Патент на изобретение №2198177
|
||||||||||||||||||||||||||
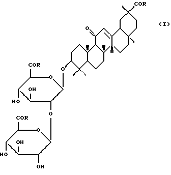
(54) ГЛИКОПЕПТИД ГЛИЦИРРИЗИНОВОЙ КИСЛОТЫ С S-БЕНЗИЛ-L-ЦИСТЕИНОМ, ПРОЯВЛЯЮЩИЙ АНТИ-ВИЧ АКТИВНОСТЬ
(57) Реферат: Описывается новое химическое соединение – производное глицирризиновой кислоты, а именно гликопептид глицирризиновой кислоты с S-бензил-L-цистеином [I] : 3-О-{ 2-O-[N-( -D-глюкопиранозилуроноил)-L-цистеин(S-бензил)-N-( -D-глюкопиранозилуроноил)-L-цистеин(S-бензил)]}-(3 ,20 )-11-оксо-олеан-12-ен-30-(N-карбонил-L-цистеин(S-бензил)-3-ил, обладающий анти-ВИЧ активностью. Данное соединение превосходит глицирризиновую кислоту (ГK) по ингибированию вирусoспецифического белка р24 (вирусного антигена) при использовании в равных концентрациях (100 мкг/мл) в культуре клеток МТ-4, инфицированных штаммом ВИЧ-1/ЭВК, а также превосходит ГК (IS = 4,4-24) по индексу селективности (IS = 90). В концентрации 100 мкг/мл анти-ВИЧ активность препарата аналогична активности азидотимидина в лечебной дозе, в отличие от последнего препарат менее токсичен для клеток МТ-4. 1 табл.
Изобретение относится к новым химическим соединениям, конкретно к гликопептиду глицирризиновой кислоты с S-бензил-L-цистеином [I]: 3-О-{2-О-[N-( -D-глюкопиранозилуроноил)-L-цистеин(S-бензил)-N-( -D-глюкопиранозилуроноил)-L-цистеин(S-бензил)]}-(3 ,20 )-11-оксо-олеан-12-ен-30-(N-карбонил-L-цистеин(S-бензил)-3-ил формулы (Iб), проявляющему анти-ВИЧ активность.
![]() ![]() ![]() Указанное соединение и его свойства в литературе не описаны. В настоящее время во всем мире интенсивно ведутся исследования по поиску средств для борьбы с ВИЧ-инфекцией. Выявлен ряд соединений, ингибирующих репродукцию вируса иммунодефицита человека (ВИЧ): рибавирин, азидотимидин (зидовудин), 2,3-дидезоксинуклеозиды и др. [1,2] . В 1987-88 гг. группой японских ученых была обнаружена способность глицирризиновой кислоты (ГК) – основного биоактивного компонента экстракта корней солодки голой (Glycyrrhiza glabra) и уральской (G1. uralensis) ингибировать ВИЧ in vitro и in vivo [3-5]. ГК была успешно использована в условиях клиники для лечения больных СПИДом [2,3,6]. Основным недостатком ГК является его малая эффективность как ингибитора обратной транскриптазы ВИЧ [7] и высокие дозы препарата, которые вызывают подавление репродукции ВИЧ [8]. Задача, на решение которой направлено заявленное техническое решение, заключается в поиске новых соединений в ряду производных ГК, обладающих анти-ВИЧ активностью. В заявленном техническом решении синтезировано новое соединение – гликопептид ГК с S-бензил-L-цистеином: 3-O-{ 2-O-[N-( -D-глюкопиранозилуроноил)-L-цистеин(S-бензил)-N-( -D-глюкопиранозилуроноил)-L-цистеин(S-бензил)] } -(3 , 20 )-11-оксо-олеан-12-ен-30-(N-карбонил-L-цистеин)(S-бензил)-3-ил формулы (Iб), проявляющий анти-ВИЧ активность.
Биологические свойства данного соединения были изучены в лаборатории ретровирусов Института молекулярной биологии ГНЦ ВБ “Вектор”.
