Патент на изобретение №2198174
|
||||||||||||||||||||||||||
(54) ПРОИЗВОДНЫЕ ПИРРОЛИДИНА, ОБЛАДАЮЩИЕ ИНГИБИТОРНОЙ АКТИВНОСТЬЮ В ОТНОШЕНИИ ФОСФОЛИПАЗЫ A2
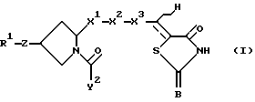
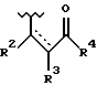
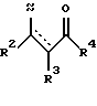
(57) Реферат: Изобретение относится к производным пирролидина формулы I ![]() где R1– Н, С1-С6алкил; фенил, возможно замещенный; бифенил, возможно замещенный; 1Н, 5Н – пиридо [3,2,1-ij] хинолил; фенил С1-С6алкил, необязательно замещенный; бифенил С1-С6алкил, необязательно замещенный; бифенилкарбонил; терфенил; нафтил, необязательно замещенный; Z означает -S-, -О-, -ОСН2-, -N(R16), где R16– Н, С1-С6алкил, С3-С8циклоалкилС1-С6алкил, фенилС1-С6алкил, химическая связь; Х1 означает -СО-, -(СН2)r-СО-N(R17), где R17 означает Н, С1-С6 алкил (где r = 0 или 1), -СН2NHSO2-, -(СН2)s-N (R18)-СО- (где R18– Н, s=1-3), – СН2NHCОСН2О-, -СН2N (R19)СОСН = СН- (где R19– Н), -СН2ОСН2-, -СН2-N (R20)-СН2– (где R20– Н, С1-С6алкил, С1-С6алкилкарбонил, фенилкарбонил), С1-С5алкилен, С2-С4алкенилен, химическая связь; Х2 – фенилен, необязательно замещенный гидрокси, тиофендиил, фурандиил, пиперидиндиил, , химическая связь; Х3 – С1-С5алкилен, С2-С4алкенилен, химическая связь; А – кислород; В и E – каждый независимо означает -О- или -S-; D-Н; V1-СО-; Y2 заместитель формулы:![]() ![]() ![]() R2 и R3 каждый – Н; R4– фенил, возможно замещенный галогеном; R5 – фенил, возможно замещенный; цикл G – фенил, С3-С7циклоалкил, пиридил, тиенил; цикл J – фенил; L – фенил; р=0-2; —– означает наличие или отсутствие химической связи; отображает цис- или транс-конфигурацию D относительно Е; при условии, что Х1 означает -СН2NHCО-, Х2 означает 1,4-фенилен и Х3 означает химическую связь или С1-С5алкилен, когда атом углерода, связанный СD и смежный с ним атом углерода в цикле связаны простой связью и V1 не означает химическую связь, когда Х1 означает -СН2О-; фармацевтически приемлемая соль или гидрат соединения. Соединения I ингибируют фосфолипазу А2 и могут быть использованы в фармацевтической композиции в качестве активного агента. 2 с. и 14 з.п. ф-лы, 38 табл.
Текст описания в факсимильном виде. Т Формула изобретения
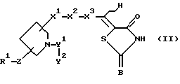
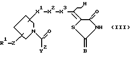
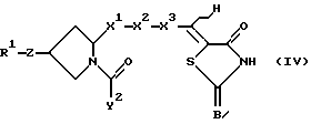
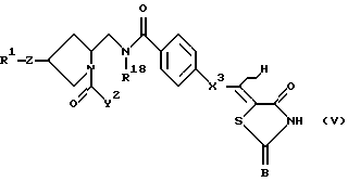
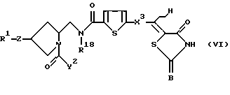
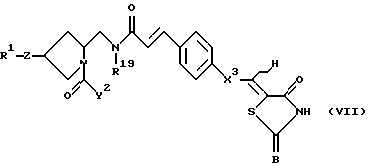
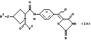
![]() где R1 означает атом водорода, прямой или разветвленный С1-С6алкил, фенил, необязательно замещенный одним или несколькими заместителями, выбранными из группы, содержащей фенилС2-С4алкенил, С1-С6алкил, С3-С7циклоалкил, галоген, С1-С6алкокси, нафтил, бензо-1,3-диоксоланил, 2-пиридил, фенилС1-С6алкил, фенилокси, моно- или дизамещенный амино и N-метилпиразинил, бифенил, необязательно замещенный одним или несколькими заместителями, выбранными из группы, содержащей С1-С6алкил, С1-С6алкокси, тригалоС1-С6алкил и гидрокси, терфенил, нафтил, необязательно замещенный одним или несколькими заместителями, выбранными из группы, содержащей фенил и галоген, фенил, конденсированный с С3-С7циклоалкилом, 2,3,6,7-тетрагидро-1Н,5Н-пиридо[3,2,1-ij] хинолил, фенилС1-C6алкил, необязательно замещенный одним или несколькими заместителями, выбранными из группы, содержащей С1-С6алкил, галоген, фенил, нафтил, тиенил, бензофуранил, фенилС1-С6алкил, фенилокси, моно- или дизамещенный амино и фенил, замещенный одним или несколькими заместителями, выбранными из группы, содержащей С1-С6алкил и галоген, бифенилС1-С6алкил, необязательно замещенный одним или несколькими