Патент на изобретение №2197949
|
||||||||||||||||||||||||||
(54) КРАСЯЩАЯ КОМПОЗИЦИЯ ДЛЯ КЕРАТИНОВЫХ ВОЛОКОН С ПРЯМЫМ КАТИОННЫМ КРАСИТЕЛЕМ И ЧЕТВЕРТИЧНОЙ АММОНИЕВОЙ СОЛЬЮ
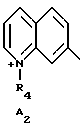
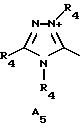
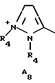
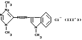
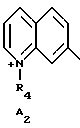
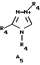
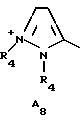
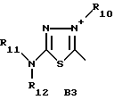
(57) Реферат: Изобретение относится к красящей композиции для кератиновых волокон, в частности, волос, включающей, в подходящей для окраски среде, прямой катионный краситель заданной формулы и четвертичную аммониевую соль. Изобретение также относится к способам окраски, в которых используют эту композицию, и к набору для окраски волос, содержащему композиции краски. Композиции приводят к интенсивным и малоизбирательным окрашиваниям, устойчивым к агрессивным воздействиям. 6 с. и 25 з.п. ф-лы, 1 табл. Изобретение относится к красящей композиции для кератиновых волокон, в частности, для кератиновых волокон человека, таких, как волосы, включающей, в подходящей для окраски среде по крайней мере один прямой катионный краситель заданной формулы и по крайней мере одну четвертичную аммониевую соль. Предметами изобретения являются также способы и устройства для окраски, в которых используют вышеуказанную композицию. В области по уходу за волосами можно различать два типа окрасок. Первым типом окраски является полуперманентная или временная окраска, или прямая окраска, при которой используют красители, способные придавать естественной окраске волос более или менее заметное изменение цвета, в известных случаях устойчивое к многократному мытью шампунем. Эти красители называют прямыми красителями; их можно использовать с окислителем или без него. В присутствии окислителя целью является получение осветляющей окраски. Осветляющее окрашивание осуществляют путем нанесения на волосы приготовляемой экстемпорально смеси прямого красителя с окислителем и, путем осветления меланина волос, оно позволяет особенно достигать выгодного эффекта, такого, как равномерная окраска в случае седых волос, или подчеркивать цвет в случае естественно окрашенных волос. Вторым типом окраски является перманентная или окислительная окраска, ее осуществляют с помощью так называемых “фиксирующихся при окислении” красителей, включающих предшественники фиксирующихся при окислении красителей и краскообразующие компоненты. Предшественники фиксирующихся при окислении красителей, называемые обычно “окисляющиеся основания”, представляют собой первоначально бесцветные или слегка окрашенные соединения, которые проявляют свою красящую способность на волосах в присутствии добавляемых в момент употребления окислителей, приводя к образованию окрашенных и красящих соединений. Образование этих окрашенных и красящих соединений является результатом либо окислительной конденсации “окисляющихся оснований” самих с собой, либо окислительной конденсации “окисляющихся оснований” с соединениями, которые являются модификаторами окраски, называемыми обычно “краскообразующие компоненты” и, как правило, присутствующими в красящих композициях, используемых для окислительной окраски. Для изменения оттенков, получаемых с помощью вышеуказанных фиксирующихся при окислении красителей, или обогащения отливов, случается, что к ним добавляют прямые красители. Среди прямых катионных красителей, имеющихся в распоряжении в области окраски кератиновых волокон, в частности, человека, уже известны соединения, структура которых представлена в нижеследующем тексте; однако, эти красители приводят к окраскам, которые обладают еще недостаточными характеристиками в плане интенсивности, однородности цвета по всей длине волокна, тогда говорят, что окраска слишком избирательная, и в плане стойкости, то есть устойчивости к различным агрессивным воздействиям, которым могут подвергаться волосы (свет, непогода, шампуни). После многочисленных исследований, проводимых по этой проблеме, заявитель в настоящее время нашел, что можно получать новые композиции для окраски кератиновых волокон, способные приводить к интенсивным и малоизбирательным окрашиваниям, тем не менее хорошо устойчивым к различным агрессивным воздействиям, которым могут подвергаться волосы, путем сочетания по крайней мере одной четвертичной аммониевой соли по крайней мере с одним прямым катионным красителем, которые известны в уровне техники и отвечают, соответственно, нижеприводимым формулам. Это открытие составляет основу настоящего изобретения. Таким образом, первым предметом настоящего изобретения является композиция для окраски кератиновых волокон и, в частности, кератиновых волокон человека, таких, как волосы, включающая, в подходящей для окраски среде, (i) по крайней мере один прямой катионный краситель, структура которого отвечает нижеприводимым формулам (I)-(IV), отличающаяся тем, что она содержит, кроме того, (ii) по крайней мере одну четвертичную аммониевую соль. (i) Прямой катионный краситель, используемый согласно настоящему