Патент на изобретение №2195276
|
||||||||||||||||||||||||||
(54) СПОСОБ ЛЕЧЕНИЯ НЕДЕРЖАНИЯ МОЧИ С ПОМОЩЬЮ (S)-ОКСИБУТИНИНА И (S)-ДЕЗЭТИЛОКСИБУТИНИНА
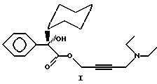
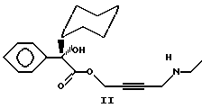
(57) Реферат: Изобретение относится к медицине, а именно к урологии, и касается лечения недержания мочи. Для этого используют (S)-оксибутинин, (S)-дезэтилоксибутинин или их фармацевтически приемлемые соли с содержанием соответствующего (R)-энантиомера не более 10 мас.%. Изобретение позволяет предотвратить побочные эффекты лечения рацемическим оксибутинином и дезэтилоксибутинином. 3 и 7 з.п. ф-лы, 12 табл. Область, к которой относится изобретение Изобретение относится к способу и лекарственным формам для лечения недержания мочи с помощью оптически чистых (S)-оксибутинина (S-OXY) и (S)-дезэтилоксибутинина (S-DEO). Предпосылки создания изобретения Рацемический оксибутинин (OXY) находит терапевтическое применение при лечении гиперкинезии кишечника и при лечении недержания мочи вследствие неустойчивого функционирования мышцы, выталкивающей мочу. Рацемический оксибутинин оказывает непосредственное спазмолитическое воздействие на гладкие мышцы и подавляет воздействие, оказываемое на упомянутые мышцы ацетилхолином. В случае воздействия на мышцы, выталкивающие мочу у кроликов, рацемический оксибутинин демонстрирует всего лишь пятую часть активности атропина, однако по антиспазматической активности он превосходит последний в четыре-десять раз. Рацемический оксибутинин отличается крайней избирательностью в отношении мускариновых рецепторов в присутствии никотиновых рецепторов и, как следствие этого, в скелетных нервно-мышечных синапсах либо вегетативных ганглиях полностью отсутствуют эффекты блокирования. Рацемический оксибутинин расслабляет гладкую мускулатуру мочевого пузыря, и у пациентов с заболеваниями, характеризующимися непроизвольными сокращениями мочевого пузыря, цистометрические исследования показали, что рацемический оксибутинин увеличивает емкость мочевого пузыря, уменьшает частоту непроизвольных сокращений мышцы, выталкивающей мочу, и задерживает первоначальный позыв к мочеиспусканию. Благодаря этому рацемический оксибутинин оказывается пригодным для лечения и профилактики как недержания мочи, так и частого произвольного мочеиспускания. Эффективность воздействия рацемического оксибутинина на мочевой пузырь объясняется сочетанием антимускаринового, непосредственного спазмолитического и местного анестезирующего воздействия на гладкую мышцу, выталкивающую мочу. Вследствие антимускариновой активности рацемического лекарственного средства весьма распространенными побочными явлениями, вовлекающими мускариновые холинергические рецепторы, являются ксеростомия (сухость во рту) и мидриаз (расширение зрачков). Фактически как минимум один исследователь упоминает “неизбежные симптомы – мидриаз, ксеростомию, тахикардию и т.д.”, которыми сопровождается введение рацемического оксибутинина [Лиш (Lish) и другие, Arch. Int. Pharmacodyn. 156, 467-488 (1965), 481]. Высокая частота антихолинергических побочных эффектов (от 40 до 80%) часто вызывает снижение дозировки либо прерывание курса лечения. Результаты фармакологических исследований отдельных энантиомеров позволяют сделать предположение, что эффективным является R-энантиомер. Норона-Блоб (Noronha-Blob) и другие [J. Pharmacol. Exp. Ther. 256. 562-567 (1991)] пришли к выводу, что холинергический антагонизм рацемического оксибутинина (определяемый in vitro по его сродству к подтипам рецепторов M1, M2 и М3 и in vivo по различным физиологическим реакциям) может объясняться, главным образом, активностью (R)-энантиомера. По всем реакциям, обнаруженным упомянутыми исследователями, ранжированная активность рацемического оксибутинина и его энантиомеров оказалась одинаковой, а именно, активность (R)-оксибутинина оказалась большей либо равной активности рацемического оксибутинина и намного большей по сравнению с активностью (S)-оксибутинина, причем активность (S)-оксибутинина оказалась на 1-2 порядка меньше активности (R)-оксибутинина. Краткое изложение сущности изобретения Неожиданно обнаружили, что, по существу, оптически чистый (S)-энантиомер оксибутинина и его деэтиловый метаболит представляют собой превосходное лекарственное средство для лечения недержания мочи. Оптически чистые (S)-оксибутинин (S-OXY) и (S)-дезэтилоксибутинин (S-DEO) обеспечивают возможность