заместителями, выбранными из группы, содержащей С1-С6алкил, С1-С6алкокси, галоген, тригалоС1-С6алкил, нитро и амино, нафтилС1-С6алкил, необязательно замещенный фенилом, и бифенилкарбонил; Z означает -S-, -О-, -ОСН2-, -N(R16)- (где R16 означает атом водорода, С1-С6алкил, С3-С8циклоалкилС1-С6алкил или фенилС1-С6алкил), или химическую связь; X1 означает -СО-, -(CH2)r-CO-N(R17)- (где R17 означает атом водорода или C1-С6алкил, а r означает целое число от 0 до 1), -CH2NHSO2-, -(CH2)s-N(R18)-CO- (где R18 означает атом водорода, a s означает целое число от 1 до 3), -CH2NHCOCH2O-, -CH2N(R19)COCH=CH- (где R19 означает атом водорода), -СН2ОСН2-, -CH2-N(R20)-CH2– (где R20 означает атом водорода, С1-С6алкил, C1-С6алкилкарбонил или фенилкарбонил), С1-С5алкилен, С2-С4алкенилен или химическую связь; Х2 означает фенилен, необязательно замещенный гидрокси, тиофендиил, фурандиил, пиперидиндиил, или химическую связь;X3 означает С1-С5алкилен, С2-C4алкенилен или химическую связь; А означает атом кислорода; В и Е каждый независимо друг от друга означает атом кислорода или атом серы; D означает атом водорода; Y1 означает -СО-; Y2 означает заместитель формулы ![]() ![]() ![]() где R2 и R3 каждый означает атом водорода; R4 означает фенил, который может быть замещен галогеном; R5 означает фенил, необязательно замещенный одним или несколькими заместителями, выбранными из группы, содержащей 1-С6алкил, галоген, амино и моно- или дизамещенный амино, С3-C7циклоалкил, тиенил и фурил; цикл G означает фенил, С3-С7циклоалкил, пиридил или тиенил; цикл J означает фенил; цикл L означает фенил; р означает целое число от 0 до 2; пунктирная линия (—-) означает наличие или отсутствие химической связи; волнистая линия (~ ) отображает цис- или транс-конфигурацию D относительно Е; при условии, что Х1 означает -CH2NHCO-, Х2 означает 1,4-фенилен и Х3 означает химическую связь или С1-С5алкилен, когда атом углерода, связанный с D, и смежный с ним атом углерода в цикле связаны простой связью, и Y1 не означает химическую связь, когда Х1 означает -СН2О-; фармацевтически приемлемая соль или гидрат указанного соединения. 2. Соединение по п.1, представленное формулой (II) ![]() где R1, Z, X1, X2, X3, Y1, Y2 и В имеют значения, указанные выше, волнистая линия означает цис- и транс-конфигурацию атома водорода относительно атома серы, при условии, что Y1 не означает химическую связь, когда X1 означает -СН2О-, фармацевтически приемлемая соль или гидрат указанного соединения. 3. Соединение по п.1, представленное формулой (III) ![]() где R1, Z, X1, X2, X3, Y2, В и волнистая линия имеют значения, указанные выше, фармацевтически приемлемая соль или гидрат указанного соединения. 4. Соединение по п.1, представленное формулой (IV) ![]() где R1, Z, X1, X2, X3, Y2, В и волнистая линия имеют значения, указанные выше, фармацевтически приемлемая соль или гидрат указанного соединения. 5. Соединение по п.1, представленное формулой (V) ![]() где R1, Z, R18, X3, Y2, В и волнистая линия имеют значения, указанные выше, фармацевтически приемлемая соль или гидрат указанного соединения. 6. Соединение по п.1, представленное формулой (VI) ![]() где R1, Z, R18, X3, Y2, В и волнистая линия имеют значения, указанные выше, фармацевтически приемлемая соль или гидрат указанного соединения. 7. Соединение по п.1, представленное формулой (VII) ![]() где R1, Z, R19, X3, Y2, В и волнистая линия имеют значения, указанные выше, фармацевтически приемлемая соль или гидрат указанного соединения. 8. Соединение по п.1, представленное формулой (VIII) ![]() где R1, Z, Y2, В и волнистая линия имеют значения, указанные выше, фармацевтически приемлемая соль или гидрат указанного соединения. 