Патент на изобретение №2198437
|
||||||||||||||||||||||||||
(54) СПОСОБ ОПРЕДЕЛЕНИЯ ТЕМПЕРАТУРЫ ОБОЛОЧКИ ТВЭЛА ПРИ ЭКСПЕРИМЕНТАЛЬНОЙ ОТРАБОТКЕ В ЯДЕРНОМ РЕАКТОРЕ И УСТРОЙСТВО ДЛЯ ЕГО РЕАЛИЗАЦИИ
(57) Реферат: Изобретение относится к атомной энергетике, а именно к созданию и экспериментальной обработке твэлов ядерных реакторов. На постоянном уровне тепловой мощности ядерного реактора измеряют плотность тепловыделения в топливном материале, фиксируют время переконденсации топливного материала, а температуру оболочки твэла определяют из предлагаемого выражения. Устройство содержит твэл, состоящий из оболочки, внутри которой с зазором размещен топливный материал, калориметр интегрального теплового потока и термопару. Внутри твэла концентрично его оси на торцевой оболочке твэла установлен с зазором тонкостенный стакан, внутри которого размещен топливный материал толщиной меньшей диаметра стакана, при этом величина зазора отвечает определенному соотношению. Технический результат – повышение точности определения температуры оболочки твэла. 2 с. и 4 з.п. ф-лы, 4 ил. Изобретение относится к атомной энергетике, к созданию и наземной отработке твэлов (в частности, термоэмиссионных твэлов) в ядерных реакторах. Основные проблемы при создании реакторов связаны с разработкой надежно работающего твэла. Для термоэмиссионного твэла источник тепла (собственно твэл) объединен с термоэмиссионным преобразователем. Такой твэл по аналогии с тепловыделяющими сборками (ТВС) обычных реакторов называют электрогенерирующей сборкой (ЭГС) или электрогенерирующим каналом (ЭГК). Обычно ЭГС состоит из последовательно соединенных электрогенерирующих элементов (ЭГЭ), в которых собственно и совершается полный цикл преобразования энергии. Для оценки работоспособности и прогнозирования ресурса работы твэлов необходимо знать температуру оболочки твэла, т.к. эта характеристика определяющим образом влияет на совместимость материала оболочки твэла с топливным материалом (ТМ), на прочностные характеристики материала оболочки твэла. Кроме того, для термоэмиссионных твэлов температура эмиттерной оболочки твэла определяющим образом влияет на энергетические характеристики (плотность электрической мощности, КПД) ЭГЭ [1]. Как правило, экспериментальная отработка твэлов проводится в петлевых каналах исследовательских ядерных реакторов [1, 2]. Непосредственное измерение температуры оболочки твэла, особенно температуры эмиттерной оболочки термоэмиссионного твэла в составе многоэлементной ЭГС, связано с чрезвычайными технологическими трудностями [3]. Известны способы определения температуры оболочки твэла при экспериментальной отработке в ядерном реакторе, например, методом реперной точки [3] или определения температуры эмиттерной оболочки твэла по его электрическому сопротивлению [4]. Эти способы имеют ряд недостатков. Метод реперной точки, хотя и является экспериментальным методом, требует предварительных достаточно трудоемких экспериментальных или расчетных исследований, оправданных при проведении испытаний серии однотипных ЭГС. Из-за технологических сложностей и тяжелых условий работы часто наблюдаются относительно нестабильная работа и быстрый выход из строя высокотемпературных термопар, устанавливаемых на эмиттерной оболочке термоэмиссионного твэла [3]. Контроль температуры эмиттерной оболочки твэла по его электрическому сопротивлению при петлевых испытаниях ограничен только одноэлементными ЭГС, работающими только в вакуумном режиме, хотя основным энергетическим режимом работы, на котором проводятся все реакторные испытания термоэмиссионных твэлов, является дуговой (разрядный) режим [5]. Кроме того, при петлевых испытаниях однотвэльных ЭГС в вакуумном режиме погрешность контроля температуры эмиттерной оболочки твэла этим методом также невысока [4]. Наиболее близким к изобретению по технической сущности является способ определения температуры оболочки твэла при экспериментальной отработке в ядерном реакторе, включающий измерение плотности тепловыделения в ТМ, оценку температуры оболочки твэла методом теплового баланса, приведенным для случая термоэмиссионного твэла в [6]. В общем случае температура эмиттерной оболочки твэла (Тоб) может быть найдена из решения относительно Тоб уравнения теплового баланса элементарного участка эмиттерной оболочки твэла ![]() где Toб – температура оболочки твэла; qF – плотность теплового потока, поступающего на эмиттерную оболочку термоэмиссионного твэла из ТМ; пр(Тоб) – зависящий от Тоб приведенный коэффициент теплового излучения электродной пары эмиттер-коллектор; – постоянная Стефана – Больцмана;Тc – температура коллектора; Cs – теплопроводность цезиевого пара;L – межэлектродный зазор; j – плотность тока; qе – тепловой поток, уносимый с эмиттера током, равным 1А. Основным недостатком метода теплового баланса является невысокая точность вычисления температуры оболочки твэла в основном вследствие существенной зависимости результатов от большого числа контролируемых параметров (qF, пр, Тс, Cs, L, j, qe), которые во время экспериментов определяются или известны с большой погрешностью [6]. В результате погрешность определения Toб пo (1) достаточно велика.
