Патент на изобретение №2194927
|
||||||||||||||||||||||||||
(54) СОЛНЕЧНЫЙ КОЛЛЕКТОР
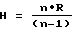
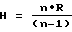
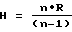
(57) Реферат: Изобретение относится к области создания высокотемпературных солнечных энергетических установок с концентраторами солнечного излучения и может быть использовано во всех отраслях промышленности, где требуется тепловая энергия. Сущность изобретения заключается в том, что в солнечном коллекторе, содержащем теплоизолированный корпус, в верхней части которого размещена пластина из набора линзовых концентраторов, под которыми в фокальной плоскости расположен теплоприемник, состоящий из тепловоспринимающей поверхности, согласно изобретению тепловоспринимающая поверхность выполнена выпукло-вогнутой, состоящей из вогнутых ячеек и повторяющей пространственную кривую, описываемую фокальной точкой каждой линзы в соответствии с положением Солнца в течение светового дня и Солнечного склонения и расположена на расстоянии Н от линз, определяемом из соотношения и достаточном для защиты последних от теплового воздействия тепловоспринимающей поверхности, при этом корпус снабжен установленным над линзами сферическим светопрозрачным ограждением и вакуумирован или заполнен газом, у которого длина свободного пробега молекул минимальна, где R – радиус кривизны линзы, n – коэффициент преломления света материала линзы. В коллекторе под тепловоспринимающей поверхностью теплоприемника может быть расположена полость для подачи и отвода высокотемпературного теплоносителя, забирающего энергию солнечного коллектора, а также возможно выполнение функции теплопроводника тепловоспринимающей поверхностью. Изобретение позволит обеспечить получение высоких температур теплоносителя без использования систем слежения за Солнцем. 2 з.п. ф-лы, 5 ил.
Изобретение относится к области создания высокотемпературных солнечных энергетических установок с концентраторами солнечного излучения и может быть использовано во всех отраслях промышленности, где требуется тепловая энергия, например, для получения электрической энергии и холода с высоким КПД, а также в бытовых установках. Известен солнечный коллектор, содержащий теплоизолированный корпус, концентратор которого выполнен в виде крышки, образованной расположенными в одной плоскости линзами, установленными над плоским теплоприемником энергии. А энергоподвод выполнен в виде теплопроводящих металлических стержней по числу линз с выступающими над теплоприемником торцами, закрытыми оптически прозрачными колпачками с внутренним селективным покрытием для снижения потерь тепла излучением (авт. свид. СССР 1247631, 30.07.86, F 24 J 2/08). Недостатком известного коллектора является невозможность получения высоких температур в связи с потерей тепловой энергии Солнца при его перемещении по небосклону в течение светового дня. Известен высокотемпературный солнечный коллектор, содержащий систему линз в верхней части теплоизолированного корпуса, расположенных двумя рядами друг над другом, нижний ряд которых имеет на верхней наружной поверхности селективный слой, и расположенный под ними теплоприемник с поглощающей лицевой стенкой в виде чередующихся воспринимающих излучение линейных полостных элементов с входными отверстиями и соединительными участками между ними, а фокальные линии линз расположены в зоне входных отверстий элементов (авт. свид. СССР 1815527, 15.05.93, F 24 J 2/08). Недостатком известного коллектора является сложность конструкции. Наиболее близким к предложенному является солнечный коллектор, содержащий теплоизолированный корпус, в верхней части которого расположена пластина из набора трубчатых линз, под которыми в фокальной плоскости расположен теплоприемник, состоящий из тепловоспринимающей поверхности и трубчатого нагревателя (авт. свид. СССР 828983, 07.05.81, F 24 J 2/08). Недостатком известного коллектора является невозможность максимального улавливания солнечной энергии в течение светового дня при перемещении Солнца по небесному небосводу и, как следствие этого, невозможность получить высокие температуры. Технической задачей, на решение которой направлено изобретение, является получение высоких температур солнечным коллектором без использования следящих за Солнцем устройств. Указанная техническая задача решается тем, что в солнечном коллекторе, содержащем теплоизолированный корпус, в верхней части которого расположена пластина из набора линзовых концентраторов, под которыми в фокальной плоскости расположен теплоприемник, состоящий из тепловоспринимающей поверхности, согласно изобретению, тепловоспринимающая поверхность выполнена выпукло-вогнутой, образованной вогнутыми ячейками и повторяющей пространственную кривую, описываемую фокальной точкой каждой линзы в соответствии с положением Солнца в течение светового дня и Солнечного склонения и расположена на расстоянии Н от линз, определяемом из соотношения и достаточном для защиты последних от теплового воздействия тепловоспринимающей поверхности, где R – радиус кривизны линзы, n – коэффициент преломления света материала линзы, при этом, корпус снабжен установленным над линзами сферическим светопрозрачным ограждением и вакуумирован или заполнен газом, у которого длина свободного пробега молекул минимальна, при этом, под тепловоспринимающей поверхностью теплоприемника расположена полость для подачи и отвода высокотемпературного теплоносителя, забирающего энергию солнечного коллектора, при этом, в одном из вариантов выполнения коллектора, тепловоспринимающая поверхность теплоприемника сама является теплопроводником.
