Патент на изобретение №2198168
|
||||||||||||||||||||||||||
(54) ФЛУОРЕСЦЕНТНЫЕ ОТБЕЛИВАЮЩИЕ СРЕДСТВА
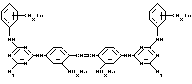
(57) Реферат: Изобретение относится к новым соединениям ряда 4,4′-диаминостильбен-2,2‘-дисульфоновой кислоты, которые могут быть использованы в качестве флуоресцентных отбеливающих средств. Описываются соединения формулы (1), структура и значения радикалов которых при условии исключения из нее известных соединений указаны в п.1 формулы. Описываются также способ флуоресцентного отбеливания субстрата, способ повышения величины солнцезащитных свойств материала из текстильного волокна, композиция моющего средства для флуоресцентного отбеливания тканей и моющее средство для сохранения окраски тканей. Предлагаемые соединения обладают улучшенными флуоресцентными свойствами и могут быть использованы для ингибирования действия анионогенных флуоресцентных отбеливающих средств на субстраты. 7 с. и 8 з.п. ф-лы, 2 табл. Изобретение относится к новым соединениям, в частности к новым соединениям 4,4′-диаминостильбен-2,2′-ди-сульфоновой кислоты, которые могут быть использованы в качестве флуоресцентных отбеливающих средств или для ингибирования (гашения) действия анионогенных флуоресцентных отбеливающих средств на субстраты. В WO 96/00221 описаны оптические осветляющие агенты для текстильных изделий, бумаги, и т.п. Описанные соединения имеют формулу: ![]() где Ra и Rb являются одинаковыми или различными, и каждый из них имеет формулу -NRcRd, где Rc представляет водород, C1-C6-алкил, который необязательно замещен, по крайней мере, одним из меркапто, С1-С6-тиоалкила, ОН, и SО3М’, где М’ представляет водород, бесцветный катион, или происходящий от амина катион; либо -Rе(СО2М’)х, где Re представляет алифатическую часть, имеющую 1-6 атомов углерода; причем, эти валентности, не связанные с группами СО2М’, связаны, по крайней мере, с одним из водорода, меркапто, C1-С6-тиоалкила, ОН, и SО3М’, где М’ имеет значения, указанные выше, а х равно целому числу от 1 до 4, при условии, что если Rc представляет С1-С6-алкил, который необязательно замещен, по крайней мере, одним из меркапто, C1-С6-тиоалкила, ОН, и SО3М’, то Rc замещен, по крайней мере, обоими ОН и SОзМ’; Rd представляет Rc, водород или С3-С6-алкил, при условии, что оба Rc и Rd не могут быть водородом, и если один из Rc и Rd представляют водород, то другой не может быть -(NHCH2CO2H); либо Rc и Rd, взятые вместе с атомом азота, образуют кольцо, имеющее только 5-6 членов, одно из которых является гетероциклическим; причем, указанное кольцо является единственно замещенным группой -СООМ’ или -SО3М’; и каждый Rf независимо представляет водород, метил, C1-С6-алкокси или галоген. В связи с настоящим изобретением был обнаружен новый класс соединений 4,4′-диаминостильбен-2,2′-дисульфоновой кислоты; причем большинство из этих соединений могут быть использованы в качестве флуоресцентных отбеливающих средств, и имеют значительно лучшие свойства по сравнению с соединениями, описанными в WO 96/00221, а другие из этих соединений могут быть использованы для ингибирования (гашения) действия анионогенных флуоресцентных отбеливающих средств на субстраты. В соответствии с этим, настоящее изобретение относится к новым соединениям, имеющим формулу: ![]() где Х представляет собой -NH; М представляет собой водород, атом щелочного металла, аммоний или катион, образованный из амина; каждый R1 независимо представляет неароматический аминокислотный остаток, из которого удален атом водорода на аминогруппе; n равно 1 или 2; каждый R2 независимо представляет собой водород; C1-С3алкил, галоген, циано, COOR, где R представляет собой водород или C1-С3алкил, CONH-R, где R имеет вышеуказанное значение, SO2NH-R, где R имеет вышеуказанное значение, NH-COR, где R имеет вышеуказанное значение, SО3М, где М имеет вышеуказанное значение, или, если n = 1, то R2 может быть также СО-R3, где R3 – C1-С3алкил или фенил; при условии, что исключены такие соединения, в которых: a) Х представляет NH; n = 1; а R2 представляет SО3М, где М имеет значение, указанное выше; или b) Х представляет NH; n = 2; и один из R2 представляет SО3М, где М имеет значение, указанное выше; а другой R2 представляет водород, метил или галоген; или c) Х представляет NH; n = 1; R1 представляет глицин; a R2 представляет Н или СО2Н; или d) Х представляет NH; n = 2; каждый из R2 представляет SО3М, где М имеет значение, указанное выше, а группы SО3М находятся в 2,5-положениях фенильного кольца; и R1 представляет D,L-аланин, L-валин, L-лейцин, L-изолейцин, L-треонин, L-аспарагиновую кислоту, L-глутаминовую кислоту, L-фенилаланин, L-пролин, D,L-метионин или глицин. Предпочтительно М представляет водород, Na, К, Са, Мg, аммоний, моно-, ди-, три- или тетра-С1-С4-алкиламмоний, моно-, ди- или три-С1-С4-гидроксиалкиламмоний, или аммоний, который является ди- или три-замещенным смесью С1-С4-алкильной и C1-С4-гидроксиалкильной групп. Предпочтительно каждый М представляет Na. Галогеновый заместитель R2 может быть фтором, бромом или иодом, а предпочтительно хлором. В соединениях формулы (1), n предпочтительно равно 1, а R2 предпочтительно представляет водород, метил, хлор, циано, СООН, СОО-метил, CONH2, CONH-метил, SO2NH2, SO2NН-метил или NH-CO-метил. Предпочтительно все аминокислотные остатки R1 являются одинаковыми. Примерами предпочтительных аминокислотных остатков R1 являются остатки, имеющие формулу -NH-CH-(CO2H)-R3, где R3 представляет водород или группу, имеющую формулу -CHR4R5, в которой R4 и R5 независимо представляют водород или С1-С4алкил, необязательно замещенный одним или двумя заместителями, выбранными из гидрокси, тио, метилтио, амино, карбокси, сульфо, фенила, 4-гидроксифенила, 3,5-дииод-4-гидроксифенила, -индолила, -имидазолила и NH= C(NH2)NH-.
