Патент на изобретение №2197966
|
||||||||||||||||||||||||||
(54) ПРИМЕНЕНИЕ ИНГИБИТОРА Н+, К+-АТФАЗЫ ДЛЯ ЛЕЧЕНИЯ НОСОВЫХ ПОЛИПОВ
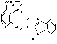
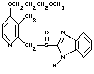
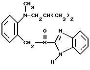
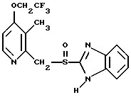
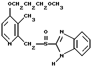
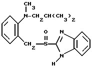
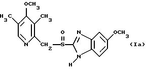
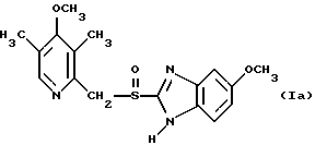
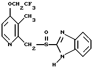
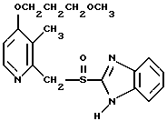
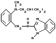
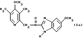
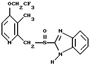
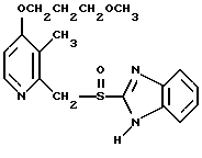
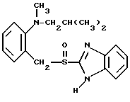
(57) Реферат: Изобретение относится к медицине. Предложен способ лечения полипоза, при котором страдающего полипозом субъекта лечат ингибитором Н+, К+-АТФазы и, возможно, глюкокортикоидом. Данное изобретение также относится к фармацевтическому препарату для одновременного, раздельного или последовательного введения при лечении синдрома Видаля, а также при лечении астмы. Изобретение обеспечивает новый способ лечения носовых полипов, особенно в тех случаях, когда другие известные способы лечения безуспешны. 8 с. и 6 з.п. ф-лы, 1 табл. В данном изобретении предложен новый способ лечения полипоза с помощью ингибиторов протонного насоса (PPIs), то есть ингибиторов H+, K+-АТФазы. Предпосылки изобретения Полипоз, как правило, возникает в носу и в желудочно-кишечном тракте. В носу полипы представляют собой бледного цвета мешки ткани, исходящие из полости носа. Их бледное окрашивание, как правило, является следствием плохого кровоснабжения. Причины формирования полипов неизвестны, однако их наличие часто ассоциировано с некоторыми медицинскими состояниями, например астмой и непереносимостью аспирина. Встречаемость носовых полипов в общей популяции невелика и составляет всего лишь около 1%, однако 13% больных астмой и 36% астматиков, не переносящих аспирин, также страдают носовым полипозом. Тройственное состояние носового полипоза, непереносимости аспирина и астмы известно под названием синдрома Видаля (Widal’s Syndrome). Как правило, лечение носового полипоза протекает в две стадии. В начале добиваются уменьшения размера полипов либо хирургическим путем, либо путем нанесения местного внутриносового стероидного препарата, например бетаметазона натрия фосфата. После достижения уменьшения размеров полипов необходимо длительное поддержание этого уменьшения посредством регулярного применения внутриносового аэрозоля со стероидами, такими как беклометазона дипропионат, будесонид или флутиказона пропионат. При необходимости быстрого уменьшения полипов применяют пероральные стероиды, такие как преднизолон или дексаметазон, или синтетические адренокортикотропные гормоны (V.J. Lund Diagnosis and treatment of nasal polyps, Brit. Med. J., 1995, 311, 1411-1414). Для лечения носового полипоза предложено также использовать нестероидное противовоспалительное лекарство (WO 9703659-A). Подробное описание изобретения В соответствии с данным изобретением предложен способ лечения носовых полипов, при котором страдающего от указанного состояния субъекта лечат ингибитором H+, K+-АТФазы. В данном изобретении также предложено применение ингибитора H+, K+-АТФазы для изготовления лекарства для лечения носовых полипов. Ингибиторы H+, K+-АТФазы представляют собой известный класс фармацевтических агентов, как правило, применяемых для лечения заболеваний, связанных с желудочной кислотностью. Примерами ингибиторов +, K+-АТФазы являются, например, соединения, известные под непатентованными международными наименованиями омепразол, лансопразол, пантопразол, рабепразол и леминопразол. Некоторые из этих соединений описаны, например, в (ЕР-А1-0005129, ЕР-А1-174726, ЕР-А1-166287 и GB 2163747). В целом известно, что эти фармацевтические вещества полезны для ингибирования кислой желудочной секреции у млекопитающих и человека посредством контроля кислой желудочной