Патент на изобретение №2198176
|
||||||||||||||||||||||||||
(54) СПОСОБЫ ПОЛУЧЕНИЯ ПРОИЗВОДНЫХ АЗОСТЕРОИДОВ, ПРОИЗВОДНОЕ АЗОСТЕРОИД-ИМИДАЗОЛИДА, СПОСОБ ЕГО ПОЛУЧЕНИЯ
(57) Реферат: Изобретение относится к улучшенному способу получения карбоксамидо-4-азостероидов общей формулы I, в которой пунктирные линии независимо обозначают простую или двойную связь, R, R1, R2 и R3 каждый представляет собой водород или органический радикал, включающий обработку соответствующих промежуточных соединений 17 -карбонил-имидазолов безводными кислотами в присутствии амина и, необязательно, гидрирование полученного соединения. Способ дает хорошие выходы и позволяет получать амиды из стерически затрудненных и/или имеющих низкую нуклеофильность и, следовательно, низкую реакционноспособность аминов. 4 с. и 4 з.п.ф-лы.
Настоящее изобретение касается способа получения карбоксамидо-4-азостероидов и, более конкретно, оно касается способа получения 17 -карбоксамидо-4-азостероидов, исходя из соответствующих производных 17 -карбонилимидазола.
Карбоксамидо-4-азостероиды, такие как, например, 17 -карбоксамидо-4-азо-5 -андростан-3-оны и родственные им производные ненасыщенных андростадиенонов представляют собой известные соединения, которые обладают фармакологической активностью, а именно ингибирующей активностью по отношению к тестостерон-5 -редуктазе, и поэтому их можно использовать в терапии для лечения гиперандрогенных состояний.
Для получения основных сведений о фармакологической активности указанных соединений см. ЕР-А-0271220, WO 94/03475 и статью в “Current Pharmaceutical Design”, 1996, 2, 59-84. Несколько способов получения карбоксамидо-4-азостероидов известны в литературе.
Например, как сообщалось в международной патентной заявке WO 94/03475, на имя заявителя, 17 -карбоксамидо-4-азостероиды получают реакцией соответствующим образом активированного 17 -карбокси-4-азостероида с подходящим амином.
Активированные соответствующим образом карбоксильные группы, образующие амидные связи, включают, например ацилхлориды, сложные тиоэфиры, сложные эфиры гидроксибензотриазола, смешанные ангидриды и производные ацилимидазола.
Большинство этих активированных групп, хотя они и пригодны для образования амидных связей, нельзя использовать для получения карбоксамидо-4-азостероидов из-за того, что они реагируют с атомом азота азостероидного фрагмента или с двойной связью в положении 5,6- андрост-5-ена или андроста-1,5-диена, если она присутствует, или, альтернативно, из-за того, что они являются нереакционноспособными по отношению к выбранному амину.
Поэтому, имея цель найти синтетический подход к получению 17 -карбоксамидо-4-азостероидов конденсацией амина с активированным 17 -карбокси-4-азостероидом, так, чтобы указанная активированная группа была нереакционноспособной по отношению к другим функциональным группам, присутствующим в молекуле, мы заметили, что можно с успехом использовать производные имидазолида.
Однако, стерически затрудненные или имеющие низкую нуклеофильность и следовательно недостаточную реакционноспособность амины либо совсем не реагировали с 17 -карбонилимидазол-4-азостероидами, либо давали возможность получить ожидаемые амиды с выходами даже ниже чем 20%.
Например, как сообщали A. Bhattacharya et al. в журнале Synthetic Communications, 30, (17), 2683-2690 (1990), попытка осуществить прямую конденсацию 3-оксо-4-азо-андрост-1-ен-17 -ацилимпдазола с трет-бутиламином, чтобы получить соответствующий амид, была безуспешной, даже при чрезвычайно жестких условиях реакции.
Подобно этому, с целью получения фторированных амидов, конденсация между 3-оксо-4-азо-андрост-5-ен-17 -карбонилимидазолом и фторированным амином не дала нам соответствующий амид даже при проведении реакции в жестких условиях, т.е. под давлением в автоклаве.
В европейской патентной заявке ЕР-А-0367502 на имя “Merk and Co. Inc.” описан способ получения 3-оксо-4-азостероидов, включая производные 17 -карбоксамидо реакцией соответствующего промежуточного соединения – производного 17 -карбонилимидазола с подходящим амином в присутствии реактива Гриньяра.
