Патент на изобретение №2197948
|
||||||||||||||||||||||||||
(54) ПРИМЕНЕНИЕ КАТИОННЫХ ФЕНИЛАЗОБЕНЗОЛЬНЫХ СОЕДИНЕНИЙ ДЛЯ ОКРАСКИ КЕРАТИНОВЫХ ВОЛОКОН, КРАСЯЩИЕ КОМПОЗИЦИИ И СПОСОБЫ ОКРАСКИ
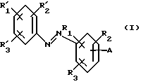
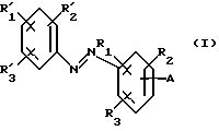
(57) Реферат: Предметом изобретения является композиция для окраски кератиновых материалов, в частности кератиновых волокон человека, в частности волос, содержащая фенилазобензольные соединения, включающие по крайней мере одну катионную группу Z, причем Z выбирают из кватернизованных алифатических цепей, алифатических цепей, включающих по крайней мере один кватернизованный насыщенный цикл, и алифатических цепей, включающих по крайней мере один кватернизованный ненасыщенный цикл, в качестве прямых красителей, а также способы прямой окраски. Технический результат: красящая композиция приводит к интенсивным и разнообразным окраскам и обладает превосходной устойчивостью к различным обработкам, которым могут подвергаться кератиновые волокна. 3 с. и 8 з.п. ф-лы, 2 табл. Предметом изобретения является применение фенилазобензольных соединений, включающих по крайней мере одну катионную группу Z, причем Z выбирают из кватернизованных алифатических цепей, алифатических цепей, включающих по крайней мере один кватернизованный насыщенный цикл, и алифатических цепей, включающих по крайней мере один кватернизованный ненасыщенный цикл, в качестве прямых красителей в композициях, предназначенных для окраски кератиновых материалов и, в частности, в композициях, предназначенных для окраски кератиновых волокон человека и особенно волос, содержащие эти соединения красящие композиции и соответствующий способ прямой окраски. В области окраски волос стремятся к нахождению прямых красителей, то есть красителей, которые без введения окислителя способны сами по себе временно модифицировать естественный оттенок волос. При этом применении красители должны удовлетворять некоторому числу критериев и, в частности, давать воспроизводимые окраски с богатыми и разнообразными оттенками, позволяющими получать широкую палитру цветов, способную удовлетворять составителя рецептуры, причем эти окраски, кроме того, должны быть интенсивными и устойчивыми к мытью, трению, свету и потению. Итак, в настоящее время совершенно неожиданным и удивительным образом заявитель обнаружил, что фенилазобензольные соединения нижеприведенной формулы (I), включающие по крайней мере одну катионную группу Z, причем Z выбирают из кватернизованных алифатических цепей, алифатических цепей, включающих по крайней мере один кватернизованный насыщенный цикл, и алифатических цепей, включающих по крайней мере один кватернизованный ненасыщенный цикл, пригодны для применения в качестве прямого красителя для прямой окраски, но, кроме того, они позволяют получать красящие композиции, приводящие к интенсивным и разнообразным окраскам, обладающим превосходной устойчивостью к различным обработкам, которым могут подвергаться кератиновые волокна. Наконец, эти соединения обладают лучшей растворимостью в средах, обычно используемых для окраски кератиновых волокон, и оказываются легко синтезируемыми. Эти открытия составляют основу настоящего изобретения. Следовательно, первым предметом изобретения является применение в качестве прямых красителей в красящих композициях или для получения красящих композиций для кератиновых материалов, и в частности кератиновых волокон человека, таких, как волосы, фенилазобензольных соединений следующей формулы (I): ![]() в которой R1, R2, R3, R’1 R’2 и R’3, которые могут быть одинаковыми или разными, означают атом водорода; атом галогена; нижеуказанную группу Z; (C1-С6)-алкилкарбонил; амино-(C1-С6)-алкилкарбонил; N-Z-амино-(C1-С6)-алкилкарбонил; N-(C1-С6)-алкиламино-(C1-С6)-алкилкарбонил; N,N-ди[(C1-С6)-алкил] амино-(C1-С6)-алкилкарбонил; амино-(C1-С6)-алкилкарбонил-(C1-С6)-алкил; N-Z-амино-(C1-С6)-алкилкарбонил-(C1-С6)-алкил; N-(C1-С6)-алкиламино-(C1-С6)-алкилкарбонил-(C1-С6)-алкил; N,N-ди [(C1-С6)-алкил] -амино-(C1-С6)-алкилкарбонил(C1-С6)-алкил; карбоксил; (C1-С6)-алкилкарбоксил; (C1-С6)-алкилсульфонил; аминосульфонил; N-Z-аминосульфонил; N-(C1-С6)-алкиламиносульфонил; N,N-ди[(C1-С6)-алкил]-аминосульфонил; аминосульфонил-(C1-С6)-алкил; N-Z-аминосульфонил-(C1-С6)-алкил; N-(C1-С6)-алкиламиносульфонил-(C1-С6)-алкил; N, N-ди[(C1-С6)-алкил] -аминосульфонил-(C1-С6)-алкил; карбамил; N-(C1-С6)-алкилкарбамил; N,N-ди[(C1-С6)-алкил] -карбамил; карбамил-(C1-С6)-алкил; N-(C1-С6)-алкилкарбамил-(C1-С6)-алкил; N, N-ди[(C1-С6)-алкил]карбамил(C1-С6)-алкил; (C1-С6)-алкил; моногидрокси (C1-С6)-алкил; полигидрокси(C2-С6)-алкил; (C1-С6)-алкокси-(C1-С6)-алкил; трифтор-(C1-С6)-алкил; цианогруппу; нитрогруппу; нижеуказанную аминогруппу NR4R5; нижеуказанную группу OR6 или SR6 или амино-(C1-С6)-алкил, алкильная часть которого может быть незамещена или замещена одним или несколькими гидроксильными радикалами и аминная часть которого замещена одним или двумя одинаковыми или разными радикалами, выбираемыми из группы, состоящей из (C1-С6)-алкила, моногидрокси-(C1-С6)-алкила, полигидрокси (C2-С6)-алкила, (C1-С6)-алкилкарбонила, карбамила, N-(C1-С6)-алкилкарбамила или N,N-ди[(C1-С6)-алкилкарбамила, (C1-С6)-алкилсульфонила, формила, трифтор-(C1-С6)-алкилкарбонила, (C1-С6)-алкилкарбоксила, тиокарбамила, или нижеуказанной группой Z; А означает нижеуказанную группу NR4R5 или группу OR6; R4 и R5, одинаковые или разные, означают атом водорода; нижеуказанную группу Z; (C1-С6)-алкил; моногидрокси-(C1-С6)-алкил; полигидрокси-(C2-С6)-алкил; (C1-С6)-алкокси-(C1-С6)-алкил; арил; бензил; циано-(C1-С6)-алкил; карбамил-(C1-С6)-алкил; N-(C1-С6)-алкилкарбамил-(C1-С6)-алкил; N, N-ди[(C1-С6)-алкил] карбамил(C1-С6)-алкил; тиокарбамил-(C1-С6)-алкил; трифтор-(C1-С6)-алкил; сульфо-(C1-С6)-алкил; (C1-С6)-алкилкарбокси-(C1-С6)-алкил; (C1-С6)-алкилсульфинил-(C1-С6)-алкил; аминосульфонил-(C1-С6)-алкил; N-Z-аминосульфонил-(C1-С6)-алкил; N-(C1-С6)-алкиламиносульфонил-(C1-С6)-алкил; N,N-ди[(C1-С6)-алкил]аминосульфонил-(C1-С6)-алкил; (C1-С6)-алкилкарбонил-(C1-С6)-алкил; амино-(C1-С6)-алкил; амино-(C1-С6)-алкил, алкильная часть которого может быть незамещена или замещена одним или несколькими гидроксильными радикалами и аминная часть которого замещена одним или двумя одинаковыми или разными радикалами, выбираемыми из группы, состоящей из (C1-С6)-алкила, моногидрокси-(C1-С6)-алкила, полигидрокси-(C2-С6)-алкила, (C1-С6)-алкилкарбонила, карбамила, N-(C1-С6)-алкилкарбамила или N, N-ди[(C1-С6)-алкил] карбамила, (C1-С6)-алкил сульфонила, формила, трифтор-(C1-С6)-алкилкарбонила, (C1-С6)-алкилкарбоксила, тиокарбамила, или нижеуказанной группой Z; или вместе с атомом азота, с которым они связаны, могут образовывать углеродный или содержащий один или несколько гетероатомов пяти- или шестичленный цикл; R6 означает атом водорода; (C1-С6)-алкил; моногидрокси-(C1-С6)-алкил; полигидрокси-(C2-С6)-алкил; группу Z; (C1-С6)-алкокси-(C1-С6)-алкил; арил; бензил; карбокси-(C1-С6)-алкил; (C1-С6)-алкилкарбокси-(C1-С6)-алкил; циано-(C1-С6)-алкил; карбамил-(C1-С6)-алкил; N-(C1-С6)-алкилкарбамил-(C1-С6)-алкил; N, N-ди[(C1-С6)-алкил] карбамил(C1-С6)-алкил; трифтор-(C1-С6)-алкил; аминосульфонил(C1-С6)-алкил; N-Z-аминосульфонил(C1-С6)-алкил; N-(C1-С6)-алкиламиносульфонил-(C1-С6)-алкил; N,N-ди[(C1-С6)-алкил]аминосульфонил-(C1-С6)-алкил; (C1-С6)-алкилсульфинил-(C1-С6)-алкил; (C1-С6)-алкилсульфонил-(C1-С6)-алкил; (C1-С6)-алкилкарбонил-(C1-С6)-алкил; амино-(C1-С6)-алкил, алкильная часть которого незамещена или замещена одним или несколькими гидроксильными радикалами; амино-(C1-С6)–алкил, алкильная часть которого незамещена или замещена одним или несколькими гидроксильными радикалами и аминная часть которого замещена одним или двумя одинаковыми или разными радикалами, выбираемыми из группы, состоящей из (C1-С6)-алкила, моногидрокси-(C1-С6)-алкила, полигидрокси-(C2-С6)-алкила, (C1-С6)-алкилкарбонила, формила, трифтор-(C1-С6)-алкилкарбонила; (C1-С6)-алкилкарбоксила; карбамила, N-(C1-С6)-алкилкарбамила, N, N-ди[(C1-С6)-алкил] карбамила, тиокарбамила, (C1-С6)-алкилсульфонила или нижеуказанных групп Z; или вместе с атомом азота, с которым он связан, может образовывать углеродный или содержащий один или несколько гетероатомов пяти- или шестичленный цикл; Z выбирают из катионных ненасыщенных групп следующих формул (II) и (III) и катионных насыщенных групп следующей формулы (IV): ![]() ![]() ![]() в которых D означает связывающий фрагмент, который представляет собой линейную или разветвленную алкильную цепь предпочтительно с 1-14 атомами углерода, которая может быть прервана одним или несколькими гетероатомами, такими как атомы кислорода, серы или азота, может быть замещена одним или несколькими гидроксильными или (C1-С6)-алкоксильными радикалами и может содержать одну или несколько кетонных функций; вершины Е, G, J, L и М, одинаковые или разные, означают атом углерода, кислорода, серы или азота; n означает целое число от 0 до 4 включительно; m означает целое число от 0 до 5 включительно; радикалы R, одинаковые или разные, означают вторую группу Z, идентичную или