Характерными примерами аминокислот, от которых происходят указанные предпочтительные аминокислотные остатки R1, являются глицин, аланин, саркозин, серин, цистеин, фенилаланин, тирозин (4-гидроксифенилаланин), дииодтирозин, триптофан ( -индолилаланин), гистидин ( -имидазолилаланин), -аминомасляная кислота, метионин, валин ( -аминоизовалериановая кислота), норвалин, лейцин ( -аминоизокапроновая кислота), изолейцин ( -амино- -метилвалериановая кислота), норлейцин ( -амино-н-капроновая кислота), аргинин, орнитин ( , -диаминовалериановая кислота), лизин ( , -диаминокапроновая кислота), аспарагиновая кислота (аминоянтарная кислота), глутаминовая кислота ( -аминоглутаровая кислота), треонин, гидроксиглутаминовая кислота, и таурин, а также их смеси и оптические изомеры. Из этих аминокислот, от которых происходят указанные предпочтительные аминокислотные остатки R1, особенно предпочтительными являются саркозин, таурин, глутаминовая кислота и аспарагиновая кислота.
Другим предпочтительным примером аминокислоты, от которой может происходить аминокислотный остаток R1, является иминодиуксусная кислота.
Другими, менее предпочтительными примерами аминокислот, от которых может происходить аминокислотный остаток R1, являются цистин, лантионин, пролин и гидроксипролин.
Помимо вышеупомянутых предпочтительных классических аминокислот, R1 может также представлять остаток ароматической аминокислоты, такой как, парааминобензойная кислота или ортоаминобензойная кислота.
Если в соединениях формулы (1), n = 1, а каждый R2 представляет СО-R3, где R3 представляет С1-С3алкил или фенил, а предпочтительно метил, то такие соединения не могут быть использованы в качестве флуоресцентных отбеливающих средств, а вместо этого, они могут быть использованы для ингибирования (гашения) действия анионогенных флуоресцентных отбеливающих средств на субстраты.
Соединения формулы (1) могут быть продуцированы в известных реакционных условиях посредством реакции хлорида циануровой кислоты, осуществляемой в любой нужной последовательности с каждым соединением 4,4′-диамино-2,2′-стильбендисульфоновой кислоты, аминосоединением, способным вводить группу: (R2)n, NH, где R2 и n имеют значения, указанные выше; и соединением, способным вводить группу R1, где R1 имеет значение, указанное выше.
Исходными соединениями являются известные соединения, которые являются легко доступными.
Большинство соединений формулы (1) являются превосходными флуоресцентными отбеливающими средствами для субстратов, таких как, текстильные ткани, а в частности, бумага.
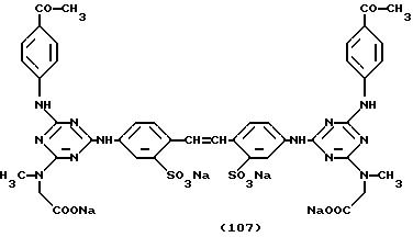
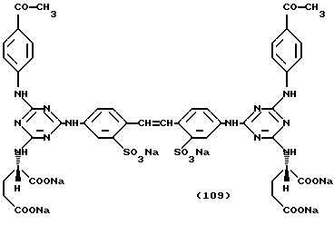
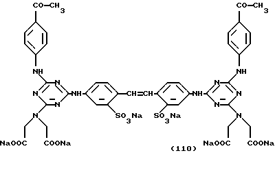
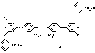
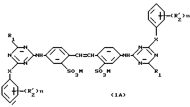
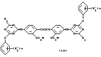
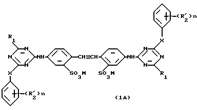
В соответствии с этим, настоящее изобретение относится к способу флуоресцентного отбеливания субстрата, предусматривающему контактирование этого субстрата с соединением формулы (1А):![]() где Х представляет О или NH; М представляет водород, атом щелочного металла, аммоний или катион, образованный из амина; каждый R1 независимо представляет аминокислотный остаток, из которого был удален атом водорода на аминогруппе; n = 1 или 2; а каждый R2‘ независимо представляет водород, C1-С3алкил, галоген, циано, COOR, где R представляет водород или 1-С2алкил, CONH-R, где R имеет значение, указанное выше, SO2NH-R, где R имеет значение, указанное выше, NH-COR, где R имеет значение, указанное выше, или SО3М, где М имеет значение, указанное выше; при условии, что из этих соединений исключены соединения, в которых Х представляет NH, n = 2, и один R2 представляет SО3М, где М имеет значение, указанное выше, а другой R2 представляет водород, метил или галоген. При использовании для флуоресцентного отбеливания бумаги, соединение формулы (1А) настоящего изобретения может быть нанесено на бумажный субстрат в виде композиции для покрытия бумаги, либо оно может быть введено непосредственно в клеильный пресс. В одном из своих предпочтительных аспектов, настоящее изобретение относится к способу флуоресцентного отбеливания поверхности бумаги, предусматривающему контактирование поверхности бумаги с композицией для покрытия, включающей белый пигмент; дисперсию связующего агента; необязательно, водорастворимое co-связующее; и достаточное количество флуоресцентного отбеливающего средства настоящего изобретения, имеющего формулу (1А), так, чтобы обработанная бумага содержала от 0,01 до 1 мас.% (из расчета массы белого пигмента) флуоресцентного отбеливающего средства, имеющего формулу (1А). В качестве компонента белого пигмента композиции для покрытия бумаги, используемой в способе настоящего изобретения, предпочтительными являются неорганические пигменты, например силикаты алюминия или магния, такие как, фарфоровая глина и каолин, и кроме того, сульфат бария, сатинит (белый пигмент), диоксид титана, карбонат кальция (мел), или тальк; а также белые органические пигменты. Композиции для покрытия бумаги, используемые в способе настоящего изобретения, могут содержать в качестве связующего, среди прочих, дисперсии пластиков на основе сополимеров бутадиена/стирола, акрилонитрила/бутадиена/стирола, сложных эфиров акриловой кислоты, сложных эфиров акриловой кислоты/стирола/акрилонитрила, этилена/винилхлорида и этилена/винилацетата; или гомополимеров, таких как, поливинилхлорид, поливинилиденхлорид, полиэтилен и поливинилацетат или полиуретаны. Предпочтительное связующее состоит из сополимеров стирола/бутилакрилата или стирола/бутадиена/акриловой кислоты, или стирол/бутадиеновых каучуков. Другие полимерные латексы описаны, например, в описаниях патентов США 3265654, 3657174, 3547899, и 3240740. Необязательным водорасторимым защитным коллоидом может быть, например, соевый белок, казеин, карбоксиметилцеллюлоза, природный или модифицированный крахмал, хитозан или его производное, или, в частности, поливиниловый спирт. Предпочтительный поливинилспиртовой защитный коллоидный компонент может иметь широкий ряд степеней омыления и молекулярных масс, например, степень омыления, составляющую от 40 до 100; и среднюю молекулярную массу, составляющую от 10000 до 100000. Составы композиций для нанесения на бумагу описаны, например, в J.P. Casey “Pulp and Paper”; Chemistry and Chemical Technology, 2-nd edition, Volume III, pages 1684-1649 и в “Pulp and Paper Manufacture”, 2-nd и 5-nd edition, Volume III, page 497 (McGraw-Hill). Композиции для покрытия бумаги, используемые в способе настоящего изобретения, предпочтительно содержат от 10 до 70 мас.