Противовирусную активность препарата изучали на традиционной модели первично инфицированных ВИЧ лимфоидных клеток МТ-4. В работе использовали штамм ВИЧ-1/ЭВК. В качестве препаратов сравнения использовали глицирризиновую кислоту в концентрации 100 мкг/мл и один из известных противовирусных препаратов – ингибиторов репликации ВИЧ – азидотимидин (АЗТ) (зидовудин [9] ), облегчающий течение заболевания СПИДом, в концентрации 0,1 мкг/мл. Механизм действия АЗТ связан с подавлением фермента – обратной транскриптазы (ревертазы) ВИЧ, обеспечивающей считывание вирусной ДНК в пораженной клетке с РНК, содержащейся в вирионе (транспортной форме вируса). Однако со временем ВИЧ становится устойчивым к действию ингибиторов обратной транскриптазы, поэтому в последнее время АЗТ и его аналоги стали применять в сочетании с противовирусными, эффективными при ВИЧ-инфекции препаратами другого механизма действия – ингибиторами протеаз. Кроме того, АЗТ является более токсичным препаратом, чем ГК [8].
Цитотоксичность исследуемого соединения оценивали на культуре перевиваемых Т-лимфоцитов человека (линия МТ-4). Препарат растворяли в ДМСО и в соответствующих разведениях вносили в лунки 96-луночных планшетов (по три на каждое разведение) при рассеве клеток.
По окончании инкубации подсчитывали долю жизнеспособных клеток в камере Горяева после окрашивания трипановым синим. Строили дозазависимую кривую и определяли концентрацию препарата, вызывающего гибель 50% клеток, CD50 (токсическая доза).
Для оценки анти-ВИЧ активности соединения клетки МТ-4 (концентрация 2 106 клеток/мл) инфицировали штаммом ВИЧ-1/ЭВК с множественностью заражения 0,2-0,5 инфекционных единиц на клетку. После адсорбции вируса в течение 1 часа при 37oС инфицированные и контрольные клетки (без вируса) разводили ростовой культуральной средой до посевной концентрации 5 105 клеток/мл и вносили в лунки 96-луночных культуральных планшетов. Затем в соответствующие лунки вносили растворы исследуемого соединения (по три лунки на каждое разведение). Конечная концентрация исследуемых препаратов в клеточной суспензии составляла от 0,1 до 100 мкг/мл.
Ингибирующий эффект соединения оценивали на 4-е сутки культивирования измерением количества вирусного антигена – вирусоспецифического белка р24 – иммуноферментным методом. Кроме того, определяли долю жизнеспособных клеток после окрашивания трипановым синим путем подсчета в камере Горяева. На основе полученных экспериментальных данных строили дозазависимые кривые и определяли количественные характеристики ингибирования: ID50 – концентрацию соединения, на 50% подавляющую продукцию вируса или обеспечивающую 50% защиту клеток от гибели вследствие инфекции; ID90 – концентрацию соединения, на 90% подавляющую продукцию вируса или обеспечивающую 90% защиту клеток от гибели вследствие инфекции; IS – индекс селективности – отношение токсичной дозы CD50 к его эффективной дозе ID50. Результаты проведенных исследований приведены в таблице.
Установлено, что для гликопептида (Iб) 50%-ная цитотоксическая доза (СD50) (вызывающая 50% гибель клеток) составила 270 мкг/мл (198 мкМ). Данное соединение является ~ в 50-55 раз менее токсичным веществом, чем АЗТ (CD50= 3,5 мкМ) [8] и проявляет выраженную анти-ВИЧ-1 активность, с высокой эффективностью ингибируя накопление вирусоспецифического белка р24 (ID50=3 мкг/мл, что соответствует 2,2 мкМ). 90%-ное подавление репродукции вируса наблюдается при концентрации гликопептида (Iб) 100 мкг/мл (ID90=100 мгк/мл). В данной концентрации анти-ВИЧ активность (ингибирование р24) препарата (Iб) превосходит анти-ВИЧ эффект ГК и аналогична активности АЗТ в лечебной дозе (0,1 мкг/мл) (см. таблицу). В диапазоне концентраций от 0,1 до 100 мкг/мл данное соединение не является токсичным для клеток (см. таблицу). Кроме того, оказалось, что индекс селективности данного соединения IS=90, что существенно выше такового для ГК (IS=4,4-24). В концентрации 100 мкг/мл гликопептид (Iб) также превосходит ГК по проценту ингибирования вирусоспецифического белка р24 (см. таблицу).
Синтез гликопептида (Iб) проводили путем конденсации ГК (94 2% чистоты) с трет-бутиловым эфиром S-бензил-L-цистеина методом активированных эфиров с помощью N, N’-дициклогексилкарбодиимида (DСС)-N-гидроксисукцинимида (HOSu). Выход карбоксизащищенного гликопептида (Iа) после очистки колоночной хроматографией (КХ) на силикагеле (СГ) составил 60%.
При обработке гликопептида (Iа) раствором СF3СООН в хлористом метилене при 20-22oС получали целевой продукт (Iб) с выходом 53% после очистки КХ на СГ.