отличающуюся от первой группы Z, атом галогена, гидроксил, (C1-С6)-алкил, моногидрокси-(C1-С6)-алкил, полигидрокси-(C2-С6)-алкил, нитрогруппу, цианогруппу, циано-(C1-С6)-алкил, (C1-С6)-алкоксил, три [(C1-С6)-алкил] силан-(C1-С6)-алкил, амидогруппу, альдегидную группу, карбоксил, (C1-С6)-алкилкарбонил, тиогруппу, тио-(C1-С6)-алкил, (C1-С6)-алкилтиогруппу, аминогруппу; аминогруппу, защищенную (C1-С6)-алкилкарбонилом, карбамилом или (C1-С6)-алкилсульфонилом; группу NHR” или NR’R”’, в которых R” и R”’, одинаковые или разные, означают (C1-С6)-алкил, моногидрокси-(C1-С6)-алкил или полигидрокси-(C2-С6)-алкил; R7 означает (C1-С6)-алкил, моногидрокси-(C1-С6)-алкил, полигидрокси-(C2-С6)-алкил, циано-(C1-С6)-алкил, три[(C1-С6)-алкил]силан(C1-С6)-алкил, (C1-С6)-алкокси-(C1-С6)-алкил, карбамил-(C1-С6)-алкил, (C1-С6)-алкилкарбокси-(C1-С6)-алкил, бензил, вторую группу Z, идентичную или отличающуюся от первой группы Z; R8, R9 и R10, одинаковые или разные, означают (C1-С6)-алкил, моногидрокси-(C1-С6)-алкил, полигидрокси-(C2-С6)-алкил, (C1-С6)-алкокси-(C1-С6)-алкил, циано-(C1-С6)-алкил, арил, бензил, амидо-(C1-С6)-алкил, три[(C1-С6)-алкил] силан-(C1-С6)-алкил или амино-(C1-С6)-алкил, аминная часть которого защищена (C1-С6)-алкилкарбонилом, карбамилом или (C1-С6)-алкилсульфонилом; два из радикалов R8, R9 и R10 вместе с атомом азота, с которым они связаны, также могут образовывать углеродный или содержащий один или несколько гетероатомов пяти- или шестичленный цикл, такой как, например, пирролидиновый цикл, пиперидиновый цикл, пиперазиновый цикл или морфолиновый цикл, причем вышеуказанный цикл может быть незамещен или замещен атомом галогена, гидроксилом, (C1-С6)-алкилом, моногидрокси-(C1-С6)-алкилом, полигидрокси-(C2-С6)-алкилом, нитрогруппой, цианогруппой, циано-(C1-С6)-алкилом, (C1-С6)-алкоксилом, три[(C1-С6)-алкил] силан(C1-С6)-алкилом, амидогруппой, альдегидной группой, карбоксилом, кето-(C1-С6)-алкилом, тиогруппой, тио(C1-С6)-алкилом, (C1-С6)-алкилтиогруппой, аминогруппой; аминогруппой, защищенной (C1-С6)-алкилкарбонилом, карбамилом или (C1-С6)-алкилсульфонилом; один из радикалов R8, R9 и R10 также может представлятьсобой вторую группу Z, идентичную или отличающуюся от первой группы Z; R11 означает (C1-С6)-алкил; моногидрокси-(C1-С6)-алкил; полигидрокси-(C2-С6)-алкил; арил; бензил; амино-(C1-С6)-алкил; амино-(C1-С6)-алкил, аминная часть которого защищена (C1-С6)-алкилкарбонилом, карбамилом или (C1-С6)-алкилсульфонилом; карбокси-(C1-С6)-алкил; циано-(C1-С6)-алкил; карбамил-(C1-С6)-алкил; трифтор-(C1-С6)-алкил; три[(C1-С6)-алкил] силан(C1-С6)-алкил; сульфонамидо(C1-С6)-алкил; (C1-С6)-алкилкарбокси-(C1-С6)-алкил; (C1-С6)-алкилсульфинил-(C1-С6)-алкил; (C1-С6)-алкилсульфонил-(C1-С6)-алкил; (C1-С6)-алкилкето-(C1-С6)-алкил; N-(C1-С6)-алкилкарбамил-(C1-С6)-алкил; N-(C1-С6)-алкилсульфонамидо-(C1-С6)-алкил; x и y означают целые числа, равные 0 или 1, при следующих условиях: в катионных ненасыщенных группах формулы (II): – когда x=0, свзывающий фрагмент D соединен с атомом азота; – когда x=1, связывающий фрагмент D соединен с одной из вершин Е, G, J или L; y может принимать значение 1 только: 1) когда вершины Е, G, J и L означают одновременно атом углерода и радикал R7 находится у атома азота ненасыщенного цикла; или же 2) когда по крайней мере одна из вершин Е, G, J и L означает атом азота, на котором фиксирован радикал R7; в катионных ненасыщенных группах формулы (III): – когда x=0, связывающий фрагмент D соединен с атомом азота; – когда x=1, связывающий фрагмент D соединен с одной из вершин Е, G, J, L или М; – y может принимать значение 1 только когда по крайней мере одна из вершин Е, G, J, L и М означает двухвалентный атом и радикал R7 находится у атома азота ненасыщенного цикла; в катионных группах формулы (IV): – когда x=0, тогда связывающий фрагмент соединен с атомом азота, несущим радикалы R8-R10; – когда x=1, тогда два из радикалов R8-R10 вместе с атомом азота, с которым они связаны, образуют насыщенный пяти- или шестичленный цикл, такой, как указанный выше, и связывающий фрагмент D соединен с атомом углерода вышеуказанного насыщенного цикла; X– означает одновалентный или двухвалентный анион, предпочтительно выбираемый из группы, состоящей из атома галогена, такого как хлор, бром, фтор или иод, гидроксида, гидросульфата, или (C1-С6)-алкилсульфата, такого как, например, метилсульфат или этилсульфат; При условии, что: – число катионных групп Z формулы (II) или (III) по крайней мере равно 1; и когда один и только один из радикалов R4 или R5 или R6 означает