подобного лечения с одновременным существенным снижением частоты отрицательных явлений, которые являются следствием, главным образом, антихолинергической активности и связаны с введением рацемического оксибутинина. К их числу относятся, однако ими не ограничиваются, ксеростомия, мидриаз, сонливость, тошнота, запоры, учащенное сердцебиение и тахикардия. Облегчение отрицательных воздействий рацемического оксибутинина на сердечно-сосудистую систему, например, тахикардии и учащенного сердцебиения, посредством введения (S)-оксибутинина либо S-DEO, представляет собой особую терапевтическую ценность. Активными соединениями этих композиций и способов являются оптические изомеры оксибутинина и дезэтилоксибутинина. Способ получения рацемического оксибутинина описан в описании изобретения к патенту Великобритании 940540. С химической стороны, активными соединениями являются (1) S энантиомер 4-(диэтиламино)-2-бутинил -циклогексил- -гидроксибензолацетат, известный также как 4-(диэтиламино)-2-бутинилфенилциклогексилгликолят, именуемый в последующем оксибутинином; и (2) S энантиомер 4-(этиламино)-2-бутинил -циклогексил- -гидроксибензолацетат, именуемый в последующем дезэтилоксибутинином. Советом по химической номенклатуре США хлористоводородной соли рацемического оксибутинина присвоено родовое название хлорид оксибутинина; он продается под торговым названием Ditropan .Упомянутый изомер оксибутинина, имеющий S абсолютную стереохимию (Регистр. 119618-22-3), является правовращающим и представлен формулой I ![]() S-энантиомер дезэтилоксибутинина представлен формулой II ![]() Синтез (S)-оксибутинина описан [Качур (Kachur) и другие, J. Pharmacol. Exp. Ther. 247, 867-872 (1988)] , однако сам (S)-оксибутинин в настоящее время коммерчески недоступен. Все клинические результаты, о которых сообщалось, были получены с помощью рацемической смеси, хотя фармакология отдельных энантиомеров была описана на морских свинках и крысах [см., Качур и другие, J. Pharmacol. Exp. Ther. 247, 867-872 (1988) и Норона-Блоб и другие, J. Pharmacol. Exp. Ther. 256, 562-567 (1991)]. Синтез и фармакология (S)-дезэтилоксибутинина были описаны авторами настоящего изобретения в международной заявке WO 96/23492. Согласно одному из своих аспектов, настоящее изобретение относится к способу лечения недержания мочи с предотвращением сопутствующей предрасположенности к отрицательным явлениям, который включает введение человеку, нуждающемуся в подобном лечении, терапевтически эффективного количества (S)-оксибутинина, (S)-дезэтилоксибутинина либо фармацевтически приемлемой соли любого из них, по существу, свободных от соответствующего R-энантиомера. Согласно другому аспекту, настоящее изобретение предоставляет фармацевтические композиции, в состав которых входит (S)-оксибутинин, (S)-дезэтилоксибутинин либо фармацевтически приемлемая соль любого из них, по существу, свободные от (R)-энантиомера, и фармацевтически приемлемый носитель. Термины “по существу, свободных от R-энантиомера” и “по существу, свободных от соответствующего R-энантиомера”, используемые в настоящем описании, означают, что в состав упомянутых композиций входит, как минимум, 90% (мас.) (S)-оксибутинина либо (S)-дезэтилоксибутинина и 10% (мас.) или менее (R)-оксибутинина либо (R)-дезэтилоксибутинина, соответственно. В более предпочтительном варианте осуществления настоящего изобретения, в состав упомянутых композиций входит, как минимум, 99% (мас.) S энантиомера и 1% или менее R энантиомера. По существу, оптически чистый (S)-оксибутинин либо (S)-дезэтилоксибутинин могут вводиться парентерально, ректально, внутрипузырно, чрескожно, перорально либо с помощью аэрозоля. Предпочтение отдается пероральному и чрескожному введению в дозе, приблизительно, от 0,1 мг в день до, приблизительно, 1 г в день. Согласно другому аспекту, настоящее изобретение относится к фармацевтической стандартной лекарственной форме в виде таблетки, мягкой эластичной желатиновой капсулы либо приспособления для чрескожного введения, в состав которых входит терапевтически эффективное количество (S)-оксибутинина, (S)-дезэтилоксибутинина либо фармацевтически приемлемой соли любого из них, по существу, свободных от соответствующего R стереоизомера, и фармацевтически приемлемый носитель. Упомянутые лекарственные формы в виде таблеток либо мягких эластичних желатиновых капсул могут изготавливаться традиционными способами, хорошо известными в данной области