Патент на изобретение №2197314
|
||||||||||||||||||||||||||
(54) СПОСОБ РАЗРУШЕНИЯ ЭМУЛЬСИЙ СМАЗОЧНО-ОХЛАЖДАЮЩИХ ЖИДКОСТЕЙ, ЗАГРЯЗНЕННЫХ РАДИОНУКЛИДАМИ
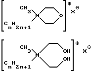
(57) Реферат: Изобретение относится к веществам – деэмульгаторам и может быть использовано для утилизации отработанных смазочно-охлаждающих жидкостей (СОЖ), применяемых при механической обработке металлов. Предложенный способ разрушения эмульсий СОЖ основан на использовании в качестве деэмульгатора четвертичных аммониевых солей на основе морфолина и/или диэтаноламина. Способ обеспечивает эффективное разложение эмульсии при обеспечении возможности концентрирования радионуклидов в масляной фазе разрушенной эмульсии. 3 табл. Изобретение относится к смазочным составам и может быть использовано для утилизации отработанных смазочно-охлаждающих жидкостей, применяемых при механической обработке металлов. Известен способ электролитического деэмульгирования эмульсий типа масло в воде, согласно которому в ячейку для электролиза в качестве растворимого анода вводят алюминиевый или стальной шрот, который должен постоянно пополняться в процессе электролиза [пат. ГДР 225916, 1985]. Недостатком способа является применение растворимого анода. В процессе электролиза водная фаза разрушенной эмульсии загрязняется растворимыми в воде солями металлов, что затрудняет последующую утилизацию воды. Известен способ разрушения эмульсий, согласно которому в эмульсии диспергируют жидкость с ферромагнитными свойствами и полученную дисперсию пропускают через магнитное поле высокой интенсивности. В результате происходит концентрирование, чаще выделение фазы, содержащей магнитные частицы [пат. США 3776660,1974]. Недостаток способа неполное разделение фаз. Известен способ разрушения отработанных смазочно-охлаждающих средств, согласно которому эмульсию под давлением насыщают диоксидом углерода и нагревают до расщепления. Выше температуры расщепления быстро образуется масляная фаза с малым содержанием воды и водная фаза с малым содержанием масла [Германия (DE), заявка 4028904, 1992; 4333318 A1, 1993). Из описаний заявок видно, что способ требует значительных энергетических затрат на нагрев исходной эмульсии. Кроме этого, для полного разделения фаз требуется дополнительная обработка эмульсии катионным деэмульгатором [ФРГ, заявка 3916030. 1990], или методом электрокоагуляции [Германия (DE), заявка 4102175, 1992]. Известны способы разрушения водно-органических эмульсий, согласно которым эмульсии обрабатывают полифторированными спиртами [пат. РФ 1831792, 1989] или высокомолекулярным веществом с C-F связями [Япония, заявка 60-51366,1985]. Общим недостатком указанных способов является использование дорогостоящих и дефицитных фторорганических веществ. Известны способы разрушения эмульсий посредством добавления к ним водорастворимых реагентов: гидроксида натрия и гидроксида алюминия [пат. РФ 2036960, 1992] серной кислоты и перманганата калия [пат. РФ 2000319, 1990], аммониевой соли, соли амина оксистеариновой кислоты и водорастворимой неорганической соли [Япония, заявка 58-5683, 1983], соли магния [Япония, заявка 52-38984, 1977] , гидроксида кальция и сульфата железа [пат. РФ 2008324, 1991] , водорастворимой соли амфотерного металла и водорастворимого катионного тройного сополимера [пат. США 3931005, 1976]. Общим недостатком перечисленных способов разрушения эмульсий является использование водорастворимых реагентов, загрязняющих водную фазу. Вследствие этого для очистки водной фазы требуются дополнительные затраты. Наиболее распространенными способами разрушения эмульсий являются способы, в которых в качестве деэмульгаторов используются производные аминов: растворимый в воде полимер моноаллиламина [ЕПВ (ЕР) заявка 0196886, 1986], алкоксилированные амины [Германия (DE) заявка 298814, 1992], статистическая смесь простых аминополиэфироспиртов с дикарбоновыми кислотами [Германия (DE) заявка 298806, 298807. 