Патент на изобретение №2198245
|
||||||||||||||||||||||||||
(54) СПОСОБ ИНГИБИРОВАНИЯ КОРРОЗИИ И КОМПОЗИЦИИ ДЛЯ ЕГО ОСУЩЕСТВЛЕНИЯ
(57) Реферат: Изобретение относится к области защиты металлов от коррозии и может быть использовано на химических, нефтепромысловых и нефтеперерабатывающих производствах. Предложен способ ингибирования коррозии металлических железосодержащих поверхностей, заключающийся в контактировании с металлической поверхностью ингибитора коррозии, взятого в количестве 0,07-53 мг/л (ррm). Ингибиторы вводят в агрессивную среду в жидкой фазе, которая включает воду, спирты, амиды, гликоли и защищают металлическую поверхность от коррозии в интервалах температур 4-75oС и рН 3-8. В качестве ингибиторов коррозии используют производные 2-меркаптопиримидина, их натриевые, аммонийные соли, хлориды, бромиды, ацетаты, олеаты, оксалаты либо их смеси. Предложены ингибирующие композиции на основе производных 2-меркаптопиримидина, поверхностно-активного вещества (ПАВ) и жидкой фазы при следующем соотношении компонентов, мас. %: производные 2-меркаптопиримидина 0,05-0,2, ПАВ 0,01-30, растворитель – остальное. В качестве ПАВ использовали неонол и лапрол. Обеспечивается расширение ассортимента известных способов и средств защиты металлов от коррозии в агрессивных средах, а также получение длительного защитного эффекта при использовании значительно меньших концентраций ингибиторов, чем применяемые в настоящее время. 2 с. и 14 з.п. ф-лы, 29 ил., 8 табл. Изобретение относится к области защиты металлов от коррозии и может быть использовано на химических, нефтепромысловых и нефтеперерабатывающих производствах. В заявляемой группе изобретений в качестве ингибиторов коррозии используются производные 2-меркаптопиримидина, их основные и кислые соли, смеси и композиции на их основе. Известны составы и способы ингибирования коррозии металлических поверхностей, основанные на использовании азотсодержащих соединений, их смесей: Алцибеева А.И., Левин С.З. Ингибиторы коррозии металлов. Химия, 1968, с. 7-35; Иванов Е.С. “Ингибиторы коррозии металлов в кислых средах”. Справочник. М.: Металлургия, 1986, с.141-159. Широко используют в качестве ингибиторов коррозии азотсодержащие гетероциклические соединения, в частности производные имидазолина (например, пат. РФ 2086702, С 23 F 11/14, БИ 22, 1997), сульфатриазола (пат. США 5486334, C 23 F 11/14, ИСМ 12, в.49, 1996); тетразола (пат. США 5156769, С 23 F 11/14, 11/16, ИСМ 5, в. 49, 1994); тиазола (пат. Японии 2838115, C 23 F 11/12, ИСМ 1, в.49, 2000). Известны композиции, используемые для ингибирования процессов коррозии, содержащие смесь кватернизованных солей пиридина и серосодержащих соединений (пат. США 5368774, C 23 F, ИСМ 1, в.49, 1996), водные композиции замещенных триазинов (пат. США 5360492, С 23 С 22/82, ИСМ 12, в.49, 1995, заявка 95105211, C 23 F 11/04, БИ 35, 1996). Известно использование в качестве ингибиторов коррозии композиций на основе аминосодержащих соединений и поверхностно-активных веществ (ПАВ) (пат. РФ 2061091, C 23 F 11/00, БИ 15, 1996), циклических азотсодержащих соединений и ПАВ (пат. РФ 2083720, C 23 F 11/08, БИ 19, 1997, c. 338). Известен способ защиты металлов от коррозии с использованием пиримидинового производного – N-алифатического гексагидропиримидин-2-тиона, который может быть применен в смеси с четвертичными основаниями, причем ингибитор используют в концентрации 10-50000 ppm (пат. СССР 290557, C 23 F 11/00, БИ 2, 1971). Известен способ защиты сталей и сплавов от кислотной коррозии введением в рабочую среду отфильтрованного водного раствора со стадии получения продукта 4-амино-6-метоксипиримидина в количестве 0,05-0,2%, в состав которого входят, мас. %: смолообразные продукты окисления и конденсации 4-амино-6-хлорпиримидина 25-30; 4-амино-6-метоксипиримидин 2-3%, NaCl 9-10%, вода – остальное (пат. РФ N 2023051, C 23 F 11/00, БИ N 21, 1994). Однако все приведенные выше способы ингибирования и составы для достижения приемлемой степени защиты используют значительные количества ингибиторов, как правило более 10 мг/л (10 ppm). При этом действующие начала композиций используются в концентрациях более 1 10-4 моль/л. Поскольку ингибиторы коррозии используются постоянно или периодически, то это приводит к попаданию в почву многих сотен тонн химических продуктов, что отрицательно сказывается на экологии нефтедобывающих районов, и без того подверженных интенсивному антропогенному воздействию.