техники, причем количество (S)-оксибутинина, (S)-дезэтилоксибутинина либо фармацевтически приемлемой соли любого из них в каждой стандартной лекарственной форме составляет, в предпочтительном варианте, приблизительно, от 0,1 мг до 500 мг, в более предпочтительном варианте, приблизительно, от 25 мг до 250 мг и в еще более предпочтительном варианте, приблизительно, от 100 мг до 200 мг. Эффективность чрескожного введения повышается посредством включения усилителя проникновения в состав приспособления для чрескожной доставки лекарственного средства. Подробное описание изобретения S энантиомеры оксибутинина и DEO могут быть получены посредством растворения промежуточного продукта миндальной кислоты, с последующей этерификацией. Этерификация может осуществляться, как описано Качуром и другими (упомянутая работа) для OXY либо усовершенствованным способом, описанным в международной заявке WO 96/23492. В альтернативном варианте, S энантиомер OXY и DEO может быть получен посредством растворения рацемического оксибутинина либо DEO с помощью традиционных способов, например, фракционированной кристаллизации диастереомерных солей хиральными кислотами. Кроме того, могут быть использованы другие стандартные способы растворения, известные специалистам в данной области, в том числе, однако не ограничиваясь ими, простая кристаллизация и хроматография на хиральном субстрате. Графические изображения рацемических, амбискалемических и скалемических либо энантиомерно чистых соединений, использованные в настоящем описании, взяты из Мер (Maehr) J. Chem. Ed. 62, 114-120 (1985). Так, сплошные либо ломаные клинья (например, как показано в формуле I), используются для обозначения абсолютной конфигурации хирального элемента; очертания клиньев и пунктирные либо ломаные линии обозначают энантиомерно чистые соединения неопределенной абсолютной конфигурации. Величина профилактической либо терапевтической дозы (S)-оксибутинина либо S-DEO при неотложной либо длительной терапии заболевания будет изменяться в зависимости от тяжести и природы состояния, подлежащего лечению, и пути введения. Упомянутая доза и, возможно, частота введения дозы, будут изменяться индивидуально в зависимости от возраста, массы тела и реакции пациента. В целом, общий диапазон дневной дозы (S)-оксибутинина либо S-DEO для состояний, описанных здесь, составляет, приблизительно, от 0,1 мг до 1 г, в предпочтительном варианте, приблизительно, от 0,4 мг до 600 мг, в более предпочтительном варианте, приблизительно, от 100 мг до 1 г, в еще более предпочтительном варианте, приблизительно, от 240 мг до 750 мг, и в наиболее предпочтительном варианте, от 300 до 600 мг в виде разовых доз либо же, в предпочтительном варианте, разделенной на курс лечения общей дозы. При лечении пациента процесс должен начинаться с меньшей дозы, составляющей, приблизительно, 80 мг, с ее повышением, в зависимости от общей реакции пациента, например, приблизительно, до 600 мг/день. Дополнительно рекомендуется, чтобы пациенты старше 65 лет и пациенты с нарушенной функцией почек либо печени первоначально получали небольшие дозы, которые должны титроваться, исходя из индивидуальной реакции(-ий) и уровня(-ей) в крови. В некоторых случаях может возникнуть необходимость использования дозировок, выходящих за пределы упомянутых диапазонов, что будет очевидным специалистам в данной области. Дополнительно следует заметить, что лечащий врач будет знать, как и когда прервать, подкорректировать либо закончить курс лечения в зависимости от индивидуальной реакции пациента. Термины “терапевтически эффективное количество” и “количество, достаточное для лечения недержания, однако, недостаточное для того, чтобы вызвать отрицательные действия” охватываются вышеописанными диапазонами дозировок и схемой применения лекарственного препарата. Для обеспечения пациента эффективной дозой (S)-оксибутинина либо S-DEO может быть использован любой подходящий путь введения. Могут, например, быть использованы пероральная, ректальная, парентеральная (подкожная, внутримышечная, внутривенная), чрескожная, аэрозольная и подобные формы введения. Дополнительно упомянутый лекарственный препарат может вводиться непосредственно в мочевой пузырь через мочеиспускательный канал, как описано для рацемического оксибутинина Массадом (Massad) и другими, [J. Urol. 148, 595-597 (1992)]. К лекарственным формам относятся таблетки, лепешки, дисперсии, суспензии, растворы, капсулы, системы чрескожной доставки лекарственного средства и т.