Однако специалистам в данной области хорошо известно, что при использовании реактивов Гриньяра, особенно в промышленном масштабе, требуется принимать усиленные меры предосторожности, чтобы избежать риска возникновения опасных реакций.
Поэтому, хотя упомянутый выше способ дает желаемый амид с высокими выходами, при промышленном применении этого способа могут возникнуть значительные препятствия.
Кроме того, при помощи той же методики нельзя получить фторированные 17 -карбоксамиды с приемлемыми выходами и чистотой.
В связи с этим, мы неожиданно обнаружили, что указанные производные имидазолида можно превратить в желаемый амид в мягких условиях в присутствии кислот.
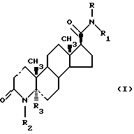
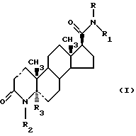
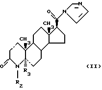
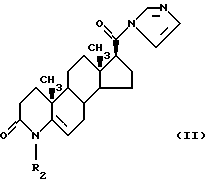
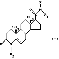
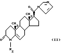
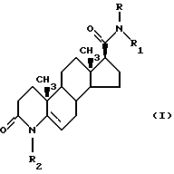
Поэтому предметом настоящего изобретения является способ получения соединений формулы![]() в которой пунктирные линии, независимо друг от друга, обозначают простую или двойную связь; R и R1, одинаковые или различные, представляют собой атом водорода или линейную, или разветвленную C1-С6-алкильную, фенилалкильную, алкилфенильную или алкилфенилалкильную группу, причем указанные алкильные группы замещены одним или более атомами фтора; R2 представляет собой атом водорода или С1-С4-алкильную группу, необязательно замещенную одним или более атомами фтора; R3, когда он присутствует, представляет собой атом водорода; при условии, что по крайней мере одна из групп R и R1 содержит один или более атомов фтора, и что, когда пунктирная линия в положении 5, 6 обозначает двойную связь, 3 отсутствует; который включает реакцию производного имидазолида формулы ![]() в которой пунктирные линии, R2 и R3 имеют указанные выше значения; с безводной кислотой в присутствии амина формулы HN(R)R1 (III) в которой R и R1 имеют указанные выше значения; и, если желательно, гидрирование полученного соединения формулы (I), в которой одна или обе пунктирные линии обозначают двойную связь. Способ, являющийся предметом настоящего изобретения, позволяет получить соединения формулы (I) в мягких условиях и, что даже более важно, он позволяет получить соединения формулы (I) из аминов с низкой реакционноспособностью, таких как амины с низкой нуклеофильностью и/или стерически затрудненные амины, например фторированные и даже полностью фторированные амины. В настоящем описании, если это не оговорено особо, термином “линейная или разветвленная С1-С4– или C1-C6-алкильная группа” охватывается метил, этил, н-пропил, изопропил, н-бутил, втор-бутил, изобутил, трет-бутил, н-пентил, н-гексил и т.п. Термином “линейная или разветвленная C1-C6-фенилалкильная, алкилфенильная или алкилфенилалкильная группа” охвачена фенильная группа, связанная с линейной или разветвленной С1-С6-алкильной группой, такой как указано выше. Термин “безводная кислота” обычно обозначает кислоту с очень низким содержанием воды, причем указанная кислота представляет собой минеральную кислоту, сильную органическую кислоту или кислоту Льюиса. Примерами минеральных или сильных органических кислот являются хлористый водород, бромистый водород, серная кислота, метансульфоновая кислота, п-толуолсульфоновая кислота, трифторметансульфоновая кислота, камфорсульфоновая кислота и т.п. Примерами кислот Льюиса являются, например, хлорид цинка, бромид цинка, хлорид алюминия, бромид алюминия, хлорид железа (III), бромид железа (III) и т.п. Для получения основных сведений об указанных кислотах и, в частности, о кислотах Льюиса, см., например, J. March, Advanced Organic Chemistry, VI ed. , 1992, John Wiley and Sons, Chapter 8, pages 248-272. В формулах (I-II), приведенных выше, пунктирная линия (—-) в положении 5 указывает на заместитель, в -конфигурации, т.е. ниже плоскости кольца, и клиновидные линии в положениях 10, 13 и 17 указывают на заместитель, расположенный в -конфигурации, т.е. расположенный выше плоскости кольца.