изобретению, представляет собой соединение, выбираемое среди соединений следующих формул (I), (II), (III), (III’), (IV): а) соединения следующей формулы (I): ![]() в которой D означает атом азота или группу -СН; R1 и R2, одинаковые или разные, означают атом водорода; (C1-C4)-алкил, который может быть замещен радикалом -CN, -ОН или -NH2; или вместе с атомом углерода бензольного кольца образуют, в известных случаях кислород- или азотсодержащий, гетероцикл, который может быть замещен одним или несколькими (C1-C4)-алкильными радикалами; 4′-аминофенил; R3 и R’3, одинаковые или разные, означают атом водорода или галогена, выбираемый среди атомов хлора, брома, иода и фтора, цианогруппу, (C1-C4)-алкил, (C1-C4)-алкоксил или ацетилоксигруппу; Х– означает анион, предпочтительно выбираемый из хлор-, метилсульфат- и ацетат-аниона; А означает группу, выбираемую среди следующих структур А1 – А19: ![]() ![]() ![]() ![]() ![]() ![]() ![]() ![]() ![]() ![]() ![]() ![]() ![]() ![]() ![]() ![]() ![]() ![]() ![]() в которых R4 означает (C1-C4)-алкил, который может быть замещен гидроксилом, и R5 означает (C1-C4)-алкоксил; при условии, что когда D означает -СН, А означает А4 или А13 и R3 отличается от алкоксила, тогда R1 и R2 не означают одновременно атом водорода; б) соединения следующей формулы (II): ![]() в которой R6 означает атом водорода или (C1-C4) -алкил; R7 означает атом водорода; алкил, который может быть замещен радикалом -CN или аминогруппой; 4′-аминофенил, или вместе с 6 образует, в известных случаях кислородсодержащий и/или азотсодержащий, гетероцикл, который может быть замещен (C1-C4) -алкилом; R8 и R9, одинаковые или разные, означают атом водорода; атом галогена, такой, как атом брома, хлора, иода или фтора; (C1-C4)-алкил или (C1-C4) -алкоксил, радикал -CN; Х– означает анион, предпочтительно выбираемый из хлор-, метилсульфат- и ацетат-аниона; В означает группу, выбираемую среди следующих структур В1-В6: ![]() ![]() ![]() ![]() ![]() ![]() в которых R10 означает (C1-C4)-алкил; R11 и R12, одинаковые или разные, означают атом водорода или (C1-C4)-алкил; в) соединения следующих формул (III) и (III’): ![]() ![]() в которых R13 означает атом водорода, (C1-C4)-алкоксил, атом галогена, такой, как атом брома, хлора, иода или фтора, или аминогруппу; R14 означает атом водорода, (C1-C4)-алкил или вместе с атомом углерода бензольного кольца образует гетероцикл, в известных случаях кислородсодержащий и/или замещенный одной или несколькими (C1-C4)-алкильными группами; R15 означает атом водорода или галогена, такой, как атом брома, хлора, иода или фтора; R16 и R17, одинаковые или разные, означают атом водорода или (C1-C4)-алкил; D1 и D2, одинаковые или разные, означают атом азота или группу -СН; m = 0 или 1; при условии, что когда R13 означает незамещенную аминогруппу, тогда D1 и D2 означают одновременно группу -СН и m =0; Х– означает анион, предпочтительно выбираемый из хлор-, метилсульфат- и ацетат-аниона; Е означает группу, выбираемую среди следующих структур Е1-Е8: ![]() ![]() ![]() ![]() ![]() ![]() в которых R’ означает (C1-C4)-алкил; причем когда m = 0 и D1 означает атом азота, тогда Е также может означать группу следующей структуры Е9: ![]() в которой R’ означает (C1-C4)-алкил; г) соединения следующей формулы (IV): ![]() в которой символ G означает группу, выбираемую среди следующих структур G1-G3: ![]() ![]() ![]() в которых R18 означает (C1-C4) -алкил; фенил, который может быть замещен (C1-C4)-алкилом или атомом галогена, выбираемым среди атомов хлора, брома, иода и фтора; R19 означает (C1-C4) -алкил или фенил; R20 и R21, одинаковые или разные, означают (C1-C4)-алкил, фенил, или в G1 вместе образуют бензольное кольцо, замещенное одним или несколькими (C1-C4)-алкильными радикалами, (C1-C4)-алкоксильными радикалами или группой NO2; или в G2 вместе образуют бензольное кольцо, незамещенное или замещенное одним или несколькими (C1-C4) -алкильными радикалами, (C1-C4)-алкоксильными радикалами или группой NO2; R20 может означать, кроме того, атом водорода; Z означает атом кислорода, серы или группу -NR19; М означает группу -СН, -CR (где R означает (C1-C4)-алкил) или -NR22(Х–)r; К означает группу -СН, -CR (где R означает (C1-C4) -алкил) или -NR22(X–)r; Р означает группу -СН, -CR (где R означает (C1-C4) -алкил) или -NR22(X–)r; r означает нуль или 1; R22 означает атом О–, (C1-C4)-алкоксил или (C1-C4)-алкил; R23 и R24, одинаковые или разные, означают атом водорода или галогена, выбираемый среди атомов хлора, брома, иода и фтора, (C1-C4)-алкил, (C1-C4)-алкоксил, группу -NO2; Х– означает анион, предпочтительно выбираемый из хлор-, иод-, метилсульфат-, этилсульфат-, ацетат- и перхлоратаниона; при условии, что если R22 означает О–, тогда r означает нуль; если К или Р или М означают -N-(C1-C4)-алкил-Х–, тогда R23 или R24 отличается от атома водорода; если К означает -NR22(Х–)r, тогда М = Р = -СН, -CR; если М означает -NR22(Х–)r, тогда К = Р = -СН, -CR; если Р означает -NR22(X–)r, тогда К = М и означают -СН или -CR; если Z означает атом серы, a R21 означает (C1-C4) -алкил, тогда R20 отличается от атома водорода; если