п. В состав фармацевтических композиций, соответствующих настоящему изобретению, входят (S)-оксибутинин либо S-DEO, как активный ингредиент, либо их фармацевтически приемлемая соль, и может также входить фармацевтически приемлемый носитель и, факультативно, другие терапевтические ингредиенты. Термины “фармацевтически приемлемые соли” либо “их фармацевтически приемлемые соли” означают соли, полученные с помощью фармацевтически приемлемых нетоксичных кислот. К числу подходящих фармацевтически приемлемых солей упомянутого соединения, полученных добавлением кислоты, соответствующих настоящему изобретению, относятся соли, полученные добавлением уксусной, бензолсульфоновой, бензойной, камфорсульфоновой, лимонной, этансульфоновой, фумаровой, глюконовой, глутаминовой, бромистоводородной, хлористоводородной, изэтионовой, молочной, малеиновой, яблочной, миндальной, метансульфоновой, слизевой, азотной, памовой, пантотеновой, фосфорной, янтарной, серной, винной, р-толуолсульфоновой и т.п. кислот. Особо пригодным является гидрохлорид и это, фактически, была та самая соль, которую использовали при проведении описанных исследований. К числу композиций, соответствующих настоящему изобретению, относятся суспензии, растворы, эликсиры либо твердые лекарственные формы. Носители, например, крахмалы, сахара и микрокристаллическая целлюлоза, разбавители, гранулирующие вещества, смазывающие вещества, вяжущие вещества, вещества, способствующие распаду и т.п., пригодны в случае пероральных твердых препаратов (например, порошков, капсул и таблеток) и твердым пероральным препаратам отдается предпочтение, по сравнению с жидкими пероральными препаратами. Благодаря простоте введения, таблетки и капсулы представляют одну из наиболее предпочтительных стандартных пероральных лекарственных форм. В этом случае применяются твердые фармацевтические носители. В случае необходимости, на таблетки, с помощью стандартных водных либо безводных технологических способов, может наноситься покрытие. В предпочтительном варианте осуществления, фармацевтические композиции, соответствующие настоящему изобретению, могут изготовляться в виде стандартной лекарственной формы в мягких эластичных желатиновых капсулах с помощью традиционных способов, хорошо известных в данной области (см., например, Эберт (Ebert), Pharm. Tech., 1 (5):44-50 (1977)). Мягкие эластичные желатиновые капсулы имеют мягкую шарообразную желатиновую оболочку, толщина которой несколько превышает толщину твердых желатиновых капсул, причем желатина пластифицируется добавлением глицерина, сорбита либо подобного полиола. Твердость оболочки капсулы может изменяться посредством изменения типа желатины и количеств пластификатора и воды. В состав мягких желатиновых оболочек может входить консервант для предотвращения роста грибов, например, метил- и пропилпарабены и сорбиновая кислота. Упомянутый активный ингредиент может растворяться либо суспендироваться в жидком носителе либо разбавителе, например, растительных либо минеральных маслах, гликолях, например, полиэтиленгликоле и пропиленгликоле, триглицеридах, поверхностно-активных веществах, например, полисорбатах либо их комбинациях. В стандартной фармацевтической лекарственной форме в виде мягкой эластичной желатиновой капсулы, соответствующей настоящему изобретению, (S)-оксибутинин либо (S)-дезэтилоксибутинин, в предпочтительном варианте, присутствует в количестве, приблизительно, от 0,1 мг до 500 мг, в более предпочтительном варианте, в количестве, приблизительно, от 25 мг до 250 мг и, в еще более предпочтительном варианте, в количестве, приблизительно, от 100 мг до 200 мг. Наряду с традиционными лекарственными формами, упомянутыми ранее, соединения, соответствующие настоящему изобретению, могут также вводиться с помощью других средств контролируемого выделения и устройств доставки лекарственных препаратов, известных специалистам в данной области техники. Фармацевтические композиции, соответствующие настоящему изобретению, пригодные для перорального введения, могут быть представлены в виде дискретных единиц, например, капсул, каше либо таблеток, в состав каждой из которых входит предопределенное количество активного ингредиента в виде порошка или гранул, либо мягких эластичных желатиновых капсул, где активный ингредиент растворен либо суспендирован в жидком носителе, либо представлен в виде