секреции на последнем этапе кислого секреторного процесса. Таким образом, в более широком смысле они могут применяться для профилактики и лечения связанных с желудочной кислотностью заболеваний млекопитающих и человека, включая, например, рефлюкс-эзофагит, гастрит, дуоденит, язвы желудка и двенадцатиперстной кишки. В настоящее время было неожиданно обнаружено, что ингибиторы H+, K+-АТФазы полезны для лечения носовых полипов, особенно в случаях, когда другие известные способы лечения были безуспешны. Ингибиторы H+, K+-АТФазы, предпочтительно применяемые в данном изобретении, представляют собой соединения общей формулы ![]() где Het1 представляет собой ![]() Het2 представляет собой ![]() а Х представляет собой ![]() где N в бензимидазольной группировке Het2 означает, что один из кольцевых углеродных атомов, замещенных R6-R9, возможно может быть заменен на атом азота без каких-либо заместителей; R1 и R3 каждый независимо друг от друга представляет собой водород, алкил или алкокси при условии, что R1 и R3 не представляют собой алкокси одновременно; a R2 представляет собой алкил, алкокси, возможно замещенный фтором, алкилтио или алкоксиалкокси; или один из R1 и R3 является галогеном, а другой – водородом, a R2 является 1-морфолино, 1-пиперидино или диалкиламино; R4 и R5 являются одинаковыми или разными и выбраны из водорода и алкила; R6-R9 являются одинаковыми или разными и выбраны из водорода, галогена, алкила, алкокси, галогеноалкокси, алкилкарбонила и алкоксикарбонила; R10 является водородом, или R10 и R3 вместе завершают кольцо, содержащее от 6 до 8 атомов углерода; и R11 представляет собой водород, галоген или алкил; где соединение формулы (I) возможно находится в форме фармацевтически приемлемой щелочной соли или в ее нейтральной форме, или представляет собой отдельный энантиомер или его рацемическую смесь; где каждая алкильная или алкиленильная группировка имеет разветвленную или прямую цепь и содержит от 1 до 6, а предпочтительно от 1 до 4 атомов углерода; где атом галогена предпочтительно представляет собой атом фтора, хлора или брома, а наиболее предпочтительно атом фтора или хлора. Примерами особенно предпочтительных для применения по данному изобретению соединений, соответствующих формуле (I) являются: ![]() ![]() ![]() ![]() ![]() ![]() ![]() ![]() ![]() ![]() Ингибитор Н+, К+ -АТФазы, используемый в данном изобретении, предпочтительно имеет формулу (1а), другими словами, он предпочтительно представляет собой омепразол или щелочную соль омепразола, (-)-энантиомер омепразола или его щелочную соль. Соединение формулы (I), когда оно возможно находится в форме фармацевтически приемлемой соли, предпочтительно представляет собой Мg+, Са+, Na+ или К+ соль, более предпочтительно Мg+ соль. Ингибитор Н+, К+-АТФазы, используемый в данном изобретении, может быть введен перорально, ректально или парентерально. Хотя действие ингибиторов на носовые полипы было установлено у пациентов, принимавших омепразол перорально, авторы полагают, что это действие ингибитора на полипы представляет собой системный эффект, который не зависит от того, какой способ введения используют. Соответственно, уменьшение размера полипов должно быть достижимо и с помощью других способов введения. Коммерчески доступные фармацевтические препараты ингибиторов Н+, К+ -АТФазы удобным образом применимы в данном изобретении. Примеры таких препаратов для омепразола включают в себя гранулы омепразола с энтеросолюбильным покрытием, заключенные в капсулы или представленные в виде многодозовой таблетированной стандартной лекарственной формы; таблетки омепразола или его щелочной соли с энтеросолюбильным покрытием; а также растворы для парентерального введения, содержащие щелочную соль омепразола. Доза подлежащего введению ингибитора Н+, К+-АТФазы будет варьировать в зависимости от типа подлежащих лечению носовых полипов и состояния пациента. Тем не менее дозировки для перорального, ректального или внутривенного введения лежат, как правило, в диапазоне от 1 до 100 мг ингибитора