Наиболее близким к заявляемому способу является способ ингибирования железосодержащих материалов, в котором в качестве ингибитора используют водные растворы смесей на основе сульфата 2,4 – диамино-6-меркаптопиримидина (компонент А) и оксисолей металлов (Ti, Zn, Hf, V, Nb, Та) (компонент Б). Компонент А используют в количестве от 50 до 150 ppm, компонент В – от 50 до 100 ppm. Существенное увеличение защитного эффекта (до 95%) наблюдалось при применении 80 ppm 2,4-диамино-6-меркаптопиримидинилсульфата и 50 ppm метаванадата натрия (пат. US 5279651, 1994).
Задачей изобретения является разработка нового способа ингибирования металлических поверхностей и новых ингибирующих композиций, расширяющих ассортимент известных способов и композиций, позволяющих повысить эффективность ингибирования и вследствие этого снизить нормы расхода ингибитора коррозии.
Поставленная задача решается предлагаемым способом ингибирования коррозии и композициями для его осуществления.
Способ ингибирования включает контактирование металлических железосодержащих поверхностей с эффективным количеством ингибитора коррозии, который вводят в движущуюся или неподвижную агрессивную среду. В качестве ингибитора коррозии предлагается использовать производные 2-меркаптопиримидина, смеси этих производных, их основные и кислые соли, а также различные композиции, включающие производные 2-меркаптопиримидина и поверхностно-активное вещество (ПАВ). В качестве ПАВ композиции содержат неонол или лапрол.
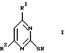
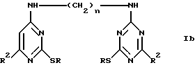
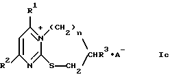
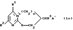
В качестве производных 2-меркаптопиримидина используют соединения формулы I:![]() где R – водород, алкил, аралкил, оксиалкил, замещенный аминоалкил, причем атом азота может входить в гетероциклическую систему или быть кватернизованным; R1 – алкил, аминогруппа, замещенная аминогруппа, в том числе, когда атом азота входит в гетероциклическую систему, оксигруппа, меркаптогруппа, алкилмеркаптогруппа; R2 – водород, алкил, аминогруппа. Все соединения, представленные в материалах заявки, оценивали на антикоррозионную активность электрохимическим методом. Скорость коррозии определяли измерителем скорости коррозии Р 5035 путем измерения поляризационного сопротивления двухэлектродного коррозионного датчика. Предварительно компенсировали сопротивление раствора и электродвижущей силы (ЭДС). Испытания соединений на ингибирующую активность проводили в герметичных электрохимических ячейках емкостью 0,5 л в модельной среде состава: NaCl 34 г/л, NaHCО3 1,26 г/л, КС1 0,4 г/л. В качестве образцов испытывали стали марок, например, Ст.20, Ст.10, Ст. 3. Установка для определения коррозии металлов содержит также магнитные мешалки типа ММ-5 и регулятор напряжения РНО-250-05, которые поддерживают заданную температуру и скорость перемешивания модельного раствора. Измерения скорости перемешивания осуществляли с помощью датчика Холла и цифрового запоминающего осцилографа С-9-8. Плоские образцы из стали (например Ст. 20, Ст.10, Ст.3) площадью 2 см2 зачищали наждачной бумагой, обезжиривали этиловым спиртом и помещали в электрохимическую ячейку, причем нерабочие поверхности образцов покрывали лаком ЛФЛ-21. Перед проведением испытаний в раствор подавали углекислый газ со скоростью 50-150 мл/мин, электролит прогревали до 40oС и перемешивали со