раствора или суспензии в водной среде, неводной среде, эмульсии масла в воде либо эмульсии воды в масле. Такие композиции могут быть получены с помощью любого фармацевтического способа, однако, все способы включают этап объединения упомянутого активного ингредиента с упомянутым носителем, который может включать один или несколько необходимых ингредиентов. В целом, упомянутые композиции получают посредством однородного и тщательного смешивания упомянутого активного ингредиента с жидкими носителями либо тонко измельченными твердыми носителями, либо с теми и другими, с последующим, в случае необходимости, приданием упомянутому продукту необходимой формы таким же способом, который известен для рацемической смеси. Вызывающая удивление пригодность (S)-энантиомера как OXY, так и DEO, была установлена с помощью исследований, описание которых приведено далее. ЭНАНТИОМЕРЫ ОКСИБУТИНИНА Связывание (S)- и (R)-оксибутинина с подтипами мускаринового рецептора М1, M2, М3 и М4 человека Источник белка Эксперименты проводили на мембранах, полученных из клеток SF9, инфицированных бакуловирусами для экспрессии рекомбинантных подтипов мускаринового рецептора M1, М2, М3 и М4. Реакции связывания приведены в табл. 1. После инкубирования упомянутые реакционные пробы быстро фильтровали под вакуумом через стекловолоконные биологические фильтры (GF/B) (компания Whatman) и промывали ледяным буфером с помощью бранделовского харвестера клеток. Уровень связанной радиоактивности определяли с помощью жидкостного сцинтилляционного счетчика (LS 6000, компания Beckman) с использованием жидкой сцинтилляционной смеси (Формула 99, компания DuPont NEN). Протокол эксперимента Для получения конкурентных кривых упомянутые соединения испытывали на каждом рецепторе в 10 концентрациях с повтором. В процессе осуществления каждого эксперимента, для получения конкурентной кривой для оценки результатов эксперимента, одновременно в 8 концентрациях с повтором испытывали эталонное соединение для рецептора, подвергаемого исследованию. Анализ и выражение результатов Специфическое связывание каждого рецептора радиоизотопным лигандом определяли, как разницу между общим связыванием и неспецифическим связыванием, определявшимся в присутствии избытка лиганда без радиоактивной метки. Значения IC50 (концентрации, необходимые для подавления 50% специфического связывания) определяли посредством нелинейного регрессионного анализа упомянутых конкурентных кривых. Упомянутые параметры были получены путем подбора эмпирической кривой с помощью программы SigmaplotTM. IC50 для R- и S-OXY приведены в табл. 2. Эти результаты свидетельствуют о том, что S-OXY имеет меньшее сродство к подтипам мускаринового рецептора, по сравнению с R-OXY. Связывание (S)- и (R)-оксибутинина с кальциевыми каналами Реакции связывания Реакции связывания осуществляли с помощью способов, представленных в табл. 3. Условия осуществления упомянутого эксперимента приведены в табл. 4. После инкубирования упомянутые реакционные пробы быстро фильтровали под вакуумом через стекловолоконные биологические либо химические фильтры (GF/B либо (GF/C) (компания Whatman) и промывали ледяным буфером с помощью бранделовского харвестера клеток. Уровень связанной радиоактивности определяли с помощью жидкостного сцинтилляционного счетчика (LS 6000, компания Beckman) с использованием жидкой сцинтилляционной смеси (Формула 989, компания DuPont NEN). Протокол эксперимента Упомянутые соединения испытывали с повтором на каждом рецепторе в концентрации 10-5 М. В процессе осуществления каждого эксперимента, для получения конкурентной кривой для оценки результатов эксперимента, одновременно в 8 концентрациях с повтором испытывали эталонное соединение для рецептора, подвергаемого исследованию. Анализ и выражение результатов Специфическое связывание каждого рецептора радиоизотопным лигандом определяли, как разницу между общим связыванием и неспецифическим связыванием, определявшимся в присутствии избытка лиганда без радиоактивной метки. Средние значения, как степень угнетения в процентном выражении, представлены в табл. 5. Значения IC50 (концентрации, необходимые для подавления 50% специфического связывания) определяли посредством нелинейного регрессионного анализа упомянутых конкурентных кривых. Упомянутые параметры были получены путем подбора эмпирической кривой с помощью программы SigmaplotTM. Представленные результаты свидетельствуют о том, что