Известны устройства для определения температуры оболочки твэла при экспериментальной отработке в ядерном реакторе. Например, устройство определения температуры эмиттерной оболочки термоэмиссионного твэла при петлевых испытаниях одноэлементных ЭГС, работающего в вакуумном режиме, по электрическому сопротивлению эмиттерной оболочки твэла, описанное в [4, 7]. Однако использование таких устройств возможно лишь для экспериментальной отработки одноэлементных ЭГС, работающих только в вакуумном режиме, и невозможно для многоэлементных ЭГС, работающих в дуговом режиме [5]. Кроме того, при петлевых испытаниях однотвэльных ЭГС в вакуумном режиме погрешность контроля температуры эмиттерной оболочки твэла этим методом также невысока [4]. При петлевых испытаниях существует также метод определения температуры эмиттерной оболочки термоэмиссионного твэла, являющийся одним из основных в большинстве зарубежных испытаний одиночных ЭГЭ и который применялся для определения температуры оболочки твэла при петлевых испытаниях ЭГС для реактора-преобразователя ТОПАЗ, где используется устройство, выполненное в виде макета ЭГЭ, конструкционно в максимальной степени приближенного к конструкции петлевого ЭГЭ и исследуемого в лабораторных условиях, описанное в [8, 9]. Однако метод петлевых испытаний ЭГС, использующий в качестве устройства макеты ЭГЭ, обладает высокой погрешностью, прежде всего из-за невозможности полного моделирования условий петлевого эксперимента в лабораторных испытаниях [8].
Наиболее близким к изобретению по технической сущности является устройство для определения температуры оболочки твэла при экспериментальной отработке в ядерном реакторе, содержащее твэл, состоящий из оболочки, внутри которой с зазором размещен топливный материал, калориметр интегрального теплового потока и термопару, приведенное в [10] применительно к измерению температуры эмиттерной оболочки термоэмиссионного твэла. Устройство включает установку на торце твэла термопары, которая непосредственно измеряет температуру торцевой части оболочки твэла. Непосредственное измерение температуры оболочки твэла связано с чрезвычайными технологическими трудностями. Особенно сложно измерение температуры оболочек твэлов применительно к многоэлементным ЭГС, где термопарный узел должен иметь хорошую электрическую изоляцию, высоковакуумную плотность в паре цезия и достаточный ресурс работы при температурах 1800-2200К в поле ионизирующих излучений [3].
Техническим результатом, достигаемым при использовании изобретения, является повышение точности определения температуры оболочки твэла.
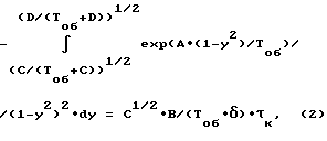
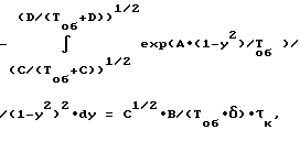
Указанный технический результат достигается способом определения температуры оболочки твэла при экспериментальной отработке в ядерном реакторе, включающий измерение плотности тепловыделения в топливном материале, оценку температуры оболочки твэла, на постоянном уровне тепловой мощности ядерного реактора фиксируют время переконденсации топливного материала, а температуру оболочки твэла (Тоб) определяют из выражения![]() где Toб – температура оболочки твэла, К; к – время переконденсации топливного материала, с; – толщина топливного материала, м;C = qv 2/(2 ), град;D = qv V2/(2![]() (2![]() Rc (Rc+Lc))2), град;qv – плотность тепловыделения в топливном материале, Вт/м3; – теплопроводность топливного материала, Вт/(м град);V – объем топливного материала, м3; Rc и Lc – внутренние радиус и длина твэла соответственно, м; A и В – коэффициенты, зависящие от вида топливного материала, A (град), В (м град1/2/c).