% белого пигмента. Связующее предпочтительно используют в количестве, достаточном для того, чтобы содержание сухого полимерного соединения составляло вплоть до 1-30%, а предпочтительно 5-25 мас.% по массе белого пигмента. Количество флуоресцентного осветляющего препарата, используемого в настоящем изобретении, рассчитывают так, чтобы флуоресцентный осветляющий агент предпочтительно присутствовал в количествах от 0,01 до 1%, более предпочтительно от 0,05 до 1%, а особенно предпочтительно от 0,05 до 0,6 мас.%, исходя из массы белого пигмента. Композиция для покрытия бумаги, используемая в способе настоящего изобретения, может быть получена путем смешивания компонентов в любой нужной последовательности при температуре от 10 до 100oС, а предпочтительно от 20 до 80oС. Такими компонентами также являются стандартные вспомогательные агенты, которые могут быть добавлены в композиции для покрытий для регуляции их реологических свойств, таких как, вязкость или способность удерживать воду. Этими вспомогательными агентами являются, например, природные связующие вещества, такие как, крахмал, казеин, белок или желатин, простые эфиры целлюлозы, такие как, карбоксиалкилцеллюлоза или гидроксиалкилцеллюлоза, альгиновая кислота, альгинаты, полиэтиленоксид или алкиловые простые эфиры полиэтиленоксида, сополимеры этиленоксида и пропиленоксида, поливиниловый спирт водорастворимые продукты конденсации формальдегида с мочевиной или меламином, полифосфаты или соли полиакриловой кислоты. Композиции для нанесения покрытий, применяемые в способе настоящего изобретения, предпочтительно используют для получения типографской бумаги или писчей бумаги, или специальной бумаги, такой как, картон или фотографическая бумага. Композиция для нанесения покрытий, используемая в способе настоящего изобретения, может быть нанесена на субстрат любым стандартным способом, например, с помощью пневматического ножа, ножа для нанесения покрытий, роллера, ракельного ножа или палочки, либо при помощи клеильного пресса, после чего, эти покрытия сушат при температурах поверхности бумаги в пределах от 70 до 200oС, а предпочтительно от 90 до 130oС, до получения уровня остаточной влажности 3-8%, например, с использованием сушилки для сушки инфракрасным излучением и/или сушки горячим воздухом. В этом случае, сравнительно высокая степень отбеливания достигается даже при низких температурах сушки. В соответствии со способом настоящего изобретения, полученные покрытия различаются по оптимальному распределению дисперсионного флуоресцентного осветлителя по всей поверхности и по увеличению достигаемой таким образом степени отбеливания, а также по высокой устойчивости к свету и к повышенной температуре (например, стабильностью в течение 24 часов при 60-100oС), и превосходной водоустойчивостью. Во втором предпочтительном аспекте настоящее изобретение относится к способу флуоресцентного отбеливания поверхности бумаги, предусматривающему контактирование бумаги в клеильном прессе с водным раствором, содержащем клеящий агент, необязательно, неорганический или органический пигмент, и 0,1-20 г/л флуоресцентного отбеливающего средства, имеющего формулу (1А). Предпочтительно указанным клеящим агентом является крахмал, производное крахмала, или синтетический клеящий агент, особенно, водорастворимый сополимер. В своем третьем аспекте, настоящее изобретение относится к способу улучшения СЗС (солнцезащитных свойств) материала из текстильного волокна, предусматривающему обработку этого материала 0,05-3,0 мас.% (исходя из массы материала из текстильного волокна) одного или нескольких соединений формулы (1А), определенных выше. Текстильные волокна, обработанные в соответствии со способом настоящего изобретения, могут быть природными или синтетическими волокнами или их смесями. Примерами природных волокон являются растительные волокна, такие как, хлопок, вискоза, лен, искусственный шелк или льняное полотно, а предпочтительно хлопок и волокно животного происхождения, такое как шерсть, мохер, кашемир, ангора и шелк, а предпочтительно шерсть. Синтетическими волокнами являются волокна на основе сложного полиэфира, полиамида и полиакрилонитрила. Предпочтительными текстильными волокнами являются хлопок, полиамидное волокно и шерсть. Предпочтительно текстильные волокна, обработанные в соответствии со способом настоящего изобретения, имеют плотность менее, чем 200 г/м2, и не являются предварительно окрашенными в глубокие тона. Некоторые соединения формулы (1А), используемые в методе настоящего изобретения, могут быть лишь слабо растворимыми в воде, и должны быть нанесены в диспергированной форме. Для этой цели, они могут быть измельчены с соответствующим диспергирующим агентом, обычно с использованием кварцевых сфер и мешалки, с получением частиц размером 1-2 микрон. В качестве диспергирующих агентов для таких слабо растворимых соединений формулы (1А) могут служить: – кислые эфиры или их соли алкиленоксидных аддуктов, например, кислые эфиры или их соли полиаддукта 4-40 моль этиленоксида с 1 молем фенола, или сложные эфиры фосфорной кислоты и аддукта 6-30 моль этиленоксида с 1 молем 4-нонилфенола, 1 молем динонилфенола, или, в частности, с 1 молем соединений, которые были получены путем присоединения 1-3 молей стиролов к 1 молю фенола; – сульфонаты полистиролов; – тауриды жирных кислот; – алкилированные дифенилоксидмоно- или ди-сульфонаты; – сульфонаты сложных эфиров поликарбоновой кислоты; – продукты присоединения 1-60 предпочтительно 2-30 моль этиленоксида и/или пропиленоксида к жирным аминам, жирным амидам, жирным кислотам или жирным спиртам, каждый из которых имеет 8-22 атомов углерода, или к три-гекса-валентным С3-С6алканолам; продукты присоединения, превращенные в сложный эфир кислоты при помощи органической дикарбоновой кислоты или неорганической полиосновной кислоты; – сульфонаты лигнина; и, в частности; – продукты конденсации формальдегида, например, продукты конденсации сульфонатов лигнина и/или фенола и формальдегида; продукты конденсации формальдегида с ароматическими сульфоновыми кислотами, например, продукты конденсации дитолилэфирсульфонатов и формальдегида; продукты конденсации нафталинсульфоновой кислоты и/или нафтол- или нафтиламиносульфоновых кислот и формальдегида; продукты конденсации фенолсульфоновых кислот и/или сульфированного дигидроксидифенилсульфона и фенола или крезола с