Патент на изобретение №2197964
|
||||||||||||||||||||||||||
(54) ФАРМАЦЕВТИЧЕСКАЯ КОМПОЗИЦИЯ, КОМПОЗИЦИЯ СТАНДАРТНОЙ ЛЕКАРСТВЕННОЙ ФОРМЫ И СПОСОБ ЛЕЧЕНИЯ ЗЛОКАЧЕСТВЕННЫХ НОВООБРАЗОВАНИЙ, ОПУХОЛЕЙ И ВИРУСНЫХ ИНФЕКЦИЙ
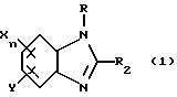
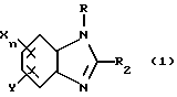
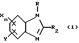
(57) Реферат: Изобретение относится к фармакологии и касается фармацевтической композиции, содержащей производное бензимидазола формулы I, где R, R2 X, Y и n имеют значения, указанные в формуле изобретения, которая ингибирует рост опухолей и злокачественных новообразований у млекопитающих. Композиция используется вместе с химиотерапевтическим средством, а также могут быть включены потенцирующие средства. Изобретение относится также к композиции стандартной лекарственной формы и к способу лечения злокачественных новообразований, опухолей и вирусных инфекций. Композиция эффективна в лечении лейкоза без воздействия или с мягким воздействием на нормальные клетки крови. 6 с. и 12 з.п. ф-лы, 3 табл.
Это изобретение представляет собой фармацевтическую композицию, которая ингибирует рост злокачественных новообразований и опухолей, включая лейкоз, у млекопитающих, в частности у людей и теплокровных животных. Она также эффективна против вирусов и может быть использована для лечения вирусных инфекций. Композиция содержит производное бензимидазола. Предпосылки к созданию изобретения Злокачественные новообразования являются одной из главных причин смерти животных и людей. Точная причина рака не известна, но связь некоторых видов деятельности, таких как курение или подверженность воздействию канцерогенов, с возникновением некоторых типов злокачественных новообразований и опухолей была показана многими исследователями. Многие типы химиотерапевтических средств зарекомендовали себя как эффективные против злокачественных новообразований и опухолевых клеток, но не все типы этих новообразований и опухолей реагируют на эти средства. К сожалению, многие из этих средств разрушают также и нормальные клетки. Точный механизм действия этих химиотерапевтических средств не всегда известен. Несмотря на успехи в области лечения рака, главными лечебными мероприятиями в настоящее время являются хирургия, облучение, химиотерапия и трансплантаты костного мозга. Химиотерапевтические подходы показаны для борьбы со злокачественными новообразованиями, которые образуют метастазы, или с такими, которые являются особенно агрессивными. Такие цитоцидные или цитостатические средства прекрасно воздействуют на злокачественные опухоли с большими ростовыми факторами, т.е. на такие, клетки которых быстро делятся. К настоящему времени гормоны, в частности эстроген, прогестерон и тестостерон, и некоторые антибиотики, продуцируемые различными микробами, алкилирующие агенты и антиметаболиты образуют массу терапевтических средств, доступных для онкологов. Чрезвычайно желательными были бы идеально цитотоксичные средства, которые имели бы специфичность к раковым и опухолевым клеткам, и в то же время не поражали нормальные клетки. К сожалению, такие не были найдены, и вместо этого применяют средства, которые нацелены на особенно быстро делящиеся клетки (как опухолевые, так и нормальные). Очевидно, что прорывом в этой области была бы разработка материалов, которые могли бы находить опухолевые клетки благодаря некоторой уникальной специфичности к ним. Альтернативно желательными были бы материалы, которые были бы цитотоксичными по отношению к опухолевым клеткам и в то же время оказывали мягкое воздействие на нормальные клетки. Поэтому целью этого изобретения является обеспечение фармацевтической композиции, которая является эффективной для ингибирования роста опухолей и злокачественных новообразований у млекопитающих без воздействия или с мягким воздействием на нормальные клетки. Более конкретно целью этого изобретения является обеспечение противораковой композиции, содержащей фармацевтический носитель и производное бензимидазола, как определено здесь, наряду со способом лечения таких злокачественных новообразований. Прорывом в этой области была бы разработка материалов, которые могли бы находить клетки лейкоза благодаря некоторой уникальной специфичности к ним. Альтернативно желательными были бы материалы, которые были бы цитотоксичными по отношению к клеткам лейкоза и в то же время оказывали мягкие воздействия на нормальные клетки. Поэтому целью данного изобретения является обеспечение фармацевтической композиции, эффективной в лечении лейкоза без воздействия или с мягким воздействием на нормальные клетки крови. Более конкретно целью этого изобретения является обеспечение композиции, содержащей фармацевтический носитель и производное бензимидазола, как определено здесь, наряду со способом лечения лейкоза. Предполагается, что эти композиции на основе бензимидазола, когда они используются в сочетании с химиотерапевтическими средствами, могут уменьшать рост злокачественных новообразований и опухолей, включая лейкоз. Обнаружено, что бензимидазолы являются особенно эффективными в подавлении