группу Z, в которой связывающий фрагмент D представляет собой содержащую кетонную функцию алкильную цепь, тогда вышеуказанная кетонная функция не связана непосредственно с атомом азота группы NR4R5 или атомом кислорода группы OR6; и их солей присоединения с кислотой. В вышеприведенных формулах (I), (II), (III) и (IV) алкильные и алкоксильные радикалы могут быть линейными или разветвленными. Соединения формулы (I) в случае необходимости могут быть превращены в соли с помощью сильных неорганических кислот, таких как НС1, HBr, H2SO4, или органических кислот, таких как уксусная кислота, винная кислота, молочная кислота, лимонная кислота или янтарная кислота. Из циклов ненасыщенных групп Z вышеприведенной формулы (II) в качестве примера можно назвать, в частности, пиррольный, имидазольный, пиразольный, оксазольный, тиазольный и триазольный циклы. Из циклов ненасыщенных групп Z вышеприведенной формулы (III) в качестве примера можно назвать, в частности, пиридиновый, пиримидиновый, пиразиновый, оксазиновый и триазиновый циклы. Из соединений вышеприведенной формулы (I) можно, в частности, назвать следующие соединения: – моногидрат бис[2-(3-метил-3Н-имидазол-1-ий)этил] -[4-(4-нитрофенилазо)фенил]-аминдихлорид; – бис[2-(3-метил-3Н-имидазол-1-ий)этил] -[4-(4-амино–фенилазо)фенил]-аминдихлорид. Соединения формулы (I) согласно изобретению могут быть легко получены хорошо известными из уровня техники способами для получения кватернизованных аминов, как, например: – в одну стадию путем реакции конденсации фенилазобензольного соединения, включающего галогеналкильный радикал, с содержащим радикал третичного амина соединением или путем реакции конденсации фенилазобензольного соединения, включающего радикал третичного амина с содержащим галогеналкильный радикал соединением; – или в две стадии путем реакции конденсации фенилазобензольного соединения, включающего галогеналкильный радикал, с содержащим функцию вторичного амина соединением или путем реакции конденсации галогенсодержащего фенилазобензольного соединения с амино(дизамещенный)алкиламином с последующей кватернизацией с помощью алкилирующего агента. Стадия кватернизации обычно ради удобства представляет собой последнюю стадию синтеза, но может осуществляться раньше, после реакций, приводящих к получению соединений формулы (I). Предметом изобретения также является композиция для окраски кератиновых материалов, отличающаяся тем, что она включает в соответствующей для окраски среде эффективное количество по крайней мере одного соединения формулы (I) согласно изобретению. Предметом изобретения также является композиция для прямой окраски кератиновых волокон человека, таких как волосы, отличающаяся тем, что она включает в соответствующей для окраски среде эффективное количество по крайней мере одного соединения формулы (I) согласно изобретению. Катионное фенилазобензольное соединение или катионные фенилазобензольные соединения формулы (I) согласно изобретению и/или их соли присоединения с кислотой составляют предпочтительно примерно 0,005-12 мас.% по отношению к общей массе красящей композиции и еще более предпочтительно примерно 0,05-6 мас.% по отношению к этой массе. Соединения формулы (I) согласно изобретению также можно использовать в хорошо известных способах окислительной окраски, в которых применяют окислительные красители (предшественники окислительных красителей и в случае необходимости, краскообразующие компоненты) для придания оттенков или обогащения отливами окрасок, получаемых с помощью окислительных красителей. Красящая композиция согласно изобретению может также содержать для расширения палитры оттенков и получения различных окрасок, кроме катионных фенилазобензольных соединений формулы (I) другие обычно используемые прямые красители и, в частности, нитробензольные красители, такие как нитрофенилендиамины, нитродифениламины, нитроанилины, простые эфиры нитрофенолов или нитрофенолы, нитропиридины, антрахиноновые красители, моно- или диазокрасители; триарилметановые, азиновые, акридиновые и ксантеновые красители, или металлсодержащие красители. Доля всех этих других дополнительных прямых красителей может составлять примерно 0,5-10 мас.% по отношению к общей массе красящей композиции. Соответствующая для окраски среда (или носитель) обычно образована водой или смесью воды по крайней мере с одним органическим растворителем для солюбилизации соединений, которые недостаточно растворимы в воде. В качестве органического растворителя можно назвать, например, низшие алканолы с 1-4 атомами углерода, такие как этанол и изопропанол; глицерин; гликоли и простые эфиры гликолей, такие как 2-бутоксиэтанол, пропиленгликоль, простой монометиловый эфир пропиленгликоля; а также ароматические спирты, такие как бензиловый спирт или феноксиэтанол, аналогичные продукты и их смеси. Растворители могут присутствовать в количествах, предпочтительно составляющих примерно 1-40 мас.