, как описано в примере 173.3, получали (RS)-(4-карбамимидоилфениламино)-(3-этилсульфанил-4-метоксифенил)уксусную кислоту, MC:360 ([М+Н]+). 189. з. Аналогично примеру 75 из гидрохлорида этилового эфира (RS)-(4-карбамимидоилфениламино)-(3-этилсульфанил-4-изопропоксифенил)уксусной кислоты (1:1), полученного, как описано в примере 174.3, получали этиловый эфир (RS)-(4-карбамимидоилфениламино)-(3-этилсульфанил-4-изопропоксифенил)уксусную кислоту, МС:388 ([М+Н]+). 189. и. Аналогично примеру 75 из смеси гидрохлоридов этиловых эфиров (RS)- и (SR)-(4-карбамимидоилфениламино)-[3-[(RS)-1-этоксиэтил]-4-метоксифенил]уксусной кислоты (1:1), полученного, как описано в примере 175.3, получали смесь (RS)- и (SR)-(4-карбамимидоилфениламино)-[3-[(RS)-1-этоксиэтил] -4-метоксифенил]уксусных кислот, МС:372 ([М+Н]+). 189. к. Аналогично примеру 75 из гидрохлорида этилового эфира (RS)-(4-карбамимидоилфениламино)-(4-изопропокси-3-изопропилфенил)уксусной кислоты (1: 1), полученного, как описано в примере 176.3, получали (RS)-(4-карбамимидоилфениламино)-(4-изопропокси-3-изопропилфенил)уксусную кислоту, МС:370 ([М+Н]+). 189. л. Аналогично примеру 75 из гидрохлорида этилового эфира (RS)-(4-карбамимидоилфениламино)-(4-карбамоилметокси-3-изопропилфенил)уксусной кислоты (1:1), полученного, как описано в примере 177.3, получали (RS)-(4-карбамимидоилфениламино)-(4-карбамоилметокси-3-изопропилфенил)уксусную кислоту, МС:385 ([М+Н]+). 189. м. Аналогично примеру 75 из гидрохлорида этилового эфира (RS)-(4-карбамимидоилфениламино)-(3-этил-4-метоксифенил)уксусной кислоты (1: 1), полученного, как описано в примере 178.3, получали (RS)-(4-карбамимидоилфениламино)-(3-этил-4-метоксифенил)уксусную кислоту, МС:328 ([М+Н]+). 189. н. Аналогично примеру 75 из гидрохлорида этилового эфира (RS)-(4-карбамимидоилфениламино)-(3-этил-4-изопропоксифенил)уксусной кислоты (1:1), полученного, как описано в примере 179.4, получали (RS)-(4-карбамимидоилфениламино)-(3-этил-4-изопропоксифенил)уксусную кислоту, МС:354 ([М+Н]+). 189. о. Аналогично примеру 75 из гидрохлорида этилового эфира (RS)-(4-карбамимидоилфениламино)-(4-карбамоилметокси-3-этилфенил)уксусной кислоты (1: 1), полученного, как описано в примере 180.3, получали (RS)-(4-карбамимидоилфениламино)-(4-карбамоилметокси-3-этилфенил)уксусную кислоту, МС:371 ([М+Н]+). 189. п. Аналогично примеру 75 из гидрохлорида этилового эфира (RS)-(4-карбамимидоилфениламино)-(3-этил-4-пропоксифенил)уксусной кислоты (1: 1), полученного, как описано в примере 181.2, получали (RS)-(4-карбамимидоилфениламино)-(3-этил-4-пропоксифенил)уксусную кислоту, МС:356 ([М+Н]+). 189. р. Аналогично примеру 75 из смеси гидрохлоридов этиловых эфиров (RS)- и (SR)-(4-карбамимидоилфениламино)-[3-этил-4-[(1RS, 2RS)-2-гидроксициклопентилокси] фенил] уксусных кислот (1: 1), полученных, как описано в примере 182.2, получали смесь (RS)- и (SR)-(4-карбамимидоилфениламино)-[3-этил-4-[(1RS, 2RS)-2-гидроксициклопентилокси] фенил] уксусных кислот, МС:398 ([М+Н]+). 189. с. Аналогично примеру 75 из гидрохлорида этилового эфира (RS)-(4-карбамимидоилфениламино)-[3-этил-4-(2-гидроксиэтокси)фенил] уксусной кислоты (1: 1), полученного, как описано в примере 183.2, получали (RS)-(4-карбамимидоилфениламино)-[3-этил-4-(2-гидроксиэтокси)фенил]уксусную кислоту, МС:358 ([М+Н]+). 189. т. Аналогично примеру 75 из гидрохлорида этилового эфира (RS)-(4-карбамимидоилфениламино)-[3-этил-4-(2-пирролидин-1-илэтокси)фенил] уксусной кислоты (1:1), полученного, как описано в примере 184.2, получали (RS)-(4-карбамимидоилфениламино)-[3-этил-4-(2-пирролидин-1-илэтокси)фенил] уксусную кислоту, МС:411 ([М+Н]+). 189. у. Аналогично примеру 75 из гидрохлорида этилового эфира (RS)-(4-карбамимидоилфениламино)-(3-этил-4-этиламинофенил)уксусной кислоты (1: 1), полученного, как описано в примере 186.3, получали (RS)-(4-карбамимидоилфениламино)-(3-этил-4-этиламинофенил)уксусную кислоту, МС:341 ([М+Н]+). 189. ф. Аналогично примеру 75 из гидрохлорида этилового эфира (RS)-(4-карбамимидоилфениламино)-(3-этил-4-изопропиламинофенил)уксусной кислоты (1: 1), полученного, как описано в примере 187.2, получали (RS)-(4-карбамимидоилфениламино)-(3-этил-4-изопропиламинофенил)уксусную кислоту, МС: 355 ([М+Н]+). 189. х. Аналогично примеру 75 из гидрохлорида этилового эфира (RS)-(4-карбамимидоилфениламино)-[3-этил-4-(изопропилуреидо)фенил] уксусной кислоты (1: 1), полученного, как описано в примере 188.2, получали (RS)-(4-карбамимидоилфениламино)-[3-этил-4-(3-изопропилуреидо)фенил] уксусную кислоту, МC: 398 ([М+Н]+). Пример 190. 190.1. Суспензию 3,5-диметиланизола (13,60 г, 100 ммолей), N-бромсукцинимида (18,35 г, 100 ммолей) и 2,2′-азобис-(2-метилпропионитрила) в ССl4 кипятили с обратным холодильником в течение 1 ч. Сукцинимид отфильтровывали, фильтрат концентрировали и остаток хроматографировали (SiO2, СН2Сl2/гексан 1:4). При этом получали 14,61 г (68%) 1-бромметил-3-метокси-5-метилбензола. 2-Нитропропан (6,77 мл, 71,3 ммоля), а затем 1-бромметил-3-метокси-5-метилбензол (14,6 г, 67,9 ммоля) добавляли к раствору NaOEt (4,72 г, 67,9 ммоля) в EtOH (60 мл). Смесь нагревали при 65oС в течение 1,5 ч. После охлаждения отфильтровывали бесцветный осадок и фильтрат концентрировали. Полученный продукт очищали хроматографией (SiO2, СН2Сl2/гексан 1:2). При этом получали 7,87 г (77%) 3-метокси-5-метилбензальдегида в виде бесцветной жидкости. 190.2. Аналогично примеру 1.1 из 3-метокси-5-метилбензальдегида, полученного, как описано в примере 190.1, по реакции с 4-аминобензонитрилом и бензилизонитрилом в EtOH получали этиловый эфир (RS)-(4-цианофениламино)-(3-метокси-5-метилфенил)уксусной кислоты, МС:324 ([М]+). 190.3. Аналогично примеру 6.2 из этилового эфира (RS)-(4-цианофениламино)-(3-метокси-5-метилфенил)уксусной кислоты, полученного, как описано в примере 180.2, получали гидрохлорид этилового эфира (RS)-(4-карбамимидоилфениламино)-(3-метокси-5-метилфенил)уксусной кислоты (1:1), МС:342 ([М+Н]+). Пример 191. 191.1. Аналогично примеру 168.1 из этилового эфира (RS)-(4-цианофениламино)-(3-метокси-5-метилфенил)уксусной кислоты, полученного, как описано в примере 190.2, получали этиловый эфир (RS)-(4-цианофениламино)-(3-гидрокси-5-метилфенил)уксусной кислоты, МС:310 ([М+Н]+). 191.2. Аналогично примеру 168.2 из этилового эфира (RS)-(4-цианофениламино)-(3-гидрокси-5-метилфенил)уксусной кислоты, полученного, как описано в примере 191.1, по реакции с изопропилиодидом и Сs2СО3 в ацетоне получали этиловый эфир (RS)-(4-цианофениламино)-(3-изопропокси-5-метилфенил)уксусной кислоты, МС:353 ([М+Н]+). 191.3. Аналогично примеру 6.2 из этилового эфира (RS)-(4-цианофениламино)-(3-изопропокси-5-метилфенил)уксусной кислоты, полученного, как описано в примере 191.2, получали гидрохлорид этилового эфира (RS)-(4-карбамимидоилфениламино)-(3-изопропокси-5-метилфенил)уксусной кислоты (1: 1), МС:370 ([М+Н]+). Пример 192. 192.1. Аналогично примеру 168.2 из этилового эфира (RS)-(4-цианофениламино)-(3-гидрокси-5-метилфенил)уксусной кислоты, полученного, как описано в примере 191.1, по реакции с иодацетамидом и Cs2CO3 в ацетоне получали этиловый эфир (RS)-(3-карбамоилметокси-5-метилфенил)-(4-цианофениламино)уксусной кислоты, МС:366 ([М-Н]–). 192.2. Аналогично примеру 6.2 из этилового эфира (RS)-(3-карбамоилметокси-5-метилфенил)-(4-цианофениламино)уксусной кислоты, полученного, как описано в примере 192.1, получали гидрохлорид этилового эфира (RS)-(4-карбамимидоилфениламино)-(3-карбамоилметокси-5-метилфенил)уксусной кислоты (1:1), МС:385 ([М+Н]+). Пример 193. 193.1. Аналогично примеру 168.2 из этилового эфира (RS)-(4-цианофениламино)-(3-гидрокси-5-метилфенил)уксусной кислоты, полученного, как описано в примере 191.1, по реакции с этилиодидом и Cs2CO3 в ацетоне получали этиловый эфир (RS)-(4-цианофениламино)-(3-этокси-5-метилфенил)уксусной кислоты, МС:339 ([М+Н]+). 193.2. Аналогично примеру 6.2 из этилового эфира (RS)-(4-цианофениламино)-(3-этокси-5-метилфенил)уксусной кислоты, полученного, как описано в примере 193.1, получали гидрохлорид этилового эфира (RS)-(4-карбамимидоилфениламино)-(3-этокси-5-метилфенил)уксусной кислоты (1:1), МС:356 ([M+H]+). Пример 194. 194.1. Аналогично примеру 18.1 из этилового эфира (RS)-(4-цианофениламино)-(3-гидрокси-5-метилфенил)уксусной кислоты, полученного, как описано в примере 191.1, по реакции с N-(2-гидроксиэтил)пирролидином, диэтилазодикарбоксилатом и трифенилфосфином в ТГФ получали этиловый эфир (RS)-(4-цианофениламино)-[3-метил-5-(2-пирролидин-1-илэтокси)фенил]уксусной кислоты, МС:408 ([М+Н]+). 194.2. Аналогично примеру 6.2 из этилового эфира (RS)-(4-цианофениламино)-[3-метил-5-(2-пирролидин-1-илэтокси)фенил] уксусной кислоты, полученного, как описано в примере 194.1, получали гидрохлорид этилового эфира (RS)-(4-карбамимидоилфениламино)-[3-метил-5-(2-пирролидин-1-илэтокси)фенил] уксусной кислоты (1:1). Пример 195. 195.1. Аналогично примеру 18.1 из этилового эфира (RS)-(4-цианофениламино)-(3-гидрокси-5-метилфенил)уксусной кислоты, полученного, как описано в примере 191.1, по реакции с циклопентанолом, диэтилазодикарбоксилатом и трифенилфосфином в ТГФ получали этиловый эфир (RS)-(4-цианофениламино)-(3-циклопентилокси-5-метилфенил)уксусной кислоты, МС:379 ([М+Н]+). 195.2. Аналогично примеру 6.2 из этилового эфира (RS)-(4-цианофениламино)-(3-циклопентилокси-5-метилфенил)уксусной кислоты, полученного, как описано в примере 195.1, получали гидрохлорид этилового эфира (RS)-(4-карбамимидоилфениламино)-(3-циклопентилокси-5-метилфенил)уксусной кислоты (1:1), MC:396 ([М+Н]+). Пример 196. 196.1. Аналогично примеру 18.1 из этилового эфира (RS)-(4-цианофениламино)-(3-гидрокси-5-метилфенил)уксусной кислоты, полученного, как описано в примере 191.1, по реакции с 4-гидрокси-N-метилпиперидином, диэтилазодикарбоксилатом и трифенилфосфином в ТГФ получали этиловый эфир (RS)-(4-цианофениламино)-[3-метил-5-(1-метилпиперидин-4-илокси)фенил] уксусной кислоты, МС: 408 ([М+Н]+). 196.2 Аналогично примеру 6.2 из этилового эфира (RS)-(4-цианофениламино)-[3-метил-5-(1-метилпиперидин-4-илокси)фенил] уксусной кислоты, полученного, как описано в примере 196.1, получали гидрохлорид этилового эфира (RS)-(4-карбамимидоилфениламино)-[3-метил-5-(1-метилпиперидин-4-илокси)фенил]уксусной кислоты (1:1), МС:425 ([М+Н]+). Пример 197. 197.1. Аналогично примеру 182.1 из этилового эфира (RS)-(4-цианофениламино)-(3-гидрокси-5-метилфенил)уксусной кислоты, полученного, как указано в примере 191.1, по реакции с циклопентеноксидом и K2CO3 в EtOH получали смесь этиловых эфиров (RS)- и (SR)-(4-цианофениламино)-[3-[(1RS,2RS)-2-гидроксициклопентилокси]-5-метилфенил]уксусных кислот, МС:393 ([М-Н]–). 197.2. Аналогично примеру 6.2 из смеси этиловых эфиров (RS)-и (SR)-(4-цианофениламино)-[3-[(1RS, 2RS)-2-гидроксициклопентилокси] -5-метилфенил]уксусной кислоты, полученного, как описано в примере 197.1, получали смесь гидрохлоридов этиловых эфиров (RS)- и (SR)-(4-карбамимидоилфениламино)-[3-[(1RS, 2RS)-2-гидроксициклопентилокси] -5-метилфенил] уксусных кислот (1:1), МС:412 ([М+Н]+). Пример 198. 198.1. Аналогично примеру 190.1 из 3,5-диметиланизола получали 5-метоксибензол-1,3-дикарбальдегид. 198.2. Смесь 5-метоксибензол-1,3-дикарбальдегида (3,68 г, 22,4 ммоля), полученного, как описано в примере 198.1, бромида метилтрифенилфосфония (8,17 г, 22,4 ммоля), К2СО3 (3,10 г, 22,4 ммоля), воды (0,68 мл) и диоксана (51 мл) кипятили при 90oС в течение 2 ч. Реакционную смесь концентрировали, и полученный продукт очищали хроматографией (SiO2, гексан/CH2Cl2 4:1). При этом получали 1,74 г (48%) 3-метокси-5-винилбензальдегида в виде бесцветного масла, МС:162 ([М]+). 198.3. Аналогично примеру 1.1 из 3-метокси-5-винилбензальдегида, полученного, как описано в примере 198.2, по реакции с 4-аминобензонитрилом и бензилизонитрилом в EtOH получали этиловый эфир (RS)-(4-цианофениламино)-(3-метокси-5- винилфенил)уксусной кислоты, МС:336 ([М]+). 198.4. Аналогично примеру 6.2 из этилового эфира (RS)-(4-цианофениламино)-(3-метокси-5-винилфенил)уксусной кислоты, полученного, как описано в примере 198.3, получали гидрохлорид этилового эфира (RS)-(4-карбамимидоилфениламино)-(3-метокси-5-винилфенил)уксусной кислоты (1:1), МС:354 ([М+Н]+). Пример 199. 199.1. К 10%-ному Pd/C (236 мг, 0,22 моля) добавляли раствор этилового эфира (RS)-(4-цианофениламино)-(3-метокси-5-винилфенил)уксусной кислоты (1,495 г, 4,44 ммоля), полученного, как описано в примере 198.3, в EtOH (40 мл) и ТГФ (4 мл) и смесь гидрировали при комнатной температуре в течение 1 ч. Затем реакционную смесь отфильтровывали, фильтрат концентрировали и остаток очищали фильтрованием через SiO2 (элюент: AcOEt/гексан 1:1). При этом получали 1,5 г (99%) этилового эфира (RS)-(4-цианофениламино)-(3-этил-5-метоксифенил)уксусной кислоты в виде твердого вещества бежевого цвета, МС: 338 ([М]+). 199.2. Аналогично примеру 6.2 из этилового эфира (RS)-(4-цианофениламино)-(3-этил-5-метоксифенил)уксусной кислоты, полученного, как описано в примере 199.1, получали гидрохлорид этилового эфира (RS)-(4-карбамимидоилфениламино)-(3-этил-5-метоксифенил)уксусной кислоты (1:1), МС:356 ([М+Н]+). Пример 200. 200.1. Аналогично примеру 168.1 из этилового эфира (RS)-(4-цианофениламино)-(3-этил-5-метоксифенил)уксусной кислоты, полученного, как описано в примере 199.1, получали этиловый эфир (RS)-(4-цианофениламино)-(3-этил-5-гидроксифенил)уксусной кислоты, МС:325 ([М+Н]+). 200.2. Аналогично примеру 168.2 из этилового эфира (RS)-(4-цианофениламино)-(3-этил-5-гидроксифенил)уксусной кислоты, полученного, как описано в примере 200.1, по реакции с 2-метил-3-иодпропаном и Cs2CO3 в ацетоне получали этиловый эфир (RS)-(4-цианофениламино)-(3-этил-5-изобутоксифенил)уксусной кислоты, МС:381 ([М+Н] +). 200.3. Аналогично примеру 6.2 из этилового эфира (RS)-(4-цианофениламино)-(3-этил-5-изобутоксифенил)уксусной кислоты, полученного, как описано в примере 200.2, получали гидрохлорид этилового эфира (RS)-(4-карбамимидоилфениламино)-(3-этил-5-изобутоксифенил)уксусной кислоты (1:1), МС:398 ([М+Н] +). Пример 201. 201.1. Аналогично примеру 18.1 из этилового эфира (RS)-(4-цианофениламино)-(3-этил-5-гидроксифенил)уксусной кислоты, полученного, как описано в примере 200.1, по реакции с 4-гидрокси-N-метилпиперидином, диэтилазодикарбоксилатом и трифенилфосфином в ТГФ получали этиловый эфир (RS)-(4-цианофениламино)-[3-этил-5-(1-метилпиперидин-4-илокси)фенил] уксусной кислоты, МС: 422 ([М+Н]+). 201.2. Аналогично примеру 6.2 из этилового эфира (RS)-(4-цианофениламино)-[3-этил-5-(1-метилпиперидин-4-илокси)фенил] уксусной кислоты, полученного, как описано в примере 201.1, получали гидрохлорид этилового эфира (RS)-(4-карбамимидоилфениламино)-[3-этил-5-(1-метилпиперидин-4-илокси)фенил] уксусной кислоты (1:1), МС:439 ([М+Н] +). Пример 202. 202.1. Аналогично примеру 18.1 из этилового эфира (RS)-(4-цианофениламино)-(3-этил-5-гидроксифенил)уксусной кислоты, полученного, как описано в примере 200.1, по реакции с N-(2-гидроксиэтил)пирролидином, диэтилазодикарбоксилатом и трифенилфосфином в ТГФ получали этиловый эфир (RS)-(4-цианофениламино)-[3-этил-5-(2-пирролидин-1-илэтокси)фенил] уксусной кислоты, МС:422 ([М+Н]+). 202.2. Аналогично примеру 6.2 из этилового эфира (RS)-(4-цианофениламино)-[3-этил-5-(2-пирролидин-1-илэтокси)фенил] уксусной кислоты, полученного, как описано в примере 202.1, получали гидрохлорид этилового эфира (RS)-(4-карбамимидоилфениламино)-[3-этил-5-(2-пирролидин-1-илэтокси)фенил] уксусной кислоты (1:1), МС:439 ([М+Н]+). Пример 203. 203.1. Аналогично примеру 18.1 из этилового эфира (RS)-(4-цианофениламино)-(3-этил-5-гидроксифенил)уксусной кислоты, полученного, как описано в примере 200.1, по реакции с тетрагидро-2Н-пиран-4-олом, диэтилазодикарбоксилатом и трифенилфосфином в ТГФ получали этиловый эфир (RS)-(4-цианофениламино)-[3-этил-5-(тетрагидропиран-4-илокси)фенил] уксусной кислоты, МС:409 ([М+Н]+). 203.2. Аналогично примеру 6.2 из этилового эфира (RS)-(4-цианофениламино)-[3-этил-5-(тетрагидропиран-4-илокси)фенил] уксусной кислоты, полученного, как описано в примере 203.1, получали гидрохлорид этилового эфира (RS)-(4-карбамимидоилфениламино)-[3-этил-5-(тетрагидропиран-4-илокси)фенил] уксусной кислоты (1:1), МС:426 ([М+Н]+). Пример 204. 204.1. Аналогично примеру 18.1 из этилового эфира (RS)-(4-цианофениламино)-(3-этил-5-гидроксифенил)уксусной кислоты, полученного, как описано в примере 200.1, по реакции с тетрагидрофурфуриловым спиртом, диэтилазодикарбоксилатом и трифенилфосфином в ТГФ получали смесь этиловых эфиров (RS)- и (SR)-(4-цианофениламино)-[3-этил-5-[(RS)-тетрагидрофуран-2-илметокси] фенил] уксусных кислот, МС:408 ([М]+). 204.2. Аналогично примеру 6.2 из смеси этиловых эфиров (RS)- и (SR)-(4-цианофениламино)-[3-этил-5-[(RS)-тетрагидрофуран-2-илметокси] фенил] уксусной кислоты, полученных, как описано в примере 204.1, получали смесь гидрохлоридов этиловых эфиров (RS)- и (SR)-(4-карбамимидоилфениламино)-[3-этил-5-[(RS)-тeтpaгидpoфypaн-2-илметокси] фенил]уксусных кислот (1:1), МС:426 ([М+Н]+). Пример 205. 205.1. Аналогично примеру 18.1 из этилового эфира (RS)-(4-цианофениламино)-(3-этил-5-гидроксифенил)уксусной кислоты, полученного, как описано в примере 200.1, по реакции с циклопентанолом, диэтилазодикарбоксилатом и трифенилфосфином в ТГФ получали этиловый эфир (RS)-(4-цианофениламино)-(3-циклопентилокси-5-этилфенил)уксусной кислоты, МС:392 ([М]+). 205.2. Аналогично примеру 6.2 из этилового эфира (RS)-(4-цианофениламино)-(3-циклопентилокси-5-этилфенил)уксусной кислоты, полученного, как описано в примере 205.1, получали гидрохлорид этилового эфира (RS)-(4-карбамимидоилфениламино)-(3-циклопентидокси-5-этилфенил)уксусной кислоты (1:1), МС:410 ([М+Н]+). Пример 206. 206.1. Аналогично примеру 18.1 из этилового эфира (RS)-(4-цианофениламино)-(3-этил-5-гидроксифенил)уксусной кислоты, полученного, как описано в примере 200.1, по реакции с транс-4-тритилоксициклогексанолом (Synth. Commun. , 24, 2399, (1994)), диэтилазодикарбоксилатом и трифенилфосфином в ТГФ получали этиловый эфир (RS)-(4-цианофениламино)-[3-этил-5-(4-тритилоксициклогексилокси)фенил]уксусной кислоты, МС:687 ([M+Na]+). 206.2. Аналогично примеру 6.2 из этилового эфира (RS)-(4-цианофениламино)-[3-этил-5-(4-тритилоксициклогексилокси)фенил] уксусной кислоты, полученного, как описано в примере 206.1, получали гидрохлорид этилового эфира (RS)-(4-карбамимидоилфениламино)-[3-этил-5-(4-гидроксициклогексилокси)фенил] уксусной кислоты (1:1), МС:440 ([М+Н]+). Пример 207. 207.1. Аналогично примеру 18.1 из этилового эфира (RS)-(4-цианофениламино)-(3-этил-5-гидроксифенил)уксусной кислоты, полученного, как описано в примере 200.1, по реакции с трет-бутил-4-гидрокси-1-пиперидинкарбоксилатом, диэтилазодикарбоксилатом и трифенилфосфином в ТГФ получали трет-бутиловый эфир (RS)-4-{ 3-[(4-цианофениламино)этоксикарбонилметил]-5-этилфенокси} пиперидин-1-карбоновой кислоты, МС:508 ([М+Н]+). 207.2. Аналогично примеру 6.2 из трет-бутилового эфира (RS)-4-{3-[(4-цианофениламино)этоксикарбонилметил] -5-этилфенокси} пиперидин-1-карбоновой кислоты, полученного, как описано в примере 207.1, получали гидрохлорид этилового эфира (RS)-(4-карбамимидоилфениламино)-[3-этил-5-(пиперидин-4-илокси)фенил]уксусной кислоты (1:1), МС:425 ([М+Н]+). Пример 208. 208.1. Аналогично примеру 18.1 из этилового эфира (RS)-(4-цианофениламино)-(3-этил-5-гидроксифенил)уксусной кислоты, полученного, как описано в примере 200.1, по реакции с 3-диметиламино-2,2-диметил-1-пропанолом, диэтилазодикарбоксилатом и трифенилфосфином в ТГФ получали этиловый эфир (RS)-(4-цианофениламино)-[3-(3-диметиламино-2,2-диметилпропокси)-5-этилфенил]уксусной кислоты, МС:438 ([М+Н]+). 208.2. Аналогично примеру 6.2 из этилового эфира (RS)-(4-цианофениламино)-[3-(3-диметиламино-2,2-диметилпропокси)-5-этилфенил] уксусной кислоты, полученного, как описано в примере 208.1, получали этиловый эфир (RS)-(4-карбамимидоилфениламино)-[3-(3-диметиламино-2,2-диметилпропокси)-5-этилфенил]уксусной кислоты, МС:456 ([M+H]+). Пример 209. 209.1. Трифторуксусную кислоту (1,67 мл, 21,7 ммоля) добавляли по каплям при 0oС к раствору трет-бутилового эфира (RS)-4-{ 3-[(4-цианофениламино)этоксикарбонилметил]-5-этилфенокси}пиперидин-1-карбоновой кислоты (1,1 г, 2,17 ммоля), полученного, как описано в примере 207.2, в CH2Cl2 (30 мл). Смесь медленно нагревали (2,5 ч) до комнатной температуры и затем выливали в смесь насыщенного раствора NаНСО3 и льда. Полученную смесь экстрагировали CH2Cl2. Органическую фазу сушили и фильтровали, фильтрат концентрировали. Полученный амин использовали без дополнительной очистки. 209.2. Метансульфонилхлорид (71 мг, 0,61 ммоля) медленно добавляли при 0oС к раствору амина (250 мг, 0,51 ммоля), полученного, как описано в примере 209.1, и N-этилдиизопропиламина (81 мг, 0,61 ммоля) в ТГФ (3,5 мл). Смесь перемешивали при 0oС в течение 1,5 ч и при комнатной температуре в течение 1,5 ч. Затем реакционную смесь концентрировали и остаток очищали хроматографией (SiO2, CH2Cl2= >CH2Cl2/MeOH 95:5). При этом получали 201 мг (81%) этилового эфира (RS)-(4-цианофениламино)-[3-этил-5-(1-метансульфонилпиперидин-4-илокси)фенил]уксусной кислоты в виде пены бежевого цвета, МС: 486 ([М+Н]+). 209.3. Аналогично примеру 6.2 из этилового эфира (RS)-(4-цианофениламино)-[3-этил-5-(1-метансульфонилпиперидин-4-илокси)фенил] уксусной кислоты, полученного, как описано в примере 209.2, получали гидрохлорид этилового эфира (RS)-(4-карбамимидоилфениламино)-[3-этил-5-(метансульфонилпиперидин-4-илокси)фенил] укусной кислоты (1:1), МС:503 ([М+Н]+). Пример 210. 210.1. Этилбромацетат (104 мг, 0,61 ммоля) медленно добавляли при 0oС к раствору амина (250 мг, 0,51 ммоля), полученного, как описано в примере 209.1, и N-этилдиизопропиламина (81 мг, 0,61 ммоля) в ТГФ (3,5 мл). Смесь перемешивали при 0oС в течение 1 ч и при комнатной температуре в течение 3 ч. Затем реакционную смесь концентрировали и остаток очищали хроматографией (SiO2, CH2Cl2= >СН2Сl2/МеОН 95:5). При этом получали 176 мг (69%) этилового эфира (RS)-(4-цианофениламино)-[3-(1-этоксикарбонилметилпиперидин-4-илокси)-5-этилфенил] уксусной кислоты в виде масла желтого цвета, МС:494 ([М+Н] +). 210.2. Аналогично примеру 6.2 из этилового эфира (RS)-(4-цианофениламино)-[3-(1-этоксикарбонилметилпиперидин-4-илокси)-5-этилфенил] уксусной кислоты, полученного, как описано в примере 210.1, получали гидрохлорид этилового эфира (RS)-(4-карбамимидоилфениламино)-[3-(1-этоксикарбонилметилпиперидин-4-илокси)-5-этилфенил]уксусной кислоты (1:1), МС:511 ([М+Н]+). Пример 211. 211.1. Аналогично примеру 182.1 из этилового эфира (RS)-(4-цианофениламино)-(3-этил-5-гидроксифенил)уксусной кислоты, полученного, как описано в примере 200.1, по реакции с циклопентеноксидом и К2СО3 в EtOH получали смесь этиловых эфиров (RS)- и (SR)-(4-цианофениламино)-[3-этил-5-[(1RS,2RS)-2-гидроксициклопентилокси]фенил]уксусных кислот, МС:409 ([М+Н]+). 211.2. Аналогично примеру 6.2 из смеси этиловых эфиров (RS)-и (SR)-(4-цианофениламино)-[3-этил-5-[(1RS, 2RS)-2-гидроксициклопентилокси] фенил] уксусной кислоты, полученных, как описано в примере 211.1, получали смесь гидрохлоридов этиловых эфиров (RS)- и (SR)-(4-карбамимидоилфениламино)-[3-этил-5-[(1RS, 2RS)-2-гидроксициклопентилокси]фенил]уксусных кислот (1:1), МС: 426 ([М+Н]+). Пример 212. 212.1. Ацетат меди (II) (223 мг, 1,20 ммоля), фенилбороновую кислоту (164 мг, 1,32 ммоля) и молекулярное сито 4 добавляли к раствору этилового эфира (RS)-(4-цианофениламино)-(3-этил-5-гидроксифенил)уксусной кислоты (390 мг, 1,20 ммоля), полученного, как описано в примере 200.1, в CH2Cl2 (12 мл). Затем добавляли по каплям пиридин (476 мг, 6,01 ммоля) и смесь перемешивали на открытом воздухе в течение 60 ч. Реакционную смесь концентрировали, остаток очищали хроматографией (SiO2, CH2Cl2). При этом получали 391 мг (81%) этилового эфира (RS)-(4-цианофениламино)-(3-этил-5-феноксифенил)уксусной кислоты в виде кристаллов бежевого цвета, МС:401 ([М+Н]+).
212.2. Аналогично примеру 6.2 из этилового эфира (RS)-(4-цианофенила-мино)-(3-этил-5-феноксифенил)уксусной кислоты, полученного, как описано в примере 212.1, получали гидрохлорид этилового эфира (RS)-(4-карбамимидоилфениламино)-(3-этил-5-феноксифенил)уксусной кислоты (1:1), МС:418 ([M+H]+).
Пример 213.
213.1. Аналогично примеру 212.1 из этилового эфира (RS)-(4-цианофениламино)-(3-этил-5-гидроксифенил)уксусной кислоты, полученного, как описано в примере 200.1, по реакции с 3-пиридилбороновой кислотой получали этиловый эфир (RS)-(4- цианофениламино)-[3-этил-5-(пиридин-3-илокси)фенил] уксусной кислоты.
213.2. Аналогично примеру 6.2 из этилового эфира (RS)-(4-цианофениламино)-[3-этил-5-(пиридин-3-илокси)фенил] уксусной кислоты, полученного, как указано в примере 213.1, получали гидрохлорид этилового эфира (RS)-(4-карбамимидоилфениламино)-[3-этил-5-(пиридин-3-илокси)фенил] уксусной кислоты (1: 1).
Пример 214.
214.1. Аналогично примеру 198.2 из 5-метоксибензол-1,3-дикарбальдегида, полученного, как описано в примере 198.1, по реакции с бромидом этилтрифенилфосфония получали 3-метокси-5-пропенилбензальдегид.
214.2. Аналогично примеру 1.1 из 3-метокси-5-пропенилбензальдегида, полученного, как описано в примере 214.1, по реакции с 4-аминобензонитрилом и бензилизонитрилом в ЕtOН получали этиловый эфир (RS)-(E/Z)-(4-цианофениламино)-(3-метокси-5-пропенилфенил)уксусной кислоты.
214.3. Аналогично примеру 199.1 из этилового эфира (RS)-(E/Z)-(4-цианофениламино)-(3-метокси-5-пропенилфенил)уксусной кислоты, полученного, как описано в примере 214.2, получали этиловый эфир (RS)-(4-цианофениламино)-(3-метокси-5-пропилфенил)уксусной кислоты, МС:353 ([М+Н]+).
214.4. Аналогично примеру 6.2 из этилового эфира (RS)-(4-цианофениламино)-(3-метокси-5-пропилфенил)уксусной кислоты, полученного, как описано в примере 214.3, получали гидрохлорид этилового эфира (RS)-(4-карбамимидоилфениламино)-(3-метокси-5-пропилфенил)уксусной кислоты (1:1), МС:370 ([М+Н] +).
Пример 215.
215.1. Аналогично примеру 168.1 из этилового эфира (RS)-(4-цианофениламино)-(3-метокси-5-пропилфенил)уксусной кислоты, полученного, как описано в примере 214.3, получали этиловый эфир (RS)-(4-цианофениламино)-(3-гидрокси-5-пропилфенил)уксусной кислоты.
215.2. Аналогично примеру 168.2 из этилового эфира (RS)-(4-цианофениламино)-(3-гидрокси-5-пропилфенил)уксусной кислоты, полученного, как описано в примере 215.1, по реакции с этилиодидом и Cs2CO3 в ацетоне, получали этиловый эфир (RS)-(4-цианофениламино)-(3-этокси-5-пропилфенил)уксусной кислоты, МС:366 ([М]+).
215.3. Аналогично примеру 6.2 из этилового эфира (RS)-(4-цианофениламино)-(3-этокси-5-пропилфенил)уксусной кислоты, полученного, как описано в примере 215.2, получали гидрохлорид этилового эфира (RS)-(4-карбамимидоилфениламино)-(3-этокси-5-пропилфенил)уксусной кислоты (1:1), МС:384 ([М+Н]+).
Пример 216.
216.1. Аналогично примеру 190.1 из 5-нитро-мета-ксилола получали 3-метил-5-нитробензальдегид, МС:165 ([М]+).
216.2. Аналогично примеру 1.1 из 3-метил-5-нитробензальдегида, полученного, как описано в примере 216.1, по реакции с 4-аминобензонитрилом и бензилизонитрилом в EtOH получали этиловый эфир (RS)-(4-цианофениламино)-(3-метил-5-нитрофенил)уксусной кислоты, МС:340 ([М+Н]+).
216.3. Аналогично примеру 59.2 из этилового эфира (RS)-(4-цианофениламино)-(3-метил-5-нитрофенил)уксусной кислоты, полученного, как описано в примере 216.2, по реакции с Н2 в EtOH (1:1) в присутствии катализатора Pd/C получали этиловый эфир (RS)-(3-амино-5-метилфенил)-(4-цианофениламино)уксусной кислоты, МС:309 ([М]+).
216.4. Аналогично примеру 61.1 из этилового эфира (RS)-(3-амино-5-метилфенил)-(4-цианофениламино)уксусной кислоты, полученного, как описано в примере 216.3, по реакции с этилиодидом и диизопропилэтиламином в ТГФ получали этиловый эфир (RS)-(4-цианофениламино)-(3-этиламино-5-метилфенил)уксусной кислоты, МС:338 ([М+Н]+).
216.5. Аналогично примеру 6.2 из этилового эфира (RS)-(4-цианофениламино)-(3-этиламино-5-метилфенил)уксусной кислоты, полученного, как описано в примере 216.4, получали гидрохлорид этилового эфира (RS)-(4-карбамимидоилфениламино)-(3-этиламино-5-метилфенил)уксусной кислоты (1:1), МС:355 ([М+Н] +).
Пример 217.
217.1. Аналогично примеру 61.1 из этилового эфира (RS)-(3-амино-5-метилфенил)-(4-цианофениламино)уксусной кислоты, полученного, как описано в примере 216.3, по реакции с этилиодидом и диизопропилэтиламином в ТГФ получали этиловый эфир (RS)-(4-цианофениламино)-(3-диэтиламино-5-метилфенил)уксусной кислоты, МС:366 ([М+Н]+).
217.2. Аналогично примеру 6.2 из этилового эфира (RS)-(4-цианофениламино)-(3-диэтиламино-5-метилфенил)уксусной кислоты, полученного, как описано в примере 217.1, получали гидрохлорид этилового эфира (RS)-(4-карбамимидоилфениламино)-(3-диэтиламино-5-метилфенил)уксусной кислоты (1: 1), МС:383 ([М+Н]+).
Пример 218.
218.1. Аналогично примеру 61.1 из этилового эфира (RS)-(3-амино-5-метилфенил)-(4-цианофениламино)уксусной кислоты, полученного, как описано в примере 216.3, по реакции с циклопентилбромидом и диизопропилэтиламином в ТГФ получали этиловый эфир (RS)-(4-цианофениламино)-(3-циклопентиламино-5-метилфенил)уксусной кислоты, МС:378 ([М+Н]+).
218.2. Аналогично примеру 6.2 из этилового эфира (RS)-(4-цианофениламино)-(3-циклопентиламино-5-метилфенил)уксусной кислоты, полученного, как описано в примере 218.1, получали гидрохлорид этилового эфира (RS)-(4-карбамимидоилфениламино)-(3-циклопентиламино-5-метилфенил)уксусной кислоты (1:1), МС:395 ([М+Н]+).
Пример 219.
219.1. Аналогично примеру 61.1 из этилового эфира (RS)-(3-амино-5-метилфенил)-(4-цианофениламино)уксусной кислоты, полученного, как описано в примере 216.3, по реакции с 1,4-дибромбутаном и диизопропилэтиламином в ТГФ получали этиловый эфир (RS)-(4-цианофениламино)-(3-метил-5-пирролидин-1-илфенил)уксусной кислоты, МС:363 ([М]+).
219.2 Аналогично примеру 6.2 из этилового эфира (RS)-(4-цианофениламино)-(3-метил-5-пирролидин-1-илфенил)уксусной кислоты, полученного, как описано в примере 219.1, получали гидрохлорид этилового эфира (RS)-(4-карбамимидоилфениламино) – (3-метил-5-пирролидин-1-илфенил)уксусной кислоты (1: 1), МС:381 ([М+Н]+).
Пример 220.
220.1. Аналогично примеру 188.1 из этилового эфира (RS)-(3-амино-5-метилфенил)-(4-цианофениламино)уксусной кислоты, полученного, как описано в примере 216.3, по реакции с н-бутилизоцианатом в ТГФ получали этиловый эфир (RS)-[3-(3-бутилуреидо)-5-метилфенил] -(4-цианофениламино)уксусной кислоты, МС:409 ([М+Н]+).
220.2. Аналогично примеру 6.2 из этилового эфира (RS)-[3-(3-бутилуреидо)-5-метилфенил] -(4-цианофениламино)уксусной кислоты, полученного, как описано в примере 211.1, получали гидрохлорид этилового эфира (RS)-[3-(3-бутилуреидо)-5-метилфенил] -(4-карбамимидоилфениламино)уксусной кислоты (1:1), МС:426 ([М+Н]+).
Пример 221.
221.1. Раствор этилового эфира (RS)-(3-амино-5-метилфенил)-(4-цианофениламино)уксусной кислоты (500 мг, 1,62 ммоля), полученного, как описано в примере 216.3, циклопентеноксида (136 мг, 1,62 ммоля) и LiClO4 (172 мг, 1,62 ммоля) в ацетонитриле (1,5 мл) перемешивали в течение 70 ч при комнатной температуре. Затем смесь нагревали при 60oС в течение 24 ч, добавляли дополнительные количества циклопентеноксида (136 мг, 1,62 ммоля) и LiClO4 (172 мг, 1,62 ммоля) и перемешивали при 60oС в течение 1 ч. После охлаждения добавляли воду и смесь экстрагировали диэтиловым эфиром. Органическую фазу сушили, фильтровали и концентрировали, остаток очищали хроматографией (SiO2, CH2Cl2/MeOH 98: 2). При этом получали 272 мг (43%) смеси этиловых эфиров (RS)- и (SR)-(4-цианофениламино)-[3-[(1RS,2RS)-2-гидроксициклопентиламино] -5-метилфенил] уксусных кислот в виде твердого вещества желтоватого цвета, МС:394 ([М+Н]+).
221.2. Аналогично примеру 6.2 из смеси этиловых эфиров (RS)- и (SR)-(4-цианофениламино)-[3-[(1RS, 2RS)-2-гидроксициклопентиламино]-5-метилфенил] уксусной кислоты, полученных, как описано в примере 221.1, получали смесь гидрохлоридов этиловых эфиров (RS)- и (SR)-(4-цианофениламино)-[3-[(1RS, 2RS)-2-гидроксициклопентиламино] -5-метилфенил]уксусных кислот (1:1), МС:411 ([М+Н]+).
Пример 222.
222.1. Раствор этилового эфира (RS)-(3-амино-5-метилфенил)-(4-цианофениламино)уксусной кислоты (475 мг, 1,54 ммоля), полученного, как описано в примере 216.3, 2-хлорпиримидина (400 мг, 3,38 ммоля), диизопропилэтиламина (317 мкл, 1,85 ммоля) и 1,8-диазабицикло[5.4.0]ундец-7-ена (276 мкл, 1,85 ммоля) в ТГФ (4 мл) кипятили с обратным холодильником в течение 2 ч. Реакционную смесь концентрировали, остаток очищали хроматографией (SiO2, гексан/AcOEt 1: 1= >EtOAc). При этом получали 193 мг (23%) этилового эфира (RS)-(4-цианофениламино)-(3-метил-5-{ 1-[3-(пиримидин-2-иламино)пропил] азепан-2-илиденамино] фенил}уксусной кислоты в виде пены желтоватого цвета, МС: 540 ([М+Н]+).
222.2. Аналогично примеру 6.2 из этилового эфира (RS)-(4-цианофениламино)-(3-метил-5-{ 1-[3-(пиримидин-2-иламино)пропил] азепан-2-илиденамино} фенил)уксусной кислоты, полученного, как описано в примере 222.1, получали гидрохлорид этилового эфира (RS)-(4-карбамимидоилфениламино)-(2-метил-5-{ 1-[3-(пиримидин-2-иламино)пропил]азепан-2-илиденамино}фенил)уксусной кислоты (1:1), МС:557 ([М+Н]+).
Пример 223.
223.1. Из изофталальдегида по реакции с НNО3/Н2SO4 и сульфатом аммония получали 5-нитробензол-1,3-дикарбальдегид (Inorganic Chem. , 37, 2134 (1998)).
223.2. Аналогично примеру 198.2 из 5-нитробензол-1,3-дикарбальдегида, полученного, как описано в примере 223.1, по реакции с бромидом метилтрифенилфосфония получали 3-нитро-5-винилбензальдегид, МС:177 ([M]+).
223.3. Аналогично примеру 1.1 из 3-нитро-5-винилбензальдегида, полученного, как описано в примере 223.2, по реакции с 4-аминобензонитрилом и бензилизонитрилом в EtOH получали этиловый эфир (RS)-(4-цианофениламино)-(3-нитро-5-винилфенил)уксусной кислоты, МС:351 ([М]+).
223.4. Аналогично примеру 59.2 из этилового эфира (RS)-(4-цианофениламино)-(3-нитро-5-винилфенил)уксусной кислоты, полученного, как описано в примере 223.3, по реакции с Н2 в EtOH в присутствии катализатора Pd/C получали этиловый эфир (RS)-(3-амино-5-этилфенил)-(4-цианофениламино)уксусной кислоты, МС:323 ([М]+).
223.5. Аналогично примеру 61.1 из этилового эфира (RS)-(3-амино-5-этилфенил)-(4-цианофениламино)уксусной кислоты, полученного, как описано в примере 223.4, по реакции с 1,4-дибромбутаном и диизопропилэтиламином в ТГФ получали этиловый эфир (RS)-(4-цианофениламино)-(3-этил-5-пирролидин-1-илфенил)уксусной кислоты, МС:378 ([М+Н]+).
223.6. Аналогично примеру 6.2 из этилового эфира (RS)-(4-цианофениламино)-(3-этил-5-пирролидин-1-илфенил)уксусной кислоты, полученного, как описано в примере 223.5, получали гидрохлорид этилового эфира (RS)-(4-карбамимидоилфениламино)-(3-этил-5-пирролидин-1-илфенил)уксусной кислоты (1:1), МС:395 ([М+Н]+).
Пример 224.
224.1. Смесь этилового эфира (RS)-(3-амино-5-этилфенил)-(4-цианофениламино)уксусной кислоты (500 мг, 1,55 ммоля), полученного, как описано в примере 223.4, гидрохлорида бис-(2-хлорэтиламина) (276 мг, 1,55 ммоля) и хлорбензола (5 мл) кипятили с обратным холодильником в течение 18 ч. Реакционную смесь концентрировали, остаток очищали хроматографией (SiO2, CH2Cl2/MeOH 9: 1). При этом получали 385 мг (63%) этилового эфира (RS)-(4-цианофениламино)-(3-этил-5-пиперазин-1 -илфенил)уксусной кислоты в виде твердого вещества коричневатого цвета, МС:393 ([М+Н]+).
224.2. Аналогично примеру 6.2 из этилового эфира (RS)-(4-цианофениламино)-(3-этил-5-пиперазин-1-илфенил)уксусной кислоты, полученного, как описано в примере 224.1, получали гидрохлорид этилового эфира (RS)-(4-карбамимидоилфениламино)-(3-этил-5-пиперазин-1-илфенил)уксусной кислоты (1: 1), МС:410 ([М+Н]+).
Пример 225.
225.1. Циклопентанкарбонилхлорид (0,104 мл, 0,85 ммоля) добавляли по каплям при 0oС к раствору этилового эфира (RS)-(3-амино-5-этилфенил)-(4-цианофениламино)уксусной кислоты (250 мг, 0,772 ммоля), полученного, как описано в примере 223.4, и диизопропилэтиламина (0,146 мл, 0,85 ммоля) в CH2Cl2 (5 мл). Реакционную смесь медленно нагревали (2 ч) при комнатной температуре. Затем добавляли насыщенный водный раствор KHSO4 и полученную смесь экстрагировали AcOEt. Органическую фазу промывали водой, сушили и фильтровали, фильтрат концентрировали. Остаток очищали хроматографией (SiO2, гексан= >гексан/AcOEt 2: 1). При этом получали 215 мг (66%) этилового эфира (RS)-(4-циaнoфeнилaминo)-[3-(циклoпeнтaнкapбoниламино)-5-этилфенил] уксусной кислоты в виде бесцветной пены, МС:418 ([М-Н]–).
225.2. Аналогично примеру 6.2 из этилового эфира (RS)-(4-цианофениламино)-[3-(циклопентанкарбониламино)-5-этилфенил] уксусной кислоты, полученного, как описано в примере 225.1, получали гидрохлорид этилового эфира (RS)-(4-карбамимидоилфениламино)-[3-(циклопентанкарбониламино)-5-этилфенил] уксусной кислоты, МС:437 ([М+Н]+).
Пример 226.
226.1. Аналогично примеру 225.1 из этилового эфира (RS)-(3-амино-5-этилфенил)-(4-цианофениламино)уксусной кислоты, полученного, как описано в примере 223.4, по реакции с бензолсульфонилхлоридом и диизопропилэтиламином в CH2Cl2 получали этиловый эфир (RS)-(4-цианофениламино)-(3-бензолсульфониламино-5-этилфенил)уксусной кислоты.
226.2. Аналогично примеру 6.2 из этилового эфира (RS)-(4-цианофениламино)-(3-бензолсульфониламино-5-этилфенил)уксусной кислоты, полученного, как описано в примере 226.1, получали гидрохлорид этилового эфира (RS)-(4-карбамимидоилфениламино)-(3-бензолсульфониламино-5-этилфенил)уксусной кислоты (1: 1), МС:481 ([М+Н]+).
Пример 227.
227.1. Аналогично примеру 225.1 из этилового эфира (RS)-(3-амино-5-этилфенил)-(4-цианофениламино)уксусной кислоты, полученного, как описано в примере 223.4, по реакции с бутилсульфамоилхлоридом и диизопропилэтиламином в CH2Cl2 получали этиловый эфир (RS)-(4-цианофениламино)-(3-бутилсульфамоиламино-5-этилфенил)уксусной кислоты.
227.2. Аналогично примеру 6.2 из этилового эфира (RS)-(4-цианофениламино)-(3-бутилсульфамоиламино-5-этилфенил)уксусной кислоты, полученного, как описано в примере 227.1, получали гидрохлорид этилового эфира (RS)-(4-карбамимидоилфениламино)-(3-бутилсульфамоиламино-5-этилфенил)уксусной кислоты (1: 1), МС:476 ([М+Н]+).
Пример 228.
228.1. Na2SO4 (1,09 г, 7,7 ммоля) добавляли к раствору этилового эфира (RS)-(3-амино-5-этилфенил)-(4-цианофениламино)уксусной кислоты (250 мг, 0,77 ммоля), полученного, как описано в примере 223.4, и 1-метил-4-пиперидона (174 мг, 1,54 ммоля) в уксусной кислоте (5 мл), полученную смесь перемешивали при комнатной температуре в течение 15 мин. Затем смесь охлаждали до 0oС и порциями медленно добавляли NаНВ(ОАс)3 (489 мг, 2,31 ммоля). Через 30 мин добавляли насыщенный раствор NaHCO3 и смесь экстрагировали AcOEt. Органическую фазу сушили и фильтровали, фильтрат концентрировали. Остаток очищали хроматографией (SiO2, CH2Cl2/MeOH 9:1). При этом получали 287 мг (89%) этилового эфира (RS)-(4-цианофениламино)-[3-этил-5-(1-метилпиперидин-4-иламино)фенил] уксусной кислоты в виде твердого вещества желтоватого цвета, МС:421 ([М+Н]+).
228.2 Аналогично примеру 6.2 из этилового эфира (RS)-(4-цианофениламино)-[3-этил-5-(1-метилпиперидин-4-иламино)фенил] уксусной кислоты, полученного, как описано в примере 228.1, получали гидрохлорид этилового эфира (RS)-(4-карбамимидоилфениламино)-[3-этил-5-(1-метилпиперидин-4-иламино)фенил] уксусной кислоты (1:1).
Пример 229.