Z означает -NR19, где R19 означает (C1-C4)-алкил, тогда, по крайней мере, один из радикалов R18, R20 или R21 группы структуры G2 отличается от (C1-C4)-алкила; символ J означает: – (а) группу следующей структуры J1: ![]() в которой R25 означает атом водорода, атом галогена, выбираемый среди атомов хлора, брома, иода и фтора, (C1-C4)-алкил, (C1-C4)-алкоксил, радикал -ОН, -NO2, -NHR28, -NR29R30, -NHCO- (C1-C4) -алкил, или вместе с R26 образует 5- или 6-членный цикл, не содержащий или содержащий один или несколько гетероатомов, выбираемых среди атомов азота, кислорода или серы; R26 означает атом водорода, атом галогена, выбираемый среди атомов хлора, брома, иода и фтора, (C1-C4)-алкил, (C1-C4) -алкоксил, или вместе с R27 и R28 образует 5- или 6-членный цикл, не содержащий или содержащий один или несколько гетероатомов, выбираемых среди атомов азота, кислорода или серы; R27 означает атом водорода, группу -ОН, радикал -NHR28, радикал -NR29R30; R28 означает атом водорода, (C1-C4)-алкил, моногидрокси-(C1-C4)-алкил, полигидрокси-(С2-С4)-алкил, фенил; R29 и R30, одинаковые или разные, означают (C1-C4)-алкил, моногидрокси-(C1-C4) -алкил, полигидрокси- (C2-C4) -алкил; – (б) 5- или 6-членную азотсодержащую гетероциклическую группу, которая может включать другие гетероатомы и/или карбонилсодержащие группы и может быть замещена одним или несколькими (C1-C4)-алкильными, амино- или фенильными радикалами, и, в частности, группу следующей структуры J2: ![]() в которой R31 и R32, одинаковые или разные, означают атом водорода, (C1-C4)-алкил, фенил; Y означает радикал -СО- или радикал ;n означает 0 или 1, причем когда n означает 1, U означает радикал -СО-. В вышеуказанных структурах (I) – (IV) (C1-C4)- алкил или (C1-C4)-алкоксил означает предпочтительно метил, этил, бутил, метокси, этокси. Прямые катионные красители формул (I), (II), (III) и (III’), используемые в красящих композициях согласно изобретению, представляют собой известные соединения и описываются, например, в международных заявках 95/01772, 95/15144 и в заявке на европейский патент А-0714954. Прямые катионные красители формулы (IV), используемые в красящих композициях согласно изобретению, представляют собой известные соединения и описываются, например, в заявках на патенты Франции 2189006, 2285851 и 2140205 и дополнительных свидетельствах к ним. Из прямых катионных красителей формулы (I), используемых в красящих композициях согласно изобретению, можно, в частности, назвать соединения, отвечающие следующим структурам (I1) – (I54), приведенным в конце описания. Из соединений вышеуказанных структур (I1) – (I54) в высшей степени предпочтительны соединения, отвечающие структурам (II), (I2), (I14) и (I31). Из прямых катионных красителей формулы (II), используемых в красящих композициях согласно изобретению, можно назвать, в частности, соединения, отвечающие следующим структурам (II1) – (II9), приведенным в конце описания. Из прямых катионных красителей формулы (III), используемых в красящих композициях согласно изобретению, можно, в частности, назвать соединения, отвечающие следующим структурам (III1) – (III18), приведенным в конце описания. Из особых соединений вышеуказанных структур (III1) – (III18) в высшей степени предпочтительны соединения, отвечающие структурам (III4), (III5) и (III13). Из прямых катионных красителей формулы (III’), используемых в красящих композициях согласно изобретению, можно, в частности, назвать соединения, отвечающие следующим структурам (III’1) – (III’3): ![]() ![]() ![]() Из прямых катионных красителей формулы (IV), используемых в красящих композициях согласно изобретению, можно, в частности, назвать соединения структур (IV)1 – (IV)77, приведенных в конце описания. Прямой катионный краситель или прямые катионные красители, используемые согласно изобретению, составляют предпочтительно около 0,001-10 мас.% по отношению к общей массе красящей композиции и еще более предпочтительно около 0,005-5 мас.% по отношению к этой массе. (ii) Четвертичные аммониевые соли, используемые согласно настоящему изобретению, выбирают из группы, состоящей из: (ii)1 – солей следующей формулы (V): ![]() в которой радикалы R1-R4, одинаковые или разные, означают насыщенный или ненасыщенный, линейный или разветвленный углеводородный алифатический радикал, содержащий от 1 до примерно 30 атомов углерода, или алкоксил, алкоксикарбонилалкил, полиоксиалкиленовый радикал, алкиламидогруппу, алкиламидоалкил, гидроксиалкил, ароматический радикал, арил, алкиларил, которые содержат от 12 до примерно 30 атомов углерода, причем по крайней мере один радикал из R1, R2, R3, R4 означает радикал с 8-30 атомами углерода; Х– означает анион, выбираемый из группы, состоящей из галоген-, фосфат-, ацетат-, лактат-, алкилсульфат-анионов. Из этих четвертичных аммониевых солей можно назвать, например, (а) диалкилдиметиламмониевые соли или алкилтриметиламмониевые соли, в которых алкил содержит примерно 12-22 атомов углерода, такие, как дистеарилдиметиламмонийхлорид, цетилтриметиламмонийхлорид, бегенилтриметиламмонийхлорид; (б) ди [(C1-C2)-алкил]-(С12-С22)-алкилгидрокси-(C1-C2)-алкиламмониевые