S-OXY имеет активность блокирования кальциевых каналов, подобную активности R-OXY. ЭНАНТИОМЕРЫ ДЕЗЭТИЛОКСИБУТИНИНА Основным метаболитом рацемического оксибутинина является RS-дезэтилоксибутинин (DEO). Перед проведением наших исследований, R и S энантиомеры DEO не были описаны и антиспазматическая активность R- и S-DEO, а также их активность блокирования кальциевых каналов известными не были. Мы синтезировали эти энантиомеры и на моделях связывания рецепторов и функционирования мочевого пузыря исследовали их антимускариновую и спазмолитическую активность, а также активность блокирования кальциевых каналов. Мы установили, что каждый энантиомер упомянутого метаболита сохраняет относительный фармакологический профиль своего “родительского” оксибутининового энантиомера. Связывание на подтипах мускаринового рецептора Степень угнетения (в процентном выражении) специфического связывания радиоизотопного лиганда, индуцированную тремя концентрациями каждого соединения (R-, S- и RS-DEO), испытывали на подтипах (М1-М4) клонированного мускаринового рецептора человека, как описывалось ранее для энантиомеров оксибутинина. В последующих таблицах (табл. 6 и 7) в процентном отношении представлена степень угнетения на каждом подтипе. Кроме того, для подтипов М1 и М2 мускаринового рецептора человека были определены значения IC50, которые представлены в табл. 6. Приведенные результаты свидетельствуют о том, что S-DEO имеет меньшее сродство к подтипам мускаринового рецептора, чем R- либо рацемический DEO. Связывание на кальциевых каналах Степень угнетения (в процентном выражении) специфического связывания радиоизотопного лиганда, индуцированную каждым соединением (R-, S- и RS-DEO), испытывали на участках связывания дилтиазема и верапамила кальциевого канала L-типа. Результаты представлены в табл. 8. Представленные результаты свидетельствуют о том, что S-DEO имеет активность блокирования кальциевых каналов, подобную активности R- либо рацемического DEO. Определение функциональных характеристик антимускариновой/антиспазматической активности Эффекты R-, S- и RS-оксибутинина (OXY), и R-, S- и RS-DEO изучались in vitro на модели функционирования мочевого пузыря. Как описано далее, выделенные полоски гладкой мышцы мочевого пузыря морской свинки помещали в препаровальную ванночку и вызывали их сокращения с помощью мускаринового агониста карбахола либо с помощью повышенных концентраций калия, поступавшего из внешнего источника. Полоски мочевого пузыря. Эксперименты осуществляли способами, подобными способам, описанным Качуром и другими, 1988 и Норона-Блобом и Качуром, 1991. Из мочевого пузыря половозрелых морских свинок линии Hartley массой 400-600 г (компания Elm Hill Breeding Laboratories, Челмсфорд, Массачусетс) вырезали полоски ткани (приблизительно, длиной 10 мм и шириной 1,5 мм). Ткань суспендировали в насыщенном кислородом буфере следующего состава, в мМ: NaCl 133; KCl 4,7; CaCl2 2,5; MgSO4 0,6; NaH2PO4 1,3; NaHCO3 16,3 и глюкоза 7,7. Полоски выдерживали при температуре 37,5oС. Сокращения регистрировали с помощью изометрических датчиков (Модель FT-10) и многоканального чернильного самописца (Модель 7) (компания Astro-Med, Inc., филиал Grass Instrument Div. , Уэст-Варвик, Род Айленд). Все упомянутые полоски постоянно поддерживались под напряжением покоя 0,5 г. В каждом эксперименте из одного мочевого пузыря нарезали до семи полосок, суспендировали их в отдельных тканевых камерах и уравновешивали раствором для препаровальных ванночек в течение одного часа перед дальнейшим проведением эксперимента. Сокращения, индуцированные карбахолом. Одна серия экспериментов была посвящена антихолинергическому действию оксибутинина. Сокращения тканевых полосок в этих экспериментах, для оценки жизнеспособности каждой из них и для последующего использования в качестве эталонного остова, вначале регистрировали, как реакцию на воздействие тканевой питательной среды, в которой NaCl был замещен КСl для получения концентрации КСl в среде на уровне 137,7 мМ. После этого вернулись к стандартной питательной среде; в последующем упомянутые тканевые полоски подвергали воздействию постепенно увеличивающихся концентраций карбахола, причем воздействие каждой концентрации продолжалось лишь до регистрации максимальной реакции. Затем, оставив одну полоску без обработки и/или одну полоску под воздействием 17 мМ раствора этанола для использования в качестве контрольной