Указанный технический результат достигается устройством для определения температуры оболочки, твэла при экспериментальной отработке в ядерном реакторе, содержащее твэл, соcтоящий из оболочки, внутри которой с зазором размещен топливный материал, калориметр интегрального теплового потока и термопару, на торцевой оболочке твэла, концентрично его оси, установлен с зазором тонкостенный стакан, внутри которого размещен топливный материал с толщиной, меньшей диаметра стакана, при этом величина зазора определяется соотношением 0>( тм (Rc– ст)- об Rc)![]() T/(1+ тм![]() T), (3)где 0 – величина зазора, м;Rc – внутренний радиус, твэла, м; T – нагрев тела, град; ст – толщина боковой стенки тонкостенного стакана, м; тм, об – коэффициенты линейного расширения топливного материала и торцевой оболочки твэла соответственно, град-1.
Высота тонкостенного стакана равна толщине топливного материала. Тонкостенный стакан выполнен из тугоплавких металлов, например W, Мо, Та, Re, Mb, или сплавов на их основе, или из того же материала, что и торцевая оболочка твэла. Тонкостенный стакан выполнен зацело с торцевой оболочкой твэла. Топливный материал выполняют с высокой плотностью из соединений плутония, высокообогащенного по изотопам 239Рu или(и) 241Рu, и(или) урана, высокообогащенного по изотопам 233U или(и) 235U.
Предложение установить внутри твэла концентрично его оси на торцевой оболочке твэла тонкостенный стакан позволяет избежать смещения топливного материала, выполненного в виде топливной таблетки, относительно оси твэла и таким образом соприкосновения ее с цилиндрической оболочкой твэла. Топливную таблетку закрепляют на торцевой части оболочки тонкостенного стакана с плотным контактом, чтобы уменьшить контактное сопротивление тепловому потоку, идущему от топливной таблетки к торцевой оболочке твэла. Это позволяет, в первом приближении, принять температуру на торце топливной таблетки, контактирующей с торцевой частью оболочки твэла, равной температуре оболочки твэла (Тоб), что учтено при выводе выражения (2).
Предложение выполнить стакан тонкостенным вызвано необходимостью минимизировать его влияние на температурные поля топливной таблетки, а следовательно, и на весь эксперимент в целом.
Предложение устанавливать тонкостенный стакан, с закрепленной в нем топливной таблеткой, с зазором, соответствующим соотношению (3), вызвано возможными существенными различиями коэффициентов термического расширения материалов оболочки твэла и топливной таблетки. Это обстоятельство может привести к контакту топливного материала и боковой стенки тонкостенного стакана с цилиндрической частью оболочки твэла, что вызовет изменения температурных полей и условий переконденсации топливной таблетки (граничных условий) и соответственно погрешности в определении Toб по выражению (2).
Предложение выполнить тонкостенный стакан из тугоплавких металлов, например W, Мо, Та, Re, Nb, или сплавов на их основе, вызвано, в первую очередь, их высокотемпературной совместимостью с ТМ [11].
С целью минимизировать термические напряжения в материалах стакана и торцевой оболочки твэла и обеспечить совместимость материала стакана с топливным материалом, выполняют стакан из того же материала, что и торцевая оболочка твэла. Как один из вариантов конструкционного исполнения твэла, торцевая часть оболочки твэла и тонкостенный стакан могут выполняться за одно целое.
Предложение выполнить толщину топливной таблетки , меньшей ее диаметра d, вызвано, в первую очередь, необходимостью присутствия малого количества ТМ в твэле, что позволило использовать простые математические выражения для определения температурных полей в топливной таблетке, используемые в методике и, таким образом, не внести большой погрешности в предлагаемый способ определения Тоб. В противном случае необходим детальный расчет температурных полей в ТМ твэла с привлечением сложного математического аппарата [12], что сильно усложнило бы методику и, таким образом, реализацию способа определения Тоб.