%, по отношению к общей массе красящей композиции, или еще более предпочтительно примерно 5-30 мас.%. В композицию согласно изобретению также можно добавлять жирные амиды, такие как моно- и диэтаноламиды кислот, получаемых из копры лауриновой кислоты или олеиновой кислоты, в концентрациях, составляющих примерно 0,05-10 мас.%. В композицию согласно изобретению можно также добавлять хорошо известные в уровне техники поверхностно-активные вещества анионного, катионного, неионного, амфотерного, цвиттерионного типа и их смеси, предпочтительно в количестве, составляющем примерно 0,1-50 мас.% и преимущественно примерно 1-20 мас.% по отношению к общей массе композиции. Можно также использовать загустители в количестве примерно 0,2-5%. Вышеуказанная красящая композиция может содержать, кроме того, различные обычные добавки, такие как антиоксиданты, отдушки, комплексообразователи, диспергаторы, компоненты с кондиционирующим действием на волосы, консерванты, леатирующие компоненты, а также любую другую добавку, обычно используемую при окраске кератиновых материалов. Разумеется, специалист должен выбирать возможное или возможные дополнительные вышеуказанные соединения таким образом, чтобы не ухудшать или существенно не ухудшать за счет предусматриваемой добавки или предусматриваемых добавок предпочтительных свойств, присущих красящей композиции согласно изобретению. Значение рН красящей композиции согласно изобретению обычно составляет примерно 3-12 и предпочтительно примерно 5-11. Его можно доводить до желаемой величины с помощью подкисляющих или подщелачивающих компонентов, обычно используемых при окраске кератиновых волокон. Из подкисляющих компонентов в качестве примера можно назвать неорганические или органические кислоты, такие как соляная кислота, ортофосфорная кислота, серная кислота, карбоновые кислоты, такие как уксусная кислота, винная кислота, лимонная кислота, молочная кислота, сульфокислоты. Из подщелачивающих компонентов в качестве примера можно назвать гидроксид аммония, карбонаты щелочных металлов, алканоламины, такие как моно-, ди- и триэтаноламины, а также их производные, гидроксиды натрия или калия и соединения следующей формулы (V): ![]() в которой W означает пропиленовый остаток, незамещенный или замещенный гидроксилом или (C1-С6)-алкилом; R12, R11, R14 и R15, одинаковые или разные, означают атом водорода, (C1-C6) -алкил или гидрокси-(C1-С6)-алкил. Красящая композиция согласно изобретению может находиться в различных формах, таких как жидкости, кремы, гели, или в любой другой форме, подходящей для осуществления окраски кератиновых материалов, в частности человеческих волос. В частности, она может быть упакована под давлением в аэрозольный флакон упаковки в присутствии пропеллента и образовывать пену. Следующим предметом изобретения является способ окраски кератиновых волокон и, в частности, кератиновых волокон человека, таких как волосы, путем прямого окрашивания, состоящей в воздействии композиции, включающей по крайней мере одно катионное фенилазобензольное соединение формулы (I), на сухие или влажные кератиновые волокна. Композицию согласно изобретению можно использовать в качестве композиции без ополаскивания, то есть после нанесения композиции на волокна осуществляют высушивание без промежуточного ополаскивания. В случае других вариантов применения после нанесения композиции на волокна в течение времени выдержки, составляющего примерно от 3 до 60 минут, предпочтительно примерно от 5 до 45 минут, волокна ополаскивают, в случае необходимости моют, затем снова ополаскивают и высушивают. Ниже приводятся иллюстрирующие изобретение конкретные примеры, не ограничивающие объема охраны изобретения. Примеры получения Пример 1 Моногидрат бис[2-(3-метил-3Н-имидазол-1-ий)этил] -[4-(4-нитрофенилазо)фенил]аминдихлорида ![]() Смесь 21,2 г (0,57 моль) бис(2-хлорэтил)-[4-(4-нитрофенилазо)фенил]амина (RN 66710-74-5) и 37,4 г (0,456 моль) 1-метил-lH-имидазола (RN 616-47-7) в 50 мл толуола кипятят с обратным холодильником в течение 8 часов. Раствор красного цвета становится суспензией (выкристаллизовавшийся осадок). Добавляют 40 мл изобутанола и снова 37,4 г (0,456 моль) 1-метил-1H-имидазола. Кипячение