скоростью 1000 об/мин. В течение 1-1,5 ч система стабилизировалась и устанавливалась постоянная скорость коррозии (1,2-1,4 мм/год). Затем растворы или дисперсии испытуемых веществ в любом подходящем растворителе (вода, спирты, гликоли, амиды или их смеси) вводили в ячейку до получения концентраций, приведенных в табл. 1-6, 8. Удобнее и дешевле использовать воду или метанол. Труднорастворимые в воде или в метаноле соединения непосредственно перед проведением испытаний переводили в растворимые соли. Для этого к суспензии соединений 1-9, 12, 25, 26 (табл.1) и 33, 34 (табл.3) в воде или метаноле добавляли рассчитанное количество щелочи, а к соединениям 13, 17, 20-24 (табл.1), 27-32 (табл.2) и 42-47 (табл.5) – рассчитанное количество соответствующей кислоты, необходимые для образования солей. Скорость коррозии измеряли в течение 5-6 ч через временные интервалы 5-30 минут. В случае, когда скорость коррозии через 6 ч продолжала значительно изменяться, испытания продолжали 24-30 ч и до 200 часов. Ингибирующее действие вводимых веществ оценивали по формуле ![]() где Z(t) – защитный эффект (%) в зависимости от времени действия ингибитора; U0 – скорость коррозии до введения ингибитора (мм/г); Ui(t) – скорость коррозии после введения ингибитора (мм/г); t – время после введения ингибитора. Скорость коррозии определяли по формуле U=2K/RnS, (2) где Rn – измеряемое поляризационное сопротивление, S – площадь электродов (см2), К – коэффициент линейной коррозии. Поскольку К, S – постоянные величины, защитный эффект ![]() где R0 и Ri(t) – поляризационные сопротивления соответственно до и после ввода ингибитора. Стандартная температура испытаний составляла 40oС. Данные, приведенные в табл. 1-6 и 8, соответствуют этой температуре. Наиболее эффективные соединения испытывали в интервале температур 4-75oС и при рН от 3 до 8. В результате многочисленных экспериментов установлено, что концентрации заявляемых ингибиторов, обеспечивающие высокий защитный эффект (Z=70-99%), составляют 0,07-53 мг/л (ppm). Результаты испытаний соединений, отвечающих формуле I, приведены в табл. 1 (примеры 1-26). На фиг. 1-8 приведены кривые, отражающие кинетику ингибирования коррозии соединениями, представленными в табл. 1. Если в соединении формулы I заместитель R представляет собой алкил, содержащий пиримидинил-2-тиогруппу, то получаем соединение формулы ![]() где R1 – алкил, аминогруппа, замещенная аминогруппа; R2 – метил, аминогруппа; n=2-6. Определение ингибирующего эффекта соединений формулы Iа проводили аналогично описанному выше для соединений формулы I, результаты приведены в табл. 2 (примеры 27-32). На фиг. 9 представлена кинетика ингибирования под влиянием соединения 29 (табл. 2). ЕслиR1вформулеIпредставляетсобой -(2-тиопиримидинил-4-амино)алкил, то получаем соединение формулы![]() где R – водород; R2 – метил; n=2-7. Результаты испытаний ингибирующей активности соединений формулы Iв приведены в табл. 3 (примеры 33, 34). На фиг.10, 11 представлена кинетика ингибирования этими соединениями. Если R в соединениях формулы I представляет собой полиметиленовую цепь, (содержащую или не содержащую заместитель), соединенную с атомом азота цикла, то мы получаем соединения формулы 1с и Id соответственно ![]() где R1 – аминогруппа, метил; R2 – аминогруппа, метил; R3 – водород, гидроксил; А – С1, Вr; n=0, 1. ![]() или ![]() где R2 – метил, аминогруппа; R3 – водород, гидроксил; n=0, 