Предложение выполнить высоту тонкостенного стакана, равной толщине топливной таблетки, вызвано, в первую очередь, недопущением испарения ТМ с боковой поверхности топливной таблетки, что привело бы к изменению величины к и внесло бы таким образом погрешность в способ определения oб.
Предложение выполнить топливные таблетки с высокой плотностью из соединений плутония, высокообогащенного по изотопам 239Рu или(и) 241Pu, и(или) урана, высокообогащенного по изотопам 233U или(и) 235U, определяется высоким сечением деления этих изотопов [13] и вызвано, в первую очередь, необходимостью, при экспериментальной отработке твэлов, моделировать необходимую величину тепловой мощности твэла при малом количестве топливного материала в твэле.
На фиг.1 представлена конструкционная схема предлагаемого устройства для определения температуры оболочки твэла при экспериментальной отработке в ядерном реакторе в начале эксперимента ( =0). На фиг.2 приведена конструкционная схема устройства в момент завершения процесса переконденсации топливного материала 3 внутри твэла 1 ( = к). На фиг.3 и 4 приведены графики, поясняющие способ.
Твэл 1 содержит оболочку 2, заключающую топливный материал, выполненный в виде топливной таблетки 3. Топливная таблетка 3 выполнена с высокой плотностью из соединений плутония, высокообогащенного по изотопам 239Pu или(и) 241Рu, и(или) урана, высокообогащенного по изотопам 233U или(и) 235U. Топливная таблетка 3 закреплена в тонкостенном стакане 4, который установлен на торцевой оболочке 5 концентрично оси твэла 1. Толщина таблетки 3 меньше диаметра стакана 4 и равна его высоте. Тонкостенный стакан 4 приваривается к торцевой оболочке 5 и выполняется из тугоплавких металлов, например W, Мо, Та, Re, Nb, или сплавов на их основе или из того же материала, что и торцевая оболочка 5. Как вариант, тонкостенный стакан 4 может выполняться зацело с торцевой оболочкой 5. Боковая стенка стакана 4 образует зазор 6 с цилиндрической оболочкой 7 твэла 1. Для контроля температуры методом реперной точки в торцевой оболочке 8 установлена термопара 9. Для термоэмиссионного твэла 1 термопара 9 установлена внутри коммутационной перемычки 10. Контроль плотности тепловыделения в твэле 1 осуществляет калориметр интегрального теплового потока 11. Для снижения тепловых потерь из термоэмиссионного твэла 1 через коммутационную перемычку 10 торцевую оболочку 8 отделяют от внутренней полости твэла 1 системой тепловых экранов 12, выполняемых из тугоплавких металлов, например, таких как W, Мо, Та, Re, Nb, или сплавов на их основе.
Способ реализуется и предлагаемое устройство работает следующим образом. Выбрав геометрию твэла 1, материал торцевой оболочки 5 и вид ТМ, установим на торцевой оболочке 5 тонкостенный стакан 4 (выполненный из тугоплавких металлов, например W, Мо, Та, Rе, Nb, или сплавов на их основе, или из того же материала, что и оболочка 5, или зацело с оболочкой 5), боковая стенка которого толщиной ст образует с цилиндрической оболочкой 7 зазор 0, величина которого определяется соотношением (3). После изготовления устройство, в составе специального ампульного или петлевого канала, помещают в ячейку исследовательского реактора. В процессе перемещения устройства, при установке его в реактор, благодаря тонкостенному стакану 4, установленному на торцевой оболочке 5 концентрично оси твэла 1, предотвращается смещение топливной таблетки 3 и обеспечивается зазор 6. В процессе повышения температуры происходит тепловое расширение топливной таблетки 3 и оболочки 2 с изменением величины первоначального зазора 6 ввиду возможных существенных отличий в коэффициентах линейного расширения материалов топливной таблетки 3 ( тм) и оболочки 2 ( об). Причем сопротивление тепловому расширению топливной таблетки 3 в радиальном направлении практически не окажет стакан 4 ввиду тонкостенности его боковой стенки. Зазор 6 сохранится в силу выполнения условия (3), и, таким образом, не нарушатся условия, при которых получено выражение (2). В процессе работы реактора, на постоянном уровне тепловой мощности, в топливной таблетке 3 с толщиной, меньшей диаметра стакана 4 и равной его высоте, происходит деление ядерного горючего с выделением тепловой энергии и установлением для каждого момента времени соответствующего температурного поля в объеме топливной таблетки 3. С открытой торцевой поверхности таблетки 3, имеющей наибольшую температуру, происходит испарение ТМ. Причем подавляющий поток ТМ в объем твэла 1 будет идти с ее открытой торцевой поверхности, благодаря выполнению высоты тонкостенного стакана 4, равной толщине топливной таблетки 3, что препятствует испарению ТМ с боковой поверхности таблетки 3. Испарившийся ТМ распределяется (посредством конденсации) по внутренней поверхности оболочки 2, как показано на фиг.2. Причем благодаря системе тепловых экранов 12 снижаются утечки тепла через перемычку 10, что обеспечивает лучшие условия для изотермичности оболочки 2 и соответственно более равномерную толщину конденсата ТМ 3. Интенсивность процесса испарения ТМ 3 зависит, в первую очередь, от вида ТМ, плотности тепловыдедения в ТМ 3, толщины топливной таблетки 3 и ее теплопроводности. Эксперимент проводим при постоянном уровне тепловой мощности реактора, измеряем калориметром 11 тепловую мощность твэла 1 (Q) и, зная объем топливной таблетки 3 (V), находим плотность тепловыделения qv=Q/V. Ввиду малого количества ТМ 3 в объеме твэла 1 для моделирования необходимой тепловой мощности твэла 1 Q топливные таблетки 3 выполняют высокоплотными из соединений Рu, высокообогащенного по изотопам 239Рu или(и) 241Рu и(или) U, высокообогащенного по изотопам 233U или(и) 235U. С момента помещения устройства в исследовательский реактор производят регистрацию температуры по показаниям термопары 9 (Трт), используемой лишь как температуры реперной точки. Термопара установлена на торцевой оболочке 8 твэла 1, по показаниям которой получаем зависимость Трт= f( ), как показано на фиг.3. По мере испарения топливной таблетки 3 и перераспределения ТМ по внутренней поверхности оболочки 2 будут изменяться температура торцевой оболочки 8 и, соответственно, показания термопары 9. Очевидно, начиная с момента времени = к, когда процесс переконденсации закончится, показания термопары 9 не будут изменяться, что и отражено на фиг. 3. Причем важна не точность показания термопары 9, которая измеряется с большой погрешностью, а динамика изменения показаний термопары 9. Таким образом, зафиксируем время переконденсации к топливного материала 3. После чего для конкретного ТМ 3 из выражения (2) определяем температуру оболочки твэла.
Приведем вывод соотношения (2).
Поток молекул ТМ с открытой торцевой поверхности топливной таблетки определим по соотношению Мейера [14] = 0,25 n Va, (4)где n – равновесная концентрация молекул ТМ внутри твэла и определяется из соотношения [15] Pтм = n k T; (5)va – среднеарифметическая скорость молекул ТМ и определяется из соотношения [15] va = (8R0 T/( .M))1/2; (6)Pтм – давление пара ТМ; k – постоянная Больцмана; Т – температура на открытой торцевой поверхности топливной таблетки; Ro – универсальная постоянная; М – молекулярная масса. Учитывая экспоненциальную зависимость давления пара Ртм от температуры Т для широкого класса ТМ [16, 17], можно записать Ртм = В* ехр(-A/Т), (7)где А и В* – коэффициенты, зависящие от вида ТМ. В процессе испарения ТМ с открытой торцевой поверхности топливной таблетки ее первоначальная толщина уменьшается и в зависимости от времени ( меняется от 0 до момента времени = к, соответствующего завершению процесса переконденсации ТМ в твэле) будет равна x( ), причем, очевидно, скорость изменения dx( )/d будет соответствовать выражениюdx( )/d = -( тм/ тм)![]() ( ), (8)где x( ) – текущая толщина топливной таблетки; тм – масса молекулы ТМ: тм – плотность ТМ.