Сущность технического решения иллюстрируется следующими примерами.
Пример 1. Синтез гликопептида (Iб).
а) К раствору 1,64 г (2 ммоль) глицирризиновой кислоты в 20 мл диоксана при 0oС прибавили 1,2 г (ммоль) N-гидроксисукцинимида, 1,2 г (ммоль) N,N’-дициклогексилкарбодиимида и перемешивали смесь при 0 – 5oС 2 ч. Отфильтровали осадок дициклогексилмочевины, к фильтрату прибавили 2,12 г (7 ммоль) трет-бутилового эфира S-бензил-L-цистеина и 1,3 мл триэтиламина в 30 мл диоксана. Смесь выдержали с периодическим перемешиванием при 20-22oС 18 ч, разбавили холодной водой и подкислили лимонной кислотой до рН~4. Осадок отфильтровали, промыли водой и высушили. Получили 2,36 г продукта (Iа), который хроматографировали на колонке с СГ, элюируя смесью хлороформа-метанола-воды, 300: 10:1, 200:10:1 и 100:10:1 (v%). Смесью 200:10:1 вымыли 1,58 г (60%) гомогенного по ТСХ карбоксизащищенного гликопептида (Iа). Rf 0,33 (хлороформ-метанол-вода, 45:10:1). [ ]20D+35 (с 0,02; метанол).
ИК-спектр, , см-1: 3200-3600 (ОН, NH); 1740 (COOR); 1670 (С11=О); 1540 (CONH); 1500 (Ph). УФ-спектр, max (МеОН), нм (lg ): 245 (4.40). Спектр ЯМР 13С (DMF-d7, , м. д. ): 199,69 (С11); 178,55 (С30); 170,53 (С13); 127,48 (С12); 105,04 (С1′); 104,27 (Cl”); 89,06 (C3); 82,30 (С2′); 169,85 (С6′); 169,79 (С6”); 76,75 (С5′); 76,18 (С5”); 75,17 (C3”); 73,11 (С4′); 72,79 (С4”); 62,03 (С9); 55,37 (С5); 49,0 (С18); 45,64 (С14); 39,84 (С1); 169,93; 170,00; 163,22; 163,03; 162,83; 162,45; 138,94; 138,86; 129,56; 128,98 (С6H5). Спектр ЯМР 1H (DMF-d7, , м.д.): 0,78; 0,84; 1,06; 1,08; 1,16; 1,26 (все с, 7 СН3, 21 Н); 1,38; 1,44 (оба с, 9 СН3, 27 Н, трет-бутил); 5,50 (= C12-Н); 7,20-7,40 (м, Н аром.).
Найдено, %: N 2,3. С84Н119N3О19S3. Вычислено, %: N 2,7. М.в. 1570,90.
б) 0,68 г (0,5 ммоль) гликопептида (Iа) обработали раствором СF3СООН в хлористом метилене (2 мл/20 мл) при 20-22oС, упарили досуха и хроматографировали на колонке с СГ, элюируя смесью хлороформ-метанол-вода, 100:10:1, 50: 10: 1, 25: 10:1 (v%). Выход гомогенного по ТСХ гликопептида (Iб) 0,32 г (53%) (аморфное вещество желтоватого цвета), [ ]20D+74 (с 0,02; метанол).
ИК-спектр, , см-1: 3600-3200 (ОН, NH); 1710 (СООН); 1670 (С11=О); 1550 (CONH); 1510 (Ph). УФ-спектр, max (МеОН), нм (lg ): 250 (4,5). Спектр ЯМР 13С ( , м.д., ацетон-d6): 199,04 (С11); 177,04 (С30); 171,49 (С6′); 170,73 (С6”); 172,99 (С13); 103,20 (С1′); 102,88 (Cl”); 88,10 (C3); 80,08 (С2′); 75,31 (С5′); 74,85 (С5”); 74,10 (C3′); 73,71 (C3”); 72,55 (С2”); 71,69 (С4”); 61,03 (С9); 54,26 (С5); 47,75 (С18); 45,66 (С14); 44,65 (С20); 38,84 (Cl); 36,08; 35,54; 35,33 (CH2 Bzl); 51,27; 50,78; 50,53 ( -CH L-Cys); 169,98; 169,64; 169,32 (COOH L-Cys); 137,78; 137,59; 129,96; 128,91; 128,48; 128,37; 128,13; 127,93; 127,85; 127,70; 127,25; 126,78; 126,46; 126,37 (С6Н5). Спектр ЯМР 1Н ( , м.д., ацетон-d6): 0,78; 0,84; 1,06; 1,14; 1,36 (21 Н, 7 СН3); 5,54 (=С12-Н); 7,2-7,4 (Н аром.).