ткани(-ей), каждую из оставшихся тканевых полосок в течение одного часа подвергали воздействию одной из концентраций антагониста. Контрольные полоски, хранившиеся в растворе этанола, использовались в том случае, когда по причине плохой растворимости концентрированные растворы экспериментальных веществ должны были готовиться в этаноле, вследствие чего в препаровальных ванночках действительно оказывался 17 мМ раствор этанола. В конечном счете, во второй раз регистрировались реакции на повышенные концентрации карбахола, с последующим воздействием 137,7 мМ раствора KCI. Сокращения, индуцированные калием. Вторая серия экспериментов была посвящена спазмолитическому действию исследуемых веществ. Сокращения регистрировались, как реакция на последовательно возрастающую концентрацию калия в питательной среде. Анализ данных. Для определения, снижают ли антагонисты максимальную реакцию на агонистов, максимальное напряжение, развиваемое каждой полоской при осуществлении второй серии определений, выражали в виде процента от максимального напряжения, развивавшегося в процессе первого определения зависимости между концентрацией и эффектом. После этого, данные, полученные для каждого антагониста, анализировали на различия, связанные с обработкой, с помощью однофакторного дисперсионного анализа (ANOVA). Поскольку каждая полоска мочевого пузыря подвергалась воздействию лишь одной концентрации антагониста, для определения рА2 и наклона регрессии Шильда использовали методики Арунлакшана (Arunlakshana) и Шильда (Schild) (1959) в модифицированном виде. Прежде всего, для каждой полоски, по данным второй серии экспериментов по определению зависимости между концентрацией и эффектом, определяли концентрации агониста, вызывающие полумаксимальную реакцию (ЕС50). ЕС50 определяли по кривым линейной регрессии, подобранным по логарифму концентрации лекарственного препарата и реакциям, ограничивающим полумаксимальный уровень реакции с обеих сторон. Для каждой тканевой полоски, обработанной препаратом, “коэффициент концентрации” (CR) вычисляли, как коэффициент EC50 обработанной ткани, разделенный на EC50 необработанной ткани. Для каждого эксперимента, в котором две или более тканевых полосок подвергались воздействию одного и того же химического вещества, но в различных концентрациях, вычерчивали “графики Шильда”, т.е. графики зависимости логарифма упомянутого коэффициента минус 1 [т.е. log (СR-1)] от логарифма концентрации антагониста, воздействию которого подвергалась тканевая полоска. Для определения рА2 и наклона линии регрессии прибегали к регрессионному анализу, связывающему log (CR-1) с логарифмом концентрации упомянутого антагониста. И, наконец, данные экспериментов группировали по химическим веществам для вычисления среднего значения средняя квадратическая ошибка рА2 и наклона кривой. 95% доверительные уровни (CL) для упомянутой кривой определяли по средней квадратической ошибке с помощью стандартных способов. Для экспериментов, в которых воздействию данного химического вещества подвергалась всего одна тканевая полоска, pKD вычисляли, как (концентрация антагониста)/(СР-1), после чего отрицательный логарифм KD объединяли со значениями рА2 для получения расширенного множества значений рА2.
Влияние рацемического оксибутинина и DEO, а также их соответствующих энантиомеров на сокращение, индуцированное карбахолом, в обобщенном виде представлено в приведенной далее табл. 9. Приведенные значения представляют собой обобщенные данные анализов Шильда, которые дают значения рА2 [среднее значение средняя квадратическая ошибка] и наклона [среднее значение средняя квадратическая ошибка].
Представленные результаты свидетельствуют, что как S-OXY, так и S-DEO являются более слабыми антагонистами мускариновых рецепторов мочевого пузыря, чем R- и рацемический OXY, а также R- и рацемический DEO.
Влияние рацемического оксибутинина и его энантиомеров на сокращения, индуцированные калием, в обобщенном виде представлены в приведенной далее табл. 10. (Приведенные значения представляют собой величину сокращения, индуцированную 137,7 мМ К+ после 60-минутного воздействия соединения, разделенную на величину сокращения, индуцированную перед воздействием лекарственного препарата).
Эти результаты свидетельствуют о том, что оксибутинин и его энантиомеры, а также дезэтилоксибутинин и его энантиомеры обладают равной силой действия, как спазмолитики гладкой мускулатуры мочевого пузыря.