9. Соединение по п.1, представленное формулой (IX) ![]() где R1, Z, Y2, В и волнистая линия имеют значения, указанные выше, фармацевтически приемлемая соль или гидрат указанного соединения. 10. Соединение по п.1, представленное формулой (X) ![]() где R1, Z, Y2, В и волнистая линия имеют значения, указанные выше, фармацевтически приемлемая соль или гидрат указанного соединения. 11. Соединение по п.1, представленное формулой (XI) ![]() где R1, Z, Y2, В и волнистая линия имеют значения, указанные выше, фармацевтически приемлемая соль или гидрат указанного соединения. 12. Соединение по любому из пп.1-3, где Z означает -N(R16)-, фармацевтически приемлемая соль или гидрат указанного соединения. 13. Соединение по любому из пп.5-7, где R18 означает атом водорода, а X3 означает химическую связь, фармацевтически приемлемая соль или гидрат указанного соединения. 14. Соединение по любому из пп.1-13, где R1 означает фенил, необязательно замещенный одним или несколькими заместителями, выбранными из группы, содержащей фенилС2-С4алкенил, С1-С6алкил, С3-С7циклоалкил, галоген, С1-С6алкокси, нафтил, бензо-1,3-диоксоланил, 2-пиридил, фенилС1-С6алкил, фенилокси, моно- или дизамещенный амино и N-метилпиразинил, бифенил, необязательно замещенный одним или несколькими заместителями, выбранными из группы, содержащей С1-С6алкил, С1-С6алкокси, тригалоС1-C6алкил и гидрокси, терфенил, нафтил, необязательно замещенный одним или несколькими заместителями, выбранными из группы, содержащей фенил и галоген, фенил, конденсированный с С2-С7циклоалкилом, 2,3,6,7-тетрагидро-1Н,5Н-пиридо[3,2,1-ij]хинолил, фенилС1-С6алкил, необязательно замещенный одним или несколькими заместителями, выбранными из группы, содержащей C1-С6алкил, галоген, фенил, нафтил, тиенил, бензофуранил, фенилС1-С6алкил, фенилокси, моно- или дизамещенный амино, фенил, замещенный одним или несколькими заместителями, выбранными из группы, содержащей С1-С6алкил и галоген, и тиенил, бифенилС1-С6алкил, необязательно замещенный одним или несколькими заместителями, выбранными из группы, содержащей С1-С6алкил, С1-С6алкокси, галоген, тригалоС1-С6алкил, нитро и амино, нафтилС1-С6алкил, необязательно замещенный фенилом; фармацевтически приемлемая соль или гидрат указанного соединения. 15. Соединение по любому из пп.1-14, где Y2 означает заместитель формулы ![]() где R5 означает фенил, необязательно замещенный одним или несколькими заместителями, выбранными из группы, содержащей 1-С6алкил, галоген, амино и моно- или дизамещенный амино; фармацевтически приемлемая соль или гидрат указанного соединения. 16. Фармацевтическая композиция для ингибирования фосфолипазы А2, продуцирования арахидоновой кислоты, продуцирования простагландина Е2 или продуцирования лейкотриена С4, которая содержит соединение по любому из пп.1-15 в качестве активного компонента. РИСУНКИ
|
||||||||||||||||||||||||||


, химическая связь; Х3 – С1-С5алкилен, С2-С4алкенилен, химическая связь; А – кислород; В и E – каждый независимо означает -О- или -S-; D-Н; V1-СО-; Y2 заместитель формулы:


отображает цис- или транс-конфигурацию D относительно Е; при условии, что Х1 означает -СН2NHCО-, Х2 означает 1,4-фенилен и Х3 означает химическую связь или С1-С5алкилен, когда атом углерода, связанный СD и смежный с ним атом углерода в цикле связаны простой связью и V1 не означает химическую связь, когда Х1 означает -СН2О-; фармацевтически приемлемая соль или гидрат соединения. Соединения I ингибируют фосфолипазу А2 и могут быть использованы в фармацевтической композиции в качестве активного агента. 2 с. и 14 з.п. ф-лы, 38 табл.

или химическую связь;