Пример 2. Изучение анти-ВИЧ активности соединения (Iб).
Цитотоксичность исследуемого соединения оценивали на культуре перевиваемых Т-лимфоцитов человека (линия МТ-4). Препарат растворяли в ДМСО и в соответствующих разведениях вносили в лунки 96-луночных планшетов (по три на каждое разведение) при рассеве клеток. Посевная концентрация клеток составляла 0,5 106 клеток/мл. Клетки культивировали в 96-луночных планшетах для культур клеток фирмы “Costar” (США) на ростовой питательной среде (среда RPMI-1640 с добавлением 10% сыворотки плода коровы, 0,06% L-глутамина, 100 мкг/мл гентамицина) при 37oС и 5% СО2 в течение 4 суток.
По окончании инкубации подсчитывали долю жизнеспособных клеток в камере Горяева после окрашивания трипановым синим. Строили дозазависимую кривую и определяли концентрацию соединений, вызывающую гибель 50% клеток, CD50.
Для оценки анти-ВИЧ активности соединения (Iб) клетки МТ-4 (концентрация 2 106 клеток/мл) инфицировали штаммом ВИЧ-1/ЭВК с множественностью заражения 0,2-0,5 инфекционных единиц на клетку. После адсорбции вируса в течение 1 ч при 37oС инфицированные и контрольные клетки (без вируса) разводили ростовой культуральной средой до посевной концентрации 5 105 клеток/мл и вносили в лунки 96-луночных культуральных планшетов. Затем в соответствующие лунки вносили растворы исследуемого соединения (по три лунки на каждое разведение) и далее культивировали как описано выше. В качестве препаратов сравнения использовали очищенную глицирризиновую кислоту (95%) (ГК) – нативный гликозид солодкового корня в концентрации 100 мкг/мл и азидотимидин (АЗТ) (зидовудин) – известный анти-ВИЧ препарат в концентрации 0,1 мкг/мл. Конечная концентрация исследуемых препаратов в клеточной суспензии составляла от 0,1 до 100 мкг/мл.
Ингибирующий эффект соединения (Iб) оценивали на 4-е сутки культивирования измерением количества вирусного антигена р24 иммуноферментным методом. Кроме того, определяли долю жизнеспособных клеток после окрашивания трипановым синим путем подсчета в камере Горяева. На основе полученных экспериментальных данных строили дозазависимые кривые и определяли количественные характеристики ингибирования: ID50 – концентрацию соединения, на 50% подавляющую продукцию вируса или обеспечивающую 50%-ную защиту клеток от гибели вследствие инфекции; ID90 – концентрацию соединения, на 90% подавляющую продукцию вируса или обеспечивающую 90%-ную защиту клеток от гибели вследствие инфекции; IS – индекс селективности – отношение токсичной дозы CD50 к его эффективной дозе ID50.
Установлено, что для исследуемого соединения 50%-ная цитотоксическая доза СD50 составила 270 мкг/мл (198 мкМ).
Гликопептид (Iб) проявляет выраженную анти-ВИЧ-1 активность, с высокой эффективностью ингибируя накопление вирусоспецифического белка р24 (ID50=3 мкг/мл, что соответствует 2,2 мкМ). ID90=l00 мкг/мл (90%-ное подавление репродукции вируса). В данной концентрации противовирусная активность препарата аналогична активности АЗТ и превосходит ингибирующий эффект (накопление р24) ГК в равной дозе (100 мг/кг) (см. таблицу). Гликопептид (Iб) является ~ в 50-55 раз менее токсичным веществом для ВИЧ-инфицированных клеток в исследованном диапазоне концентраций (CD50=270 мкг/мл или 198 мкМ) по сравнению с АЗТ (CD50=3,5 мкМ) [8].
Индекс селективности гликопептида (Iб) или химиотерапевтический индекс IS= 90 (по ингибированию р24 ВИЧ-1), что существенно выше такового для глицирризиновой кислоты (IS=4,4-24) [10].
ЛИТЕРАТУРА
7. О. А. Плясунова. Скрининг и изучение препаратов – ингибиторов вируса иммунодефицита человека. Дисс. канд. биол. наук. Кольцово, 1992, 55 с.