Предпочтительными соединениями, получаемыми согласно способу настоящего изобретения, являются соединения формулы (I), в которых один из радикалов R и R1 представляет собой атом водорода, и другой представляет собой линейную или разветвленную C1-С4-алкильную, фенилалкильную или алкилфенилалкильную группу, замещенную в алкильном фрагменте, по крайней мере, одним атомом фтора.
Еще более предпочтительными соединениями в этом классе являются соединения формулы (I), в которых указанные алкильные группы представляют собой C1-С3-перфторалкильные группы, такие как, например, трифторметильная, 1,1,1-трифторэтильная, 1,1,1,2,2-пентафторэтильная или 1,1,1,3,3,3-гексафторпропильная группы.
Способ согласно настоящему изобретению предпочтительно осуществляется для получения одного из следующих 17 -карбоксамидо-4-азостероидов:1)N-(1,1,1,3,3,3-гексафтор-2-фенилпроп-2-ил)-3-оксо-4-азо-5 -андрост-1-ен-17 -карбоксамид;2)N-(1,1,1,3,3,3-гексафтор-2-фенилпроп-2-ил)-3-оксо-4-азо-5 -андростан-17 -карбоксамид;3) N-(1,1,1,3,3,3-гекгафтор-2-фенилпроп-2-ил)-3-оксо-4-азо-андрост-1,5-диен-17 -карбоксамид;4) N-(1,1,1,3,3,3-гексафтор-2-фенилпроп-2-ил)-3-оксо-4-азо-андрост-5-ен-17 -карбоксамид;5) N-[1,1,1,3,3,3-гексафтор-2-(п-метилфенил)проп-2-ил] -3-оксо-4-азо-5 -андрост-1-ен-17 -карбоксамид;6) N-[1,1,1,3,3,3-гексафтор-2-(п-метилфенил)проп-2-ил] -3-оксо-4-азо-5 -андростан-17 -карбоксамид;7) N-[1,1,1,3,3,3-гексафтор-2-(п-метилфенил)проп-2-ил] -3-оксо-4-азоандрост-1,5-диен-17 -карбоксамид;8) N-[1,1,1,3,3,3-гексафтор-2-(п-метилфенил)проп-2-ил] -3-оксо-4-азоандрост-5-ен-17 -карбоксамид;9) N-[1,1,1-трифтор-2-фенилпроп-2-ил)-3-оксо-4-азо-5 -андрост-1-ен-17 -карбоксамид;10) N-[1,1,1-трифтор-2-фенилпроп-2-ил)-3-оксо-4-азо-5 -андростан-17 -карбоксамид;11) N-[1,1,1-трифтор-2-фенилпроп-2-ил)-3-оксо-4-азоандрост-1,5-диен-17 -карбоксамид;12) N-[1,1,1-трифтор-2-фенилпроп-2-ил)-3-оксо-4-азоандрост-5-ен-17 -карбоксамид;13) N-[1,1,1-трифтор-2-(п-метилфенил)проп-2-ил] -3-оксо-4-азо-5 -андрост-1-ен-17 -карбоксамид;14) N-[1,1,1-трифтор-2-(п-метилфенил)проп-2-ил]-3-оксо-4-азо-5 -андростан-17 -карбоксамид;15) N-[1,1,1-трифтор-2-(п-метилфепил)проп-2-ил] -3-оксо-4-азо-андрост-1,5-диен-17 -карбоксамид;16) N-[1,1,1-трифтор-2-(п-метилфенил)проп-2-ил] -3-оксо-4-азо-андрост-5-ен-17 -карбоксамид.
Способ согласно настоящему изобретению осуществляют путем реакции производного 17 -карбонилимидазола формулы (II) с безводной кислотой в присутствии амина формулы (III) в инертной атмосфере.
Как указано выше, примерами кислот являются, например, газообразные хлористый водород или бромистый водород, а также серная кислота, метансульфоновая кислота, трифторметансульфоновая кислота, п-толуолсульфоновая кислота, камфарсульфоновая кислота или кислоты Льюиса, такие как хлорид цинка, бромид цинка, хлорид алюминия, бромид алюминия, хлорид железа (III) и бромид железа (III).