В то время как хорошо известно, что опорожнение мочевого пузыря опосредуется холинергическими механизмами, нестабильность функционирования мочевого пузыря, наблюдаемая у пациентов, страдающих недержанием мочи, связывается, по всей видимости, с нехолинергическими сокращениями мочевого пузыря. Андерсон (Andersson) и другие [Neurourol Urodyn 5, 579-586 (1986)] продемонстрировали на животных, что мышца, выталкивающая мочу, устойчивая к действию атропина, обладает высокой чувствительностью к антагонистам кальция.
Изучение описанного ранее рецепторсвязывающего сродства (R)- и (S)-оксибутинина к рецепторным участкам ингибиторов кальциевых каналов, дилтиазема и верапамила, позволяет сделать вывод о том, что S-оксибутинин и (S)-дезэтилоксибутинин оказывают терапевтическое воздействие на непроизвольное мочеиспускание, в то же время (в отличие от R-изомеров и рацематов) оказывая весьма незначительное воздействие на механизм нормального опустошения мочевого пузыря. Как S-OXY, так и S-DEO демонстрируют также существенно сниженный уровень антихолинергических побочных действий, по сравнению с соответствующим R-изомером и рацематом. Особое внимание следует обратить на отсутствие побочных эффектов относительно сердечно-сосудистой системы, что является следствием антихолинергического действия рацемического оксибутинина. Авторы изобретения пришли к заключению, что S-оксибутинин и S-дезэтилоксибутинин являются эффективными лекарственными средствами для лечения недержания мочи у людей со значительно уменьшенными побочными эффектами, по сравнению с рацематами либо чистыми R-энантиомерами.
ПРИМЕРЫПример 1 (см. табл.11) S-DEO, лактозу и кукурузный крахмал смешивают до получения однородного состава, затем к полученному порошку добавляют стеарат магния, образовавшуюся массу просеивают и с помощью соответствующего оборудования засыпают в двухдольные твердые желатиновые капсулы соответствующего размера. Иные дозы могут быть получены посредством изменения массы засыпаемого порошка и, в случае необходимости, соответствующего изменения размера капсулы. Поскольку, как минимум, одна кристаллическая форма упомянутых соединений, соответствующих настоящему изобретению, напоминает иглы, активный ингредиент необходимо размолоть либо подвергнуть гранулированию для получения сыпучего порошка для таблетирования либо засыпки в капсулы с использованием приемов работы с сухими порошками. Пример 2 (см. табл. 12). S-OXY смешивают с лактозой до получения однородной смеси. Меньшее количество кукурузного крахмала смешивают с водой, получая крахмальный клейстер. После этого упомянутый крахмальный клейстер смешивают с упомянутой однородной смесью до получения однородной влажной массы. Оставшийся кукурузный крахмал добавляют к образовавшейся влажной массе и перемешивают до образования однородных гранул. После этого упомянутые гранулы просевают через соответствующий измельчитель, используя сито из нержавеющей стали с величиной ячейки 1/4 дюйма (6,35 мм). Измельченные гранулы сушат в соответствующей сушильной печи до получения необходимого уровня содержания влаги. После этого высушеные гранулы пропускают через соответствующий измельчитель и полученную смесь прессуют в таблетки необходимой формы, толщины, твердости и распадаемости. Таблетки с иным содержанием активных веществ можно получить посредством изменения соотношения между активными ингредиентами и наполнителями либо конечной массой таблетки. Формула изобретения
РИСУНКИ
MM4A – Досрочное прекращение действия патента СССР или патента Российской Федерации на изобретение из-за неуплаты в установленный срок пошлины за поддержание патента в силе
Дата прекращения действия патента: 28.06.2007
Извещение опубликовано: 7.11.2010 БИ: 33/2010
|
||||||||||||||||||||||||||

-циклогексил-
.

средняя квадратическая ошибка рА2 и наклона кривой. 95% доверительные уровни (CL) для упомянутой кривой определяли по средней квадратической ошибке с помощью стандартных способов. Для экспериментов, в которых воздействию данного химического вещества подвергалась всего одна тканевая полоска, pKD вычисляли, как (концентрация антагониста)/(СР-1), после чего отрицательный логарифм KD объединяли со значениями рА2 для получения расширенного множества значений рА2.
Влияние рацемического оксибутинина и DEO, а также их соответствующих энантиомеров на сокращение, индуцированное карбахолом, в обобщенном виде представлено в приведенной далее табл. 9. Приведенные значения представляют собой обобщенные данные анализов Шильда, которые дают значения рА2 [среднее значение