соли, такие, как олеоцетилгидроксиэтиламмонийхлорид, или (в) стеарамидопропилдиметил(миристилацетат)аммонийхлорид формулы: ![]() выпускаемый фирмой VAN DYK под маркой CERAPHYL 70; (ii)2 – имидазолиевых солей следующей формулы (VI): ![]() в которой R5 выбирают из алкенильных и/или алкильных радикалов с 13-31 атомами углерода, и производных жирных кислот жиров как продукт, выпускаемый фирмой REWO под маркой “REWOQUAT W 7500”; (ii)3 – четвертичных аммониевых солей следующей формулы (VII): ![]() в которой R6 означает алифатический радикал, содержащий примерно 16-30 атомов углерода; R7, R8, R9, R10 и R11 выбирают среди атома водорода или алкила с 1-4 атомами углерода; и X– означает анион, выбираемый из группы, состоящей из галоген-, ацетат-, фосфат- и сульфат-анионов. Такой четвертичной аммониевой солью является, в частности, дихлорид производного (жирный алкил) замещенного диаммоний пропана. Согласно настоящему изобретению, предпочтительными являются четвертичные аммониевые соли формулы (V), в которой R1-R4, одинаковые или разные, означают алкильные или гидроксиалкильные радикалы, содержащие примерно 12-22 атомов углерода, и, в частности, бегенилтриметиламмонийхлорид, цетилтриметиламмонийхлорид и олеоцетилдиметилгидроксиэтиламмонийхлорид. Четвертичная аммониевая соль или четвертичные аммониевые соли (ii), используемые согласно изобретению, составляют предпочтительно около 0,01-10 мас.% по отношению к общей массе красящей композиции и еще более предпочтительно около 0,05-5 мас.% по отношению к этой массе. Подходящая для окраски среда (или носитель) обычно образована водой или смесью воды по крайней мере с одним органическим растворителем для солюбилизации соединений, которые недостаточно растворимы в воде. В качестве органического растворителя можно назвать, например, низшие (C1-C4)-алканолы, такие, как этанол и изопропанол; ароматические спирты, такие, как бензиловый спирт, а также аналогичные вещества и их смеси. Растворители могут находиться в количествах, предпочтительно составляющих около 1-40 мас. % по отношению к общей массе красящей композиции и еще более предпочтительно около 5-30 мас.%. Величина рН красящей композиции согласно изобретению, как правило, составляет около 2-11 и предпочтительно около 5-10. Она может быть доведена до желаемого значения с помощью подкисляющих или подщелачивающих компонентов, обычно используемых при окраске кератиновых волокон. Из подкисляющих компонентов в качестве примера можно назвать неорганические или органические кислоты, такие как соляная кислота, ортофосфорная кислота, серная кислота, карбоновые кислоты, такие как уксусная кислота, винная кислота, лимонная кислота, молочная кислота, сульфокислоты. Из подщелачивающих компонентов в качестве примера можно назвать гидроксид амония, карбонаты щелочных металлов, алканоламины, такие, как моно-, ди- и триэтаноламины, а также их производные, гидроксиды натрия или калия и соединения следующей формулы (VIII): ![]() в которой W означает пропиленовый остаток, незамещенный или замещенный гидроксилом или (C1-C6)-алкилом; R12, R13, R14 и R15, одинаковые или разные, означают атом водорода, (C1-С6)-алкил или гидрокси-(C1-C6)-алкил. Красящая композиция согласно изобретению, кроме вышеуказанного прямого катионного красителя или вышеуказанных прямых катионных красителей (i), может содержать один или несколько дополнительных прямых красителей, которые могут быть выбраны, например, среди нитробензольных красителей, антрахиноновых красителей, нафтохиноновых красителей, триарилметановых красителей, ксантеновых красителей, некатионных азокрасителей. Когда красящая композиция согласно изобретению предназначена для окислительной окраски, она содержит, кроме прямого катионного красителя или прямых катионных красителей (i), одно или несколько окисляющихся оснований, выбираемых среди окисляющихся оснований, обычно используемых для окислительной окраски, и из которых можно, в частности, назвать п-фенилендиамины, бисфенилалкилендиамины, п-аминофенолы, о-аминофенолы и гетероциклические основания. Когда используют окисляющееся основание или окисляющиеся основания, то они составляют предпочтительно около 0,0005-12 мас.% по отношению к общей массе красящей композиции и еще более предпочтительно около 0,005-6 мас.% по отношению к этой массе. Когда красящая композиция согласно изобретению предназначена для окислительной окраски, она также может включать, кроме прямого катионного красителя (i) и четвертичной аммониевой соли (ii), а также окисляющихся оснований, один или несколько краскообразующих компонентов для модификации или обогащения отливами оттенков, получаемых при использовании прямого катионного красителя или прямых катионных красителей (i) и окисляющегося основания или окисляющихся оснований. Краскообразующие компоненты, используемые в красящей композиции согласно изобретению, могут быть выбраны среди краскообразующих компонентов, используемых обычно при окислительной окраске, и из которых можно, в частности, назвать м-фенилендиамины, м-аминофенолы, м-дифенолы и гетероциклические краскообразующие компоненты. Когда присутствует краскообразующий компонент или краскообразующие компоненты, они составляют предпочтительно около 0,0001-10 мас.