Предпочтительно, указанные кислоты представляют собой газообразные минеральные или сильные органические кислоты.
Еще более предпочтительными кислотами являются метансульфоновая кислота или хлористый водород.
Указанные кислоты используются по крайней мере в стехиометрических количествах, или, предпочтительно, при молярном отношении производное имидазолида: кислота = 1:2.
Большие избытки кислоты являются в равной степени эффективными и бесполезными.
Реакцию проводят добавлением выбранной кислоты к раствору производного имидазолида формулы (II) и амина формулы (III) в подходящем растворителе при температуре в пределах от комнатной температуры до температуры дефлегмации реакционной смеси в течение промежутка времени, варьирующегося от 1 часа до 12 часов.
Предпочтительно выбирают температуру реакции, находящуюся в пределах между 40 и 70oС.
Подходящими растворителями являются хлорированные углеводороды C1-C3, такие как, например, метиленхлорид, хлороформ или 1,2-дихлорэтан, а также ацетонитрил, тетрагидрофуран или необязательно замещенные ароматические углеводороды, такие как, например, толуол, фторбензол, , , -трифтортолуол и т. п.
Предпочтительно для осуществления способа настоящего изобретения используют в качестве исходного вещества производные имидазолида формулы (II), содержащие одну двойную связь в положении 5,6 стероидного фрагмента.
Производные имидазолида формулы (II), описанные выше, в которых пунктирная линия в положении 1,2 обозначает простую связь, а пунктирная линия в положении 5,6 обозначает двойную связь, являются новыми соединениями и представляют собой дополнительный предмет настоящего изобретения.
Еще в одном варианте способа этого изобретения производное имидазолида формулы (II), растворенное в упомянутых выше растворителях, сначала подвергают реакции с указанной безводной кислотой.
Предлагаемая аддитивная соль производного имидазолида формулы (II) затем реагирует in situ и следовательно без необходимости выделения и последующей очистки, с подходящим амином формулы (111) так, чтобы получить ожидаемый 17 -карбоксамидо-4-азостероид формулы (I).
Эту реакцию осуществляют путем непосредственного смешивания соли и подходящего амина в той же самой реакционной системе, при температуре, находящейся в пределах между комнатной температурой и температурой дефлегмации реакционной смеси, в течение промежутка времени, от 1 часа до 12 часов.
Предпочтительно выбирают температуру реакции в пределах между 40 и 70oС.
Соединения формулы (I) таким образом получают с хорошими выходами и легко выделяют и очищают обычными методами.
Исходные вещества формулы (II) получают согласно обычным методам путем реакции соответствующей карбоновой кислоты, возможно в активированной форме, с производным имидазола, таким как, например, карбонилдиимидазол, оксалилдиимидазол или сульфонилдиимидазол.
Для получения основных сведений о получении соединений формулы (II) см., например, упомянутые выше опубликованную международную заявку WO 94/03475 и заявку на европейский патент ЕР-А-0367502.
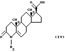
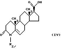
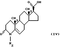
Производные 4-азоандрост-5-ен-17 -карбонилимидазола формулы (II), которые являются новыми соединениями, получают, как указано выше, путем реакции 3-оксо-4-азоандрост-5-ен-17 -карбоновой кислоты формулы.