формальдегидом и/или мочевиной; или продукты конденсации производных дифенилоксида дисульфоновой кислоты с формальдегидом. В зависимости от типа используемого соединения формулы (1А), может оказаться предпочтительным проводить обработку в нейтральной, щелочной или кислотной бане. Этот способ обычно осуществляют в водной бане при температуре порядка от 20 до 140oС, например, при температуре кипения или близкой к температуре кипения, например, при около 90oС. В способе настоящего изобретения могут быть также использованы растворы соединения формулы (1А), или его эмульсии в органических растворителях. Так, например, могут быть использованы так называемые методы осушки растворителем (с применением термофиксирующего слоя) или методы истощающей осушки в сушильных агрегатах. Если способ настоящего изобретения объединяются со способом обработки ткани или способом отделки, то такая объединенная обработка может быть преимущественно осуществлена с использованием соответствующих стабильных препаратов, которые содержат соединение формулы (1А) в такой концентрации, чтобы достигалось желаемое улучшение СЗС. В некоторых случаях, полная эффективность соединения формулы (1А) достигается путем проведения последующей дополнительной обработки. Такая обработка может предусматривать химическую обработку, такую как, обработка кислотой, тепловая обработка или комплексная тепловая/химическая обработка. Часто бывает предпочтительней использовать соединение формулы (1А) в смеси со вспомогательным агентом или наполнителем, таким как, безводный сульфат натрия, декагидрат сульфата натрия, хлорид натрия, карбонат натрия, фосфат щелочного металла, такой как, ортофосфат натрия или калия, пирофосфат натрия или калия, или триполифосфат натрия или калия, или силикат щелочного металла, такой как, силикат натрия. Помимо соединений формулы (1А) в способе настоящего изобретения также могут быть использованы незначительные количества одного или нескольких адъювантов. Примерами адъювантов являются эмульгаторы, отдушки; красители; замутнители; другие флуоресцентные отбеливатели; бактерициды; неионогенные поверхностно-активные вещества; ингредиенты для ухода за тканями, а в частности, смягчители ткани, ингредиенты, удаляющие окраску или придающие невосприимчивость к окраске, или агенты, придающие водостойкость; агенты, препятствующие желатинизации, такие как, нитриты или нитраты щелочных металлов, особенно, нитрат натрия; и ингибиторы коррозии, такие как, силикат натрия. Количество каждого из этих необязательных адъювантов не должно превышать 1%, а предпочтительно должно составлять от 0,01 до 1% по массе обрабатываемой ткани. Помимо своего применения для защиты кожи, способ настоящего изобретения также может способствовать увеличению износоустойчивости текстильного изделия, обработанного этим способом. В частности, может быть улучшена прочность на разрыв и/или устойчивость к воздействию света обработанного текстильного материала. Настоящее изобретение также относится к текстильному материалу, полученному из ткани, обработанной способом настоящего изобретения, а также предметов одежды, изготовленных из указанной ткани. Такие текстильные волокна и предметы одежды, изготовленные из указанных тканей, обычно имеют СЗС в пределах 20 и выше, в то время как изделия из необработанного хлопка, например, обычно имеют СЗС в пределах от 2 до 4. Способ обработки настоящего изобретения может быть также проведен путем промывки тканевого материала из текстильного волокна моющим средством, содержащим, по крайней мере, одно соединение формулы (1А), что придает промытому таким образом волокнистому материалу превосходные солнцезащитные свойства. Обработку моющим средством, проводимую в соответствии с настоящим изобретением, предпочтительно осуществляют путем промывки текстильного материала, по крайней мере, один раз, композицией моющего средства, при температуре, составляющей от 10 до 100oС, а предпочтительно от 15 до 60oС. Используемая композиция моющего средства предпочтительно содержит: i) 5-90%, предпочтительно 5-70% анионогенного поверхностно-активного вещества и/или неионогенного поверхностно-активного вещества; ii) 5-70%, предпочтительно 5-40% структурообразующего агента; iii) 0-30%, предпочтительно 1-12% пероксида; iv) 0-10%, предпочтительно 1-6% пероксидного активатора, и/или 0-1%, предпочтительно 0,1-0,3% катализатора отбеливания; v) 0,005-2%, предпочтительно 0,01-1%, по крайней мере, одного из соединений формулы (1А); и vi) 0,005-10%, предпочтительно 0,1-5% одного или нескольких вспомогательных агентов, где количество каждого компонента взято исходя из общей массы моющего средства. Указанные композиции моющего средства являются также новыми и, как таковые, относятся к другому аспекту настоящего изобретения. Указанное моющее средство может быть изготовлено в виде твердого вещества, в виде водного раствора, содержащего 5-50%, предпочтительно 10-35%, воды, или в виде безводного жидкого моющего средства, содержащего не более чем 5, а предпочтительно, 0-1 мас.% воды, и изготовленного на основе суспензии агента для придания формы в неионогенном поверхностно-активном веществе, описанном, например, в GB-A-2158454. Анионогенным поверхностно-активным компонентом может быть, например, сульфатное, сульфонатное, или карбоксилатное поверхностно-активное вещество, или их смеси. Предпочтительными сульфатами являются алкилсульфаты, имеющие 12-22 атомов углерода в алкильном радикале, необязательно в комбинации с алкилэтоксисульфатами, имеющими 10-20 атомов углерода в алкильном радикале. Предпочтительными сульфонатами являются алкилбензолсульфонаты, имеющие 9-15 атомов углерода в алкильном радикале. В каждом случае, катионом предпочтительно является щелочной металл, а в частности, натрий. Предпочтительными карбоксилатами являются саркозинаты щелочных металлов формулы R-СO(R1)СН2СООМ1, где R представляет алкил или алкенил, имеющий 9-17 атомов углерода в алкильном или алкенильном радикале; R1 представляет С1-С4алкил, а М1 представляет щелочной металл. Неионогенным поверхностно-активным компонентом может быть, например, конденсат этиленоксида с первичным С9-С15спиртом, имеющим 3-8 моль этиленоксида на один моль спирта. Структурообразующим компонентом может быть, например, фосфат щелочного металла, а в частности, триполифосфат; карбонат или бикарбонат, а в частности, его натриевая соль; силикат или дисиликат; алюмосиликат; поликарбоксилат; поликарбоновая кислота; органический фосфонат; или аминоалкиленполи (алкиленфосфонат); или их смеси. Предпочтительными силикатами являются силикаты натрия, покрытые кристаллическим слоем, и имеющие формулу: NaHSimO2m+1 pH2O или Na2SimO2m+1 pH2O,где m составляет от 1,9 до 4, а р равно 0-20. Предпочтительными алюмосиликатами являются коммерчески доступные синтетические материалы, называемые Цеолитами А, В, Х и HS, или их смеси. Предпочтительным является Цеолит А. Предпочтительными поликарбоксилатами являются гидрополикарбоксилаты, в частности, цитраты, полиакрилаты и их сополимеры с малеиновым ангидридом. Предпочтительными поликарбоновыми кислотами являются нитрилтриуксусная кислота и этилендиаминотетрауксусная кислота. Предпочтительными органическими фосфонатами или аминоалкиленполи(алкиленфосфонат)’ами являются этан-1-гидроксидифосфонаты щелочного металла, нитрилтриметилфосфонаты щелочного металла, этилендиаминтетраметиленфосфонаты щелочного металла, и диэтилентриаминопентаметиленфосфонаты щелочного металла. Пероксидным компонентом может быть любое органическое или неорганическое пероксидное соединение, описанное в литературе или коммерчески доступное, которое отбеливает текстильные материалы при стандартных температурах промывки, например, при температурах в пределах от 5 до 90oС. В частности, органическими пероксидами являются, например, монопероксиды или полипероксиды, имеющие алкильные цепи, по крайней мере, с 3 атомами углерода, а предпочтительно 6-20 атомами углерода; а особый интерес представляют также дипероксидикарбоксилаты, имеющие 6-12 атомов углерода, такие как, дипероксиперазелаты, дипероксиперсебакаты, дипероксифталаты, и/или дипероксидодекандиоаты, особенно, их соответствующие свободные кислоты. Однако предпочтительно использовать наиболее активные неорганические пероксиды, такие как, персульфат, перборат и/или перкарбонат. Также можно использовать и смеси органических и/или неорганических пероксидов. Эти пероксиды, особенно неорганические пероксиды, предпочтительно активируют путем введения в них активатора, такого как, тетраацетилэтилендиамин или ноноилоксибензолсульфонат. Катализаторами отбеливания, которые могут быть добавлены, являются, например, ферментные пероксидные предшественники и/или металлокомплексы. Предпочтительными металлокомплексами являются комплексы марганца или железа, такие как, фталоцианины марганца или железа, или комплексы, описанные в ЕР-А-0509787. Указанные моющие средства обычно содержат один или несколько вспомогательных агентов, таких как, грязеулавливающие агенты, например, натрийсодержащая карбоксиметилцеллюлоза; соли для коррекции рН, например, силикаты щелочных или щелочноземельных металлов; агенты, регулирующие образование пены, например, мыло; соли для осушки распылением и для придания гранулирующих свойств, например, сульфат натрия; отдушки; а также, если это необходимо, антистатики и мягчители, такие как, смектитовые глины; ферменты, такие как, амилазы и протеазы; оптические отбеливающие агенты; пигменты; и/или оттеняющие агенты. Эти составляющие должны быть стабильными для любой используемой системы отбеливания. Кроме того, настоящее изобретение проиллюстрировано нижеследующими примерами. Части и проценты, представленные в этих примерах, даны по массе, если это не оговорено особо. Соединение примера 9 было описано в Chem. Abstr. 107:238581. Пример 1. ![]() 10 г соединения формулы: ![]() растворяли в смеси 70 мл метилцеллюлозы и 40 мл воды, нагревая при этом, в масляной бане при температуре бани 120oС. Затем добавляли 7,61 г D,L-глутаминовой кислоты, и смесь перемешивали при этой температуре в течение 8 часов, причем, в течение этого времени, значение рН смеси поддерживали при 8-9 путем добавления карбоната натрия. Реакция завершалась через 8 часов. Свободную кислоту осаждали путем обработки реакционной смеси 200 миллилитрами ацетона и 13 миллилитрами концентрированной HCl. Осадок отфильтровывали в вакууме и промывали ацетоном и водой. Промытый осадок на фильтре суспендировали в 200 мл воды, вводили в раствор путем добавления достаточного количества 30%-ного водного раствора гидроксида натрия при рН 8, а затем концентрировали путем выпаривания. После сушки оставалось 10,0 г (теоретически 64%) соединения формулы (101). Элементный анализ соединения, имеющего формулу (101) и эмпирическую формулу C42H34N12O14S2Na6 8Н2О 0,25 NaCl 0,7 Nа2СО3, показал:Вычислено (%): С 37,55, Н 3,69; N 12,31; S 4,69; Н2О 10,54; Сl– 0,65. Найдено (%): С 37,13; Н 3,55; N 12,57; S 4,34; Н2O 10,65; Сl– 0,66. Исходное соединение формулы (100) получали известным способом, сначала с помощью реакции хлорида циануровой кислоты с 4,4′-диамино-2,2′-стильбендисульфоновой кислотой, а затем, с помощью реакции полученного таким образом продукта реакции с 1 молем анилина. Пример 2. ![]() Способом, описанным в Примере 1, 10 г соединения формулы (100) перемешивали с 6,92 г D-аспарагиновой кислоты в течение 8 часов при температуре масляной бани 120oС. Через 8 часов, ВЭЖХ-анализ реакционной смеси подтвердил, что реакция была завершена. После обработки реакционной смеси способом, описанным в Примере 1, было получено 10,0 г (теоретически 71%) соединения формулы (102). Элементный анализ соединения, имеющего формулу (102) и эмпирическую формулу C40H30N12O14S2Na6 8Н2О 1,3 NaCl, показал:Вычислено (%): С 36,28; Н 3,50; N 12,69; S 4,84; Cl–3,48. Найдено (%): С 36,25; Н 3,59; N 12,54; S 4,76; Сl– 3,48. Пример 3. ![]() Способом, описанным в Примере 1, 10 г соединения формулы: ![]() подвергали реакции с 5,38 г D,L-аспарагиновой кислоты, и реакционный продукт обрабатывали аналогичным образом. После осушки получали 4 г (теоретически 36%) соединения формулы (104) в виде белого порошка. Элементный анализ соединения, имеющего формулу (104) и эмпирическую формулу C40H32N14Na6O18S4 12H2O, показал:Вычислено (%): С 32,48; Н 3,81; N 12,25; S 8,67. Найдено (%): С 32,30; Н 3,67; N 13,07; S 8,10. Исходное соединение формулы (103) получали известным способом, сначала с помощью реакции хлорида циануровой кислоты с 4,4′-диамино-2,2′-стильбендисульфоновой кислотой, а затем, с помощью реакции полученного таким образом реакционного продукта с 1 молем 4-аминосульфониланилина. Соединение формулы (104) давало превосходную белизну и значение СЗС для хлопка при применении к этому хлопку стандартного метода длительной обработки в бане при 100oС, или при плюсовке ткани при 70oС. Пример 4 ![]() А) 18,81 г хлорида циануровой кислоты (чистоты 98%) растворяли в 95 мл ацетона и выливали на 100 г смеси льда и воды. В течение 30 минут, раствор 