роста рака, опухоли, вирусов и бактерий. Применение этих бензимидазолов в сочетании с другими химиотерапевтическими средствами, которые являются эффективными в разрушении опухоли, является новым способом лечения. Более конкретно целью этого изобретения является обеспечение противораковой композиции, содержащей фармацевтический носитель и производное бензимидазола и химиотерапевтическое средство, как определено здесь, наряду со способом лечения таких злокачественных новообразований. В этих композициях может быть использовано потенцирующее средство. Композиции на основе бензимидазола являются эффективными также и против вирусов и могут быть использованы для лечения вирусных инфекций. Поэтому другой целью изобретения является разработка способа лечения вирусных инфекций, таких как ВИЧ, вирусы гриппа и риновирусы, когда бензимидазол вводят в сочетании с потенцирующим средством. Эти и другие цели станут очевидными из следующего подробного описания этого изобретения. Краткое описание изобретения Фармацевтическая композиция для лечения злокачественных новообразований, опухолей, включая лейкоз, у млекопитающих, и, в частности, у теплокровных животных и людей, содержащая фармацевтический носитель и эффективное количество противоракового соединения, выбранного из группы, состоящей из: ![]() где Х является водородом, галогеном, алкилом из менее чем 7 атомов углерода или алкокси из менее чем 7 атомов углерода; n обозначает положительное целое число менее чем 4; Y является водородом, хлором, нитро, метилом или этилом; и R является водородом или алкильной группой из от 1 до 8 атомов углерода и R2 является 4-тиазолилом, NHCOOR1, где R1 обозначает алифатический углеводород менее чем из 7 атомов углерода, а предпочтительно алкильную группу менее чем из 7 атомов углерода. Эти композиции могут быть использованы для ингибирования роста злокачественных новообразований и других опухолей у людей или животных путем введения эффективного количества либо перорально, ректально, местно, либо парентерально, внутривенно, либо инъекцией в опухоль. Эти композиции не повреждают существенно здоровые клетки по сравнению с адриамицином, который имеет пагубный эффект для здоровых клеток. Фармацевтическая композиция для лечения млекопитающих, и, в частности, теплокровных животных и людей содержит фармацевтический носитель и эффективное количество химиотерапевтических средств и бензимидазола, как описано выше. В такой композиции могут быть также использованы потенцирующие средства. Предпочтительными композициями являются ![]() где R является алкилом из от 1 до 8 атомов углерода и R2 обозначает 4-тиазолил, NHCOOR1, где R1 является метилом, этилом или изопропилом, и нетоксичными фармацевтически приемлемыми аддитивными солями как с органическими, так и неорганическими кислотами. Наиболее предпочтительными соединениями являются 2-(4-тиазолил)бензимидазол, метил-(бутилкарбамоил)-2-бензимидазолкарбамат и 2-метоксикарбонил-амино-бензимидазол и такие, где Y обозначает хлор. Подробное описание изобретения А. Определения Как используется здесь, термин “содержащая” обозначает различные компоненты, которые могут быть совместно использованы в фармацевтической композиции этого изобретения. Соответственно термины “состоящая в основном из” и “состоящая из” включаются в термин “содержащая”. Как используется здесь, “фармацевтически приемлемый” компонент является таким, который пригоден для использования людьми и/или животными без нежелательных вредных побочных эффектов (таких как токсичность, раздражение и аллергическая реакция), соразмерных с разумным отношением польза/риск. Как используется здесь, термин “безопасное и эффективное количество” относится к количеству компонента, которое является достаточным для создания желательного терапевтического отклика без чрезмерных вредных побочных эффектов (таких как токсичность, раздражение или аллергическая реакция), соразмерных с разумным отношением польза/риск, при использовании в соответствии с настоящим изобретением. Конкретное “безопасное и эффективное количество”, очевидно, будет изменяться в связи с такими факторами, как конкретное состояние, подвергаемое лечению, физическое состояние пациента, тип млекопитающего, подвергаемого лечению, продолжительность лечения, характер сопутствующей терапии (если имеется) и конкретные используемые препараты и структура соединений или их производных. Как используется здесь, термин “фармацевтические аддитивные соли” обозначают соли противоракового соединения с органической или неорганической кислотой. Предпочтительными аддитивными солями с кислотами являются хлориды, бромиды, сульфаты, нитраты, фосфаты, сульфонаты, формиаты, тартраты, малеаты, малаты, цитраты, бензоаты, салицилаты, аскорбаты и тому подобное. Как используется здесь, “фармацевтическим носителем” является фармацевтически приемлемый растворитель, суспендирующее вещество или наполнитель, включающий липосомы, для доставки противоракового соединения животному или человеку. Носитель может быть жидким или твердым и его выбирают с учетом предполагаемого способа введения. Как