1. Результаты испытаний ингибирующей активности соединений формул Ic и Id представлены соответственно в табл. 4 (примеры 35-41) и табл. 5 (примеры 42-47). На фиг.12-19 приведена кинетика ингибирования этими веществами. Если R в соединениях формулы I представляет собой тетраметиленовую цепочку, образующую с атомом серы цикл, то получаем формулу ![]() где R1 – амино- и замещенная аминогруппа; R2 – метил, аминогруппа; А=С1, Br. Результаты испытаний ингибирующей активности соединений, соответствующих формуле 1е, представлены в табл. 6 (примеры 48-51), а на фиг.20 – кинетика ингибирования соединением 50. Как видно из результатов, приведенных в табл.1-6, предлагаемый способ позволяет достичь защитный эффект 70-99% при концентрациях используемых соединений 0,07-53 ppm, что в 10-100 раз меньше концентраций по прототипу. Соединения, ингибирующая активность которых представлена в табл.1-6, получали либо по известным методикам (литературные ссылки на метод синтеза приведены в таблицах в графе 8), либо по методикам, опубликованным для получения аналогичных по строению соединений (табл.7). Физико-химические характеристики ранее не опубликованных соединений также приведены в табл.7. Представленные в табл. 1-6 производные 2-меркаптопиримидина различаются по растворимости в воде и органических растворителях, по кинетике ингибирования и длительности защитного эффекта. Это позволяет в широких пределах варьировать эксплуатационные свойства ингибиторов при сохранении их главного достоинства – возможности использования их в низких и сверхнизких дозах. Соединения, представленные в табл. 1-3 и 5, могут применяться как в виде свободных оснований, так и в виде солей – гидрохлоридов, гидробромидов, оксалатов, ацетатов, олеатов, что не снижает их эффективности. На фиг. 21 представлены данные по защитному эффекту свободного основания и солей. Соединения, содержащие свободную меркаптогруппу, могут применяться в виде натриевых солей или солей с аминами (предпочтительно триэтаноламин и диэтаноламин). На фиг. 22 сопоставлены защитные эффекты солей. Заявляемые соединения могут быть использованы в индивидуальном виде либо в виде смесей. На фиг.23 представлены результаты испытаний смеси соединений 3 (табл.1) и 33 (табл.3). Фиг. 24 демонстрирует зависимость ингибирования коррозии от температуры на примере соединения 3 (табл.1). Из графика видно, что изменение температуры от 4 до 75oC мало сказывается на эффективности действия ингибитора. Заявляемые соединения работают в средах с рН от 3 до 8. На фиг. 25 приведена кинетика ингибирования соединением 3 (табл.1) при рН 3, 5,5 и 8. Заявляемые соединения испытаны в качестве ингибиторов коррозии в виде композиций с поверхностно-активными веществами (ПАВ) при следующем соотношении компонентов, мас.%: Производные 2-меркаптопиримидина – 0,05-0,2 ПАВ – 0,01-30 Растворитель – Остальное При этом установлено, что предлагаемый класс ингибиторов коррозии совместно с поверхностно-активными соединениями (ПАВ) образует эффективные ингибирующие композиции с синергическим эффектом, поскольку сами ПАВ до концентрации 1 г/л не проявляют эффекта ингибирования. В качестве ПАВ испытывали неонол (АФ 9-12) и лапрол (Л-5603-26-10). В табл.8 приведены результаты испытаний композиций на основе соединения 3 (табл. 1) и ПАВ, а на фиг. 26 – ингибирующая способность соединения 4 (табл.1) и неонола. Кривая А – ингибирование