Выполнение тепловоспринимающей поверхности выпукло-вогнутой, состоящей из вогнутых ячеек и повторяющей пространственную кривую, описываемую фокальной точкой каждой линзы в соответствии с положением Солнца в течение светового дня и Солнечного склонения, обеспечивает максимальное улавливание солнечной энергии в течение светового дня независимо от положения Солнца без использования следящей системы, то есть при любом положении Солнца сконцентрированные и отраженные лучи попадут на теплоприемник и уловятся выпукло-вогнутыми ячейками поверхности теплоприемника, расположенного в свою очередь от линз на расстоянии Н, равном фокусному, достаточном для защиты последних от теплового воздействия тепловоспринимающей поверхности.
Светопрозрачное ограждение корпуса имеет сферичность, достаточную для противостояния разрежению и исключению Френелевского отражения, а также максимального улавливания солнечного излучения.
Вакуумирование коллектора позволит обеспечить получение высокой температуры и снизить теплопотери.
В одном из вариантов, корпус может быть заполнен газом, у которого длина свободного пробега молекул минимальна, например, криптоном, ксеноном, аргоном и т.д., для исключения тепловых потерь.
Также тепловоспринимающая поверхность теплоприемника может быть выполнена, например, из металла и сама являться проводником тепла.
На фиг.1 изображен общий вид коллектора, поперечное сечение, на фиг.2 – вид коллектора сверху, на фиг.3 – выпукло-вогнутая тепловоспринимающая поверхность, на фиг.4, 5 – направление лучей в зависимости от положения Солнца в течение дня и Солнечного склонения.
Солнечный коллектор содержит теплоизолированный корпус 1, в верхней части которого расположена пластина из набора линзовых концентраторов 2, под которыми в фокальной плоскости расположен теплоприемник, состоящий из тепловоспринимающей поверхности, выполненной выпукло-вогнутой, состоящей из вогнутых ячеек 3, повторяющих пространственную кривую, описываемую фокальной точкой каждой линзы в соответствии с положением Солнца в течение светового дня и расположена на расстоянии Н от линз, определяемом из соотношения и достаточном для защиты последних от теплового воздействия тепловоспринимающей поверхности, где R – радиус кривизны линзы, n – коэффициент преломления света материала линзы. Над линзами установлено сферическое светопрозрачное ограждение 4 со сферичностью, достаточной для противостояния разрежению и исключения Френелевского отражения. Корпус 1 имеет днище 5 и может быть вакуумирован или заполнен газом, у молекул которого длина свободного пробега минимальна, например, криптон, аргон, ксенон и др. Под тепловоспринимающей поверхностью теплоприемника может быть расположена полость для подвода и отвода высокотемпературного теплоносителя. Полость может быть выполнена в виде трубчатого коллектора, теплоноситель к которому подается и отводится по проводам 6. Емкости 7 и 8 соединены энергопроводами 9, находящимися в контакте с тепловоспринимающей поверхностью. В другом варианте выполнения, тепловоспринимающая поверхность теплоприемника может сама являться теплопроводником.