Н+, К+-АТФазы в день. Обычно для перорального введения используют количество от 10 до 40 мг в день. Данное изобретение может применяться в сочетании с другими способами лечения, которые, как известно, уменьшают интенсивность других симптомов, обычно ассоциированные с носовыми полипами, например астмы. Другими словами, данное изобретение может применяться для лечения синдрома Видаля, включающего в себя такие состояния, как носовые полипы, астма и непереносимость аспирина. Данное изобретение может также применяться в лечении других воспалительных заболеваний верхних дыхательных путей, таких как острый и хронический риносинусит, аллергический и неаллергический ринит, а также нижних дыхательных путей, например астмы. Таким образом, в соответствии с данным изобретением также дополнительно предложен способ лечения синдрома Видаля и других воспалительных заболеваний дыхательных путей, при котором страдающему данными синдромом или заболеваниями субъекту одновременно, раздельно или последовательно вводят фармацевтический препарат, содержащий ингибитор Н+, К+-АТФазы и глюкокортикоид. В соответствии с данным изобретением также предложен фармацевтический препарат для одновременного, раздельного или последовательного введения для применения в лечении синдрома Видаля или в лечении астмы, причем этот препарат содержит ингибитор Н+, К+-АТФазы и глюкокортикоид. В изобретении дополнительно предложено применение ингибитора Н+, К+-АТФазы и глюкокортикоида в изготовлении такого фармацевтического препарата. Предпочтительные глюкокортикоиды представляют собой противовоспалительные стероиды, обладающие местной активностью. Примеры приемлемых стероидов включают в себя будесонид; рофлепонид; рофлепонида пальмитат; циклесонид; мометазона фуроат; флутиказона пропионат; 16 , 17 -бутилидендиокси-6 , 9 -дифтор-11 , 21 -дигидроксипрегна-1,4-диен-3,20-дион; 6 ,9 -дифтор-11 -гидрокси-16 , 17 -дибутилидендиокси-17 -метилтио-андроста-4-ен-3-он; S-метил-16 , 17 -бутилидендиокси-6 ,9 -дифтор-11 -гидрокси-3-оксо-андроста-1,4-диен-17 -карботиоат; метиловый эфир 9 -хлор-6 -фтор-11 -гидрокси-16 -метил-3-оксо-17 -пропионилокси-андроста-1,4-диен-17 -карбоновой кислоты; S-(2-оксо-тетрагидрофуран-3S-ил)овыйэфир6 ,9 -дифтор-11 -гидрокси-16 -метил-3-оксо-17 -пропионилокси-андроста-1,4-диен-17 -карботионовой кислоты; типредан; фторцинолона ацетонид; флунизолид; флуметазон; дексаметазон; бетаметазон; беклометазона дипропионат; дефлазакорт; кортивазол или кортизол и/или гидрокортизол, возможно в чистых изомерных формах (в случаях, когда такие формы существуют) или в формах их фармацевтически приемлемых солей.
Стероиды для использования в данном изобретении могут применяться в обычных дозировках, например от 40 до 3000 мкг в день. Введение может осуществляться посредством ингаляции через рот или через нос. Стероиды возможно могут быть адаптированы для введения из ингалятора сухого порошка, ингалятора с отмеренной дозой, находящегося под повышенным давлением, или распылителя.
Когда стероиды вводят из ингалятора, находящегося под повышенным давлением, они предпочтительно находятся в микронизированной форме. Они суспендированы или растворены в жидкой пропеллантной смеси. Пропелланты, которые могут быть использованы, включают в себя хлорфторуглероды, углеводороды или гидрофторалканы. Особенно предпочтительными пропеллантами являются Р134а (тетрафторэтан) и Р227 (гептафторпропан), каждый из которых может быть использован сам по себе или в комбинации. Их возможно используют в комбинации с другими пропеллантами и/или поверхностно-активными веществами, и/или другими эксципиентами, например этанолом, поверхностно-активными веществами, смазывающими веществами, антиоксидантами и стабилизирующими агентами.
Когда стероиды вводят с помощью распылителя, они могут быть в форме распыляемой водной суспензии или раствора, с корректировкой приемлемого рН или тоничности или без нее либо в виде стандартной дозы или многодозового устройства.
Данное изобретение более подробно описано со ссылкой на нижеследующие примеры.