18,5 г диаминостильбендисульфоновой кислоты (чистоты 100%) по каплям добавляли в 320 г смеси льда и воды при температуре в пределах от -5oС до 0oС. И наконец, в течение 15 минут, при этой же температуре, по каплям добавляли 50 мл 1 моль соды, и всю смесь перемешивали еще в течение 1 часа. Затем добавляли 13,5 г 4-аминоацетофенона, и смесь нагревали до 50oС в течение 90 минут. Во время этой процедуры, рН реакционной смеси поддерживали на уровне 7-8 путем добавления карбоната натрия. Для завершения реакции, ацетон отгоняли до тех пор, пока температура реакционной смеси не достигнет 66oС. Осажденный осадок фильтровали в вакууме при повышенной температуре, промывали разбавленным водным раствором хлорида натрия (2%), а затем 300 мл холодной воды. После сушки получали 44,8 г (теоретически 88%) соединения формулы: ![]() Элементный анализ соединения, имеющего формулу (105) и эмпирическую формулу C36H26N10O8Cl2S2Na2 6,0 Н2О, показал:Вычислено (%); С 42,57; Н 3,77; N 13,79. Найдено (%): С 42,59; Н 3,85; N 13,74. В) 5 г соединения формулы (105), полученного как описано в части (А), суспендировали в 100 мл воды. Затем добавляли 1,3 г таурина, и реакционную смесь нагревали до 90oС, при этом, рН поддерживали при 9-10 с использованием карбоната натрия. Затем эти реагенты подвергали дальнейшей реакции при этом значении рН и этой температуре в течение 15 часов. И наконец, реакционную смесь концентрировали, и соединение (113) осаждали ацетоном. После фильтрации в вакууме, промывки ацетоном, и сушки, получали 5,9 г (81% теоретически) соединения (113). Элементный анализ соединения, имеющего формулу (106) и эмпирическую формулу C40H36N12Na4O14S4 0,66NaCl 16,5H2O, показал:Вычислено (%): С 32,8; Н 4,74; N 11,47; S 8,75; Cl 1,60, Na 7,32. Найдено (%): С 32,7; Н 4,7; N 11,5; S 9,1; Cl 1,6; Na 7,4. Соединение, имеющее формулу (106), способствует значительному восстановлению белизны и флуоресценции предварительно осветленной бумаги, обработанной указанным соединением. Пример 5. ![]() Способом, описанным в Примере 4, получали соединение (107) с помощью реакции соединения (105) с 0,9 г сакрозина, использованного вместо таурина. Эту реакцию осуществляли за 6 часов, и теоретический выход соединения (107) составлял 93%. Элементный анализ соединения, имеющего формулу (107) и эмпирическую формулу C42H36N12Na4O12S2 15Н2O, показал:Вычислено (%): С 38,02; Н 5,01; N 12,66. Найдено (%): С 38,10; Н 4,87; N 12,65. Соединение, имеющее формулу (107), способствует значительному восстановлению белизны и флуоресценции предварительно осветленной бумаги, обработанной указанным соединением. Пример 6. ![]() Способом, описанным в Примере 4, получали соединение (108) с помощью реакции соединения (105) с N-метил-этаноламином вместо таурина. Эту реакцию осуществляли за 6,5 часов, и теоретический выход соединения (108) составлял 81%. Этот проанализированный материал частично присутствовал в виде N-метил-этаноламиновой соли. Элементный анализ соединения, имеющего формулу (108) и эмпирическую формулу C42H42N12Na2O10S2 0,6 N-метилэтаноламин 5Н2О, показал:Вычислено (%): С 47,0; Н 5,02; N 15,78; S 5,73. Найдено (%): С 46,75; Н 4,92; N 15,46; S 5,71. Соединение, имеющее формулу (108), способствует значительному восстановлению белизны и флуоресценции предварительно осветленной бумаги, обработанной указанным соединением. Пример 7. ![]() 10 г соединения формулы (105) подвергали реакции с 5,8 г L-глутаминовой кислоты в 6:9 смеси (по массе) воды и метилцеллозольва в масляной бане при 120oС, поддерживая рН при 8-9 путем добавления карбоната натрия. Через 6 часов, реакция завершалась. Реакционную смесь по каплям добавляли в ацетон, подкисленный HCl, после чего соединение формулы (109) осаждалось в виде свободной кислоты После фильтрации в вакууме и промывки смесью ацетона и воды, осадок на фильтре превращали в соответствующую гексанатриевую соль путем добавления вычисленного количества водного гидроксида натрия, и выпаривали досуха. Теоретический выход составлял 90%. Элементный анализ соединения, имеющего формулу (109) и эмпирическую формулу С46Н38N12Na6О10S2 0,3NaCl 17H2O, показал:Вычислено (%): С 35,9; Н 4,71; N 10,92; S 4,16. Найдено (%): С 36,0; Н 4,7; N 10,9; S 4,1. Соединение, имеющее формулу (109), способствует значительному восстановлению белизны и флуоресценции предварительно осветленной бумаги, обработанной указанным соединением. Пример 8. ![]() Соединение формулы (110) получали с теоретическим выходом 87% способом, описанным в Примере 16, за исключением того, что вместо L-глутаминовой кислоты использовали иминодиуксусную кислоту. Элементный анализ соединения, имеющего формулу (110) и эмпирическую формулу C44H34N12Na6O16S2 0,8NaCl 15H2O, показал:Вычислено (%): С 35,1; Н 4,28; N 11,16; S 4,26. Найдено (%): С 35,0; Н 4,3; N 11,2; S 4,4. Соединение, имеющее формулу (110), способствует значительному восстановлению белизны и флуоресценции предварительно осветленной бумаги, обработанной указанным соединением. Пример 9. ![]() 3,88 г хлорида циануровой кислоты растворяли в 50 мл ацетона, и раствор выливали на 20 г льда. Затем к этой смеси в течение 2 часов при 0oС добавляли раствор 5,32 г анилин-2,5-ди-сульфоновой кислоты, растворенной в 30 мл воды со льдом, при этом, рН поддерживали при 6 путем добавления карбоната натрия. К полученной таким образом реакционной смеси в течение 1 часа при 30oС по каплям добавляли 3,7 г динатриевой соли 4,4′-диаминостильбен-2,2′-дисульфоновой кислоты, растворенной в 50 мл воды, при этом, рН поддерживали при 6 путем добавления карбоната натрия. После добавления 5,29 г L-глутаминовой кислоты, рН доводили до 8,5, и ацетон отгоняли из реакционной смеси в течение 5 часов в бане при температуре 95oС. Свободную кислоту, соответствующую натриевой соли формулы (111), осаждали в ацетоне с использованием НСl, и полученную таким образом свободную кислоту фильтровали в вакууме. Затем остаток на фильтре растворяли в 100 мл воды, и раствор доводили до рН 8,5. После выпаривания и сушки, получали 17,5 г (теоретически 67%) соединения формулы (111). Элементный анализ соединения, имеющего формулу (111) и эмпирическую формулу С42Н30N12Na10O26S6 14,5NaCl 18Н2О, показал:Вычислено (%): С 18,6; Н 2,45; N 6,2; S 7,09; Cl 18,9; Н2О 11,9. Найдено (%): С 18,6; Н 2,50; N 6,2; S 7,0; Cl 19,0; H2O 11,6. Пример 10. ![]() Способом, аналогичным способу, описанному в Примере 9, за исключением того, что вместо L-глутаминовой кислоты использовали эквивалентное количество D,L-аспарагиновой кислоты, получали