229.1. Аналогично примеру 228.1 из этилового эфира (RS)-(3-амино-5-этилфенил)-(4-цианофениламино)уксусной кислоты, полученного, как описано в примере 223.4, по реакции с 3-пиридинкарбоксальдегидом и NаНВ(ОАс)3 в АсОН получали этиловый эфир (RS)-(4-цианофениламино)-{3-этил-5-[(пиридин-3-илметил)амино]фенил}уксусной кислоты, МС:415 ([М+Н]+).
229.2. Аналогично примеру 6.2 из этилового эфира (RS)-(4-цианофениламино)-{ 3-этил-5-[(пиридин-3-илметил)амино] фенил}уксусной кислоты, полученного, как описано в примере 229.1, получали гидрохлорид этилового эфира (RS)-(4-карбамимидоилфениламино)-[3-этил-5-[(пиридин-3-илметил)амино] фенил} уксусной кислоты (1:1), МС:432 ([М+Н]+).
Пример 230.
230.1. Аналогично примеру 228.1 из этилового эфира (RS)-(3-амино-5-этилфенил)-(4-цианофениламино)уксусной кислоты, полученного, как описано в примере 223.4, по реакции с 3-пиридинкарбоксальдегидом и NaHB(OAc)3 в АсОН получали этиловый эфир (RS)-[3-(бис-пиридин-3-илметиламино)-5-этилфенил]-(4-цианофениламино)уксусной кислоты, МС:506 ([М+Н]+).
230.2. Аналогично примеру 6.2 из этилового эфира (RS)-[3-(бис-пиридин-3-илметиламино)-5-этилфенил]-(4-цианофениламино)уксусной кислоты, полученного, как описано в примере 230.1, получали гидрохлорид этилового эфира (RS)-[3-(бис-пиридин-3-илметиламино)-5-этилфенил] -(4-карбамимидоилфениламино)уксусной кислоты(1:1), МС:523 ([М+Н]+).
Пример 231.
231.1. Аналогично примеру 228.1 из этилового эфира (RS)-(3-амино-5-этилфенил)-(4-цианофениламино)уксусной кислоты, полученного, как описано в примере 223.4, по реакции с тетрагидро-4Н-пиран-4-оном и NаНВ(ОАс)3 в АсОН получали этиловый эфир (RS)-(4-цианофениламино)-[3-этил-5-(тетрагидропиран-4-иламино)фенил]уксусной кислоты, МС:408 ([М+Н]+).
231.2. Аналогично примеру 6.2 из этилового эфира (RS)-(4-цианофениламино)-[3-этил-5-(тетрагидропиран-4-иламино)фенил]уксусной кислоты, полученного, как описано в примере 231.1, получали гидрохлорид этилового эфира (RS)-(4-карбамимидоилфениламино)-[3-этил-5-(тетрагидропиран-4-иламино)фенил] уксусной кислоты (1:1), МС:425 ([М+Н]+).
Пример 232.
232.1. Аналогично примеру 228.1 из этилового эфира (RS)-(3-амино-5-этилфенил)-(4-цианофениламино)уксусной кислоты, полученного, как описано в примере 223.4, по реакции с тетрагидро-4Н-тиопиран-4-оном и NаНВ(ОАс)3 в АсОН получали этиловый эфир (RS)-(4-цианофениламино)-[3-этил-5-(тетрагидротиопиран-4-иламино)фенил]уксусной кислоты, МС:424 ([М+Н]+).
232.2. Аналогично примеру 6.2 из этилового эфира (RS)-(4-цианофениламино)-[3-этил-5-(тетрагидротиопиран-4-иламино)фенил] уксусной кислоты, полученного, как описано в примере 232.1, получали гидрохлорид этилового эфира (RS)-(4-карбамимидоилфениламино)-[3-этил-5-(тетрагидротиопиран-4-иламино)фенил]уксусной кислоты (1:1), МС:441 ([М+Н]+).
Пример 233.
233.1. Аналогично примеру 164.1 из этилового эфира (RS)-(4-цианофениламино)-[3-этил-5-(тетрагидротиопиран-4-иламино)фенил] уксусной кислоты, полученного, как описано в примере 232.1, по реакции с озоном в ацетоне/воде получали этиловый эфир (RS)-(4-цианофениламино)-[3-(1,1-диоксогексагидротиопиран-4-иламино)-5-этилфенил]уксусной кислоты, МС:456 ([М+Н]+).
233.2. Аналогично примеру 6.2 из этилового эфира (RS)-(4-цианофениламино)-[3-(1,1-диоксогексагидротиопиран-4-иламино)-5-этилфенил] уксусной кислоты, полученного, как описано в примере 233.1, получали гидрохлорид этилового эфира (RS)-(4-карбамимидоилфениламино)-[3-(1,1-диоксогексагидротиопиран-4-иламино)-5-этилфенил]уксусной кислоты (1:1), МС:473 ([М+Н]+).
Пример 234.
234.1. MnO2 (8,37 г, 96,3 ммоля) добавляли к раствору (3-этокси-5-гидроксиметилфенил)метанола (17,55 г, 96,3 ммоля) в CH2Cl2 (175 мл) и смесь перемешивали при комнатной температуре в течение 64 ч. Затем добавляли дополнительное количество МnО2 (8,37 г, 96,3 ммоля) и смесь перемешивали в течение 6 ч. Смесь фильтровали через целит и фильтрат концентрировали. Продукт очищали хроматографией, при этом получали 8,32 г (48%) 3-этокси-5-гидроксиметилбензальдегида в виде бесцветного масла.
234.2. Аналогично примеру 1.1 из 3-этокси-5-гидроксиметилбензальдегида, полученного, как описано в примере 234.1, по реакции с 4-аминобензонитрилом и бензилизонитрилом в EtOH получали этиловый эфир (RS)-(4-цианофениламино)-(3-этокси-5-гидроксиметилфенил)уксусной кислоты, МС:355 ([М+Н]+).
234.3. Метансульфонилхлорид медленно добавляли при 0oС к раствору этилового эфира (RS)-(4-цианофениламино)-(3-этокси-5-гидроксиметилфенил)уксусной кислоты (200 мг, 0,564 ммоля), полученного, как указано в примере 234.2, и N-этилдиизопропиламина (88 мг, 0,68 ммоля) в ТГФ (3 мл). Смесь перемешивали при 0oС в течение 1,5 ч и при комнатной температуре в течение 1,5 ч. Смесь выливали в ледяную воду/1 M НСl и экстрагировали AcOEt. Органическую фазу промывали водой, сушили и фильтровали, фильтрат концентрировали. При этом получали 232 мг этилового эфира (RS)-(4-цианофениламино)-(3-этокси-5-метансульфонилоксиметилфенил)уксусной кислоты в виде масла желтого цвета, которое использовали в последующей реакции без дополнительной очистки.
234.4. N-Этилдиизопропиламин (132 мг, 1,02 ммоля) и пирролидин (145 мг, 2,04 ммоля) добавляли к раствору этилового эфира (RS)-(4-цианофениламино)-(3-этокси-5-метансульфонилоксиметилфенил)уксусной кислоты (221 мг, 0,511 ммоля), полученного, как описано в примере 234.3, в ТГФ (2 мл) и смесь перемешивали при комнатной температуре течение 1 ч. Реакционную смесь концентрировали, остаток очищали хроматографией (SiO2, CH2Cl2/MeOH 99:1). При этом получали 153 мг (73%) этилового эфира (RS)-(4-цианофениламино)-(3-этокси-5-пирролидин-1-илметилфенил)уксусной кислоты в виде пены желтоватого цвета, МС:408 ([М+Н]+).
234.5. Аналогично примеру 6.2 из этилового эфира (RS)-(4-цианофениламино)-(3-этокси-5-пирролидин-1-илметилфенил)уксусной кислоты, полученного, как описано в примере 234.4, получали гидрохлорид этилового эфира (RS)-(4-карбамимидоилфениламино)-(3-этокси-5-пирролидин-1-илметилфенил)уксусной кислоты (1:1).
Пример 235.
235.1. Аналогично примеру 234.4 из этилового эфира (RS)-(4-цианофениламино)-(3-этокси-5-метансульфонилоксиметилфенил)уксусной кислоты, полученного, как описано в примере 234.3, по реакции с циклобутиламином и N-этилдиизопропиламином в ТГФ получали этиловый эфир (RS)-(4-цианофениламино)-(3-циклобутиламинометил-5-этоксифенил)уксусной кислоты, МС:408 ([М+Н]+).
235.2. Аналогично примеру 6.2 из этилового эфира (RS)-(4-цианофениламино)-(3-циклобутиламинометил-5-этоксифенил)уксусной кислоты, полученного, как описано в примере 235.1, получали этиловый эфир (RS)-(4-карбамимидоилфениламино)-(3-циклобутиламинометил-5-этоксифенил)уксусной кислоты.
Пример 236.
236.1. Аналогично примеру 234.4 из этилового эфира (RS)-(4-цианофениламино)-(3-этокси-5-метансульфонилоксиметилфенил)уксусной кислоты, полученного, как описано в примере 234.3, по реакции с морфолином и N-этилдиизопропиламином в ТГФ получали этиловый эфир (RS)-(4-цианофениламино)-(3-этокси-5-морфолин-4-илметилфенил)уксусной кислоты, МС:424 ([М+Н]+).
236.2. Аналогично примеру 6.2 из этилового эфира (RS)-(4-цианофениламино)-(3-этокси-5-морфолин-4-илметилфенил)уксусной кислоты, полученного, как описано в примере 236.1, получали гидрохлорид этилового эфира (RS)-(4-карбамимидоилфениламино)-(3-этокси-5-морфолин-4-илметилфенпил)уксусной кислоты, МС:441 ([М+Н]+).
Пример 237.
237.1. Аналогично примеру 234.4 из этилового эфира (RS)-(4-цианофениламино)-(3-этокси-5-метансульфонилоксиметилфенил)уксусной кислоты, полученного, как описано в примере 234.3, по реакции с изопропиламином и N-этилдиизопропиламином в ТГФ получали этиловый эфир (RS)-(4-цианофениламино)-[3-этокси-5-(изопропиламинометил)фенил]уксусной кислоты, МС:396 ([М+Н]+).
237.2. Аналогично примеру 6.2 из этилового эфира (RS)-(4-цианофениламино)-[3-этокси-5-(изопропиламинометил)фенил] уксусной кислоты, полученного, как описано в примере 237.1, получали гидрохлорид этилового эфира (RS)-(4-карбамимидоилфениламино)-[3-этокси-5-(изопропиламинометил)фенил] уксусной кислоты (1:1), МС:413 ([М+Н]+).
Пример 238.
238.1. Аналогично примеру 234.4 из этилового эфира (RS)-(4-цианофениламино)-(3-этокси-5-метансульфонилоксиметилфенил)уксусной кислоты, полученного, как описано в примере 234.3, по реакции с 2-аминопиридином и N-этилдиизопропиламином в ТГФ получали этиловый эфир (RS)-(4-цианофениламино)-[3-этокси-5-(пиридин-2-иламинометил)фенил]уксусной кислоты, МС:431 ([М+Н]+).
238.2. Аналогично примеру 6.2 из этилового эфира (RS)-(4-цианофениламино)-[3-этокси-5-(пиридин-2-иламинометил)фенил] уксусной кислоты, полученного, как описано в примере 238.1, получали гидрохлорид этилового эфира (RS)-(4-карбамимидоилфениламино)-[3-этокси-5-(пиридин-2-иламинометил)фенил] уксусной кислоты (1:1).
Пример 239.
239.1. Аналогично примеру 234.4 из этилового эфира (RS)-(4-цианофениламино)-(3-этокси-5-метансульфонилоксиметилфенил)уксусной кислоты, полученного, как описано в примере 234.3, по реакции с имидазолом и N-этилдиизопропиламином в ТГФ получали этиловый эфир (RS)-(4-цианофениламино)-(3-этокси-5-имидазол-1-илметилфенил)уксусной кислоты, МС:405 ([М+Н]+).
239.2. Аналогично примеру 6.2 из этилового эфира (RS)-(4-цианофениламино)-(3-этокси-5-имидазол-1-илметилфенил)уксусной кислоты, полученного, как описано в примере 239.1, получали гидрохлорид этилового эфира (RS)-(4-карбамимидоилфениламино)-(3-этокси-5-имидазол-1-илметилфенил)уксусной кислоты (1: 1), МС:422 ([М+Н]+).
Пример 240.
240.1. Аналогично примеру 234.4 из этилового эфира (RS)-(4-цианофениламино)-(3-этокси-5-метансульфонилоксиметилфенил)уксусной кислоты, полученного, как описано в примере 234.3, по реакции с N-(2-метоксиэтил)метиламином и N-этилдиизопропиламином в ТГФ получали этиловый эфир (RS)-(4-цианофениламино)-(3-этокси-5-{[(2-метоксиэтил)метиламино]метилфенил)уксусной кислоты, МС:426 ([М+Н]+).
240.2. Аналогично примеру 6.2 из этилового эфира (RS)-(4-цианофениламино)-(3-этокси-5-{ [(2-метоксиэтил)метиламино]метил}фенил)уксусной кислоты, полученного, как описано в примере 240.1, получали гидрохлорид этилового эфира (RS)-(4-карбамимидоилфениламино)-(3-этокси-5-{[(2-метоксиэтил)метиламино]метил}фенил)уксусной кислоты (1:1), МС:443 ([М+Н]+).
Пример 241.
241.1. Аналогично примеру 234.4 из этилового эфира (RS)-(4-цианофениламино)-(3-этокси-5-метансульфонилоксиметилфенил)уксусной кислоты, полученного, как описано в примере 234.3, по реакции с диэтиламином и N-этилдиизопропиламином в ТГФ получали этиловый эфир (RS)-(4-цианофениламино)-(3-диэтиламинометил-5-этоксифенил)уксусной кислоты, МС:410 ([M+H]+).
241.2. Аналогично примеру 6.2 из этилового эфира (RS)-(4-цианофениламино)-(3-диэтиламинометил-5-этоксифенил)уксусной кислоты, полученного, как описано в примере 241.1, получали ацетат (гидрохлорид) этилового эфира (RS)-(4-карбамимидоилфениламино)-(3-диэтиламинометил-5-этоксифенил)уксусной кислоты (1:1), МС:428 ([М+Н]+).
Пример 242.
242.1. Аналогично примеру 234.4 из этилового эфира (RS)-(4-цианофениламино)-(3-этокси-5-метансульфонилоксиметилфенил)уксусной кислоты, полученного, как описано в примере 234.3, по реакции с N-метилпиперазином и N-этилдиизопропиламином в ТГФ получали этиловый эфир (RS)-(4-цианофениламино)-[3-этокси-5-(4-метилпиперазин-1-илметил)фенил] уксусной кислоты, МС:437 ([М+Н]+).
242.2. Аналогично примеру 6.2 из этилового эфира (RS)-(4-цианофениламино)-[3-этокси-5-(4-метилпиперазин-1-илметил)фенил] уксусной кислоты, полученного, как описано в примере 242.1, получали гидрохлорид этилового эфира (RS)-(4-карбамимидоилфениламино)-[3-этокси-5-(4-метилпиперазин-1-илметил)фенил]уксусной кислоты (1:1), МС:455 ([М+Н]+).
Пример 243.
243.1. Аналогично примеру 234.4 из этилового эфира (RS)-(4-цианофениламино)-(3-этокси-5-метансульфонилоксиметилфенил)уксусной кислоты, полученного, как описано в примере 234.3, по реакции с циклопентиламином и N-этилдиизопропиламином в ТГФ получали этиловый эфир (RS)-(4-цианофениламино)-(3-циклопентиламинометил-5-этоксифенил]уксусной кислоты, МС:422 ([М+Н]+).
243.2. Аналогично примеру 6.2 из этилового эфира (RS)-(4-цианофениламино)-(3-циклопентиламинометил-5-этоксифенил)уксусной кислоты, полученного, как описано в примере 243.1, получали гидрохлорид этилового эфира (RS)-(4-карбамимидоилфениламино)-(3-циклопентиламинометил-5-этоксифенил)уксусной кислоты (1:1), МС:439 ([М+Н]+).
Пример 244.
244.1. Аналогично примеру 75.4 из этилового эфира (RS)-(4-цианофениламино)-(3-этокси-5-гидроксиметилфенил)уксусной кислоты, полученного, как описано в примере 234.2, по реакции с ДМСО, оксалилхлоридом и триэтиламином получали этиловый эфир (RS)-(4-цианофениламино)-(3-этокси-5-формилфенил)уксусной кислоты, МС:352 ([М]+).
244.2. Раствор 2,3-дихлор-5,6-дициано-1,4-бензохинона в ацетонитриле (1,5 мл) очень медленно (в течение 2 ч) по каплям добавляли к раствору этилового эфира (RS)-(4-цианофениламино)-(3-этокси-5-формилфенил)уксусной кислоты (460 мг, 1,305 ммоля), полученного, как описано в примере 244.1, и 1,2-фенилендиамина в ацетонитриле (2 мл). Реакционную смесь перемешивали при комнатной температуре в течение 4 ч. Затем добавляли смесь вода/насыщенный раствор Nа2СО3 (1: 1) и экстрагировали СН2Сl2. Органическую фазу промывали Н2О, сушили, фильтровали и концентрировали. Остаток очищали хроматографией (SiO2, гексан/AcOEt 3: 2). При этом получали 173 мг (30%) этилового эфира (RS)-[3-(1H-бензимидазол-2-ил)-5-этоксифенил] -(4-цианофениламино)уксусной кислоты в виде бесцветного твердого вещества, МС:441 ([М+Н]+).
244.3. Аналогично примеру 6.2 из этилового эфира (RS)-[3-(1H-бензоимидазол-2-ил)-5-этоксифенил]-(4-цианофениламино)уксусной кислоты, полученного, как описано в примере 244.2, получали гидрохлорид этилового эфира (RS)-[3-(1H-бензоимидазол-2-ил)-5-этоксифенил] -(4-карбамимидоилфениламино)уксусной кислоты (1:1), МС:458 ([М+Н]+).
Пример 245.
245.1. К суспензии этилового эфира (RS)-(4-циaнoфeнилaминo)-(3-этокси-5-формилфенил)уксусной кислоты (406 мг, 1,15 ммоля), полученного, как описано в примере 244.1, в EtOH (1 мл) при -10oС сначала добавляли 2 М NH3 в EtOH (2,9 мл, 5,75 ммоля) и затем 8,8 М глиоксаль в Н2О (0,32 мл, 2,79 ммоля). Смесь перемешивали при комнатной температуре в течение 1 ч. Затем добавляли дополнительные количества 2 М NH3 в EtOH (2,9 мл, 5,75 ммоля) и 8,8 М глиоксаля в Н2О (0,32 мл, 2,79 ммоля), смесь перемешивали при комнатной температуре в течение 2 ч, добавляли воду и экстрагировали AcOEt. Органическую фазу сушили, фильтровали и концентрировали. Остаток очищали хроматографией (SiO2, гексан/AcOEt 1:1). При этом получали 179 мг (40%) этилового эфира (RS)-(4-цианофениламино)-[3-этокси-5-(1Н-имидазол-2-ил)фенил]уксусной кислоты в виде бесцветного твердого вещества, МС:391 ([М+Н]+).
245.2. Аналогично примеру 6.2 из этилового эфира (RS)-(4-цианофениламино)-[3-этокси-5-(1Н-имидазол-2-ил)фенил]уксусной кислоты, полученного, как описано в примере 245.1, получали гидрохлорид этилового эфира (RS)-(4-карбамимидоилфениламино)-[3-этокси-5-(1Н-имидазол-2-ил)фенил]уксусной кислоты (1: 1), МС:408 ([М+Н]+).
Пример 246.
246.1. Аналогично примеру 198.2 из 5-этоксибензол-1,3-дикарбальдегида по реакции с бромидом метилтрифенилфосфония получали 3-этокси-5-винилбензальдегид.
246.2. Аналогично примеру 1.1 из 3-этокси-5-винилбензальдегида, полученного, как описано в примере 246.1, по реакции с 4-аминобензонитрилом и бензилизонитрилом в EtOH получали этиловый эфир (RS)-(4-цианофениламино)-(3-этокси-5-винилфенил)уксусной кислоты, МС:350 ([М]+).
246.3. К раствору этилового эфира (RS)-(4-цианофениламино)-(3-этокси-5-винилфенил)уксусной кислоты (300 мг, 0,856 ммоля), полученного, как описано в примере 246.2, и ди-трет-бутилдикарбоната (280 мг, 1,28 ммоля) в ацетонитриле (6 мл) при 0oС добавляли 4-диметиламинопиридин (11 мг, 0,085 ммоля), а затем медленно добавляли нитроэтан (66 мг, 0,856 ммоля). Смесь перемешивали при комнатной температуре в течение 22 ч. Затем добавляли дополнительные количества ди-трет-бутилдикарбоната (224 мг, 1,03 ммоля) и нитроэтана (33 мг, 0,43 ммоля) и смесь перемешивали при комнатной температуре в течение ночи. Затем добавляли дополнительное количество 4-диметиламинопиридина (11 мг, 0,085 ммоля) и смесь перемешивали при комнатной температуре в течение 6 ч. Реакционную смесь концентрировали, остаток очищали хроматографией (SiO2, гексан/AcOEt 2_1=>AcOEt). При этом получали 200 мг (46%) смеси этиловых эфиров (RS)- и (SR)-[трет-бутоксикарбонил-(4-цианофенил)амино]-[3-этокси-5-[(RS)-3-метил-4,5-дигидроизоксазол-5-ил] фенил]уксусных кислот в виде пены желтоватого цвета, MC:508 ([М+Н]+).
246.4. Аналогично примеру 6.2 из смеси этиловых эфиров (RS)- и (SR)-[трет-бутоксикарбонил-(4-цианофенил)амино] -[3-этокси-5-[(RS)-3-метил-4,5-дигидроизоксазол-5-ил] фенил]уксусных кислот, полученных, как описано в примере 246.3, получали смесь гидрохлоридов этиловых эфиров (RS)- и (SR)-(4-карбамимидоилфениламино)-[3-этокси-5-[(RS)-3-метил-4,5-дигидроизоксазол-5-ил]фенил]уксусных кислот (1:1), МС:425 ([М+Н]+).
Пример 247.
247.1. Раствор этилового эфира (RS)-(4-цианофениламино)-(3-этокси-5-винилфенил)уксусной кислоты (300 мг, 0,856 ммоля), полученного, как описано в примере 236.2, в ацетонитриле (2 мл) медленно по каплям при -30oС добавляли к раствору нитрозилтетрафторбората (112 мг, 0,942 ммоля) в ацетонитриле (3 мл). Смесь перемешивали при oС в течение 2 ч и при комнатной температуре в течение 1,5 ч. Реакционную смесь концентрировали, остаток очищали хроматографией (SiO2, CH2Cl2=>CH2Cl2/MeOH 4:1). При этом получали 135 мг (38%) этилового эфира (RS)-(4-цианофениламино)-[3-этокси-5-(3-гидрокси-2-метил-3Н-имидазол-4-ил)фенил] уксусной кислоты в виде пены желтоватого цвета, МС: 421 ([М+Н]+).
247.2. Аналогично примеру 6.2 из этилового эфира (RS)-(4-цианофениламино)-[3-этокси-5-(3-тидрокси-2-метил-3Н-имидазол-4-ил)фенил] уксусной кислоты, полученного, как описано в примере 247.1, получали гидрохлорид этилового эфира (RS)-(4-карбамимидоилфениламино)-[3-этокси-5-(3-гидрокси-2-метил-3Н-имидазол-4-ил)фенил]уксусной кислоты (1:1), МС:438 ([М+Н]+).
Пример 248.
248.1. 20%-ный раствор TiCl3 в Н2О добавляли по каплям при 0oС к раствору этилового эфира (RS)-(4-цианофениламино)-[3-этокси-5-(3-гидрокси-2-метил-3Н-имидазол-4-ил)фенил] уксусной кислоты (355 мг, 0,844 ммоля), полученного, как описано в примере 247.1, в метаноле (4,2 мл). Смесь перемешивали при комнатной температуре в течение 3 ч, а затем выливали в раствор NаНСО3/ледяная вода и экстрагировали CH2Cl2. Органическую фазу сушили, фильтровали и концентрировали. Остаток очищали хроматографией (SiO2, CH2Cl2= >CH2Cl2/MeOH 95:5). При этом получали 50 мг (75%) этилового эфира (RS)-(4-цианофениламино)-[3-этокси-5-(2-метил-3Н-имидазол-4-ил)фенил] уксусной кислоты в виде твердого вещества желтоватого цвета, МС:405 ([М+Н]+).
248.2. Аналогично примеру 6.2 из этилового эфира (RS)-(4-цианофениламино)-[3-этокси-5-(2-метил-3Н-имидазол-4-ил)фенил] уксусной кислоты, полученного, как описано в примере 248.1, получали гидрохлорид этилового эфира (RS)-(4-карбамимидоилфениламино)-[3-этокси-5-(2-метил-3Н-имидазол-4-ил)фенил] уксусной кислоты (1:1), МС:422 ([М+Н]+).
Пример 249.
249. а. Аналогично примеру 75 из гидрохлорида этилового эфира (RS)-(4-карбамимидоилфениламино)-(3-метокси-5-метилфенил)уксусной кислоты (1: 1), полученного, как описано в примере 190.3, получали (RS)-(4-карбамимидоилфениламино)-(3-метокси-5-метилфенил)уксусную кислоту, МС:314 ([М+Н]+).
249. б. Аналогично примеру 70 из гидрохлорида этилового эфира (RS)-(4-карбамимидоилфениламино)-(3-изопропокси-5-метилфенил)уксусной кислоты (1:1), полученного, как описано в примере 181.3, получали (RS)-(4-карбамимидоилфениламино)-(3-изопропокси-5-метилфенил)уксусную кислоту, МС:342 ([M+H]+).
249. в. Аналогично примеру 75 из гидрохлорида этилового эфира (RS)-(4-карбамимидоилфениламино)-(3-карбамоилметокси-5-метилфенил)уксусной кислоты (1: 1), полученного, как описано в примере 192.2, получали (RS)-(4-карбамимидоилфениламино)-(3-карбамоилметокси-5-метилфенил)уксусную кислоту, МС:357 ([М+Н]+).
249. г. Аналогично примеру 75 из гидрохлорида этилового эфира (RS)-(4-карбамимидоилфениламино)-(3-этокси-5-метилфенил)уксусной кислоты (1: 1), полученного, как описано в примере 193.2, получали (RS)-(4-карбамимидоилфениламино)-(3-этокси-5-метилфенил)уксусную кислоту, МС:326 ([М-Н]–).
249. д. Аналогично примеру 75 из гидрохлорида этилового эфира (RS)-(4-карбамимидоилфениламино)-[3-метил-5-(2-пирролидин-1-илэтокси)фенил] уксусной кислоты (1:1), полученного, как описано в примере 194.2, получали (RS)-(4-карбамимидоилфениламино)-[3-метил-5-(2-пирролидин-1-илэтокси)фенил] уксусную кислоту, МС:397 ([М+Н]+).
249. е. Аналогично примеру 75 из гидрохлорида этилового эфира (RS)-(4-карбамимидоилфениламино)-(3-циклопентилокси-5-метилфенил)уксусной кислоты (1: 1), полученного, как описано в примере 195.2, получали (RS)-(4-карбамимидоилфениламино)-(3-циклопентилокси-5-метилфенил)уксусную кислоту, MC:368 ([М+Н]+).
249. ж. Аналогично примеру 75 из гидрохлорида этилового эфира (RS)-(4-карбамимидоилфениламино)-[3-метил-5-(1-метилпиперидин-4-илокси)фенил] уксусной кислоты (1: 1), полученного, как указано в примере 196.2, получали (RS)-(4-карбамимидоилфениламино)-[3-метил-5-(1-метилпиперидин-4-илокси)фенил]уксусную кислоту, МС:397 ([М+Н]+).
249. з. Аналогично примеру 75 из смеси гидрохлоридов этиловых эфиров (RS)- и (SR)-(4-карбамимидоилфениламино)-[3-[(1RS,2RS)-2-гидроксициклопентилокси] -5-метилфенил] уксусных кислот (1: 1), полученных, как описано в примере 197.2, получали смесь (RS)- и (SR)-(4-карбамимидоилфениламино)-[3-[(1RS, 2RS)-2-гидроксициклопентилокси] -5-метилфенил]уксусных кислот, МС:382 ([M-H]–).
249. и. Аналогично примеру 75 из гидрохлорида этилового эфира (RS)-(4-карбамимидоилфениламино)-(3-метокси-5-винилфенил)уксусной кислоты (1: 1), полученного, как описано в примере 198.4, получали (RS)-(4-карбамимидоилфениламино)-(3-метокси-5-винилфенил)уксусную кислоту, МС:326 ([М+Н]+).
249. к. Аналогично примеру 75 из гидрохлорида этилового эфира (RS)-(4-карбамимидоилфениламино)-(3-этил-5-метоксифенил)уксусной кислоты (1: 1), полученного, как описано в примере 199.2, получали (RS)-(4-карбамимидоилфениламино)-(3-этил-5-метоксифенил)уксусную кислоту, МС:328 ([М+Н]+).
249. л. Аналогично примеру 75 из гидрохлорида этилового эфира (RS)-(4-карбамимидоилфениламино)-(3-этил-5-изобутоксифенил)уксусной кислоты (1:1), полученного, как описано в примере 200.3, получали (RS)-(4-карбамимидоилфениламино)-(3-этил-5-изобутоксифенил)уксусную кислоту, МС:370 ([М+Н]+).
249. м. Аналогично примеру 70 из гидрохлорида этилового эфира (RS)-(4-карбамимидоилфениламино)-[3-этил-5-(1-метилпиперидин-4-илокси)фенил]уксусной кислоты (1:1), полученного, как описано в примере 201.2, получали (RS)-(4-карбамимидоилфениламино)-[3-этил-5-(1-метилпиперидин-4-илокси)фенил]уксусную кислоту, МС:409 ([М+Н]+).
249. н. Аналогично примеру 75 из гидрохлорида этилового эфира (RS)-(4-карбамимидоилфениламино)-[3-этил-5-(2-пирролидин-1-илэтокси)фенил] уксусной кислоты (1:1), полученного, как описано в примере 202.2, получали (RS)-(4-карбамимидоилфениламино)-[3-этил-5-(2-пирролидин-1-илэтокси)фенил] уксусную кислоту, МС:411 ([М+Н]+).
249. о. Аналогично примеру 70 из гидрохлорида этилового эфира (RS)-(4-карбамимидоилфениламино)-[3-этил-5-(тетрагидропиран-4-илокси)фенил] уксусной кислоты (1:1), полученного, как описано в примере 203.2, получали (RS)-(4-карбамимидоилфениламино)-[3-этил-5-(тетрагидропиран-4-илокси)фенил] уксусную кислоту, МС:398 ([М+Н]+).
249. п. Аналогично примеру 75 из смеси гидрохлоридов этиловых эфиров (RS)- и (SR)-(4-карбамимидоилфениламино)-[3-этил-5-[(RS)-тетрагидрофуран-2-илметокси]фенил]уксусной кислоты (1:1), полученного, как описано в примере 204.2, получали (4-карбамимидоилфениламино)-[3-этил-5-(тетрагидрофуран-2-илметокси)фенил]уксусную кислоту, МС:398 ([М+Н]+).
249.р. Аналогично примеру 70 из гидрохлорида этилового эфира (RS)-(4-карбамимидоилфениламино)-(3-циклопентилокси-5-этилфенил)уксусной кислоты (1: 1), полученного, как описано в примере 205.2, получали (RS)-(4-карбамимидоилфениламино)-(3-циклопентилокси-5-этилфенил)уксусную кислоту, МС: 382 ([М+Н]+).
249. с. Аналогично примеру 75 из гидрохлорида этилового эфира (RS)-(4-карбамимидоилфениламино)-[3-этил-5-(4-гидроксициклогексилокси)фенил]уксусной кислоты (1:1), полученного, как описано в примере 206.2, получали (4-карбамимидоилфениламино)-[3-этил-5-(4-гидроксициклогексилокси)фенил]уксусную кислоту, МС:412 ([М+Н]+).
249. т. Аналогично примеру 70 из гидрохлорида этилового эфира (RS)-(4-карбамимидоилфениламино)-[3-этил-5-(пиперидин-4-илокси)фенил] уксусной кислоты (1:1), полученного, как описано в примере 207.2, получали (RS)-(4-карбамимидоилфениламино)-[3-этил-5-(пиперидин-4-илокси)фенил] уксусную кислоту, МС:397 ([М+Н]+).
249. у. Аналогично примеру 75 из этилового эфира (RS)-(4-карбамимидоилфениламино)-[3-(3-диметиламино-2,2-диметилпропокси)-5-этилфенил] уксусной кислоты, полученного, как описано в примере 208.2, получали (RS)-(4-карбамимидоилфениламино)-[3-(3-диметиламино-2,2-диметилпропокси)-5-этилфенил] уксусную кислоту, МС:427 ([М+Н]+).
249. ф. Аналогично примеру 75 из гидрохлорида этилового эфира (RS)-(4-карбамимидоилфениламино)-[3-этил-5-(1-метансульфонилпиперидин-4-илокси)фенил] уксусной кислоты (1:1), полученного, как описано в примере 209.3, получали (RS)-(4-карбамимидоилфениламино)-[3-этил-5-(1-метансульфонилпиперидин-4-илокси)фенил]уксусную кислоту, МС:475 ([M+H]+).
249. х. Аналогично примеру 75 из гидрохлорида этилового эфира (RS)-(4-карбамимидоилфениламино)-[3-(1-этоксикарбонилметилпиперидин-4-илокси)-5-этилфенил] уксусной кислоты (1:1), полученного, как описано в примере 210.2, получали (RS)-(4-карбамимидоилфениламино)-[3-(1-карбоксиметилпиперидин-4-илокси)-5-этилфенил]уксусную кислоту, МС:455 ([М+Н]+).
249. ц. Аналогично примеру 75 из смеси гидрохлоридов этиловых эфиров (RS)- и (SR)-(4-карбамимидоилфениламино)-[3-этил-5-[(1RS, 2RS)-2-гидроксициклопентилокси] фенил] уксусных кислот (1:1), полученных, как описано в примере 211.2, получали смесь (RS)- и (SR)-(4-карбамимидоилфениламино)-[3-этил-5-[(1RS, 2RS)-2-гидроксициклопентилокси] фенил] уксусных кислот, МС:398 ([М+Н]+).
249. ч. Аналогично примеру 75 из гидрохлорида этилового эфира (RS)-(4-карбамимидоилфениламино)-(3-этил-5-феноксифенил)уксусной кислоты (1: 1), полученного, как описано в примере 212.2, получали (RS)-(4-карбамимидоилфениламино)-(3-этил-5-феноксифенил)уксусную кислоту, МС:390 ([М+Н]+).
249. ш. Аналогично примеру 75 из гидрохлорида этилового эфира (RS)-(4-карбамимидоилфениламино)-[3-этил-5-(пиридин-3-илокси)фенил] уксусной кислоты (1: 1), полученного, как описано в примере 213.2, получали (RS)-(4-карбамимидоилфениламино)-[3-этил-5-(пиридин-3-илокси)фенил]уксусную кислоту, МС:391 ([М+Н]+).
249. щ. Аналогично примеру 75 из гидрохлорида этилового эфира (RS)-(4-карбамимидоилфениламино)-(3-этокси-5-пропилфенил)уксусной кислоты (1: 1), полученного, как описано в примере 214.4, получали (RS)-(4-карбамимидоилфениламино)-(3-метокси-5-пропилфенил)уксусную кислоту, МС:342 ([М+Н]+).
249. аа. Аналогично примеру 75 из гидрохлорида этилового эфира (RS)-(4-карбамимидоилфениламино)-(3-этокси-5-пропилфенил)уксусной кислоты (1: 1), полученного, как описано в примере 215.3, получали (RS)-(4-карбамимидоилфениламино)-(3-этокси-5-пропилфенил)уксусную кислоту, МС:356 ([М+Н]+).
249. аб. Аналогично примеру 75 из гидрохлорида этилового эфира (RS)-(4-карбамимидоилфениламино)-(3-этиламино-5-метилфенил)уксусной кислоты (1:1), полученного, как описано в примере 216.5, получали (RS)-(4-карбамимидоилфениламино)-(3-этиламино-5-метилфенил)уксусную кислоту, МС:327 ([M+H]+).
249. ав. Аналогично примеру 75 из гидрохлорида этилового эфира (RS)-(4-карбамимидоилфениламино)-(3-диэтиламино-5-метилфенил)уксусной кислоты (1:1), полученного, как описано в примере 217.2, получали (RS)-(4-карбамимидоилфениламино)-(3-диэтиламино-5-метилфенил)уксусную кислоту, МС:355 ([М+Н]+).
249. аг. Аналогично примеру 75 из гидрохлорида этилового эфира (RS)-(4-карбамимидоилфениламино)-(3-циклопентиламино-5-метилфенил)уксусной кислоты (1: 1), полученного, как описано в примере 218.2, получали (RS)-(4-карбамимидоилфениламино)-(3-циклопентиламино-5-метилфенил)уксусную кислоту, МС:367 ([М+Н]+).
249. ад. Аналогично примеру 75 из гидрохлорида этилового эфира (RS)-(4-карбамимидоилфениламино)-(3-метил-5-пирролидин-1-илфенил)уксусной кислоты (1: 1), полученного, как описано в примере 219.2, получали (RS)-(4-карбамимидоилфениламино)-(3-метил-5-пирролидин-1-илфенил)уксусную кислоту, МС:353 ([М+Н]+).
249. ае Аналогично примеру 75 из гидрохлорида этилового эфира (RS)-[3-(3-бутилуреидо)-5-метилфенил] -(4-карбамимидоилфениламино)уксусной кислоты (1: 1), полученного, как описано в примере 220.2, получали (RS)-[3-(3-бутилуреидо)-5-метилфенил] -(4-карбамимидоилфениламино)уксусную кислоту, MC:398 ([М+Н]+).
249. аж. Аналогично примеру 75 из смеси гидрохлоридов этиловых эфиров (RS)- и (RS)-(4-цианофениламино)-[3-[(1RS,2RS)-2-гидроксициклопентиламино] -5-метилфенил] уксусных кислот (1: 1), полученных, как описано в примере 221.2, получали (4-карбамимидоилфениламино)-[3-(2-гидроксициклопентиламино)-5-метилфенил]уксусную кислоту, МС:383 ([М+Н]+).
249. аз. Аналогично примеру 75 из гидрохлорида этилового эфира (RS)-(4-карбамимидоилфениламино)-(3-метил-5-{ 1-[3-(пиримидин-2-иламино)пропил] азепан-2-илиденамино} фенил)уксусной кислоты (1:1), полученного, как описано в примере 222.2, получали (RS)-(4-карбамимидоилфениламино)-(3-метил-5-{1-[3-(пиримидин-2-иламино)пропил] азепан-2-илиденамино} фе-нил)уксусную кислоту, МС:529 ([М+Н]+).
249. аи. Аналогично примеру 75 из гидрохлорида этилового эфира (RS)-(4-карбамимидоилфениламино)-(3-этил-5-пирролидин-1-илфенил)уксусной кислоты (1: 1), полученного, как описано в примере 223.6, получали (RS)-(4-карбамимидоилфениламино)-(3-этил-5-пирролидин-1-илфенил)уксусную кислоту, МС: 367 ([М+Н]+).
249. ак. Аналогично примеру 75 из гидрохлорида этилового эфира (RS)-(4-карбамимидоилфениламино)-(3-этил-5-пиперазин-1-илфенил)уксусной кислоты (1: 1), полученного, как описано в примере 224.2, получали (RS)-(RS)-(4-карбамимидоилфениламино) – (3-этил-5-пиперазин-1-илфенил)уксусную кислоту, МC:382 ([М+Н]+).
249. ал. Аналогично примеру 75 из гидрохлорида этилового эфира (RS)-(4-карбамимидоилфениламино)-[3-(циклопентанкарбониламино)-5-этилфенил] уксусной кислоты, полученного, как описано в примере 225.2, получали (RS)-(4-карбамимидоилфениламино)-[3- (циклопентанкарбониламино)-5-этилфенил] уксусную кислоту, MC:409 ([М+Н]+).
249. ам. Аналогично примеру 75 из гидрохлорида этилового эфира (RS)-(4-карбамимидоилфениламино)-(3-бензолсульфониламино-5-этилфенил)уксусной кислоты (1:1), полученного, как описано в примере 226.2, получали (RS)-(3-бензолсульфониламино-5-этилфенил)-(4-карбамимидоилфениламино)уксусную кислоту, МС:453 ([М+Н]+).
249. ан. Аналогично примеру 75 из гидрохлорида этилового эфира (RS)-(4-карбамимидоилфениламино)-(3-бутилсульфамоиламино-5-этилфенил)уксусной кислоты (1:1), полученного, как описано в примере 227.2, получали (RS)-(4-карбамимидоилфениламино)-(3-бутилсульфамоиламино-5-этилфенил)уксусную кислоту, МС:448 ([М+Н]+).
249. ао. Аналогично примеру 75 из гидрохлорида этилового эфира (RS)-(4-карбамимидоилфениламино)-[3-этил-5-(1-метилпиперидин-4-иламино)фенил] уксусной кислоты (1: 1), полученного, как описано в примере 228.2, получали (RS)-(4-карбамимидоилфениламино)-[3-этил-5-(1-метилпиперидин-4-иламино)фенил]уксусную кислоту, МС:410,6 ([М+Н]+).
249. ап. Аналогично примеру 75 из гидрохлорида этилового эфира (RS)-(4-карбамимидоилфениламино)-{ 3-этил-5-[(пиридин-3-илметил)амино]фенил}уксусной кислоты (1:1), полученного, как описано в примере 229.2, получали (RS)-(4-карбамимидоилфениламино)-[3-этил-5-[(пиридин-3-илметил)амино] фенил]уксусную кислоту, МС:404 ([М+Н]+).
249. ар. Аналогично примеру 75 из гидрохлорида этилового эфира (RS)-[3-(бис-пиридин-3-илметиламино)-5-этилфенил] -(4-карбамимидоилфениламино)уксусной кислоты (1:1), полученного, как описано в примере 230.2, получали (RS)-[3-(бис-пиридин-3-илметиламино)-5-этилфенил] -(4-карбамимидоилфениламино)уксусную кислоту, МС:495 ([М+Н]+).
249. ас. Аналогично примеру 75 из гидрохлорида этилового эфира (RS)-(4-карбамимидоилфениламино)-[3-этил-5-(тетрагидропиран-4-иламино)фенил]уксусной кислоты (1:1), полученного, как указано в примере 231.2, получали (RS)-(4-карбамимидоилфениламино)-[3-этил-5-(тетрагидропиран-4-иламино)фенил]уксусную кислоту, МС:397 ([М+Н]+).
249. ат. Аналогично примеру 75 из гидрохлорида этилового эфира (RS)-(4-карбамимидоилфениламино)-[3-этил-5-(тетрагидротиопиран-4-иламино)фенил] уксусной кислоты (1: 1), полученного, как описано в примере 232.2, получали (RS)-(4-карбамимидоилфениламино)-[3-этил-5-(тетрагидротиопиран-4-иламино)фенил]уксусную кислоту, МС:413 ([М+Н]+).
249. aу. Аналогично примеру 75 из гидрохлорида этилового эфира (RS)-(4-карбамимидоилфениламино)-[3-(1,1-диоксогексагидротиопиран-4-иламино)-5-этилфенил] уксусной кислоты (1:1), полученного, как описано в примере 233.2, получали (RS)-(4-карбамимидоилфениламино)-[3-(1,1-диоксогексагидротиопиран-4-иламино)-5-этилфенил]уксусную кислоту, МС:445 ([М+Н]+).
249. аф. Аналогично примеру 75 из гидрохлорида этилового эфира (RS)-(4-карбамимидоилфениламино)-(3-этокси-5-пирролидин-1-илметилфенил)уксусной кислоты (1:1), полученного, как описано в примере 234.5, получали (RS)-(4-карбамимидоилфениламино)-(3-этокси-5-пирролидин-1-илметилфенил)уксусную кислоту, МС:397 ([М+Н]+).
249. ах. Аналогично примеру 75 из гидрохлорида этилового эфира (RS)-(4-карбамимидоилфениламино)-(3-циклобутиламинометил-5-этоксифенил)уксусной кислоты, полученного, как описано в примере 235.2, получали (RS)-(4-карбамимидоилфениламино)-(3-циклобутиламинометил-5-этоксифенил)уксусную кислоту, МС:397 ([М+Н]+).
249. ац. Аналогично примеру 75 из гидрохлорида этилового эфира (RS)-(4-карбамимидоилфениламино)-(3-этокси-5-морфолин-4-илметилфенил)уксусной кислоты, полученного, как описано в примере 236.2, получали (RS)-(4-карбамимидоилфениламино)-(3-этокси-5-морфолин-4-илметилфенил)уксусную кислоту, МС: 413 ([М+Н]+).
249. ач. Аналогично примеру 75 из гидрохлорида этилового эфира (RS)-(4-карбамимидоилфениламино)-[3-этокси-5-(изопропиламинометил)фенил] уксусной кислоты (1:1), полученного, как описано в примере 237.2, получали (RS)-(4-карбамимидоилфениламино)-[3-этокси-5-(изопропиламинометил)фенил] уксусную кислоту, МС:385 ([М+Н]+).
249. аш. Аналогично примеру 75 из гидрохлорида этилового эфира (RS)-(4-карбамимидоилфениламино)-[3-этокси-5-(пиридин-2-иламинометил)фенил] уксусной кислоты (1:1), полученного, как описано в примере 238.2, получали (RS)-(4-карбамимидоилфениламино)-[3-этокси-5-(пиридин-2-иламинометил)фенил] уксусную кислоту, МС:420 ([М+Н]+).
249. ащ. Аналогично примеру 75 из гидрохлорида этилового эфира (RS)-(4-карбамимидоилфениламино)-(3-этокси-5-имидазол-1-илметилфенил)уксусной кислоты (1:1), полученного, как описано в примере 239.2, получали (RS)-(4-карбамимидоилфениламино)-(3-этокси-5-имидазол-1-илметилфенил)уксусную кислоту, МС:394 ([М+Н]+).
249. ба. Аналогично примеру 75 из гидрохлорида этилового эфира (RS)-(4-карбамимидоилфениламино)-(3-этокси-5-{ [(2-метоксиэтил)метиламино] метил}фенил)уксусной кислоты (1: 1), полученного, как описано в примере 240.2, получали (RS)-(4-карбамимидоилфениламино)-(3-этокси-5-{[(2-метоксиэтил)метиламино]метил]фенил)уксусную кислоту, МС:415 ([М+Н]+).
249. бб. Аналогично примеру 75 из гидрохлорида этилового эфира (RS)-(4-карбамимидоилфениламино)-(3-диэтиламинометил-5-этоксифенил)уксусной кислоты (1: 1), полученного, как описано в примере 241.2, получали (RS)-(4-карбамимидоилфениламино)-(3-диэтиламинометил-5-этоксифенил)уксусную кислоту, МС:399 ([М+Н]+).
249. бв. Аналогично примеру 75 из гидрохлорида этилового эфира (RS)-(4-карбамимидоилфениламино)-[3-этокси-5-(4-метилпиперазин-1-илметил)фенил] уксусной кислоты (1: 1), полученного, как описано в примере 242.2, получали (RS)-(4-карбамимидоилфениламино)-[3-этокси-5-(4-метилпиперазин-1-илметил)фенил]уксусную кислоту, МС:426 ([М+Н]+).
249. бг. Аналогично примеру 75 из гидрохлорида этилового эфира (RS)-(4-карбамимидоилфениламино)-(3-циклопентиламинометил-5-этоксифенил)уксусной кислоты (1:1), полученного, как указано в примере 243.2, получали (RS)-(4-карбамимидоилфениламино)-(3-циклопентиламинометил-5-этоксифенил)уксусную кислоту, МС:411 ([М+Н]+).
249. бд. Аналогично примеру 75 из гидрохлорида этилового эфира (RS)-[3-(1Н-бензоимидазол-2-ил)-5-этоксифенил] -(4-карбамимидоилфениламино)уксусной кислоты (1:1), полученного, как описано в примере 244.3, получали (RS)-[3-(1Н-бензоимидазол-2-ил)-5-этоксифенил] -(4-карбамимидоилфениламино)уксусную кислоту, МС:430 ([М+Н]+).
249. бе. Аналогично примеру 75 из гидрохлорида этилового эфира (RS)-(4-карбамимидоилфениламино)-[3-этокси-5-(1Н-имидазол-2-ил)фенил] уксусной кислоты (1:1), полученного, как описано в примере 245.2, получали (RS)-(4-карбамимидоилфениламино)-[3-этокси-5-(1Н-имидазол-2-ил)фенил] уксусную кислоту, МС:380 ([М+Н]+).
249. бж. Аналогично примеру 75 из смеси гидрохлоридов этиловых эфиров (RS)- и (SR)-(4-карбамимидоилфениламино)-[3-этокси-5-[(RS)-3-метил-4,5-дигидроизоксазол-5-ил] фенил] уксусных кислот (1:1), полученных, как описано в примере 246.4, получали смесь (RS)- и (SR)-(4-карбамимидоилфениламино)-[3-этокси-5-[(RS)-3-метил-4,5-дигидроизоксазол-5-ил] фенил]уксусных кислот, МС: 397 ([М+Н]+).
249. бз. Аналогично примеру 75 из гидрохлорида этилового эфира (RS)-(4-карбамимидоилфениламино)-[3-этокси-5-(3-гидрокси-2-метил-3Н-имидазол-4-ил)фенил] уксусной кислоты (1:1), полученного, как описано в примере 247.2, получали (RS)-(4-карбамимидоилфениламино)-[3-этокси-5-(3-гидрокси-2-метил-3Н-имидазол-4-ил)фенил]уксусную кислоту, МС:410 ([М+Н]+).
249. би. Аналогично примеру 75 из гидрохлорида этилового эфира (RS)-(4-карбамимидоилфениламино)-[3-этокси-5-(2-метил-3Н-имидазол-4-ил)фенил] уксусной кислоты (1: 1), полученного, как описано в примере 248.2, получали (RS)-(4-карбамимидоилфениламино)-[3-этокси-5-(2-метил-3Н-имидазол-4-ил)фенил]уксусную кислоту, МС:394 ([М+Н]+).
Пример 250.
250.1. Аналогично примеру 18.1 из метилового эфира (RS)-(4-цианофениламино)-(3-этокси-5-гидроксифенил)уксусной кислоты, полученного, как описано в примере 124.1, по реакции с 4-гидрокси-N-метилпиперидином, диэтилазодикарбоксилатом и трифенилфосфином в ТГФ получали метиловый эфир (RS)-(4-цианофениламино)-[3-этокси-5-(1-метилпиперидин-4-илокси)фенил] уксусной кислоты, МС:424 ([М+Н]+).
250.2. Аналогично примеру 6.2, из метилового эфира (RS)-(4-цианофениламино)-[3-этокси-5-(1-метилпиперидин-4-илокси)фенил] уксусной кислоты, полученного, как описано в примере 250.1, получали гидрохлорид метилового эфира (RS)-(4-карбамимидоилфениламино)-[3-этокси-5-(1-метилпиперидин-4-илокси)фенил]уксусной кислоты (1:1), МС:441 ([М+Н]+).
Пример 251.
251.1. 3,5-Бис-(трет-бутилдиметилсиланилокси)-2-фторбензальдегид получали из 4-фторфенола по методике, описанной в Chem. Pharm. Bull., 38, 2939-2946 (1990).