1992], кватернизованные производные пиридинов и хинолинов [пат. США 4339347, 1982], растворимые в воде полиамидоамины [пат. США 4457860, 1984], катионоактивный крахмал в форме четвертичного аммония [пат. США 4088600, 1978] , кватернизованные полиалкиленовые полиамины [пат. США 4387028, 1983; ЕПВ (ЕР) заявка 0109785, 1984], катионные полимеры, включающие фрагменты четвертичных аммониевых солей и акридамида [РСТ (WO) международная заявка 90/12633, 1990], полиакриламид и поли-1,2-диметил-5-винилпиридинийметилсульфат в виде водных растворов [пат. РФ 2004573, 1992]. Общим недостатком перечисленных способов разрушения эмульсий является применение водорастворимых деэмульгаторов, способных загрязнять отделяемую водную фазу органическими соединениями. Наиболее близким по технической сущности к настоящему изобретению является смешанный деэмульгатор для разрушения нефтяных эмульсий на основе олигомерных простых полиэфироспиртов, включающий композицию из азотсодержащих полиалкиленоксидов с олигомерным аминотриазиновым радикалом и азотсодержащих сложных олигоэфиров из полиалкиленоксидов и дикарбоновых кислот [Германия (DE), заявка 298805, 1992] (прототип). Недостатком прототипа является сложность состава деэмульгатора. Кроме этого, в описании не упоминается о возможности концентрирования неорганических соединений в одной из фаз разрушенной эмульсии. Целью изобретения является разработка способа разрушения смазочно-охлаждающий жидкостей, содержащих радионуклиды, методом деэмульгирования. Поставленная цель достигается тем, что в качестве деэмульгатора используют четвертичные соли морфолина и/или диэтаполамина формулы ![]() где n=12-16, а X=Cl, Br. Разрушаемую эмульсию подкисляют до рH 5-6 и прибавляют деэмульгатор в виде водной 1-2%-ной дисперсии в воде. После расслоения эмульсии с образованием масляного и водного слоев их разделяют приемлемым методом. Нижним пределом содержания деэмульгатора в разрушаемой эмульсии является 1%. При более низком содержании деэмульгатора увеличивается время расслоения эмульсии. Верхним пределом содержания деэмульгатора в разрушаемой эмульсии принято 2%. При более высоком содержании деэмульгатора в разрушаемой эмульсии скорость расслоения эмульсии не увеличивается, повышается расход дисперсии деэмульгатора, а в водном слое разрушенной эмульсии содержится непрореагировавший деэмульгатор. Кроме этого, в водном слое разрушенной эмульсии концентрация радионуклидов более не уменьшается. Нижним пределом количества углеродных атомов в алифатическом радикале четвертичной аммониевой соли принято 12 углеродных атомов. При более коротком радикале повышается растворимость четвертичной соли в воде, а скорость и эффективность разрушения эмульсии снижаются. Верхним пределом количества углеродных атомов в алифатическом радикале четвертичной соли принято 16. При более длинном алифатическом радикале снижается растворимость четвертичной соли в воде, что ведет к возрастанию объема водной дисперсии деэмульгатора, необходимого для разрушения эмульсии. Пример 1. Бывшую в употреблении СОЖ в виде 10% эмульсола ЭГТ (смесь содового раствора, четыреххлористого углерода и минерального масла) и 90% воды подкисляют соляной кислотой до рH 5-6. К полученной смеси добавляют 1% по объему 1%-ной дисперсии деэмульгатора формулы (1). Смесь перемешивают и дают отстояться в течение 20-30 мин. После отстаивания верхний масляный слой отделяют от нижнего прозрачного водного слоя и каждый из слоев подвергают анализу на содержание радионуклидов (табл. 1). Для сравнения отработанную СОЖ разделяли центрифугированием и разделенные фракции анализировали на содержание радионуклидов (табл. 2). Пример 2. Подготовка пробы и приемы работы не отличаются от примера 1, но в качестве деэмульгатора использована 1%-ная дисперсия деэмульгатора формулы (2). После разделения эмульсии на масляный и прозрачный водный слои каждый из слоев проанализирован на содержание радионуклидов. Результаты приведены в табл. 3. Пример 3. Подготовка пробы СОЖ и технические приемы разрушения эмульсии такие же, как в примере 1, но в качестве деэмульгатора использована 2%-ная дисперсия деэмульгатора формулы (1). После разделения масляной и водной фаз водная фаза мутная, что свидетельствует о содержании в ней остаточного количества непрореагировавшего деэмульгатора. Формула изобретения
![]() где n = 12-16; X = Cl, Br. РИСУНКИ
|
||||||||||||||||||||||||||