Температуру Т на открытой торцевой поверхности топливной таблетки (принимаем ее как пластину с источниками тепла, охлаждаемую с одной стороны) в соответствии с [18] и, учитывая плотный контакт таблетки с торцем стакана, для каждого момента времени можно определить из выраженияT( ) = qv x2/(2 )+Tоб. (9)Из (9) найдем x( ) и продифференцируем его по ![]() ![]() Приравняв правые части выражений (8) и (10) и подставив выражение для из (4), с учетом выражений (5), (6) и (7), получим дифференциальное уравнение вида![]() где коэффициент В зависит от вида ТМ и определяется выражением B = B*/ тм (M/(2![]() R0))1/2. (12)Преобразуем (11) к виду ![]() где C = qv ![]() 2/(2 ), град. (14)Преобразуем уравнение (13), введя замену переменной у=(1-Тоб/Т)1/2. (15) Откуда из (15) получаем dT=2у Тоб/(1-y2)2 dy; (16)ехр(А/Т)=ехр(А (1-у2)/Тоб). (17)Подставляя (16) и (17) в (13), получим дифференциальное уравнение с разделенными переменными -ехр(А (1-y2)/Toб)/(1-у2)2dy=С1/2 В/(Tоб![]() ) d . (18)Интегрируем левую часть дифференциального уравнения (18) по у от у( =0) до y( = к), а правую по от =0 до = к.Нижний предел у(0) интеграла в соответствии с (9) и (14), имея в виду, что х(0)= , будет определяться выражениему(0)=(С/(Тоб+С))1/2. (19) Верхний предел y( к) определяется из следующих соображений. В процессе переконденсации ТМ внутри твэла образуется центральная газовая полость с изотермической поверхностью по завершению процесса переконденсации, т.е. при = к [19] . Причем в первом приближении, можно считать, при достаточной изотермичности оболочки твэла, толщину конденсата ТМ по внутренней поверхности оболочки твэла постоянной [20]. Отсюда, зная площадь внутренней поверхности оболочки твэла S и объем топливной таблетки V, можно определить x( к) из соотношенияx( к) = V/S = V/(2![]() Rc (Rc+Lc)). (20)Из (9) и (15), используя (20), определяем T( к) и y( к)T( к) = Tоб+qv x2/(2 );y( к) = (D/(Tоб+D))1/2, (21)где D = qv V2/(2![]() (2![]() Rc (Rc+Lc))2). (22)Интегрируя левую часть дифференциального уравнения (18) по у от y( = 0) до y( = к), а правую по от = 0 до = к, с учетом (19) и (21), получаем выражение (2)![]() Выражение (3) получено следующим образом. Для обеспечения зазора между цилиндрической оболочкой твэла и боковой стенкой стакана после помещения твэла в реактор и нагрева его на T градусов должно соблюдаться условиеRc (1+ об![]() T)-d (1+ тм![]() T)/2- ст>0, (23)где Rс – внутренний радиус твэла, м; T – нагрев тела, град; тм, об – коэффициенты линейного расширения ТМ и торцевой оболочки твэла соответственно, град-1;d – диаметр топливной таблетки, м; ст – толщина боковой стенки тонкостенного стакана, м.
Обозначив через 0 величину зазора между цилиндрической оболочкой твэла и боковой стенкой стакана до нагрева твэла в реакторе и равную 0 = Rc-(d/2+ ст) и выразив d=2(Rс– 0– ст), преобразуем неравенство (23) к соотношению (3) 0>( тм (Rc– ст)- об Rc)![]() T/(1+ тм![]() T).Величина T в (3) на первых этапах испытаний принимается из ожидаемого прогноза температурного состояния элементов, составляющих активную зону исследовательского реактора, которая известна [21]. На последующих этапах петлевых испытаний величина T может быть уточнена с учетом знания Тоб, полученной из предыдущих экспериментов по предлагаемому способу и устройству.
В качестве примера возьмем твэл, характеристики и материалы которого типичны для высокотемпературных термоэмиссионных твэлов [22], испытываемых в составе ЭГС. Рассмотрим способ определения температуры оболочки твэла при экспериментальной отработке в ядерном реакторе и устройство, его реализующее, где в качестве ТМ возьмем диоксид урана (высокообогащенный по изотопу 235U), выполненный в виде спеченной плотной (с плотностью не ниже 96% от теоретической) топливной таблетки толщиной =5 10-3 м и закрепленной в тонкостенном стакане. Толщину стенки стакана примем ст =10-4 м и высоту 5 10-3 м. Стакан установлен внутри твэла (на его торцевой оболочке, выполненной из вольфрама) с внутренним радиусом Rс=6 10-3 м и длиной lc=50 10-3 м, как показано на фиг.1.