251.2. Смесь 3,5-бис-(трет-бутилдиметилсиланилокси)-2-фторбензальдегида (3,0 г, 7,8 ммоля), полученного, как описано в примере 251.1, фторида калия (1,81 г, 31,2 ммоля), метилиодида (1,17 мл, 18,7 ммоля) и ДМФ (25 мл) перемешивали при комнатной температуре в течение 2 ч. Затем добавляли воду (25 мл) и смесь экстрагировали диэтиловым эфиром. Органическую фазу промывали водой, сушили, фильтровали и концентрировали. Остаток очищали хроматографией (SiO2, циклогексан/AcOEt 18: 1= >1: 1). При этом получали 0,87 г (60%) 2-фтор-3,5-диметоксибензальдегида в виде бесцветного твердого вещества.
251.3. Аналогично примеру 1.1 из 2-фтор-3,5-диметоксибензальдегида, полученного, как описано в примере 251.2, по реакции с 4-аминобензонитрилом и бензилизонитрилом в EtOH получали этиловый эфир (RS)-(4-цианофениламино)-(2-фтор-3,5-диметоксифенил)уксусной кислоты, МС:358 ([М]+).
251.4. Аналогично примеру 6.2 из этилового эфира (RS)-(4-цианофениламино)-(2-фтор-3,5-диметоксифенил)уксусной кислоты, полученного, как описано в примере 251.3, получали гидрохлорид этилового эфира (RS)-(4-карбамимидоилфениламино)-(2-фтор-3,5-диметоксифенил)уксусной кислоты (1: 1), МС: 376 ([М+Н]+).
Пример 252.
252.1. Аналогично примеру 251.2 из 3,5-бис-(трет-бутилдиметилсиланилокси)-2-фторбензальдегида, полученного, как описано в примере 251.1, по реакции с фторидом калия и этилиодидом в ДМФ получали 3,5-диэтокси-2-фторбензальдегид.
252.2. Аналогично примеру 1.1 из 3,5-диэтокси-2-фторбензальдегида, полученного, как описано в примере 252.1, по реакции с 4-аминобензонитрилом и бензилизонитрилом в EtOH получали этиловый эфир (RS)-(4-цианофениламино)-(3,5-диэтокси-2-фторфенил)уксусной кислоты, МС:386 ([М]+).
252.3. Аналогично примеру 6.2 из этилового эфира (RS)-(4-цианофениламино)-(3,5-диэтокси-2-фторфенил)уксусной кислоты, полученного, как описано в примере 252.2, получали гидрохлорид этилового эфира (RS)-(4-карбамимидоилфениламино)-(3,5-диэтокси-2-фторфенил)уксусной кислоты (1:1), МС:404 ([М+Н] +).
Пример 253.
253. а. Аналогично примеру 75 из гидрохлорида этилового эфира (RS)-(4-карбамимидоилфениламино)-[3-этокси-5-(1-метилпиперидин-4-илокси)фенил] уксусной кислоты (1: 1), полученного, как описано в примере 252.3, получали (RS)-(4-карбамимидоилфениламино)-[3-этокси-5-(1-метилпиперидин-4-илокси)фенил]уксусную кислоту, МС:427 ([М+Н]+).
253. б. Аналогично примеру 70 из гидрохлорида этилового эфира (RS)-(4-карбамимидоилфениламино)-(2-фтор-3,5-диметоксифенил)уксусной кислоты (1:1), полученного, как описано в примере 251.4, получали (RS)-(4-карбамимидоилфениламино)-(2-фтор-3,5-диметоксифенил)уксусную кислоту, МС:348 ([М+Н]+).
253. в. Аналогично примеру 70 из гидрохлорида этилового эфира (RS)-(4-карбамимидоилфениламино)-(3,5-диэтокси-2-фторфенил)уксусной кислоты (1:1), полученного, как описано в примере 252.3, получали (RS)-(4-кapбaмимидоилфениламино)-(3,5-диэтокси-2-фторфенил)уксусную кислоту, МС:376 ([M+H]+).
Пример 254.
254.1. Аналогично примеру 64.1 из 4-гидрокси-5-изопропил-2-метилбензальдегида (полученного формилированием тимола ТiCl4/дихлорметилметиловым эфиром, как описано в Chem. Z., 114, 144 (1990), по реакции с изопропилиодидом и К2СО3 в ДМФ получали 4-изопропокси-5-изопропил-2-метилбензальдегид.
254.2. Аналогично примеру 1.1 из 4-изопропокси-5-изопропил-2-метилбензальдегида, полученного, как описано в примере 253.1, по реакции с 4-аминобензонитрилом и бензилизонитрилом в EtOH, получали этиловый эфир (RS)-(4-цианофениламино)-(4-изопропокси-5-изопропил-2-метилфенил)уксусной кислоты, МС: 394 ([М]+).
254.3. Аналогично примеру 6.2 из этилового эфира (RS)-(4-цианофениламино)-(4-изопропокси-5-изопропил-2-метилфенил)уксусной кислоты, полученного, как описано в примере 253.2, получали гидрохлорид этилового эфира (RS)-(4-карбамимидоилфениламино)-(4-изопропокси-5-изопропил-2-метилфенил)уксусной кислоты (1:1).
Пример 255.
255.1. Этиловый эфир (RS)-(4-цианофениламино)-(4-изопропокси-5-изопропил-2-метилфенил)уксусной кислоты (921 мг, 2,34 ммоля), полученный, как описано в примере 254.2, растворяли с CH2Cl2 и охлаждали до -78oС. Затем медленно по каплям добавляли 1 М раствор ВВr3 в CH2Cl2 (9,4 мл, 9,4 ммоля). Через 15 мин реакционную смесь нагревали до 0oС и перемешивали при 0oС в течение 1,5 ч. Затем добавляли ледяную воду (30 мл) и смесь перемешивали при 0oС в течение 10 мин. Органическую фазу отделяли, водную фазу экстрагировали CH2Cl2. Органическую фазу сушили, фильтровали и концентрировали. Неочищенный продукт растворяли в ацетоне, добавляли Сs2СО3 (918 мг, 2,76 ммоля) и иодацетамид (447 мг, 2,41 ммоля), смесь перемешивали при комнатной температуре в течение 6 ч. Затем добавляли разбавленный водный раствор KHSO4 и смесь экстрагировали СН2Сl2. Органическую фазу сушили, фильтровали и концентрировали, остаток очищали хроматографией (SiO2, гексан/AcOEt 1_1=>1:2). При этом получали 704 мг (73%) этилового эфира (RS)-(4-цианофениламино)-(4-карбамоилметокси-5-изопропил-2-метилфенил)уксусной кислоты в виде бесцветной пены.
255.2. Аналогично примеру 6.2 из этилового эфира (RS)-(4-цианофениламино)-(4-карбамоилметокси-5-изопропил-2-метилфенил)уксусной кислоты, полученного, как описано в примере 255.1, получали гидрохлорид этилового эфира (RS)-(4-карбамимидоилфениламино)-(4-карбамоилметокси-5-изопропил-2-метилфенил)уксусной кислоты (1:1), МС:427 ([М+Н]+).
Пример 256.
256. а. Аналогично примеру 75 из гидрохлорида этилового эфира (RS)-(4-карбамимидоилфениламино)-(4-изопропокси-5-изопропил-2-метилфенил)уксусной кислоты (1:1), полученного, как описано в примере 254.3, получали (RS)-(4-карбамимидоилфениламино)-(4-изопропокси-5-изопропил-2-метилфенил)уксусную кислоту, МС:384 ([М+Н]+).
256. б. Аналогично примеру 75 из гидрохлорида этилового эфира (RS)-(4-карбамимидоилфениламино)-(4-карбамоилметокси-5-изопропил-2-метилфенил)уксусной кислоты (1:1), полученного, как описано в примере 255.2, получали (RS)-(4-карбамимидоилфениламино)-(4-карбамоилметокси-5-изопропил-2-метилфенил)уксусную кислоту, МС:399 ([М+Н]+).
Пример 257.
257.1. Аналогично примеру 1.1 пиперональ вводили в реакцию с 4-аминобензонитрилом и бензилизонитрилом, заменяя метанол на этанол. При этом получали этиловый эфир (RS)-бензо[1,3]диоксол-5-ил-(4-цианофениламино)уксусной кислоты, MC(ISP) m/z 325 (М+Н)+, 347 (М+Na)+.
257.2. Аналогично примеру 1.2 этиловый эфир (RS)-бензо[1,3]диоксол-5-ил-(4-цианофениламино)уксусной кислоты гидролизовали в присутствии гидроксида лития с получением (RS)-бензо[1,3]диоксол-5-ил-(4-цианофениламино)уксусной кислоты, MC(ISP) m/z 297 (М+Н)+, 314 (M+NH4)+.
257.3. Аналогично примеру 1.3 из (RS)-бензо[1,3]диоксол-5-ил-(4-цианофениламино)уксусной кислоты по реакции с гидрохлоридом гидроксиламина и триэтиламином получали (Е)- и/или (Z)-(RS)-бензо[1,3]диоксол-5-ил-[4-(N-гидроксикарбамимидоил)фениламино]уксусную кислоту, MC(ISP) m/z 330 (М+Н)+.
Пример 258.
Аналогично примеру 3 (Е)- и/или (Z)-(RS)-бензо[1,3]диоксол-5-ил-[4-(N-гидроксикарбамимидоил)фениламино] уксусную кислоту (см. пример 257.3) гидрировали над никелем Ренея с получением (RS)-бензо[1,3]диоксол-5-ил-(4-карбамимидоилфениламино)уксусной кислоты, MC(ISP) m/z 314 (M+H)+.
Пример 259.
259.1. Аналогично примеру 1.1 3-фтор-пара-анисовый альдегид вводили в реакцию с 4-аминобензонитрилом и бензилизонитрилом, заменяя метанол на этанол. При этом получали этиловый эфир (RS)-(4-цианофениламино)-(3-фтор-4-метоксифенил)уксусной кислоты, МС (EI) m/z 328 М+.
259.2. Аналогично примеру 1.2 этиловый эфир (RS)-(4-цианофениламино)-(3-фтор-4-метоксифенил)уксусной кислоты гидролизовали в присутствии гидроксида лития с получением (RS)-(4-цианофениламино)-(3-фтор-4-метоксифенил)уксусной кислоты, MC(ISP) m/z 300 (М+Н)+, 318 (M+NH4)+.
259.3. Аналогично примеру 1.3 из (RS)-(4-цианофениламино)-(3-фтор-4-метоксифенил)уксусной кислоты по реакции с гидрохлоридом гидроксиламина и триэтиламином получали (Е)- и/или (Z)-(RS)-(3-фтор-4-метоксифенил)-[4-(N-гидроксикарбамимидоил)фениламино]уксусную кислоту, MC(ISP) m/z 334 (M+H)+.
Пример 260.
Аналогично примеру 3 (Е)- и/или (Z)-(RS)-(3-фтор-4-метоксифенил)-[4-(N-гидроксикарбамимидоил)фениламино] уксусную кислоту (см. пример 259.3) гидрировали над никелем Ренея с получением (RS)-(4-кapбaмимидоилфениламино)-(3-фтор-4-метоксифенил)уксусной кислоты, MC(ISP) m/z 318 (М+Н)+.
Пример 261.
261.1. Аналогично примеру 1.1 1,4-бензодиоксан-6-карбоксальдегид вводили в реакцию с 4-аминобензонитрилом и бензилизонитрилом, заменяя метанол на этанол. При этом получали этиловый эфир (RS)-(4-цианофениламино)-(2,3-дигидробензо[1,4] диоксин-6-ил)уксусной кислоты, MC(ISP) m/z 339 (M+H)+, 361 (M+Na)+.
261.2. Аналогично примеру 1.2 этиловый эфир (RS)-(4-цианофениламино)-(2,3-дигидробензо[1,4] диоксин-6-ил)уксусной кислоты гидролизовали в присутствии гидроксида лития с получением (RS)-(4-цианофениламино)-(2,3-дигидробензо[1,4]диоксин-6-ил)уксусной кислоты, MC(ISN) m/z 3309 (М-Н)–.
261.3. Аналогично примеру 1.3 из (RS)-(4-цианофениламино)-(2,3-дигидробензо[1,4] диоксин-6-ил)уксусной кислоты по реакции с гидрохлоридом гидроксиламина и триэтиламином получали (RS)-(2,3-дигидробензо[1,4]диоксин-6-ил)-[4-(N-гидроксикарбамимидоил)фениламино] уксусную кислоту, MC(ISP) m/z 344 (М+Н)+.
Пример 262.
Аналогично примеру 3 (RS)-(2,3-дигидробензо[1,4]диоксин-6-ил)-[4-(N-гидроксикарбамимидоил)фенил] уксусную кислоту (см. пример 261.3) гидрировали над никелем Ренея с получением (RS)-(4-карбамимидоилфениламино)-(2,3-дигидробензо[1,4]диоксин-6-ил)уксусной кислоты, MC(ISP) m/z 328 (M+H)+.
Пример 263.
Аналогично примеру 1.1 3-гидроксиметил-4-изопропоксибензальдегид вводили в реакцию с 4-аминобензонитрилом и толуол-4-сульфонилметилизоцианидом, заменяя метанол на этанол. При этом получали этиловый эфир (RS)-[4-(N-гидроксикарбамимидоил)фениламино] -(3-гидроксиметил-4-изопропоксифенил)уксусной кислоты, МС (ISP) m/z 402 (М+Н)+.
Пример 264.
Аналогично примеру 3 этиловый эфир (RS)-[4-(N-гидроксикарбамимидоил)фениламино] -(3-гидроксиметил-4-изопропоксифенил)уксусной кислоты (см. пример 263) гидрировали над никелем Ренея с получением этилового эфира (RS)-(4-карбамимидоилфениламино)-(3-гидроксиметил-4-изопропоксифенил)уксусной кислоты, MC(ISP) m/z 386 (М+Н)+.
Пример 265.
Аналогично примеру 75 этиловый эфир (RS)-(4-карбамимидоилфениламино)-(3-гидроксиметил-4-изопропоксифенил)уксусной кислоты (см. пример 264) гидролизовали в присутствии гидроксида лития с получением (RS)-(4-карбамимидоилфениламино)-(3-гидроксиметил-4-изопропоксифенил)уксусной кислоты. Продукт кристаллизовали из воды, MC(ISP) m/z 358 (М+Н)+, 375 (M+NH4)+.
Пример 266.
266.1. Аналогично примеру 1.1 4-изопропокси-3-метоксиметилбензальдегид вводили в реакцию с 4-аминобензонитрилом и толуол-4-сульфонилметилизоцианидом, заменяя метанол на этанол. При этом получали этиловый эфир (RS)-(4-цианофениламино)-(4-изопропокси-3-метоксиметилфенил)уксусной кислоты, MC(ISP) m/z 405 (M+Na)+.
266.2. Аналогично примеру 6.2 из этилового эфира (RS)-(4-цианофениламино)-(4-изопропокси-3-метоксиметилфенил)уксусной кислоты по реакции Пиннера получали гидрохлорид этилового эфира (RS)-(4-карба-мимидоилфениламино)-(4-изопропокси-3-метоксиметилфенил)уксусной кислоты (1: 1), MC(ISP) m/z 400 (М+Н)+.
Пример 267.
Аналогично примеру 75 гидрохлорид этилового эфира (RS)-(4-карбамимидоилфениламино)-(4-изопропокси-3-метоксиметилфенил)уксусной кислоты (1:1) (см. пример 266.2) гидролизовали в присутствии гидроксида лития с получением (RS)-(4-карбамимидоилфениламино)-(4-изопропокси-3-метоксиметилфенил)уксусной кислоты. Продукт кристаллизовали из воды, MC(ISP) m/z 372 (М+Н)+.
Пример 268.
268.1. Аналогично примеру 1.1 3,4-дихлорбензальдегид вводили в реакцию с 4-аминобензонитрилом и бензилизонитрилом, заменяя метанол на этанол. При этом получали этиловый эфир (RS)-(4-цианофениламино)-(3,4-дихлорфенил)уксусной кислоты, MC(ISP) m/z 349,3 (М+Н)+, 366,1 (M+NH4)+.
268.2. Аналогично примеру 6.2 из этилового эфира (RS)-(4-цианофениламино)-(3,4-дихлорфенил)уксусной кислоты по реакции Пиннера получали этиловый эфир (RS)-(4-карбамимидоилфениламино)-(3,4-дихлорфенил)уксусной кислоты, MC(ISP) m/z 366,2 (М+Н)+.
Пример 269.
Аналогично примеру 75 этиловый эфир (RS)-(4-карбамимидоилфениламино)-(3,4-дихлорфенил)уксусной кислоты (см. пример 268.2) гидролизовали в присутствии гидроксида лития с получением (RS)-(4-карбамимидоилфениламино)-(3,4-дихлорфенил)уксусной кислоты, МС (ISP) m/z 338,1 (M+H)+.
Пример 270.
270.1. Аналогично примеру 1.1 из этилового эфира (2-формил-4-трифторметоксифенокси)уксусной кислоты по реакции с 4-аминобензонитрилом и бензилизонитрилом, заменяя метанол на этанол, получали этиловый эфир (RS)-(4-цианофениламино)-(2-этоксикарбонилметокси-5-трифторметоксифенил)уксусной кислоты, MC(ISP) m/z 467 (М+Н)+, 489 (M+Na)+.
270.2. Аналогично примеру 1.2 этиловый эфир (RS)-(4-цианофениламино)-(2-этоксикарбонилметокси-5-трифторметоксифенил)уксусной кислоты гидролизовали в присутствии гидроксида лития с получением (RS)-(2-карбоксиметокси-5-трифторметоксифенил)-(4-цианофениламино)уксусной кислоты, MC(ISP) m/z 411 (М+Н)+, 433 (М+Na)+.
270.3. Аналогично примеру 1.3 из этилового эфира (RS)-(2-карбоксиметокси-5-трифторметоксифенил)-(4-цианофениламино)уксусной кислоты по реакции с гидрохлоридом гидроксиламина и триэтиламином получали (Е)- и/или (Z)-(RS)-(2-карбоксиметокси-5-трифторметоксифенил)-[4-(N-гидроксикарбамимидоил)фениламино]уксусную кислоту, MC(ISP) m/z 444 (М+Н)+, 466 (M+Na)+.
Пример 271.
Аналогично примеру 3 (Е)- и/или (Z)-(RS)-(2-карбоксиметокси-5-трифторметоксифенил)-[4-(N-гидроксикарбамимидоил)фениламино] уксусную кислоту (см. пример 270.3) гидрировали над никелем Ренея с получением (RS)-(4-карбамимидоилфениламино)-(2-карбоксиметокси-5-трифторметоксифенил)уксусной кислоты, MC(ISP) m/z 428 (М+Н)+.
Пример 272.
272.1. Аналогично примеру 12.1 из 5-хлорсалицилового альдегида по реакции с бромэтанолом получали 5-хлор-2-(2-гидроксиэтокси)бензальдегид, МС(ЕI) m/z 200 М+.
272.2. Аналогично примеру 1.1 из 5-хлор-2-(2-гидроксиэтокси)бензальдегида по реакции с 4-аминобензонитрилом и толуол-4-сульфонилметилизоцианидом, заменяя метанол на этанол, получали этиловый эфир (RS)-[5-хлор-2-(2-гидроксиэтокси)фенил]-(4-цианофениламино)уксусной кислоты, MC(ISN) m/z 373 (М-Н)–.
272.3. Аналогично примеру 6.2 из этилового эфира (RS)-[5-хлор-2-(2-гидроксиэтокси)фенил]-(4-цианофениламино)уксусной кислоты по реакции Пиннера получали гидрохлорид этилового эфира (RS)-(4-карбамимидоилфениламино)-[5-хлор-2-(2-гидроксиэтокси)фенил] уксусной кислоты (1: 1), MC(ISP) m/z 392 (М+Н)+.
Пример 273.
Аналогично примеру 75 гидрохлорид этилового эфира (RS)-(4-карбамимидоилфениламино)-[5-хлор-2-(2-гидроксиэтокси)фенил] уксусной кислоты (1:1) (см. пример 272.3) гидролизовали в присутствии гидроксида лития с получением (RS)-(4-карбамимидоилфениламино)-[5-хлор-2-(2-гидроксиэтокси)фенил] уксусной кислоты, МС (ISP) m/z 364 (М+Н)+.
Пример 274.
274.1. Аналогично примеру 1.1 из 5-метоксипипероналя по реакции с 4-аминобензонитрилом и бензилизонитрилом, заменяя метанол на этанол, получали этиловый эфир (RS)-(4-цианофениламино)-(7-метоксибензо[1,3] диоксол-5-ил)уксусной кислоты, MC(ISP) m/z 355 (М+Н)+, 377 (М+Na)+.
274.2. Аналогично примеру 1.2 этиловый эфир (RS)-(4-цианофениламино)-(7-метоксибензо[1,3] диоксол-5-ил)уксусной кислоты гидролизовали в присутствии гидроксида лития с получением (RS)-(4-цианофениламино)-(7-метоксибензо[1,3]диоксол-5-ил)уксусной кислоты, MC(ISN) m/z 325 (М-Н)–.
274.3. Аналогично примеру 1.3 из (RS)-(4-цианофениламино)-(7-метоксибензо[1,3]диоксол-5-ил)уксусной кислоты по реакции с гидрохлоридом гидроксиламина и триэтиламином получали (Е)- и/или (Z)-(RS)-[4-(N-гидроксикарбамимидоил)фениламино] -(7-метоксибензо[1,3] диоксол-5-ил)уксусную кислоту, MC(ISP) m/z 360 (М+Н)+, 382 (M+Na)+.
Пример 275.
Аналогично примеру 3 (Е)- и/или (Z)-(RS)-[4-(N-гидроксикарбамимидоил)фениламино]-(7-метоксибензо[1,3]диоксол-5-ил)уксусную кислоту (см. пример 274.3) гидрировали над никелем Ренея с получением (RS)-(4-карбамимидоилфениламино)-(7-метоксибензо[1,3]диоксол-5-ил)уксусной кислоты, MC(ISP) m/z 344 (М+H)+.
Пример 276.
276.1 Аналогично примеру 12.1 из 3,5-дихлорсалицилового альдегида по реакции с трет-бутилбромацетатом в метилэтилкетоне при кипячении с обратным холодильником в течение 4 ч получали трет-бутиловый эфир (2,4-дихлор-6-формилфенокси)уксусной кислоты, МС(ЕI) m/z 304 (М) 248/250 (М-трет-бутил).
276.2 Аналогично примеру 1.1 из трет-бутилового эфира (2,4-дихлор-6-формилфенокси)уксусной кислоты по реакции с 4-амино-N-гидроксибензамидином и бензилизонитрилом получали метиловый эфир (RS)-(2-трет-бутоксикарбонилметокси-3,5-дихлорфенил)-[4-(N-гидроксикарбамимидоил)фениламино] уксусной кислоты, MC(ISP) m/z 498,2 (М+Н)+, 520,2 (M+Na)+.
Пример 277.
Аналогично примеру 75 метиловый эфир (RS)-(2-трет-бутоксикарбонилметокси-3,5-дихлорфенил)-[4-(N-гидроксикарбамимидоил)фениламино] уксусной кислоты гидролизовали в присутствии гидроксида лития с получением (RS)-(2-карбоксиметокси-3,5-дихлорфенил)-[4-(N-гидроксикарбамимидоил)фениламино] уксусной кислоты, неочищенный продукт очищали обработкой ТГФ и ацетоном, MC(ISP) m/z 428,4 (М+Н)+, 450,3 (M+Na)+.
Пример 278.
3,7 г мелкодисперсного порошкообразного карбоната лития добавляли к раствору 1,96 г метилового эфира (RS)-(2-трет-бутоксикарбонилметокси-3,5-дихлорфенил)-[4-(N-гидроксикарбамимидоил)фениламино] уксусной кислоты (см. пример 276.2) в 200 мл ТГФ и 100 мл воды и суспензию перемешивали при 55-60oС в течение 8 ч. Затем реакционную смесь концентрировали и полученную водную суспензию нейтрализовали 100 мл 1 н. НСl. Осадок отфильтровывали, промывали водой и сушили в течение ночи при 50oС в высоком вакууме. При этом получали 1,59 г (RS)-(2-трет-бутоксикарбонилметокси-3,5-дихлорфенил)-[4-(N-гидроксикарбамимидоил)фениламино] уксусной кислоты, MC(ISP) m/z 484,3 (М+Н)+, 506,2 (М+Na)+.
Пример 279.
Аналогично примеру 3 (RS)-(2-трет-бутоксикарбонилметокси-3,5-дихлорфенил)-[4-(N-гидроксикарбамимидоил)фениламино] уксусную кислоту (см. пример 278) гидрировали над никелем Ренея с получением (RS)-(2-трет-бутоксикарбонилметокси-3,5-дихлорфенил)-(4-карбамимидоилфениламино)уксусной кислоты, MC(ISP) m/z 468,2 (М+Н)+, 490,2 (М+Na)+.
Пример 280.
Аналогично примеру 75 (RS)-(2-трет-бутоксикарбонилметокси-3,5-дихлорфенил)-(4-карбамимидоилфениламино)уксусную кислоту (см. пример 279) гидролизовали в присутствии гидроксида лития с получением (RS)-(4-карбамимидоилфениламино)-(2-карбоксиметокси-3,5-дихлорфенил)уксусной кислоты, MC(ISP) m/z 412,3 (М+Н)+, 468,1 (M-H+Ni)+.
Пример 281.
281.1. Аналогично примеру 12.1 из 5-бром-2-гидрокси-3-метоксибен-зальдегида по реакции с трет-бутилбромацетатом в метилэтилкетоне при кипячении с обратным холодильником в течение 3 ч получали этиловый эфир (4-бром-2-формил-6-метоксифенокси)уксусной кислоты, МС(ЕI) m/z 316/318 М+.
281.2. Аналогично примеру 1.1 из этилового эфира (4-бром-2-формил-6-метоксифенокси)уксусной кислоты по реакции с 4-аминобензонитрилом и толуол-4-сульфонилметилизоцианидом, заменяя метанол на этанол, получали этиловый эфир (RS)-(5-бром-2-этоксикарбонилметокси-3-метоксифенил)-(4-цианофениламино)уксусной кислоты, МС (ISP) m/z 491/493 (М+Н)+, 513/515 (M+Na)+.
281.3. Аналогично примеру 1.2 этиловый эфир (RS)-(5-бром-2-этоксикарбонилметокси-3-метоксифенил)-(4-цианофениламино)уксусной кислоты гидролизовали в присутствии гидроксида лития с получением (RS)-(5-бром-2-карбоксиметокси-3-метоксифенил)-(4-цианофениламино)уксусной кислоты, MC(ISN) m/z 433/435 (М-Н)–.
281.4. Аналогично примеру 1.3 из (RS)-(5-бром-2-карбоксиметокси-3-метоксифенил)-(4-цианофениламино)уксусной кислоты по реакции с гидрохлоридом гидроксиламина и триэтиламином получали (Е)- и/или (Z)-(RS)-(5-бром-2-карбоксиметокси-3-метоксифенил)-[4-(N-гидроксикарбамимидоил)фениламино]уксусную кислоту, MC(ISP) m/z 468/470 (М+Н)+, 490/492 (M+Na)+.
Пример 282.
Аналогично примеру 3 (Е)- и/или (Z)-(RS)-(5-бром-2-карбоксиметокси-3-метоксифенил)-[4-(N-гидроксикарбамимидоил)фениламино] уксусную кислоту (см. пример 281.4) гидрировали над никелем Ренея с получением (RS)-(5-бром-2-карбоксиметокси-3-метоксифенил)-(4-карбамимидоилфениламино)уксусной кислоты, МС (ISP) m/z 452/454 (М+Н)+.
Пример 283.
283.1. Аналогично примеру 1.1 из этилового эфира (4-хлор-2-формил-6-метоксифенокси)уксусной кислоты по реакции с 4-аминобензонитрилом и толуол-4-сульфонилметилизоцианидом, заменяя метанол на этанол, получали этиловый эфир (RS)-(5-хлор-2-этоксикарбонилметокси-3-метоксифенил)-(4-цианофениламино)уксусной кислоты, МС (ISN) m/z 445/447 (М-Н)–.
283.2. Аналогично примеру 6.2 из этилового эфира (RS)-(5-хлор-2-этоксикарбонилметокси-3-метоксифенил)-(4-цианофениламино] уксусной кислоты по реакции Пиннера получали гидрохлорид этилового эфира (RS)-(4-карбамимидоилфениламино)-(5-хлор-2-этоксикарбонилметокси-3-метоксифенил)уксусной кислоты (1:1), МС (ISP) m/z 464/466 (М+Н)+.
Пример 284.
Аналогично примеру 75 гидрохлорид этилового эфира (RS)-(4-карбамимидоилфениламино)-(5-хлор-2-этоксикарбонилметокси-3-метоксифенил)уксусной кислоты (1:1) (см. пример 283.2) гидролизовали в присутствии гидроксида лития с полученинм (RS)-(4-карбамимидоилфениламино)-(2-карбоксиметокси-5-хлор-3-метоксифенил)уксусной кислоты, MC(ISP) m/z 408/410 (М+Н)+, 430/432 (М+Na)+.
Пример 285.
285.1. Аналогично примеру 12.1 из 3,5-дихлорсалицилового альдегида по реакции с иодэтанолом в этилметилкетоне при кипячении с обратным холодильником в течение 18 ч получали 3,5-дихлор-2-(2-гидроксиэтокси)бензальдегид, МС(Е1) m/z 234/236 (М)+.
285.2. Аналогично примеру 1.1 из 3,5-дихлор-2-(2-гидроксиэтокс-и) бензальдегида по реакции с 4-амино-N-гидроксибензамидином и бензилизонитрилом получали этиловый эфир (RS)-[3,5-дихлор-2-(2-гидроксиэтокси)фенил]-[4-(N-гидроксикарбамимидоил)фениламино] уксусной кислоты, MC(ISP) m/z 442,3 (М+Н)+, 464,1 (М+Na)+.
Пример 286.
Аналогично примеру 75 этиловый эфир (RS)-[3,5-дихлор-2-(2-гидроксиэтокси)фенил] -[4-(N-гидроксикарбамимидоил)фениламино] уксусной кислоты (см. пример 285.2) гидролизовали в присутствии гидроксида лития с получением (RS)-[3,5-дихлор-2-(2-гидроксиэтокси)фенил] -[4-(N-гидроксикарбамимидоил)фениламино] уксусной кислоты, неочищенный продукт очищали хроматографией, MC(ISP) m/z 414,2 (М+Н)+, 436,3 (M+Na)+.
Пример 287.
Аналогично примеру 3 (RS)-[3,5-дихлор-2-(2-гидроксиэтокси)фенил]-[4-(N-гидроксикарбамимидоил)фениламино] уксусную кислоту (см. пример 286) гидрировали над никелем Ренея с получением (RS)-(4-карбамимидоилфениламино)-[3,5-дихлор-2-(2-гидроксиэтокси)фенил] уксусной, кислоты, MC(ISP) m/z 398,2 (M+H)+, 420,2 (M+Na)+.
Пример 288.
288.1. Аналогично примеру 12.1 из 3,5-дихлорсалицилового альдегида по реакции с трет-бутилбромацетатом в этилметилкетоне при кипячении с обратным холодильником в течение 2 ч получали трет-бутиловый эфир (2,4-дибром-6-формилфенокси)уксусной кислоты, (МС)(ЕI) m/z 394 (М) 338/340 (М-трет-бутил).
288.2. Аналогично примеру 1.1 из трет-бутилового эфира (2,4-дибром-6-формилфенокси)уксусной кислоты по реакции с 4-амино-N-гидроксибензоамидином и бензилизонитрилом получали этиловый эфир (RS)-(3,5-дибром-2-трет-бутоксикарбонилметоксифенил)-[4-(N-гидроксикарбамимидоил)фениламино] уксусной кислоты.
Пример 289.
Аналогично примеру 75 этиловый эфир (RS)-(3,5-дибром-2-трет-бутоксикарбонилметоксифенил)-[4-(N-гидроксикарбамимидоил)фениламино] уксусной кислоты (см. пример 288.2) гидролизовали в присутствии гидроксида лития с получением (RS)-(3,5-дибром-2-карбоксиметоксифенил)-[4-(N-гидроксикарбамимидоил)фениламино]уксусной кислоты, MC(ISP) m/z 518,0 (М+Н)+, 540,1 (M+Na)+.
Пример 290.
Аналогично примеру 3 (RS)-(3,5-дибром-2-карбоксиметоксифенил)-[4-(N-гидроксикарбамимидоил)фениламино] уксусную кислоту (см. пример 289) гидрировали над никелем Ренея с получением (RS)-(4-карбамимидоилфениламино)-(3,5-дибром-2-карбоксиметоксифенил)уксусной кислоты, MC(ISP) m/z 502,0 (М+Н)+.
Пример 291.
291.1. Аналогично примеру 12.1 из 5-бром-2-гидрокси-3-метоксибензальдегида по реакции с бромэтанолом в ДМФ при 85oС в течение 5 ч получали 5-бром-2-(2-гидроксиэтокси)-3-метоксибензальдегид, МС(ЕI) m/z 274/276 М +.
291.2. Аналогично примеру 1.1 из 5-бром-2-(2-гидроксиэтокси)-3-метоксибензальдегида по реакции с 4-аминобензонитрилом и толуол-4-сульфонилметилизоцианидом, заменяя метанол на этанол, получали этиловый эфир (RS)-[5-бром-2-(2-гидроксиэтокси)-3-метоксифенил] -(4-цианофениламино)уксусной кислоты, MC(ISP) m/z 449/451 (М+Н)+, 471/473 (M+Na)+.
291.3. Аналогично примеру 6.2 из этилового эфира (RS)-[5-бром-2-(2-гидроксиэтокси)-3-метоксифенил] -(4-цианофениламино)уксусной кислоты по реакции Пиннера получали гидрохлорид этилового эфира (RS)-[5-бром-2-(2-гидроксиэтокси)-3-метоксифенил]-(4-карбамимидоилфениламино)уксусной кислоты (1: 1), MC(ISP) m/z 466/468 (М+Н)+.
Пример 292.
Аналогично примеру 75 гидрохлорид этилового эфира (RS)-[5-бром-2-(2-гидроксиэтокси)-3-метоксифенил] -(4-карбамимидоилфениламино)уксусной кислоты (1: 1) (см. пример 291.3) гидролизовали в присутствии гидроксида лития с получением (RS)-[5-бром-2-(2-гидроксиэтокси)-3-метоксифенил] -(4-карбамимидоилфениламино)уксусной кислоты, MC(ISP) m/z 438/440 (М+Н)+.
Пример 293.
293.1. Раствор 5 г 3,5-дихлорсалицилового альдегида в 50 мл ДМФ обрабатывали 3,23 г трет-бутилата калия и 6,6 г аллилиодида и перемешивали в атмосфере аргона при 65oС. Через 2 ч реакционную смесь концентрировали, обрабатывали ледяной водой и экстрагировали этилацетатом. Органические фазы сушили над сульфатом натрия и концентрировали. Остаток хроматографировали на силикагеле, при этом получали 5,5 г 2-аллилокси-3,5-дихлорбензальдегида, MC(EI) m/z 230/232 М+.
293.2. Аналогично примеру 1.1 из 2-аллилокси-3,5-дихлорбензальдегида по реакции с 4-аминобензонитрилом и толуол-4-сульфонилметилизоцианидом, заменяя метанол на этанол, получали этиловый эфир (RS)-(2-аллилокси-3,5-дихлорфенил)-(4-цианофениламино)уксусной кислоты, МС(ЕI) m/z 404/406 М+.
293.3. Аналогично примеру 6.2 из этилового эфира (RS)-(2-аллилокси-3,5-дихлорфенил)-(4-цианофениламино)уксусной кислоты по реакции Пиннера получали гидрохлорид этилового эфира (RS)-(2-аллилокси-3,5-дихлорфенил)-(4-карбамимидоилфениламино)уксусной кислоты (1: 1), MC(ISP) m/z 422/424 (М+Н)+.
Пример 294.
Аналогично примеру 75 гидрохлорид этилового эфира (RS)-(2-аллилокси-3,5-дихлорфенил)-(4-карбамимидоилфениламино)уксусной кислоты (1: 1) (см. пример 293.3) гидролизовали в присутствии гидрохлорида лития с получением (RS)-(2-аллилокси-3,5-дихлорфенил)-(4-карбамимидоилфениламино)уксусной кислоты, MC(ISP) m/z 394/396 (М+Н)+.
Пример 295.
Раствор 300 мг гидрохлорида этилового эфира (RS)-(2-аллилокси-3,5-дихлорфенил)-(4-карбамимидоилфениламино)уксусной кислоты (1: 1) (см. пример 293.3) в 5 мл этанола обрабатывали водородом в присутствии каталитического количества диоксида платины в течение 45 мин при перемешивании. Реакционную смесь фильтровали в вакууме через Спидекс (Speedex). Фильтрат концентрировали, при этом получали 270 мг гидрохлорида этилового эфира (RS)-(4-карбамимидоилфениламино)-(3,5-дихлор-2-гидроксифенил)уксусной кислоты (1: 1), MC(ISP) m/z 382/384 (М+Н)+.
Пример 296.
Аналогично примеру 75 гидрохлорид этилового эфира (RS)-(4-карбамимидоилфениламино)-(3,5-дихлор-2-гидроксифенил)уксусной кислоты (1:1) (см. пример 295) гидролизовали в присутствии гидроксида лития с получением (RS)-(4-карбамимидоилфениламино)-(3,5-дихлор-2-гидроксифенил)уксусной кислоты, MC(ISP) m/z 354/356 (М+Н)+.
Пример 297.
Раствор 275 мг гидрохлорида этилового эфира (RS)-(2-аллилок-си-3,5-дихлорфенил)-(4-карбамимидоилфениламино)уксусной кислоты (1:1) (см. пример 293.3) в 5 мл этанола гидрировали в присутствии каталитического количества палладия на карбонате кальция в течение 30 мин при перемешивании. Реакционную смесь фильтровали в вакууме через Спидекс (Speedex). Фильтрат концентрировали и после хроматографического разделения на силикагеле получали 210 мг гидрохлорида этилового эфира (RS)-(4-карбамимидоилфениламино)-(3,5-дихлор-2-пропоксифенил)уксусной кислоты (1:1), MC(ISP) m/z 424/426 (М+Н)+.
Пример 298.
Аналогично примеру 75 гидрохлорид этилового эфира (RS)-(4-карбамимидоилфениламино)-(3,5-дихлор-2-пропоксифенил)уксусной кислоты (1:1) (см. пример 297) гидролизовали в присутствии гидроксида лития с получением (RS)-(4-карбамимидоилфениламино)-(3,5-дихлор-2-пропоксифенил)уксусной кислоты, MC(ISP) m/z 396/398 (М+Н)+.
Пример 299.
299.1. Аналогично примеру 293.1 из 3,5-дихлорсалицилового альдегида по реакции с диэтиленгликолем в ДМФ при 100oС в течение 16 ч получали 3,5-дихлор-2-[2-(2-гидроксиэтокси)этокси] бензальдегид, МС(ЕI) m/z 278 (М), 190 (М-88).
299.2. Аналогично примеру 1.1 из 3,5-дихлор-2-[2-(2-гидроксиэтокси)этокси] бензальдегида по реакции с 4-аминобензонитрилом и бензилизонитрилом, заменяя метанол на этанол, получали этиловый эфир (RS)-(4-цианофениламино)-{ 3,5-дихлор-2-[2-(2-гидроксиэтокси)этокси]фенил}уксусной кислоты, MC(ISP) m/z 453,2 (М+Н)+, 475,2 (M+Na)+.
299.3. Аналогично примеру 6.2 из этилового эфира (RS)-(4-цианофениламино)-{ 3,5-дихлор-2-[2-(2-гидроксиэтокси)этокси] фенил}уксусной кислоты по реакции Пиннера получали гидрохлорид этилового эфира (RS)-(4-карбамимидоилфениламино)-{ 3,5-дихлор-2-[2-(2-гидроксиэтокси)этокси] фенил] уксусной кислоты, MC(ISP) m/z 470,2 (М+Н)+, 492,2 (М+Na)+.
Пример 300.
Аналогично примеру 75 гидрохлорид этилового эфира (RS)-(4-карбамимидоилфениламино)-{ 3,5-дихлор-2-[2-(2-гидроксиэтокси)этокси] фенил} уксусной кислоты (см. пример 299.3) гидролизовали в присутствии гидроксида лития с получением (RS)-(4-карбамимидоилфениламино)-{ 3,5-дихлор-2-[2-(2-гидроксиэтокси)этокси] фенил} уксусной кислоты, MC(ISP) m/z 442,3 (М+Н)+, 464,3 (М+Na)+.
Пример 301.
301.1. Аналогично примеру 293.1 из 5-бром-3-этилсалицилового альдегида (номер по каталогу 57704-12-8) по реакции с 2-иодэтанолом в ДМФ при 80oС в течение 6 ч получали 5-бром-3-этил-2-(2-гидроксиэтокси)бензальдегид, MC(ISN) m/z 451,0 (М-Н)+.
301.2. Аналогично примеру 1.1 из 5-бром-3-этил-2-(2-гидроксиэтокси)бензальдегида по реакции с 4-аминобензонитрилом и бензилизонитрилом, заменяя метанол на этанол, получали этиловый эфир (RS)-[5-бром-3-этил-2-(2-гидроксиэтокси)фенил]-(4-цианофениламино)уксусной кислоты, MC(ISP) m/z 449,3 (М+Н)+, 471,0 (M+Na)+.
301.3. Аналогично примеру 6.2 из этилового эфира (RS)-[5-бром-3-этил-2-(2-гидроксиэтокси)фенил] -(4-цианофениламино)уксусной кислоты по реакции Пиннера получали гидрохлорид этилового эфира (RS)-[5-бром-3-этил-2-(2-гидроксиэтокси)фенил] -(4-карбамимидоилфениламино)уксусной кислоты, MC(ISP) m/z 464,3/466,3 (М+Н)+.
Пример 302.
Аналогично примеру 75 гидрохлорид этилового эфира (RS)-[5-бром-3-этил-2-(2-гидроксиэтокси)фенил] -(4-карбамимидоилфениламино)уксусной кислоты (см. пример 301.3) гидролизовали в присутствии гидроксида лития с получением (RS)-[5-бром-3-этил-2-(2-гидроксиэтокси)фенил] -(4-карбамимидоилфениламино)уксусной кислоты, MC(ISP) m/z 436,2, 438,3 (М+Н)+, 458,3, 460,4 (М+Na)+.
Пример 303.
303.1. Аналогично примеру 293.1 из 3-бром-5-хлорсалицилового альдегида по реакции с 2-иод-О-тетрагидропиранилэтанолом (номер по каталогу 96388-83-9) в ДМФ при 80oС в течение 4 ч получали (RS)-3-бром-5-хлор-2-[2-(тетрагидропиран-2-илокси)этокси] бензальдегид, MC(EI) m/z 362 (М), 261 (М-99).
303.2. Аналогично примеру 1.1 из (RS)-3-бром-5-хлор-2-[2-(тетрагидропиран-2-илокси)этокси]бензальдегида по реакции с 4-аминобензонитрилом и бензилизонитрилом, заменяя метанол на этанол, получали этиловый эфир (RS)-[3-бром-5-хлор-2-(2-гидроксиэтокси)фенил] -(4-цианофениламино)уксусной кислоты, МС(ЕI) m/z 454 (М), 379 (М-75).
303.3. Аналогично примеру 6.2 из этилового эфира (RS)-[3-бром-5-хлор-2-(2-гидроксиэтокси)фенил] -(4-цианофениламино)уксусной кислоты по реакции Пиннера получали гидрохлорид этилового эфира (RS)-[3-бром-5-хлор-2-(2-гидроксиэтокси)фенил] -(4-карбамимидоилфениламино)уксусной кислоты, MC(ISP) m/z 472,0 (М+Н)+, 494,0 (M+Na)+.
Пример 304.
Аналогично примеру 75 гидрохлорид этилового эфира (RS)-[3-бром-5-хлор-2-(2-гидроксиэтокси)фенил] -(4-карбамимидоилфениламино)уксусной кислоты (см. пример 303.3) гидролизовали в присутствии гидроксида лития с получением (RS)-[3-бром-5-хлор-2-(2-гидроксиэтокси)фенил] -(4-карбамимидоилфениламино)уксусной кислоты, MC(ISP) m/z 442/444,2 (М+Н)+, 464/466,1 (М+Na)+.
Пример 305.
305.1. Аналогично примеру 293.1 из 5-хлор-6-гидрокси-мета-анисового альдегида (номер по каталогу 90110-33-1) по реакции с 2-иодэтанолом в ДМФ при 70oС в течение 3 ч получали 3-хлор-2-(2-гидроксиэтокси)-5-метоксибензальдегид, МС(ЕI) m/z 230 М+.
305.2. Аналогично примеру 1.1 из 3-хлор-2-(2-гидроксиэтокси)-5-метоксибензальдегида по реакции с 4-аминобензонитрилом и толуол-4-сульфонилметилизоцианидом, заменяя метанол на этанол, получали этиловый эфир (RS)-[3-хлор-2-(2-гидроксиэтокси)-5-метоксифенил] -(4-цианофениламино)уксусной кислоты, MC(ISP) m/z 405 (М+Н)+, 427 (M+Na)+.
305.3. Аналогично примеру 6.2 из этилового эфира (RS)-[3-хлор-2-(2-гидроксиэтокси)-5-метоксифенил] -(4-цианофениламино)уксусной кислоты по реакции Пиннера получали гидрохлорид этилового эфира (RS)-(4-карбамимидоилфениламино)-[3-хлор-2-(2-гидроксиэтокси)-5-метоксифенил]уксусной кислоты (1: 1), MC(ISP) m/z 422 (М+Н)+.
Пример 306.
Аналогично примеру 75 гидрохлорид этилового эфира (RS)-(4-карбамимидоилфениламино)-[3-хлор-2-(2-гидроксиэтокси)-5-метоксифенил] уксусной кислоты (1: 1) (см. пример 305.3) гидролизовали в присутствии гидроксида лития с получением (RS)-(4-карбамимидоилфениламино)-[3-хлор-2-(2-гидроксиэтокси)-5-метоксифенил]уксусной кислоты, MC(ISP) m/z 394 (М+Н)+.
Пример 307.
307.1. Аналогично примеру 293.1 из 3,5-дихлорсалицилового альдегида по реакции с 2-иодацетамидом в ДМФ при 70oС в течение 4 ч получали 2-(2,4-дихлор-6-формилфенокси)ацетамид, МС(Е1) m/z 247 (М), 189 (М-58).
307.2. Аналогично примеру 1.1 из 2-(2,4-дихлор-6-формилфенокси)ацетамида по реакции с 4-аминобензонитрилом и бензилизонитрилом получали метиловый эфир (RS)-(2-карбамоилметокси-3,5-дихлорфенил)-(4-цианофениламино)уксусной кислоты, MC(ISP) m/z 408,2 (М+Н)+, 430,3 (M+Na)+.
307.3. Аналогично примеру 6.2 из метилового эфира (RS)-(2-карбамоилметокси-3,5-дихлорфенил)-(4-цианофениламино)уксусной кислоты по реакции Пиннера получали гидрохлорид метилового эфира (RS)-(4-карбамимидоилфениламино)-(2-карбамоилметокси-3,5-дихлорфенил)уксусной кислоты, MC(ISP) m/z 425,4 (М+Н)+, 427,1 (M+Na)+.
Пример 308.
Аналогично примеру 75 гидрохлорид метилового эфира (RS)-(4-карбамимидоилфениламино)-(2-карбамоилметокси-3,5-дихлорфенил)уксусной кислоты (см. пример 307.3) гидролизовали в присутствии гидроксида лития с получением (RS)-(4-карбамимидоилфениламино)-(2-карбамоилметокси-3,5-дихлорфенил)уксусной кислоты, MC(ISP) m/z 411,3 (М+Н)+.
Пример 309.
309.1. Аналогично примеру 293.1 из 3,5-дихлорсалицилового альдегида по реакции с 2-хлор-N,N-диметилацетамидом в ДМФ при 100oС в течение 3 ч получали 2-(2,4-дихлор-6-формилфенокси)-N,N-диметилацетамид, МС(ЕI) m/z 275 (М), 240 (М-Сl).
309.2. Аналогично примеру 1.1 из 2-(2,4-дихлор-6-формилфенокси)-N,N-диметилацетамида по реакции с 4-аминобензонитрилом и бензилизонитрилом получали метиловый эфир (RS)-(4-цианофениламино)-(3,5-дихлор-2-диметилкарбамоилметоксифенил)уксусной кислоты, MC(EI) m/z 435 (М), 376 (М-59).
309.3. Аналогично примеру 6.2 из метилового эфира (RS)-(4-цианофениламино)-(3,5-дихлор-2-диметилкарбамоилметоксифенил)уксусной кислоты по реакции Пиннера получали гидрохлорид метилового эфира (RS)-(4-карбамимидоилфениламино)-(3,5-дихлор-2-диметилкарбамоилметоксифенил)уксусной кислоты, MC(ISP) m/z 453,4 (М+Н)+, 475,2 (M+Na)+.
Пример 310.
Аналогично примеру 75 гидрохлорид метилового эфира (RS)-(4-карбамимидоилфениламино)-(3,5-дихлор-2-диметилкарбамоилметоксифенил)уксусной кислоты (см. пример 309.3) гидролизовали в присутствии гидроксида лития с получением (RS)-(4-карбамимидоилфениламино)-(3,5-дихлор-2-диметилкарбамоилметоксифенил)уксусной кислоты, MC(ISP) m/z 439,3 (M+H)+, 461,1 (M+Na)+.
Пример 311.
311.1. Аналогично примеру 293.1 из 3,5-дихлорсалицилового альдегида по реакции с 2-хлор-N-циклопропилацетамидом в ДМФ при 100oС в течение 4 ч получали N-циклопропил-2-(2,4-дихлор-6-формилфенокси)ацетамид, MC(ISP) m/z 288,1 (М+Н)+, 310,0 (М+Na)+.
311.2. Аналогично примеру 1.1 из N-циклопропил-2-(2,4-дихлор-6-формилфенокси)ацетамида по реакции с 4-аминобензонитрилом и бензилизонитрилом получали метиловый эфир (RS)-(4-цианофениламино)-(3,5-дихлор-2-циклопропилкарбамоилметоксифенил)уксусной кислоты, MC(ISP) m/z 448,31 (М+Н)+, 470,3 (M+Na)+.
311.3. Аналогично примеру 6.2 из метилового эфира (RS)-(4-цианофениламино)-(3,5-дихлор-2-циклопропилкарбамоилметоксифенил)уксусной кислоты по реакции Пиннера получали гидрохлорид метилового эфира (RS)-(4-карбамимидоилфениламино)-(3,5-дихлор-2-циклопропилкарба-моилметоксифенил)уксусной кислоты, MC(ISP) m/z 465,2 (М+Н)+, 487,2 (M+Na)+.
Пример 312.
Аналогично примеру 75 гидрохлорид метилового эфира (RS)-(4-карбамимидоилфениламино)-(3,5-дихлор-2-циклопропилкарбамоилметоксифенил)уксусной кислоты (см. пример 311.3) гидролизовали в присутствии гидроксида лития с получением (RS)-(4-карбамимидоилфениламино)-(3,5-дихлор-2-циклопропилкарбамоилметоксифенил)уксусной кислоты, MC(ISP) m/z 451,3 (М+Н)+.
Пример 313.