8. О.А.Плясунова, И.Н.Егоричева, Н.В.Федюк, А.Г.Покровский, Л.А.Балтина, Ю. И. Муринов, Г.А.Толстиков. Изучение анти-ВИЧ активности
9. М. Д. Машковский. Лекарственные средства. Пособие для врачей. Изд. 14-е, т. 2. Москва: “Новая Волна”, 2000, с. 330.
10. О. А.Плясунова. Скрининг и изучение препаратов – ингибиторов вируса иммунодефицита человека. Дисс. канд. биол. наук в форме научного доклада. Кольцово, 1992, 55 с.
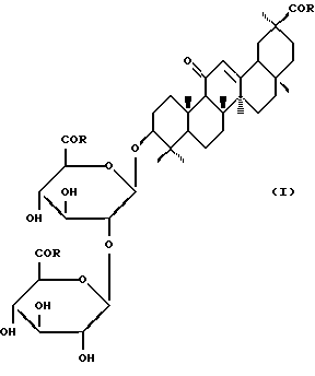
Формула изобретения
![]() ![]() ![]() проявляющий анти-ВИЧ активность. РИСУНКИ
MM4A Досрочное прекращение действия патента Российской Федерации на изобретение из-за неуплаты в установленный срок пошлины за поддержание патента в силе
Дата прекращения действия патента: 31.03.2004
Извещение опубликовано: 20.02.2006 БИ: 05/2006
|
||||||||||||||||||||||||||

-D-глюкопиранозилуроноил)-L-цистеин(S-бензил)-N-(



106 клеток/мл) инфицировали штаммом ВИЧ-1/ЭВК с множественностью заражения 0,2-0,5 инфекционных единиц на клетку. После адсорбции вируса в течение 1 часа при 37oС инфицированные и контрольные клетки (без вируса) разводили ростовой культуральной средой до посевной концентрации 5
2% чистоты) с трет-бутиловым эфиром S-бензил-L-цистеина методом активированных эфиров с помощью N, N’-дициклогексилкарбодиимида (DСС)-N-гидроксисукцинимида (HOSu). Выход карбоксизащищенного гликопептида (Iа) после очистки колоночной хроматографией (КХ) на силикагеле (СГ) составил 60%.
При обработке гликопептида (Iа) раствором СF3СООН в хлористом метилене при 20-22oС получали целевой продукт (Iб) с выходом 53% после очистки КХ на СГ.
Сущность технического решения иллюстрируется следующими примерами.
Пример 1. Синтез гликопептида (Iб).
а) К раствору 1,64 г (2 ммоль) глицирризиновой кислоты в 20 мл диоксана при 0oС прибавили 1,2 г (ммоль) N-гидроксисукцинимида, 1,2 г (ммоль) N,N’-дициклогексилкарбодиимида и перемешивали смесь при 0 – 5oС 2 ч. Отфильтровали осадок дициклогексилмочевины, к фильтрату прибавили 2,12 г (7 ммоль) трет-бутилового эфира S-бензил-L-цистеина и 1,3 мл триэтиламина в 30 мл диоксана. Смесь выдержали с периодическим перемешиванием при 20-22oС 18 ч, разбавили холодной водой и подкислили лимонной кислотой до рН~4. Осадок отфильтровали, промыли водой и высушили. Получили 2,36 г продукта (Iа), который хроматографировали на колонке с СГ, элюируя смесью хлороформа-метанола-воды, 300: 10:1, 200:10:1 и 100:10:1 (v%). Смесью 200:10:1 вымыли 1,58 г (60%) гомогенного по ТСХ карбоксизащищенного гликопептида (Iа). Rf 0,33 (хлороформ-метанол-вода, 45:10:1). [
]20D+35
(с 0,02; метанол).
ИК-спектр,
, см-1: 3200-3600 (ОН, NH); 1740 (COOR); 1670 (С11=О); 1540 (CONH); 1500 (Ph). УФ-спектр,
max (МеОН), нм (lg
): 245 (4.40). Спектр ЯМР 13С (DMF-d7,
, м. д. ): 199,69 (С11); 178,55 (С30); 170,53 (С13); 127,48 (С12); 105,04 (С1′); 104,27 (Cl”); 89,06 (C3); 82,30 (С2′); 169,85 (С6′); 169,79 (С6”); 76,75 (С5′); 76,18 (С5”); 75,17 (C3”); 73,11 (С4′); 72,79 (С4”); 62,03 (С9); 55,37 (С5); 49,0 (С18); 45,64 (С14); 39,84 (С1); 169,93; 170,00; 163,22; 163,03; 162,83; 162,45; 138,94; 138,86; 129,56; 128,98 (С6H5). Спектр ЯМР 1H (DMF-d7, 