Для ТМ и материала оболочки твэла примем следующие характеристики: тм = 10,6 0-6 1/град [23]; об = 6,8 10-6 1/град [24]; тм = 10,97 10-3 кг/м3 [23]; = 2,5 Вт/(м град) [25].
Определим величину зазора 0 между стаканом и оболочкой твэла по соотношению (3), приняв T =1700К![]() откуда 0>3,63 10-5 м.
Исходя из найденного соотношения (3), примем диаметр топливной таблетки d=11 10-3 м.
Найдем коэффициенты А, В*, В, С и D. Преобразуем уравнение равновесия между паровой и адсорбированной фазой стехиометричного диоксида урана, приведенного в [26]lgP[мм рт.ст.] = -32258/Т+12,183, к виду (7) с учетом Международной системы единиц Р[Н/м2]=2,027 1014 exp(-74277/T),откуда находим значения коэффициентов А=74277 град и В*=2,027 1014 Н/м2. Откуда из (12) определяем В=1,32 109м град1/2/с. На постоянном уровне тепловой мощности реактора по показаниям калориметра примем тепловую мощность твэла Q=237,5 Вт и, зная объем топливной таблетки V= d2![]() /4=4,75 10-7 м3, находим плотность тепловыделения qv=Q/V=5 103 Bт/м3. Из (14) и (22) определим коэффициенты С=2500 град; D=5,0623 град.
Подставим в выражение (2) численные значения коэффициентов A, В, С, D и значение толщины таблетки . Пользуясь формулой парабол [27], для приближенного вычисления определенного интеграла в левой части (2), построим зависимость Toб=f( к), как показано на фиг.4. Положим, что зафиксировали момент времени к = 3 103 с, когда показания термопары не меняются, пользуясь зависимостью Трт= f( ), как показано на фиг.3. Пользуясь графиком зависимости Тоб=f( к) (см. фиг.4) и зная к, определяем Toб=2100K.
Как видно из расчетного примера, погрешность в измерении предлагаемого в данном способе и устройстве времени переконденсации ТМ к на 100% дает погрешность в определении Toб всего на ~2%. Столь малая чувствительность предлагаемого способа и устройства к значительным погрешностям в измерении к объясняется экспоненциальной зависимостью Тоб от к, как это видно из (2) и фиг. 4. Особенно эффективны предлагаемый способ и устройство при экспериментальной отработке высокотемпературных твэлов и, в частности, термоэмиссионных, где высока температура оболочки твэла и где другие методы определения температуры оболочки твэла малоэффективны. Кроме того, экспериментальные исследования твэлов в составе петлевого канала позволяют в одном эксперименте исследовать сразу несколько последовательно расположенных твэлов, различающихся геометрией и используемыми материалами, фиксировать для каждого i-го твэла свое значение к, qv и соответственно Тоб.
Таким образом, предлагаемый способ определения температуры оболочки твэла при экспериментальной отработке в ядерном реакторе и устройство, реализующее способ, обладая высокой точностью:– сокращает число контролируемых в процессе эксперимента параметров и теплофизических характеристик ТМ и твэла; – применим для широкого класса твэлов и топливных материалов. ЛИТЕРАТУРА 1. В. В. Синявский. Методы определения характеристик термоэмиссионных твэлов. – М.: Энергоатомиздат, 1990, с.73. 2. А.Г. Самойлов. Тепловыделяющие элементы ядерных реакторов. – М.: Энергоатомиздат, 1985, с.150. 3. [1], с.77, 78, 79. 4. [1], с.80, 81. 5. Синявский В.В. и др. Проектирование и испытания термоэмиссионных твэлов. – М.: Атомиздат, 1981, с.7. 6. [1], с.81, 86. 7. Пятницкий А. П. и др. Вольтамперные характеристики термоэмиссионных преобразователей. – М.: Атомиздат, 1967. 8. [1], с.79, 80. 10. [1], с.78, 50, 51, 178. 11. Займовский А. С. и др. Тепловыделяющие элементы атомных реакторов. Изд. 2-е. – М.: Атомиздат, 1966, с.473. 12. Корнилов В.А. и др. Моделирование тепло- и массопереноса в сердечнике термоэмиссионного твэла. – Атомная энергия, 1982, т.53, вып.2, с.74-76. 13. Справочник по ядерной физике. Под ред. акад. Л.А. Арцимовича. – М.: Государственное издательство физико-математической литературы, 1963, с.266. 