% по отношению к общей массе красящей композиции и еще более предпочтительно около 0,005-5 мас.% по отношению к этой массе. Красящая композиция согласно изобретению также может включать различные добавки, обычно используемые в композициях для окраски волос, такие, как антиоксиданты, способствующие пенетрации компоненты, комплексообразователи, отдушки, буферы, диспергаторы, пленкообразующие компоненты, керамиды, консерванты, фильтрующие компоненты, матирующие компоненты. Разумеется, специалист должен выбирать это или эти возможные дополнительные соединения таким образом, чтобы не ухудшать, или существенно не ухудшать, за счет предусматриваемой добавки или предусматриваемых добавок выгодные свойства, присущие красящей композиции согласно изобретению. Красящая композиция согласно изобретению может находиться в различных формах, таких, как жидкости, шампуни, кремы, гели, или в любой другой форме, пригодной для осуществления окраски кератиновых волокон и, в частности, человеческих волос. Она может быть получена путем смешения в момент употребления композиции, в известных случаях порошкообразной, содержащей прямой катионный краситель или прямые катионные красители, с композицией, содержащей четвертичную аммониевую соль. Когда ассоциацию прямого катионного красителя (i) и четвертичной аммониевой соли (ii) согласно изобретению используют в композиции, предназначенной для окислительной окраски (тогда используют одно или несколько окисляющихся оснований, в случае необходимости, в присутствии одного или нескольких краскообразующих компонентов) или когда ее используют в композиции, предназначенной для прямой осветляющей окраски, тогда красящая композиция согласно изобретению дополнительно содержит по крайней мере один окислитель, выбираемый, например, среди пероксида водорода, пероксида мочевины, броматов щелочных металлов, персолей, таких, как пербораты и персульфаты, и ферментов, таких, как пероксидазы, лакказы и оксидоредуктазы с двумя электронами. Особенно предпочтительным является использование пероксида водорода или ферментов. Другим предметом изобретения является способ окраски кератиновых волокон и, в частности, кератиновых волокон человека, таких, как волосы, при котором используют красящую композицию, такую, как указанная выше. Согласно первому варианту этого способа окраски согласно изобретению на волокна наносят по крайней мере одну красящую композицию, такую, как указанная выше, на время, достаточное для проявления желаемой окраски, после чего волокна ополаскивают, в случае необходимости моют шампунем, снова ополаскивают и высушивают. Время, необходимое для проявления окраски на кератиновых волокнах, как правило, составляет от 3 до 60 мин и еще более точно от 5 до 40 мин. Согласно второму варианту этого способа окраски согласно изобретению на волокна наносят по крайней мере одну красящую композицию, такую, как указанная выше, на время, достаточное для проявления желаемой окраски, без заключительного ополаскивания. Согласно особому варианту осуществления этого способа окраски, и когда красящая композиция согласно изобретению содержит по крайней мере одно окисляющееся основание и по крайней мере один окислитель, способ окраски включает предварительный этап, заключающийся в раздельном хранении, с одной стороны, композиции (А1), содержащей, в подходящей для окраски среде, по крайней мере, один прямой катионный краситель (i), такой, как указанный выше, и, по крайней мере, одно окисляющееся основание, и, с другой стороны, композиции (Б1), включающей, в подходящей для окраски среде, по крайней мере, один окислитель, затем в осуществлении их смешения в момент употребления перед нанесением этой смеси на кератиновые волокна, причем композиция (А1) или композиция (Б1) содержит четвертичную аммониевую соль (ii), такую, как указанная выше. Согласно другому особому варианту осуществления этого способа окраски, и когда красящая композиция согласно изобретению содержит по крайней мере один окислитель, способ окраски включает предварительный этап, заключающийся в раздельном хранении, с одной стороны, композиции (А2), содержащей, в подходящей для окраски среде, по крайней мере один прямой катионный краситель (i), такой, как указанный выше, и, с другой стороны, композиции (Б2), включающей, в подходящей для окраски среде, по крайней мере один окислитель, затем в осуществлении их смешения в момент употребления перед нанесением этой смеси на кератиновые волокна, причем композиция (А2) или композиция (Б2) содержит четвертичную аммониевую соль, такую, как указанная выше. Следующим предметом изобретения является устройство с несколькими отделениями или “набор” для окраски или любая другая система упаковки с несколькими отделениями, первое отделение которого содержит композицию (А1) или (А2), такую, как указанная выше, и второе отделение содержит композицию (Б1) или (Б2), такую, как указанная выше. Эти устройства могут быть снабжены приспособлением, позволяющим наносить на волосы желаемую смесь, такие, как приспособления, описанные в патенте Франции 2586913 на имя заявителя. Следующие примеры предназначены для иллюстрации изобретения, не ограничивая никоим образом его объема охраны. Примеры Примеры 1-3 Приготовляют три композиции для прямой окраски, представленные в таблице (все содержания указаны в граммах). Каждую из вышеуказанных композиций наносят на 30 мин на пряди седых натуральных волос с 90% седины. Пряди волос затем ополаскивают, моют обычным шампунем, затем высушивают. Пряди окрашиваются в следующие оттенки: Примеры – Полученные оттенки 1 – Интенсивный красный 2 – Интенсивный оранжевый 3 – Интенсивный пурпурныйм Формула изобретения