соединение формулы (112) с выходом 70%. Элементный анализ соединения, имеющего формулу (112) и эмпирическую формулу C40H26N12Na10O26S6 1,18NaCl 18Н2O, показал:Вычислено (%): С 25,2; Н 3,27; N 8,81; S 10,08. Найдено (%): С 25,2; Н 3,3; N 8,8; S 9,8. Пример 11. ![]() Способом, аналогичным способу, описанному в Примере 9, за исключением того, что вместо L-глутаминовой кислоты использовали эквивалентное количество иминодиуксусной кислоты, получали соединение формулы (113) с выходом 60%. Элементный анализ соединения, имеющего формулу (113) и эмпирическую формулу C40H26N12Na10O26S6 1,41NaCl 24Н2О, показал:Вычислено (%): С 23,7; Н 3,7; N 8,2; S 9,1. Найдено (%): С 23,70; Н 3,68; N 8,29; S 9,48. Примеры 12-16. Изготавливали композицию для покрытия, имеющую следующий состав: 40 частей фарфоровой глины, 60 частей карбоната кальция, 9 частей стирол/бутилкаучукового латекса, 0,2 части поливинилового спирта, и 0,25 части поли(акриловой кислоты), рН композиции для покрытия доводили до 9,5 путем добавления необходимого количества NaOH. К отдельным порциям композиции для покрытия добавляли 0,2% или 0,4% (по полной массе фарфоровой глины и карбоната кальция) тестируемого флуоресцентного отбеливающего средства (активного вещества). Содержание сухого вещества в композиции для покрытия доводили до 60 мас.%, и всю смесь перемешивали в течение 10 минут. Затем, на бумагу-основу, которая не содержала древесного основания и флуоресцентного отбеливающего агента, наносили композицию для покрытия при плотности покрытия 11 г/см2 с использованием лабораторного ножа для нанесения покрытий. После осушки ИК-излучением и горячим воздухом белизну (CIE-белизна, измеренная с помощью SCAN-P 66:93) и яркость (ISO-яркость, измеренная по стандарту ISO 2470) каждого покрытого образца бумаги определяли с использованием спектрофотометра. Флуоресценцию каждого покрытого образца бумаги определяли исходя из разницы между соответствующими величинами степени белизны и яркости, измеренными с использованием и без использования УФ-излучения в источнике света. Соединения испытуемого флуоресцентного отбеливающего средства имели формулу: ![]() Результаты теста, полученные с использованием соединений, имеющих различные заместители R, представлены в таблице 1. Соединение, использованное в Примере 13, представляет собой соединение Примера 2; соединение, использованное в Примере 14, представляет собой соединение Примера 3; соединение, использованное в Примере 15, представляет собой соединение Примера 10, а соединение, использованное в Примере 16, представляет собой соединение Примера 11. Результаты, представленные в таблице 1, показали, что образцы бумаги, покрытые в соответствии с настоящим изобретением, обладают хорошими показателями белизны и яркости, а также хорошими флуоресцентными свойствами. Пример 17. ![]() Способом, описанным в Примере 3, но с использованием 5 г исходного соединения формулы (103), которое подвергали реакции с 1,8 г 40%-ного раствора саркозина, получали 1,9 г соединения формулы (114). Элементный анализ соединения, имеющего формулу (114) и эмпирическую формулу С38Н34N14Nа4O14S4, показал: Вычислено (%): С 33,8; Н 4,18; N 14,52; S 9,49. Найдено (%): С 33,8; Н 4,13; N 14,33; S 9,1. Примеры 18 и 19. Стандартный стиральный порошок (ЕСЕ) изготавливали из следующих компонентов, взятых в указанных количествах (мас.%): 8,0% (С11,5)алкилбензолсульфонат натрия 2,9% Простой эфир спирта, полученного из животного жира, и тетрадекан-этиленгликоля (14 моль ЕО) 3,5% Натриевое мыло 43,8% Триполифосфат натрия 7,5% Силикат натрия 1,9% Силикат магния 1,2% Карбоксиметилцеллюлоза 0,2% EDTA 21,2% Сульфат натрия 0 или 0,2% Соединения (104) или(114), соответственно, и вода до 100%. Жидкость для промывки получали путем растворения 0,8 г вышеуказанного стирального порошка в 200 мл водопроводной воды. Затем в баню добавляли 5 г армированного хлопка и промывали в течение 15 минут при 40oС, а после этого прополаскивали, осушали центрифугированием, и гладили при 160oС. Эту процедуру промывки повторяли три раза или десять раз. После третьей и десятой промывок, степень белизны образцов измеряли с помощью спектрофотометра DCI/SF 500 по методу Ганца (Ganz). Метод Ганца подробно описан в обзоре Ciba-Geigy Review, 1973/1, а также в статье “Whiteness Measurement”, ISCC Conference on Flurescece and the Colorimetry of Fluorescent Materials, Williamsburg, February 1972, опубликованной в Journal of Color and Appearance, 1, N 5 (1972). Солнцезащитные свойства (СЗС) определяли путем измерения УФ-излучения, пропущенного через образец, с использованием спектрофотометра с двойной дифракционной решеткой, снабженной сосудом Ульбрихта. Вычисление СЗС проводили как описано B.L. Diffey и J. Robson в J.Soc.Cosm Chem. 40 (1989), рр 130-131. Полученные результаты представлены в таб. 2. Формула изобретения
![]() где X – NH; М – водород, атом щелочного металла, аммоний или катион, образованный из амина; R1 каждый независимо – неароматический аминокислотный остаток, из которого удален атом водорода на аминогруппе; n=1 или 2; R2 каждый независимо – водород, C1-С3алкил, галоген, циано, COOR, где R – водород или C1-С3алкил, CONH-R, где R имеет вышеуказанное значение, NH-COR, где R имеет вышеуказанное значение, SO2NH-R, где R имеет вышеуказанное значение, NH-COR, где R имеет вышеуказанное значение, SO3М, где М имеет вышеуказанное значение, или, если n=1, R2 может быть также СО-R3, где R3 – C1-С3алкил или фенил; при условии, что исключены такие соединения, в которых a) Х – NH, n=1, a R2 – SO3М, где М имеет вышеуказанное значение; или b) Х – NH, n=2, и один из R2 – SO3М, где М имеет вышеуказанное значение, а другой R2 – водород, метил или галоген; или c) Х – NH, n=1, R1 – глицин, a R2 – Н или СО2Н; или d) Х – NH, n= 2, каждый из R2 – SO3М, где М имеет вышеуказанное значение, а группы SO3М находятся в 2-5-м положениях фенильного кольца и R1 – D,L-аланин, L-валин, L-лейцин, L-изолейцин, L-треонин, L-аспарагиновую кислоту, L-глутаминовую кислоту, L-фенилаланин, L-пролин, D,L-метионин или глицин. 2. Соединение по п.1, в котором все аминокислотные остатки 1 являются одинаковыми и каждый из них имеет формулу -NН-СН(СO2Н)-R3, где R3 – водород или группа формулы -CHR4R5, в которой R4 и R5 независимо – водород или С1-С4алкил, необязательно замещенный одним или двумя заместителями, выбранными из гидрокси, тио, метилтио, амино, карбокси, сульфо, фенила, 4-гидроксифенила, 3,5-дииод-4-гидроксифенила, -индолила, -имидазолила и NH= C(NH2)NH-.