313.1. 61 мг xлората калия и 0,5 мл 2,5%-ного раствора тетраоксида осмия в трет-бутаноле добавляли к раствору 202 мг этилового эфира (RS)-(2-аллилокси-3,5-дихлорфенил)-(4-цианофениламино)уксусной кислоты (см. пример 293.2) в 5 мл ацетона и 1,5 мл воды. Реакционную смесь перемешивали при комнатной температуре в течение 16 ч, концентрировали и экстрагировали смесью ледяной воды и хлороформа. Органические фазы концентрировали, остаток хроматографировали на силикагеле, при этом получали 170 мг смеси этиловых эфиров (RS)- и (RS)-(4-цианофениламино)-[3,5-дихлор-2-[(RS)-2,3-дигидроксипропокси] фенил] уксусных кислот, MC(ISP) m/z 439/441 (М+Н)+, 461/463 (М+Na)+.
313.2. Аналогично примеру 6.2 из смеси этиловых эфиров (RS)- и (SR)-(4-цианофениламино)-[3,5-дихлор-2-[(RS)-2,3-дигидроксипропокси] фенил] уксусной кислоты по реакции Пиннера получали смесь гидрохлоридов этиловых эфиров (RS)- и (SR)-(4-карбамимидоилфениламино)-[3,5-дихлор-2-[(RS)-2,3-дигидроксипропокси]фенил]уксусных кислот (1:1), MC(ISP) m/z 456/458 (М+Н)+.
Пример 314.
Аналогично примеру 75 смесь гидрохлоридов этиловых эфиров (RS)- и (SR)-(4-карбамимидоилфениламино)-[3,5-дихлор-2-[(RS)-2,3-дигидроксипропокси] фенил] уксусных кислот (1:1) (см. пример 311.3) гидролизовали в присутствии гидроксида лития с получением смеси (RS)- и (SR)-(4-карбамимидоилфениламино)-[3,5-дихлор-2-[(RS)-2,3-дигидроксипропокси] фенил] уксусных кислот, MC(ISP) m/z 428/430 (М+Н)+.
Пример 315.
315.1. Аналогично примеру 12.1 из 3,5-дибромсалицилового альдегида по реакции с иодэтанолом в этилметилкетоне при кипячении с обратным холодильником в течение 18 ч получали 3,5-дибром-2-(2-гидроксиэтокси)бензальдегид, МС(ЕI) m/z 324 (М), 280 (М-44).
315.2. Аналогично примеру 1.1 из 3,5-дибром-2-(2-гидроксиэток-си)бензальдегида по реакции с 4-аминобензонитрилом и бензилизонитрилом, заменяя метанол на этанол, получали этиловый эфир (RS)-(4-циaнoфeнилaмино)-[3,5-дибром-2-(2-гидроксиэтокси)фенил]уксусной кислоты.
315.3. Аналогично примеру 1.2 этиловый эфир (RS)-(4-циано-фениламино)-[3,5-дибром-2-(2-гидроксиэтокси)фенил] уксусной кислоты гидролизовали в присутствии гидроксида лития с получением (RS)-(4-цианофениламино)-[3,5-дибром-2-(2-гидроксиэтокси)фенил]уксусной кислоты, MC(ISN) m/z 469,0 (М-Н)–, 425,1 (М-СО2).
315.4. Аналогично примеру 6.2 из (RS)-(4-циaнoфeнилaминo)-[3,5-дибром-2-(2-гидроксиэтокси)фенил] уксусной кислоты по реакции Пиннера получали гидрохлорид метилового эфира (RS)-(4-кapбaмимидoилфeнилaминo)-[3,5-дибром-2-(2-гидроксиэтокси)фенил]уксусной кислоты, MC(ISP) m/z 502,1 (M+H)+.
Пример 316.
Аналогично примеру 75 гидрохлорид метилового эфира (RS)-(4-карбамимидоилфениламино)-[3,5-дибром-2-(2-гидроксиэтокси)фенил] уксусной кислоты (см. пример 315.4) гидролизовали в присутствии гидроксида лития с получением (RS)-(4-кapбaмимидoилфeнилaминo)-[3,5-дибром-2-(2-гидроксиэтокси)фенил] уксусной кислоты, МС (ISP) m/z 488,1 (М+Н)+, 510,1 (M+Na)+.
Пример 317.
317.1. Аналогично примеру 293.1 из 5-хлор-3-этилсалицилового альдегида по реакции с 2-иодэтанолом при 75oС в течение 6 ч получали 5-хлор-3-этил-2-(2-гидроксиэтокси)бензальдегид, MC(EI) m/z 228 (М), 210 (M-H2O).
317.2. Аналогично примеру 1.1 из 5-хлор-3-этил-2-(2-гидроксиэтокси)бензальдегида по реакции с 4-аминобензонитрилом и бензилизонитрилом получали метиловый эфир (RS)-[5-хлор-3-этил-2-(2-гидроксиэтокси)фенил]-(4-цианофениламино)уксусной кислоты, МС (ISP) m/z 389,3 (М+Н)+, 411,3 (M+Na)+.
317.3. Аналогично примеру 6.2 из метилового эфира (RS)-[5-хлор-3-этил-2-(2-гидроксиэтокси)фенил] -(4-цианофениламино)уксусной кислоты по реакции Пиннера получали гидрохлорид метилового эфира (RS)-(4-карбамимидоилфениламино)-[5-хлор-3-этил-2-(2-гидроксиэтокси)фенил] уксусной кислоты, МС (ISP) m/z 406,4 (М+Н)+.
Пример 318.
Аналогично примеру 75 гидрохлорид метилового эфира (RS)-(4-карбамимидоилфениламино)-[5-хлор-3-этил-2-(2-гидроксиэтокси)фенил] уксусной кислоты (см. пример 317.3) гидролизовали в присутствии гидроксида лития с получением (RS)-(4-карбамимидоилфениламино)-[5-хлор-3-этил-2-(2-гидроксиэтокси)фенил] уксусной кислоты, MC(ISP) m/z 392,2 (М+Н)+, 414,3 (М+Na)+.
Пример 319.
319.1. Аналогично примеру 18.1 из 5-хлор-3-иодсалицилового альдегида по реакции Мицонобу (Mitsonobu) с диизопропилазодикарбоксилатом (DIAD) и 2-бензилоксиэтанолом получали 2-(2-бензилоксиэтокси)-5-хлор-3-иодбензальдегид, МС(ЕI) m/z 416 (М), 198 (М-Н2О).
319.2. Аналогично примеру 1.1 из 2-(2-бензилоксиэтокси)-5-хлор-3-иодбензальдегида по реакции с 4-аминобензонитрилом и толуол-4-сульфанилметилизоцианидом получали метиловый эфир (RS)-[2-(2-бензилоксиэтокси)-5-хлор-3-иодфенил] -(4-цианофениламино)уксусной кислоты, МС(ЕI) m/z 576 (М), 517 (М-СООСН3).
319.3. Аналогично примеру 6.2 из метилового эфира (RS)-[2-(2-бензилоксиэтокси)-5-хлор-3-иодфенил] -(4-цианофениламино)уксусной кислоты по реакции Пиннера получали гидрохлорид метилового эфира (RS)-[2-(2-бензилоксиэтокси)-5-хлор-3-иодфенил] -(4-карбамимидоилфениламино)уксусной кислоты, MC(ISP) m/z 594,1 (М+Н)+, 615,9 (М+Na)+.
Пример 320.
Аналогично примеру 75 гидрохлорид метилового эфира (RS)-[2-(2-бензилоксиэтокси)-5-хлор-3-иодфенил] -(4-карбамимидоилфениламино)уксусной кислоты (см. пример 319.3) гидролизовали в присутствии гидроксида лития с получением (RS)- [2-(2-бензилоксиэтокси)-5-хлор-3-иодфенил] -(4-карбамимидоилфениламино)уксусной кислоты, MC(ISP) m/z 580,0 (М+Н)+, 601,9 (M+Na)+.
Пример 321.
321.1. Аналогично примеру 293.1 из 5-хлор-3-иодсалицилового альдегида (номер по каталогу 215124-03-1) по реакции с 1-(трет-бутилдиметилсилилокси)-2-иодэтаном (номер по каталогу 101166-65-8) в диметилацетамиде в течение 6 ч при 60oС получали 2-[2-трет-бутилдиметилсиланилокси)этокси]-5-хлор-3-иодбензальдегид, МС(ЕI) m/z 439 (М-1), 383 (М-трет-бутил).
321.2. Аналогично примеру 1.1 из 2-[2-(трет-бутилдиметилсиланилокси)этокси] -5-хлор-3-иодбензальдегида по реакции с 4-аминобензонитрилом и толуол-4-сульфанилметилизоцианидом получали мети-ловый эфир (RS)-[5-хлор-2-(2-гидроксиэтокси)-3-иодфенил]-(4-цианофениламино)уксусной кислоты, МС(ЕI) m/z 486 (М+1), 427 (М-СООСН3).
321.3. Аналогично примеру 6.2 из метилового эфира (RS)- [5-хлор-2-(2-гидроксиэтокси)-3-иодфенил] -(4-цианофениламино)уксусной кислоты по реакции Пиннера получали гидрохлорид метилового эфира (RS)-(4-карбамимидоилфениламино)-[5-хлор-2-(2-гидроксиэтокси)-3-иодфенил] уксусной кислоты, MC(ISP) m/z 504,1 (М+Н)+.
Пример 322.
Аналогично примеру 75 гидрохлорид метилового эфира (RS)-(4-карбамимидоилфениламино)-[5-хлор-2-(2-гидроксиэтокси)-3-иодфенил] уксусной кислоты (см. пример 321.3) гидролизовали в присутствии гидроксида лития с получением (RS)-(4-карбамимидоилфениламино)-[5-хлор-2-(2-гидроксиэтокси)-3-иодфенил] уксусной кислоты, MC(ISP) m/z 490,2 (М+Н)+, 512,1 (M+Na)+.
Пример 323.
323.1. Раствор 119,9 мл 2-этилфенола в 500 мл хлорбензола обрабатывали 126,9 г иода и 134,5 г хлорида меди (II), перемешивали при кипячении с обратным холодильником в течение 5,5 ч. После охлаждения реакционную смесь фильтровали, остаток промывали хлористым метиленом. Объединенные фильтраты промывали водным раствором тиосульфата натрия и ледяной водой. Органические фазы сушили над сульфатом натрия и концентрировали. Остаток кристаллизовали из гексана, при этом получали 79,3 г 2-этил-4-иодфенола. Маточную жидкость хроматографировали на силикагеле, при этом дополнительно получали 41 г 2-этил-4-иодфенола, МС(Е1) m/z 248 (М).
323.2. Раствор 19,5 г 2-этил-4-иодфенола в 150 мл ДМФ обрабатывали порциями при 0oС в течение 15 мин 9,37 г трет-бутилата калия и смесь перемешивали в течение 30 мин. Затем в высоком вакууме удаляли приблизительно 100 мл растворителя. Остаток обрабатывали по каплям при 0oС в течение 1 ч 12,66 г хлорметилметилового эфира, затем выливали в ледяную воду и экстрагировали эфиром/гексаном (1:2). Органические фазы промывали раствором хлорида натрия и водой, а затем концентрировали. Остаток хроматографировали на силикагеле, при этом получали 21,8 г 2-этил-4-иод-1-метоксиметоксибензола, МС(ЕI) m/z 292 (М).
323.3. Раствор циклопропилмагнийбромида, свежеприготовленный из 2,49 г магния и 13,3 г циклопропилбромида в 40 мл ТГФ, обрабатывали 1,2 г хлорида бис-трифенилфосфинникеля и при 35-45oС в течение 20 мин раствором 20,8 г 2-этил-4-иод-1-метоксиметоксибензола в 40 мл толуола. После перемешивания в течение 2 ч реакционную смесь выливали в водный раствор хлорида аммония и экстрагировали эфиром. Органические фазы промывали водой, насыщенным водным раствором бикарбоната натрия, раствором хлорида натрия, сушили над сульфатом магния и концентрировали. Остаток хроматографировали на силикагеле, при этом получали 12,7 г 4-циклопропил-2-этил-1-метоксиметоксибензола, MC(EI) m/z 206 (М), 176 (М-СН2О).
323.4. Раствор 12,0 г 4-циклопропил-2-этил-1-метоксиметоксибензола в 240 мл 2 н. уксусной кислоты перемешивали в течение 24 ч при 90oС. Реакционную смесь выливали в ледяную воду и экстрагировали дихлорметаном. Органические фазы промывали водой, насыщенным водным раствором бикарбоната натрия и раствором хлорида натрия, сушили над сульфатом магния и концентрировали. Остаток хроматографировали на силикагеле, при этом получали 8,7 г 4-циклопропил-2-этилфенола, МС(ЕI) m/z 162 (М), 147 (М-СН3).
323.5. Аналогично примеру 89.1 4-циклопропил-2-этилфенол формилировали с получением 5-циклопропил-3-этил-2-гидроксибензальдегида, МС(ЕI) m/z 190 (М), 175 (М-СН3).
323.6. Аналогично примеру 293.1 из 5-циклопропил-3-этил-2-гидроксибензальдегида по реакции с 2-иодэтанолом при 60oС в течение 6 ч получали 5-циклопропил-3-этил-2-(2-гидроксиэтокси)бензальдегид, МС(ЕI) m/z 234 (М), 216 (М-Н2О).
323.7. Аналогично примеру 1.1 из 5-циклопропил-3-этил-2-(2-гидроксиэтокси)бензальдегида по реакции с 4-аминобензонитрилом и бензилизонитрилом получали метиловый эфир (RS)-(4-цианофениламино)-[5-циклопропил-3-этил-2-(2-гидроксиэтокси)фенил] уксусной кислоты, MC(ISP) m/z 395,4 (М+Н)+, 417,4 (M+Na)+.
323.8. Аналогично примеру 6.2 из метилового эфира (RS)-(4-цианофениламино)-[5-циклопропил-3-этил-2-(2-гидроксиэтокси)фенил] уксусной кислоты по реакции Пиннера получали гидрохлорид метилового эфира (RS)-(4-карбамимидоилфениламино)-[5-циклопропил-3-этил-2-(2-гидроксиэтокси)фенил] уксусной кислоты, MC(ISP) m/z 412,2 (М+Н)+.
Пример 324.
Аналогично примеру 75 гидрохлорид метилового эфира (RS)-(4-карбамимидоилфениламино)-[5-циклопропил-3-этил-2-(2-гидроксиэтокси)фенил] уксусной кислоты (см. пример 336.3) гидролизовали в присутствии гидроксида лития с получением (RS)-(4-карбамимидоилфениламино)-[5-циклопропил-3-этил-2-(2-гидроксиэтокси)фенил] уксусной кислоты, MC(ISP) m/z 398,4 (М+Н)+, 420,4 (М+Na)+.
Пример 325.
325.1. Аналогично примеру 293.1 из 5-бром-3-этилсалицилового альдегида (номер по каталогу 57704-12-8) по реакции с 2-иодацетамидом в диметилацетамиде при 40oС в течение 2 ч получали 2-(4-бром-2-этил-6-(формилфенокси)ацетамид, МС(ЕI) m/z 285 (М), 241 (M-CONH2).
325.2. Аналогично примеру 1.1 из 2-(4-бром-2-этил-6-формилфенокси)ацетамида по реакции с 4-аминобензонитрилом и бензилизонитрилом получали метиловый эфир (RS)-(5-бром-2-карбамоилметокси-3-этилфенил)-(4-цианофениламино)уксусной кислоты, MC(ISP) m/z 446,2 (М+Н)+, 468,1 (M+Na)+.
Пример 326.
Аналогично примеру 75 гидрохлорид метилового эфира (RS)-(5-бром-2-карбамоилметокси-3-этилфенил)-(4-карбамимидоилфениламино)уксусной кислоты (см. пример 325.3) гидролизовали в присутствии гидроксида лития с получением (RS)-(5-бром-2-карбамоилметокси-3-этилфенил)-(4-карбамимидоилфениламино)уксусной кислоты, MC(ISP) m/z 449, 451,3 (М+Н)+, 471,1 (M+Na)+.
Пример 327.
327.1. Аналогично примеру 18.1 из 5-хлор-3-иодсалицилового альдегида по реакции Мицонобу с диизопропилазодикарбоксилатом (DIAD) и этиловым эфиром 2-гидроксиметакриловой кислоты получали 2-(4-хлор-2-формил-6-иодфенокси) этиловый эфир 2-метилакриловой кислоты, МС(ЕI) m/z 394 (М), 281 (М-113).
327.2. Аналогично примеру 1.1 из 2-(4-хлор-2-формил-6-иодфенокси)этилового эфира 2-метилакриловой кислоты по реакции с 4-аминобензонитрилом и толуол-4-сульфанилметилизоцианидом получали 2- {4-хлор-2-[(4-цианофениламино)метоксикарбонилметил]-6-иодфенокси}этиловый эфир (RS)-2-метилакриловой кислоты, MC(ISP) m/z 555,1 (М+Н)+, 576,9 (M+Na)+.
327.3. 1,99 г аллилтрибутилолова и 0,35 г тетракис(трифенилфосфин)палладия добавляли к раствору 1,66 г 2-{4-хлор-2-[(4-цианофениламино)метоксикарбонилметил] -6-иодфенокси} этиловый эфир (RS)-2-метилакриловой кислоты в 15 мл абсолютного диметилацетамида и смесь перемешивали при 90oС в течение 2,5 ч. Затем смесь концентрировали в высоком вакууме. Остаток обрабатывали ледяной водой и экстрагировали этилацетатом. Органические фазы промывали раствором хлорида натрия, водой и концентрировали. Остаток хроматографировали на силикагеле, при этом получали 1,3 г 2-{2-аллил-4-хлор-6-[(4-цианофениламино)метоксикарбонилметил] фенокси} этилового эфира (RS)-2-метилакриловой кислоты.
327.4. Аналогично примеру 6.2 из 2-{2-аллил-4-хлор-6-[(4-цианофениламино)метоксикарбонилметил] фенокси} этилового эфира (RS)-2-метилакриловой кислоты по реакции Пиннера получали гидрохлорид 2-{2-аллил-6-[(4-карбамимидоилфениламино)метоксикарбонилметил] -4-хлорфенокси}этилового эфира (RS)-2-метилакриловой кислоты, MC(ISP) m/z 486,3 (М+Н)+.
Пример 328.
Аналогично примеру 75 гидрохлорид 2-{2-аллил-6-[(4-карбамимидоилфениламино)метоксикарбонилметил] -4-хлорфенокси} этилового эфира (RS)-2-метилакриловой кислоты (см. пример 327.3) гидролизовали в присутствии гидроксида лития с получением (RS)-[3-аллил-5-хлор-2-(2-гидроксиэтокси)фенил]-(4-карбамимидоилфениламино)уксусной кислоты, MC(ISP) m/z 404,4 (М+Н)+, 426,4 (М+Na)+.
Пример 329.
329.1. Раствор 30,0 г 5-этилсалицилового альдегида (номер по каталогу 52411-35-5) в 500 мл ДМФ обрабатывали 36,0 г иодида натрия и 67,6 г хлорамина Т и перемешивали при комнатной температуре в течение 1 ч. Затем реакционную смесь концентрировали в высоком вакууме, выливали в ледяную воду, подкисляли 2 н. соляной кислотой и экстрагировали этилацетатом. Органические фазы промывали водным раствором тиосульфата натрия, насыщенным раствором хлорида натрия и ледяной водой, сушили над сульфатом натрия и концентрировали. Остаток растворяли в эфире/гексане (1:1) и фильтровали. Фильтрат концентрировали с получением 45,8 г 5-этил-2-гидрокси-3-иодбензальдегида, MC(EI) m/z 276 M+.
329.2. Аналогично примеру 18.1 из 5-этил-2-гидрокси-3-иодбензальдегида по реакции Мицонобу с DIAD и 2-бензилоксиэтанолом получали 2-(2-бензилоксиэтокси)-5-этил-3-иодбензальдегид, МС(ЕI) m/z 410 М+.
329.3. Аналогично примеру 1.1 из 2-(2-бензилоксиэтокси)-5-этил-3-иодбензальдегида по реакции с 4-аминобензонитрилом и толуол-4-сульфанилметилизоцианидом, заменяя метанол на этанол, получали этиловый эфир (RS)-[2-(2-бензилоксиэтокси)-5-этил-3-иодфенил]-(4-цианофениламино)уксусной кислоты, MC(ISP) m/z 585 (М+Н)+.
329.4. Раствор 7,1 г этилового эфира (RS)-[2-(2-бензилоксиэтокси)-5-этил-3-иодфенил] -(4-цианофениламино)уксусной кислоты в 50 мл дихлорметана обрабатывали 7,29 г иодтриметилсилана. Через 12 ч при комнатной температуре добавляли такое же количество иодтриметилсилана и смесь перемешивали при комнатной температуре в течение 18 ч. Затем добавляли этанол, реакционную смесь концентрировали, выливали в смесь льда с водным раствором бисульфита натрия и экстрагировали этилацетатом. Органические фазы промывали водным раствором гидрокарбоната натрия и ледяной водой, сушили над сульфатом натрия и концентрировали. После кристаллизации остатка получали 3,8 г этилового эфира (RS)-(4-цианофениламино)-[5-этил-2-(2-гидроксиэтокси)-3-иодфенил] уксусной кислоты. После хроматографии маточного раствора на силикагеле дополнительно получали 1,83 г продукта, MC(ISP) m/z 495 (М+Н)+, 517 (M+Na)+.
329.5. Аналогично примеру 293.3 из этилового эфира (RS)-(4-цианофениламино)-[5-этил-2-(2-гидроксиэтокси)-3-иодфенил] уксусной кислоты по реакции Штилле (Stille) с аллилтрибутилстаннаном и тетракис(3-фенилфосфин)палладием получали этиловый эфир (RS)-[3-аллил-5-этил-2-(2-гидроксиэтокси)фенил]-(4-цианофениламино)уксусной кислоты, MC(ISP) m/z 409 (М+Н)+.
329.6. Аналогично примеру 6.2 из этилового эфира (RS)-[3-аллил-5-этил-2-(2-гидроксиэтокси)фенил] -(4-цианофениламино)уксусной кислоты по реакции Пиннера получали гидрохлорид этилового эфира (RS)-[3-аллил-5-этил-2-(2-гидроксиэтокси)фенил] -(4-карбамимидоилфениламино)уксусной кислоты, MC(ISP) m/z 426 (М+Н)+.
Пример 330.
Аналогично примеру 75 гидрохлорид этилового эфира (RS)-[3-аллил-5-этил-2-(2-гидроксиэтокси)фенил] -(4-карбамимидоилфениламино)уксусной кислоты (см. пример 329.3) гидролизовали в присутствии гидроксида лития с получением (RS)-[3-аллил-5-этил-2-(2-гидроксиэтокси)фенил] -(4-карбамимидоилфениламино)уксусной кислоты, MC(ISP) m/z 398 (М+Н)+.
Пример 331.
331.1. Аналогично примеру 293.1 из 3,5-дииодсалицилового альдегида по реакции с 2-иод-О-тетрагидропиранилэтанолом (номер по каталогу 96388-83-9) в ДМФ при 80oС в течение 6 ч получали (RS)-3,5-дииод-2-[2-(тетрагидропиран-2-илокси)этокси]бензальдегид, МС(ЕI) m/z 502 М+.
331.2. Аналогично примеру 1.1 из (RS)-3,5-дииод-2-[2-(тетрагидропиран-2-илокси)этокси] бензальдегида по реакции с 4-аминобензонитрилом и толуол-4-сульфанилметилизоцианидом получали метиловый эфир (RS)-(4-цианофениламино)-[2-(2-гидроксиэтокси)-3,5-дииодфенил] уксусной кислоты, MC(ISP) m/z 579 (М+Н)+.
331.3. Аналогично примеру 6.2 из метилового эфира (RS)-(4-цианофениламино)-[2-(2-гидроксиэтокси)-3,5-дииодфенил] уксусной кислоты по реакции Пиннера получали гидрохлорид метилового эфира (RS)-(4-карбамимидоилфениламино)-[2-(2-гидроксиэтокси)-3,5-дииодфенил]уксусной кислоты, MC(ISP) m/z 596 (М+Н)+.
331.4. Аналогично примеру 327.3 гидрохлорид метилового эфира (4-карбамимидоилфениламино)-[2-(2-гидроксиэтокси)-3,5-дииодфенил] уксусной кислоты вводили в реакцию Штилле с трибутилвинилстаннаном и тетракис(трифенилфосфин) палладием, после концентрирования неочищенную смесь хроматографировали на силикагеле. При этом получали гидрохлорид метилового эфира (RS)-(4-карбамимидоилфениламино)-[2-(2-гидроксиэтокси)-3,5-дивинилфенил]уксусной кислоты, MC(ISP) m/z 396 (М+Н)+.
Пример 332.
Аналогично примеру 75 гидрохлорид метилового эфира (RS)-(4-карбамимидоилфениламино)-[2-(2-гидроксиэтокси)-3,5-дивинилфенил]уксусной кислоты (см. пример 327.3) гидролизовали в присутствии гидроксида лития с получением (RS)-(4-карбамимидоилфениламино)-[2-(2-гидроксиэтокси)-3,5-дивинилфенил] уксусной кислоты, МС (ISP) m/z 382 (М+Н)+, 404 (M+Na)+.
Пример 333.
333.1. Аналогично примеру 293.3 из 2-{ 4-хлор-2-[(4-цианофениламино)метоксикарбонилметил] -6-иодфенокси}этилового эфира (RS)-2-метилакриловой кислоты (см. пример 327.2) по реакции Штилле с трибутил(фенилэтинил)станнаном и тетракис(3-фенилфосфин)палладием получали 2-{ 4-хлор-2-[(4-цианофениламино)метоксикарбонилметил]-6-фенилэтинилфенокси}этиловый эфир (RS)-2-метилакриловой кислоты, MC(ISP) m/z 529,2 (М+Н)+, 551,0 (М+Na)+.
333.2. Аналогично примеру 6.2 из 2-{ 4-хлор-2-[(4-цианофениламино)метоксикарбонилметил]-6-фенилэтинилфенокси}этилового эфира (RS)-2-метилакриловой кислоты по реакции Пиннера получали гидрохлорид 2-{2-[(4-карбамимидоилфениламино)метоксикарбонилметил]-4-хлор-6-фенилэтинилфенокси}этилового эфира (RS)-2-метилакриловой кислоты, продукт очищали хроматографией на силикагеле, MC(ISP) m/z 546,3 (М+Н)+.
Пример 334.
Аналогично примеру 6.2 2-{4-хлор-2-[(4-цианофениламино)метоксикарбонилметил] -6-фенилэтинилфенокси} этиловый эфир (RS)-2-метилакриловой кислоты (см. пример 333.1) вводили в реакцию Пиннера и после хроматографии на силикагеле в качестве побочного продукта выделяли гидрохлорид метилового эфира (RS)-(4-карбамимидоилфениламино)-[5-хлор-2-(2-гидроксиэтокси)-3-фенилэтинилфенил]уксусной кислоты, MC(ISP) m/z 478,3 (М+Н)+.
Пример 335.
Аналогично примеру 75 гидрохлорид 2-{ 2-[(4-карбамимидоилфениламино)метоксикарбонилметил] -4-хлор-6-фенилэтинилфенокси}этилового эфира (RS)-2-метилакриловой кислоты (см. пример 333.2) гидролизовали в присутствии гидроксида лития с получением (RS)-(4-карбамимидоилфениламино)-[5-хлор-2-(2-гидроксиэтокси)-3-фенилэтинилфенил] уксусной кислоты, MC(ISP) m/z 464,2 (М+Н)+, 486,1 (M+Na)+.
Пример 336.
Раствор 210 мг гидрохлорида 2-{2-[(4-карбамимидоилфениламино)метоксикарбонилметил] -4-хлор-6-фенилэтинилфенокси}этилового эфира (RS)-2-метилакриловой кислоты (см. пример 333.2) в 5 мл метанола и 5 мл ТГФ гидрировали в присутствии каталитического количества никеля Ренея при комнатной температуре при перемешивании в течение 5 ч. Затем реакционную смесь фильтровали в вакууме, фильтрат концентрировали и после лиофилизации из воды получали 190 мг гидрохлорида 2-{2-[(4-карбамимидоилфениламино)метоксикарбонилметил]-4-хлор-6-стирилфенокси}этилового эфира (RS)-Z-изомасляной кислоты, MC(ISP) m/z 550,2 (М+Н)+.
Пример 337.
Аналогично примеру 75 гидрохлорид 2-{ 2-[(4-карбамимидоилфениламино)метоксикарбонилметил] -4-хлор-6-стирилфенокси} этилового эфира (RS)-Z-изомасляной кислоты (см. пример 336) гидролизовали в присутствии гидроксида лития с получением (RS)-Z-(4-карбамимидоилфениламино)-[5-хлор-2-(2-гидроксиэтокси)-3-стирилфенил] уксусной кислоты, MC(ISP) m/z 466,3 (М+Н)+.
Пример 338.
Аналогично примеру 29.2 гидрохлорид 2-{ 2-[(4-карбамимидоилфениламино)метоксикарбонилметил] -4-хлор-6-фенилэтинилфенокси}этилового эфира (RS)-2-метилакриловой кислоты (см. пример 333.2) гидрировали в метаноле/диоксане с получением гидрохлорида 2-{2-[(4-карбамимидоилфениламино)метоксикарбонилметил] -4-хлор-6-фенэтилфенокси} этилового эфира (RS)-изомасляной кислоты, MC(ISP) m/z 552,4 (M+H)+.
Пример 339.
Аналогично примеру 75 гидрохлорид 2-{ 2-[(4-карбамимидоилфениламино)метоксикарбонилметил] -4-хлор-6-фенэтилфенокси} этилового эфира (RS)-изомасляной кислоты (см. пример 338) гидролизовали в присутствии гидроксида лития с получением (RS)-(4-карбамимидоилфениламино)-[5-хлор-2-(2-гидроксиэтокси)-3-фенэтилфенил]уксусной кислоты, MC(ISP) m/z 468,3 (М+Н)+.
Пример 340.
340.1. Аналогично примеру 18.1 из 5-этил-2-гидрокси-3-иодбензальдегида (см. пример 329.1) по реакции Мицонобу с DIAD и 2-гидроксиэтиловым эфиром метилакриловой кислоты получали 2-(4-этил-2-формил-6-иодофенокси)этиловый эфир 2-метилакриловой кислоты, МС(ЕI) m/z 388,2 (М), 358,9 (M-CH2O).
340.2. Аналогично примеру 1.1 из 2-(4-этил-2-формил-6-иод-фенокси) этилового эфира 2-метилакриловой кислоты по реакции с 4-аминобензонитрилом и бензилизоцианидом получали 2-{2-[(4-цианофениламино)метоксикарбонилметил]-4-этил-6-иодфенокси}этиловый эфир (RS)-2-метилакриловой кислоты, MC(ISP) m/z 549,1 (М+Н)+, 571,2 (M+Na)+.
340.3. Аналогично примеру 327.3 из 2-{2-[(4-цианофениламино)метоксикарбонилметил] -4-этил-6-иодфенокси}этилового эфира (RS)-2-метилакриловой кислоты по реакции Штилле с трибутил(фенилэтинил)станнаном и тетракис(трифенилфосфин)палладием получали 2-{2-[(4-цианофениламино)метоксикарбонилметил] -4-этил-6-фенилэтинилфенокси}этиловый эфир (RS)-2-метилакриловой кислоты, MC(ISP) m/z 523,3 (М+Н)+, 545,3 (M+Na)+.
340.4. Аналогично примеру 6.2 из 2-{2-[(4-цианофениламино)метоксикарбонилметил] -4-этил-6-фенилэтинилфенокси}этилового эфира (RS)-2-метилакриловой кислоты по реакции Пиннера получали гидрохлорид 2-{2-[(4-карбамимидоилфениламино)метоксикарбонилметил] -4-этил-6-фенилэтинилфенокси} этилового эфира (RS)-2-метилакриловой кислоты, продукт очищали хроматографией на силикагеле, МС (ISP) m/z 540,3 (М+Н)+.
Пример 341.
Аналогично примеру 6.2 2-{2-[(4-цианофениламино)метоксикарбонилметил]-4-этил-6-фенилэтинилфенокси}этиловый эфир (RS)-2-метилакриловой кислоты (см. пример 340.4) вводили в реакцию Пиннера и после хроматографии на силикагеле в качестве побочного продукта выделяли гидрохлорид метилового эфира (RS)-(4-карбамимидоилфениламино)-[5-этил-2-(2-гидроксиэтокси)-3-фенилэтинилфенил] уксусной кислоты, MC(ISP) m/z 472,3 (М+Н)+.
Пример 342.
Аналогично примеру 75 гидрохлорид метилового эфира (RS)-(4-карбамимидоилфениламино)-[5-этил-2-(2-гидроксиэтокси)-3-фенилэтинилфенил] уксусной кислоты (см. пример 341) гидролизовали в присутствии гидроксида лития с получением гидрохлорида (RS)-(4-карбамимидоилфениламино)-[5-этил-2-(2-гидроксиэтокси)-3-фенилэтинилфенил] уксусной кислоты, MC(ISP) m/z 458,4 (M+H)+, 480,3 (M+Na)+.
Пример 343.
343.1. Аналогично примеру 89.1 2-этил-4-иодфенол (см. пример 323.1) формилировали с получением 3-этил-2-гидрокси-5-иодбензальдегида, МС(ЕI) m/z 276 М+.
343.2. Аналогично примеру 18.1 из 3-этил-2-гидрокси-5-иодбензальдегида по реакции Мицонобу с DIAD и 2-бензилэтанолом получали 2-(2-бензилоксиэтокси)-3-этил-5-иодбензальдегид, МС(ЕI) m/z 410 M+.
343.3. Аналогично примеру 1.1 из 2-(2-бензилоксиэтокси)-3-этил-5-иодбензальдегида по реакции с 4-аминобензонитрилом и толуол-4-сульфонилметилизоцианидом получали этиловый эфир (RS)-[2-(2-бензилоксиэтокси)-3-этил-5-иодфенил] -(4-цианофениламино)уксусной кислоты, MC(ISP) m/z 585 (M+H)+, 607 (M+Na)+.
343.4. Аналогично примеру 6.2 из этилового эфира (RS)-[2-(2-бензилоксиэтокси)-3-этил-5-иодфенил] -(4-цианофениламино)уксусной кислоты по реакции Пиннера получали гидрохлорид этилового эфира (RS)-[2-(2-бензилоксиэтокси)-3-этил-5-иодфенил] -(4-карбамимидоилфениламино)уксусной кислоты, продукт очищали хроматографией на силикагеле, MC(ISP) m/z 602 (М+Н)+.
343.5. Аналогично примеру 329.4 из гидрохлорида этилового эфира (RS)-[2-(2-бензилоксиэтокси)-3-этил-5-иодфенил] -(4-карбамимидоилфениламино)уксусной кислоты по реакции с триметилсилилиодидом получали гидрохлорид этилового эфира (RS)-(4-карбамимидоилфениламино)-[3-этил-2-(2-гидроксиэтокси)-5-иодфенил]уксусной кислоты, MC(ISP) m/z 512 (М+Н)+.
343.6. Аналогично примеру 327.3 из гидрохлорида этилового эфира (RS)-(4-карбамимидоилфениламино)-[3-этил-2-(2-гидроксиэтокси)-5-иодфенил]уксусной кислоты по реакции Штилле с трибутилвинилстаннаном и тетракис(трифенилфосфин) палладием получали гидрохлорид этилового эфира (RS)-(4-карбамимидоилфениламино)-[3-этил-2-(2-гидроксиэтокси)-5-винилфенил] уксусной кислоты, MC(ISP) m/z 412 (М+Н)+.
Пример 344.
Аналогично примеру 75 гидрохлорид этилового эфира (RS)-(4-карбамимидоилфениламино)-[3-этил-2-(2-гидроксиэтокси)-5-винилфенил] уксусной кислоты (см. пример 343.6) гидролизовали в присутствии гидроксида лития с получением (RS)-(4-карбамимидоилфениламино)-[3-этил-2-(2-гидроксиэтокси)-5-винилфенил] уксусной кислоты, MC(ISP) m/z 384 (М+Н)+.
Пример 345.
345.1. Аналогично примеру 327.3 из 2-{2-[(4-цианофениламино)метоксикарбонилметил] -4-этил-6-иодфенокси}этилового эфира (RS)-2-метилакриловой кислоты (см. пример 342.2) по реакции Штилле с трибутилэтинилстаннаном и тетракис(трифенилфосфин)палладием получали 2-{2-[(4-цианофениламино)метоксикарбонилметил]-4-этил-6-этинилфенокси}этиловый эфир (RS)-2-метилакриловой кислоты, MC(ISP) m/z 447,4 (М+Н)+, 469,4 (M+Na)+.
345.2. Аналогично примеру 6.2 из 2-{2-[(4-цианофениламино)метоксикарбонилметил]-4-этил-6-этинилфенокси}этилового эфира (RS)-2-метилакриловой кислоты по реакции Пиннера получали гидрохлорид 2-[2-[(4-карбамимидоилфениламино)метоксикарбонилметил] -6-(1-хлорвинил)-4-этилфенокси] этиловый эфир (RS)-2-метилакриловой кислоты, продукт очищали хроматографией на силикагеле, MC(ISP) m/z 500,3 (М+Н)+.
Пример 346.
Аналогично примеру 6.2 2-{2-[(4-цианофениламино)метоксикарбонилметил]-4-этил-6-этинилфенокси}этиловый эфир (RS)-2-метилакриловой кислоты (см. пример 343.1) вводили в реакцию Пиннера и после хроматографии на силикагеле в качестве побочного продукта выделяли гидрохлорид метилового эфира (RS)-(4-карбамимидоилфениламино)-[3-(1-хлорвинил)-5-этил-2-(2-гидроксиэтокси)фенил] уксусной кислоты, MC(ISP) m/z 432,3 (М+Н)+.
Пример 347.
Аналогично примеру 75 гидрохлорид 2-[2-[(4-карбамимидоилфениламино)метоксикарбонилметил] -6-(1-хлорвинил)-4-этилфенокси] этилового эфира (RS)-2-метилакриловой кислоты (см. пример 345.2) гидролизовали в присутствии гидроксида лития с получением (RS)-(4-карбамимидоилфениламино)-[3-(1-хлорвинил)-5-этил-2-(2-гидроксиэтокси)фенил] уксусной кислоты, MC(ISP) m/z 418,2 (М+Н)+, 440,2 (M+Na)+.
Пример 348.
348.1. Аналогично примеру 327.3 из 2-{2-[(4-цианофениламино)метоксикарбонилметил]-4-этил-6-иодфенокси}этилового эфира (RS) 2-метилакриловой кислоты (см. пример 340.2) по реакции Штилле с трибутил(1-этоксивинил)станнаном и тетракис(трифенилфосфин)палладием получали 2-[2-[(4-цианофениламино)метоксикарбонилметил] -6-(1-этоксивинил)-4-этилфенокси]этиловый эфир (RS)-2-метилакриловой кислоты, MC(ISP) m/z 493,2 (М+Н)+, 515,2 (M+Na)+.
348.2. Аналогично примеру 6.2 из 2-[2-[(4-цианофениламино)метоксикарбонилметил] -6-(1-этоксивинил)-4-этилфенокси] этилового эфира (RS)-2-метилакриловой кислоты по реакции Пиннера получали гидрохлорид 2-{ 2-ацетил-6-[(4-карбамимидоилфениламино)метоксикарбонилметил] -4-этилфенокси} этилового эфира (RS)-2-мeтилaкpилoвoй кислоты, продукт очищали хроматографией на силикагеле, MC(ISP) m/z 482,4 (М+Н)+, 512,3 (M+Na)+.
Пример 349.
Аналогично примеру 75 гидрохлорид 2-{2-ацетил-6-[(4-карбамимидоилфениламино)метоксикарбонилметил]-4-этилфенокси}этилового эфира (RS)-2-метилакриловой кислоты (см. пример 348.2) гидролизовали в присутствии гидроксида лития с получением (RS)-[3-ацетил-5-этил-2-(2-гидроксиэтокси)фенил]-(4-карбамимидоилфениламино)уксусной кислоты, MC(ISP) m/z 400,4 (M+H)+, 422,3 (М+Nа)+.
Пример 350.
Аналогично примеру 29.2 гидрохлорид 2-{ 2-[(4-карбамимидоилфениламино)метоксикарбонилметил] -4-этил-6-фенилэтинилфенокси}этилового эфира (RS)-2-метилакриловой кислоты (см. пример 340.4) гидрировали в метаноле/диоксане с получением гидрохлорида 2-{2-[(4-карбамимидоилфениламино)метоксикарбонилметил] -4-этил-6-фенэтилфенокси} этилового эфира (RS)-изомасляной кислоты, MC(ISP) m/z 546,3 (М+Н)+.
Пример 351.
Аналогично примеру 75 гидрохлорид 2-{ 2-[(4-карбамимидоилфениламино)метоксикарбонилметил] -4-этил-6-фенэтилфенокси} этилового эфира (RS)-изомасляной кислоты (см. пример 350) гидролизовали в присутствии гидроксида лития с получением (RS)-(4-карбамимидоилфениламино)-[5-этил-2-(2-гидроксиэтокси)-3-фенетилфенил] уксусной кислоты, MC(ISP) m/z 462,2 (M+H)+, 484,3 (М+Na)+.
Пример 352.
352.1. Аналогично примеру 124.1 метиловый эфир (RS)-(4-бензилокси-3-этоксифенил)-(4-цианофениламино)уксусной кислоты (пример 2.б) гидрировали с получением (RS)-(4-цианофениламино)-(3-этокси-4-гидроксифенил)уксусной кислоты.
352.2. 0,3 ммоля фенола, полученного, как описано в примере 352.1, растворяли в 1000 мкл ДМФ и обрабатывали небольшим количеством иодида натрия, а затем 0,3 ммоля трет-бутилата калия. После добавления 0,3 ммоля 3-метилбутилбромида реакционную смесь выдерживали при комнатной температуре в течение 6 ч. Затем добавляли 50 мкл муравьиной кислоты, реакционную смесь фильтровали, продукт реакции очищали препаративной ЖХВР (RP18, от 20% до 95% ацетонитрила). При этом получали метиловый эфир (RS)-(4-цианофениламино)-[3-этокси-4-(3-метилбутокси)фенил]уксусной кислоты.
352.3. 60 мг материала, полученного, как описано в примере 352.2, растворяли в 400 мкл хлороформа и 1500 мкл раствора сухой соляной кислоты в метаноле (содержание НСl=27 мас.%). Реакционную смесь выдерживали при комнатной температуре в течение 5 ч, затем концентрировали. Остаток растворяли в 500 мкл ТГФ и 1500 мкл 2 М раствора сухого аммиака в этаноле и нагревали при 45oС в течение 5 ч. Затем при комнатной температуре добавляли 500 мкл 2 М раствора гидроксида натрия. Через 30 мин реакционную смесь нейтрализовали 200 мкл муравьиной кислоты и концентрировали. Остаток растворяли в муравьиной кислоте и подвергали препаративной ЖХВР (RP18, от 10% до 95% ацетонитрила). При этом получали (RS)-(4-карбамимидоилфени-ламино)-[3-этокси-4-(3-метилбутокси)фенил]уксусную кислоту.
Пример 353.