Тепловоспринимающая поверхность теплоприемника может быть выполнена из меди, зачерненного алюминия или металлокерамических материалов.
Солнечный коллектор работает следующим образом.
Солнечные лучи после прохождения прозрачного ограждения 4 попадают на линзовые концентраторы 2 и концентрируются на их фокальных плоскостях, совпадающих с выпукло-вогнутой тепловоспринимающей поверхностью, образованной ячейками 3. Размеры линзовых концентраторов выбираются в соответствии с углами поля зрения в сагиттальных и меридиональных плоскостях и исходя из условия защиты от теплового воздействия теплоприемника. Теплоноситель по проводам 6 передает энергию к потребителю. Емкости 7 и 8 соединены энергопроводами 9, находящимися в контакте с тепловоспринимающей поверхностью.
Системы слежения за положением Солнца ограничивают мощность установки и резко удорожают ее.
Место положения фокальной точки для любого положения Солнца может быть рассчитано и изготовлено в виде поверхности с пространственной кривой, совпадающей с кривой перемещения фокуса линзы в зависимости от положения Солнца.
Формула изобретения
и достаточном для защиты последних от теплового воздействия тепловоспринимающей поверхности, при этом корпус снабжен установленным над линзами сферическим светопрозрачным ограждением и вакуумирован или заполнен газом, у которого длина свободного пробега молекул минимальна, где R – радиус кривизны линзы; n – коэффициент преломления света материала линзы.
2. Солнечный коллектор по п. 1, отличающийся тем, что под тепловоспринимающей поверхностью теплоприемника расположена полость для подачи и отвода высокотемпературного теплоносителя, забирающего энергию солнечного коллектора.
3. Солнечный коллектор по п. 1, отличающийся тем, что тепловоспринимающая поверхность теплоприемника является теплопроводником.
РИСУНКИ
MM4A Досрочное прекращение действия патента Российской Федерации на изобретение из-за неуплаты в установленный срок пошлины за поддержание патента в силе
Дата прекращения действия патента: 17.04.2004
Извещение опубликовано: 20.02.2006 БИ: 05/2006
|
||||||||||||||||||||||||||

и достаточном для защиты последних от теплового воздействия тепловоспринимающей поверхности, при этом корпус снабжен установленным над линзами сферическим светопрозрачным ограждением и вакуумирован или заполнен газом, у которого длина свободного пробега молекул минимальна, где R – радиус кривизны линзы, n – коэффициент преломления света материала линзы. В коллекторе под тепловоспринимающей поверхностью теплоприемника может быть расположена полость для подачи и отвода высокотемпературного теплоносителя, забирающего энергию солнечного коллектора, а также возможно выполнение функции теплопроводника тепловоспринимающей поверхностью. Изобретение позволит обеспечить получение высоких температур теплоносителя без использования систем слежения за Солнцем. 2 з.п. ф-лы, 5 ил.
и достаточном для защиты последних от теплового воздействия тепловоспринимающей поверхности, где R – радиус кривизны линзы, n – коэффициент преломления света материала линзы, при этом, корпус снабжен установленным над линзами сферическим светопрозрачным ограждением и вакуумирован или заполнен газом, у которого длина свободного пробега молекул минимальна, при этом, под тепловоспринимающей поверхностью теплоприемника расположена полость для подачи и отвода высокотемпературного теплоносителя, забирающего энергию солнечного коллектора, при этом, в одном из вариантов выполнения коллектора, тепловоспринимающая поверхность теплоприемника сама является теплопроводником.
Выполнение тепловоспринимающей поверхности выпукло-вогнутой, состоящей из вогнутых ячеек и повторяющей пространственную кривую, описываемую фокальной точкой каждой линзы в соответствии с положением Солнца в течение светового дня и Солнечного склонения, обеспечивает максимальное улавливание солнечной энергии в течение светового дня независимо от положения Солнца без использования следящей системы, то есть при любом положении Солнца сконцентрированные и отраженные лучи попадут на теплоприемник и уловятся выпукло-вогнутыми ячейками поверхности теплоприемника, расположенного в свою очередь от линз на расстоянии Н, равном фокусному, достаточном для защиты последних от теплового воздействия тепловоспринимающей поверхности.