![]() в которой R2 представляет собой атом водорода или С1-С4-алкильную группу, необязательно замещенную одним или более атомами фтора; с карбонил-диимидазолом, сульфонил-диимидазолом или оксалил-диимидазолом, в соответствии с тем, что сообщалось в литературе (см., например, Angew. Chem., 1962, 74, 407). Для получения сведений о получении производных карболовых кислот формулы (IV) см., например, способ, описанный в международной опубликованной заявке WO 90/15045 на имя “Upjohn and Co.”. Кроме того, амины формулы (III) известны или легко получаются согласно известным методам, как описано, например, в упомянутой выше опубликованной международной заявке WO 94/03475. Таким образом, используя в качестве исходного вещества подходящее производное формулы (II), имеющее одну, две или не имеющее ни одной двойной связи в стероидной части, получают соответствующий карбоксамидо-4-азостероид формулы (I). В некоторой степени специалистам в данной области очевидно, что путем гидрирования соединения формулы (I), имеющего одну или две двойные связи, согласно настоящему изобретению можно получить соответствующие насыщенные соединения формулы (I), в которых обе пунктирные линии обозначают простую связь. Указанную стадию гидрирования проводят согласно обычным методикам. Например, гидрирование можно проводить в подходящем растворителе, таком как метанол, этанол или уксусная кислота, в присутствии примерно от 10 до 30% обычных катализаторов гидрирования, таких как, например, катализаторы на основе палладия, платины или родия, при давлении водорода примерно от 3 до 7 атмосфер и при температурах, находящихся в пределах между комнатной температурой и 50oС, в течение времени от получаса до 18 часов. В предпочтительном варианте осуществления настоящего изобретения соединение формулы (I), такое как, например, n-(1,1,1,3,3,3-гексафтор-2-фенилпроп-2-ил)-3-оксо-4-азо-5 -андростан-17 -карбоксамид, используемый в качестве лекарственного средства, получают реакцией производного 3-оксо-4-азоандрост-5-ен-17 -карбоновой кислоты формулы (IV) в подходящем растворителе, таком как диметилформамид, с требуемым количеством 1,1′-карбонил-диимидазола.
Реакционную смесь выдерживают при перемешивании при температуре 60oС в течение 4 часов.
Полученный таким образом 3-оксо-4-азоандрост-5-ен-17 -карбонилимидазол формулы (II) смешивают с требуемым количеством 1,1,1,3,3,3-гексафтор-2-фенилпроп-2-ил-амина формулы (III), затем медленно обрабатывают в атмосфере азота при 60oС и при хорошем перемешивании требуемым количеством безводной сильной кислоты, такой как безводная метансульфоновая кислота. Реакционную смесь выдерживают при 60oС при перемешивании в течение 6 часов.
Полученный таким образом N-(1,1,1,3,3,3-гексафтор-2-фенилпроп-2-ил)-3-оксо-4-азоандрост-5-ен-17 -карбоксамид формулы (I) выделяют и очищают по обычным методикам, затем подвергают каталитическому гидрированию, например, в аппарате Парра или в автоклаве в присутствии каталитических количеств 5% Pt на угле, и получают N-(1,1,1,3,3,3-гексафтор-2-фенилпроп-2-ил)-3-оксо-4-азо-5 -андростан-17 -карбоксамид формулы (I).
Способ, являющийся предметом настоящего изобретения, дает очень выгодный путь синтеза для получения производных 17 -карбоксамидо-4-азостероидов, с хорошими выходами и в мягких условиях, с использованием в качестве исходных веществ известных или легко получаемых соединений и даже без необходимости выделения промежуточных продуктов реакции.
Более того, он позволяет получить амиды из стерически затрудненных и/или имеющих низкую нуклеофильность и, следовательно, низкую реакционноспособность аминов.
С целью лучшей иллюстрации настоящего изобретения без его ограничения ниже даны следующие примеры.
Пример 1Получение 3-оксо-4-азоандрост-5-ен-17 -карбонил-1-имидазола1,1-Карбонилдиимидазол (70,5 г; 0,435 моль) добавляют к энергично перемешиваемой суспензии 3-оксо-4-азоандрост-5-ен-17 -карбоновой кислоты (115 г; 0,362 моль) в N,N-диметилформамиде (1,44 л). Смесь нагревают до 60oС в течение 4 часов, и при этом образуется осадок.
Реакционную смесь концентрируют в вакууме и разбавляют этилацетатом; осадок отфильтровывают, промывают этилацетатом и сушат в вакууме при 40oС; получают 3-оксо-4-азоандрост-5-ен-17 -карбонил-1-имидазол (116,7 г) в виде светло-желтого твердого вещества.
Повторяя такую же обработку для маточного раствора, получают вторую порцию соединения (7,23 г). Общий выход составляет 93,07% (т. пл. 284-8oС с разложением; чистота >98%, согласно анализу методом ВЭЖХ).
ЯМР (CDCl3), (м. д): 1,18 (с, 1H, Н (2 )), 8,10 (уш. с, 1Н, NH (4)), 7,60 (с, 1Н, Н (5 )), 7,10 (с, 1H, Н (4 )), 4,81 (м, 1Н, Н (6)), 1,11 (с, 3Н, Me (19)), 0,78 (с, 3Н, Me (18)).