с обратным холодильником продолжают в течение 8 часов. Выкристаллизовавшийся осадок отфильтровывают под вакуумом, промывают толуолом и очищают путем перекристаллизации из 96o этанола при кипячении с обратным холодильником. Получают 26,8 г кристаллов красного цвета моногидрата бис[2-(3-метил-3Н-имидазол-1-ий)этил] -[4-(4-нитрофенилазо)фенил] аминдихлорида, плавящегося с разложением при температуре выше 260oС (Кофлер). Элементный анализ для C24H28N8O2Cl2+H2O: рассчитано, %: С 52,46; H 5,50; N 20,39; O 8,74; Cl 12,90. найдено, %: С 52,60; Н 5,47; N 20,50; O 8,55; Cl 13,10. Примеры красящих композиций Примеры 1-2 Готовят 2 композиции для прямой окраски, представленные в табл. 1 (все содержания выражены в граммах; А.В. означает активное вещество). Каждую из вышеуказанных композиций наносят на пряди седых естественных или с перманентом волос с 90% седых и выдерживают в течение 20 минут. После ополаскивания проточной водой и высушивания волосы окрашены в оттенок, который указан в табл. 2. Формула изобретения
![]() в которой R1, R2, R3, R’1, R’2 и R’3, которые могут быть одинаковыми или разными, означают атом водорода; атом галогена; нижеуказанную группу Z; (C1-C6)-алкилкарбонил; амино-(C1-C6)-алкилкарбонил; N-Z-амино-(C1-C6)-алкилкарбонил; N-(C1-C6)-алкиламино-(C1-C6)-алкилкарбонил; N,N-ди[(C1-C6)-алкил] амино-(C1-C6)-алкилкарбонил; амино-(C1-C6)-алкил-карбонил-(C1-C6)-алкил; N-Z-амино-(C1-C6)-алкилкарбонил-(C1-C6)-алкил; N-(C1-C6)-алкиламино-(C1-C6)-алкилкарбонил-(C1-C6)-алкил; N,N-ди[(C1-C6)-алкил] амино-(C1-C6)-алкилкарбонил-(C1-C6)-алкил; карбоксил; (C1-C6)-алкилкарбоксил; (C1-C6)-алкилсульфонил; аминосульфонил; N-Z-аминосульфонил; N-(C1-C6)-алкиламиносульфонил; N,N-ди[(C1-C6)-алкил]-аминосульфонил; аминосульфонил-(C1-C6)-алкил; N-Z-амино-сульфонил-(C1-C6)-алкил; N(C1-C6)-алкиламиносульфонил-(C1-C6)-алкил; N,N-ди[(C1-C6)-алкил]аминосульфонил-(C1-C6)-алкил; карбамил; N-(C1-C6)-алкилкарбамил; N,N-ди[(C1-C6)-алкил] карбамил; карбамил-(C1-C6)-алкил; N-(C1-C6)-алкилкарбамил-(C1-C6)-алкил; N,N-ди[(C1-C6)-алкил]карбамил-(C1-C6)-алкил; (C1-C6)-алкил; моногидрокси-(C1-С6)-алкил; полигидрокси-(C2-C6)-алкил; (C1-C6)-алкокси-(C1-C6)-алкил; трифтор-(C1-C6)-алкил; цианогруппу; нитрогруппу; нижеуказанную аминогруппу NR4R5; нижеуказанную группу OR6 или SR6; или амино-(C1-C6)-алкил, алкильная часть которого может быть незамещена или замещена одним или несколькими гидроксильными радикалами и аминная часть которого замещена одним или двумя одинаковыми или разными радикалами, выбираемыми из группы, состоящей из (C1-C6)-алкила, моногидрокси-(C1-C6)-алкила, полигидрокси-(C2-C6)алкила, (C1-C6)-алкилкарбонила, карбамила, N-(C1-C6)-алкилкарбамила или N,N-ди[(C1-C6)-алкил] карбамила, (C1-C6)-алкилсульфонила, формила, трифтор-(C1-C6)-алкил-карбонила, (C1-C6)-алкилкарбоксила, тиокарбамила, или нижеуказанной группой Z; А означает нижеуказанную группу NR4R5 или группу OR6; R4 и R5, одинаковые или разные, означают атом водорода; нижеуказанную группу Z; (C1-C6)-алкил; моногидрокси-(C1-C6)-алкил; полигидрокси-(C2-C6)-алкил; (C1-C6)-алкокси-(C1-C6)-алкил; арил; бензил; циано-(C1-C6)-алкил; карбамил-(C1-C6)-алкил; N-(C1-C6)-алкилкарбамил-(C1-C6)-алкил; N, N-ди[(C1-C6)-алкил] карбамил-(C1-C6)-алкил; тиокарбамил(C1-C6)-алкил; трифтор-(C1-C6)-алкил; сульфо-(C1-C6)-алкил; (C1-C6)-алкилкарбокси-(C1-C6)-алкил; (C1-C6)-алкилсульфинил-(C1-C6)-алкил; аминосульфонил-(C1-C6)-алкил; N-Z-аминосульфонил-(C1-C6)-алкил; N-(C1-C6)-алкиламиносульфонил-(C1-C6)-алкил; N,N-ди[(C1-C6)-алкил]аминосульфонил-(C1-C6)-алкил; (C1-C6)-алкилкарбонил-(C1-C6)-алкил; амино-(C1-C6)-алкил; амино-(C1-C6)-алкил, алкильная часть которого может быть незамещена или замещена одним или несколькими гидроксильными радикалами и аминная часть которого замещена одним или двумя одинаковыми или разными радикалами, выбираемыми из группы, состоящей из (C1-C6)-алкила, моногидрокси-(C1-C6)-алкила, полигидрокси-(C2-C6)-алкила, (C1-C6)-алкилкарбонила, карбамила, N-(C1-C6)-алкил-карбамила или N, N-ди[(C1-C6)-алкил] карбамила, (C1-C6)-алкилсульфонила, формила, трифтор-(C1-C6)-алкилкарбонила, (C1-C6)-алкилкарбоксила, тиокарбамила, или нижеуказанной группой Z; или вместе с атомом азота, с которым они связаны, могут образовывать углеродный или содержащий один или несколько гетероатомов пяти- или шестичленный цикл; R6 означает атом водорода; (C1-C6)-алкил; моногидрокси-(C1-C6)-алкил; полигидрокси-(C2-C6)-алкил; группу