используется здесь, “рак” относится ко всем типам карцином или новообразований, или злокачественных опухолей, обнаруженных у млекопитающих, включая опухоли и лейкоз. Злокачественные новообразования включают такие злокачественные заболевания, которые поражают нормальные здоровые клетки. Лейкоз охватывает такие заболевания, которые поражают нормальные здоровые клетки крови и костный мозг, который продуцирует костные клетки, которые обнаружены у млекопитающих. Как используется здесь, “противораковыми соединениями” являются бензимидазолы и их соли. Конкретные бензимидазолы описаны подробно ниже. Предпочтительными материалами являются продукты, продаваемые под наименованиями “тиабендазолR“, “беномилR” и “карбендазимR” BASF and Hoechst, DuPont and MSD-AgVet. Как используется здесь, “вирусы” включают вирусы, которые заражают животных или млекопитающих, включая людей. Вирусы включают ВИЧ, грипп, полиовирусы, герпес, риновирусы и тому подобное. Как используется здесь, “химиотерапевтические средства” включают взаимодействующие с ДНК агенты, антиметаболиты, взаимодействующие с тубулином агенты, гормональные агенты и другие, такие как аспарагиназа или гидроксимочевина. Как используется здесь “потенцирующими средствами” являются материалы, такие как трипролидин и его цис-изомер и прокодазол, которые используются в сочетании с химиотерапевтическими средствами и бензимидазолами. Б. Противораковые соединения Противораковыми соединениями являются производные бензимидазола, которые известны из-за их противогрибковых активностей. Они являются системными фунгицидами, используемыми для предотвращения появления и уничтожения грибков. Соединения имеют следующую структуру: ![]() где Х является водородом, галогеном, алкилом из менее чем 7 атомов углерода или алкокси из менее чем 7 атомов углерода; n обозначает положительное целое число менее чем 4; Y является водородом, хлором, нитро, метилом или этилом; и R обозначает водород или алкильную группу, имеющую от 1 до 8 атомов углерода, и R2 обозначает 4-тиазолил, NHCOOR1, где R1 является алифатическим углеводородом менее чем из 7 атомов углерода, а предпочтительно алкильной группой менее чем из 7 атомов углерода. Предпочтительными композициями являются: ![]() где R является алкилом из от 1 до 8 атомов углерода и R2 выбран из группы, состоящей из 4-тиазолила, NHCOOR1, где R1 обозначает метил, этил или изопропил, и их нетоксичные фармацевтически приемлемые аддитивные соли как с органическими, так и неорганическими кислотами. Наиболее предпочтительными соединениями являются 2-(4-тиазолил) бензимидазол, метил- (бутилкарбамоил) -2-бензимидазолкарбамат и 2-метоксикарбониламинобензимидазол и соединения, где Y обозначает хлор и Х обозначает водород. Эти соединения получают в соответствии со способом, описанным в патенте США 3738995, выданном Adams et al. 12 июня 1973. Тиазолил-производные получают согласно способу, описанному в Brown et al., J. Am. Chem. Soc., 83, 1764 (1961) и Grenda et al., J. Orq. Chem., 30, 259 (1965). Предполагается, что фунгициды, в частности системные фунгициды, имеют способность уменьшать опухоли или заметно снижать их рост. Системные фунгициды имеют способность мигрировать в растительном или животном организме. Хотя это является положительным признаком, но не является существенным требованием для соединений, эффективных для лечения вирусных инфекций, злокачественных соединений или опухолей. В. Химиотерапевтические средства Химиотерапевтические средства в основном сгруппированы как взаимодействующие с ДНК агенты, антиметаболиты, взаимодействующие с тубулином агенты, гормональные агенты и другие, такие как аспарагиназа или гидроксимочевина. Каждая из этих групп химиотерапевтических средств может быть далее разделена по типу активности или соединения. Химиотерапевтические средства, используемые в сочетании с противораковыми соединениями или бензимидазолами этого изобретения, включают члены из всех этих групп. Более подробное обсуждение химиотерапевтических средств и способа их введения см. Dorr et al., Cancer Chemotherapy Handbook, 2d edition, p. 15-34. Appleton & Lange (Connecticut, 1994), включенный здесь ссылкой. Взаимодействующие с ДНК агенты включают алкилирующие агенты, например Цисплатин, Циклофосфамид, Алтретамин; агенты, разрушающие цепь ДНК, такие как Блеомицин; интеркалирующие ингибиторы топоизомеразы II, например, Дактиномицин и Доксорубицин; неинтеркалирующие ингибиторы топоизомеразы II, такие как Этопозид и Тенипозид, и связующее малых бороздок ДНК Пликамидин. Алкилирующие агенты образуют ковалентные химические аддукты с молекулами ДНК, РНК и белка клеток и с более мелкими аминокислотами, глутатионом и подобными химическими продуктами. Обычно эти алкилирующие агенты реагируют с нуклеофильным атомом компонента клетки, такого как амино, карбоксил, фосфат, сульфгидрильная группа в нуклеиновых кислотах, белках, аминокислотах или глутатионе. Механизм и роль этих алкилирующих агентов в терапии рака не совсем понятны. Типичные алкилирующие агенты включают: азотные горчицы, такие как