Пример 1Пожилая женщина в возрасте 53-х лет, страдающая синдромом Видаля в течение нескольких лет, но отказывавшаяся от хирургического лечения полипов, страдала от умеренной боли в верхних отделах живота и отсутствия улучшения в отношении полипов после местного и системного лечения кортикостероидами. Однако в течение двух недель после назначения 20 мг омепразола в день в добавление к 100 мкг будесонида (водный препарат) в каждую ноздрю дважды в сутки и 6 мг дефлазакорта в день она отметила прогрессивное уменьшение носовых респираторных проблем. В дальнейшем она полностью излечилась от полипов. Примеры 2-10 Девять пациентов, страдающих состояниями, указанными в таблице 1, подвергли лечению в течение двух недель. Лечение состояло из 20 мг омепразола, 100 мкг будесонида через нос и от 3 до 15 мг дефлазакорта перорально (дефлазакорт использовали в таком маленьком количестве, чтобы быть уверенными в выполнении пациентами назначений). Результаты также приведены в таблице 1. В случаях, когда указан положительный эффект, это означает, что пациент отметил уменьшение ринореи, выраженное улучшение носового дыхания и уменьшение размера полипов. Пациент, испытавший временное улучшение после лечения, перенес рецидив полипоза после отмены омепразола и дефлазакорта (местные противовоспалительные стероиды, то есть будесонид, применяли как требовалось). Однако после возобновления лечения по прежней схеме было достигнуто выраженное уменьшение размера полипов. Пациент примера 5, испытавший долгосрочное улучшение, в начале не отметил улучшения по окончании начального двухнедельного периода лечения, но продолжал принимать омепразол и добился положительного эффекта через 2 месяца. Формула изобретения
![]() ![]() ![]() ![]() ![]() ![]() ![]() ![]() ![]() или ![]() возможно в форме фармацевтически приемлемой щелочной соли или в его нейтральной форме, или представляет собой отдельный энантиомер или их рацемическую смесь. 2. Применение ингибитора H+, K+-АТФазы в изготовлении лекарства для лечения синдрома Видаля, где ингибитор H+, K+-АТФазы представляет собой соединение, определенное в п.1. 3. Применение по п.1 или 2, где соединение формулы (1) представляет собой омепразол, имеющий формулу (Ia) ![]() или его щелочную соль, либо (-)-энантиомер или щелочную соль (-)-энантиомера. 4. Способ лечения носовых полипов, при котором страдающего от указанного состояния субъекта лечат фармацевтическим препаратом, содержащим ингибитор H+, K+-АТФазы, где ингибитор H+, K+-АТФазы представляет собой ![]() ![]() ![]() ![]() ![]() ![]() ![]() ![]() ![]() или ![]() возможно в форме фармацевтически приемлемой щелочной соли или в его нейтральной форме, или представляет собой отдельный энантиомер или их рацемическую смесь. 5. Способ лечения синдрома Видаля, при котором страдающего от этого синдрома субъекта лечат фармацевтическим препаратом, содержащим ингибитор H+, K+-АТФазы, где ингибитор H+, K+-АТФазы представляет собой соединение, определенное в п.4. 6. Способ лечения синдрома Видаля, при котором страдающему от данного синдрома субъекту одновременно, раздельно или последовательно вводят фармацевтический препарат, содержащий ингибитор H+, K+-АТФазы, который представляет собой соединение, определенное в п.4. и глюкокортикоид. 7. Способ лечения астмы, при котором страдающему от данного синдрома субъекту одновременно, раздельно или последовательно вводят фармацевтический препарат, содержащий ингибитор H+, K+-АТФазы, который представляет собой соединение, определенное в п.4, и глюкокортикоид. 8. Способ по пп.4-7, где глюкокортикоид представляет собой противовоспалительный стероид с местной активностью. 9. Способ по п.8, где глюкокортикоид представляет собой будесонид, беклометазона дипропионат или флутиказона пропионат. 10. Способ по любому из пп.4-9, где ингибитор H+, K+-АТФазы представляет собой соединение формулы, определенной в п.3. 11. Фармацевтический препарат для применения в лечении синдрома Видаля, содержащий ингибитор H+, K+-АТФазы и глюкокортикоид, где ингибитор H+, K+-АТФазы представляет собой ![]() ![]() ![]() ![]() ![]() ![]() ![]() ![]() ![]() или ![]() возможно в форме фармацевтически приемлемой щелочной соли или в нейтральной форме, или представляет собой отдельный энантиомер или их рацемическую смесь. 12. Фармацевтический препарат для введения при лечении астмы, содержащий ингибитор H+, K+-АТФазы, как он определен в п.11, и глюкокортикоид. 13. Фармацевтический препарат по п.11 или 12, где глюкокортикоид представляет собой глюкокортикоид, определенный в п.8 или 9. 14. Фармацевтический препарат по любому из пп.11-13, где ингибитор H+, K+-АТФазы представляет собой соединение формулы, определенной в п.3. РИСУНКИ
MM4A – Досрочное прекращение действия патента СССР или патента Российской Федерации на изобретение из-за неуплаты в установленный срок пошлины за поддержание патента в силе
Дата прекращения действия патента: 02.10.2008
Извещение опубликовано: 20.07.2010 БИ: 20/2010
|
||||||||||||||||||||||||||















, 17
, 21 -дигидроксипрегна-1,4-диен-3,20-дион; 6





