Пример 2Получение N-(1,1,1,3,3,3-гексафтор-2-фенилпроп-2-ил)-3-оксо-4-азоандрост-5-ен-17 -карбоксамида3-Оксо-4-азоандрост-5-ен-17 -карбонил-1-имидазол (29,05 г; 79,05 ммоль) растворяют в хлороформе (174 мл) в атмосфере азота при комнатной температуре.
Добавляют в полученный раствор одной порцией 1,1,1,3,3,3-гексафтор-2-фенилпроп-2-иламин (38,45 г; 158,11 ммоль).
Температуру реакционной смеси повышают до 60oС и, при энергичном перемешивании, добавляют по каплям метансульфоновую кислоту (0,26 мл; 58,11 ммоль). Смесь перемешивают при 60oС в течение 6 часов в атмосфере азота и затем охлаждают до комнатной температуры, тщательно промывают 0,5 н. NaOH (300 мл + 250 мл), рассолом и сушат над безводным сульфатом натрия. После выпаривания растворителя в вакууме получают желтоватое твердое вещество (51,56 г).
Сырой продукт очищают обработкой зтилацетатом при нагревании с обратным холодильником, концентрируют и осаждают добавлением трет-бутилметилового эфира; после фильтрования с отсосом и высушивания при 40oС под вакуумом получают N-(1,1,1,3,3,3-гексафтор-2-фенилпроп-2-ил)-3-оксо-4-азоандрост-5-ен-17 -карбоксамид (20,38 г; т. пл. 251-3oС с разложением; чистота 99,11%, определенная методом ВЭЖХ).
Из маточных растворов путем аналогичной обработки получают вторую порцию соединения (9,20 г; чистота 98%, определенная методом ВЭЖХ), что увеличило общий выход до 69%.
ЯМР (CDCl3), (м.д.): 7,60-7,37 (м, 6Н, Ph + NH (4)), 5,83 (с, 1H, NH (21)), 4,81 (м, 1Н, H (6)), 1,11 (с, 3Н, Me (19)), 0,76 (с, 311, Me (18)).
Пример 3Получение N-(1,1,1,3,3,3-гексафтор-2-фенилпроп-2-ил)-3-оксо-4-азо-5 -андростан-17 -карбоксамидаРаствор N-(1,1,1,3,3,3-гексафтор-2-фенилпроп-2-ил)-3-оксо-4-азоандрост-5-ен-17 -карбоксамида (23,04 г; 42,46 ммоль) в ледяной уксусной кислоте (460 мл) гидрируют в автоклаве в присутствии 5% палладия на угле (23,0 г) под давлением водорода 7 бар при 50oС.
Смесь охлаждают до комнатной температуры, катализатор отфильтровывают и фильтрат выливают в воду (3 л). После нейтрализации 15%-ным NaOH твердое вещество собирают фильтрованием с отсосом, тщательно промывают водой и сушат при 50oС под вакуумом.
Получают N-(1,1,1,3,3,3-гексафтор-2-фенилпроп-2-ил)-3-оксо-4-азо-5 -андростан-17 -карбоксамид (21,36 г; выход 91,95%) в виде белого твердого вещества (т.пл. 254-8oС, с разложением).
ЯМР (CDCl3), (м.д.): 7,50-7,30 (м, 5Н, Ph), 5,88 (уш. с, 1H, NH (21)), 5,42 (уш. с, 1Н, NH (4)), 3,08 (дв. д, 1Н, Н (5 ), 2,42 (м, 211, СH2 (2)), 0,90 (с, 3Н, Me (19)), 0,76 (с, 3Н, Me (18)).
Пример 4Получение 3-оксо-4-азо-5 -андрост-1-ен-17 -карбонил-1-имидазола1,1′-Карбонилдиимидазол (2,00 г; 12,36 ммоль) и 3-оксо-4-азо-5 -андрост-1-ен-17 -карбоновую кислоту (3,14 г; 9,89 ммоль) суспендируют в N,N’-диметилформамиде (37 мл) под аргоном. Смесь нагревают до 65oС в течение 4 часов. Твердые вещества сначала растворяются, и затем образуется новый осадок. После охлаждения растворитель испаряют в вакууме и полученную густую суспензию разбавляют метил-трет-бутиловым эфиром. После хранения при +4oС в течение 48 часов вещество отфильтровывают с отсосом, промывают метил-трет-бутиловым эфиром и сушат при 50oС под вакуумом. Получают 2,97 г (81,8%) светло-коричневого твердого вещества.