а) соединения следующей формулы (1) ![]() в которой D означает атом азота или группу -СН; R1 и R2, одинаковые или разные, означают атом водорода; (С1-С4)-алкил, который может быть замещен радикалом -CN, -ОН или -NH2 или вместе с атомом углерода бензольного кольца образуют, в известных случаях кислород- или азотсодержащий, гетероцикл, который может быть замещен одним или несколькими (С1-С4)-алкильными радикалами; 4′-аминофенил; R3 и R’3, одинаковые или разные, означают атом водорода или галогена, выбираемый среды атомов хлора, брома, иода и фтора, цианогруппу, (С1-С4)-алкил, (С1-С4)-алкоксил или ацетоксигруппу; Х– означает анион, предпочтительно выбираемый из хлор-, метилсульфат- и ацетат-аниона; А означает группу, выбираемую среди следующих структур А1- А19: ![]() ![]() ![]() ![]() ![]() ![]() ![]() ![]() ![]() ![]() ![]() ![]() ![]() ![]() ![]() ![]() ![]() ![]() ![]() в которых R4 означает (С1-С4)-алкил, который может быть замещен гидроксилом, и R5 означает (С1-С4)-алкоксил, при условии, что когда D означает -СН, А означает А4 или А13 и R3 отличается от алкоксила, тогда R1 и R2 не означают одновременно атом водорода, б) соединения общей формулы (II) ![]() в которой R6 означает атом водорода или (С1-С4)-алкил; R7 означает атом водорода; алкил, который может быть замещен радикалом -CN или аминогруппой; 4′-аминофенил, или вместе с 6 образует, в известных случаях кислород- и/или азотсодержащий, гетероцикл, который может быть замещен (С1-С4)-алкилом; R8 и R9, одинаковые или разные, означают атом водорода; атом галогена, такой, как атом брома, хлора, иода или фтора, (С1-С4)-алкил или (С1-С4)-алкоксил, радикал -CN; Х– означает анион, предпочтительно выбираемый из хлор-, метилсульфат- и ацетат-аниона; В означает группу, выбираемую среди следующих структур В1-В6: ![]() ![]() ![]() ![]() ![]() ![]() в которых R10 означает (С1-С4)-алкил; R11 и R12, одинаковые или разные, означают атом водорода или (С1-С4)-алкил, в) соединения следующих формул (III) и (III’): ![]() ![]() в которых R13 означает атом водорода, (С1-С4)-алкоксил, атом галогена, такой, как атом брома, хлора, иода или фтора, или аминогруппу; R14 означает атом водорода, (С1-С4)-алкил или вместе с атомом углерода бензольного кольца образует гетероцикл, в известных случаях кислородсодержащий и/или замещенный одной или несколькими (С1-С4)-алкильными группами; R15 означает атом водорода или галогена, такой, как атом брома, хлора, иода или фтора; R16 и R17, одинаковые или разные, означают атом водорода или (С1-С4)-алкил; D1 и D2, одинаковые или разные, означают атом азота или группу -СН; m = 0 или 1, при условии, что когда R13 означает незамещенную аминогруппу, тогда D1 и D2 означают одновременно группу – СН и m = 0; Х– означает анион, предпочтительно выбираемый из хлор-, метилсульфат- и ацетат-аниона; Е означает группу, выбираемую среди следующих структур Е1-Е8: ![]() ![]() ![]() ![]() ![]() ![]() в которых R’ означает (С1-С4)-алкил, причем когда m = 0 и D1 означает атом азота, тогда Е также может означать группу структуры Е9 ![]() в которой R’ означает (С1-С4)-алкил, г) соединения формулы (IV) ![]() в которой символ G означает группу, выбираемую среди следующих структур G1-G3: ![]() ![]() ![]() в которых R18 означает (С1-С4)-алкил; фенил, который может быть замещен (С1-С4)-алкилом или атомом галогена, выбираемым среди атомов хлора, брома, иода и фтора; R19 означает (С1-С4)-алкил или фенил; R20 и R21, одинаковые или разные, означают (С1-С4)-алкил, фенил, или в G1 вместе образуют бензольное кольцо, замещенное одним или несколькими (С1-С4)-алкильными радикалами, (С1-С4)-алкоксильными радикалами или группой NO2, или в G2 вместе образуют бензольное кольцо, незамещенное или замещенное одним или несколькими (С1-С4)-алкильными радикалами, (С1-С4)-алкоксильными радикалами или группой NO2; R20 может означать, кроме того, атом водорода; Z означает атом кислорода, серы или группу -NR19; M означает группу -СН, -CR (где R означает (С1-С4)-алкил) или -NR22(X–)r; К означает группу -СН, -СR (где R означает (С1-С4)-алкил) или -NR22(X–)r; Р означает группу -СН, -СR (где R означает (С1-С4)-алкил) или -NR22(X–)r; r = 0 или 1; R22 означает атом О–, (С1-С4)-алкоксил или (С1-С4)-алкил; R23 и R24, одинаковые или разные, означают атом водорода или галогена, выбираемый среди атомов хлора, брома, иода и фтора, (С1-С4)-алкил, (С1-С4)-алкоксил, группу -NO2; Х– означает анион, предпочтительно выбираемый из