соединением 4 (концентрация ингибитора 0,07 ppm). Защитный эффект Z через 6 часов составил 71,4%. Кривая Б – ингибирование смесью (с концентрацией также 0,07 ppm) соединения 4 и неонола, взятого в концентрации 1 мг/л. Защитный эффект в этом случае 92%. Кривая В соответствует смеси (с концентрацией 0,07 ppm) соединения 4 и 5 мг/л неонола. Защитный эффект уже через 3 часа 93%. Композиции ингибиторов готовили простым смешением компонентов. Заявляемые соединения обеспечивают длительный защитный эффект, что иллюстрируется фиг. 27, где приведены результаты испытания по длительности защиты для соединений 2 и 9 (табл.1). Соединения могут вводится в агрессивную среду в виде растворов, дисперсий. В качестве растворителей при приготовлении образцов ингибиторов применяли воду, спирты (метанол), гликоли (этиленгликоль), амиды (диметилформамид) или их смеси. На фиг. 28 представлен защитный эффект для соединения 3 (табл. 1), приготовленного в различных растворителях, а на фиг. 29 – защитный эффект для соединений 2, 4, 6 и 9, введенных в виде дисперсии. Предлагаемые соединения, их соли и композиции могут найти применение для защиты от коррозии химического, нефтепромыслового и нефтеперерабатывающего оборудования, в нефтехранилищах, в системах, использующих речную и морскую воду. Применение заявляемых соединений, их солей и композиций определяется в основном составом агрессивной среды, температурой, рН и другими конкретными технологическими требованиями. Таким образом, предлагаемый способ ингибирования и предлагаемые композиции позволяют получить длительный защитный эффект при использовании значительно меньших концентраций ингибиторов, чем применяемые в настоящее время. Это обеспечивает резкое сокращение объема химикатов, вводимых в окружающую среду. Кроме того, предлагаемые производные 2-меркаптопиримидина являются аналогами природных соединений – цитозина, урацила, что обеспечивает их относительно легкую биодеградацию и утилизацию в почве под действием почвенных микроорганизмов. Предлагаемый способ ингибирования коррозии металлической поверхности, составы и композиции для его осуществления значительно расширяют ассортимент известных способов и средств защиты металлов от коррозии в агрессивных средах. Заявляемые соединения прошли испытания с положительным результатом на нефтепромысловом оборудовании Североальметьевской площади Ромашкинского нефтяного месторождения. СПИСОК ЛИТЕРАТУРЫ 1. R.R. Hunt, J.F.W. Mс Omie, E.R. Sayer. J. Chem. Soc., 1959, 525-528. 2. В.М. Березовский, А.М. Юркевич, ЖОХ, 1962, 32, 1655-1657. 3. Polonovski M.M., Pesson M., Schmitt H. Bull. Soc. Chim. France, 15, N 3-4, р.392-395, 1948. 4. M. Dymicky, W.T. Cald well. J. Org. Chem., 27, 4211-4215, 1962. 5. H. C. Koppel, R.H. Springer, R.K. Robins, C.C. Cheng. J. Org. Chem., 27, 181-184, 1962. 6. В. И. Гунар, Л. Ф. Овечкина, Э.А. Арутюнян, И.А. Михайлопуло, С.И. Завьялов, О.Н. Кулаева. Изв. АН СССР, сер. хим., 1962, N 12, 2772-2775. 7. P. B. Russel, E.B. Elion, E.Q. Falco, G.H. Hitehings. J. Am. Chem. Soc., 71, p. 2279-2282, N 7, 1949. 8. F.G. Fischer, J. Roch Ann. der Chemie, 572, 212, 1951. 9. H. C. Koppel, R.H. Springer, R.K. Robins, C.C. Cheng. J. Org. Chem., 26, 792-803, 1961. 10. H.L. Wheeler, H.F. Merrian. Am. Chem. J., 29, 478-480, 1903. 11. N. Jamaoka, Y. Tsukamoto, K. Aso. “Nippon Nogei Kagaku Kaishi”, 37, N 10, 626-629, 1963 (Chem. Abs., 63, 9942, 1965). 12. А.