ЯМР (CDCl3), (м.д.): 8,43 (с, 1Н, H (2 )), 7,71 (с, 1Н, Н (5 )), 7,40 (уш. с, 1Н, NH (4)), 7,05 (с, 1Н, Н (4 )), 6,77 (д, 1H, Н (1)), 5,57 (дв. д, 1H, H (2)), 3,42 (т, 1H, H (17)), 3,17 (дв. д, 1Н, Н (5 )), 0,82 (с, 3Н, Ме (19)), 0,63 (с, 3Н, Ме (18)).
Пример 5Получение N-(1,1,1,3,3,3-гексафтор-2-фенилпроп-2-ил)-3-оксо-4-азо-5 -андрост-1-ен-17 -карбоксамидаК суспензии 3-оксо-4-азо-5 -андрост-1-ен-17 -карбонил-1-имидазола (2,97 г; 8,08 ммоль) в хлороформе (17,8 мл) добавляют в среде аргона 1,1,1,3,3,3-гексафтор-2-фенилпроп-2-иламин (гексафторкумиламин) (3,93 г; 16,16 ммоль). Температуру повышают до 50oС, добавляют по каплям метансульфоновую кислоту (1,05 мл; 16,16 ммоль), затем слабо-коричневую смесь перемешивают в течение 7,5 часов при 60oС. После охлаждения до комнатной температуры суспензию фильтруют через воронку Гуча, фильтровальную пластинку промывают метиленхлоридом (10 мл); прозрачный фильтрат выпаривают досуха под вакуумом, растворяют в тетрагидрофуране (16 мл) и обрабатывают 2 М NaOH при хорошем перемешивании в течение 1 часа. Затем смесь разбавляют водой (50 мл) и экстрагируют этилацетатом (3 25 мл). Собранные органические экстракты промывают 0,5 М NaOH (20 мл), сушат над сульфатом натрия, растворитель выпаривают под вакуумом; получают 5,63 г сырого продукта.
Сырой продукт очищают кристаллизацией из этилацетата и метилтрет-бутилового эфира, сушат в сушильном шкафу при 50oС в течение нескольких часов; получают 2,69 (61,4%) чистого белого твердого соединения (т.пл. 218-222oС).
ЯМР (CDCl3), (м.д.): 7,38-7,54 (м, 5Н, Рh), 6,79 (д, 1Н, Н (1)), 5,89 (с, 1Н, NH (21)), 5,82 (дв. д, 2H, Н (2)); 5,39 (с, 1Н, NH (4)), 3,33 (дв.д, 1Н, H (5 )), 0,98 (с, 3Н, Ме (19)), 0,76 (с, 3Н, Ме (18)).
Масс-спектр (FAB–) (m/z): 541 [M – Н]–, 471 [М – СHF3]–.