Хлорамбуцил, Циклофосфамид, Изофамид, Мехлоретамин, Мелфалан, Арациловая горчица; азиридины, такие как Тиотепа; метансульфонатные сложные эфиры, такие как Бусулфан; нитрозомочевины, такие как Кармустин, Ломустин, Стрептозоцин; комплексы платины, такие как Цисплатин, Карбоплатин; биоредуктивный алкилирующий агент, такой как Митомицин, и Прокарбазин, Дакарбазин и Алтретамин; агенты, разрушающие цепь ДНК, включают Блеомицин; ингибиторы ДНК топоизомеразы II включают следующие: интеркаляторы, такие как Амсакрин, Дактиномицин, Даунорубицин, Доксорубицин, Идарубицин и Митоксантрон; неинтеркаляторы, такие как Этопозид и Тепипозид. Связующим малых бороздок ДНК является Пликамидин. Антиметаболиты вмешиваются в продуцирование нуклеиновых кислот тем или иным из двух главных механизмов. Некоторые из лекарств ингибируют продуцирование трифосфатов дезоксирибонуклеозидов, которые являются непосредственными предшественниками синтеза ДНК, ингибируя тем самым репликацию ДНК. Некоторые из соединений являются по существу подобными пуринам или пиримидинам настолько, чтобы быть способными замещать их в анаболических нуклеотидных путях. Эти аналоги могут быть затем заместителями в ДНК и РНК вместо их нормальных функциональных двойников. Используемые здесь антиметаболиты включают: антагонисты фолата, такие как Метотрексат и триметрексат, антагонисты пиримидина, такие как Фторурацил, Фтордезоксиуридин, СВ3717, Азацитидир, Цитарабин и Флоксуридин, антагонисты пурина включают Меркаптопурин, 6-Тиогуанин, Флударабин, Пентостатин; модифицированные аналоги сахара включают Циктрабин, Флударабин; ингибиторы рибонуклеотид-редуктазы включают гидроксимочевину. Агенты, взаимодействующие с тубулином, действуют путем связывания со специфическими сайтами на тубулине, белке, который полимеризуется с образованием клеточных микротрубочек. Микротрубочки являются существенными элементами клеточной структуры. Когда взаимодействующие агенты связываются с белком, клетка не может формировать микротрубочки. Взаимодействующие с тубулином агенты включают Винкристин и Винбластин, оба алкалоида, и Пактитаксел. Гормональные агенты также являются полезными при лечении злокачественных новообразований и опухолей. Их применяют при гормонально чувствительных опухолях и обычно выделяют из натуральных источников. Они включают: эстрогены, конъюгированные эстрогены и Этинил-Эстрадиол и Диэтилстилбестерол, Хлортрианизен и Иденэстрол; прогестины, такие как капроат Гидроксипрогестерона, Медроксипрогестерон и Мегестрол; андрогены, такие как тестостерон, пропионат тестостерона, флуоксиместерон, метилтестостерон. Кортикостероиды надпочечников получают из натурального кортизола или гидрокортизона надпочечников. Их используют из-за их благоприятного противовоспалительного эффекта, а также из-за способности некоторых из них ингибировать митотические деления и останавливать синтез ДНК. Эти соединения включают Преднизолон, Дексаметазон, Метилпреднизолон и Преднизолон. Гормональные агенты, высвобождающие лютенизирующий гормон, или антагонисты гормона, высвобождающего гонадотропин, применяют, главным образом, при лечении рака простаты. Они включают ацетат леупролида и ацетат гозерелина. Они предотвращают биосинтез стероидов в яичках. Антигормональные антигены включают: антиэстрогенные агенты, такие как Тамосифен; антиандрогенные агенты, такие как Флутамид; и антиадренальные агенты, такие как Митотан и Пминоглутетимид. Гидроксимочевина проявляет себя в действии, главным образом, через ингибирование фермента рибонуклеотидредуктазы. Аспарагиназа является ферментом, который превращает аспарагин в нефункциональную аспарагиновую кислоту и поэтому блокирует синтез белка в опухоли. Г. Потенцирующие средства “Потенцирующим средством” может быть любой материал, который совершенствует или повышает эффективность фармацевтической композиции, и/или иммуносупрессор. Одним таким потенцирующим средством является трипролидин и его цис-изомер, которые используются в сочетании с химиотерапевтическими средствами и бензимидазолом. Трипролидин описан в US 5114951 (1992). Другим потенцирующим средством является прокодазол, 1H-бензимидазол-2-пропановая кислота; [ -(2-бензимидазол)-пропионовая кислота; 2-(2-карбоксиэтил)-бензимидазол; пропазол). Прокодазол является неспецифическим активным иммунозащитным средством против вирусных и бактериальных инфекций и может быть использован с заявленными здесь композициями. Он эффективен только с бензимидазолами при лечении злокачественных новообразований, опухолей, лейкоза и вирусных инфекций или в сочетании бензимидазолов с химиотерапевтическими средствами. Пропионовая кислота и ее соли сложные и эфиры также могут быть использованы в сочетании с заявленными здесь фармацевтическими композициями.
Потенцирующие средства также повышают эффективность соединений бензимидазола при лечении вирусных и других инфекций. Они могут быть использованы в сочетании с такими противораковыми средствами в безопасном и эффективном количестве. Эти комбинации могут вводиться пациенту или животному путем перорального, ректального, местного или парентерального введения.