Z; (C1-C6)-алкокси-(C1-C6)-алкил; арил; бензил; карбокси-(C1-C6)-алкил; (C1-C6)-алкилкарбокси-(C1-C6)-алкил; циано-(C1-C6)-алкил; карбамил-(C1-C6)-алкил; N-(C1-C6)-алкилкарбамил-(C1-C6)-алкил; N, N-ди[(C1-C6)-алкил] карбамил-(C1-C6)-алкил; трифтор-(C1-C6)-алкил; аминосульфонил-(C1-C6)-алкил; N-Z-аминосульфонил-(C1-C6)-алкил; N-(C1-C6)-алкиламиносульфонил-(C1-C6)-алкил; N,N-ди[(C1-C6)-алкил] аминосульфонил-(C1-C6)-алкил; (C1-C6)-алкилсульфинил-(C1-C6)-алкил; (C1-C6)-алкилсульфонил-(C1-C6)-алкил; (C1-C6)-алкилкарбонил-(C1-C6)-алкил; амино-(C1-C6)-алкил, алкильная часть которого незамещена или замещена одним или несколькими гидроксильными радикалами; амино-(C1-С6)-алкил, алкильная часть которого незамещена или замещена одним или несколькими гидроксильными радикалами и аминная часть которого замещена одним или двумя одинаковыми или разными радикалами, выбираемыми из группы, состоящей из (C1-C6)-алкила, моногидрокси-(C1-C6)-алкила, полигидрокси-(С2-С6)-алкила, (C1-C6)-алкилкарбонила, формила, трифтор-(C1-C6)-алкилкарбонила; (C1-C6)-алкилкарбоксила; карбамила, N-(C1-C6)-алкилкарбамила, N, N-ди[(C1-C6)-алкил] карбамила, тиокарбамила, (C1-C6)-алкилсульфонила или нижеуказанных групп Z; или вместе с атомом азота, с которым он связан, может образовывать углеродный или содержащий один или несколько гетероатомов пяти- или шестичленный цикл; Z выбирают из катионных ненасыщенных групп формул (II) и (III) и катионных насыщенных групп формулы (IV): ![]() ![]() ![]() в которых D означает связывающий фрагмент, который представляет собой линейную или разветвленную алкильную цепь предпочтительно с 1-14 атомами углерода, которая может быть прервана одним или несколькими гетероатомами, такими, как атомы кислорода, серы или азота, может быть замещена одним или несколькими гидроксильными или (C1-С6)-алкоксильными радикалами и может содержать одну или несколько кетонных функций; вершины Е, G, J, L и М, одинаковые или разные, означают атом углерода, кислорода, серы или азота; n означает целое число от 0 до 4 включительно; m означает целое число от 0 до 5 включительно; радикалы R, одинаковые или разные, означают вторую группу Z, идентичную или отличающуюся от первой группы Z, атом галогена, гидроксил, (C1-С6)-алкил, моногидрокси(C1-С6)-алкил, полигидрокси-(C2-С6)-алкил, нитрогруппу, цианогруппу, циано-(C1-С6)-алкил, (C1-С6)-алкокси, три[(C1-С6)-алкил] силан-(C1-С6)-алкил, амидогруппу, альдегидную группу, карбоксил, (C1-С6)-алкилкарбонил, тиогруппу, тио-(C1-С6)-алкил, (C1-С6)-алкилтиогруппу, аминогруппу; аминогруппу, защищенную (C1-С6)-алкилкарбонилом, карбамилом или (C1-С6)-алкилсульфонилом; группу NHR” или NR”R”’, в которых R” и R”’, одинаковые или разные, означают (C1-С6)-алкил, моногидрокси-(C1-С6)-алкил или полигидрокси-(С2-С6)-алкил; R7 означает (C1-С6)-алкил, моногидрокси-(C1-С6)-алкил, полигидрокси-(С2-С6)-алкил, циано-(C1-С6)-алкил, три[(C1-С6)-алкил]силан-(C1-С6)-алкил, (C1-С6)-алкокси-(C1-С6)-алкил, карбамил-(C1-С6)-алкил, (C1-С6)-алкилкарбокси-(C1-С6)-алкил, бензил, вторую группу Z, идентичную или отличающуюся от первой группы Z; R8, R9 и R10, одинаковые или разные, означают (C1-С6)-алкил, моногидрокси-(C1-С6)-алкил, полигидрокси-(С2-С6)-алкил, (C1-С6)-алкокси-(C1-С6)-алкил, циано-(C1-С6)-алкил, арил, бензил, амидо-(C1-С6)-алкил, три[(C1-С6)-алкил] силан-(C1-С6)-алкил или амино-(C1-С6)-алкил, аминная часть которого защищена (C1-С6)-алкилкарбонилом, карбамилом или (C1-С6)-алкилсульфонилом; два из радикалов R8, R9 и R10 вместе с атомом азота, с которым они связаны, также могут образовывать углеродный или содержащий один или несколько гетероатомов пяти- или шестичленный цикл; один из радикалов 8, R9 и R10 также может представлять собой вторую группу Z, идентичную или отличающуюся от первой группы Z; R11 означает (C1-С6)-алкил; моногидрокси-(C1-С6)-алкил; полигидрокси-(С2-С6)-алкил; арил; бензил; амино-(C1-С6)-алкил; амино-(C1-С6)-алкил, аминная часть которого защищена (C1-С6)-алкил-карбонилом, карбамилом или (C1-С6)-алкилсульфонилом; карбокси-(C1-С6)-алкил; циано-(C1-С6)-алкил; карбамил-(C1-С6)-алкил; трифтор(C1-С6)-алкил; три [(C1-С6)-алкил]силан-(C1-С6)-алкил; сульфонамидо-(C1-С6)-алкил; (C1-С6)-алкилкарбокси-(C1-С6)-алкил; (C1-С6)-алкилсульфинил-(C1-С6)-алкил; (C1-С6)-алкилсульфонил-(C1-С6)-алкил; (C1-С6)-алкилкето-(C1-С6)-алкил; N-(C1-С6)-алкилкарбамил-(C1-С6)-алкил; N-(C1-С6)-алкилсульфонамидо-(C1-С6)-алкил; x и y означают целые числа, равные 0 или 1, при следующих условиях: в катионных ненасыщенных группах формулы (II): когда x=0, связывающий фрагмент D соединен с атомом азота; когда x=1, связывающий фрагмент D соединен с одной из вершин Е, G, J или L; y может