Формула изобретения
![]() в которой пунктирные линии – – – – -, независимо друг от друга, обозначают простую или двойную связь; R и R1, которые являются одинаковыми или различными, каждый представляет собой водород или линейную, или разветвленную 1-С6-алкильную, фенилалкильную, алкилфенильную или алкилфенилалкильную группу, причем указанные алкильные группы являются незамещенными или замещенными одним или более атомами фтора; R2 представляет собой водород или С1-С4-алкильную группу, необязательно замещенную одним или более атомами фтора; R3, когда он присутствует, представляет собой атом водорода; при условии, что по крайней мере один из радикалов R и R1 содержит один или более атомов фтора, и когда пунктирная линия в положении 5,6 обозначает двойную связь, R3 отсутствует; включающий реакцию производных азостероид-имидазолида формулы (II) ![]() в которой пунктирные линии, R2 и R3 имеют значения, указанные выше, с безводной кислотой в присутствии амина формулы (III) HN(R)R1, (III) в которой R и R1 имеют значения, указанные выше; и, при желании, гидрирование полученных производных азостероида формулы (I), в которой одна или обе пунктирные линии обозначают двойную связь. 2. Способ по п. 1, в котором безводная кислота представляет собой метансульфоновую кислоту. 3. Способ по п. 1, в котором в формуле (I) один из радикалов R и R2 представляет собой водород, а другой представляет собой линейную или разветвленную С1-С4-алкильную, фенилалкильную или алкилфенилалкильную группу, замещенную по крайней мере одним атомом фтора в алкильной части группы. 4. Способ по п.1, в котором в формуле (II) пунктирная линия в положении 1,2 обозначает простую связь, и пунктирная линия в положении 5,6 обозначает двойную связь. 5. Способ по п.1, в котором полученное производное азостероида формулы (I) представляет собой соединение, выбранное из N-(1,1,1,3,3,3-гексафтор-2-фенилпроп-2-ил)-3-оксо-4-азо-5 -андрост-1-ен-17 -карбоксамида;N-(1,1,1,3,3,3-гексафтор-2-фенилпроп-2-ил)-3-оксо-4-азо-5 -андростан-17 -карбоксамида;N-( 1,1,1,3,3,3-гексафтор-2-фенилпроп-2-ил)-3-оксо-4-азо-андрост-5-ен-17 -карбоксамида;6. Производное азостероид-имидазолида формулы (II) ![]() в которой R2 представляет собой водород. 7. Способ получения производного азостероид-имидазолида, определенного в п.6, включающий реакцию производного азоандрост-5-ена формулы ![]() в которой R2 определяется, как в п.6, с карбонил-диимидазолом. 8. Способ получения производного азостероида формулы (I) ![]() где один из радикалов R и R1 представляет собой водород, а другой представляет собой С1-С4-фенилалкильную группу, замещенную одним или более атомами фтора; R2 представляет собой водород или С1-С4-алкильную группу, необязательно замещенную одним или более атомами фтора; включающий (i) реакцию производного азоандрост-5-ена формулы (IV) ![]() в которой R2 имеет значения, указанные выше, с карбонил-диимидазолом с образованием производного азостероид-имидазолида формулы (II) ![]() в которой R2 имеет значения, указанные выше; (ii) реакцию полученного производного азостероид-имидазолида формулы (II) с безводной метансульфоновой кислотой в присутствии амина формулы HN(R)R1, (III) в которой один из радикалов R и R1 представляет собой атом водорода, а другой представляет собой С1-С4-фенилалкильную группу, замещенную одним или более атомами фтора; (iii) гидрирование полученного производного азостероида формулы (I) ![]() в которой R, R1 и R2 имеют значения, указанные выше. MM4A – Досрочное прекращение действия патента СССР или патента Российской Федерации на изобретение из-за неуплаты в установленный срок пошлины за поддержание патента в силе
Дата прекращения действия патента: 18.12.2005
Извещение опубликовано: 20.12.2007 БИ: 35/2007
|
||||||||||||||||||||||||||

-карбонил-имидазолов безводными кислотами в присутствии амина и, необязательно, гидрирование полученного соединения. Способ дает хорошие выходы и позволяет получать амиды из стерически затрудненных и/или имеющих низкую нуклеофильность и, следовательно, низкую реакционноспособность аминов. 4 с. и 4 з.п.ф-лы.
-андростан-3-оны и родственные им производные ненасыщенных андростадиенонов представляют собой известные соединения, которые обладают фармакологической активностью, а именно ингибирующей активностью по отношению к тестостерон-5

в положениях 10, 13 и 17 указывают на заместитель, расположенный в 
(м. д): 1,18 (с, 1H, Н (2 )), 8,10 (уш. с, 1Н, NH (4)), 7,60 (с, 1Н, Н (5 )), 7,10 (с, 1H, Н (4 )), 4,81 (м, 1Н, Н (6)), 1,11 (с, 3Н, Me (19)), 0,78 (с, 3Н, Me (18)).
Пример 2
25 мл). Собранные органические экстракты промывают 0,5 М NaOH (20 мл), сушат над сульфатом натрия, растворитель выпаривают под вакуумом; получают 5,63 г сырого продукта.
Сырой продукт очищают кристаллизацией из этилацетата и метилтрет-бутилового эфира, сушат в сушильном шкафу при 50oС в течение нескольких часов; получают 2,69 (61,4%) чистого белого твердого соединения (т.пл. 218-222oС).
ЯМР (CDCl3), 