С. Михайлов, H.Г. Пашкуров, В.С. Резник, Т.Ю. Маханько, В. Зобов, С.M. Горбунов. Хим. фарм. журнал, 1984, N 1, 64-67. 13. Г. И. Подзигун, H. Г. Пашкуров, В.С. Резник, Б.Е. Иванов. Изв. АН СССР, сер. хим., 1980, N 10, 2346-2349. 14. Г. И. Подзигун, Н.Г. Пашкуров, В.С. Резник, Б.Е. Иванов. Авт. св. СССР 639878. 15. Г. И. Подзигун, Н.Г. Пашкуров, В.С. Резник, Б.Е. Иванов. Авт. св. СССР 594117. 16. Н.Г. Пaшкуров, В.С. Резник. ДАН СССР, 1966, 171, N 4, 874-876. 17. А. С. Михайлов, Н.Г. Пашкуров, В.С. Резник, Г.И. Подзигун. Изв. АН СССР, сер. хим., 1984, N 6, 1396-1402. 18. Р. М. Фасхутдинов, А.С. Михайлов, Н.Г. Пашкуров, В.С. Резник, Е.В. Ананьев, Т. Ю. Маханько, С.М. Горбунов. Хим. фарм. журнал, 1989, N 7, 828-830. 19. E.W. Parnell. J. Chem. Soc., 1962, N 8, 2856-2862. 20. А.С. Михаилов, В.И. Скузлова, Н.Г. Пашкуров, В.С. Резник. ЖОХ, 1996, 66, N 3, 514-517. 21. Р. М. Фасхутдинов, А.С. Михайлов, Н.Г. Пашкуров, В.С. Резник, И.В. Заиконникова, Л. В. Бассамыкина, Е. В. Ананьев, С.М. Горбунов. Хим. фарм. журнал, 1988, N 5, 557-559. 22. Р. М. Фасхутдинов, Н.Г. Пашкуров, В.С. Резник. Изв. АН СССР, сер. хим., 1986, N 7, 1634-1636. 23. Н.Г. Пашкуров, В.С. Резник. ХГС, 1968, N 5, 918-920. 24. А. С. Михайлов, Н.Г. Пашкуров, В.С. Резник, И.В. Заиконникова, И.Е. Зимакова, Н.Т. Абдрахманова, Л.В. Бассамыкина. Авт. свид. СССР 1111454. 25. А.С. Михайлов, Н.Г. Пашкуров, В.С. Резник. ЖОХ, 1997, 67, N 2, 349. 26. В. С. Резник, Н. Г. Пашкуров. Изв. АН СССР, сер. хим., 1966, N 9, 1613-1617. Формула изобретения
![]() где R означает Н, алкил, арилалкил, оксиалкил, замещенный аминоалкил, причем атом азота может входить в гетероциклическую систему или быть кватернизованным; R1 означает алкил, оксигруппу, меркаптогруппу, алкилтиогруппу, аминогруппу, в том числе, когда атом азота входит в гетероциклическую систему; R2 означает водород, алкил, аминогруппу. 2. Способ по п.1, отличающийся тем, что в качестве ингибиторов коррозии используют их натриевые или аммониевые соли. 3. Способ по п.1, отличающийся тем, что в качестве ингибиторов коррозии используют соли кислот, выбранных из группы, содержащей хлористоводородную, бромистоводородную, уксусную, щавелевую, олеиновую кислоту. 4.Способпоп.1,отличающийсятем,чтоRозначает -(пиримидинил-2-тио)алкил,![]() а R1 означает алкил, аминогруппу и замещенную аминогруппу; R2 означает метил, аминогруппу; n=2 – 6. 5.Способпоп.1,отличающийсятем,чтоR1означает -(2-тиопиримидинил-4-амино) алкил,![]() а R означает водород; R2 означает метил; n=2, 7. 6. Способ по п.5, отличающийся тем, что в качестве ингибитора коррозии используют их натриевые или аммониевые соли. 7. Способ по п.5, отличающийся тем, что в качестве ингибитора коррозии используют соли кислот, выбранных из группы, содержащей хлористоводородную, бромистоводородную, уксусную, щавелевую, олеиновую кислоту. 8. Способ по п.1, отличающийся тем, что R означает замещенную или незамещенную полиметиленовую цепь, соединенную с атомом азота пиримидинового цикла ![]() а R1 означает метил, аминогруппу; R2 означает метил, аминогруппу; R3 означает водород, гидроксил; А означает Cl, Br; n=0, 1. 9. Способ по п.1, отличающийся тем, что R означает замещенную или незамещенную полиметиленовую цепь, соединенную с атомом азота пирмидинового цикла, R1 – таутомероспособную группу, ![]() или ![]() а R1 означает метил, аминогруппу; R2 означает водород, оксигруппу; n=0, 1. 