С композициями этого изобретения могут быть введены витамины-антиоксиданты, такие как аскорбиновая кислота, бета-каротин, винамины А и винамин Е.
Д. ДозировкаЛюбая подходящая дозировка может быть задана в способе этого изобретения. Тип соединений и носителей и количество будут широко варьироваться в зависимости от вида теплокровного животного или человека, массы тела и разновидности рака или опухоли, подлежащей лечению. Пределы и отношение химиотерапевтического средства и используемого противоракового соединения будут зависеть от типа химиотерапевтического средства и разновидности рака, требующего лечения. Обычно подходящей является дозировка между около 2 миллиграмм (мг) на килограмм (кг) массы тела и около 400 мг на кг массы тела. Предпочтительно бензимидазолы используют в дозе от 15 мг до около 150 мг/кг массы тела. Для химиотерапевтических средств может быть приемлема более низкая дозировка, например от около 0,5 мг/кг массы тела до около 400 мг/кг массы тела. Обычно дозировка для человека ниже, чем для небольших теплокровных животных, таких как мыши. Стандартная доза может содержать единственное соединение или его смеси с другими соединениями или другими ингибирующими рак соединениями. Стандартная доза может также содержать разбавители, наполнители, носители и тому подобное. Доза может быть в твердой или гелеобразной форме, такой как драже, таблетки, капсулы, липосомы и тому подобное, или в жидкой форме, пригодной для перорального, ректального, местного введения, внутривенного вливания или парентерального введения, или введения путем инъекции в опухоль или вокруг нее или вокруг костного мозга. Е. Формы доставки дозированного средства Противораковые соединения и химиотерапевтические средства обычно смешивают с фармацевтически приемлемым носителем. Этот носитель может быть твердым или жидким или в виде липосом, и тип его обычно выбирают на основе предполагаемого типа введения. Активный агент может совместно вводиться в форме таблетки или капсулы, липосомы или как агломерированный порошок или в жидкой форме. Примеры подходящих твердых носителей включают лактозу, сахарозу, желатин и агар. Капсула или таблетки могут быть легко составлены и легко могут быть приготовлены для проглатывания или жевания; другие твердые формы включают гранулы и объемные порошки. Таблетки могут содержать подходящие связующие, смазки, разбавители, дезинтегрирующие вещества, окрашивающие вещества, вкусовые вещества, вещества, вызывающие текучесть, и расплавляющие вещества. Примеры подходящих жидких дозированных лекарственных форм включают растворы или суспензии в воде, фармацевтически приемлемых жирах или маслах, спиртах или других органических растворителях, включая сложные эфиры, эмульсии или эликсиры, суспензии, растворы и/или суспензии, восстановленные из не выделяющих газа гранул, и выделяющие газ препараты, восстановленные из выделяющих газ гранул. Такие жидкие лекарственные формы могут содержать, например, подходящие растворители, консерванты, эмульгаторы, суспендирующие вещества, разбавители, подслащиватели, загустители и расплавляющие вещества. Пероральные лекарственные формы необязательно содержат вкусовые вещества и окрашивающие вещества. Парентеральные и внутривенные формы должны также содержать минеральные добавки и другие материалы для придания им совместимости с типом инъекции или выбранной системой доставки. Конкретные примеры фармацевтически приемлемых носителей и наполнителей, которые могут быть использованы для составления пероральных лекарственных форм настоящего изобретения, описаны в патенте США 3903297, выданном Robert 2 сент. 1975. Методики и композиции для приготовления лекарственных форм, применимых в настоящем изобретении, описаны в следующих ссылках: 7 Modern Pharmaceutics. Chapters 9 and 10 (Banker & Rhodes, Editors, 1979); Lieberman et al., Pharmaceutical Dosage Forms: Tablets (1981); and Ansel, Introduction to Pharmaceutical Dosage Forms 2nd Edition (1976). Ж. Способ лечения Способ лечения может быть любым подходящим способом, который является эффективным для лечения конкретного типа или опухоли, подлежащих лечению. Лечение может осуществляться пероральным, ректальным, местным, парентеральным, внутривенным введением или инъекцией в опухоль и тому подобное. Способ доставки эффективного количества также варьируется в зависимости от типа опухоли, подлежащей лечению. Предполагается, что парентеральное лечение путем внутривенного, подкожного или внутримышечного применения соединений бензимидазола в составе с подходящим носителем, дополнительным ингибирующим рак соединением или соединениями или разбавителем для облегчения применения будет предпочтительным способом введения