Светопрозрачное ограждение корпуса имеет сферичность, достаточную для противостояния разрежению и исключению Френелевского отражения, а также максимального улавливания солнечного излучения.
Вакуумирование коллектора позволит обеспечить получение высокой температуры и снизить теплопотери.
В одном из вариантов, корпус может быть заполнен газом, у которого длина свободного пробега молекул минимальна, например, криптоном, ксеноном, аргоном и т.д., для исключения тепловых потерь.
Также тепловоспринимающая поверхность теплоприемника может быть выполнена, например, из металла и сама являться проводником тепла.
На фиг.1 изображен общий вид коллектора, поперечное сечение, на фиг.2 – вид коллектора сверху, на фиг.3 – выпукло-вогнутая тепловоспринимающая поверхность, на фиг.4, 5 – направление лучей в зависимости от положения Солнца в течение дня и Солнечного склонения.
Солнечный коллектор содержит теплоизолированный корпус 1, в верхней части которого расположена пластина из набора линзовых концентраторов 2, под которыми в фокальной плоскости расположен теплоприемник, состоящий из тепловоспринимающей поверхности, выполненной выпукло-вогнутой, состоящей из вогнутых ячеек 3, повторяющих пространственную кривую, описываемую фокальной точкой каждой линзы в соответствии с положением Солнца в течение светового дня и расположена на расстоянии Н от линз, определяемом из соотношения
и достаточном для защиты последних от теплового воздействия тепловоспринимающей поверхности, где R – радиус кривизны линзы, n – коэффициент преломления света материала линзы. Над линзами установлено сферическое светопрозрачное ограждение 4 со сферичностью, достаточной для противостояния разрежению и исключения Френелевского отражения. Корпус 1 имеет днище 5 и может быть вакуумирован или заполнен газом, у молекул которого длина свободного пробега минимальна, например, криптон, аргон, ксенон и др. Под тепловоспринимающей поверхностью теплоприемника может быть расположена полость для подвода и отвода высокотемпературного теплоносителя. Полость может быть выполнена в виде трубчатого коллектора, теплоноситель к которому подается и отводится по проводам 6. Емкости 7 и 8 соединены энергопроводами 9, находящимися в контакте с тепловоспринимающей поверхностью. В другом варианте выполнения, тепловоспринимающая поверхность теплоприемника может сама являться теплопроводником.
Тепловоспринимающая поверхность теплоприемника может быть выполнена из меди, зачерненного алюминия или металлокерамических материалов.
Солнечный коллектор работает следующим образом.
Солнечные лучи после прохождения прозрачного ограждения 4 попадают на линзовые концентраторы 2 и концентрируются на их фокальных плоскостях, совпадающих с выпукло-вогнутой тепловоспринимающей поверхностью, образованной ячейками 3. Размеры линзовых концентраторов выбираются в соответствии с углами поля зрения в сагиттальных и меридиональных плоскостях и исходя из условия защиты от теплового воздействия теплоприемника. Теплоноситель по проводам 6 передает энергию к потребителю. Емкости 7 и 8 соединены энергопроводами 9, находящимися в контакте с тепловоспринимающей поверхностью.
Системы слежения за положением Солнца ограничивают мощность установки и резко удорожают ее.
Место положения фокальной точки для любого положения Солнца может быть рассчитано и изготовлено в виде поверхности с пространственной кривой, совпадающей с кривой перемещения фокуса линзы в зависимости от положения Солнца.
и достаточном для защиты последних от теплового воздействия тепловоспринимающей поверхности, при этом корпус снабжен установленным над линзами сферическим светопрозрачным ограждением и вакуумирован или заполнен газом, у которого длина свободного пробега молекул минимальна, где R – радиус кривизны линзы; n – коэффициент преломления света материала линзы.
2. Солнечный коллектор по п. 1, отличающийся тем, что под тепловоспринимающей поверхностью теплоприемника расположена полость для подачи и отвода высокотемпературного теплоносителя, забирающего энергию солнечного коллектора.
3. Солнечный коллектор по п. 1, отличающийся тем, что тепловоспринимающая поверхность теплоприемника является теплопроводником.