хлор-, иод-, метилсульфат, этилсульфат-, ацетат- и перхлорат-аниона, при условии, что если R22 означает О-, тогда r означает нуль; если К или Р или М означают -N-(С1-С4)-алкил-Х–, тогда R23 или R24 отличается от атома водорода; если К означает -NR22(X–)r, тогда М=P=-CH, -CR; если М означает -NR22(X–)r, тогда К=P=-CH, -CR; если Р означает -NR22(X–)r, тогда К=M и означает – СН или -СR; если Z означает атом серы, а R21 означает (С1-С4)-алкил, тогда R20 отличается от атома водорода; если Z означает -NR19, где R19 означает (С1-С4)-алкил, тогда, по крайней мере, один из радикалов R18, R20 или R21 группы структуры G2 отличается от (С1-С4)-алкила; символ J означает (а) группу структуры J1 ![]() в которой R25 означает атом водорода, атом галогена, выбираемый среди атомов хлора, брома, иода и фтора, (С1-С4)-алкил, (С1-С4)-алкоксил, радикал -ОН, -NO2, -NHR28, -NR29R30, -NHCO- (С1-С4)-алкил или вместе с R26 образует 5- или 6-членный цикл, не содержащий или содержащий один или несколько гетероатомов, выбираемых среди атомов азота, кислорода или серы; R26 означает атом водорода, атом галогена, выбираемый среди атомов хлора, брома, иода и фтора, (С1-С4)-алкил, (С1-С4)-алкоксил, или вместе с R27 и R28 образует 5- или 6-членный цикл, не содержащий или содержащий один или несколько гетероатомов, выбираемых среди атомов азота, кислорода или серы; R27 означает атом водорода, группу – ОН, радикал -NHR28, радикал -NR29R30; R28 означает атом водорода, (С1-С4)-алкил, моногидрокси-(С1-С4)-алкил, полигидрокси-(С2-С4)-алкил, фенил; R29 и R30, одинаковые или разные, означают (С1-С4)-алкил, моногидрокси-(С1-С4)-алкил, полигидрокси-(С2-С4)-алкил; -(б) 5- или 6-членную азотсодержащую гетероциклическую группу, которая может включать другие гетероатомы и/или карбонилсодержащие группы и может быть замещена одним или несколькими (С1-С4)-алкильными, амино- или фенильными радикалами, и, в частности, группу следующей структуры J2 ![]() в которой R31 и R32, одинаковые или разные, означают атом водорода, (С1-С4)-алкил, фенил; Y означает радикал – СО- или радикал ![]() n = 0 или 1, причем когда n означает 1, U означает радикал -СО-, причем вышеуказанная композиция отличается тем, что она содержит, кроме того, (ii) по крайней мере одну четвертичную аммониевую соль, выбираемую из группы, состоящей из (ii)1 – солей формулы (V) ![]() в которой радикалы R1-R4, одинаковые или разные, означают насыщенный или ненасыщенный, линейный или разветвленный углеводородный алифатический радикал, содержащий от 1 до примерно 30 атомов углерода, или алкоксил, алкоксикарбонилалкил, полиоксиалкиленовый радикал, алкиламидогруппу, алкиламидоалкил, гидроксиалкил, ароматический радикал, арил, алкиларил, которые содержат от 12 до примерно 30 атомов углерода, причем по крайней мере один радикал из R1, R2, R3, R4 означает радикал с 8-30 атомами углерода; Х– означает анион, выбираемый из группы, состоящей из галоген-, фосфат -, ацетат-, лактат-, алкилсульфат-анионов, (ii)2 – имидазолиевых солей формулы (VI) ![]() в которой R5 выбирают из алкенильных и/или алкильных радикалов с 13-31 атомами углерода и производных жирных кислот жиров, (ii)3 – четвертичных аммониевых солей следующей формулы (VII) ![]() в которой R6 означает алифатический радикал, содержащий 16-30 атомов углерода; R7, R8, R9, R10 и R11 выбирают среди атома водорода или алкила с 1-4 атомами углерода; Х означает анион, выбираемый из группы, состоящей из галоген-, ацетат-, фосфат – и сульфат-анионов. 2. Композиция по п.1, отличающаяся тем, что прямые катионные красители формулы (1) выбирают из соединений, отвечающих следующим структурам (I1)-(I54) (см. графическую часть). 3. Композиция по п.2, отличающаяся тем, что прямые катионные красители отвечают структурам (I1), (I2), (I14) и (I31). 4. Композиция по п.1, отличающаяся тем, что прямые катионные красители формулы (II) выбирают из соединений, отвечающих следующим структурам (II1) и (II9) (см. графическую часть). 5. Композиция по п.1, отличающаяся тем, что прямые катионные красители формулы (III) выбирают из соединений, отвечающих следующим структурами (III1)-(III18) (см. графическую часть). 6. Композиция по п.5, отличающаяся тем, что прямые катионные красители формулы (III) выбирают из соединений, отвечающих структурам (III4), (III5) и (III13). 7. Композиция по п.1, отличающаяся тем, что прямые катионные красители формулы (III’) выбирают из соединений, отвечающих следующим структурам (III’1)-(III 3) (см. графическую часть). 8. Композиция по п.1, отличающаяся тем, что прямые катионные красители формулы (IV) выбирают из соединений, отвечающих следующим структурам (IV)1-(IV)77 (см. графическую часть). 9. Композиция по п.1, отличающаяся тем, что прямой катионный краситель или прямые катионные красители формулы (I), (II), (III), (III’) или (IV) составляют 0,001-10 мас.% по отношению к общей массе композиции. 10. Композиция по п.9, отличающаяся тем, что прямой катионный краситель или прямые катионные красители формулы (I), (II), (III), (III’) или (IV) составляют 0,005-5 мас.% по отношению к общей массе композиции. 