10. Способ по п. 1, отличающийся тем, что R означает тетраметиленовую цепь, образующую с атомом серы цикл, ![]() а R1 означает амино-, замещенную аминогруппу; R2 означает метил, аминогруппу; A=Cl, Br. 11. Способ по п.1, отличающийся тем, что в качестве ингибитора коррозии используют смеси производных 2-меркаптопиримидина по пп.1-10. 12. Способ по п.1, отличающийся тем, что ингибитор коррозии по пп.1-12 используют при концентрации 0,07-53 ppm. 13. Способ по п.1, отличающийся тем, что ингибиторы коррозии вводят в контакт с металлической поверхностью в жидкой фазе. 14. Способ по п. 14, отличающийся тем, что в качестве жидкой фазы используют воду, спирты, предпочтительно метанол, амиды, предпочтительно диметилформамид, гликоли, предпочтительно этиленгликоль. 15. Способ по пп.1-12, отличающийся тем, что металлическую поверхность защищают от коррозии в агрессивных средах в интервалах температур 4-75oС и pH 3-8. 16. Композиция для ингибирования коррозии железосодержащих металлических поверхностей на основе азотсодержащего соединения и поверхностно-активного вещества, отличающаяся тем, что в качестве азотсодержащего соединения она содержит любое производное 2-меркаптопиримидина, выбранное из соединений по пп. 1-10, а в качестве поверхностно-активного вещества неонол или лапрол при следующем соотношении компонентов, мас.% соответственно: Производное 2-меркаптопиримидина – 0,05 – 0,2 ПАВ – 0,01 – 30 Растворитель – Остальное$ РИСУНКИ
|
||||||||||||||||||||||||||

10-4 моль/л. Поскольку ингибиторы коррозии используются постоянно или периодически, то это приводит к попаданию в почву многих сотен тонн химических продуктов, что отрицательно сказывается на экологии нефтедобывающих районов, и без того подверженных интенсивному антропогенному воздействию.
Наиболее близким к заявляемому способу является способ ингибирования железосодержащих материалов, в котором в качестве ингибитора используют водные растворы смесей на основе сульфата 2,4 – диамино-6-меркаптопиримидина (компонент А) и оксисолей металлов (Ti, Zn, Hf, V, Nb, Та) (компонент Б). Компонент А используют в количестве от 50 до 150 ppm, компонент В – от 50 до 100 ppm. Существенное увеличение защитного эффекта (до 95%) наблюдалось при применении 80 ppm 2,4-диамино-6-меркаптопиримидинилсульфата и 50 ppm метаванадата натрия (пат. US 5279651, 1994).
Задачей изобретения является разработка нового способа ингибирования металлических поверхностей и новых ингибирующих композиций, расширяющих ассортимент известных способов и композиций, позволяющих повысить эффективность ингибирования и вследствие этого снизить нормы расхода ингибитора коррозии.
Поставленная задача решается предлагаемым способом ингибирования коррозии и композициями для его осуществления.
Способ ингибирования включает контактирование металлических железосодержащих поверхностей с эффективным количеством ингибитора коррозии, который вводят в движущуюся или неподвижную агрессивную среду. В качестве ингибитора коррозии предлагается использовать производные 2-меркаптопиримидина, смеси этих производных, их основные и кислые соли, а также различные композиции, включающие производные 2-меркаптопиримидина и поверхностно-активное вещество (ПАВ). В качестве ПАВ композиции содержат неонол или лапрол.
В качестве производных 2-меркаптопиримидина используют соединения формулы I:



-(2-тиопиримидинил-4-амино)алкил, то получаем соединение формулы