14. С. Дэшман. Научные основы вакуумной техники. – М.: Мир, 1964, с.23. 15. [14], с.12, 18. 16. Котельников Р. Б. и др. Высокотемпературное ядерное топливо. Изд. 2-е. – М.: Атомиздат, 1978, с.40. 17. Горбань Ю.А. и др. Исследование испарений двуокиси и карбидов урана. – Атомная энергия, 1967, т.22, вып.6, с.465-467. 18. Займовский А.С. и др. Тепловыделяющие элементы атомных реакторов. – М.: Атомиздат, 1962, с.355. 19. Корнилов В. А. и др. Метод расчета температурных полей топливного сердечника термоэмиссионного электрогенерирующего элемента. – Атомная энергия, 1980, т.49, вып.6, с.393-394. 20. Дегальцев Ю.Г. и др. Поведение высокотемпературного ядерного топлива при облучении. – М.: Энергоатомиздат, 1987, с.116. 21. [1], с.11. 22. [1], с.15. 23. [16], с.12. 24. Тугоплавкие материалы в машиностроении. Справочник под ред. А.Т. Туманова и К.И. Портного. – М.: Машиностроение, 1967, с.109. 25. [16], с.103. 26. Горбань Ю.А. и др. Исследование испарений двуокиси и карбидов урана. – Атомная энергия, 1967, т.22, вып.6, с.465-467. 27. Пискунов Н.С. Дифференциальное и интегральное исчисления для втузов. – М.: Физматгиз, 1963, с.408. Формула изобретения
![]() где Тоб – температура оболочки твэла, К; к – время переконденсации топливного материала, с; – толщина топливного материала, м;C = qv ![]() 2/(2 ), град;D = qv V2/(2![]() (2![]() Rс (Rc+Lc))2), град;qv – плотность тепловыделения в топливном материале, Вт/м3; – теплопроводность топливного материала, Вт/(м град);V – объем топливного материала, м3; Rс и Lc – внутренние радиус и длина твэла соответственно, м; А, град и В, м град1/2/с – коэффициенты, зависящие от вида топливного материала.
2. Устройство для определения температуры оболочки твэла при экспериментальной отработке в ядерном реакторе, содержащее твэл, состоящий из оболочки, внутри которой с зазором размещен топливный материал, калориметр интегрального теплового потока и термопару, отличающееся тем, что на торцевой оболочке твэла концентрично его оси установлен с зазором тонкостенный стакан, внутри которого размещен топливный материал толщиной меньшей диаметра стакана, при этом величина зазора определяется соотношением![]() где 0 – величина зазора, м;Rc – внутренний радиус твэла, м; Т – нагрев тела, град; ст – толщина боковой стенки тонкостенного стакана, м; ТМ, об – коэффициенты линейного расширения топливного материала и торцевой оболочки твэла соответственно, град-1.
3. Устройство по п.2, отличающееся тем, что высота тонкостенного стакана равна толщине топливного материала.
4. Устройство по п.2, отличающееся тем, что тонкостенный стакан выполнен из тугоплавких металлов, например W, Мо, Та, Re, Nb, или сплавов на их основе, или из того же материала, что и торцевая оболочка твэла.
5. Устройство по п.2, отличающееся тем, что тонкостенный стакан выполнен зацело с торцевой оболочкой твэла.
6. Устройство по п.2, отличающееся тем, что топливный материал выполняют высокой плотности из соединений плутония, высокообогащенного по изотопам 239Pu или(и) 241Рu, и(или) урана, высокообогащенного по изотопам 233U или(и) 235U.
РИСУНКИ
MM4A Досрочное прекращение действия патента Российской Федерации на изобретение из-за неуплаты в установленный срок пошлины за поддержание патента в силе
Дата прекращения действия патента: 03.04.2004
Извещение опубликовано: 10.03.2006 БИ: 07/2006
|
||||||||||||||||||||||||||


пр(Тоб) – зависящий от Тоб приведенный коэффициент теплового излучения электродной пары эмиттер-коллектор;
– постоянная Стефана – Больцмана;
Cs – теплопроводность цезиевого пара;
к – время переконденсации топливного материала, с;
– толщина топливного материала, м;
V2/(2
0>(
тм
с открытой торцевой поверхности топливной таблетки определим по соотношению Мейера [14]
тм/
тм)