Нижеуказанные соединения получали по методике, описанной в примере 352, с использованием соответствующих алкилбромидов:353. а) при использовании 3-феноксипропилбромида через промежуточное образование метилового эфира (RS)-(4-цианофениламино)-[3-этокси-4-(3-феноксипропокси)фенил] уксусной кислоты получали (RS)-(4-карбамимидоилфениламино)-[3-этокси-4-(3-феноксипропокси)фенил]уксусную кислоту; 353. б) при использовании 2-циклогексилэтилбромида через промежуточное образование (RS)-(4-цианофениламино)-[4-(2-циклогексилэтокси)-3-этоксифенил] уксусной кислоты получали (RS)-(4-карбамимидоилфениламино)-[4-(2-циклогексилэтокси)-3-этоксифенил]уксусную кислоту; 353. в) при использовании 2-феноксиэтилбромида через промежуточное образование (RS)-(4-цианофениламино)-[3-этокси-4-(2-феноксиэтокси)фенил] уксусной кислоты получали (RS)-(4-карбамимидоилфениламино)-[3-этокси-4-(2-феноксиэтокси)фенил]уксусную кислоту. Пример 354. 354.1. 0,3 ммоля фенола, полученного, как описано в примере 352.1, растворяли в 1000 мкл ДМФ и обрабатывали 0,6 ммолями карбоната калия, а затем 0,3 ммолями 2-бром-2′-метоксиацетофенона. Реакционную смесь выдерживали при 60oС в течение 5 ч, а затем фильтровали. К фильтрату добавляли 50 мкл муравьиной кислоты и реакционную смесь подвергали препаративной ЖХВР (RP 18, от 20% до 95% ацетонитрила). При этом получали метиловый эфир (RS)-(4-цианофениламино)-{3-этокси-4-[2-(2-метоксифенил)-2-оксоэтокси]фенил}уксусной кислоты. 354.2. Аналогично методике, описанной в примере 352.3, из продукта, полученного, как описано выше, получали (RS)-(4-карбамимидоилфениламино)-{ 3-этокси-4-[2-(2-метоксифенил)-2-оксоэтокси]фенил}уксусную кислоту. Пример 355. Нижеуказанные соединения получали по методике, описанной в примере 354, с использованием соответствующих алкилбромидов: 355. а) при использовании 2-бром-4′-метоксиацетофенона через промежуточное образование (RS)-(4-цианофениламино)-{ 3-этокси-4-[2-(4-метоксифенил)-2-оксоэтокси] фенил} уксусной кислоты получали (RS)-(4-карбамимидоилфениламино)-{ 3-этокси-4-[2-(4-метоксифенил)-2-оксоэтокси] фенил}уксусную кислоту; 355. б) при использовании 4-(2-оксопентил)бромида через промежуточное образование (RS)-(4-цианофениламино)-[3-этокси-4-(2-оксопентилокси)фенил] уксусной кислоты получали (RS)-(4-карбамимидоилфениламино)-[3-этокси-4-(2-оксопентилокси)фенил]уксусную кислоту. Пример 356. 356.1. 131 мг (0,5 ммоля) трифенилфосфина растворяли в 650 мкл тетрагидрофурана и охлаждали до 0oС в атмосфере аргона. К полученному раствору добавляли 78 мкл (0,5 ммоля) диэтилазодикарбоксилата, растворенного в 650 мкл тетрагидрофурана и реакционную смесь выдерживали в течение 1 ч. Затем добавляли 0,5 ммоля 2-(4-фторфенил)этанола, растворенного в 500 мкл диоксана, и 0,33 ммоля фенола, полученного, как описано в примере 124,1, в 700 мкл тетрагидрофурана. Реакционную смесь выдерживали при комнатной температуре в течение 2 ч, а затем подвергали препаративной ЖХВР (RP18, от 20% до 95% ацетонитрила). При этом получали (RS)-(4-цианофениламино)-{3-этокси-5-[2-(4-фторфенил)этокси}фенил}уксусную кислоту. 356.2. Аналогично методике, описанной в примере 352.3, из продукта, полученного выше, получали (RS)-(4-карбамимидоилфениламино)-{3-этокси-5-[2-(4-фторфенил)этокси]фенил}уксусную кислоту. Пример 357. Нижеуказанные соединения получали по методике, описанной в примере 356, с использованием соответствующих спиртов: 357. а) при использовании (RS)-3-гидpoкcитeтpaгидpoфypaнa через промежуточное образование смеси этиловых эфиров (RS)-(4-цианофениламино)-[5-этил-2-[(RS)-(тетрагидрофуран-3-илокси)] фенил]уксусных кислот получали смесь (RS)-(4-карбамимидоилфениламино)-[5-этил-2-[(RS)-(тетрагидрофуран-3-илокси)] фенил]уксусных кислот; 357. б) при использовании тетрагидро-4Н-пиран-4-ола через промежуточное образование этилового эфира (RS)-(4-циaнoфeнилaминo)-[5-этил-2-(тетрагидропиран-4-илокси)фенил] уксусной кислоты получали (RS)-(4-карбамимидоилфениламино)-[5-этил-2-(тетрагидропиран-4-илокси)фенил] уксусную кислоту; 357. в) при использовании 2-(гидроксиметил)пиридина через промежуточное образование этилового эфира (RS)-(4-цианофениламино)-[5-этил-2-(пиридин-2-илметокси)фенил] уксусной кислоты получали (RS)-(4-карбамимидоилфениламино)-[5-этил-2-(пиридин-2-илметокси)фенил]уксусную кислоту; 357. г) при использовании N-(2-гидроксиэтил)-2-пирролидона через промежуточное образование этилового эфира (RS)-(4-цианофениламино)-{5-этил-2-[2-(2-оксопирролидин-1-ил)этокси] фенил} уксусной кислоты получали (RS)-(4-карбамимидоилфениламино)-{ 5-этил-2-[2-(2-оксопирролидин-1-ил)этокси] фенил] уксусную кислоту. Пример 358. Нижеуказанные соединения получали по методике, описанной в примерах 352.2 и 352.3, из фенола, полученного, как описано в примере 124, и соответствующих алкилбромидов: 358.а) при использовании 4-бром-1-бутена через промежуточное образование метилового эфира (RS)-(3-бyт-3-eнилoкcи-5-этoкcифeнил)-(4-цианофениламино)уксусной кислоты получали (RS)-(3-бут-3-енилокси-5-этоксифенил)-(4-карбамимидоилфениламино)уксусную кислоту; 358. б) при использовании 1-бром-3-метилбутана через промежуточное образование метилового эфира (RS)-(4-цианофениламино)-[3-этокси-5-(3-метилбутокси)фенил] уксусной кислоты получали (RS)-(4-карбамимидоилфениламино)-[3-этокси-5-(3-метилбутокси)фенил]уксусную кислоту; 358. в) при использовании бромметилциклогексана через промежуточное образование метилового эфира (RS)-(4-цианофениламино)-(3-циклогексилметокси-5-этоксифенил)уксусной кислоты получали (RS)-(4-карбамимидоилфениламино)-(3-циклогексилметокси-5-этоксифенил)уксусную кислоту; 358. г) при использовании 1-бутилбромида через промежуточное образование метилового эфира (RS)-(3-бутокси-5-этоксифенил)-(4-цианофениламино)уксусной кислоты получали (RS)-(3-бутокси-5-этоксифенил)-(4-карбамимидоилфениламино)уксусную кислоту; 358. д) при использовании 2-бромэтилметилового эфира через промежуточное образование метилового эфира (RS)-(4-цианофениламино)-[3-этокси-5-(2-метоксиэтокси)фенил] уксусной кислоты получали (RS)-(4-карбамимидоилфениламино)-[3-этокси-5-(2-метоксиэтокси)фенил]уксусную кислоту; 358. е) при использовании 3-феноксипропилбромида через промежуточное образование метилового эфира (RS)-(4-цианофениламино)-[3-этокси-5-(3-феноксипропокси)фенил] уксусной кислоты получали (RS)-(4-карбамимидоилфениламино)-[3-этокси-5-(3-феноксипропокси)фенил]уксусную кислоту; 358. ж) при использовании 2-циклогексилэтилбромида через промежуточное образование метилового эфира (RS)-(4-цианофениламино)-[3-(2-циклогексилэтокси)-5-этоксифенил] уксусной кислоты получали (RS)-(4-карбамимидоилфениламино)-[3-(2-циклогексилэтокси)-5-этоксифенил]уксусную кислоту; 358. з) при использовании циклопропилметилбромида через промежуточное образование (RS)-(4-цианофениламино)-(3-циклопропилметокси-5-этоксифенил)уксусной кислоты получали (RS)-(4-карбамимидоилфениламино)-(3-циклопропилметокси-5-этоксифенил)уксусную кислоту; 358. и) при использовании 2-феноксиэтилбромида через промежуточное образование метилового эфира (RS)-(4-цианофениламино)-[3-этокси-5-(2-феноксиэтокси)фенил] уксусной кислоты получали (RS)-(4-карбамимидоилфениламино)-[3-этокси-5-(2-феноксиэтокси)фенил]уксусную кислоту; 358.к) при использовании 1-гексилбромида через промежуточное образование метилового эфира (RS)-(4-цианофениламино)-(3-этокси-5-гексилоксифенил)уксусной кислоты получали (RS)-(4-карбамимидоилфениламино)-(3-этокси-5-гексилоксифенил)уксусную кислоту. Пример 359. Нижеуказанные соединения получали по методике, описанной в примерах 354.1 и 354.2, из фенола, полученного, как описано в примере 124, и соответствующих алкилбромидов: 359.а) при использовании 2-бромацетофенона через промежуточное образование метилового эфира (RS)-(4-цианофениламино)-[3-этокси-5-(2-оксо-2-фенилэтокси)фенил] уксусной кислоты получали (RS)-(4-карбамимидоилфениламино)-[3-этокси-5-(2-оксо-2-фенилэтокси)фенил]уксусную кислоту; 359.б) при использовании 2-бром-2′-метоксиацетофенона через промежуточное образование метилового эфира (RS)-(4-цианофениламино)-{3-этокси-5-[2-(2-метоксифенил)-2-оксоэтокси] фенил} уксусной кислоты получали (RS)-(4-карбамимидоилфениламино)-{ 3-этокси-5-[2-(2-метоксифенил)-2-оксоэтокси] фенил} уксусную кислоту; 359.в) при использовании 2-бром-4′-метоксиацетофенона через промежуточное образование метилового эфира (RS)-(4-цианофениламино)-{3-этокси-5-[2-(4-метоксифенил)-2-оксоэтокси] фенил} уксусной кислоты получали (RS)-(4-карбамимидоилфениламино)-{ 3-этокси-5-[2-(4-метоксифенил)-2-оксоэтокси] фенил} уксусную кислоту; 359. г) при использовании 3-метил-2-оксобутилбромида через промежуточное образование метилового эфира (RS)-(4-цианофениламино)-[3-этокси-5-(3-метил-2-оксобутокси)фенил] уксусной кислоты получали (RS)-(4-карбамимидоилфениламино)-[3-этокси-5-(3-метил-2-оксобутокси)фенил]уксусную кислоту; 359.д) при использовании 4-метил-2-оксопентилбромида через промежуточное образование метилового эфира (RS)-(4-цианофениламино)-[3-этокси-5-(4-метил-2-оксопентилокси)фенил] уксусной кислоты получали (RS)-(4-карбамимидоилфениламино)-[3-этокси-5-(4-метил-2-оксопентилокси)фенил]уксусную кислоту; 359. е) при использовании 2-оксопентилбромида через промежуточное образование (RS)-(4-карбамимидоилфениламино)-[3-этокси-5-(2-оксопентилокси)фенил] уксусной кислоты получали (RS)-(4-карбамимидоилфениламино)-[3-этокси-5-(2-оксопентилокси)фенил]уксусную кислоту; 359. ж) при использовании 2-оксобутилбромида через промежуточное образование (RS)-(4-цианофениламино)-[2-этокси-5-(2-оксобутокси)фенил] уксусной кислоты получали (RS)-(4-карбамимидоилфениламино)-[3-этокси-5-(2-оксобутокси)фенил]уксусную кислоту. Пример 360. Нижеуказанные соединения получали по методике, описанной в примерах 354.1 и 354.2, из фенола, полученного, как описано в примере 148, и соответствующих спиртов: 360.а) при использовании 2-метилтиоэтанола через промежуточное образование метилового эфира (RS)-(4-цианофениламино)-[5-этил-2-(2-метилсульфанилэтокси)-3-пропилфенил] уксусной кислоты получали (RS)-(4-карбамимидоилфениламино)-[5-этил-2-(2-метилсульфанилэтокси)-3-пропилфенил]уксусную кислоту; 360. б) при использовании 4-(гидроксиметил)пиридина через промежуточное образование метилового эфира (RS)-(4-цианофениламино)-[5-этил-3-пропил-2-(пиридин-4-илметокси)фенил] уксусной кислоты получали (RS)-(4-карбамимидоилфениламино)-[5-этил-3-пропил-2-(пиридин-4-илметокси)фенил] уксусную кислоту; 360. в) при использовании бензилового спирта через промежуточное образование метилового эфира (RS)-(2-бензилокси-5-этил-3-пропилфенил)-(4-цианофениламино)уксусной кислоты получали (RS)-(2-бензилокси-5-этил-3-пропилфенил)-(4-карбамимидоилфениламино)уксусную кислоту; 360. г) при использовании 3-фуранметанола через промежуточное образование метилового эфира (RS)-(4-цианофениламино)-[5-этил-2-(фуран-3-илметокси)-3-пропилфенил] уксусной кислоты получали (RS)-(4-карбамимидоилфениламино)-[5-этил-2-(фуран-3-илметокси)-3-пропилфенил]уксусную кислоту; 360. д) при использовании 3-(гидроксиметил)пиридина через промежуточное образование метилового эфира (RS)-(4-цианофениламино)-[5-этил-3-пропил-2-(пиридин-3-илметокси)фенил] уксусной кислоты получали (RS)-(4-карбамимидоилфениламино)-[5-этил-3-пропил-2-(пиридин-3-илметокси)фенил] уксусную кислоту; 360. е) при использовании 4-метил-5-тиазолилэтанола через промежуточное образование метилового эфира (RS)-(4-цианофениламино)-{5-этил-2-[2-(4-метилтиазол-5-ил)этокси] -3-пропилфенил} уксусной кислоты получали (RS)-(4-карбамимидоилфениламино)-{ 5-этил-2-[2-(4-метилтиазол-5-ил)этокси] -3-пропилфенил}уксусную кислоту; 360. ж) при использовании циклопентанола через промежуточное образование метилового эфира (RS)-(4-цианофениламино)-(2-циклопентилокси-5-этил-3-пропилфенил)уксусной кислоты получали (RS)-(4-карбамимидоилфениламино)-(2-циклопентилокси-5-этил-3-пропилфенил)уксусную кислоту; 360.з) при использовании (гидроксиметил)циклопропана через промежуточное образование метилового эфира (RS)-(4-цианофениламино)-(2-циклопропилметокси-5-этил-3-пропилфенил)уксусной кислоты получали (RS)-(4-карбамимидоилфениламино)-(2-циклопропилметокси-5-этил-3-пропилфенил)уксусную кислоту; 360.и) при использовании (гидроксиметил)циклогексана через промежуточное образование метилового эфира (RS)-(4-цианофениламино)-(2-циклогексилметокси-5-этил-3-пропилфенил)уксусной кислоты получали (RS)-(4-карбамимидоилфениламино)-(2-циклогексилметокси-5-этил-3-пропилфенил)уксусную кислоту; 360.к) при использовании (гидроксиметил)циклопентана через промежуточное образование метилового эфира (RS)-(4-цианофениламино)-(2-циклопентилметокси-5-этил-3-пропилфенил)уксусной кислоты получали (RS)-(4-карбамимидоилфениламино)-(2-циклопентилметокси-5-этил-3-пропилфенил)уксусную кислоту; 360. л) при использовании 2-(3-фторфенил)этанола через промежуточное образование метилового эфира (RS)-(4-цианофениламино)-{ 5-этил-2-[2-(3-фторфенил)этокси] -3-пропилфенил} уксусной кислоты получали (RS)-(4-карбамимидоилфениламино)-{ 5-этил-2-[2-(3-фторфенил)этокси] -3-пропилфенил}уксусную кислоту; 360. м) при использовании 2-(гидроксиметил)пиридина через промежуточное образование метилового эфира (RS)-(4-цианофениламино)-[5-этил-3-пропил-2-(пиридин-2-илметокси)фенил] уксусной кислоты получали (RS)-(4-карбамимидоилфениламино)-[5-этил-3-пропил-2-(пиридин-2-илметокси)фенил] уксусную кислоту; 360. н) при использовании 2-изопропоксиэтанола через промежуточное образование метилового эфира (RS)-(4-цианофениламино)-[5-этил-2-(2-изопропоксиэтокси)-3-пропилфенил] уксусной кислоты получали (RS)-(4-карбамимидоилфениламино)-[5-этил-2-(2-изопропоксиэтокси)-3-пропилфенил] уксусную кислоту; 360. о) при использовании 2-метоксиэтанола через промежуточное образование метилового эфира (RS)-(4-цианофениламино)-[5-этил-2-(2-метоксиэтокси)-3-пропилфенил] уксусной кислоты получали (RS)-(4-карбамимидоилфениламино)-[5-этил-2-(2-метоксиэтокси)-3-пропилфенил]уксусную кислоту; 360. п) при использовании 2-(2-фторфенил)этанола через промежуточное образование метилового эфира (RS)-(4-цианофениламино)-{ 5-этил-2-[2-(2-фторфенил)этокси] -3-пропилфенил] уксусной кислоты получали (RS)-(4-карбамимидоилфениламино)-{ 5-этил-2-[2-(2-фторфенил)этокси] -3-пропилфенил}уксусную кислоту; 360. р) при использовании 2-(4-фторфенил)этанола через промежуточное образование метилового эфира (RS)-(4-цианофениламино)-{ 5-этил-2-[2-(4-фторфенил)этокси] -3-пропилфенил} уксусной кислоты получали (RS)-(4-карбамимидоилфениламино)-{ 5-этил-2-[2-(4-фторфенил)этокси] -3-пропилфенил}уксусную кислоту; 360. с) при использовании тетрагидро-4Н-пиран-4-ола через промежуточное образование метилового эфира (RS)-(4-цианофениламино)-[5-этил-3-пропил-2-(тетрагидропиран-4-илокси)фенил] уксусной кислоты получали (RS)-(4-карбамимидоилфениламино)-[5-этил-3-пропил-2-(тетрагидропиран-4-илокси)фенил] уксусную кислоту; 360.т) при использовании 2,5-дифторбензилового спирта через промежуточное образование метилового эфира (RS)-(4-цианофениламино)-[2-(2,5-дифторбензилокси)-5-этил-3-пропилфенил] уксусной кислоты получали (RS)-(4-карбамимидоилфениламино)-[2-(2,5-дифторбензилокси)-5-этил-3-пропилфенил] уксусную кислоту; 360.у) при использовании 3,4-дифторбензилового спирта через промежуточное образование метилового эфира (RS)-(4-цианофениламино)-[2-(3,4-дифторбензилокси)-5-этил-3-пропилфенил] уксусной кислоты получали (RS)-(4-карбамимидоилфениламино)-[2-(3,4-дифторбензилокси)-5-этил-3-пропилфенил] уксусную кислоту; 360. ф) при использовании (RS)-1-изопропил-3-пирролидинола через промежуточное образование смеси метиловых эфиров (RS)- и (SR)-(4-цианофениламино)-[5-этил-2-[(RS)-(1-изопропилпирролидин-3-илокси)]-3-пропилфенил]уксусных кислот получали смесь (RS)- и (SR)-(4-карбамимидоилфениламино)-[5-этил-2-[(RS)-(1-изопропилпирролидин-3-илокси)]-3-пропилфенил]уксусных кислот; 360.х) при использовании (RS)-3-гидpoкcитeтpaгидpoфypaнa через промежуточное образование смеси метиловых эфиров (RS)- и (SR)-(4-цианофениламино)-[5-этил-3-пропил-2-[(RS)-(тeтpaгидpoфypaн-3-илокси)] фенил] уксусных кислот получали смесь (RS)- и (SR)-(4-карбамимидоилфениламино)-[5-этил-3-пропил-2-[(RS)-(тетрагидрофуран-3-илокси)]фенил]уксусных кислот; 360.ц) при использовании (RS)-тетрагидро-3-фуранметанола через промежуточное образование смеси метиловых эфиров (RS)- и (SR)-(4-цианофениламино)-[5-этил-3-пропил-2-[(RS)-(тeтpaгидpoфypaн-3-илметокси)]фенил]уксусных кислот получали смесь (RS)- и (SR)-(4-карбамимидоилфениламино)-[5-этил-3-пропил-2-[(RS)-(тетрагидрофуран-3-илметокси)]фенил]уксусных кислот. Пример 361. Нижеуказанные соединения получали по методике, описанной в примерах 354.1 и 354.2, из фенола, полученного, как описано в примере 134.3, и соответствующих спиртов: 361.а) при использовании 3,4-дифторбензилового спирта через промежуточное образование метилового эфира (RS)-(4-цианофениламино)-[2-(3,4-дифторбензилокси)-5-этилфенил] уксусной кислоты получали (RS)-(4-карбамимидоилфениламино)-[2-(3,4-дифторбензилокси)-5-этилфенил]уксусную кислоту; 361.б) при использовании 2-метилтиоэтанола через промежуточное образование метилового эфира (RS)-(4-цианофениламино)-[5-этил-2-(2-метилсульфанилэтокси)фенил] уксусной кислоты получали (RS)-(4-карбамимидоилфениламино)-[5-этил-2-(2-метилсульфанилэтокси)фенил]уксусную кислоту; 361. в) при использовании 4-(гидроксиметил)пиридина через промежуточное образование метилового эфира (RS)-(4-цианофениламино)-[5-этил-2-(пиридин-4-илметокси)фенил] уксусной кислоты получали (RS)-(4-карбамимидоилфениламино)-[5-этил-2-(пиридин-4-илметокси)фенил]уксусную кислоту; 361.г) при использовании 3-фуранметанола через промежуточное образование метилового эфира (RS)-(4-цианофениламино)-[5-этил-2-(фуран-3-илметокси)фенил] уксусной кислоты получали (RS)-(4-карбамимидоилфениламино)-[5-этил-2-(фуран-3-илметокси)фенил]уксусную кислоту; 361. д) при использовании 3-(гидроксиметил)пиридина через промежуточное образование метилового эфира (RS)-(4-цианофениламино)-[5-этил-2-(пиридин-3-илметокси)фенил] уксусной кислоты получали (RS)-(4-карбамимидоилфениламино)-[5-этил-2-(пиридин-3-илметокси)фенил]уксусную кислоту; 361. е) при использовании циклопентанола через промежуточное образование метилового эфира (RS)-(4-цианофениламино)-(2-циклопентилокси-5-этилфенил)уксусной кислоты получали (RS)-(4-карбамимидоилфениламино)-(2-циклопентилокси-5-этилфенил)уксусную кислоту; 361.ж) при использовании (гидроксиметил)циклопропана через промежуточное образование метилового эфира (RS)-(4-цианофениламино)-(2-циклопропилметокси-5-этилфенил)уксусной кислоты получали (RS)-(4-карбамимидоилфениламино)-(2-циклопропилметокси-5-этилфенил)уксусную кислоту; 361.з) при использовании (гидроксиметил)циклопентана через промежуточное образование метилового эфира (RS)-(4-цианофениламино)-(2-циклопентилметокси-5-этилфенил)уксусной кислоты получали (RS)-(4-карбамимидоилфениламино)-(2-циклопентилметокси-5-этилфенил)уксусную кислоту; 361. и) при использовании 2-(3-фторфенил)этанола через промежуточное образование метилового эфира (RS)-(4-цианофениламино)-{ 5-этил-2-[2-(3-фторфенил)этокси] фенил} уксусной кислоты получали (RS)-(4-карбамимидоилфениламино)-{5-этил-2-[2-(3-фторфенил)этокси]фенил}уксусную кислоту; 361. к) при использовании 2-пропаргилового спирта через промежуточное образование метилового эфира (RS)-(4-цианофениламино)-(5-этил-2-проп-2-инилоксифенил)уксусной кислоты получали (RS)-(4-карбамимидоилфениламино)-(5-этил-2-проп-2-инилоксифенил)уксусную кислоту; 361. л) при использовании 2-(2-фторфенил)этанола через промежуточное образование метилового эфира (RS)-(4-цианофениламино)-{ 5-этил-2-[2-(2-фторфенил)этокси] фенил} уксусной кислоты получали (RS)-(4-карбамимидоилфениламино)-{5-этил-2-[2-(2-фторфенил)этокси]фенил}уксусную кислоту; 361. м) при использовании 2-(4-фторфенил)этанола через промежуточное образование метилового эфира (RS)-(4-цианофениламино)-{ 5-этил-2-[2-(4-фторфенил)этокси] фенил} уксусной кислоты получали (RS)-(4-карбамимидоилфениламино)-{5-этил-2-[2-(4-фторфенил)этокси]фенил}уксусную кислоту; 361.н) при использовании 2,5-дифторбензилового спирта через промежуточное образование метилового эфира (RS)-(4-цианофениламино)-[2-(2,5-дифторбензилокси)-5-этилфенил] уксусной кислоты получали (RS)-(4-карбамимидоилфениламино)-[2-(2,5-дифторбензилокси)-5-этилфенил]уксусную кислоту; 361.о) при использовании 2,5-дифторбензилового спирта через промежуточное образование метилового эфира (RS)-(4-цианофениламино)-[2-(2,5-дифторбензилокси)-5-этилфенил] уксусной кислоты получали (RS)-(4-карбамимидоилфениламино)-[2-(2,5-дифторбензилокси)-5-этилфенил]уксусную кислоту; 361. п) при использовании (RS)-1-изопропил-3-пирролидинола через промежуточное образование смеси метиловых эфиров (RS)- и (SR)-(4-цианофениламино)-[5-этил-2-[(RS)-(1-изопропилпирролидин-3-илокси)] фенил] уксусных кислот получали смесь (RS)- и (SR)-(4-карбамимидоилфениламино)-[5-этил-2-[(RS)-(1-изопропилпирролидин-3-илокси)]фенил]уксусных кислот; 361.р) при использовании (RS)-тетрагидро-3-фуранметанола через промежуточное образование смеси метиловых эфиров (RS)- и (SR)-(4-цианофениламино)-[5-этил-2-[(RS)-(тeтpaгидpoфypaн-3-илмeтoкси)]фенил]уксусных кислот получали смесь (RS)- и (SR)-(4-карбамимидоилфениламино)-[5-этил-2-[(RS)-(тетрагидрофуран-3-илметокси) ]фенил]уксусных кислот; 361. с) при использовании (RS)-(2-фтopфeнил)мeтилкapбинoлa через промежуточное образование смеси метиловых эфиров (RS)- и (SR)-(4-цианофениламино)-{ 5-этил-2-[(RS)-[1-(2-фторфенил)этокси] ]фенил}уксусных кислот получали смесь (RS)- и (SR)-(4-карбамимидоилфениламино)-{5-этил-2-[(RS)-[1-(2-фторфенил)этокси]]фенил}уксусных кислот. Пример 362. Нижеуказанные соединения получали по методике, описанной в примерах 354.1 и 354.2, из фенола, полученного, как описано в примере 124, и соответствующих спиртов: 362. а) при использовании 2-метилтиоэтанола через промежуточное образование метилового эфира (RS)-(4-циaнoфeнилaминo)-[3-этoкcи-5-(2-метилсульфанилэтокси)фенил] уксусной кислоты получали (RS)-(4-карбамимидоилфениламино)-[3-этокси-5-(2-метилсульфанилэтокси)фенил]уксусную кислоту; 362. б) при использовании 4-(гидроксиметил)пиридина через промежуточное образование метилового эфира (RS)-(4-цианофениламино)-[3-этокси-5-(пиридин-4-илметокси)фенил] уксусной кислоты получали (RS)-(4-карбамимидоилфениламино)-[3-этокси-5-(пиридин-4-илметокси)фенил]уксусную кислоту; 362. в) при использовании 4-метил-5-тиазолилэтанола через промежуточное образование метилового эфира (RS)-(4-цианофениламино)-{3-этокси-5-[2-(4-метилтиазол-5-ил)этокси] фенил} уксусной кислоты получали (RS)-(4-карбамимидоилфениламино)-{ 3-этокси-5-[2-(4-метилтиазол-5-ил)этокси] фенил} уксусную кислоту; 362.г) при использовании (гидроксиметил) циклопентана через промежуточное образование метилового эфира (RS)-(4-цианофениламино)-(3-циклопентилметокси-5-этоксифенил)уксусной кислоты получали (RS)-(4-карбамимидоилфениламино)-(3-циклопентилметокси-5-этоксифенил)уксусную кислоту; 362. д) при использовании 2-(3-фторфенил)этанола через промежуточное образование метилового эфира (RS)-(4-цианофениламино)-{3-этокси-5-[2-(3-фторфенил)этокси] фенил} уксусной кислоты получали (RS)-(4-карбамимидоилфениламино)-{3-этокси-5-[2-(3-фторфенил)этокси]фенил}уксусную кислоту; 362. е) при использовании 2-(гидроксиметил)пиридина через промежуточное образование метилового эфира (RS)-(4-цианофениламино)-[3-этокси-5-(пиридин-2-илметокси)фенил] уксусной кислоты получали (RS)-(4-карбамимидоилфениламино)-[3-этокси-5-(пиридин-2-илметокси)фенил]уксусную кислоту; 362. ж) при использовании 2-изопропоксиэтанола через промежуточное образование метилового эфира (RS)-(4-цианофениламино)-[3-этокси-5-(2-изопропоксиэтокси)фенил] уксусной кислоты получали (RS)-(4-карбамимидоилфениламино)-[3-этокси-5-(2-изопропоксиэтокси)фенил]уксусную кислоту; 362. з) при использовании пропаргилового спирта через промежуточное образование метилового эфира (RS)-(4-цианофениламино)-(3-этокси-5-проп-2-инилоксифенил)уксусной кислоты получали (RS)-(4-карбамимидоилфениламино)-(3-этокси-5-проп-2-инилоксифенил)уксусную кислоту; 362. и) при использовании 2-(2-фторфенил)этанола через промежуточное образование метилового эфира (RS)-(4-цианофениламино)-{3-этокси-5-[2-(2-фторфенил)этокси] фенил} уксусной кислоты получали (RS)-(4-карбамимидоилфениламино)-{3-этокси-5-[2-(2-фторфенил)этокси]фенил}уксусную кислоту; 362. к) при использовании 2-инданола через промежуточное образование метилового эфира (RS)-(4-цианофениламино)-[3-этокси-5-(индан-2-илокси)фенил] уксусной кислоты получали (RS)-(4-карбамимидоилфениламино)-[3-этокси-5-(индан-2-илокси)фенил]уксусную кислоту; 362. л) при использовании тетрагидро-4Н-пиран-4-ола через промежуточное образование метилового эфира (RS)-(4-цианофениламино)-[3-этокси-5-(тетрагидропиран-4-илокси)фенил] уксусной кислоты получали (RS)-(4-карбамимидоилфениламино)-[3-этокси-5-(тетрагидропиран-4-илокси)фенил] уксусную кислоту. Пример А. Фармацевтическая композиция I, в одной таблетке, мг: Активный компонент – 200 Микрокристаллическая целлюлоза – 155 Кукурузный крахмал – 25 Тальк – 25 Гидроксипропилметилцеллюлоза – 20 Итого – 425 Пример Б. Фармацевтическая композиция II, в одной капсуле, мг: Активный компонент – 100,0 Кукурузный крахмал – 20,0 Лактоза – 95,0 Тальк – 4,5 Стеарат магния – 0,5 Итого – 220,0ы Формула изобретения
![]() где R1 – водород или фрагмент группы сложного эфира, который может расщепляться в физиологических условиях; Е – водород или гидрокси; три из символов Х1-Х4 независимо обозначают группу C(Ra), C(Rb) или C(Rc), а четвертый обозначает группу C(Rd) или N; Ra-Rd каждый независимо обозначает водород, алкенил, алкенилкарбонилоксиалкокси, алкенилокси, алкинил, алкинилокси, алкокси, алкоксиалкенил, алкоксиалкокси, алкоксиалкил, алкоксиалкил(алкил)аминоалкил, алкоксиалкилкарбоксамидо, алкоксикарбонил, алкоксикарбонилалкокси, алкоксикарбонилалкил, алкоксикарбонилалкилкарбоксамидо, алкоксикарбониларилалкокси, алкоксикарбониларилокси, алкоксикарбонилкарбоксамидо, алкил, алкил(алкилкарбонил)амино, алкилкарбонил, алкилкарбонилалкокси, алкилкарбонилоксиалкокси, алкилкарбоксамидо, алкилкарбоксамидоалкокси, алкилсульфанил, алкилсульфанилалкокси, алкилсульфинил, алкилсульфонил, алкилсульфониламино, алкилсульфониламиноалкокси, алкилуреидил, алкилтиоуреидил, амино, аминоалкокси, арил, арилалкенил, арилалкинил, арилалкокси, арилалкоксиалкокси, арилалкил, арилалкилкарбоксамидо, арилкарбонилалкокси, арилкарбоксамидо, арилкарбоксамидоалкокси, арилокси, арилоксиалкокси, арилсульфониламино, арилсульфониламиноалкокси, карбокси, карбоксиалкил, карбоксиалкилкарбоксамидо, карбоксиалкокси, карбоксиарилалкокси, карбоксиарилокси, карбоксикарбоксамидо, карбамоилалкокси, циклоалкил, циклоалкокси, циклоалкилалкокси, циклоалкиламино, циклоалкиламиноалкил, циклоалкиламинокарбонилокси, циклоалкилкарбамоилалкокси, циклоалкилкарбоксамидо, дигидроксиалкокси, галоген, галоалкенил, галоалкокси, галоалкил, гидрокси, гидроксиалкокси, гидроксиалкоксиалкокси, гидроксиалкил, гидроксициклоалкокси, гидроксициклоалкиламино, моно- или диалкиламино, моно- или диалкиламиноалкокси, моно- или диалкиламиноалкил, моно- или диалкиламинокарбонилалкокси, 2,2,2-трифторацетиламиноалкокси или гетероциклический заместитель, выбранный из группы, включающей азепанилкарбонилалкокси, бензоимидазолил, морфолинилалкокси, морфолинилалкил, морфолинилоксоалкокси, пиперидинилалкокси, пиперидиниламино, пиперидиниламиноалкил, пиперидинилокси, алкилсульфонилпиперидинилокси, фуранилалкокси, 1,3-диоксо-1,3-дигидроизоиндолилалкил, имидазолил, имидазолилалкил, изатиазолилокси, дигидроизоксазолил, пиперазинил, пиперазинилалкил, пиридиниламиноалкил, биспиридинилалкиламино, пиридинилокси, пиримидиниламино-алкилазепанилиденамино, пирролидинил, пирролидинилалкокси, пирролидинилалкил, пирролидинилокси, пирролидинилоксоалкокси, оксопирролидинилалкокси, оксадиазолил, тетрагидрофуранилалкокси, тетрагидрофуранилокси, тетрагидропиранилалкокси, тетрагидропираниламино, тетрагидротиопираниламино, тетрагидропиранилокси, диоксогексагидротиопираниламино, тиазолилалкокси и тиофенил, где гетероциклические заместители необязательно замещены алкилом, алкоксигруппой, карбоксиалкилом, гидрокси-, тетразолилметоксигруппой, алкилсульфонилом или алкоксикарбонилалкилом или две смежные группы из Ra-Rd вместе образуют фрагмент сконденсированного 1,4-диоксанового, 1,3-диоксоланового, 1-оксанового или арильного кольца, при условии, что не более трех из Ra-Rd имеют одинаковые значения и X1 не замещен арилом, карбоксигруппой или алкоксикарбонилом; один из G1 и G2 – водород, а другой – водород, алкил, гидрокси, алкокси, ароил или группа СОО-Re или OCO-Re, где Re – алкил, необязательно замещенный галогеном, гидрокси-, алкокси-, карбоксигруппой, алкилкарбонилоксикарбонилом или арилкарбонилоксикарбонилом, а также их гидраты или сольваты и физиологически приемлемые соли. 2. Соединения по п.1, где Ra-Rd каждый независимо друг от друга обозначает водород, алкенил, алкенилкарбонилоксиалкокси, алкенилокси, алкинил, алкокси, алкоксиалкенил, алкоксиалкокси, алкоксиалкил, алкоксикарбонилалкокси, алкоксикарбониларилалкокси, алкоксикарбониларилокси, алкил, алкилкарбонилалкокси, алкилкарбонилоксиалкокси, алкилкарбоксамидоалкокси, алкилсульфанилалкокси, аминоалкокси, арил, арилалкенил, арилалкокси, арилалкоксиалкокси, арилалкил, арилкарбонилалкокси, арилкарбоксамидоалкокси, арилокси, арилоксиалкокси, карбокси, карбоксиалкил, карбоксиалкокси, карбоксиарилалкокси, карбоксиарилокси, карбамоилалкокси, циклоалкил, циклоалкокси, циклоалкилалкокси, циклоалкиламино, циклоалкиламиноалкил, циклоалкиламинокарбонилокси, циклоалкилкарбамоилалкокси, дигидроксиалкокси, галоген, галоалкенил, галоалкокси, галоалкил, гидроксиалкокси, гидроксиалкоксиалкокси, гидроксиалкил, гидроксициклоалкокси, моно- или диалкиламиноалкокси, моно- или диалкиламиноалкил, моно- или диалкиламинокарбонилалкокси или гетероциклический заместитель, выбранный из группы, включающей морфолинилалкокси, морфолинилалкил, морфолинилоксоалкокси, пиперидинилалкокси, пиперидинилокси, пиридиниламиноалкил, алкилсульфонилпиперидинилокси, фуранилалкокси, имидазолилалкил, изатиазолилокси, пирролидинил, пирролидинилалкокси, пирролидинилалкил, пирролидинилокси, пирролидинилоксоалкокси, оксадиазолил, тетрагидрофуранилалкокси, тетрагидрофуранилокси, тетрагидропиранилалкокси, тетрагидропиранилокси и тиазолилалкокси, где гетероциклические заместители необязательно замещены алкилом, алкокси-, тетразолилметоксигруппой, алкилсульфонилом или алкоксикарбонилалкилом или две смежные группы из Ra-Rd вместе образуют фрагмент сконденсированного 1,4-диоксанового, 1,3-диоксоланового, 1-оксанового или арильного кольца. 3. Соединения по п.2, где Ra-Rd каждый независимо друг от друга обозначает алкенил, алкенилокси, алкинил, алкокси, алкоксиалкенил, алкоксиалкокси, алкоксиалкил, алкоксикарбониларилалкокси, алкил, алкилкарбонилалкокси, алкилсульфанилалкокси, арилкарбоксамидоалкокси, карбамоилалкокси, карбоксиарилалкокси, циклоалкокси, циклоалкилалкокси, циклоалкиламинокарбонилокси, циклоалкилкарбамоилалкокси, дигидроксиалкокси, галоген, галоалкенил, галоалкокси, галоалкил, гидроксиалкокси, гидроксиалкоксиалкокси, гидроксиалкил, гидроксициклоалкокси, моно- или диалкиламиноалкокси или гетероциклический заместитель выбранный из группы, включающей пиперидинилокси, фуранилалкокси, изотиазолилокси, морфолинилалкил, пиридиниламиноалкил, пирролидинилалкил, пирролидинилокси, тетрагидрофуранилокси и тетрагидропиранилокси, где гетероциклические заместители необязательно замещены алкилом, алкокси-, тетразолилметоксигруппой, алкилсульфонилом или алкоксикарбонилалкилом. 4. Соединения по п.3, где Ra-Rd каждый независимо друг от друга обозначает водород, алкенил, алкинил, алкокси, алкил, карбамоилалкокси, циклоалкокси, циклоалкилалкокси, дигидроксиалкокси, галоген, галоалкокси, галоалкил, гидроксиалкокси, гидроксиалкил, гидроксициклоалкокси, моно- или диалкиламиноалкокси или гетероциклический заместитель, выбранный из группы, включающей морфолинилалкил, пиперидинилокси, пиридиниламиноалкил, пирролидинилалкил, пирролидинилокси и тетрагидропиранилокси, где гетероциклические заместители необязательно замещены алкилом, алкокси-, тетразолилметоксигруппой, алкилсульфонилом или алкоксикарбонилалкилом. 5. Соединения по п.4, где Ra-Rd каждый независимо друг от друга обозначает водород, алкенил, алкинил, алкокси, алкил, карбамоилалкокси, галоген, гидроксиалкокси, гидроксициклоалкокси, моно- или диалкиламиноалкокси или гетероциклический заместитель, выбранный из группы, включающей морфолинилалкил, пиперидинилокси, пиридиниламиноалкил, пирролидинилалкил и тетрагидропиранилокси, где гетероциклические заместители необязательно замещены алкилом, алкокси-, тетразолилметоксигруппой, алкилсульфонилом или алкоксикарбонилалкилом. 6. Соединения по любому из пп.1-5, где X1 – группа C(Ra), X2 – группа С(Rb), Х3 – группа C(Rc) и Х4 – группа С(Rd). 7. Соединения по любому из пп.1-6, где Ra – водород, карбамоилалкокси, гидроксиалкокси или галоген. 8. Соединения по любому из пп.1-7, где Ra – водород. 9. Соединения по любому из пп.1-8, где Rb – водород, алкенил, алкинил, алкокси или алкил. 10. Соединения по любому из пп.1-9, где Rb – алкокси. 11. Соединения по любому из пп.1-10, где Rc – водород, алкокси, моно- или диалкиламиноалкокси или гидроксиалкокси. 12. Соединения по любому из пп.1-11, где Rc – водород или алкокси. 13. Соединения по любому из пп.1-12, где Rd – водород, алкокси, гидроксициклоалкокси, моно- или диалкиламиноалкокси или гетероциклический заместитель, выбранный из группы, включающей морфолинилалкил, пиперидинилокси, пиридиниламиноалкил, пирролидинилалкил или тетрагидропиранилокси, где гетероциклические заместители необязательно замещены алкилом или алкилсульфонилом. 14. Соединения по любому из пп.1-13, где один из G1 и G2 – водород, а другой – водород, алкил, гидрокси, алкокси, ароил или группа COO-Re или OCO-Re, где Re – алкил, необязательно замещенный галогеном, гидрокси-, алкокси-, карбоксигруппой, алкилкарбонилоксикарбонилом или арилкарбонилоксикарбонилом. 15. Соединения по любому из пп.1-14, где один из G1 и G2 – водород или гидрокси, а другой – водород. 16. Соединения по любому из пп.1-15, где G1 и G2 – водород. 17. Соединения по любому из пп.1-16, где R1 – водород. 18. Соединения по любому из пп.1-17, где Е – водород. 19. Соединения по любому из пп.1-18, выбранные из группы, включающей а) (RS)-(4-карбамимидоилфениламино)-[4-(2-диметиламиноэтокси)-3-этоксифенил]уксусную кислоту; б) (RS)- и (SR)-(4-карбамимидоилфениламино)-[3-этокси-5-[(1-RS,2RS)-2-гидроксициклопентилокси]фенил]уксусную кислоту; в) (RS)-(4-карбамимидоилфениламино)-(3,5-диэтокси-2-фторфенил) уксусную кислоту; г) (RS)-(4-карбамимидоилфениламино)-[3-этокси-5-[(1-метилпиперидин-4-илокси)фенил]уксусную кислоту; д) (RS)- и (SR)-(4-кapбaмимидоилфениламино)-[3-этокси-4-[(RS)-2-гидрокси-1-метилэтокси] фенил]уксусную кислоту; е) (RS)- и (SR)-(4-карбамимидоилфениламино)-[3-этокси-5-[(1RS,2RS)-2-гидроксициклогексилокси]фенил]уксусную кислоту; ж) (RS)-(4-карбамимидоилфениламино)-[3-этокси-5-(1-метансульфонилпиперидин-4-илокси)фенил]уксусную кислоту; з) (4-карбамимидоилфениламино)-[3-этокси-5-(тетрагидропиран-4-илокси)фенил]уксусную кислоту; и) (RS)-(4-карбамимидоилфениламино)-(3-этинил-5-пирролидин-1-илметилфенил)уксусную кислоту; к) (RS)-(4-карбамимидоилфениламино)-(3-пирролидин-1-илметил-5-винилфенил)уксусную кислоту; л) гидрохлорид (RS)-(4-карбамимидоилфениламино)-(3-этокси-4-метоксифенил)уксусной кислоты; м) (RS)-(4-карбамимидоилфениламино)-(2-фтор-3,5-диметоксифенил)уксусную кислоту; н) (RS)-(4-карбамимидоилфениламино)-[3-этокси-5-(пиридин-2-иламинометил)фенил]уксусную кислоту; о) (RS)-(4-карбамимидоилфениламино)-(3-этокси-5-морфолин-4-илметилфенил)уксусную кислоту; п) (RS)-(4-карбамимидоилфениламино)-[3-этокси-4-(2-гидроксиэтокси)фенил] уксусную кислоту; р) (RS)-(4-карбамимидоилфениламино)-[4,5-диэтокси-2-(2-гидроксиэтокси)фенил]уксусную кислоту; с) (RS)-(4-карбамимидоилфениламино)-[3-(3-диметиламино-2,2-диметилпропокси)-5-этилфенил]уксусную кислоту; т) (RS)-(4-карбамимидоилфениламино)-[3-этокси-4-(2-гидроксиэтокси)фенил] уксусную кислоту; у) (RS)-(4-карбамимидоилфениламино)-[4,5-диэтокси-2-(3-гидроксипропокси)фенил]уксусную кислоту; и ф) (RS)-(4-карбамимидоилфениламино)-(2-карбамоилметокси-4,5-диэтоксифенил)уксусную кислоту. 20. Соединения по любому из пп.1-19, обладающие способностью ингибировать образование факторов свертывания Ха, IХа и тромбина, индуцируемого фактором VIIа и тканевым фактором, и предназначенные для лечения и предупреждения тромбоза, апоплексии, инфаркта сердца, воспаления или артериосклероза. 21. Фармацевтическая композиция, обладающая способностью ингибировать образование факторов свертывания Ха, IХа и тромбина, индуцируемого фактором VIIа и тканевым фактором, содержащая соединение по любому из пп.1-19 и фармацевтически приемлемый эксципиент, в виде галеновой формы для введения. 22. Способ получения соединений по любому из пп.1-19, предусматривающий превращение нитрильной группы в соединении формулы II ![]() где X1 – Х4, R1 и Е имеют значения, указанные в пп.1-19, в карбамимидоильную группу или в N-гидроксикарбамимидоильную группу и при необходимости модификацию реакционноспособной группы, присутствующей в полученном соединении формулы I, и при необходимости превращение полученного соединения формулы I в физиологически совместимую соль или превращение соли соединения формулы I в свободную кислоту или основание. 25. Соединения по любому из пп.1-19, полученные способом по п.22. 24. Соединения формулы II по п.22, где X1 – X4, R1 и Е имеют значения, указанные в пп.1-19. MM4A – Досрочное прекращение действия патента СССР или патента Российской Федерации на изобретение из-за неуплаты в установленный срок пошлины за поддержание патента в силе
Дата прекращения действия патента: 07.12.2007
Извещение опубликовано: 20.07.2010 БИ: 20/2010
|
||||||||||||||||||||||||||





(рекомбинантный человеческий тканевый фактор, объединенный с кальциевым буфером и синтетическими фосфолипидами (фирма Dade Behring
добавляли к раствору этилового эфира (RS)-(4-цианофениламино)-(3-этил-5-гидроксифенил)уксусной кислоты (390 мг, 1,20 ммоля), полученного, как описано в примере 200.1, в CH2Cl2 (12 мл). Затем добавляли по каплям пиридин (476 мг, 6,01 ммоля) и смесь перемешивали на открытом воздухе в течение 60 ч. Реакционную смесь концентрировали, остаток очищали хроматографией (SiO2, CH2Cl2). При этом получали 391 мг (81%) этилового эфира (RS)-(4-цианофениламино)-(3-этил-5-феноксифенил)уксусной кислоты в виде кристаллов бежевого цвета, МС:401 ([М+Н]+).
212.2. Аналогично примеру 6.2 из этилового эфира (RS)-(4-цианофенила-мино)-(3-этил-5-феноксифенил)уксусной кислоты, полученного, как описано в примере 212.1, получали гидрохлорид этилового эфира (RS)-(4-карбамимидоилфениламино)-(3-этил-5-феноксифенил)уксусной кислоты (1:1), МС:418 ([M+H]+).
Пример 213.
213.1. Аналогично примеру 212.1 из этилового эфира (RS)-(4-цианофениламино)-(3-этил-5-гидроксифенил)уксусной кислоты, полученного, как описано в примере 200.1, по реакции с 3-пиридилбороновой кислотой получали этиловый эфир (RS)-(4- цианофениламино)-[3-этил-5-(пиридин-3-илокси)фенил] уксусной кислоты.
213.2. Аналогично примеру 6.2 из этилового эфира (RS)-(4-цианофениламино)-[3-этил-5-(пиридин-3-илокси)фенил] уксусной кислоты, полученного, как указано в примере 213.1, получали гидрохлорид этилового эфира (RS)-(4-карбамимидоилфениламино)-[3-этил-5-(пиридин-3-илокси)фенил] уксусной кислоты (1: 1).
Пример 214.
214.1. Аналогично примеру 198.2 из 5-метоксибензол-1,3-дикарбальдегида, полученного, как описано в примере 198.1, по реакции с бромидом этилтрифенилфосфония получали 3-метокси-5-пропенилбензальдегид.
214.2. Аналогично примеру 1.1 из 3-метокси-5-пропенилбензальдегида, полученного, как описано в примере 214.1, по реакции с 4-аминобензонитрилом и бензилизонитрилом в ЕtOН получали этиловый эфир (RS)-(E/Z)-(4-цианофениламино)-(3-метокси-5-пропенилфенил)уксусной кислоты.
214.3. Аналогично примеру 199.1 из этилового эфира (RS)-(E/Z)-(4-цианофениламино)-(3-метокси-5-пропенилфенил)уксусной кислоты, полученного, как описано в примере 214.2, получали этиловый эфир (RS)-(4-цианофениламино)-(3-метокси-5-пропилфенил)уксусной кислоты, МС:353 ([М+Н]+).
214.4. Аналогично примеру 6.2 из этилового эфира (RS)-(4-цианофениламино)-(3-метокси-5-пропилфенил)уксусной кислоты, полученного, как описано в примере 214.3, получали гидрохлорид этилового эфира (RS)-(4-карбамимидоилфениламино)-(3-метокси-5-пропилфенил)уксусной кислоты (1:1), МС:370 ([М+Н] +).
Пример 215.
215.1. Аналогично примеру 168.1 из этилового эфира (RS)-(4-цианофениламино)-(3-метокси-5-пропилфенил)уксусной кислоты, полученного, как описано в примере 214.3, получали этиловый эфир (RS)-(4-цианофениламино)-(3-гидрокси-5-пропилфенил)уксусной кислоты.
215.2. Аналогично примеру 168.2 из этилового эфира (RS)-(4-цианофениламино)-(3-гидрокси-5-пропилфенил)уксусной кислоты, полученного, как описано в примере 215.1, по реакции с этилиодидом и Cs2CO3 в ацетоне, получали этиловый эфир (RS)-(4-цианофениламино)-(3-этокси-5-пропилфенил)уксусной кислоты, МС:366 ([М]+).
215.3. Аналогично примеру 6.2 из этилового эфира (RS)-(4-цианофениламино)-(3-этокси-5-пропилфенил)уксусной кислоты, полученного, как описано в примере 215.2, получали гидрохлорид этилового эфира (RS)-(4-карбамимидоилфениламино)-(3-этокси-5-пропилфенил)уксусной кислоты (1:1), МС:384 ([М+Н]+).
Пример 216.
216.1. Аналогично примеру 190.1 из 5-нитро-мета-ксилола получали 3-метил-5-нитробензальдегид, МС:165 ([М]+).
216.2. Аналогично примеру 1.1 из 3-метил-5-нитробензальдегида, полученного, как описано в примере 216.1, по реакции с 4-аминобензонитрилом и бензилизонитрилом в EtOH получали этиловый эфир (RS)-(4-цианофениламино)-(3-метил-5-нитрофенил)уксусной кислоты, МС:340 ([М+Н]+).
216.3. Аналогично примеру 59.2 из этилового эфира (RS)-(4-цианофениламино)-(3-метил-5-нитрофенил)уксусной кислоты, полученного, как описано в примере 216.2, по реакции с Н2 в EtOH (1:1) в присутствии катализатора Pd/C получали этиловый эфир (RS)-(3-амино-5-метилфенил)-(4-цианофениламино)уксусной кислоты, МС:309 ([М]+).
216.4. Аналогично примеру 61.1 из этилового эфира (RS)-(3-амино-5-метилфенил)-(4-цианофениламино)уксусной кислоты, полученного, как описано в примере 216.3, по реакции с этилиодидом и диизопропилэтиламином в ТГФ получали этиловый эфир (RS)-(4-цианофениламино)-(3-этиламино-5-метилфенил)уксусной кислоты, МС:338 ([М+Н]+).
216.5. Аналогично примеру 6.2 из этилового эфира (RS)-(4-цианофениламино)-(3-этиламино-5-метилфенил)уксусной кислоты, полученного, как описано в примере 216.4, получали гидрохлорид этилового эфира (RS)-(4-карбамимидоилфениламино)-(3-этиламино-5-метилфенил)уксусной кислоты (1:1), МС:355 ([М+Н] +).
Пример 217.
217.1. Аналогично примеру 61.1 из этилового эфира (RS)-(3-амино-5-метилфенил)-(4-цианофениламино)уксусной кислоты, полученного, как описано в примере 216.3, по реакции с этилиодидом и диизопропилэтиламином в ТГФ получали этиловый эфир (RS)-(4-цианофениламино)-(3-диэтиламино-5-метилфенил)уксусной кислоты, МС:366 ([М+Н]+).
217.2. Аналогично примеру 6.2 из этилового эфира (RS)-(4-цианофениламино)-(3-диэтиламино-5-метилфенил)уксусной кислоты, полученного, как описано в примере 217.1, получали гидрохлорид этилового эфира (RS)-(4-карбамимидоилфениламино)-(3-диэтиламино-5-метилфенил)уксусной кислоты (1: 1), МС:383 ([М+Н]+).
Пример 218.
218.1. Аналогично примеру 61.1 из этилового эфира (RS)-(3-амино-5-метилфенил)-(4-цианофениламино)уксусной кислоты, полученного, как описано в примере 216.3, по реакции с циклопентилбромидом и диизопропилэтиламином в ТГФ получали этиловый эфир (RS)-(4-цианофениламино)-(3-циклопентиламино-5-метилфенил)уксусной кислоты, МС:378 ([М+Н]+).
218.2. Аналогично примеру 6.2 из этилового эфира (RS)-(4-цианофениламино)-(3-циклопентиламино-5-метилфенил)уксусной кислоты, полученного, как описано в примере 218.1, получали гидрохлорид этилового эфира (RS)-(4-карбамимидоилфениламино)-(3-циклопентиламино-5-метилфенил)уксусной кислоты (1:1), МС:395 ([М+Н]+).
Пример 219.
219.1. Аналогично примеру 61.1 из этилового эфира (RS)-(3-амино-5-метилфенил)-(4-цианофениламино)уксусной кислоты, полученного, как описано в примере 216.3, по реакции с 1,4-дибромбутаном и диизопропилэтиламином в ТГФ получали этиловый эфир (RS)-(4-цианофениламино)-(3-метил-5-пирролидин-1-илфенил)уксусной кислоты, МС:363 ([М]+).
219.2 Аналогично примеру 6.2 из этилового эфира (RS)-(4-цианофениламино)-(3-метил-5-пирролидин-1-илфенил)уксусной кислоты, полученного, как описано в примере 219.1, получали гидрохлорид этилового эфира (RS)-(4-карбамимидоилфениламино) – (3-метил-5-пирролидин-1-илфенил)уксусной кислоты (1: 1), МС:381 ([М+Н]+).
Пример 220.
220.1. Аналогично примеру 188.1 из этилового эфира (RS)-(3-амино-5-метилфенил)-(4-цианофениламино)уксусной кислоты, полученного, как описано в примере 216.3, по реакции с н-бутилизоцианатом в ТГФ получали этиловый эфир (RS)-[3-(3-бутилуреидо)-5-метилфенил] -(4-цианофениламино)уксусной кислоты, МС:409 ([М+Н]+).
220.2. Аналогично примеру 6.2 из этилового эфира (RS)-[3-(3-бутилуреидо)-5-метилфенил] -(4-цианофениламино)уксусной кислоты, полученного, как описано в примере 211.1, получали гидрохлорид этилового эфира (RS)-[3-(3-бутилуреидо)-5-метилфенил] -(4-карбамимидоилфениламино)уксусной кислоты (1:1), МС:426 ([М+Н]+).
Пример 221.
221.1. Раствор этилового эфира (RS)-(3-амино-5-метилфенил)-(4-цианофениламино)уксусной кислоты (500 мг, 1,62 ммоля), полученного, как описано в примере 216.3, циклопентеноксида (136 мг, 1,62 ммоля) и LiClO4 (172 мг, 1,62 ммоля) в ацетонитриле (1,5 мл) перемешивали в течение 70 ч при комнатной температуре. Затем смесь нагревали при 60oС в течение 24 ч, добавляли дополнительные количества циклопентеноксида (136 мг, 1,62 ммоля) и LiClO4 (172 мг, 1,62 ммоля) и перемешивали при 60oС в течение 1 ч. После охлаждения добавляли воду и смесь экстрагировали диэтиловым эфиром. Органическую фазу сушили, фильтровали и концентрировали, остаток очищали хроматографией (SiO2, CH2Cl2/MeOH 98: 2). При этом получали 272 мг (43%) смеси этиловых эфиров (RS)- и (SR)-(4-цианофениламино)-[3-[(1RS,2RS)-2-гидроксициклопентиламино] -5-метилфенил] уксусных кислот в виде твердого вещества желтоватого цвета, МС:394 ([М+Н]+).
221.2. Аналогично примеру 6.2 из смеси этиловых эфиров (RS)- и (SR)-(4-цианофениламино)-[3-[(1RS, 2RS)-2-гидроксициклопентиламино]-5-метилфенил] уксусной кислоты, полученных, как описано в примере 221.1, получали смесь гидрохлоридов этиловых эфиров (RS)- и (SR)-(4-цианофениламино)-[3-[(1RS, 2RS)-2-гидроксициклопентиламино] -5-метилфенил]уксусных кислот (1:1), МС:411 ([М+Н]+).
Пример 222.
222.1. Раствор этилового эфира (RS)-(3-амино-5-метилфенил)-(4-цианофениламино)уксусной кислоты (475 мг, 1,54 ммоля), полученного, как описано в примере 216.3, 2-хлорпиримидина (400 мг, 3,38 ммоля), диизопропилэтиламина (317 мкл, 1,85 ммоля) и 1,8-диазабицикло[5.4.0]ундец-7-ена (276 мкл, 1,85 ммоля) в ТГФ (4 мл) кипятили с обратным холодильником в течение 2 ч. Реакционную смесь концентрировали, остаток очищали хроматографией (SiO2, гексан/AcOEt 1: 1= >EtOAc). При этом получали 193 мг (23%) этилового эфира (RS)-(4-цианофениламино)-(3-метил-5-{ 1-[3-(пиримидин-2-иламино)пропил] азепан-2-илиденамино] фенил}уксусной кислоты в виде пены желтоватого цвета, МС: 540 ([М+Н]+).