11. Композиция по п. 1, отличающаяся тем, что четвертичной аммониевой солью (ii) формулы (V) является диалкилдиметиламмониевая соль или алкилтриметиламмониевая соль, в которых алкил содержит 12-22 атомов углерода. 12. Композиция по п.11, отличающаяся тем, что четвертичной аммониевой солью является дистеарилдиметиламмонийхлорид, цетилтриметиламмонийхлорид, бегенилтриметиламмонийхлорид. 13. Композиция по п.1, отличающаяся тем, что четвертичной аммониевой солью(ii)формулы(V)являетсяди[(C1-C2)-алкил]-(С12-С22)-алкилгидрокси-(С1-С2)-алкиламмониевая соль. 14. Композиция по п.13, отличающаяся тем, что четвертичной аммониевой солью является олеоцетилгидроксиэтиламмоний хлорид. 15. Композиция по п. 1, отличающаяся тем, что четвертичной аммониевой солью (ii) формулы (V) является стеарамидопропилдиметил(миристилацетат) аммонийхлорид формулы ![]() 16. Композиция по п. 1, отличающаяся тем, что четвертичная аммониевая соль или четвертичные аммониевые соли (ii) составляют 0,01-10 мас.% по отношению к общей массе красящей композиции. 17. Композиция по п.16, отличающаяся тем, что четвертичная аммониевая соль или четвертичные аммониевые соли (ii) составляют 0,05-5 мас.% по отношению к общей массе красящей композиции. 18. Композиция по п.1, отличающаяся тем, что подходящая для окраски среда (или носитель) образована водой или смесью воды, по крайней мере, с одним органическим растворителем. 19. Композиция по п.1, отличающаяся тем, что она имеет рН от 2 до 11 и предпочтительно 5-10. 20. Композиция по п. 1, отличающаяся тем, что она предназначена для окислительной окраски и дополнительно содержит одно или несколько окисляющихся оснований, выбираемых из п-фенилендиаминов, бисфенилалкилендиаминов, п-аминофенолов, о-аминофенолов и гетероциклических оснований. 21. Композиция по п.20, отличающаяся тем, что окисляющееся основание или окисляющиеся основания составляют 0,0005-12 мас.% по отношению к общей массе красящей композиции. 22. Композиция по п.21, отличающаяся тем, что окисляющееся основание или окисляющиеся основания составляют 0,005-6 мас.% по отношению к общей массе красящей композиции. 23. Композиция по любому из пп.20-22, отличающаяся тем, что она дополнительно содержит один или несколько краскообразующих компонентов, выбираемых из м-фенилендиаминов, м-аминофенолов, м-дифенолов и гетероциклических краскообразующих компонентов. 24. Композиция по п.23, отличающаяся тем, что краскообразующий компонент или краскообразующие компоненты составляют 0,0001-10 мас.% по отношению к общей массе красящей композиции. 25. Композиция по п.24, отличающаяся тем, что краскообразующий компонент или краскообразующие компоненты составляют 0,005-5 мас.% по отношению к общей массе красящей композиции. 26. Композиция по п. 1, отличающаяся тем, что она предназначена для прямой осветляющей окраски или окислительной окраски и дополнительно содержит, по крайней мере, один окислитель. 27. Способ окраски кератиновых волокон, в частности, волос, отличающийся тем, что на волокна наносят, по крайней мере, одну красящую композицию, по п. 1, на время, достаточное для проявления желаемой окраски, после чего волокна ополаскивают, в случае необходимости моют шампунем, снова ополаскивают и высушивают. 28. Способ окраски кератиновых волокон, в частности, волос, отличающийся тем, что на волокна наносят, по крайней мере, одну красящую композицию, по п. 1, на время, достаточное для проявления желаемой окраски, без заключительного ополаскивания. 29. Способ окраски кератиновых волокон, в частности, волос, отличающийся тем, что композицию (А1), содержащую, в подходящей для окраски среде, по крайней мере, один прямой катионный краситель (i), такой, как указанный в предыдущих пунктах, и, по крайней мере, одно окисляющееся основание, смешивают с композицией (Б1), включающей, в подходящей для окраски среде, по крайней мере, один окислитель, перед нанесением на кератиновые волокна, причем композиция (А1) или композиция (Б1) содержит четвертичную аммониевую соль (ii), такую, как указанная в предыдущих пунктах. 30. Способ окраски кератиновых волокон, в частности, волос, отличающийся тем, что композицию (А2), содержащую, в подходящей для окраски среде, по крайней мере, один прямой катионный краситель (i), такой, как указанный в предыдущих пунктах, смешивают с композицией (Б2), включающей, в подходящей для окраски среде, по крайней мере, один окислитель, перед нанесением на кератиновые волокна, причем композиция (А2) или композиция (Б2) содержит четвертичную аммониевую соль (ii), такую, как указанная в предыдущих пунктах. 31. Набор для окраски кератиновых волокон, в частности волос, отличающийся тем, что содержит отделение под композицию (А1) или (А2), по п.29 или 30, и отделение под композицию (Б1) или (Б), по п.29 или 30. РИСУНКИ
MM4A – Досрочное прекращение действия патента СССР или патента Российской Федерации на изобретение из-за неуплаты в установленный срок пошлины за поддержание патента в силе
Дата прекращения действия патента: 29.07.2008
Извещение опубликовано: 20.07.2010 БИ: 20/2010
|
||||||||||||||||||||||||||











































;





















