соединений теплокровным животным. Способ лечения вирусных инфекций может быть также осуществлен путем перорального, ректального, местного, парентерального или внутривенного введения. Реальное время и дозировка будут зависеть от типа вируса, требующего лечения, и желательных уровней в крови. Такие системные фунгициды могут быть использованы как таковые или в сочетании с другими фунгицидами наряду с химиотерапевтическими средствами. Другие фунгициды, которые могут быть использованы с этими материалами, включают производные 1Н-1,2,4-триазола, такие как флуконазол и пропиконазол, и N-хлорфенилтиокарбаматы. Гербициды, такие как производные N-фосфоноглицина, например глифосат, также могут быть использованы в сочетании с бензимидазолами. Следующие примеры являются иллюстративными и их не следует воспринимать как ограничивающие объем изобретения. Пример 1 Исследование опухолевых клеток толстой кишки, молочной железы и легких Следующие испытания клеточных культур проводили для исследования токсичности соединений бензимидазола для опухолевых клеток толстой кишки, молочной железы и легких человека. Жизнеспособность клеток проверяли путем наблюдения восстановления ММТ (бромида 3-[4,5-диметилтиазол-2-ил]-2,5-дифенилтетразолия). ММТ проба является хорошо известной мерой жизнеспособности клеток. Опухолевые клетки толстой кишки (НТ29 из Американской коллекции типовых культур (АТСС)) и клетки молочной железы [MXI из клеточной линии из АТСС) культивировали в минимальной питательной среде Игла с 10% околоплодной коровьей сывороткой. Опухолевые клетки легких (А549 из клеточных линий АТСС) культивировали в среде F12 Хама с 10% околоплодной коровьей сывороткой. Опухолевые клетки пассировали и высевали в колбы для культивирования при желательных плотностях клеток. Культуральную среду декантировали, а пласты клеток промывали дважды физиологическим раствором с фосфатным буфером (PBS). Клетки трипсинизировали и растирали в порошок до высева в колбы. Если не указано иначе, культуры инкубировали при 37 1oС в увлажненной атмосфере из 5 1% диоксида углерода в воздухе. Культуры инкубировали, пока они не стали конфлюэнтными на 50-80%.
Клетки пассировали, когда колбы были субконфлюэнтны. Среду отсасывали из колб и клеточные пласты дважды промывали PBS. Затем в каждую колбу добавляли раствор трипсина, чтобы покрыть клеточный пласт. Раствор трипсина удаляли через 30-60 с и колбы инкубировали при комнатной температуре от двух до шести минут. Когда 90% клеток были удалены, добавляли ростовую среду. Клетки удаляли гомогенизацией и переносили в стерильную центрифужную пробирку. Определяли концентрацию клеток в суспензии и осуществляли подходящее разбавление, чтобы получить плотность 5000 клеток/мл. Клетки пересевали в соответствующие лунки 96-луночных биоаналитических планшетов (200 мкл клеточной суспензии на лунку). Во все оставшиеся лунки добавляли PBS, чтобы обеспечить влажность. Планшеты затем инкубировали в течение ночи перед обработкой пробным изделием.
Каждую дозу пробного изделия испытывали путем обработки четырех одинаковых лунок культур 100 мкл каждого разбавления. Эти лунки, обозначенные как контроли растворителя, получали дополнительные 100 мкл контроля-метанола; лунки – отрицательные контроли получали дополнительные 100 мкл среды для обработки. PBS добавляли в остальные лунки, не обработанные пробным изделием или средой. Планшеты затем инкубировали примерно 5 сут.
В конце 5-суточной инкубации каждую группу доз исследовали под микроскопом для оценки токсичности. В среде для обработки устанавливали разбавление 0,5 мг/мл МТТ и разбавленное фильтровали через 0,45-микрометровый фильтр для удаления нерастворенных кристаллов. Из лунок биоаналитического планшета декантировали среду. Немедленно после этого во все опытные лунки добавляли 2000 мкл отфильтрованного раствора МТТ, за исключением двух необработанных пустых (контрольных) опытных лунок. Две контрольные лунки получали 200 мкл среды для обработки. Планшеты возвращали в инкубатор примерно на 3 ч. После инкубирования среду, содержащую МТТ, декантировали. В каждую лунку добавляли избыток среды и планшеты встряхивали при комнатной температуре около 2 ч.
Оптическую плотность при 550 мн (OD550) каждой лунки измеряли планшет-ридером VMax, Molecular Devices (Menlo Park, CA).
Рассчитывали средние значения OD550 для лунок контроля растворителя и для лунок каждого разбавления опытного изделия, и для каждой из контрольных лунок, и для положительного контроля. Среднее значение OD550 для контрольных лунок вычитали из среднего значения для лунок контроля растворителя и для лунок с опытным изделием соответственно, чтобы получить соответствующее значение OD550.