222.2. Аналогично примеру 6.2 из этилового эфира (RS)-(4-цианофениламино)-(3-метил-5-{ 1-[3-(пиримидин-2-иламино)пропил] азепан-2-илиденамино} фенил)уксусной кислоты, полученного, как описано в примере 222.1, получали гидрохлорид этилового эфира (RS)-(4-карбамимидоилфениламино)-(2-метил-5-{ 1-[3-(пиримидин-2-иламино)пропил]азепан-2-илиденамино}фенил)уксусной кислоты (1:1), МС:557 ([М+Н]+).
Пример 223.
223.1. Из изофталальдегида по реакции с НNО3/Н2SO4 и сульфатом аммония получали 5-нитробензол-1,3-дикарбальдегид (Inorganic Chem. , 37, 2134 (1998)).
223.2. Аналогично примеру 198.2 из 5-нитробензол-1,3-дикарбальдегида, полученного, как описано в примере 223.1, по реакции с бромидом метилтрифенилфосфония получали 3-нитро-5-винилбензальдегид, МС:177 ([M]+).
223.3. Аналогично примеру 1.1 из 3-нитро-5-винилбензальдегида, полученного, как описано в примере 223.2, по реакции с 4-аминобензонитрилом и бензилизонитрилом в EtOH получали этиловый эфир (RS)-(4-цианофениламино)-(3-нитро-5-винилфенил)уксусной кислоты, МС:351 ([М]+).
223.4. Аналогично примеру 59.2 из этилового эфира (RS)-(4-цианофениламино)-(3-нитро-5-винилфенил)уксусной кислоты, полученного, как описано в примере 223.3, по реакции с Н2 в EtOH в присутствии катализатора Pd/C получали этиловый эфир (RS)-(3-амино-5-этилфенил)-(4-цианофениламино)уксусной кислоты, МС:323 ([М]+).
223.5. Аналогично примеру 61.1 из этилового эфира (RS)-(3-амино-5-этилфенил)-(4-цианофениламино)уксусной кислоты, полученного, как описано в примере 223.4, по реакции с 1,4-дибромбутаном и диизопропилэтиламином в ТГФ получали этиловый эфир (RS)-(4-цианофениламино)-(3-этил-5-пирролидин-1-илфенил)уксусной кислоты, МС:378 ([М+Н]+).
223.6. Аналогично примеру 6.2 из этилового эфира (RS)-(4-цианофениламино)-(3-этил-5-пирролидин-1-илфенил)уксусной кислоты, полученного, как описано в примере 223.5, получали гидрохлорид этилового эфира (RS)-(4-карбамимидоилфениламино)-(3-этил-5-пирролидин-1-илфенил)уксусной кислоты (1:1), МС:395 ([М+Н]+).
Пример 224.
224.1. Смесь этилового эфира (RS)-(3-амино-5-этилфенил)-(4-цианофениламино)уксусной кислоты (500 мг, 1,55 ммоля), полученного, как описано в примере 223.4, гидрохлорида бис-(2-хлорэтиламина) (276 мг, 1,55 ммоля) и хлорбензола (5 мл) кипятили с обратным холодильником в течение 18 ч. Реакционную смесь концентрировали, остаток очищали хроматографией (SiO2, CH2Cl2/MeOH 9: 1). При этом получали 385 мг (63%) этилового эфира (RS)-(4-цианофениламино)-(3-этил-5-пиперазин-1 -илфенил)уксусной кислоты в виде твердого вещества коричневатого цвета, МС:393 ([М+Н]+).
224.2. Аналогично примеру 6.2 из этилового эфира (RS)-(4-цианофениламино)-(3-этил-5-пиперазин-1-илфенил)уксусной кислоты, полученного, как описано в примере 224.1, получали гидрохлорид этилового эфира (RS)-(4-карбамимидоилфениламино)-(3-этил-5-пиперазин-1-илфенил)уксусной кислоты (1: 1), МС:410 ([М+Н]+).
Пример 225.
225.1. Циклопентанкарбонилхлорид (0,104 мл, 0,85 ммоля) добавляли по каплям при 0oС к раствору этилового эфира (RS)-(3-амино-5-этилфенил)-(4-цианофениламино)уксусной кислоты (250 мг, 0,772 ммоля), полученного, как описано в примере 223.4, и диизопропилэтиламина (0,146 мл, 0,85 ммоля) в CH2Cl2 (5 мл). Реакционную смесь медленно нагревали (2 ч) при комнатной температуре. Затем добавляли насыщенный водный раствор KHSO4 и полученную смесь экстрагировали AcOEt. Органическую фазу промывали водой, сушили и фильтровали, фильтрат концентрировали. Остаток очищали хроматографией (SiO2, гексан= >гексан/AcOEt 2: 1). При этом получали 215 мг (66%) этилового эфира (RS)-(4-циaнoфeнилaминo)-[3-(циклoпeнтaнкapбoниламино)-5-этилфенил] уксусной кислоты в виде бесцветной пены, МС:418 ([М-Н]–).
225.2. Аналогично примеру 6.2 из этилового эфира (RS)-(4-цианофениламино)-[3-(циклопентанкарбониламино)-5-этилфенил] уксусной кислоты, полученного, как описано в примере 225.1, получали гидрохлорид этилового эфира (RS)-(4-карбамимидоилфениламино)-[3-(циклопентанкарбониламино)-5-этилфенил] уксусной кислоты, МС:437 ([М+Н]+).
Пример 226.
226.1. Аналогично примеру 225.1 из этилового эфира (RS)-(3-амино-5-этилфенил)-(4-цианофениламино)уксусной кислоты, полученного, как описано в примере 223.4, по реакции с бензолсульфонилхлоридом и диизопропилэтиламином в CH2Cl2 получали этиловый эфир (RS)-(4-цианофениламино)-(3-бензолсульфониламино-5-этилфенил)уксусной кислоты.
226.2. Аналогично примеру 6.2 из этилового эфира (RS)-(4-цианофениламино)-(3-бензолсульфониламино-5-этилфенил)уксусной кислоты, полученного, как описано в примере 226.1, получали гидрохлорид этилового эфира (RS)-(4-карбамимидоилфениламино)-(3-бензолсульфониламино-5-этилфенил)уксусной кислоты (1: 1), МС:481 ([М+Н]+).
Пример 227.
227.1. Аналогично примеру 225.1 из этилового эфира (RS)-(3-амино-5-этилфенил)-(4-цианофениламино)уксусной кислоты, полученного, как описано в примере 223.4, по реакции с бутилсульфамоилхлоридом и диизопропилэтиламином в CH2Cl2 получали этиловый эфир (RS)-(4-цианофениламино)-(3-бутилсульфамоиламино-5-этилфенил)уксусной кислоты.
227.2. Аналогично примеру 6.2 из этилового эфира (RS)-(4-цианофениламино)-(3-бутилсульфамоиламино-5-этилфенил)уксусной кислоты, полученного, как описано в примере 227.1, получали гидрохлорид этилового эфира (RS)-(4-карбамимидоилфениламино)-(3-бутилсульфамоиламино-5-этилфенил)уксусной кислоты (1: 1), МС:476 ([М+Н]+).
Пример 228.
228.1. Na2SO4 (1,09 г, 7,7 ммоля) добавляли к раствору этилового эфира (RS)-(3-амино-5-этилфенил)-(4-цианофениламино)уксусной кислоты (250 мг, 0,77 ммоля), полученного, как описано в примере 223.4, и 1-метил-4-пиперидона (174 мг, 1,54 ммоля) в уксусной кислоте (5 мл), полученную смесь перемешивали при комнатной температуре в течение 15 мин. Затем смесь охлаждали до 0oС и порциями медленно добавляли NаНВ(ОАс)3 (489 мг, 2,31 ммоля). Через 30 мин добавляли насыщенный раствор NaHCO3 и смесь экстрагировали AcOEt. Органическую фазу сушили и фильтровали, фильтрат концентрировали. Остаток очищали хроматографией (SiO2, CH2Cl2/MeOH 9:1). При этом получали 287 мг (89%) этилового эфира (RS)-(4-цианофениламино)-[3-этил-5-(1-метилпиперидин-4-иламино)фенил] уксусной кислоты в виде твердого вещества желтоватого цвета, МС:421 ([М+Н]+).
228.2 Аналогично примеру 6.2 из этилового эфира (RS)-(4-цианофениламино)-[3-этил-5-(1-метилпиперидин-4-иламино)фенил] уксусной кислоты, полученного, как описано в примере 228.1, получали гидрохлорид этилового эфира (RS)-(4-карбамимидоилфениламино)-[3-этил-5-(1-метилпиперидин-4-иламино)фенил] уксусной кислоты (1:1).
Пример 229.
229.1. Аналогично примеру 228.1 из этилового эфира (RS)-(3-амино-5-этилфенил)-(4-цианофениламино)уксусной кислоты, полученного, как описано в примере 223.4, по реакции с 3-пиридинкарбоксальдегидом и NаНВ(ОАс)3 в АсОН получали этиловый эфир (RS)-(4-цианофениламино)-{3-этил-5-[(пиридин-3-илметил)амино]фенил}уксусной кислоты, МС:415 ([М+Н]+).
229.2. Аналогично примеру 6.2 из этилового эфира (RS)-(4-цианофениламино)-{ 3-этил-5-[(пиридин-3-илметил)амино] фенил}уксусной кислоты, полученного, как описано в примере 229.1, получали гидрохлорид этилового эфира (RS)-(4-карбамимидоилфениламино)-[3-этил-5-[(пиридин-3-илметил)амино] фенил} уксусной кислоты (1:1), МС:432 ([М+Н]+).
Пример 230.
230.1. Аналогично примеру 228.1 из этилового эфира (RS)-(3-амино-5-этилфенил)-(4-цианофениламино)уксусной кислоты, полученного, как описано в примере 223.4, по реакции с 3-пиридинкарбоксальдегидом и NaHB(OAc)3 в АсОН получали этиловый эфир (RS)-[3-(бис-пиридин-3-илметиламино)-5-этилфенил]-(4-цианофениламино)уксусной кислоты, МС:506 ([М+Н]+).
230.2. Аналогично примеру 6.2 из этилового эфира (RS)-[3-(бис-пиридин-3-илметиламино)-5-этилфенил]-(4-цианофениламино)уксусной кислоты, полученного, как описано в примере 230.1, получали гидрохлорид этилового эфира (RS)-[3-(бис-пиридин-3-илметиламино)-5-этилфенил] -(4-карбамимидоилфениламино)уксусной кислоты(1:1), МС:523 ([М+Н]+).
Пример 231.
231.1. Аналогично примеру 228.1 из этилового эфира (RS)-(3-амино-5-этилфенил)-(4-цианофениламино)уксусной кислоты, полученного, как описано в примере 223.4, по реакции с тетрагидро-4Н-пиран-4-оном и NаНВ(ОАс)3 в АсОН получали этиловый эфир (RS)-(4-цианофениламино)-[3-этил-5-(тетрагидропиран-4-иламино)фенил]уксусной кислоты, МС:408 ([М+Н]+).
231.2. Аналогично примеру 6.2 из этилового эфира (RS)-(4-цианофениламино)-[3-этил-5-(тетрагидропиран-4-иламино)фенил]уксусной кислоты, полученного, как описано в примере 231.1, получали гидрохлорид этилового эфира (RS)-(4-карбамимидоилфениламино)-[3-этил-5-(тетрагидропиран-4-иламино)фенил] уксусной кислоты (1:1), МС:425 ([М+Н]+).
Пример 232.
232.1. Аналогично примеру 228.1 из этилового эфира (RS)-(3-амино-5-этилфенил)-(4-цианофениламино)уксусной кислоты, полученного, как описано в примере 223.4, по реакции с тетрагидро-4Н-тиопиран-4-оном и NаНВ(ОАс)3 в АсОН получали этиловый эфир (RS)-(4-цианофениламино)-[3-этил-5-(тетрагидротиопиран-4-иламино)фенил]уксусной кислоты, МС:424 ([М+Н]+).
232.2. Аналогично примеру 6.2 из этилового эфира (RS)-(4-цианофениламино)-[3-этил-5-(тетрагидротиопиран-4-иламино)фенил] уксусной кислоты, полученного, как описано в примере 232.1, получали гидрохлорид этилового эфира (RS)-(4-карбамимидоилфениламино)-[3-этил-5-(тетрагидротиопиран-4-иламино)фенил]уксусной кислоты (1:1), МС:441 ([М+Н]+).
Пример 233.
233.1. Аналогично примеру 164.1 из этилового эфира (RS)-(4-цианофениламино)-[3-этил-5-(тетрагидротиопиран-4-иламино)фенил] уксусной кислоты, полученного, как описано в примере 232.1, по реакции с озоном в ацетоне/воде получали этиловый эфир (RS)-(4-цианофениламино)-[3-(1,1-диоксогексагидротиопиран-4-иламино)-5-этилфенил]уксусной кислоты, МС:456 ([М+Н]+).
233.2. Аналогично примеру 6.2 из этилового эфира (RS)-(4-цианофениламино)-[3-(1,1-диоксогексагидротиопиран-4-иламино)-5-этилфенил] уксусной кислоты, полученного, как описано в примере 233.1, получали гидрохлорид этилового эфира (RS)-(4-карбамимидоилфениламино)-[3-(1,1-диоксогексагидротиопиран-4-иламино)-5-этилфенил]уксусной кислоты (1:1), МС:473 ([М+Н]+).
Пример 234.
234.1. MnO2 (8,37 г, 96,3 ммоля) добавляли к раствору (3-этокси-5-гидроксиметилфенил)метанола (17,55 г, 96,3 ммоля) в CH2Cl2 (175 мл) и смесь перемешивали при комнатной температуре в течение 64 ч. Затем добавляли дополнительное количество МnО2 (8,37 г, 96,3 ммоля) и смесь перемешивали в течение 6 ч. Смесь фильтровали через целит и фильтрат концентрировали. Продукт очищали хроматографией, при этом получали 8,32 г (48%) 3-этокси-5-гидроксиметилбензальдегида в виде бесцветного масла.
234.2. Аналогично примеру 1.1 из 3-этокси-5-гидроксиметилбензальдегида, полученного, как описано в примере 234.1, по реакции с 4-аминобензонитрилом и бензилизонитрилом в EtOH получали этиловый эфир (RS)-(4-цианофениламино)-(3-этокси-5-гидроксиметилфенил)уксусной кислоты, МС:355 ([М+Н]+).
234.3. Метансульфонилхлорид медленно добавляли при 0oС к раствору этилового эфира (RS)-(4-цианофениламино)-(3-этокси-5-гидроксиметилфенил)уксусной кислоты (200 мг, 0,564 ммоля), полученного, как указано в примере 234.2, и N-этилдиизопропиламина (88 мг, 0,68 ммоля) в ТГФ (3 мл). Смесь перемешивали при 0oС в течение 1,5 ч и при комнатной температуре в течение 1,5 ч. Смесь выливали в ледяную воду/1 M НСl и экстрагировали AcOEt. Органическую фазу промывали водой, сушили и фильтровали, фильтрат концентрировали. При этом получали 232 мг этилового эфира (RS)-(4-цианофениламино)-(3-этокси-5-метансульфонилоксиметилфенил)уксусной кислоты в виде масла желтого цвета, которое использовали в последующей реакции без дополнительной очистки.
234.4. N-Этилдиизопропиламин (132 мг, 1,02 ммоля) и пирролидин (145 мг, 2,04 ммоля) добавляли к раствору этилового эфира (RS)-(4-цианофениламино)-(3-этокси-5-метансульфонилоксиметилфенил)уксусной кислоты (221 мг, 0,511 ммоля), полученного, как описано в примере 234.3, в ТГФ (2 мл) и смесь перемешивали при комнатной температуре течение 1 ч. Реакционную смесь концентрировали, остаток очищали хроматографией (SiO2, CH2Cl2/MeOH 99:1). При этом получали 153 мг (73%) этилового эфира (RS)-(4-цианофениламино)-(3-этокси-5-пирролидин-1-илметилфенил)уксусной кислоты в виде пены желтоватого цвета, МС:408 ([М+Н]+).
234.5. Аналогично примеру 6.2 из этилового эфира (RS)-(4-цианофениламино)-(3-этокси-5-пирролидин-1-илметилфенил)уксусной кислоты, полученного, как описано в примере 234.4, получали гидрохлорид этилового эфира (RS)-(4-карбамимидоилфениламино)-(3-этокси-5-пирролидин-1-илметилфенил)уксусной кислоты (1:1).
Пример 235.
235.1. Аналогично примеру 234.4 из этилового эфира (RS)-(4-цианофениламино)-(3-этокси-5-метансульфонилоксиметилфенил)уксусной кислоты, полученного, как описано в примере 234.3, по реакции с циклобутиламином и N-этилдиизопропиламином в ТГФ получали этиловый эфир (RS)-(4-цианофениламино)-(3-циклобутиламинометил-5-этоксифенил)уксусной кислоты, МС:408 ([М+Н]+).
235.2. Аналогично примеру 6.2 из этилового эфира (RS)-(4-цианофениламино)-(3-циклобутиламинометил-5-этоксифенил)уксусной кислоты, полученного, как описано в примере 235.1, получали этиловый эфир (RS)-(4-карбамимидоилфениламино)-(3-циклобутиламинометил-5-этоксифенил)уксусной кислоты.
Пример 236.
236.1. Аналогично примеру 234.4 из этилового эфира (RS)-(4-цианофениламино)-(3-этокси-5-метансульфонилоксиметилфенил)уксусной кислоты, полученного, как описано в примере 234.3, по реакции с морфолином и N-этилдиизопропиламином в ТГФ получали этиловый эфир (RS)-(4-цианофениламино)-(3-этокси-5-морфолин-4-илметилфенил)уксусной кислоты, МС:424 ([М+Н]+).
236.2. Аналогично примеру 6.2 из этилового эфира (RS)-(4-цианофениламино)-(3-этокси-5-морфолин-4-илметилфенил)уксусной кислоты, полученного, как описано в примере 236.1, получали гидрохлорид этилового эфира (RS)-(4-карбамимидоилфениламино)-(3-этокси-5-морфолин-4-илметилфенпил)уксусной кислоты, МС:441 ([М+Н]+).
Пример 237.
237.1. Аналогично примеру 234.4 из этилового эфира (RS)-(4-цианофениламино)-(3-этокси-5-метансульфонилоксиметилфенил)уксусной кислоты, полученного, как описано в примере 234.3, по реакции с изопропиламином и N-этилдиизопропиламином в ТГФ получали этиловый эфир (RS)-(4-цианофениламино)-[3-этокси-5-(изопропиламинометил)фенил]уксусной кислоты, МС:396 ([М+Н]+).
237.2. Аналогично примеру 6.2 из этилового эфира (RS)-(4-цианофениламино)-[3-этокси-5-(изопропиламинометил)фенил] уксусной кислоты, полученного, как описано в примере 237.1, получали гидрохлорид этилового эфира (RS)-(4-карбамимидоилфениламино)-[3-этокси-5-(изопропиламинометил)фенил] уксусной кислоты (1:1), МС:413 ([М+Н]+).
Пример 238.
238.1. Аналогично примеру 234.4 из этилового эфира (RS)-(4-цианофениламино)-(3-этокси-5-метансульфонилоксиметилфенил)уксусной кислоты, полученного, как описано в примере 234.3, по реакции с 2-аминопиридином и N-этилдиизопропиламином в ТГФ получали этиловый эфир (RS)-(4-цианофениламино)-[3-этокси-5-(пиридин-2-иламинометил)фенил]уксусной кислоты, МС:431 ([М+Н]+).
238.2. Аналогично примеру 6.2 из этилового эфира (RS)-(4-цианофениламино)-[3-этокси-5-(пиридин-2-иламинометил)фенил] уксусной кислоты, полученного, как описано в примере 238.1, получали гидрохлорид этилового эфира (RS)-(4-карбамимидоилфениламино)-[3-этокси-5-(пиридин-2-иламинометил)фенил] уксусной кислоты (1:1).
Пример 239.
239.1. Аналогично примеру 234.4 из этилового эфира (RS)-(4-цианофениламино)-(3-этокси-5-метансульфонилоксиметилфенил)уксусной кислоты, полученного, как описано в примере 234.3, по реакции с имидазолом и N-этилдиизопропиламином в ТГФ получали этиловый эфир (RS)-(4-цианофениламино)-(3-этокси-5-имидазол-1-илметилфенил)уксусной кислоты, МС:405 ([М+Н]+).
239.2. Аналогично примеру 6.2 из этилового эфира (RS)-(4-цианофениламино)-(3-этокси-5-имидазол-1-илметилфенил)уксусной кислоты, полученного, как описано в примере 239.1, получали гидрохлорид этилового эфира (RS)-(4-карбамимидоилфениламино)-(3-этокси-5-имидазол-1-илметилфенил)уксусной кислоты (1: 1), МС:422 ([М+Н]+).
Пример 240.
240.1. Аналогично примеру 234.4 из этилового эфира (RS)-(4-цианофениламино)-(3-этокси-5-метансульфонилоксиметилфенил)уксусной кислоты, полученного, как описано в примере 234.3, по реакции с N-(2-метоксиэтил)метиламином и N-этилдиизопропиламином в ТГФ получали этиловый эфир (RS)-(4-цианофениламино)-(3-этокси-5-{[(2-метоксиэтил)метиламино]метилфенил)уксусной кислоты, МС:426 ([М+Н]+).
240.2. Аналогично примеру 6.2 из этилового эфира (RS)-(4-цианофениламино)-(3-этокси-5-{ [(2-метоксиэтил)метиламино]метил}фенил)уксусной кислоты, полученного, как описано в примере 240.1, получали гидрохлорид этилового эфира (RS)-(4-карбамимидоилфениламино)-(3-этокси-5-{[(2-метоксиэтил)метиламино]метил}фенил)уксусной кислоты (1:1), МС:443 ([М+Н]+).
Пример 241.
241.1. Аналогично примеру 234.4 из этилового эфира (RS)-(4-цианофениламино)-(3-этокси-5-метансульфонилоксиметилфенил)уксусной кислоты, полученного, как описано в примере 234.3, по реакции с диэтиламином и N-этилдиизопропиламином в ТГФ получали этиловый эфир (RS)-(4-цианофениламино)-(3-диэтиламинометил-5-этоксифенил)уксусной кислоты, МС:410 ([M+H]+).
241.2. Аналогично примеру 6.2 из этилового эфира (RS)-(4-цианофениламино)-(3-диэтиламинометил-5-этоксифенил)уксусной кислоты, полученного, как описано в примере 241.1, получали ацетат (гидрохлорид) этилового эфира (RS)-(4-карбамимидоилфениламино)-(3-диэтиламинометил-5-этоксифенил)уксусной кислоты (1:1), МС:428 ([М+Н]+).
Пример 242.
242.1. Аналогично примеру 234.4 из этилового эфира (RS)-(4-цианофениламино)-(3-этокси-5-метансульфонилоксиметилфенил)уксусной кислоты, полученного, как описано в примере 234.3, по реакции с N-метилпиперазином и N-этилдиизопропиламином в ТГФ получали этиловый эфир (RS)-(4-цианофениламино)-[3-этокси-5-(4-метилпиперазин-1-илметил)фенил] уксусной кислоты, МС:437 ([М+Н]+).
242.2. Аналогично примеру 6.2 из этилового эфира (RS)-(4-цианофениламино)-[3-этокси-5-(4-метилпиперазин-1-илметил)фенил] уксусной кислоты, полученного, как описано в примере 242.1, получали гидрохлорид этилового эфира (RS)-(4-карбамимидоилфениламино)-[3-этокси-5-(4-метилпиперазин-1-илметил)фенил]уксусной кислоты (1:1), МС:455 ([М+Н]+).
Пример 243.
243.1. Аналогично примеру 234.4 из этилового эфира (RS)-(4-цианофениламино)-(3-этокси-5-метансульфонилоксиметилфенил)уксусной кислоты, полученного, как описано в примере 234.3, по реакции с циклопентиламином и N-этилдиизопропиламином в ТГФ получали этиловый эфир (RS)-(4-цианофениламино)-(3-циклопентиламинометил-5-этоксифенил]уксусной кислоты, МС:422 ([М+Н]+).
243.2. Аналогично примеру 6.2 из этилового эфира (RS)-(4-цианофениламино)-(3-циклопентиламинометил-5-этоксифенил)уксусной кислоты, полученного, как описано в примере 243.1, получали гидрохлорид этилового эфира (RS)-(4-карбамимидоилфениламино)-(3-циклопентиламинометил-5-этоксифенил)уксусной кислоты (1:1), МС:439 ([М+Н]+).
Пример 244.
244.1. Аналогично примеру 75.4 из этилового эфира (RS)-(4-цианофениламино)-(3-этокси-5-гидроксиметилфенил)уксусной кислоты, полученного, как описано в примере 234.2, по реакции с ДМСО, оксалилхлоридом и триэтиламином получали этиловый эфир (RS)-(4-цианофениламино)-(3-этокси-5-формилфенил)уксусной кислоты, МС:352 ([М]+).
244.2. Раствор 2,3-дихлор-5,6-дициано-1,4-бензохинона в ацетонитриле (1,5 мл) очень медленно (в течение 2 ч) по каплям добавляли к раствору этилового эфира (RS)-(4-цианофениламино)-(3-этокси-5-формилфенил)уксусной кислоты (460 мг, 1,305 ммоля), полученного, как описано в примере 244.1, и 1,2-фенилендиамина в ацетонитриле (2 мл). Реакционную смесь перемешивали при комнатной температуре в течение 4 ч. Затем добавляли смесь вода/насыщенный раствор Nа2СО3 (1: 1) и экстрагировали СН2Сl2. Органическую фазу промывали Н2О, сушили, фильтровали и концентрировали. Остаток очищали хроматографией (SiO2, гексан/AcOEt 3: 2). При этом получали 173 мг (30%) этилового эфира (RS)-[3-(1H-бензимидазол-2-ил)-5-этоксифенил] -(4-цианофениламино)уксусной кислоты в виде бесцветного твердого вещества, МС:441 ([М+Н]+).
244.3. Аналогично примеру 6.2 из этилового эфира (RS)-[3-(1H-бензоимидазол-2-ил)-5-этоксифенил]-(4-цианофениламино)уксусной кислоты, полученного, как описано в примере 244.2, получали гидрохлорид этилового эфира (RS)-[3-(1H-бензоимидазол-2-ил)-5-этоксифенил] -(4-карбамимидоилфениламино)уксусной кислоты (1:1), МС:458 ([М+Н]+).
Пример 245.
245.1. К суспензии этилового эфира (RS)-(4-циaнoфeнилaминo)-(3-этокси-5-формилфенил)уксусной кислоты (406 мг, 1,15 ммоля), полученного, как описано в примере 244.1, в EtOH (1 мл) при -10oС сначала добавляли 2 М NH3 в EtOH (2,9 мл, 5,75 ммоля) и затем 8,8 М глиоксаль в Н2О (0,32 мл, 2,79 ммоля). Смесь перемешивали при комнатной температуре в течение 1 ч. Затем добавляли дополнительные количества 2 М NH3 в EtOH (2,9 мл, 5,75 ммоля) и 8,8 М глиоксаля в Н2О (0,32 мл, 2,79 ммоля), смесь перемешивали при комнатной температуре в течение 2 ч, добавляли воду и экстрагировали AcOEt. Органическую фазу сушили, фильтровали и концентрировали. Остаток очищали хроматографией (SiO2, гексан/AcOEt 1:1). При этом получали 179 мг (40%) этилового эфира (RS)-(4-цианофениламино)-[3-этокси-5-(1Н-имидазол-2-ил)фенил]уксусной кислоты в виде бесцветного твердого вещества, МС:391 ([М+Н]+).
245.2. Аналогично примеру 6.2 из этилового эфира (RS)-(4-цианофениламино)-[3-этокси-5-(1Н-имидазол-2-ил)фенил]уксусной кислоты, полученного, как описано в примере 245.1, получали гидрохлорид этилового эфира (RS)-(4-карбамимидоилфениламино)-[3-этокси-5-(1Н-имидазол-2-ил)фенил]уксусной кислоты (1: 1), МС:408 ([М+Н]+).
Пример 246.
246.1. Аналогично примеру 198.2 из 5-этоксибензол-1,3-дикарбальдегида по реакции с бромидом метилтрифенилфосфония получали 3-этокси-5-винилбензальдегид.
246.2. Аналогично примеру 1.1 из 3-этокси-5-винилбензальдегида, полученного, как описано в примере 246.1, по реакции с 4-аминобензонитрилом и бензилизонитрилом в EtOH получали этиловый эфир (RS)-(4-цианофениламино)-(3-этокси-5-винилфенил)уксусной кислоты, МС:350 ([М]+).
246.3. К раствору этилового эфира (RS)-(4-цианофениламино)-(3-этокси-5-винилфенил)уксусной кислоты (300 мг, 0,856 ммоля), полученного, как описано в примере 246.2, и ди-трет-бутилдикарбоната (280 мг, 1,28 ммоля) в ацетонитриле (6 мл) при 0oС добавляли 4-диметиламинопиридин (11 мг, 0,085 ммоля), а затем медленно добавляли нитроэтан (66 мг, 0,856 ммоля). Смесь перемешивали при комнатной температуре в течение 22 ч. Затем добавляли дополнительные количества ди-трет-бутилдикарбоната (224 мг, 1,03 ммоля) и нитроэтана (33 мг, 0,43 ммоля) и смесь перемешивали при комнатной температуре в течение ночи. Затем добавляли дополнительное количество 4-диметиламинопиридина (11 мг, 0,085 ммоля) и смесь перемешивали при комнатной температуре в течение 6 ч. Реакционную смесь концентрировали, остаток очищали хроматографией (SiO2, гексан/AcOEt 2_1=>AcOEt). При этом получали 200 мг (46%) смеси этиловых эфиров (RS)- и (SR)-[трет-бутоксикарбонил-(4-цианофенил)амино]-[3-этокси-5-[(RS)-3-метил-4,5-дигидроизоксазол-5-ил] фенил]уксусных кислот в виде пены желтоватого цвета, MC:508 ([М+Н]+).
246.4. Аналогично примеру 6.2 из смеси этиловых эфиров (RS)- и (SR)-[трет-бутоксикарбонил-(4-цианофенил)амино] -[3-этокси-5-[(RS)-3-метил-4,5-дигидроизоксазол-5-ил] фенил]уксусных кислот, полученных, как описано в примере 246.3, получали смесь гидрохлоридов этиловых эфиров (RS)- и (SR)-(4-карбамимидоилфениламино)-[3-этокси-5-[(RS)-3-метил-4,5-дигидроизоксазол-5-ил]фенил]уксусных кислот (1:1), МС:425 ([М+Н]+).
Пример 247.
247.1. Раствор этилового эфира (RS)-(4-цианофениламино)-(3-этокси-5-винилфенил)уксусной кислоты (300 мг, 0,856 ммоля), полученного, как описано в примере 236.2, в ацетонитриле (2 мл) медленно по каплям при -30oС добавляли к раствору нитрозилтетрафторбората (112 мг, 0,942 ммоля) в ацетонитриле (3 мл). Смесь перемешивали при oС в течение 2 ч и при комнатной температуре в течение 1,5 ч. Реакционную смесь концентрировали, остаток очищали хроматографией (SiO2, CH2Cl2=>CH2Cl2/MeOH 4:1). При этом получали 135 мг (38%) этилового эфира (RS)-(4-цианофениламино)-[3-этокси-5-(3-гидрокси-2-метил-3Н-имидазол-4-ил)фенил] уксусной кислоты в виде пены желтоватого цвета, МС: 421 ([М+Н]+).
247.2. Аналогично примеру 6.2 из этилового эфира (RS)-(4-цианофениламино)-[3-этокси-5-(3-тидрокси-2-метил-3Н-имидазол-4-ил)фенил] уксусной кислоты, полученного, как описано в примере 247.1, получали гидрохлорид этилового эфира (RS)-(4-карбамимидоилфениламино)-[3-этокси-5-(3-гидрокси-2-метил-3Н-имидазол-4-ил)фенил]уксусной кислоты (1:1), МС:438 ([М+Н]+).
Пример 248.
248.1. 20%-ный раствор TiCl3 в Н2О добавляли по каплям при 0oС к раствору этилового эфира (RS)-(4-цианофениламино)-[3-этокси-5-(3-гидрокси-2-метил-3Н-имидазол-4-ил)фенил] уксусной кислоты (355 мг, 0,844 ммоля), полученного, как описано в примере 247.1, в метаноле (4,2 мл). Смесь перемешивали при комнатной температуре в течение 3 ч, а затем выливали в раствор NаНСО3/ледяная вода и экстрагировали CH2Cl2. Органическую фазу сушили, фильтровали и концентрировали. Остаток очищали хроматографией (SiO2, CH2Cl2= >CH2Cl2/MeOH 95:5). При этом получали 50 мг (75%) этилового эфира (RS)-(4-цианофениламино)-[3-этокси-5-(2-метил-3Н-имидазол-4-ил)фенил] уксусной кислоты в виде твердого вещества желтоватого цвета, МС:405 ([М+Н]+).
248.2. Аналогично примеру 6.2 из этилового эфира (RS)-(4-цианофениламино)-[3-этокси-5-(2-метил-3Н-имидазол-4-ил)фенил] уксусной кислоты, полученного, как описано в примере 248.1, получали гидрохлорид этилового эфира (RS)-(4-карбамимидоилфениламино)-[3-этокси-5-(2-метил-3Н-имидазол-4-ил)фенил] уксусной кислоты (1:1), МС:422 ([М+Н]+).
Пример 249.
249. а. Аналогично примеру 75 из гидрохлорида этилового эфира (RS)-(4-карбамимидоилфениламино)-(3-метокси-5-метилфенил)уксусной кислоты (1: 1), полученного, как описано в примере 190.3, получали (RS)-(4-карбамимидоилфениламино)-(3-метокси-5-метилфенил)уксусную кислоту, МС:314 ([М+Н]+).
249. б. Аналогично примеру 70 из гидрохлорида этилового эфира (RS)-(4-карбамимидоилфениламино)-(3-изопропокси-5-метилфенил)уксусной кислоты (1:1), полученного, как описано в примере 181.3, получали (RS)-(4-карбамимидоилфениламино)-(3-изопропокси-5-метилфенил)уксусную кислоту, МС:342 ([M+H]+).
249. в. Аналогично примеру 75 из гидрохлорида этилового эфира (RS)-(4-карбамимидоилфениламино)-(3-карбамоилметокси-5-метилфенил)уксусной кислоты (1: 1), полученного, как описано в примере 192.2, получали (RS)-(4-карбамимидоилфениламино)-(3-карбамоилметокси-5-метилфенил)уксусную кислоту, МС:357 ([М+Н]+).
249. г. Аналогично примеру 75 из гидрохлорида этилового эфира (RS)-(4-карбамимидоилфениламино)-(3-этокси-5-метилфенил)уксусной кислоты (1: 1), полученного, как описано в примере 193.2, получали (RS)-(4-карбамимидоилфениламино)-(3-этокси-5-метилфенил)уксусную кислоту, МС:326 ([М-Н]–).
249. д. Аналогично примеру 75 из гидрохлорида этилового эфира (RS)-(4-карбамимидоилфениламино)-[3-метил-5-(2-пирролидин-1-илэтокси)фенил] уксусной кислоты (1:1), полученного, как описано в примере 194.2, получали (RS)-(4-карбамимидоилфениламино)-[3-метил-5-(2-пирролидин-1-илэтокси)фенил] уксусную кислоту, МС:397 ([М+Н]+).
249. е. Аналогично примеру 75 из гидрохлорида этилового эфира (RS)-(4-карбамимидоилфениламино)-(3-циклопентилокси-5-метилфенил)уксусной кислоты (1: 1), полученного, как описано в примере 195.2, получали (RS)-(4-карбамимидоилфениламино)-(3-циклопентилокси-5-метилфенил)уксусную кислоту, MC:368 ([М+Н]+).
249. ж. Аналогично примеру 75 из гидрохлорида этилового эфира (RS)-(4-карбамимидоилфениламино)-[3-метил-5-(1-метилпиперидин-4-илокси)фенил] уксусной кислоты (1: 1), полученного, как указано в примере 196.2, получали (RS)-(4-карбамимидоилфениламино)-[3-метил-5-(1-метилпиперидин-4-илокси)фенил]уксусную кислоту, МС:397 ([М+Н]+).
249. з. Аналогично примеру 75 из смеси гидрохлоридов этиловых эфиров (RS)- и (SR)-(4-карбамимидоилфениламино)-[3-[(1RS,2RS)-2-гидроксициклопентилокси] -5-метилфенил] уксусных кислот (1: 1), полученных, как описано в примере 197.2, получали смесь (RS)- и (SR)-(4-карбамимидоилфениламино)-[3-[(1RS, 2RS)-2-гидроксициклопентилокси] -5-метилфенил]уксусных кислот, МС:382 ([M-H]–).
249. и. Аналогично примеру 75 из гидрохлорида этилового эфира (RS)-(4-карбамимидоилфениламино)-(3-метокси-5-винилфенил)уксусной кислоты (1: 1), полученного, как описано в примере 198.4, получали (RS)-(4-карбамимидоилфениламино)-(3-метокси-5-винилфенил)уксусную кислоту, МС:326 ([М+Н]+).
249. к. Аналогично примеру 75 из гидрохлорида этилового эфира (RS)-(4-карбамимидоилфениламино)-(3-этил-5-метоксифенил)уксусной кислоты (1: 1), полученного, как описано в примере 199.2, получали (RS)-(4-карбамимидоилфениламино)-(3-этил-5-метоксифенил)уксусную кислоту, МС:328 ([М+Н]+).
249. л. Аналогично примеру 75 из гидрохлорида этилового эфира (RS)-(4-карбамимидоилфениламино)-(3-этил-5-изобутоксифенил)уксусной кислоты (1:1), полученного, как описано в примере 200.3, получали (RS)-(4-карбамимидоилфениламино)-(3-этил-5-изобутоксифенил)уксусную кислоту, МС:370 ([М+Н]+).
249. м. Аналогично примеру 70 из гидрохлорида этилового эфира (RS)-(4-карбамимидоилфениламино)-[3-этил-5-(1-метилпиперидин-4-илокси)фенил]уксусной кислоты (1:1), полученного, как описано в примере 201.2, получали (RS)-(4-карбамимидоилфениламино)-[3-этил-5-(1-метилпиперидин-4-илокси)фенил]уксусную кислоту, МС:409 ([М+Н]+).
249. н. Аналогично примеру 75 из гидрохлорида этилового эфира (RS)-(4-карбамимидоилфениламино)-[3-этил-5-(2-пирролидин-1-илэтокси)фенил] уксусной кислоты (1:1), полученного, как описано в примере 202.2, получали (RS)-(4-карбамимидоилфениламино)-[3-этил-5-(2-пирролидин-1-илэтокси)фенил] уксусную кислоту, МС:411 ([М+Н]+).
249. о. Аналогично примеру 70 из гидрохлорида этилового эфира (RS)-(4-карбамимидоилфениламино)-[3-этил-5-(тетрагидропиран-4-илокси)фенил] уксусной кислоты (1:1), полученного, как описано в примере 203.2, получали (RS)-(4-карбамимидоилфениламино)-[3-этил-5-(тетрагидропиран-4-илокси)фенил] уксусную кислоту, МС:398 ([М+Н]+).
249. п. Аналогично примеру 75 из смеси гидрохлоридов этиловых эфиров (RS)- и (SR)-(4-карбамимидоилфениламино)-[3-этил-5-[(RS)-тетрагидрофуран-2-илметокси]фенил]уксусной кислоты (1:1), полученного, как описано в примере 204.2, получали (4-карбамимидоилфениламино)-[3-этил-5-(тетрагидрофуран-2-илметокси)фенил]уксусную кислоту, МС:398 ([М+Н]+).
249.р. Аналогично примеру 70 из гидрохлорида этилового эфира (RS)-(4-карбамимидоилфениламино)-(3-циклопентилокси-5-этилфенил)уксусной кислоты (1: 1), полученного, как описано в примере 205.2, получали (RS)-(4-карбамимидоилфениламино)-(3-циклопентилокси-5-этилфенил)уксусную кислоту, МС: 382 ([М+Н]+).
249. с. Аналогично примеру 75 из гидрохлорида этилового эфира (RS)-(4-карбамимидоилфениламино)-[3-этил-5-(4-гидроксициклогексилокси)фенил]уксусной кислоты (1:1), полученного, как описано в примере 206.2, получали (4-карбамимидоилфениламино)-[3-этил-5-(4-гидроксициклогексилокси)фенил]уксусную кислоту, МС:412 ([М+Н]+).
249. т. Аналогично примеру 70 из гидрохлорида этилового эфира (RS)-(4-карбамимидоилфениламино)-[3-этил-5-(пиперидин-4-илокси)фенил] уксусной кислоты (1:1), полученного, как описано в примере 207.2, получали (RS)-(4-карбамимидоилфениламино)-[3-этил-5-(пиперидин-4-илокси)фенил] уксусную кислоту, МС:397 ([М+Н]+).
249. у. Аналогично примеру 75 из этилового эфира (RS)-(4-карбамимидоилфениламино)-[3-(3-диметиламино-2,2-диметилпропокси)-5-этилфенил] уксусной кислоты, полученного, как описано в примере 208.2, получали (RS)-(4-карбамимидоилфениламино)-[3-(3-диметиламино-2,2-диметилпропокси)-5-этилфенил] уксусную кислоту, МС:427 ([М+Н]+).
249. ф. Аналогично примеру 75 из гидрохлорида этилового эфира (RS)-(4-карбамимидоилфениламино)-[3-этил-5-(1-метансульфонилпиперидин-4-илокси)фенил] уксусной кислоты (1:1), полученного, как описано в примере 209.3, получали (RS)-(4-карбамимидоилфениламино)-[3-этил-5-(1-метансульфонилпиперидин-4-илокси)фенил]уксусную кислоту, МС:475 ([M+H]+).
249. х. Аналогично примеру 75 из гидрохлорида этилового эфира (RS)-(4-карбамимидоилфениламино)-[3-(1-этоксикарбонилметилпиперидин-4-илокси)-5-этилфенил] уксусной кислоты (1:1), полученного, как описано в примере 210.2, получали (RS)-(4-карбамимидоилфениламино)-[3-(1-карбоксиметилпиперидин-4-илокси)-5-этилфенил]уксусную кислоту, МС:455 ([М+Н]+).
249. ц. Аналогично примеру 75 из смеси гидрохлоридов этиловых эфиров (RS)- и (SR)-(4-карбамимидоилфениламино)-[3-этил-5-[(1RS, 2RS)-2-гидроксициклопентилокси] фенил] уксусных кислот (1:1), полученных, как описано в примере 211.2, получали смесь (RS)- и (SR)-(4-карбамимидоилфениламино)-[3-этил-5-[(1RS, 2RS)-2-гидроксициклопентилокси] фенил] уксусных кислот, МС:398 ([М+Н]+).
249. ч. Аналогично примеру 75 из гидрохлорида этилового эфира (RS)-(4-карбамимидоилфениламино)-(3-этил-5-феноксифенил)уксусной кислоты (1: 1), полученного, как описано в примере 212.2, получали (RS)-(4-карбамимидоилфениламино)-(3-этил-5-феноксифенил)уксусную кислоту, МС:390 ([М+Н]+).
249. ш. Аналогично примеру 75 из гидрохлорида этилового эфира (RS)-(4-карбамимидоилфениламино)-[3-этил-5-(пиридин-3-илокси)фенил] уксусной кислоты (1: 1), полученного, как описано в примере 213.2, получали (RS)-(4-карбамимидоилфениламино)-[3-этил-5-(пиридин-3-илокси)фенил]уксусную кислоту, МС:391 ([М+Н]+).
249. щ. Аналогично примеру 75 из гидрохлорида этилового эфира (RS)-(4-карбамимидоилфениламино)-(3-этокси-5-пропилфенил)уксусной кислоты (1: 1), полученного, как описано в примере 214.4, получали (RS)-(4-карбамимидоилфениламино)-(3-метокси-5-пропилфенил)уксусную кислоту, МС:342 ([М+Н]+).
249. аа. Аналогично примеру 75 из гидрохлорида этилового эфира (RS)-(4-карбамимидоилфениламино)-(3-этокси-5-пропилфенил)уксусной кислоты (1: 1), полученного, как описано в примере 215.3, получали (RS)-(4-карбамимидоилфениламино)-(3-этокси-5-пропилфенил)уксусную кислоту, МС:356 ([М+Н]+).
249. аб. Аналогично примеру 75 из гидрохлорида этилового эфира (RS)-(4-карбамимидоилфениламино)-(3-этиламино-5-метилфенил)уксусной кислоты (1:1), полученного, как описано в примере 216.5, получали (RS)-(4-карбамимидоилфениламино)-(3-этиламино-5-метилфенил)уксусную кислоту, МС:327 ([M+H]+).
249. ав. Аналогично примеру 75 из гидрохлорида этилового эфира (RS)-(4-карбамимидоилфениламино)-(3-диэтиламино-5-метилфенил)уксусной кислоты (1:1), полученного, как описано в примере 217.2, получали (RS)-(4-карбамимидоилфениламино)-(3-диэтиламино-5-метилфенил)уксусную кислоту, МС:355 ([М+Н]+).
249. аг. Аналогично примеру 75 из гидрохлорида этилового эфира (RS)-(4-карбамимидоилфениламино)-(3-циклопентиламино-5-метилфенил)уксусной кислоты (1: 1), полученного, как описано в примере 218.2, получали (RS)-(4-карбамимидоилфениламино)-(3-циклопентиламино-5-метилфенил)уксусную кислоту, МС:367 ([М+Н]+).
249. ад. Аналогично примеру 75 из гидрохлорида этилового эфира (RS)-(4-карбамимидоилфениламино)-(3-метил-5-пирролидин-1-илфенил)уксусной кислоты (1: 1), полученного, как описано в примере 219.2, получали (RS)-(4-карбамимидоилфениламино)-(3-метил-5-пирролидин-1-илфенил)уксусную кислоту, МС:353 ([М+Н]+).
249. ае Аналогично примеру 75 из гидрохлорида этилового эфира (RS)-[3-(3-бутилуреидо)-5-метилфенил] -(4-карбамимидоилфениламино)уксусной кислоты (1: 1), полученного, как описано в примере 220.2, получали (RS)-[3-(3-бутилуреидо)-5-метилфенил] -(4-карбамимидоилфениламино)уксусную кислоту, MC:398 ([М+Н]+).
249. аж. Аналогично примеру 75 из смеси гидрохлоридов этиловых эфиров (RS)- и (RS)-(4-цианофениламино)-[3-[(1RS,2RS)-2-гидроксициклопентиламино] -5-метилфенил] уксусных кислот (1: 1), полученных, как описано в примере 221.2, получали (4-карбамимидоилфениламино)-[3-(2-гидроксициклопентиламино)-5-метилфенил]уксусную кислоту, МС:383 ([М+Н]+).
249. аз. Аналогично примеру 75 из гидрохлорида этилового эфира (RS)-(4-карбамимидоилфениламино)-(3-метил-5-{ 1-[3-(пиримидин-2-иламино)пропил] азепан-2-илиденамино} фенил)уксусной кислоты (1:1), полученного, как описано в примере 222.2, получали (RS)-(4-карбамимидоилфениламино)-(3-метил-5-{1-[3-(пиримидин-2-иламино)пропил] азепан-2-илиденамино} фе-нил)уксусную кислоту, МС:529 ([М+Н]+).
249. аи. Аналогично примеру 75 из гидрохлорида этилового эфира (RS)-(4-карбамимидоилфениламино)-(3-этил-5-пирролидин-1-илфенил)уксусной кислоты (1: 1), полученного, как описано в примере 223.6, получали (RS)-(4-карбамимидоилфениламино)-(3-этил-5-пирролидин-1-илфенил)уксусную кислоту, МС: 367 ([М+Н]+).
249. ак. Аналогично примеру 75 из гидрохлорида этилового эфира (RS)-(4-карбамимидоилфениламино)-(3-этил-5-пиперазин-1-илфенил)уксусной кислоты (1: 1), полученного, как описано в примере 224.2, получали (RS)-(RS)-(4-карбамимидоилфениламино) – (3-этил-5-пиперазин-1-илфенил)уксусную кислоту, МC:382 ([М+Н]+).
249. ал. Аналогично примеру 75 из гидрохлорида этилового эфира (RS)-(4-карбамимидоилфениламино)-[3-(циклопентанкарбониламино)-5-этилфенил] уксусной кислоты, полученного, как описано в примере 225.2, получали (RS)-(4-карбамимидоилфениламино)-[3- (циклопентанкарбониламино)-5-этилфенил] уксусную кислоту, MC:409 ([М+Н]+).
249. ам. Аналогично примеру 75 из гидрохлорида этилового эфира (RS)-(4-карбамимидоилфениламино)-(3-бензолсульфониламино-5-этилфенил)уксусной кислоты (1:1), полученного, как описано в примере 226.2, получали (RS)-(3-бензолсульфониламино-5-этилфенил)-(4-карбамимидоилфениламино)уксусную кислоту, МС:453 ([М+Н]+).
249. ан. Аналогично примеру 75 из гидрохлорида этилового эфира (RS)-(4-карбамимидоилфениламино)-(3-бутилсульфамоиламино-5-этилфенил)уксусной кислоты (1:1), полученного, как описано в примере 227.2, получали (RS)-(4-карбамимидоилфениламино)-(3-бутилсульфамоиламино-5-этилфенил)уксусную кислоту, МС:448 ([М+Н]+).
249. ао. Аналогично примеру 75 из гидрохлорида этилового эфира (RS)-(4-карбамимидоилфениламино)-[3-этил-5-(1-метилпиперидин-4-иламино)фенил] уксусной кислоты (1: 1), полученного, как описано в примере 228.2, получали (RS)-(4-карбамимидоилфениламино)-[3-этил-5-(1-метилпиперидин-4-иламино)фенил]уксусную кислоту, МС:410,6 ([М+Н]+).
249. ап. Аналогично примеру 75 из гидрохлорида этилового эфира (RS)-(4-карбамимидоилфениламино)-{ 3-этил-5-[(пиридин-3-илметил)амино]фенил}уксусной кислоты (1:1), полученного, как описано в примере 229.2, получали (RS)-(4-карбамимидоилфениламино)-[3-этил-5-[(пиридин-3-илметил)амино] фенил]уксусную кислоту, МС:404 ([М+Н]+).
249. ар. Аналогично примеру 75 из гидрохлорида этилового эфира (RS)-[3-(бис-пиридин-3-илметиламино)-5-этилфенил] -(4-карбамимидоилфениламино)уксусной кислоты (1:1), полученного, как описано в примере 230.2, получали (RS)-[3-(бис-пиридин-3-илметиламино)-5-этилфенил] -(4-карбамимидоилфениламино)уксусную кислоту, МС:495 ([М+Н]+).
249. ас. Аналогично примеру 75 из гидрохлорида этилового эфира (RS)-(4-карбамимидоилфениламино)-[3-этил-5-(тетрагидропиран-4-иламино)фенил]уксусной кислоты (1:1), полученного, как указано в примере 231.2, получали (RS)-(4-карбамимидоилфениламино)-[3-этил-5-(тетрагидропиран-4-иламино)фенил]уксусную кислоту, МС:397 ([М+Н]+).
249. ат. Аналогично примеру 75 из гидрохлорида этилового эфира (RS)-(4-карбамимидоилфениламино)-[3-этил-5-(тетрагидротиопиран-4-иламино)фенил] уксусной кислоты (1: 1), полученного, как описано в примере 232.2, получали (RS)-(4-карбамимидоилфениламино)-[3-этил-5-(тетрагидротиопиран-4-иламино)фенил]уксусную кислоту, МС:413 ([М+Н]+).