принимать значение 1 только 1) когда вершины Е, G, J и L означают одновременно атом углерода и радикал R7 находится у атома азота ненасыщенного цикла; или же 2) когда по крайней мере одна из вершин Е, G, J и L означает атом азота, на котором фиксирован радикал R7; в катионных ненасыщенных группах формулы (III): когда x=0, связывающий фрагмент D соединен с атомом азота; когда x=1, связывающий фрагмент D соединен с одной из вершин Е, G, L или М; y может принимать значение 1 только тогда, когда по крайней мере одна из вершин Е, G, J, L и М означает двухвалентный атом и радикал R7 находится у атома азота ненасыщенного цикла; в катионных группах формулы (IV): когда x= 0, тогда связывающий фрагмент соединен с атомом азота, несущим радикалы R8-R10; когда x=1, тогда два из радикалов R8-R10 вместе с атомом азота, с которым они связаны, образуют насыщенный пяти- или шестичленный цикл, такой, как указанный выше, и связывающий фрагмент D соединен с атомом углерода вышеуказанного насыщенного цикла; Х– означает одновалентный или двухвалентный анион, при условии, что число катионных групп Z формулы (II) или (III) по крайней мере равно 1; и когда один и только один, из радикалов R4, или R5, или R6 означает группу Z, в которой связывающий фрагмент D представляет собой содержащую кетонную функцию алкильную цепь, тогда вышеуказанная кетонная функция не связана непосредственно с атомом азота группы NR4R5 или атомом кислорода группы ОR6; и их солей присоединения с кислотой. 2. Композиция по п.1, отличающаяся тем, что циклы ненасыщенных групп Z формулы (II) выбирают из пиррольного, имидазольного, пиразольного, оксазольного, тиазольного и триазольного циклов. 3. Композиция по п.1, отличающаяся тем, что циклы ненасыщенных групп Z формулы (III) выбирают из пиридинового, пиримидинового, пиразинового, оксазинового и триазинового циклов. 4. Композиция по любому из пп.1-3, отличающаяся тем, что в формуле (IV) два из радикалов R8, R9 и R10 образуют пирролидиновый цикл, пиперидиновый цикл, пиперазиновый цикл или морфолиновый цикл, причем вышеуказанный цикл может быть незамещен или замещен атомом галогена, гидроксилом, (C1-С6)-алкилом, моногидрокси-(C1-С6)-алкилом, полигидрокси-(С2-С6)-алкилом, нитрогруппой, цианогруппой, циано-(C1-С6)-алкилом, (C1-С6)-алкоксилом, три[(C1-С6)-алкил] силан-(C1-С6)-алкилом, амидогруппой, альдегидной группой, карбоксилом, кето-(C1-С6)-алкилом, тиогруппой, тио-(C1-С6)-алкилом, (C1-С6)-алкилтиогруппой, аминогруппой; аминогруппой, защищенной (C1-С6)-алкилкарбонилом, карбамилом или (C1-С6)-алкилсульфонилом. 5. Композиция по любому из пп.1-4, отличающаяся тем, что Х– выбирают из группы, состоящей из атома галогена, гидроксида, гидросульфата или (C1-С6)-алкилсульфата. 6. Композиция по любому из пп.1-5, отличающаяся тем, что соединения формулы (I) выбирают из следующих соединений: моногидрат бис[2-(3-метил-3Н-имидазол-1-ий)этил]-[4-(4-нитрофенилазо)-фенил]аминдихлорида; бис[2-(3-метил-3Н-имидазол-1-ий)этил]-[4-(4-аминофенилазо)фенил]-аминдихлорида. 7. Композиция по любому из пп.1-6, отличающаяся тем, что соли присоединения с кислотой соединений формулы (I) выбирают из гидрохлоридов, гидробромидов, сульфатов, цитратов, сукцинатов, тартратов, лактатов и ацетатов. 8. Композиция по любому из пп.1-7, отличающаяся тем, что ее значение рН составляет 3-12. 9. Композиция по любому из пп.1-8, отличающаяся тем, что соединения формулы (I) находятся в концентрации до 0,05-6 мас.% по отношению к общей массе композиции. 10. Способ окраски кератиновых волокон, в частности кератиновых волокон человека и особенно волос, путем прямого окрашивания, отличающийся тем, что красящую композицию, такую, как указанная в любом из пп.1-9, наносят на сухие или влажные кератиновые волокна и высушивают эти волокна без промежуточного ополаскивания. 11. Способ окраски кератиновых волокон, в частности кератиновых волокон человека и особенно волос, путем прямого окрашивания, отличающийся тем, что красящую композицию, такую, как указанная в любом из пп.1-9, наносят на сухие или влажные кератиновые волокна и, в случае необходимости, после воздействия композиции на волокна в течение времени выдержки 3-60 мин волокна ополаскивают, в случае необходимости моют, снова ополаскивают, затем высушивают. РИСУНКИ
MM4A Досрочное прекращение действия патента Российской Федерации на изобретение из-за неуплаты в установленный срок пошлины за поддержание патента в силе
Дата прекращения действия патента: 19.01.2005
Извещение опубликовано: 20.02.2006 БИ: 05/2006
|
||||||||||||||||||||||||||