3. Способ флуоресцентного отбеливания субстрата, заключающийся в контактировании субстрата с соединением формулы (1А)![]() где Х – NH; M – водород, атом щелочного металла, аммоний или катион, образованный из амина; R1 каждый независимо – неароматический аминокислотный остаток, из которого удален атом водорода на аминогруппе; n=1 или 2; R’2 каждый независимо – водород, C1-С3алкил, галоген, циано, COOR, где R – водород или C1-С3алкил, CONH-R, где R имеет вышеуказанное значение, NH-COR, где R имеет вышеуказанное значение, SO2NH-R, где R имеет вышеуказанное значение, NH-COR, где R имеет вышеуказанное значение, или SO3М, где М имеет вышеуказанное значение, при условии, что исключены такие соединения, в которых Х – NH, n=2 и один из R2 – SO3М, где М имеет вышеуказанное значение, а другой R2 – водород, метил или галоген. 4. Способ по п.3, в котором осуществляют контактирование поверхности бумаги с композицией для покрытия, включающей белый пигмент, дисперсию связующего агента, необязательно водорастворимое со-связующее и достаточное количество флуоресцентного отбеливающего средства формулы (1А), так, чтобы обработанная бумага содержала 0,01-1,0 мас.% флуоресцентного отбеливающего средства формулы (1А) исходя из массы белого пигмента. 5. Способ по п.3, в котором осуществляют контактирование бумаги в клеильном прессе с водным раствором, содержащим клеящий агент, необязательно неорганический или органический пигмент и 0,1-20,0 г/л флуоресцентного отбеливающего агента формулы (1А). 6. Способ по п.3, в котором флуоресцентный отбеливающий агент формулы (1А) добавляют к водной бумажной массе во влажном состоянии. 7. Способ повышения величины солнцезащитных свойств материала из текстильного волокна, предусматривающий обработку материала из текстильного волокна 0,05-3,0%, в расчете на массу материала из текстильного волокна одного или нескольких соединений формулы (1А) ![]() где X, M, R, R1, R’2, n имеют указанные выше значения. 8. Способ по п.7, в котором может быть также использовано незначительное количество одного или нескольких адъювантов. 9. Способ по п.8, в котором указанными адъювантами являются эмульгаторы, отдушки, отбеливающие средства, ферменты, красители, замутнители, оптические отбеливающие средства, бактерициды, неионо-генные поверхностно-активные вещества, ингредиенты для ухода за тканями, агенты, препятствующие желатинизации, или ингибиторы коррозии. 10. Способ по п.7, в котором осуществляют промывку материала из текстильного волокна моющим средством, содержащим по крайней мере одно соединение формулы (1А), для придания промытому таким образом текстильному материалу превосходных солнцезащитных свойств. 11. Способ по п.10, в котором используют композицию моющего средства, содержащую i) 5-90% анионогенного поверхностно-активного вещества и/или неионогенного поверхностно-активного вещества; ii) 5-70% структурообразующего агента; iii) 0-30% пероксида; iv) 0-10% пероксидного активатора и/или 0-1% катализатора отбеливания; v) 0,005-2% по крайней мере одного из соединений формулы (1А) и vi) 0,005-10% одного или нескольких вспомогательных агентов, причем количество каждого компонента указано в расчете на общую массу моющего средства. 12. Текстильный материал, изготовленный из волокна, обработанного способом по любому из пп.7-11. 13. Композиция моющего средства для флуоресцентного отбеливания тканей, содержащая i) 5-90% анионогенного поверхностно-активного вещества и/или неионогенного поверхностно-активного вещества; ii) 5-70% структурообразующего агента; iii) 0-30% пероксида; iv) 0-10% пероксидного активатора и/или 0-1% катализатора отбеливания; v) 0,005-2% по крайней мере одного из соединений формулы (1А) ![]() где X, M, R, R1, R’2, n имеют указанные выше значения, и vi) 0,005-10% одного или нескольких вспомогательных агентов, причем количество каждого компонента указано в расчете на общую массу моющего средства. 14. Способ флуоресцентного отбеливания текстильных материалов или бумаги, предусматривающий контактирование этих текстильных материалов или бумаги по крайней мере с одним соединением формулы (1А) ![]() где X, М, R, R1, R’2, n имеют указанные выше значения. 15. Моющее средство для сохранения окраски тканей, включающее нефлуоресцентное соединение формулы (1A) ![]() где X, М, R, R1, R’2, n имеют указанные выше значения. Приоритет по пунктам: 25.03.1997 по пп.1-5; 17.05.1997 по п.6; 14.03.1998 по пп.7-15 РИСУНКИ
|
||||||||||||||||||||||||||



-индолила,
-аминомасляная кислота, метионин, валин (
-диаминовалериановая кислота), лизин (
-диаминокапроновая кислота), аспарагиновая кислота (аминоянтарная кислота), глутаминовая кислота (
pH2O или Na2SimO2m+1




