249. aу. Аналогично примеру 75 из гидрохлорида этилового эфира (RS)-(4-карбамимидоилфениламино)-[3-(1,1-диоксогексагидротиопиран-4-иламино)-5-этилфенил] уксусной кислоты (1:1), полученного, как описано в примере 233.2, получали (RS)-(4-карбамимидоилфениламино)-[3-(1,1-диоксогексагидротиопиран-4-иламино)-5-этилфенил]уксусную кислоту, МС:445 ([М+Н]+).
249. аф. Аналогично примеру 75 из гидрохлорида этилового эфира (RS)-(4-карбамимидоилфениламино)-(3-этокси-5-пирролидин-1-илметилфенил)уксусной кислоты (1:1), полученного, как описано в примере 234.5, получали (RS)-(4-карбамимидоилфениламино)-(3-этокси-5-пирролидин-1-илметилфенил)уксусную кислоту, МС:397 ([М+Н]+).
249. ах. Аналогично примеру 75 из гидрохлорида этилового эфира (RS)-(4-карбамимидоилфениламино)-(3-циклобутиламинометил-5-этоксифенил)уксусной кислоты, полученного, как описано в примере 235.2, получали (RS)-(4-карбамимидоилфениламино)-(3-циклобутиламинометил-5-этоксифенил)уксусную кислоту, МС:397 ([М+Н]+).
249. ац. Аналогично примеру 75 из гидрохлорида этилового эфира (RS)-(4-карбамимидоилфениламино)-(3-этокси-5-морфолин-4-илметилфенил)уксусной кислоты, полученного, как описано в примере 236.2, получали (RS)-(4-карбамимидоилфениламино)-(3-этокси-5-морфолин-4-илметилфенил)уксусную кислоту, МС: 413 ([М+Н]+).
249. ач. Аналогично примеру 75 из гидрохлорида этилового эфира (RS)-(4-карбамимидоилфениламино)-[3-этокси-5-(изопропиламинометил)фенил] уксусной кислоты (1:1), полученного, как описано в примере 237.2, получали (RS)-(4-карбамимидоилфениламино)-[3-этокси-5-(изопропиламинометил)фенил] уксусную кислоту, МС:385 ([М+Н]+).
249. аш. Аналогично примеру 75 из гидрохлорида этилового эфира (RS)-(4-карбамимидоилфениламино)-[3-этокси-5-(пиридин-2-иламинометил)фенил] уксусной кислоты (1:1), полученного, как описано в примере 238.2, получали (RS)-(4-карбамимидоилфениламино)-[3-этокси-5-(пиридин-2-иламинометил)фенил] уксусную кислоту, МС:420 ([М+Н]+).
249. ащ. Аналогично примеру 75 из гидрохлорида этилового эфира (RS)-(4-карбамимидоилфениламино)-(3-этокси-5-имидазол-1-илметилфенил)уксусной кислоты (1:1), полученного, как описано в примере 239.2, получали (RS)-(4-карбамимидоилфениламино)-(3-этокси-5-имидазол-1-илметилфенил)уксусную кислоту, МС:394 ([М+Н]+).
249. ба. Аналогично примеру 75 из гидрохлорида этилового эфира (RS)-(4-карбамимидоилфениламино)-(3-этокси-5-{ [(2-метоксиэтил)метиламино] метил}фенил)уксусной кислоты (1: 1), полученного, как описано в примере 240.2, получали (RS)-(4-карбамимидоилфениламино)-(3-этокси-5-{[(2-метоксиэтил)метиламино]метил]фенил)уксусную кислоту, МС:415 ([М+Н]+).
249. бб. Аналогично примеру 75 из гидрохлорида этилового эфира (RS)-(4-карбамимидоилфениламино)-(3-диэтиламинометил-5-этоксифенил)уксусной кислоты (1: 1), полученного, как описано в примере 241.2, получали (RS)-(4-карбамимидоилфениламино)-(3-диэтиламинометил-5-этоксифенил)уксусную кислоту, МС:399 ([М+Н]+).
249. бв. Аналогично примеру 75 из гидрохлорида этилового эфира (RS)-(4-карбамимидоилфениламино)-[3-этокси-5-(4-метилпиперазин-1-илметил)фенил] уксусной кислоты (1: 1), полученного, как описано в примере 242.2, получали (RS)-(4-карбамимидоилфениламино)-[3-этокси-5-(4-метилпиперазин-1-илметил)фенил]уксусную кислоту, МС:426 ([М+Н]+).
249. бг. Аналогично примеру 75 из гидрохлорида этилового эфира (RS)-(4-карбамимидоилфениламино)-(3-циклопентиламинометил-5-этоксифенил)уксусной кислоты (1:1), полученного, как указано в примере 243.2, получали (RS)-(4-карбамимидоилфениламино)-(3-циклопентиламинометил-5-этоксифенил)уксусную кислоту, МС:411 ([М+Н]+).
249. бд. Аналогично примеру 75 из гидрохлорида этилового эфира (RS)-[3-(1Н-бензоимидазол-2-ил)-5-этоксифенил] -(4-карбамимидоилфениламино)уксусной кислоты (1:1), полученного, как описано в примере 244.3, получали (RS)-[3-(1Н-бензоимидазол-2-ил)-5-этоксифенил] -(4-карбамимидоилфениламино)уксусную кислоту, МС:430 ([М+Н]+).
249. бе. Аналогично примеру 75 из гидрохлорида этилового эфира (RS)-(4-карбамимидоилфениламино)-[3-этокси-5-(1Н-имидазол-2-ил)фенил] уксусной кислоты (1:1), полученного, как описано в примере 245.2, получали (RS)-(4-карбамимидоилфениламино)-[3-этокси-5-(1Н-имидазол-2-ил)фенил] уксусную кислоту, МС:380 ([М+Н]+).
249. бж. Аналогично примеру 75 из смеси гидрохлоридов этиловых эфиров (RS)- и (SR)-(4-карбамимидоилфениламино)-[3-этокси-5-[(RS)-3-метил-4,5-дигидроизоксазол-5-ил] фенил] уксусных кислот (1:1), полученных, как описано в примере 246.4, получали смесь (RS)- и (SR)-(4-карбамимидоилфениламино)-[3-этокси-5-[(RS)-3-метил-4,5-дигидроизоксазол-5-ил] фенил]уксусных кислот, МС: 397 ([М+Н]+).
249. бз. Аналогично примеру 75 из гидрохлорида этилового эфира (RS)-(4-карбамимидоилфениламино)-[3-этокси-5-(3-гидрокси-2-метил-3Н-имидазол-4-ил)фенил] уксусной кислоты (1:1), полученного, как описано в примере 247.2, получали (RS)-(4-карбамимидоилфениламино)-[3-этокси-5-(3-гидрокси-2-метил-3Н-имидазол-4-ил)фенил]уксусную кислоту, МС:410 ([М+Н]+).
249. би. Аналогично примеру 75 из гидрохлорида этилового эфира (RS)-(4-карбамимидоилфениламино)-[3-этокси-5-(2-метил-3Н-имидазол-4-ил)фенил] уксусной кислоты (1: 1), полученного, как описано в примере 248.2, получали (RS)-(4-карбамимидоилфениламино)-[3-этокси-5-(2-метил-3Н-имидазол-4-ил)фенил]уксусную кислоту, МС:394 ([М+Н]+).
Пример 250.
250.1. Аналогично примеру 18.1 из метилового эфира (RS)-(4-цианофениламино)-(3-этокси-5-гидроксифенил)уксусной кислоты, полученного, как описано в примере 124.1, по реакции с 4-гидрокси-N-метилпиперидином, диэтилазодикарбоксилатом и трифенилфосфином в ТГФ получали метиловый эфир (RS)-(4-цианофениламино)-[3-этокси-5-(1-метилпиперидин-4-илокси)фенил] уксусной кислоты, МС:424 ([М+Н]+).
250.2. Аналогично примеру 6.2, из метилового эфира (RS)-(4-цианофениламино)-[3-этокси-5-(1-метилпиперидин-4-илокси)фенил] уксусной кислоты, полученного, как описано в примере 250.1, получали гидрохлорид метилового эфира (RS)-(4-карбамимидоилфениламино)-[3-этокси-5-(1-метилпиперидин-4-илокси)фенил]уксусной кислоты (1:1), МС:441 ([М+Н]+).
Пример 251.
251.1. 3,5-Бис-(трет-бутилдиметилсиланилокси)-2-фторбензальдегид получали из 4-фторфенола по методике, описанной в Chem. Pharm. Bull., 38, 2939-2946 (1990).
251.2. Смесь 3,5-бис-(трет-бутилдиметилсиланилокси)-2-фторбензальдегида (3,0 г, 7,8 ммоля), полученного, как описано в примере 251.1, фторида калия (1,81 г, 31,2 ммоля), метилиодида (1,17 мл, 18,7 ммоля) и ДМФ (25 мл) перемешивали при комнатной температуре в течение 2 ч. Затем добавляли воду (25 мл) и смесь экстрагировали диэтиловым эфиром. Органическую фазу промывали водой, сушили, фильтровали и концентрировали. Остаток очищали хроматографией (SiO2, циклогексан/AcOEt 18: 1= >1: 1). При этом получали 0,87 г (60%) 2-фтор-3,5-диметоксибензальдегида в виде бесцветного твердого вещества.
251.3. Аналогично примеру 1.1 из 2-фтор-3,5-диметоксибензальдегида, полученного, как описано в примере 251.2, по реакции с 4-аминобензонитрилом и бензилизонитрилом в EtOH получали этиловый эфир (RS)-(4-цианофениламино)-(2-фтор-3,5-диметоксифенил)уксусной кислоты, МС:358 ([М]+).
251.4. Аналогично примеру 6.2 из этилового эфира (RS)-(4-цианофениламино)-(2-фтор-3,5-диметоксифенил)уксусной кислоты, полученного, как описано в примере 251.3, получали гидрохлорид этилового эфира (RS)-(4-карбамимидоилфениламино)-(2-фтор-3,5-диметоксифенил)уксусной кислоты (1: 1), МС: 376 ([М+Н]+).
Пример 252.
252.1. Аналогично примеру 251.2 из 3,5-бис-(трет-бутилдиметилсиланилокси)-2-фторбензальдегида, полученного, как описано в примере 251.1, по реакции с фторидом калия и этилиодидом в ДМФ получали 3,5-диэтокси-2-фторбензальдегид.
252.2. Аналогично примеру 1.1 из 3,5-диэтокси-2-фторбензальдегида, полученного, как описано в примере 252.1, по реакции с 4-аминобензонитрилом и бензилизонитрилом в EtOH получали этиловый эфир (RS)-(4-цианофениламино)-(3,5-диэтокси-2-фторфенил)уксусной кислоты, МС:386 ([М]+).
252.3. Аналогично примеру 6.2 из этилового эфира (RS)-(4-цианофениламино)-(3,5-диэтокси-2-фторфенил)уксусной кислоты, полученного, как описано в примере 252.2, получали гидрохлорид этилового эфира (RS)-(4-карбамимидоилфениламино)-(3,5-диэтокси-2-фторфенил)уксусной кислоты (1:1), МС:404 ([М+Н] +).
Пример 253.
253. а. Аналогично примеру 75 из гидрохлорида этилового эфира (RS)-(4-карбамимидоилфениламино)-[3-этокси-5-(1-метилпиперидин-4-илокси)фенил] уксусной кислоты (1: 1), полученного, как описано в примере 252.3, получали (RS)-(4-карбамимидоилфениламино)-[3-этокси-5-(1-метилпиперидин-4-илокси)фенил]уксусную кислоту, МС:427 ([М+Н]+).
253. б. Аналогично примеру 70 из гидрохлорида этилового эфира (RS)-(4-карбамимидоилфениламино)-(2-фтор-3,5-диметоксифенил)уксусной кислоты (1:1), полученного, как описано в примере 251.4, получали (RS)-(4-карбамимидоилфениламино)-(2-фтор-3,5-диметоксифенил)уксусную кислоту, МС:348 ([М+Н]+).
253. в. Аналогично примеру 70 из гидрохлорида этилового эфира (RS)-(4-карбамимидоилфениламино)-(3,5-диэтокси-2-фторфенил)уксусной кислоты (1:1), полученного, как описано в примере 252.3, получали (RS)-(4-кapбaмимидоилфениламино)-(3,5-диэтокси-2-фторфенил)уксусную кислоту, МС:376 ([M+H]+).
Пример 254.
254.1. Аналогично примеру 64.1 из 4-гидрокси-5-изопропил-2-метилбензальдегида (полученного формилированием тимола ТiCl4/дихлорметилметиловым эфиром, как описано в Chem. Z., 114, 144 (1990), по реакции с изопропилиодидом и К2СО3 в ДМФ получали 4-изопропокси-5-изопропил-2-метилбензальдегид.
254.2. Аналогично примеру 1.1 из 4-изопропокси-5-изопропил-2-метилбензальдегида, полученного, как описано в примере 253.1, по реакции с 4-аминобензонитрилом и бензилизонитрилом в EtOH, получали этиловый эфир (RS)-(4-цианофениламино)-(4-изопропокси-5-изопропил-2-метилфенил)уксусной кислоты, МС: 394 ([М]+).
254.3. Аналогично примеру 6.2 из этилового эфира (RS)-(4-цианофениламино)-(4-изопропокси-5-изопропил-2-метилфенил)уксусной кислоты, полученного, как описано в примере 253.2, получали гидрохлорид этилового эфира (RS)-(4-карбамимидоилфениламино)-(4-изопропокси-5-изопропил-2-метилфенил)уксусной кислоты (1:1).
Пример 255.
255.1. Этиловый эфир (RS)-(4-цианофениламино)-(4-изопропокси-5-изопропил-2-метилфенил)уксусной кислоты (921 мг, 2,34 ммоля), полученный, как описано в примере 254.2, растворяли с CH2Cl2 и охлаждали до -78oС. Затем медленно по каплям добавляли 1 М раствор ВВr3 в CH2Cl2 (9,4 мл, 9,4 ммоля). Через 15 мин реакционную смесь нагревали до 0oС и перемешивали при 0oС в течение 1,5 ч. Затем добавляли ледяную воду (30 мл) и смесь перемешивали при 0oС в течение 10 мин. Органическую фазу отделяли, водную фазу экстрагировали CH2Cl2. Органическую фазу сушили, фильтровали и концентрировали. Неочищенный продукт растворяли в ацетоне, добавляли Сs2СО3 (918 мг, 2,76 ммоля) и иодацетамид (447 мг, 2,41 ммоля), смесь перемешивали при комнатной температуре в течение 6 ч. Затем добавляли разбавленный водный раствор KHSO4 и смесь экстрагировали СН2Сl2. Органическую фазу сушили, фильтровали и концентрировали, остаток очищали хроматографией (SiO2, гексан/AcOEt 1_1=>1:2). При этом получали 704 мг (73%) этилового эфира (RS)-(4-цианофениламино)-(4-карбамоилметокси-5-изопропил-2-метилфенил)уксусной кислоты в виде бесцветной пены.
255.2. Аналогично примеру 6.2 из этилового эфира (RS)-(4-цианофениламино)-(4-карбамоилметокси-5-изопропил-2-метилфенил)уксусной кислоты, полученного, как описано в примере 255.1, получали гидрохлорид этилового эфира (RS)-(4-карбамимидоилфениламино)-(4-карбамоилметокси-5-изопропил-2-метилфенил)уксусной кислоты (1:1), МС:427 ([М+Н]+).
Пример 256.
256. а. Аналогично примеру 75 из гидрохлорида этилового эфира (RS)-(4-карбамимидоилфениламино)-(4-изопропокси-5-изопропил-2-метилфенил)уксусной кислоты (1:1), полученного, как описано в примере 254.3, получали (RS)-(4-карбамимидоилфениламино)-(4-изопропокси-5-изопропил-2-метилфенил)уксусную кислоту, МС:384 ([М+Н]+).
256. б. Аналогично примеру 75 из гидрохлорида этилового эфира (RS)-(4-карбамимидоилфениламино)-(4-карбамоилметокси-5-изопропил-2-метилфенил)уксусной кислоты (1:1), полученного, как описано в примере 255.2, получали (RS)-(4-карбамимидоилфениламино)-(4-карбамоилметокси-5-изопропил-2-метилфенил)уксусную кислоту, МС:399 ([М+Н]+).
Пример 257.
257.1. Аналогично примеру 1.1 пиперональ вводили в реакцию с 4-аминобензонитрилом и бензилизонитрилом, заменяя метанол на этанол. При этом получали этиловый эфир (RS)-бензо[1,3]диоксол-5-ил-(4-цианофениламино)уксусной кислоты, MC(ISP) m/z 325 (М+Н)+, 347 (М+Na)+.
257.2. Аналогично примеру 1.2 этиловый эфир (RS)-бензо[1,3]диоксол-5-ил-(4-цианофениламино)уксусной кислоты гидролизовали в присутствии гидроксида лития с получением (RS)-бензо[1,3]диоксол-5-ил-(4-цианофениламино)уксусной кислоты, MC(ISP) m/z 297 (М+Н)+, 314 (M+NH4)+.
257.3. Аналогично примеру 1.3 из (RS)-бензо[1,3]диоксол-5-ил-(4-цианофениламино)уксусной кислоты по реакции с гидрохлоридом гидроксиламина и триэтиламином получали (Е)- и/или (Z)-(RS)-бензо[1,3]диоксол-5-ил-[4-(N-гидроксикарбамимидоил)фениламино]уксусную кислоту, MC(ISP) m/z 330 (М+Н)+.
Пример 258.
Аналогично примеру 3 (Е)- и/или (Z)-(RS)-бензо[1,3]диоксол-5-ил-[4-(N-гидроксикарбамимидоил)фениламино] уксусную кислоту (см. пример 257.3) гидрировали над никелем Ренея с получением (RS)-бензо[1,3]диоксол-5-ил-(4-карбамимидоилфениламино)уксусной кислоты, MC(ISP) m/z 314 (M+H)+.
Пример 259.
259.1. Аналогично примеру 1.1 3-фтор-пара-анисовый альдегид вводили в реакцию с 4-аминобензонитрилом и бензилизонитрилом, заменяя метанол на этанол. При этом получали этиловый эфир (RS)-(4-цианофениламино)-(3-фтор-4-метоксифенил)уксусной кислоты, МС (EI) m/z 328 М+.
259.2. Аналогично примеру 1.2 этиловый эфир (RS)-(4-цианофениламино)-(3-фтор-4-метоксифенил)уксусной кислоты гидролизовали в присутствии гидроксида лития с получением (RS)-(4-цианофениламино)-(3-фтор-4-метоксифенил)уксусной кислоты, MC(ISP) m/z 300 (М+Н)+, 318 (M+NH4)+.
259.3. Аналогично примеру 1.3 из (RS)-(4-цианофениламино)-(3-фтор-4-метоксифенил)уксусной кислоты по реакции с гидрохлоридом гидроксиламина и триэтиламином получали (Е)- и/или (Z)-(RS)-(3-фтор-4-метоксифенил)-[4-(N-гидроксикарбамимидоил)фениламино]уксусную кислоту, MC(ISP) m/z 334 (M+H)+.
Пример 260.
Аналогично примеру 3 (Е)- и/или (Z)-(RS)-(3-фтор-4-метоксифенил)-[4-(N-гидроксикарбамимидоил)фениламино] уксусную кислоту (см. пример 259.3) гидрировали над никелем Ренея с получением (RS)-(4-кapбaмимидоилфениламино)-(3-фтор-4-метоксифенил)уксусной кислоты, MC(ISP) m/z 318 (М+Н)+.
Пример 261.
261.1. Аналогично примеру 1.1 1,4-бензодиоксан-6-карбоксальдегид вводили в реакцию с 4-аминобензонитрилом и бензилизонитрилом, заменяя метанол на этанол. При этом получали этиловый эфир (RS)-(4-цианофениламино)-(2,3-дигидробензо[1,4] диоксин-6-ил)уксусной кислоты, MC(ISP) m/z 339 (M+H)+, 361 (M+Na)+.
261.2. Аналогично примеру 1.2 этиловый эфир (RS)-(4-цианофениламино)-(2,3-дигидробензо[1,4] диоксин-6-ил)уксусной кислоты гидролизовали в присутствии гидроксида лития с получением (RS)-(4-цианофениламино)-(2,3-дигидробензо[1,4]диоксин-6-ил)уксусной кислоты, MC(ISN) m/z 3309 (М-Н)–.
261.3. Аналогично примеру 1.3 из (RS)-(4-цианофениламино)-(2,3-дигидробензо[1,4] диоксин-6-ил)уксусной кислоты по реакции с гидрохлоридом гидроксиламина и триэтиламином получали (RS)-(2,3-дигидробензо[1,4]диоксин-6-ил)-[4-(N-гидроксикарбамимидоил)фениламино] уксусную кислоту, MC(ISP) m/z 344 (М+Н)+.
Пример 262.
Аналогично примеру 3 (RS)-(2,3-дигидробензо[1,4]диоксин-6-ил)-[4-(N-гидроксикарбамимидоил)фенил] уксусную кислоту (см. пример 261.3) гидрировали над никелем Ренея с получением (RS)-(4-карбамимидоилфениламино)-(2,3-дигидробензо[1,4]диоксин-6-ил)уксусной кислоты, MC(ISP) m/z 328 (M+H)+.
Пример 263.
Аналогично примеру 1.1 3-гидроксиметил-4-изопропоксибензальдегид вводили в реакцию с 4-аминобензонитрилом и толуол-4-сульфонилметилизоцианидом, заменяя метанол на этанол. При этом получали этиловый эфир (RS)-[4-(N-гидроксикарбамимидоил)фениламино] -(3-гидроксиметил-4-изопропоксифенил)уксусной кислоты, МС (ISP) m/z 402 (М+Н)+.
Пример 264.
Аналогично примеру 3 этиловый эфир (RS)-[4-(N-гидроксикарбамимидоил)фениламино] -(3-гидроксиметил-4-изопропоксифенил)уксусной кислоты (см. пример 263) гидрировали над никелем Ренея с получением этилового эфира (RS)-(4-карбамимидоилфениламино)-(3-гидроксиметил-4-изопропоксифенил)уксусной кислоты, MC(ISP) m/z 386 (М+Н)+.
Пример 265.
Аналогично примеру 75 этиловый эфир (RS)-(4-карбамимидоилфениламино)-(3-гидроксиметил-4-изопропоксифенил)уксусной кислоты (см. пример 264) гидролизовали в присутствии гидроксида лития с получением (RS)-(4-карбамимидоилфениламино)-(3-гидроксиметил-4-изопропоксифенил)уксусной кислоты. Продукт кристаллизовали из воды, MC(ISP) m/z 358 (М+Н)+, 375 (M+NH4)+.
Пример 266.
266.1. Аналогично примеру 1.1 4-изопропокси-3-метоксиметилбензальдегид вводили в реакцию с 4-аминобензонитрилом и толуол-4-сульфонилметилизоцианидом, заменяя метанол на этанол. При этом получали этиловый эфир (RS)-(4-цианофениламино)-(4-изопропокси-3-метоксиметилфенил)уксусной кислоты, MC(ISP) m/z 405 (M+Na)+.
266.2. Аналогично примеру 6.2 из этилового эфира (RS)-(4-цианофениламино)-(4-изопропокси-3-метоксиметилфенил)уксусной кислоты по реакции Пиннера получали гидрохлорид этилового эфира (RS)-(4-карба-мимидоилфениламино)-(4-изопропокси-3-метоксиметилфенил)уксусной кислоты (1: 1), MC(ISP) m/z 400 (М+Н)+.
Пример 267.
Аналогично примеру 75 гидрохлорид этилового эфира (RS)-(4-карбамимидоилфениламино)-(4-изопропокси-3-метоксиметилфенил)уксусной кислоты (1:1) (см. пример 266.2) гидролизовали в присутствии гидроксида лития с получением (RS)-(4-карбамимидоилфениламино)-(4-изопропокси-3-метоксиметилфенил)уксусной кислоты. Продукт кристаллизовали из воды, MC(ISP) m/z 372 (М+Н)+.
Пример 268.
268.1. Аналогично примеру 1.1 3,4-дихлорбензальдегид вводили в реакцию с 4-аминобензонитрилом и бензилизонитрилом, заменяя метанол на этанол. При этом получали этиловый эфир (RS)-(4-цианофениламино)-(3,4-дихлорфенил)уксусной кислоты, MC(ISP) m/z 349,3 (М+Н)+, 366,1 (M+NH4)+.
268.2. Аналогично примеру 6.2 из этилового эфира (RS)-(4-цианофениламино)-(3,4-дихлорфенил)уксусной кислоты по реакции Пиннера получали этиловый эфир (RS)-(4-карбамимидоилфениламино)-(3,4-дихлорфенил)уксусной кислоты, MC(ISP) m/z 366,2 (М+Н)+.
Пример 269.
Аналогично примеру 75 этиловый эфир (RS)-(4-карбамимидоилфениламино)-(3,4-дихлорфенил)уксусной кислоты (см. пример 268.2) гидролизовали в присутствии гидроксида лития с получением (RS)-(4-карбамимидоилфениламино)-(3,4-дихлорфенил)уксусной кислоты, МС (ISP) m/z 338,1 (M+H)+.
Пример 270.
270.1. Аналогично примеру 1.1 из этилового эфира (2-формил-4-трифторметоксифенокси)уксусной кислоты по реакции с 4-аминобензонитрилом и бензилизонитрилом, заменяя метанол на этанол, получали этиловый эфир (RS)-(4-цианофениламино)-(2-этоксикарбонилметокси-5-трифторметоксифенил)уксусной кислоты, MC(ISP) m/z 467 (М+Н)+, 489 (M+Na)+.
270.2. Аналогично примеру 1.2 этиловый эфир (RS)-(4-цианофениламино)-(2-этоксикарбонилметокси-5-трифторметоксифенил)уксусной кислоты гидролизовали в присутствии гидроксида лития с получением (RS)-(2-карбоксиметокси-5-трифторметоксифенил)-(4-цианофениламино)уксусной кислоты, MC(ISP) m/z 411 (М+Н)+, 433 (М+Na)+.
270.3. Аналогично примеру 1.3 из этилового эфира (RS)-(2-карбоксиметокси-5-трифторметоксифенил)-(4-цианофениламино)уксусной кислоты по реакции с гидрохлоридом гидроксиламина и триэтиламином получали (Е)- и/или (Z)-(RS)-(2-карбоксиметокси-5-трифторметоксифенил)-[4-(N-гидроксикарбамимидоил)фениламино]уксусную кислоту, MC(ISP) m/z 444 (М+Н)+, 466 (M+Na)+.
Пример 271.
Аналогично примеру 3 (Е)- и/или (Z)-(RS)-(2-карбоксиметокси-5-трифторметоксифенил)-[4-(N-гидроксикарбамимидоил)фениламино] уксусную кислоту (см. пример 270.3) гидрировали над никелем Ренея с получением (RS)-(4-карбамимидоилфениламино)-(2-карбоксиметокси-5-трифторметоксифенил)уксусной кислоты, MC(ISP) m/z 428 (М+Н)+.
Пример 272.
272.1. Аналогично примеру 12.1 из 5-хлорсалицилового альдегида по реакции с бромэтанолом получали 5-хлор-2-(2-гидроксиэтокси)бензальдегид, МС(ЕI) m/z 200 М+.
272.2. Аналогично примеру 1.1 из 5-хлор-2-(2-гидроксиэтокси)бензальдегида по реакции с 4-аминобензонитрилом и толуол-4-сульфонилметилизоцианидом, заменяя метанол на этанол, получали этиловый эфир (RS)-[5-хлор-2-(2-гидроксиэтокси)фенил]-(4-цианофениламино)уксусной кислоты, MC(ISN) m/z 373 (М-Н)–.
272.3. Аналогично примеру 6.2 из этилового эфира (RS)-[5-хлор-2-(2-гидроксиэтокси)фенил]-(4-цианофениламино)уксусной кислоты по реакции Пиннера получали гидрохлорид этилового эфира (RS)-(4-карбамимидоилфениламино)-[5-хлор-2-(2-гидроксиэтокси)фенил] уксусной кислоты (1: 1), MC(ISP) m/z 392 (М+Н)+.
Пример 273.
Аналогично примеру 75 гидрохлорид этилового эфира (RS)-(4-карбамимидоилфениламино)-[5-хлор-2-(2-гидроксиэтокси)фенил] уксусной кислоты (1:1) (см. пример 272.3) гидролизовали в присутствии гидроксида лития с получением (RS)-(4-карбамимидоилфениламино)-[5-хлор-2-(2-гидроксиэтокси)фенил] уксусной кислоты, МС (ISP) m/z 364 (М+Н)+.
Пример 274.
274.1. Аналогично примеру 1.1 из 5-метоксипипероналя по реакции с 4-аминобензонитрилом и бензилизонитрилом, заменяя метанол на этанол, получали этиловый эфир (RS)-(4-цианофениламино)-(7-метоксибензо[1,3] диоксол-5-ил)уксусной кислоты, MC(ISP) m/z 355 (М+Н)+, 377 (М+Na)+.
274.2. Аналогично примеру 1.2 этиловый эфир (RS)-(4-цианофениламино)-(7-метоксибензо[1,3] диоксол-5-ил)уксусной кислоты гидролизовали в присутствии гидроксида лития с получением (RS)-(4-цианофениламино)-(7-метоксибензо[1,3]диоксол-5-ил)уксусной кислоты, MC(ISN) m/z 325 (М-Н)–.
274.3. Аналогично примеру 1.3 из (RS)-(4-цианофениламино)-(7-метоксибензо[1,3]диоксол-5-ил)уксусной кислоты по реакции с гидрохлоридом гидроксиламина и триэтиламином получали (Е)- и/или (Z)-(RS)-[4-(N-гидроксикарбамимидоил)фениламино] -(7-метоксибензо[1,3] диоксол-5-ил)уксусную кислоту, MC(ISP) m/z 360 (М+Н)+, 382 (M+Na)+.
Пример 275.
Аналогично примеру 3 (Е)- и/или (Z)-(RS)-[4-(N-гидроксикарбамимидоил)фениламино]-(7-метоксибензо[1,3]диоксол-5-ил)уксусную кислоту (см. пример 274.3) гидрировали над никелем Ренея с получением (RS)-(4-карбамимидоилфениламино)-(7-метоксибензо[1,3]диоксол-5-ил)уксусной кислоты, MC(ISP) m/z 344 (М+H)+.
Пример 276.
276.1 Аналогично примеру 12.1 из 3,5-дихлорсалицилового альдегида по реакции с трет-бутилбромацетатом в метилэтилкетоне при кипячении с обратным холодильником в течение 4 ч получали трет-бутиловый эфир (2,4-дихлор-6-формилфенокси)уксусной кислоты, МС(ЕI) m/z 304 (М) 248/250 (М-трет-бутил).
276.2 Аналогично примеру 1.1 из трет-бутилового эфира (2,4-дихлор-6-формилфенокси)уксусной кислоты по реакции с 4-амино-N-гидроксибензамидином и бензилизонитрилом получали метиловый эфир (RS)-(2-трет-бутоксикарбонилметокси-3,5-дихлорфенил)-[4-(N-гидроксикарбамимидоил)фениламино] уксусной кислоты, MC(ISP) m/z 498,2 (М+Н)+, 520,2 (M+Na)+.
Пример 277.
Аналогично примеру 75 метиловый эфир (RS)-(2-трет-бутоксикарбонилметокси-3,5-дихлорфенил)-[4-(N-гидроксикарбамимидоил)фениламино] уксусной кислоты гидролизовали в присутствии гидроксида лития с получением (RS)-(2-карбоксиметокси-3,5-дихлорфенил)-[4-(N-гидроксикарбамимидоил)фениламино] уксусной кислоты, неочищенный продукт очищали обработкой ТГФ и ацетоном, MC(ISP) m/z 428,4 (М+Н)+, 450,3 (M+Na)+.
Пример 278.
3,7 г мелкодисперсного порошкообразного карбоната лития добавляли к раствору 1,96 г метилового эфира (RS)-(2-трет-бутоксикарбонилметокси-3,5-дихлорфенил)-[4-(N-гидроксикарбамимидоил)фениламино] уксусной кислоты (см. пример 276.2) в 200 мл ТГФ и 100 мл воды и суспензию перемешивали при 55-60oС в течение 8 ч. Затем реакционную смесь концентрировали и полученную водную суспензию нейтрализовали 100 мл 1 н. НСl. Осадок отфильтровывали, промывали водой и сушили в течение ночи при 50oС в высоком вакууме. При этом получали 1,59 г (RS)-(2-трет-бутоксикарбонилметокси-3,5-дихлорфенил)-[4-(N-гидроксикарбамимидоил)фениламино] уксусной кислоты, MC(ISP) m/z 484,3 (М+Н)+, 506,2 (М+Na)+.
Пример 279.
Аналогично примеру 3 (RS)-(2-трет-бутоксикарбонилметокси-3,5-дихлорфенил)-[4-(N-гидроксикарбамимидоил)фениламино] уксусную кислоту (см. пример 278) гидрировали над никелем Ренея с получением (RS)-(2-трет-бутоксикарбонилметокси-3,5-дихлорфенил)-(4-карбамимидоилфениламино)уксусной кислоты, MC(ISP) m/z 468,2 (М+Н)+, 490,2 (М+Na)+.
Пример 280.
Аналогично примеру 75 (RS)-(2-трет-бутоксикарбонилметокси-3,5-дихлорфенил)-(4-карбамимидоилфениламино)уксусную кислоту (см. пример 279) гидролизовали в присутствии гидроксида лития с получением (RS)-(4-карбамимидоилфениламино)-(2-карбоксиметокси-3,5-дихлорфенил)уксусной кислоты, MC(ISP) m/z 412,3 (М+Н)+, 468,1 (M-H+Ni)+.
Пример 281.
281.1. Аналогично примеру 12.1 из 5-бром-2-гидрокси-3-метоксибен-зальдегида по реакции с трет-бутилбромацетатом в метилэтилкетоне при кипячении с обратным холодильником в течение 3 ч получали этиловый эфир (4-бром-2-формил-6-метоксифенокси)уксусной кислоты, МС(ЕI) m/z 316/318 М+.
281.2. Аналогично примеру 1.1 из этилового эфира (4-бром-2-формил-6-метоксифенокси)уксусной кислоты по реакции с 4-аминобензонитрилом и толуол-4-сульфонилметилизоцианидом, заменяя метанол на этанол, получали этиловый эфир (RS)-(5-бром-2-этоксикарбонилметокси-3-метоксифенил)-(4-цианофениламино)уксусной кислоты, МС (ISP) m/z 491/493 (М+Н)+, 513/515 (M+Na)+.
281.3. Аналогично примеру 1.2 этиловый эфир (RS)-(5-бром-2-этоксикарбонилметокси-3-метоксифенил)-(4-цианофениламино)уксусной кислоты гидролизовали в присутствии гидроксида лития с получением (RS)-(5-бром-2-карбоксиметокси-3-метоксифенил)-(4-цианофениламино)уксусной кислоты, MC(ISN) m/z 433/435 (М-Н)–.
281.4. Аналогично примеру 1.3 из (RS)-(5-бром-2-карбоксиметокси-3-метоксифенил)-(4-цианофениламино)уксусной кислоты по реакции с гидрохлоридом гидроксиламина и триэтиламином получали (Е)- и/или (Z)-(RS)-(5-бром-2-карбоксиметокси-3-метоксифенил)-[4-(N-гидроксикарбамимидоил)фениламино]уксусную кислоту, MC(ISP) m/z 468/470 (М+Н)+, 490/492 (M+Na)+.
Пример 282.
Аналогично примеру 3 (Е)- и/или (Z)-(RS)-(5-бром-2-карбоксиметокси-3-метоксифенил)-[4-(N-гидроксикарбамимидоил)фениламино] уксусную кислоту (см. пример 281.4) гидрировали над никелем Ренея с получением (RS)-(5-бром-2-карбоксиметокси-3-метоксифенил)-(4-карбамимидоилфениламино)уксусной кислоты, МС (ISP) m/z 452/454 (М+Н)+.
Пример 283.
283.1. Аналогично примеру 1.1 из этилового эфира (4-хлор-2-формил-6-метоксифенокси)уксусной кислоты по реакции с 4-аминобензонитрилом и толуол-4-сульфонилметилизоцианидом, заменяя метанол на этанол, получали этиловый эфир (RS)-(5-хлор-2-этоксикарбонилметокси-3-метоксифенил)-(4-цианофениламино)уксусной кислоты, МС (ISN) m/z 445/447 (М-Н)–.
283.2. Аналогично примеру 6.2 из этилового эфира (RS)-(5-хлор-2-этоксикарбонилметокси-3-метоксифенил)-(4-цианофениламино] уксусной кислоты по реакции Пиннера получали гидрохлорид этилового эфира (RS)-(4-карбамимидоилфениламино)-(5-хлор-2-этоксикарбонилметокси-3-метоксифенил)уксусной кислоты (1:1), МС (ISP) m/z 464/466 (М+Н)+.
Пример 284.
Аналогично примеру 75 гидрохлорид этилового эфира (RS)-(4-карбамимидоилфениламино)-(5-хлор-2-этоксикарбонилметокси-3-метоксифенил)уксусной кислоты (1:1) (см. пример 283.2) гидролизовали в присутствии гидроксида лития с полученинм (RS)-(4-карбамимидоилфениламино)-(2-карбоксиметокси-5-хлор-3-метоксифенил)уксусной кислоты, MC(ISP) m/z 408/410 (М+Н)+, 430/432 (М+Na)+.
Пример 285.
285.1. Аналогично примеру 12.1 из 3,5-дихлорсалицилового альдегида по реакции с иодэтанолом в этилметилкетоне при кипячении с обратным холодильником в течение 18 ч получали 3,5-дихлор-2-(2-гидроксиэтокси)бензальдегид, МС(Е1) m/z 234/236 (М)+.
285.2. Аналогично примеру 1.1 из 3,5-дихлор-2-(2-гидроксиэтокс-и) бензальдегида по реакции с 4-амино-N-гидроксибензамидином и бензилизонитрилом получали этиловый эфир (RS)-[3,5-дихлор-2-(2-гидроксиэтокси)фенил]-[4-(N-гидроксикарбамимидоил)фениламино] уксусной кислоты, MC(ISP) m/z 442,3 (М+Н)+, 464,1 (М+Na)+.
Пример 286.
Аналогично примеру 75 этиловый эфир (RS)-[3,5-дихлор-2-(2-гидроксиэтокси)фенил] -[4-(N-гидроксикарбамимидоил)фениламино] уксусной кислоты (см. пример 285.2) гидролизовали в присутствии гидроксида лития с получением (RS)-[3,5-дихлор-2-(2-гидроксиэтокси)фенил] -[4-(N-гидроксикарбамимидоил)фениламино] уксусной кислоты, неочищенный продукт очищали хроматографией, MC(ISP) m/z 414,2 (М+Н)+, 436,3 (M+Na)+.
Пример 287.
Аналогично примеру 3 (RS)-[3,5-дихлор-2-(2-гидроксиэтокси)фенил]-[4-(N-гидроксикарбамимидоил)фениламино] уксусную кислоту (см. пример 286) гидрировали над никелем Ренея с получением (RS)-(4-карбамимидоилфениламино)-[3,5-дихлор-2-(2-гидроксиэтокси)фенил] уксусной, кислоты, MC(ISP) m/z 398,2 (M+H)+, 420,2 (M+Na)+.
Пример 288.
288.1. Аналогично примеру 12.1 из 3,5-дихлорсалицилового альдегида по реакции с трет-бутилбромацетатом в этилметилкетоне при кипячении с обратным холодильником в течение 2 ч получали трет-бутиловый эфир (2,4-дибром-6-формилфенокси)уксусной кислоты, (МС)(ЕI) m/z 394 (М) 338/340 (М-трет-бутил).
288.2. Аналогично примеру 1.1 из трет-бутилового эфира (2,4-дибром-6-формилфенокси)уксусной кислоты по реакции с 4-амино-N-гидроксибензоамидином и бензилизонитрилом получали этиловый эфир (RS)-(3,5-дибром-2-трет-бутоксикарбонилметоксифенил)-[4-(N-гидроксикарбамимидоил)фениламино] уксусной кислоты.
Пример 289.
Аналогично примеру 75 этиловый эфир (RS)-(3,5-дибром-2-трет-бутоксикарбонилметоксифенил)-[4-(N-гидроксикарбамимидоил)фениламино] уксусной кислоты (см. пример 288.2) гидролизовали в присутствии гидроксида лития с получением (RS)-(3,5-дибром-2-карбоксиметоксифенил)-[4-(N-гидроксикарбамимидоил)фениламино]уксусной кислоты, MC(ISP) m/z 518,0 (М+Н)+, 540,1 (M+Na)+.
Пример 290.
Аналогично примеру 3 (RS)-(3,5-дибром-2-карбоксиметоксифенил)-[4-(N-гидроксикарбамимидоил)фениламино] уксусную кислоту (см. пример 289) гидрировали над никелем Ренея с получением (RS)-(4-карбамимидоилфениламино)-(3,5-дибром-2-карбоксиметоксифенил)уксусной кислоты, MC(ISP) m/z 502,0 (М+Н)+.
Пример 291.
291.1. Аналогично примеру 12.1 из 5-бром-2-гидрокси-3-метоксибензальдегида по реакции с бромэтанолом в ДМФ при 85oС в течение 5 ч получали 5-бром-2-(2-гидроксиэтокси)-3-метоксибензальдегид, МС(ЕI) m/z 274/276 М +.
291.2. Аналогично примеру 1.1 из 5-бром-2-(2-гидроксиэтокси)-3-метоксибензальдегида по реакции с 4-аминобензонитрилом и толуол-4-сульфонилметилизоцианидом, заменяя метанол на этанол, получали этиловый эфир (RS)-[5-бром-2-(2-гидроксиэтокси)-3-метоксифенил] -(4-цианофениламино)уксусной кислоты, MC(ISP) m/z 449/451 (М+Н)+, 471/473 (M+Na)+.
291.3. Аналогично примеру 6.2 из этилового эфира (RS)-[5-бром-2-(2-гидроксиэтокси)-3-метоксифенил] -(4-цианофениламино)уксусной кислоты по реакции Пиннера получали гидрохлорид этилового эфира (RS)-[5-бром-2-(2-гидроксиэтокси)-3-метоксифенил]-(4-карбамимидоилфениламино)уксусной кислоты (1: 1), MC(ISP) m/z 466/468 (М+Н)+.
Пример 292.
Аналогично примеру 75 гидрохлорид этилового эфира (RS)-[5-бром-2-(2-гидроксиэтокси)-3-метоксифенил] -(4-карбамимидоилфениламино)уксусной кислоты (1: 1) (см. пример 291.3) гидролизовали в присутствии гидроксида лития с получением (RS)-[5-бром-2-(2-гидроксиэтокси)-3-метоксифенил] -(4-карбамимидоилфениламино)уксусной кислоты, MC(ISP) m/z 438/440 (М+Н)+.
Пример 293.
293.1. Раствор 5 г 3,5-дихлорсалицилового альдегида в 50 мл ДМФ обрабатывали 3,23 г трет-бутилата калия и 6,6 г аллилиодида и перемешивали в атмосфере аргона при 65oС. Через 2 ч реакционную смесь концентрировали, обрабатывали ледяной водой и экстрагировали этилацетатом. Органические фазы сушили над сульфатом натрия и концентрировали. Остаток хроматографировали на силикагеле, при этом получали 5,5 г 2-аллилокси-3,5-дихлорбензальдегида, MC(EI) m/z 230/232 М+.
293.2. Аналогично примеру 1.1 из 2-аллилокси-3,5-дихлорбензальдегида по реакции с 4-аминобензонитрилом и толуол-4-сульфонилметилизоцианидом, заменяя метанол на этанол, получали этиловый эфир (RS)-(2-аллилокси-3,5-дихлорфенил)-(4-цианофениламино)уксусной кислоты, МС(ЕI) m/z 404/406 М+.
293.3. Аналогично примеру 6.2 из этилового эфира (RS)-(2-аллилокси-3,5-дихлорфенил)-(4-цианофениламино)уксусной кислоты по реакции Пиннера получали гидрохлорид этилового эфира (RS)-(2-аллилокси-3,5-дихлорфенил)-(4-карбамимидоилфениламино)уксусной кислоты (1: 1), MC(ISP) m/z 422/424 (М+Н)+.
Пример 294.
Аналогично примеру 75 гидрохлорид этилового эфира (RS)-(2-аллилокси-3,5-дихлорфенил)-(4-карбамимидоилфениламино)уксусной кислоты (1: 1) (см. пример 293.3) гидролизовали в присутствии гидрохлорида лития с получением (RS)-(2-аллилокси-3,5-дихлорфенил)-(4-карбамимидоилфениламино)уксусной кислоты, MC(ISP) m/z 394/396 (М+Н)+.
Пример 295.
Раствор 300 мг гидрохлорида этилового эфира (RS)-(2-аллилокси-3,5-дихлорфенил)-(4-карбамимидоилфениламино)уксусной кислоты (1: 1) (см. пример 293.3) в 5 мл этанола обрабатывали водородом в присутствии каталитического количества диоксида платины в течение 45 мин при перемешивании. Реакционную смесь фильтровали в вакууме через Спидекс (Speedex). Фильтрат концентрировали, при этом получали 270 мг гидрохлорида этилового эфира (RS)-(4-карбамимидоилфениламино)-(3,5-дихлор-2-гидроксифенил)уксусной кислоты (1: 1), MC(ISP) m/z 382/384 (М+Н)+.
Пример 296.
Аналогично примеру 75 гидрохлорид этилового эфира (RS)-(4-карбамимидоилфениламино)-(3,5-дихлор-2-гидроксифенил)уксусной кислоты (1:1) (см. пример 295) гидролизовали в присутствии гидроксида лития с получением (RS)-(4-карбамимидоилфениламино)-(3,5-дихлор-2-гидроксифенил)уксусной кислоты, MC(ISP) m/z 354/356 (М+Н)+.
Пример 297.
Раствор 275 мг гидрохлорида этилового эфира (RS)-(2-аллилок-си-3,5-дихлорфенил)-(4-карбамимидоилфениламино)уксусной кислоты (1:1) (см. пример 293.3) в 5 мл этанола гидрировали в присутствии каталитического количества палладия на карбонате кальция в течение 30 мин при перемешивании. Реакционную смесь фильтровали в вакууме через Спидекс (Speedex). Фильтрат концентрировали и после хроматографического разделения на силикагеле получали 210 мг гидрохлорида этилового эфира (RS)-(4-карбамимидоилфениламино)-(3,5-дихлор-2-пропоксифенил)уксусной кислоты (1:1), MC(ISP) m/z 424/426 (М+Н)+.
Пример 298.
Аналогично примеру 75 гидрохлорид этилового эфира (RS)-(4-карбамимидоилфениламино)-(3,5-дихлор-2-пропоксифенил)уксусной кислоты (1:1) (см. пример 297) гидролизовали в присутствии гидроксида лития с получением (RS)-(4-карбамимидоилфениламино)-(3,5-дихлор-2-пропоксифенил)уксусной кислоты, MC(ISP) m/z 396/398 (М+Н)+.
Пример 299.
299.1. Аналогично примеру 293.1 из 3,5-дихлорсалицилового альдегида по реакции с диэтиленгликолем в ДМФ при 100oС в течение 16 ч получали 3,5-дихлор-2-[2-(2-гидроксиэтокси)этокси] бензальдегид, МС(ЕI) m/z 278 (М), 190 (М-88).
299.2. Аналогично примеру 1.1 из 3,5-дихлор-2-[2-(2-гидроксиэтокси)этокси] бензальдегида по реакции с 4-аминобензонитрилом и бензилизонитрилом, заменяя метанол на этанол, получали этиловый эфир (RS)-(4-цианофениламино)-{ 3,5-дихлор-2-[2-(2-гидроксиэтокси)этокси]фенил}уксусной кислоты, MC(ISP) m/z 453,2 (М+Н)+, 475,2 (M+Na)+.
299.3. Аналогично примеру 6.2 из этилового эфира (RS)-(4-цианофениламино)-{ 3,5-дихлор-2-[2-(2-гидроксиэтокси)этокси] фенил}уксусной кислоты по реакции Пиннера получали гидрохлорид этилового эфира (RS)-(4-карбамимидоилфениламино)-{ 3,5-дихлор-2-[2-(2-гидроксиэтокси)этокси] фенил] уксусной кислоты, MC(ISP) m/z 470,2 (М+Н)+, 492,2 (М+Na)+.
Пример 300.
Аналогично примеру 75 гидрохлорид этилового эфира (RS)-(4-карбамимидоилфениламино)-{ 3,5-дихлор-2-[2-(2-гидроксиэтокси)этокси] фенил} уксусной кислоты (см. пример 299.3) гидролизовали в присутствии гидроксида лития с получением (RS)-(4-карбамимидоилфениламино)-{ 3,5-дихлор-2-[2-(2-гидроксиэтокси)этокси] фенил} уксусной кислоты, MC(ISP) m/z 442,3 (М+Н)+, 464,3 (М+Na)+.
Пример 301.
301.1. Аналогично примеру 293.1 из 5-бром-3-этилсалицилового альдегида (номер по каталогу 57704-12-8) по реакции с 2-иодэтанолом в ДМФ при 80oС в течение 6 ч получали 5-бром-3-этил-2-(2-гидроксиэтокси)бензальдегид, MC(ISN) m/z 451,0 (М-Н)+.
301.2. Аналогично примеру 1.1 из 5-бром-3-этил-2-(2-гидроксиэтокси)бензальдегида по реакции с 4-аминобензонитрилом и бензилизонитрилом, заменяя метанол на этанол, получали этиловый эфир (RS)-[5-бром-3-этил-2-(2-гидроксиэтокси)фенил]-(4-цианофениламино)уксусной кислоты, MC(ISP) m/z 449,3 (М+Н)+, 471,0 (M+Na)+.
301.3. Аналогично примеру 6.2 из этилового эфира (RS)-[5-бром-3-этил-2-(2-гидроксиэтокси)фенил] -(4-цианофениламино)уксусной кислоты по реакции Пиннера получали гидрохлорид этилового эфира (RS)-[5-бром-3-этил-2-(2-гидроксиэтокси)фенил] -(4-карбамимидоилфениламино)уксусной кислоты, MC(ISP) m/z 464,3/466,3 (М+Н)+.
Пример 302.
Аналогично примеру 75 гидрохлорид этилового эфира (RS)-[5-бром-3-этил-2-(2-гидроксиэтокси)фенил] -(4-карбамимидоилфениламино)уксусной кислоты (см. пример 301.3) гидролизовали в присутствии гидроксида лития с получением (RS)-[5-бром-3-этил-2-(2-гидроксиэтокси)фенил] -(4-карбамимидоилфениламино)уксусной кислоты, MC(ISP) m/z 436,2, 438,3 (М+Н)+, 458,3, 460,4 (М+Na)+.
Пример 303.
303.1. Аналогично примеру 293.1 из 3-бром-5-хлорсалицилового альдегида по реакции с 2-иод-О-тетрагидропиранилэтанолом (номер по каталогу 96388-83-9) в ДМФ при 80oС в течение 4 ч получали (RS)-3-бром-5-хлор-2-[2-(тетрагидропиран-2-илокси)этокси] бензальдегид, MC(EI) m/z 362 (М), 261 (М-99).
303.2. Аналогично примеру 1.1 из (RS)-3-бром-5-хлор-2-[2-(тетрагидропиран-2-илокси)этокси]бензальдегида по реакции с 4-аминобензонитрилом и бензилизонитрилом, заменяя метанол на этанол, получали этиловый эфир (RS)-[3-бром-5-хлор-2-(2-гидроксиэтокси)фенил] -(4-цианофениламино)уксусной кислоты, МС(ЕI) m/z 454 (М), 379 (М-75).