![]() Кривые доза/отклик получали как полулогарифмический график с % контроля по ординате (линейная) и концентрацией опытного изделия по абсциссе (логарифмическая). EC50 интерполировали из графиков для каждого опытного изделия. Для опытных изделий, вводимых в метаноле, получали отдельные отклики для коррекции данных метанола. В качестве положительного контроля использовали адриамицин. Во всех случаях он являлся более токсичным, чем любой из опытных материалов, на один или два log. Адриамицин являлся одним из наиболее сильных средств, используемых в настоящее время, и имеет значительные побочные эффекты. Максимальная концентрация в плазме других достаточно эффективных химиотерапевтических средств может быть в 10-50 раз выше, чем концентрация Адриамицина (см. табл. 1). ЕС50 – это концентрация, при которой погибает половина клеток. В нормальных здоровых клетках были получены следующие результаты. Как видно, беномил и карбендазим являются намного менее токсичными для нормальных здоровых клеток, чем адриамицин (см. табл. 2). В соответствующем исследовании с использованием опухолевых клеток легких (А-549), опухолевых клеток молочной железы (MCF-7) и опухолевых клеток толстой кишки (НТ-29) тиабендазол, системный фунгицид эффективно убивал эти клетки. Табл. 3 суммирует результаты. Эти эксперименты показывают, что такие композиции являются эффективными для уничтожения опухолевых клеток. Пример 2 Мышей произвольно выбирали и разделяли на группы для обработки. Пять групп инфицировали лейкозом. Заболевшие животные получали дозы в течение пяти дней с последующим перерывом в течение двух дней, затем получали дозы в течение следующих пяти дней и затем перерыв на три дня, затем дозы в течение пяти дней и перерыв на два дня. Эта нерегулярная картина системы доз и перерывов не является идеальным режимом, но результаты показывают положительное влияние Карбендазима (CarbendazimTM). Одну группу мышей обрабатывали Цитоксаном (CytoxanTM), 2-[бис(2-хлорэтил)-амино] -1-оксо-2-аза-5-оксо- фосфоридин, контроль получал дозы пищевого масла Canola, и три группы обрабатывали различными уровнями Карбендазима, метил-(бутилкарбамоил) -2-бензимидазол-карбамата. Использовали также контроль без какой-либо обработки. Карбендазим дозировали на трех уровнях 4000, 2500 и 1000 мг/кг. Цитоксан дозировали в количестве 125 мг/кг. Через 8 сут не подвергавшаяся обработке группа потеряла 1 мышь, на 10-е сутки умерло 8 мышей и на 11-е сутки все десять мышей погибли. Мыши в группе обработки Цитоксаном прожили более чем 21 сут. В группе, подвергавшейся обработке более высокой дозой Карбендазима одна мышь умерла на 14-е сутки, по две умерли на 15-е, 16-е и 17-е сутки и по одной на 20-е, 21-е и 22-е сутки. Среднее количество суток в этой группе равно 17,3. Группа промежуточного дозирования имела 2 мыши, умершие на 14-е сутки, 4 на 15-е сутки, 1 на 16-е сутки, 2 на 19-е сутки и 1 на 21-е сутки. Среднее количество суток в этой группе равно 16,50. Группа наименьшего дозирования имела по 2 мыши, умершие на 12-е, 13-е, 14-е и 15-е сутки, и по 1 мыши, умершей на 16-е и 17-е сутки. Среднее количество суток в этой группе равно 14,1. Формула изобретения
![]() где Х является водородом, галогеном, алкилом из менее чем 7 атомов углерода или алкокси из менее чем 7 атомов углерода; n обозначает положительное целое число менее чем 4; Y является водородом, хлором, нитро, метилом или этилом; R обозначает водород или алкильную группу, имеющую от 1 до 8 атомов углерода, или бутилкарбамоил; и R2 является 4-тиазолилом, NНCOOR1, где R1 обозначает алифатический углеводород менее чем из 7 атомов углерода, или его фармацевтически приемлемые аддитивные соли и фармацевтически приемлемый носитель. 2. Фармацевтическая композиция по п.1, содержащая дополнительно безопасное и эффективное количество химиотерапевтического средства. 3. Фармацевтическая композиция по п.1 или 2, содержащая дополнительно безопасное и эффективное количество потенцирующего средства. 4. Фармацевтическая композиция по пп.1, 2 или 3, где R обозначает водород или алкильную группу, имеющую от 1 до 8 атомов углерода, и R2 выбран из группы, состоящей из 4-тиазолила или NHCOOR1, где R1 является метилом, этилом или изопропилом, и их фармацевтически приемлемыми аддитивными солями. 5. Фармацевтическая композиция по пп.1, 2, 3 или 4, где указанное производное бензимидазола выбрано из группы, состоящей из 2-(4-тиазолил)бензимидазола, метил-(бутилкарбамоил)-2-бензимидазол-карбамата и 2-метоксикарбониламинобензимидазола; или их фармацевтически приемлемых аддитивных солей. 6. Фармацевтическая композиция по п.5 для лечения злокачественных новообразований или опухолей путем ингибирования их роста, где указанное химиотерапевтическое средство выбрано из группы, состоящей из взаимодействующих с ДНК агентов, антиметаболитов, взаимодействующих с тубулином агентов, гормональных агентов, аспарагиназы, гидроксимочевины, цисплатина, циклофосфамида, алтретамина, блеомицина, дактиномицина, доксорубицина, этопозида, тенипозида, пликамицина, метотрексата, фторурацила, фтордезоксиуридина, N-(4-(N-((2-амино-4-гидрокси-6-хиназолил)метил)-проп-2-иниламино)бензоил)-L-глутаминовой кислоты, азацитидина, флоксуридина, меркаптопурина, 6-тиогуанина, пентостатина, цитарабина и флударабина. 7. Фармацевтическая композиция по пп.1-4 или 5, где указанные фармацевтически приемлемые аддитивные соли с кислотой выбраны из группы, состоящей из хлоридов, бромидов, сульфатов, нитратов, фосфатов, сульфонатов, формиатов, тартратов, малеатов, малатов, цитратов, бензоатов, салицилатов, аскорбатов и их смесей. 8. Способ лечения рака у теплокровных млекопитающих, включающий введение млекопитающему от около 2 до около 400 мг/кг массы тела фармацевтической композиции по пп.1-6 или 7. 9. Способ по п.8, где указанное производное бензимидазола вводят перорально или энтерально, внутривенно, парентерально или путем инъекции. 10. Композиция стандартной лекарственной формы для лечения злокачественных новообразований, опухолей и вирусных инфекций у животных или людей, содержащая производное бензимидазола формулы ![]() где Х является водородом, галогеном, алкилом из менее чем 7 атомов углерода или алкокси из менее чем 7 атомов углерода; n обозначает положительное целое число менее чем 4; Y является водородом, хлором, нитро, метилом или этилом; и R обозначает водород или алкильную группу, имеющую от 1 до 8 атомов углерода, или бутилкарбамоил и R2 является 4-тиазолилом, NHCOOR1, где R1 обозначает алифатический углеводород менее чем из 7 атомов углерода, или его фармацевтически приемлемую соль и фармацевтически приемлемый носитель. 11. Композиция стандартной лекарственной формы по п.10, дополнительно содержащая химиотерапевтическое средство. 12. Композиция стандартной лекарственной формы по п.10 или 11, дополнительно содержащая потенцирующее средство. 13. Композиция стандартной лекарственной формы по пп.10, 11 или 12, где указанное производное бензимидазола выбрано из группы, состоящей из 2-(4-тиазолил)бензимидазола, метил-(бутилкарбамоил)-2-бензимидазол-карбамата и 2-метоксикарбониламинобензимидазола или их фармацевтически приемлемых аддитивных солей. 14. Композиция стандартной лекарственной формы по пп.10-12 или 13, в которой носитель выбран из группы, состоящей из лактозы, сахарозы, желатина и агара, водных растворов, эмульсий, суспензионных растворов и суспензий, восстановленных из не выделяющих газ и выделяющих газ препаратов. 15. Композиция стандартной лекарственной формы по п.14, которая дополнительно содержит компонент, выбранный из группы, состоящей из суспендирующих веществ, разбавителей, подслащивающих веществ, вкусовых веществ, красителей, консервантов, эмульгаторов и окрашивающих веществ и их смесей. 16. Способ лечения вирусных инфекций, включающий введение безопасного и эффективного количества производного бензимидазола формулы ![]() где Х является водородом, галогеном, алкилом из менее чем 7 атомов углерода или алкокси из менее чем 7 атомов углерода; n обозначает положительное целое число менее чем 4; Y является водородом, хлором, нитро, метилом или этилом; R обозначает водород или алкильную группу, имеющую от 1 до 8 атомов углерода, или бутилкарбамоил и R2 является 4-тиазолилом или NHCOOR1, где R1 обозначает алифатический углеводород менее, чем из 7 атомов углерода, или его фармацевтически приемлемых аддитивных солей. 17. Способ лечения злокачественных опухолей, включающий введение безопасного и эффективного количества производного бензимидазола, имеющего противоопухолевую активность. 18. Способ ингибирования роста опухолей, включающий введение безопасного и эффективного количества производного бензимидазола, имеющего противоопухолевую активность. Приоритет по пунктам: 12.04.1995 по пп. 1, 10, 16-18; 03.08.1995 по пп. 2, 3, 6, 11, 12; 12.04.1995 и 03.08.1995 по пп. 4, 5, 7, 8, 9, 13-15. РИСУНКИ
MM4A Досрочное прекращение действия патента Российской Федерации на изобретение из-за неуплаты в установленный срок пошлины за поддержание патента в силе
Дата прекращения действия патента: 12.04.2002
Номер и год публикации бюллетеня: 14-2004
Извещение опубликовано: 20.05.2004
|
||||||||||||||||||||||||||





-(2-бензимидазол)-пропионовая кислота; 2-(2-карбоксиэтил)-бензимидазол; пропазол). Прокодазол является неспецифическим активным иммунозащитным средством против вирусных и бактериальных инфекций и может быть использован с заявленными здесь композициями. Он эффективен только с бензимидазолами при лечении злокачественных новообразований, опухолей, лейкоза и вирусных инфекций или в сочетании бензимидазолов с химиотерапевтическими средствами. Пропионовая кислота и ее соли сложные и эфиры также могут быть использованы в сочетании с заявленными здесь фармацевтическими композициями.
Потенцирующие средства также повышают эффективность соединений бензимидазола при лечении вирусных и других инфекций. Они могут быть использованы в сочетании с такими противораковыми средствами в безопасном и эффективном количестве. Эти комбинации могут вводиться пациенту или животному путем перорального, ректального, местного или парентерального введения.
С композициями этого изобретения могут быть введены витамины-антиоксиданты, такие как аскорбиновая кислота, бета-каротин, винамины А и винамин Е.
Д. Дозировка
1oС в увлажненной атмосфере из 5