303.3. Аналогично примеру 6.2 из этилового эфира (RS)-[3-бром-5-хлор-2-(2-гидроксиэтокси)фенил] -(4-цианофениламино)уксусной кислоты по реакции Пиннера получали гидрохлорид этилового эфира (RS)-[3-бром-5-хлор-2-(2-гидроксиэтокси)фенил] -(4-карбамимидоилфениламино)уксусной кислоты, MC(ISP) m/z 472,0 (М+Н)+, 494,0 (M+Na)+.
Пример 304.
Аналогично примеру 75 гидрохлорид этилового эфира (RS)-[3-бром-5-хлор-2-(2-гидроксиэтокси)фенил] -(4-карбамимидоилфениламино)уксусной кислоты (см. пример 303.3) гидролизовали в присутствии гидроксида лития с получением (RS)-[3-бром-5-хлор-2-(2-гидроксиэтокси)фенил] -(4-карбамимидоилфениламино)уксусной кислоты, MC(ISP) m/z 442/444,2 (М+Н)+, 464/466,1 (М+Na)+.
Пример 305.
305.1. Аналогично примеру 293.1 из 5-хлор-6-гидрокси-мета-анисового альдегида (номер по каталогу 90110-33-1) по реакции с 2-иодэтанолом в ДМФ при 70oС в течение 3 ч получали 3-хлор-2-(2-гидроксиэтокси)-5-метоксибензальдегид, МС(ЕI) m/z 230 М+.
305.2. Аналогично примеру 1.1 из 3-хлор-2-(2-гидроксиэтокси)-5-метоксибензальдегида по реакции с 4-аминобензонитрилом и толуол-4-сульфонилметилизоцианидом, заменяя метанол на этанол, получали этиловый эфир (RS)-[3-хлор-2-(2-гидроксиэтокси)-5-метоксифенил] -(4-цианофениламино)уксусной кислоты, MC(ISP) m/z 405 (М+Н)+, 427 (M+Na)+.
305.3. Аналогично примеру 6.2 из этилового эфира (RS)-[3-хлор-2-(2-гидроксиэтокси)-5-метоксифенил] -(4-цианофениламино)уксусной кислоты по реакции Пиннера получали гидрохлорид этилового эфира (RS)-(4-карбамимидоилфениламино)-[3-хлор-2-(2-гидроксиэтокси)-5-метоксифенил]уксусной кислоты (1: 1), MC(ISP) m/z 422 (М+Н)+.
Пример 306.
Аналогично примеру 75 гидрохлорид этилового эфира (RS)-(4-карбамимидоилфениламино)-[3-хлор-2-(2-гидроксиэтокси)-5-метоксифенил] уксусной кислоты (1: 1) (см. пример 305.3) гидролизовали в присутствии гидроксида лития с получением (RS)-(4-карбамимидоилфениламино)-[3-хлор-2-(2-гидроксиэтокси)-5-метоксифенил]уксусной кислоты, MC(ISP) m/z 394 (М+Н)+.
Пример 307.
307.1. Аналогично примеру 293.1 из 3,5-дихлорсалицилового альдегида по реакции с 2-иодацетамидом в ДМФ при 70oС в течение 4 ч получали 2-(2,4-дихлор-6-формилфенокси)ацетамид, МС(Е1) m/z 247 (М), 189 (М-58).
307.2. Аналогично примеру 1.1 из 2-(2,4-дихлор-6-формилфенокси)ацетамида по реакции с 4-аминобензонитрилом и бензилизонитрилом получали метиловый эфир (RS)-(2-карбамоилметокси-3,5-дихлорфенил)-(4-цианофениламино)уксусной кислоты, MC(ISP) m/z 408,2 (М+Н)+, 430,3 (M+Na)+.
307.3. Аналогично примеру 6.2 из метилового эфира (RS)-(2-карбамоилметокси-3,5-дихлорфенил)-(4-цианофениламино)уксусной кислоты по реакции Пиннера получали гидрохлорид метилового эфира (RS)-(4-карбамимидоилфениламино)-(2-карбамоилметокси-3,5-дихлорфенил)уксусной кислоты, MC(ISP) m/z 425,4 (М+Н)+, 427,1 (M+Na)+.
Пример 308.
Аналогично примеру 75 гидрохлорид метилового эфира (RS)-(4-карбамимидоилфениламино)-(2-карбамоилметокси-3,5-дихлорфенил)уксусной кислоты (см. пример 307.3) гидролизовали в присутствии гидроксида лития с получением (RS)-(4-карбамимидоилфениламино)-(2-карбамоилметокси-3,5-дихлорфенил)уксусной кислоты, MC(ISP) m/z 411,3 (М+Н)+.
Пример 309.
309.1. Аналогично примеру 293.1 из 3,5-дихлорсалицилового альдегида по реакции с 2-хлор-N,N-диметилацетамидом в ДМФ при 100oС в течение 3 ч получали 2-(2,4-дихлор-6-формилфенокси)-N,N-диметилацетамид, МС(ЕI) m/z 275 (М), 240 (М-Сl).
309.2. Аналогично примеру 1.1 из 2-(2,4-дихлор-6-формилфенокси)-N,N-диметилацетамида по реакции с 4-аминобензонитрилом и бензилизонитрилом получали метиловый эфир (RS)-(4-цианофениламино)-(3,5-дихлор-2-диметилкарбамоилметоксифенил)уксусной кислоты, MC(EI) m/z 435 (М), 376 (М-59).
309.3. Аналогично примеру 6.2 из метилового эфира (RS)-(4-цианофениламино)-(3,5-дихлор-2-диметилкарбамоилметоксифенил)уксусной кислоты по реакции Пиннера получали гидрохлорид метилового эфира (RS)-(4-карбамимидоилфениламино)-(3,5-дихлор-2-диметилкарбамоилметоксифенил)уксусной кислоты, MC(ISP) m/z 453,4 (М+Н)+, 475,2 (M+Na)+.
Пример 310.
Аналогично примеру 75 гидрохлорид метилового эфира (RS)-(4-карбамимидоилфениламино)-(3,5-дихлор-2-диметилкарбамоилметоксифенил)уксусной кислоты (см. пример 309.3) гидролизовали в присутствии гидроксида лития с получением (RS)-(4-карбамимидоилфениламино)-(3,5-дихлор-2-диметилкарбамоилметоксифенил)уксусной кислоты, MC(ISP) m/z 439,3 (M+H)+, 461,1 (M+Na)+.
Пример 311.
311.1. Аналогично примеру 293.1 из 3,5-дихлорсалицилового альдегида по реакции с 2-хлор-N-циклопропилацетамидом в ДМФ при 100oС в течение 4 ч получали N-циклопропил-2-(2,4-дихлор-6-формилфенокси)ацетамид, MC(ISP) m/z 288,1 (М+Н)+, 310,0 (М+Na)+.
311.2. Аналогично примеру 1.1 из N-циклопропил-2-(2,4-дихлор-6-формилфенокси)ацетамида по реакции с 4-аминобензонитрилом и бензилизонитрилом получали метиловый эфир (RS)-(4-цианофениламино)-(3,5-дихлор-2-циклопропилкарбамоилметоксифенил)уксусной кислоты, MC(ISP) m/z 448,31 (М+Н)+, 470,3 (M+Na)+.
311.3. Аналогично примеру 6.2 из метилового эфира (RS)-(4-цианофениламино)-(3,5-дихлор-2-циклопропилкарбамоилметоксифенил)уксусной кислоты по реакции Пиннера получали гидрохлорид метилового эфира (RS)-(4-карбамимидоилфениламино)-(3,5-дихлор-2-циклопропилкарба-моилметоксифенил)уксусной кислоты, MC(ISP) m/z 465,2 (М+Н)+, 487,2 (M+Na)+.
Пример 312.
Аналогично примеру 75 гидрохлорид метилового эфира (RS)-(4-карбамимидоилфениламино)-(3,5-дихлор-2-циклопропилкарбамоилметоксифенил)уксусной кислоты (см. пример 311.3) гидролизовали в присутствии гидроксида лития с получением (RS)-(4-карбамимидоилфениламино)-(3,5-дихлор-2-циклопропилкарбамоилметоксифенил)уксусной кислоты, MC(ISP) m/z 451,3 (М+Н)+.
Пример 313.
313.1. 61 мг xлората калия и 0,5 мл 2,5%-ного раствора тетраоксида осмия в трет-бутаноле добавляли к раствору 202 мг этилового эфира (RS)-(2-аллилокси-3,5-дихлорфенил)-(4-цианофениламино)уксусной кислоты (см. пример 293.2) в 5 мл ацетона и 1,5 мл воды. Реакционную смесь перемешивали при комнатной температуре в течение 16 ч, концентрировали и экстрагировали смесью ледяной воды и хлороформа. Органические фазы концентрировали, остаток хроматографировали на силикагеле, при этом получали 170 мг смеси этиловых эфиров (RS)- и (RS)-(4-цианофениламино)-[3,5-дихлор-2-[(RS)-2,3-дигидроксипропокси] фенил] уксусных кислот, MC(ISP) m/z 439/441 (М+Н)+, 461/463 (М+Na)+.
313.2. Аналогично примеру 6.2 из смеси этиловых эфиров (RS)- и (SR)-(4-цианофениламино)-[3,5-дихлор-2-[(RS)-2,3-дигидроксипропокси] фенил] уксусной кислоты по реакции Пиннера получали смесь гидрохлоридов этиловых эфиров (RS)- и (SR)-(4-карбамимидоилфениламино)-[3,5-дихлор-2-[(RS)-2,3-дигидроксипропокси]фенил]уксусных кислот (1:1), MC(ISP) m/z 456/458 (М+Н)+.
Пример 314.
Аналогично примеру 75 смесь гидрохлоридов этиловых эфиров (RS)- и (SR)-(4-карбамимидоилфениламино)-[3,5-дихлор-2-[(RS)-2,3-дигидроксипропокси] фенил] уксусных кислот (1:1) (см. пример 311.3) гидролизовали в присутствии гидроксида лития с получением смеси (RS)- и (SR)-(4-карбамимидоилфениламино)-[3,5-дихлор-2-[(RS)-2,3-дигидроксипропокси] фенил] уксусных кислот, MC(ISP) m/z 428/430 (М+Н)+.
Пример 315.
315.1. Аналогично примеру 12.1 из 3,5-дибромсалицилового альдегида по реакции с иодэтанолом в этилметилкетоне при кипячении с обратным холодильником в течение 18 ч получали 3,5-дибром-2-(2-гидроксиэтокси)бензальдегид, МС(ЕI) m/z 324 (М), 280 (М-44).
315.2. Аналогично примеру 1.1 из 3,5-дибром-2-(2-гидроксиэток-си)бензальдегида по реакции с 4-аминобензонитрилом и бензилизонитрилом, заменяя метанол на этанол, получали этиловый эфир (RS)-(4-циaнoфeнилaмино)-[3,5-дибром-2-(2-гидроксиэтокси)фенил]уксусной кислоты.
315.3. Аналогично примеру 1.2 этиловый эфир (RS)-(4-циано-фениламино)-[3,5-дибром-2-(2-гидроксиэтокси)фенил] уксусной кислоты гидролизовали в присутствии гидроксида лития с получением (RS)-(4-цианофениламино)-[3,5-дибром-2-(2-гидроксиэтокси)фенил]уксусной кислоты, MC(ISN) m/z 469,0 (М-Н)–, 425,1 (М-СО2).
315.4. Аналогично примеру 6.2 из (RS)-(4-циaнoфeнилaминo)-[3,5-дибром-2-(2-гидроксиэтокси)фенил] уксусной кислоты по реакции Пиннера получали гидрохлорид метилового эфира (RS)-(4-кapбaмимидoилфeнилaминo)-[3,5-дибром-2-(2-гидроксиэтокси)фенил]уксусной кислоты, MC(ISP) m/z 502,1 (M+H)+.
Пример 316.
Аналогично примеру 75 гидрохлорид метилового эфира (RS)-(4-карбамимидоилфениламино)-[3,5-дибром-2-(2-гидроксиэтокси)фенил] уксусной кислоты (см. пример 315.4) гидролизовали в присутствии гидроксида лития с получением (RS)-(4-кapбaмимидoилфeнилaминo)-[3,5-дибром-2-(2-гидроксиэтокси)фенил] уксусной кислоты, МС (ISP) m/z 488,1 (М+Н)+, 510,1 (M+Na)+.
Пример 317.
317.1. Аналогично примеру 293.1 из 5-хлор-3-этилсалицилового альдегида по реакции с 2-иодэтанолом при 75oС в течение 6 ч получали 5-хлор-3-этил-2-(2-гидроксиэтокси)бензальдегид, MC(EI) m/z 228 (М), 210 (M-H2O).
317.2. Аналогично примеру 1.1 из 5-хлор-3-этил-2-(2-гидроксиэтокси)бензальдегида по реакции с 4-аминобензонитрилом и бензилизонитрилом получали метиловый эфир (RS)-[5-хлор-3-этил-2-(2-гидроксиэтокси)фенил]-(4-цианофениламино)уксусной кислоты, МС (ISP) m/z 389,3 (М+Н)+, 411,3 (M+Na)+.
317.3. Аналогично примеру 6.2 из метилового эфира (RS)-[5-хлор-3-этил-2-(2-гидроксиэтокси)фенил] -(4-цианофениламино)уксусной кислоты по реакции Пиннера получали гидрохлорид метилового эфира (RS)-(4-карбамимидоилфениламино)-[5-хлор-3-этил-2-(2-гидроксиэтокси)фенил] уксусной кислоты, МС (ISP) m/z 406,4 (М+Н)+.
Пример 318.
Аналогично примеру 75 гидрохлорид метилового эфира (RS)-(4-карбамимидоилфениламино)-[5-хлор-3-этил-2-(2-гидроксиэтокси)фенил] уксусной кислоты (см. пример 317.3) гидролизовали в присутствии гидроксида лития с получением (RS)-(4-карбамимидоилфениламино)-[5-хлор-3-этил-2-(2-гидроксиэтокси)фенил] уксусной кислоты, MC(ISP) m/z 392,2 (М+Н)+, 414,3 (М+Na)+.
Пример 319.
319.1. Аналогично примеру 18.1 из 5-хлор-3-иодсалицилового альдегида по реакции Мицонобу (Mitsonobu) с диизопропилазодикарбоксилатом (DIAD) и 2-бензилоксиэтанолом получали 2-(2-бензилоксиэтокси)-5-хлор-3-иодбензальдегид, МС(ЕI) m/z 416 (М), 198 (М-Н2О).
319.2. Аналогично примеру 1.1 из 2-(2-бензилоксиэтокси)-5-хлор-3-иодбензальдегида по реакции с 4-аминобензонитрилом и толуол-4-сульфанилметилизоцианидом получали метиловый эфир (RS)-[2-(2-бензилоксиэтокси)-5-хлор-3-иодфенил] -(4-цианофениламино)уксусной кислоты, МС(ЕI) m/z 576 (М), 517 (М-СООСН3).
319.3. Аналогично примеру 6.2 из метилового эфира (RS)-[2-(2-бензилоксиэтокси)-5-хлор-3-иодфенил] -(4-цианофениламино)уксусной кислоты по реакции Пиннера получали гидрохлорид метилового эфира (RS)-[2-(2-бензилоксиэтокси)-5-хлор-3-иодфенил] -(4-карбамимидоилфениламино)уксусной кислоты, MC(ISP) m/z 594,1 (М+Н)+, 615,9 (М+Na)+.
Пример 320.
Аналогично примеру 75 гидрохлорид метилового эфира (RS)-[2-(2-бензилоксиэтокси)-5-хлор-3-иодфенил] -(4-карбамимидоилфениламино)уксусной кислоты (см. пример 319.3) гидролизовали в присутствии гидроксида лития с получением (RS)- [2-(2-бензилоксиэтокси)-5-хлор-3-иодфенил] -(4-карбамимидоилфениламино)уксусной кислоты, MC(ISP) m/z 580,0 (М+Н)+, 601,9 (M+Na)+.
Пример 321.
321.1. Аналогично примеру 293.1 из 5-хлор-3-иодсалицилового альдегида (номер по каталогу 215124-03-1) по реакции с 1-(трет-бутилдиметилсилилокси)-2-иодэтаном (номер по каталогу 101166-65-8) в диметилацетамиде в течение 6 ч при 60oС получали 2-[2-трет-бутилдиметилсиланилокси)этокси]-5-хлор-3-иодбензальдегид, МС(ЕI) m/z 439 (М-1), 383 (М-трет-бутил).
321.2. Аналогично примеру 1.1 из 2-[2-(трет-бутилдиметилсиланилокси)этокси] -5-хлор-3-иодбензальдегида по реакции с 4-аминобензонитрилом и толуол-4-сульфанилметилизоцианидом получали мети-ловый эфир (RS)-[5-хлор-2-(2-гидроксиэтокси)-3-иодфенил]-(4-цианофениламино)уксусной кислоты, МС(ЕI) m/z 486 (М+1), 427 (М-СООСН3).
321.3. Аналогично примеру 6.2 из метилового эфира (RS)- [5-хлор-2-(2-гидроксиэтокси)-3-иодфенил] -(4-цианофениламино)уксусной кислоты по реакции Пиннера получали гидрохлорид метилового эфира (RS)-(4-карбамимидоилфениламино)-[5-хлор-2-(2-гидроксиэтокси)-3-иодфенил] уксусной кислоты, MC(ISP) m/z 504,1 (М+Н)+.
Пример 322.
Аналогично примеру 75 гидрохлорид метилового эфира (RS)-(4-карбамимидоилфениламино)-[5-хлор-2-(2-гидроксиэтокси)-3-иодфенил] уксусной кислоты (см. пример 321.3) гидролизовали в присутствии гидроксида лития с получением (RS)-(4-карбамимидоилфениламино)-[5-хлор-2-(2-гидроксиэтокси)-3-иодфенил] уксусной кислоты, MC(ISP) m/z 490,2 (М+Н)+, 512,1 (M+Na)+.
Пример 323.
323.1. Раствор 119,9 мл 2-этилфенола в 500 мл хлорбензола обрабатывали 126,9 г иода и 134,5 г хлорида меди (II), перемешивали при кипячении с обратным холодильником в течение 5,5 ч. После охлаждения реакционную смесь фильтровали, остаток промывали хлористым метиленом. Объединенные фильтраты промывали водным раствором тиосульфата натрия и ледяной водой. Органические фазы сушили над сульфатом натрия и концентрировали. Остаток кристаллизовали из гексана, при этом получали 79,3 г 2-этил-4-иодфенола. Маточную жидкость хроматографировали на силикагеле, при этом дополнительно получали 41 г 2-этил-4-иодфенола, МС(Е1) m/z 248 (М).
323.2. Раствор 19,5 г 2-этил-4-иодфенола в 150 мл ДМФ обрабатывали порциями при 0oС в течение 15 мин 9,37 г трет-бутилата калия и смесь перемешивали в течение 30 мин. Затем в высоком вакууме удаляли приблизительно 100 мл растворителя. Остаток обрабатывали по каплям при 0oС в течение 1 ч 12,66 г хлорметилметилового эфира, затем выливали в ледяную воду и экстрагировали эфиром/гексаном (1:2). Органические фазы промывали раствором хлорида натрия и водой, а затем концентрировали. Остаток хроматографировали на силикагеле, при этом получали 21,8 г 2-этил-4-иод-1-метоксиметоксибензола, МС(ЕI) m/z 292 (М).
323.3. Раствор циклопропилмагнийбромида, свежеприготовленный из 2,49 г магния и 13,3 г циклопропилбромида в 40 мл ТГФ, обрабатывали 1,2 г хлорида бис-трифенилфосфинникеля и при 35-45oС в течение 20 мин раствором 20,8 г 2-этил-4-иод-1-метоксиметоксибензола в 40 мл толуола. После перемешивания в течение 2 ч реакционную смесь выливали в водный раствор хлорида аммония и экстрагировали эфиром. Органические фазы промывали водой, насыщенным водным раствором бикарбоната натрия, раствором хлорида натрия, сушили над сульфатом магния и концентрировали. Остаток хроматографировали на силикагеле, при этом получали 12,7 г 4-циклопропил-2-этил-1-метоксиметоксибензола, MC(EI) m/z 206 (М), 176 (М-СН2О).
323.4. Раствор 12,0 г 4-циклопропил-2-этил-1-метоксиметоксибензола в 240 мл 2 н. уксусной кислоты перемешивали в течение 24 ч при 90oС. Реакционную смесь выливали в ледяную воду и экстрагировали дихлорметаном. Органические фазы промывали водой, насыщенным водным раствором бикарбоната натрия и раствором хлорида натрия, сушили над сульфатом магния и концентрировали. Остаток хроматографировали на силикагеле, при этом получали 8,7 г 4-циклопропил-2-этилфенола, МС(ЕI) m/z 162 (М), 147 (М-СН3).
323.5. Аналогично примеру 89.1 4-циклопропил-2-этилфенол формилировали с получением 5-циклопропил-3-этил-2-гидроксибензальдегида, МС(ЕI) m/z 190 (М), 175 (М-СН3).
323.6. Аналогично примеру 293.1 из 5-циклопропил-3-этил-2-гидроксибензальдегида по реакции с 2-иодэтанолом при 60oС в течение 6 ч получали 5-циклопропил-3-этил-2-(2-гидроксиэтокси)бензальдегид, МС(ЕI) m/z 234 (М), 216 (М-Н2О).
323.7. Аналогично примеру 1.1 из 5-циклопропил-3-этил-2-(2-гидроксиэтокси)бензальдегида по реакции с 4-аминобензонитрилом и бензилизонитрилом получали метиловый эфир (RS)-(4-цианофениламино)-[5-циклопропил-3-этил-2-(2-гидроксиэтокси)фенил] уксусной кислоты, MC(ISP) m/z 395,4 (М+Н)+, 417,4 (M+Na)+.
323.8. Аналогично примеру 6.2 из метилового эфира (RS)-(4-цианофениламино)-[5-циклопропил-3-этил-2-(2-гидроксиэтокси)фенил] уксусной кислоты по реакции Пиннера получали гидрохлорид метилового эфира (RS)-(4-карбамимидоилфениламино)-[5-циклопропил-3-этил-2-(2-гидроксиэтокси)фенил] уксусной кислоты, MC(ISP) m/z 412,2 (М+Н)+.
Пример 324.
Аналогично примеру 75 гидрохлорид метилового эфира (RS)-(4-карбамимидоилфениламино)-[5-циклопропил-3-этил-2-(2-гидроксиэтокси)фенил] уксусной кислоты (см. пример 336.3) гидролизовали в присутствии гидроксида лития с получением (RS)-(4-карбамимидоилфениламино)-[5-циклопропил-3-этил-2-(2-гидроксиэтокси)фенил] уксусной кислоты, MC(ISP) m/z 398,4 (М+Н)+, 420,4 (М+Na)+.
Пример 325.
325.1. Аналогично примеру 293.1 из 5-бром-3-этилсалицилового альдегида (номер по каталогу 57704-12-8) по реакции с 2-иодацетамидом в диметилацетамиде при 40oС в течение 2 ч получали 2-(4-бром-2-этил-6-(формилфенокси)ацетамид, МС(ЕI) m/z 285 (М), 241 (M-CONH2).
325.2. Аналогично примеру 1.1 из 2-(4-бром-2-этил-6-формилфенокси)ацетамида по реакции с 4-аминобензонитрилом и бензилизонитрилом получали метиловый эфир (RS)-(5-бром-2-карбамоилметокси-3-этилфенил)-(4-цианофениламино)уксусной кислоты, MC(ISP) m/z 446,2 (М+Н)+, 468,1 (M+Na)+.
Пример 326.
Аналогично примеру 75 гидрохлорид метилового эфира (RS)-(5-бром-2-карбамоилметокси-3-этилфенил)-(4-карбамимидоилфениламино)уксусной кислоты (см. пример 325.3) гидролизовали в присутствии гидроксида лития с получением (RS)-(5-бром-2-карбамоилметокси-3-этилфенил)-(4-карбамимидоилфениламино)уксусной кислоты, MC(ISP) m/z 449, 451,3 (М+Н)+, 471,1 (M+Na)+.
Пример 327.
327.1. Аналогично примеру 18.1 из 5-хлор-3-иодсалицилового альдегида по реакции Мицонобу с диизопропилазодикарбоксилатом (DIAD) и этиловым эфиром 2-гидроксиметакриловой кислоты получали 2-(4-хлор-2-формил-6-иодфенокси) этиловый эфир 2-метилакриловой кислоты, МС(ЕI) m/z 394 (М), 281 (М-113).
327.2. Аналогично примеру 1.1 из 2-(4-хлор-2-формил-6-иодфенокси)этилового эфира 2-метилакриловой кислоты по реакции с 4-аминобензонитрилом и толуол-4-сульфанилметилизоцианидом получали 2- {4-хлор-2-[(4-цианофениламино)метоксикарбонилметил]-6-иодфенокси}этиловый эфир (RS)-2-метилакриловой кислоты, MC(ISP) m/z 555,1 (М+Н)+, 576,9 (M+Na)+.
327.3. 1,99 г аллилтрибутилолова и 0,35 г тетракис(трифенилфосфин)палладия добавляли к раствору 1,66 г 2-{4-хлор-2-[(4-цианофениламино)метоксикарбонилметил] -6-иодфенокси} этиловый эфир (RS)-2-метилакриловой кислоты в 15 мл абсолютного диметилацетамида и смесь перемешивали при 90oС в течение 2,5 ч. Затем смесь концентрировали в высоком вакууме. Остаток обрабатывали ледяной водой и экстрагировали этилацетатом. Органические фазы промывали раствором хлорида натрия, водой и концентрировали. Остаток хроматографировали на силикагеле, при этом получали 1,3 г 2-{2-аллил-4-хлор-6-[(4-цианофениламино)метоксикарбонилметил] фенокси} этилового эфира (RS)-2-метилакриловой кислоты.
327.4. Аналогично примеру 6.2 из 2-{2-аллил-4-хлор-6-[(4-цианофениламино)метоксикарбонилметил] фенокси} этилового эфира (RS)-2-метилакриловой кислоты по реакции Пиннера получали гидрохлорид 2-{2-аллил-6-[(4-карбамимидоилфениламино)метоксикарбонилметил] -4-хлорфенокси}этилового эфира (RS)-2-метилакриловой кислоты, MC(ISP) m/z 486,3 (М+Н)+.
Пример 328.
Аналогично примеру 75 гидрохлорид 2-{2-аллил-6-[(4-карбамимидоилфениламино)метоксикарбонилметил] -4-хлорфенокси} этилового эфира (RS)-2-метилакриловой кислоты (см. пример 327.3) гидролизовали в присутствии гидроксида лития с получением (RS)-[3-аллил-5-хлор-2-(2-гидроксиэтокси)фенил]-(4-карбамимидоилфениламино)уксусной кислоты, MC(ISP) m/z 404,4 (М+Н)+, 426,4 (М+Na)+.
Пример 329.
329.1. Раствор 30,0 г 5-этилсалицилового альдегида (номер по каталогу 52411-35-5) в 500 мл ДМФ обрабатывали 36,0 г иодида натрия и 67,6 г хлорамина Т и перемешивали при комнатной температуре в течение 1 ч. Затем реакционную смесь концентрировали в высоком вакууме, выливали в ледяную воду, подкисляли 2 н. соляной кислотой и экстрагировали этилацетатом. Органические фазы промывали водным раствором тиосульфата натрия, насыщенным раствором хлорида натрия и ледяной водой, сушили над сульфатом натрия и концентрировали. Остаток растворяли в эфире/гексане (1:1) и фильтровали. Фильтрат концентрировали с получением 45,8 г 5-этил-2-гидрокси-3-иодбензальдегида, MC(EI) m/z 276 M+.
329.2. Аналогично примеру 18.1 из 5-этил-2-гидрокси-3-иодбензальдегида по реакции Мицонобу с DIAD и 2-бензилоксиэтанолом получали 2-(2-бензилоксиэтокси)-5-этил-3-иодбензальдегид, МС(ЕI) m/z 410 М+.
329.3. Аналогично примеру 1.1 из 2-(2-бензилоксиэтокси)-5-этил-3-иодбензальдегида по реакции с 4-аминобензонитрилом и толуол-4-сульфанилметилизоцианидом, заменяя метанол на этанол, получали этиловый эфир (RS)-[2-(2-бензилоксиэтокси)-5-этил-3-иодфенил]-(4-цианофениламино)уксусной кислоты, MC(ISP) m/z 585 (М+Н)+.
329.4. Раствор 7,1 г этилового эфира (RS)-[2-(2-бензилоксиэтокси)-5-этил-3-иодфенил] -(4-цианофениламино)уксусной кислоты в 50 мл дихлорметана обрабатывали 7,29 г иодтриметилсилана. Через 12 ч при комнатной температуре добавляли такое же количество иодтриметилсилана и смесь перемешивали при комнатной температуре в течение 18 ч. Затем добавляли этанол, реакционную смесь концентрировали, выливали в смесь льда с водным раствором бисульфита натрия и экстрагировали этилацетатом. Органические фазы промывали водным раствором гидрокарбоната натрия и ледяной водой, сушили над сульфатом натрия и концентрировали. После кристаллизации остатка получали 3,8 г этилового эфира (RS)-(4-цианофениламино)-[5-этил-2-(2-гидроксиэтокси)-3-иодфенил] уксусной кислоты. После хроматографии маточного раствора на силикагеле дополнительно получали 1,83 г продукта, MC(ISP) m/z 495 (М+Н)+, 517 (M+Na)+.
329.5. Аналогично примеру 293.3 из этилового эфира (RS)-(4-цианофениламино)-[5-этил-2-(2-гидроксиэтокси)-3-иодфенил] уксусной кислоты по реакции Штилле (Stille) с аллилтрибутилстаннаном и тетракис(3-фенилфосфин)палладием получали этиловый эфир (RS)-[3-аллил-5-этил-2-(2-гидроксиэтокси)фенил]-(4-цианофениламино)уксусной кислоты, MC(ISP) m/z 409 (М+Н)+.
329.6. Аналогично примеру 6.2 из этилового эфира (RS)-[3-аллил-5-этил-2-(2-гидроксиэтокси)фенил] -(4-цианофениламино)уксусной кислоты по реакции Пиннера получали гидрохлорид этилового эфира (RS)-[3-аллил-5-этил-2-(2-гидроксиэтокси)фенил] -(4-карбамимидоилфениламино)уксусной кислоты, MC(ISP) m/z 426 (М+Н)+.
Пример 330.
Аналогично примеру 75 гидрохлорид этилового эфира (RS)-[3-аллил-5-этил-2-(2-гидроксиэтокси)фенил] -(4-карбамимидоилфениламино)уксусной кислоты (см. пример 329.3) гидролизовали в присутствии гидроксида лития с получением (RS)-[3-аллил-5-этил-2-(2-гидроксиэтокси)фенил] -(4-карбамимидоилфениламино)уксусной кислоты, MC(ISP) m/z 398 (М+Н)+.
Пример 331.
331.1. Аналогично примеру 293.1 из 3,5-дииодсалицилового альдегида по реакции с 2-иод-О-тетрагидропиранилэтанолом (номер по каталогу 96388-83-9) в ДМФ при 80oС в течение 6 ч получали (RS)-3,5-дииод-2-[2-(тетрагидропиран-2-илокси)этокси]бензальдегид, МС(ЕI) m/z 502 М+.
331.2. Аналогично примеру 1.1 из (RS)-3,5-дииод-2-[2-(тетрагидропиран-2-илокси)этокси] бензальдегида по реакции с 4-аминобензонитрилом и толуол-4-сульфанилметилизоцианидом получали метиловый эфир (RS)-(4-цианофениламино)-[2-(2-гидроксиэтокси)-3,5-дииодфенил] уксусной кислоты, MC(ISP) m/z 579 (М+Н)+.
331.3. Аналогично примеру 6.2 из метилового эфира (RS)-(4-цианофениламино)-[2-(2-гидроксиэтокси)-3,5-дииодфенил] уксусной кислоты по реакции Пиннера получали гидрохлорид метилового эфира (RS)-(4-карбамимидоилфениламино)-[2-(2-гидроксиэтокси)-3,5-дииодфенил]уксусной кислоты, MC(ISP) m/z 596 (М+Н)+.
331.4. Аналогично примеру 327.3 гидрохлорид метилового эфира (4-карбамимидоилфениламино)-[2-(2-гидроксиэтокси)-3,5-дииодфенил] уксусной кислоты вводили в реакцию Штилле с трибутилвинилстаннаном и тетракис(трифенилфосфин) палладием, после концентрирования неочищенную смесь хроматографировали на силикагеле. При этом получали гидрохлорид метилового эфира (RS)-(4-карбамимидоилфениламино)-[2-(2-гидроксиэтокси)-3,5-дивинилфенил]уксусной кислоты, MC(ISP) m/z 396 (М+Н)+.
Пример 332.
Аналогично примеру 75 гидрохлорид метилового эфира (RS)-(4-карбамимидоилфениламино)-[2-(2-гидроксиэтокси)-3,5-дивинилфенил]уксусной кислоты (см. пример 327.3) гидролизовали в присутствии гидроксида лития с получением (RS)-(4-карбамимидоилфениламино)-[2-(2-гидроксиэтокси)-3,5-дивинилфенил] уксусной кислоты, МС (ISP) m/z 382 (М+Н)+, 404 (M+Na)+.
Пример 333.
333.1. Аналогично примеру 293.3 из 2-{ 4-хлор-2-[(4-цианофениламино)метоксикарбонилметил] -6-иодфенокси}этилового эфира (RS)-2-метилакриловой кислоты (см. пример 327.2) по реакции Штилле с трибутил(фенилэтинил)станнаном и тетракис(3-фенилфосфин)палладием получали 2-{ 4-хлор-2-[(4-цианофениламино)метоксикарбонилметил]-6-фенилэтинилфенокси}этиловый эфир (RS)-2-метилакриловой кислоты, MC(ISP) m/z 529,2 (М+Н)+, 551,0 (М+Na)+.
333.2. Аналогично примеру 6.2 из 2-{ 4-хлор-2-[(4-цианофениламино)метоксикарбонилметил]-6-фенилэтинилфенокси}этилового эфира (RS)-2-метилакриловой кислоты по реакции Пиннера получали гидрохлорид 2-{2-[(4-карбамимидоилфениламино)метоксикарбонилметил]-4-хлор-6-фенилэтинилфенокси}этилового эфира (RS)-2-метилакриловой кислоты, продукт очищали хроматографией на силикагеле, MC(ISP) m/z 546,3 (М+Н)+.
Пример 334.
Аналогично примеру 6.2 2-{4-хлор-2-[(4-цианофениламино)метоксикарбонилметил] -6-фенилэтинилфенокси} этиловый эфир (RS)-2-метилакриловой кислоты (см. пример 333.1) вводили в реакцию Пиннера и после хроматографии на силикагеле в качестве побочного продукта выделяли гидрохлорид метилового эфира (RS)-(4-карбамимидоилфениламино)-[5-хлор-2-(2-гидроксиэтокси)-3-фенилэтинилфенил]уксусной кислоты, MC(ISP) m/z 478,3 (М+Н)+.
Пример 335.
Аналогично примеру 75 гидрохлорид 2-{ 2-[(4-карбамимидоилфениламино)метоксикарбонилметил] -4-хлор-6-фенилэтинилфенокси}этилового эфира (RS)-2-метилакриловой кислоты (см. пример 333.2) гидролизовали в присутствии гидроксида лития с получением (RS)-(4-карбамимидоилфениламино)-[5-хлор-2-(2-гидроксиэтокси)-3-фенилэтинилфенил] уксусной кислоты, MC(ISP) m/z 464,2 (М+Н)+, 486,1 (M+Na)+.
Пример 336.
Раствор 210 мг гидрохлорида 2-{2-[(4-карбамимидоилфениламино)метоксикарбонилметил] -4-хлор-6-фенилэтинилфенокси}этилового эфира (RS)-2-метилакриловой кислоты (см. пример 333.2) в 5 мл метанола и 5 мл ТГФ гидрировали в присутствии каталитического количества никеля Ренея при комнатной температуре при перемешивании в течение 5 ч. Затем реакционную смесь фильтровали в вакууме, фильтрат концентрировали и после лиофилизации из воды получали 190 мг гидрохлорида 2-{2-[(4-карбамимидоилфениламино)метоксикарбонилметил]-4-хлор-6-стирилфенокси}этилового эфира (RS)-Z-изомасляной кислоты, MC(ISP) m/z 550,2 (М+Н)+.
Пример 337.
Аналогично примеру 75 гидрохлорид 2-{ 2-[(4-карбамимидоилфениламино)метоксикарбонилметил] -4-хлор-6-стирилфенокси} этилового эфира (RS)-Z-изомасляной кислоты (см. пример 336) гидролизовали в присутствии гидроксида лития с получением (RS)-Z-(4-карбамимидоилфениламино)-[5-хлор-2-(2-гидроксиэтокси)-3-стирилфенил] уксусной кислоты, MC(ISP) m/z 466,3 (М+Н)+.
Пример 338.
Аналогично примеру 29.2 гидрохлорид 2-{ 2-[(4-карбамимидоилфениламино)метоксикарбонилметил] -4-хлор-6-фенилэтинилфенокси}этилового эфира (RS)-2-метилакриловой кислоты (см. пример 333.2) гидрировали в метаноле/диоксане с получением гидрохлорида 2-{2-[(4-карбамимидоилфениламино)метоксикарбонилметил] -4-хлор-6-фенэтилфенокси} этилового эфира (RS)-изомасляной кислоты, MC(ISP) m/z 552,4 (M+H)+.
Пример 339.
Аналогично примеру 75 гидрохлорид 2-{ 2-[(4-карбамимидоилфениламино)метоксикарбонилметил] -4-хлор-6-фенэтилфенокси} этилового эфира (RS)-изомасляной кислоты (см. пример 338) гидролизовали в присутствии гидроксида лития с получением (RS)-(4-карбамимидоилфениламино)-[5-хлор-2-(2-гидроксиэтокси)-3-фенэтилфенил]уксусной кислоты, MC(ISP) m/z 468,3 (М+Н)+.
Пример 340.
340.1. Аналогично примеру 18.1 из 5-этил-2-гидрокси-3-иодбензальдегида (см. пример 329.1) по реакции Мицонобу с DIAD и 2-гидроксиэтиловым эфиром метилакриловой кислоты получали 2-(4-этил-2-формил-6-иодофенокси)этиловый эфир 2-метилакриловой кислоты, МС(ЕI) m/z 388,2 (М), 358,9 (M-CH2O).
340.2. Аналогично примеру 1.1 из 2-(4-этил-2-формил-6-иод-фенокси) этилового эфира 2-метилакриловой кислоты по реакции с 4-аминобензонитрилом и бензилизоцианидом получали 2-{2-[(4-цианофениламино)метоксикарбонилметил]-4-этил-6-иодфенокси}этиловый эфир (RS)-2-метилакриловой кислоты, MC(ISP) m/z 549,1 (М+Н)+, 571,2 (M+Na)+.
340.3. Аналогично примеру 327.3 из 2-{2-[(4-цианофениламино)метоксикарбонилметил] -4-этил-6-иодфенокси}этилового эфира (RS)-2-метилакриловой кислоты по реакции Штилле с трибутил(фенилэтинил)станнаном и тетракис(трифенилфосфин)палладием получали 2-{2-[(4-цианофениламино)метоксикарбонилметил] -4-этил-6-фенилэтинилфенокси}этиловый эфир (RS)-2-метилакриловой кислоты, MC(ISP) m/z 523,3 (М+Н)+, 545,3 (M+Na)+.
340.4. Аналогично примеру 6.2 из 2-{2-[(4-цианофениламино)метоксикарбонилметил] -4-этил-6-фенилэтинилфенокси}этилового эфира (RS)-2-метилакриловой кислоты по реакции Пиннера получали гидрохлорид 2-{2-[(4-карбамимидоилфениламино)метоксикарбонилметил] -4-этил-6-фенилэтинилфенокси} этилового эфира (RS)-2-метилакриловой кислоты, продукт очищали хроматографией на силикагеле, МС (ISP) m/z 540,3 (М+Н)+.
Пример 341.
Аналогично примеру 6.2 2-{2-[(4-цианофениламино)метоксикарбонилметил]-4-этил-6-фенилэтинилфенокси}этиловый эфир (RS)-2-метилакриловой кислоты (см. пример 340.4) вводили в реакцию Пиннера и после хроматографии на силикагеле в качестве побочного продукта выделяли гидрохлорид метилового эфира (RS)-(4-карбамимидоилфениламино)-[5-этил-2-(2-гидроксиэтокси)-3-фенилэтинилфенил] уксусной кислоты, MC(ISP) m/z 472,3 (М+Н)+.
Пример 342.
Аналогично примеру 75 гидрохлорид метилового эфира (RS)-(4-карбамимидоилфениламино)-[5-этил-2-(2-гидроксиэтокси)-3-фенилэтинилфенил] уксусной кислоты (см. пример 341) гидролизовали в присутствии гидроксида лития с получением гидрохлорида (RS)-(4-карбамимидоилфениламино)-[5-этил-2-(2-гидроксиэтокси)-3-фенилэтинилфенил] уксусной кислоты, MC(ISP) m/z 458,4 (M+H)+, 480,3 (M+Na)+.
Пример 343.
343.1. Аналогично примеру 89.1 2-этил-4-иодфенол (см. пример 323.1) формилировали с получением 3-этил-2-гидрокси-5-иодбензальдегида, МС(ЕI) m/z 276 М+.
343.2. Аналогично примеру 18.1 из 3-этил-2-гидрокси-5-иодбензальдегида по реакции Мицонобу с DIAD и 2-бензилэтанолом получали 2-(2-бензилоксиэтокси)-3-этил-5-иодбензальдегид, МС(ЕI) m/z 410 M+.
343.3. Аналогично примеру 1.1 из 2-(2-бензилоксиэтокси)-3-этил-5-иодбензальдегида по реакции с 4-аминобензонитрилом и толуол-4-сульфонилметилизоцианидом получали этиловый эфир (RS)-[2-(2-бензилоксиэтокси)-3-этил-5-иодфенил] -(4-цианофениламино)уксусной кислоты, MC(ISP) m/z 585 (M+H)+, 607 (M+Na)+.
343.4. Аналогично примеру 6.2 из этилового эфира (RS)-[2-(2-бензилоксиэтокси)-3-этил-5-иодфенил] -(4-цианофениламино)уксусной кислоты по реакции Пиннера получали гидрохлорид этилового эфира (RS)-[2-(2-бензилоксиэтокси)-3-этил-5-иодфенил] -(4-карбамимидоилфениламино)уксусной кислоты, продукт очищали хроматографией на силикагеле, MC(ISP) m/z 602 (М+Н)+.
343.5. Аналогично примеру 329.4 из гидрохлорида этилового эфира (RS)-[2-(2-бензилоксиэтокси)-3-этил-5-иодфенил] -(4-карбамимидоилфениламино)уксусной кислоты по реакции с триметилсилилиодидом получали гидрохлорид этилового эфира (RS)-(4-карбамимидоилфениламино)-[3-этил-2-(2-гидроксиэтокси)-5-иодфенил]уксусной кислоты, MC(ISP) m/z 512 (М+Н)+.
343.6. Аналогично примеру 327.3 из гидрохлорида этилового эфира (RS)-(4-карбамимидоилфениламино)-[3-этил-2-(2-гидроксиэтокси)-5-иодфенил]уксусной кислоты по реакции Штилле с трибутилвинилстаннаном и тетракис(трифенилфосфин) палладием получали гидрохлорид этилового эфира (RS)-(4-карбамимидоилфениламино)-[3-этил-2-(2-гидроксиэтокси)-5-винилфенил] уксусной кислоты, MC(ISP) m/z 412 (М+Н)+.
Пример 344.
Аналогично примеру 75 гидрохлорид этилового эфира (RS)-(4-карбамимидоилфениламино)-[3-этил-2-(2-гидроксиэтокси)-5-винилфенил] уксусной кислоты (см. пример 343.6) гидролизовали в присутствии гидроксида лития с получением (RS)-(4-карбамимидоилфениламино)-[3-этил-2-(2-гидроксиэтокси)-5-винилфенил] уксусной кислоты, MC(ISP) m/z 384 (М+Н)+.
Пример 345.
345.1. Аналогично примеру 327.3 из 2-{2-[(4-цианофениламино)метоксикарбонилметил] -4-этил-6-иодфенокси}этилового эфира (RS)-2-метилакриловой кислоты (см. пример 342.2) по реакции Штилле с трибутилэтинилстаннаном и тетракис(трифенилфосфин)палладием получали 2-{2-[(4-цианофениламино)метоксикарбонилметил]-4-этил-6-этинилфенокси}этиловый эфир (RS)-2-метилакриловой кислоты, MC(ISP) m/z 447,4 (М+Н)+, 469,4 (M+Na)+.
345.2. Аналогично примеру 6.2 из 2-{2-[(4-цианофениламино)метоксикарбонилметил]-4-этил-6-этинилфенокси}этилового эфира (RS)-2-метилакриловой кислоты по реакции Пиннера получали гидрохлорид 2-[2-[(4-карбамимидоилфениламино)метоксикарбонилметил] -6-(1-хлорвинил)-4-этилфенокси] этиловый эфир (RS)-2-метилакриловой кислоты, продукт очищали хроматографией на силикагеле, MC(ISP) m/z 500,3 (М+Н)+.
Пример 346.
Аналогично примеру 6.2 2-{2-[(4-цианофениламино)метоксикарбонилметил]-4-этил-6-этинилфенокси}этиловый эфир (RS)-2-метилакриловой кислоты (см. пример 343.1) вводили в реакцию Пиннера и после хроматографии на силикагеле в качестве побочного продукта выделяли гидрохлорид метилового эфира (RS)-(4-карбамимидоилфениламино)-[3-(1-хлорвинил)-5-этил-2-(2-гидроксиэтокси)фенил] уксусной кислоты, MC(ISP) m/z 432,3 (М+Н)+.
Пример 347.
Аналогично примеру 75 гидрохлорид 2-[2-[(4-карбамимидоилфениламино)метоксикарбонилметил] -6-(1-хлорвинил)-4-этилфенокси] этилового эфира (RS)-2-метилакриловой кислоты (см. пример 345.2) гидролизовали в присутствии гидроксида лития с получением (RS)-(4-карбамимидоилфениламино)-[3-(1-хлорвинил)-5-этил-2-(2-гидроксиэтокси)фенил] уксусной кислоты, MC(ISP) m/z 418,2 (М+Н)+, 440,2 (M+Na)+.
Пример 348.
348.1. Аналогично примеру 327.3 из 2-{2-[(4-цианофениламино)метоксикарбонилметил]-4-этил-6-иодфенокси}этилового эфира (RS) 2-метилакриловой кислоты (см. пример 340.2) по реакции Штилле с трибутил(1-этоксивинил)станнаном и тетракис(трифенилфосфин)палладием получали 2-[2-[(4-цианофениламино)метоксикарбонилметил] -6-(1-этоксивинил)-4-этилфенокси]этиловый эфир (RS)-2-метилакриловой кислоты, MC(ISP) m/z 493,2 (М+Н)+, 515,2 (M+Na)+.
348.2. Аналогично примеру 6.2 из 2-[2-[(4-цианофениламино)метоксикарбонилметил] -6-(1-этоксивинил)-4-этилфенокси] этилового эфира (RS)-2-метилакриловой кислоты по реакции Пиннера получали гидрохлорид 2-{ 2-ацетил-6-[(4-карбамимидоилфениламино)метоксикарбонилметил] -4-этилфенокси} этилового эфира (RS)-2-мeтилaкpилoвoй кислоты, продукт очищали хроматографией на силикагеле, MC(ISP) m/z 482,4 (М+Н)+, 512,3 (M+Na)+.
Пример 349.
Аналогично примеру 75 гидрохлорид 2-{2-ацетил-6-[(4-карбамимидоилфениламино)метоксикарбонилметил]-4-этилфенокси}этилового эфира (RS)-2-метилакриловой кислоты (см. пример 348.2) гидролизовали в присутствии гидроксида лития с получением (RS)-[3-ацетил-5-этил-2-(2-гидроксиэтокси)фенил]-(4-карбамимидоилфениламино)уксусной кислоты, MC(ISP) m/z 400,4 (M+H)+, 422,3 (М+Nа)+.
Пример 350.
Аналогично примеру 29.2 гидрохлорид 2-{ 2-[(4-карбамимидоилфениламино)метоксикарбонилметил] -4-этил-6-фенилэтинилфенокси}этилового эфира (RS)-2-метилакриловой кислоты (см. пример 340.4) гидрировали в метаноле/диоксане с получением гидрохлорида 2-{2-[(4-карбамимидоилфениламино)метоксикарбонилметил] -4-этил-6-фенэтилфенокси} этилового эфира (RS)-изомасляной кислоты, MC(ISP) m/z 546,3 (М+Н)+.
Пример 351.
Аналогично примеру 75 гидрохлорид 2-{ 2-[(4-карбамимидоилфениламино)метоксикарбонилметил] -4-этил-6-фенэтилфенокси} этилового эфира (RS)-изомасляной кислоты (см. пример 350) гидролизовали в присутствии гидроксида лития с получением (RS)-(4-карбамимидоилфениламино)-[5-этил-2-(2-гидроксиэтокси)-3-фенетилфенил] уксусной кислоты, MC(ISP) m/z 462,2 (M+H)+, 484,3 (М+Na)+.
Пример 352.
352.1. Аналогично примеру 124.1 метиловый эфир (RS)-(4-бензилокси-3-этоксифенил)-(4-цианофениламино)уксусной кислоты (пример 2.б) гидрировали с получением (RS)-(4-цианофениламино)-(3-этокси-4-гидроксифенил)уксусной кислоты.
352.2. 0,3 ммоля фенола, полученного, как описано в примере 352.1, растворяли в 1000 мкл ДМФ и обрабатывали небольшим количеством иодида натрия, а затем 0,3 ммоля трет-бутилата калия. После добавления 0,3 ммоля 3-метилбутилбромида реакционную смесь выдерживали при комнатной температуре в течение 6 ч. Затем добавляли 50 мкл муравьиной кислоты, реакционную смесь фильтровали, продукт реакции очищали препаративной ЖХВР (RP18, от 20% до 95% ацетонитрила). При этом получали метиловый эфир (RS)-(4-цианофениламино)-[3-этокси-4-(3-метилбутокси)фенил]уксусной кислоты.
352.3. 60 мг материала, полученного, как описано в примере 352.2, растворяли в 400 мкл хлороформа и 1500 мкл раствора сухой соляной кислоты в метаноле (содержание НСl=27 мас.%). Реакционную смесь выдерживали при комнатной температуре в течение 5 ч, затем концентрировали. Остаток растворяли в 500 мкл ТГФ и 1500 мкл 2 М раствора сухого аммиака в этаноле и нагревали при 45oС в течение 5 ч. Затем при комнатной температуре добавляли 500 мкл 2 М раствора гидроксида натрия. Через 30 мин реакционную смесь нейтрализовали 200 мкл муравьиной кислоты и концентрировали. Остаток растворяли в муравьиной кислоте и подвергали препаративной ЖХВР (RP18, от 10% до 95% ацетонитрила). При этом получали (RS)-(4-карбамимидоилфени-ламино)-[3-этокси-4-(3-метилбутокси)фенил]уксусную кислоту.
Пример 353.
Нижеуказанные соединения получали по методике, описанной в примере 352, с использованием соответствующих алкилбромидов:
