Патент на изобретение №2193989
|
||||||||||||||||||||||||||
(54) СПОСОБ ПОСТРОЕНИЯ ПРОСТРАНСТВЕННОЙ ТРАЕКТОРИИ ДВИЖЕНИЯ ТРАНСПОРТНОГО СРЕДСТВА ПО ЗАРЕГИСТРИРОВАННЫМ ДАННЫМ И УСТРОЙСТВО ДЛЯ ЕГО ОСУЩЕСТВЛЕНИЯ
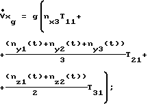
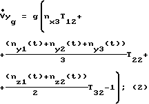
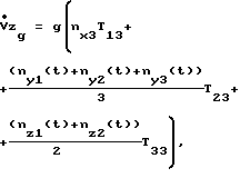
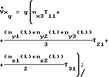
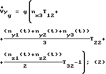
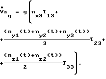
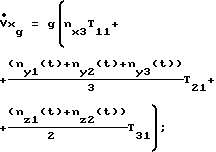
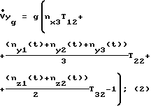
(57) Реферат: Изобретение относится к средствам контроля и регистрации работы транспортных средств и предназначено для построения пространственной траектории движения транспортного средства (ТС) по зафиксированным данным и действий водителя в ходе выяснения причин дорожно-транспортного происшествия (ДТП). Способ включает измерение параметров движения и занесение результатов измерений в запоминающее устройство с последующим воспроизведением и анализом результатов измерений, предусматривает измерение боковой и вертикальной перегрузок в передней и задней боковых частях транспортного средства, продольной и вертикальной перегрузок в передней части транспортного средства на его продольной оси и скорости движения с последующим использованием результатов измерений для построения пространственной траектории движения транспортного средства по пространственным координатам Хg, Yg, Zg в нормальной системе координат как функции времени (t). Устройство для осуществления этого способа, содержащее датчик скорости, датчик угла поворота колес, блок хранения и обработки информации, имеет также датчики боковой и вертикальной перегрузок, размещенные в передней и задней боковых частях транспортного средства, и датчик продольной и вертикальной перегрузок, размещенный в передней части транспортного средства на его продольной оси. Технический результат заключается в проведении достоверного анализа ДТП и построении пространственной траектории движения ТС перед ДТП и в момент ДТП при одновременном упрощении реализации. 2 с.п. ф-лы, 4 ил., 2 табл. Изобретение относится к области транспорта, а именно к средствам контроля и регистрации работы транспортных средств, и предназначено для построения по зафиксированным данным пространственной траектории движения транспортного средства и действий водителя в ходе выяснения причин дорожно-транспортного происшествия (ДТП). Известные регистраторы параметров движения, предназначенные для расследования ДТП, учитывают движение транспортного средства лишь в горизонтальной плоскости и не рассчитаны на анализ причин, приводящих к его опрокидыванию, которым заканчивается 19% ДТП, причем наиболее тяжелых. Известна система регистрации функционирования и состояния автомобиля и условий окружающей среды (пат. Великобритании 2268608 от 1994 г., кл. МПК G 07 C 5/08), реализующая при работе способ, принятый в качестве наиболее близкого аналога, и включающий измерение параметров движения транспортного средства. Это решение не позволяет строить пространственную траекторию транспортного средства и поэтому провести достоверный анализ ДТП, а его реализация связана с существенными затратами, вызванными необходимостью встраивания датчиков практически во все узлы автомобиля, что возможно только на заводе-изготовителе или в условиях специализированного автопредприятия. Задача, на решение которой направлено изобретение, заключается в устранении указанных недостатков. Решение поставленной задачи достигается тем, что в способе построения пространственной траектории движения транспортного средства по зарегистрированным данным, включающим измерение параметров движения, по меньшей мере скорости и ускорений, и сохранение в запоминающем устройстве с последующим воспроизведением и анализом результатов измерений, отличающимся тем, что выполняют измерение боковой и вертикальной перегрузок в передней и задней частях транспортного средства, продольной и вертикальной перегрузок в передней части транспортного средства на его продольной оси, а результаты измерений используют для построения траектории по пространственным координатам Xg, Yg, Zg в нормальной системе координат, как функция времени (t), определяемым по следующим уравнениям пространственного движения: = Vxg; = Vyg; (1) = Vzg,где Vxg, Vyg, Vzg – составляющие вектора линейной скорости движения тела по осям нормальной земной системы координат, которые определяются как функция времени (t), по следующим зависимостям: ![]() ![]() ![]() где ny1(t), nz1(t) – сигналы с переднего левого датчика перегрузок, пропорциональные вертикальной и боковой перегрузкам соответственно; ny2(t), nz2(t) – сигналы с заднего левого датчика перегрузок, пропорциональные вертикальной и боковой перегрузкам соответственно; nx3(t), ny3(t) – сигналы с переднего датчика перегрузок на продольной оси транспортного средства, пропорциональные продольной и вертикальной перегрузкам соответственно; Т11-Т33 – элементы матрицы Тij, при этом начальные значения фазовых координат определяют на основании априорной информации о характере движения транспортного средства в выбранный момент времени, преимущественно при неподвижном состоянии транспортного средства или при прямолинейном движении, а начальные значения фазовых координат Vxg, Vyg, Vzg определяют на основании показания датчика скорости V: Vxg(to) = V(to)cos (to)cos (to);Vyg(to) = V(to)cos (to)cos (to);![]() ![]() ![]() ![]() ![]() ![]() ![]() ![]() где x, y, z – составляющие вектора угловой скорости вращения тела по осям связанной системы координат OXYZ; составляющие вектора угловой скорости как функция времени (t); , , – углы между осями связанной OXYZ и нормальной земной системы координат;OoXgYgZg определяют угловое положения тела в пространстве; углы между осями связанной OXYZ и нормальной земной системы координат как функция времени (t);Lx – расстояние между передним боковым и задним боковым датчиками перегрузок вдоль оси X; Lz – расстояние между передними датчиками перегрузок боковым и продольным вдоль оси Z. В устройстве для построения пространственной траектории транспортного средства, содержащем датчик скорости, датчик угла поворота колес, блок регистрации информации, имеются также датчики боковой и вертикальной перегрузок, размещенные в передней и задней боковых частях транспортного средства, и датчик продольной и вертикальной перегрузок, размещенный в передней части транспортного средства на его продольной оси. К наиболее частым и тяжелым видам ДТП относятся столкновения транспортного средства и различного вида наезды. Наиболее важный фактор, который необходимо учитывать при расследовании ДТП, – это вид происшествия в зависимости от типа соударения и места нанесения удара. В зависимости от направления удара и характера действующей нагрузки столкновения транспортных средств можно классифицировать следующим образом: – лобовой или фронтальный удар, то есть удар, приходящийся на переднюю часть автомобиля (столкновение транспортного средства передней частью с движущимся или неподвижным объектом, причем действие ударной силы совпадает с направлением движения центра тяжести); – задний удар, приходящийся в заднюю часть автомобиля (столкновение транспортного средства задней частью с движущимся или неподвижным объектом); – боковой удар, приходящийся в правый или левый бок автомобиля по всей его длине (столкновение транспортного средства боковой частью с объектом, движущимся в направлении, пересекающем его движение). При расследовании ДТП основными задачами являются: – определение параметров движения транспортного средства при ДТП; – построение пространственной траектории движения транспортного средства; – оценка действий водителя при ДТП; – оценка работоспособности жизненно важных систем транспортного средства. Исходя из этих задач и необходимой информативности, а также видов ДТП определялся минимально необходимый перечень регистрируемых системой параметров, приведенный в таблице 1. Кроме того, определяющими при построении системы фиксации явились технико-экономические (быстродействие, количество каналов, объем памяти, стоимость и др.) и массогабаритные характеристики датчиков и блока регистрации. Среди параметров движения наиболее важными являются скорость транспортного средства и положение рулевого колеса или положение управляемых колес, что с достаточной степенью точности характеризует направление движения, которое может корректироваться при реконструкции траектории движения. Действия водителя и исправность транспортного средства в основном оцениваются по регистрации разовых команд по принципу “да”-“нет” (см. таблицу 1). Изобретение поясняется графическими материалами, где на фиг.1 и 2 изображена схема размещения датчиков аналоговых сигналов на транспортном средстве, на фиг. 3 – схематично показано транспортное средство в аксонометрической проекции с указанием направления измеряемых перегрузок по осям XYZ, на фиг.4 – функциональная схема устройства для реализации способа. В принятой постановке задачи построения траектории движения необходимо исследовать уравнения движения транспортного средства в общем случае пространственного движения. Система уравнений в проекциях на оси декартовой системы координат может быть записана в следующем виде: m(Vx+ yVz– zVy) = Rx; (1)![]() ![]() ![]() ![]() ![]() здесь Vx, Vy, Vz – проекции вектора скорости; x, y, z – – проекции вектора угловой скорости;Rx, Ry, Rz – результирующие продольная, нормальная и поперечная силы; Mrx, Mry, Mrz – результирующие моменты крена, тангажа и рыскания; Jx, Jy, Jz – моменты инерции транспортного средства относительно соответствующих осей принятой системы координат. Первые три уравнения системы представляют собой уравнения поступательного движения транспортного средства (движения его центра масс), так называемые силовые уравнения. Следующие три – уравнения вращательного движения (вращение относительно центра масс). Левые части уравнений динамики центра масс транспортного средства (1)… (3) представляют собой составляющие результирующего ускорения в проекциях на соответствующие оси координат. В связанной системе координат составляющие перегрузки равны nx=Rx/mg; ny=Ry/mg; nz=Rz/mg. После несложных алгебраических преобразований первых трех уравнений и подставляя вместо отношений сил соответствующие перегрузки, получаем уравнения динамики центра масс транспортного средства с использованием перегрузок (так называемые уравнения в перегрузках): V = g(nx-sin ); = g/V(nzcos -cos ); = -gsin ny/Vcos ,где – угол крена, представляющий собой угол между нормальной осью OY связанной системы координат (между плоскостью симметрии транспортного средства) и вертикальной плоскостью, проходящей через продольную связанную ось транспортного средства ОХ; – угол тангажа, угол между продольной связанной осью транспортного средства ОХ и горизонтальной плоскостью.
Эти уравнения позволяют определять траекторные характеристики через перегрузки. Из первого уравнения находим изменение скорости движения. Второе уравнение характеризует искривление траектории движения в плоскости ее развертки. Третье уравнение определяет искривление горизонтальной проекции траектории.
Иными словами, эти три уравнения полностью определяют вектор скорости транспортного средства: первое – его модуль, а второе и третье – соответственно углы его поворота в вертикальной и горизонтальной плоскостях.
Регистрируя ускорения транспортного средства по трем связанным осям, а также изменение скорости и направления движения во времени, можно реконструировать движение транспортного средства по пространственной траектории при ДТП. Помимо этого, оптимальный выбор и размещение датчиков ускорения позволяют при реконструкции траектории в ходе расследования ДТП определять и учитывать юз и занос транспортного средства, его опрокидывание, место и направление удара при столкновении.
На фиг. 1 и 2 показано предлагаемое размещение датчиков аналоговых сигналов на автомобиле.
Устройство содержит:– датчик 1 – вертикальной и боковой перегрузок (стрелками показаны оси чувствительности), размещенный в передней левой части транспортного средства; – датчик 2 – продольной и вертикальной перегрузок (стрелками показаны оси чувствительности), размещенный в передней части транспортного средства на его продольной оси; – датчик 3 – скорости; – датчик 4 – угла поворота передних колес; – блок 5 – регистрации; – датчик 6 – вертикальной и боковой перегрузок (стрелками показаны оси чувствительности), размещенный в задней левой части транспортного средства. На фиг.3 изображены оси связанной системы координат OX, OY, OZ. Как видно из фиг.1, 2 и 3 при размещении датчиков 1 и 6 вертикальной и боковой перегрузок предпочтительно у левого борта транспортного средства, а датчика 2 продольной и вертикальной перегрузки – на продольной оси транспортного средства, в его передней части, акселерометры будут реагировать как на линейные – продольное, поперечное и вертикальное движения вдоль осей OX, OY и OZ, так и на вращательные движения относительно этих осей. Способ реализуется при работе системы регистрации статических и динамических параметров, которая содержит: – блок 5 регистрации информации, включающий аналого-цифровой преобразователь (АЦП), плату формирования разовых команд, микроконтроллеры, оперативное запоминающее устройство (ОЗУ), долговременное запоминающее устройство (ДЗУ) и порт с интерфейсом для подключения к внешнему считывающему устройству; – датчики 2, 1, 6 продольной, вертикальной и боковой перегрузки (акселерометры, выполненные в виде кремниевых интегральных схем); – датчик 3 скорости (датчик Холла, устанавливаемый на коробке передач в разрыв троса спидометра); – датчик 4 угла поворота колес (потенциометрический датчик). В соответствии с уравнениями пространственного движения транспортного средства = Vxg; = Vyg; (1) = Vzg,где Xg, Yg, Zg – координаты тела в нормальной земной системе координат; Vxg, Vyg, Vzg – составляющие вектора линейной скорости движения тела по осям нормальной земной системы координат, которые определяются как функция времени (t), по следующим зависимостям: ![]() ![]() ![]() где ny1(t), nz1(t) – сигналы с переднего левого датчика перегрузок, пропорциональные вертикальной и боковой перегрузкам соответственно; ny2(t), nz2(t) – сигналы с заднего левого датчика перегрузок, пропорциональные вертикальной и боковой перегрузкам соответственно; nx3(t), ny3(t) – сигналы с переднего датчика перегрузок на продольной оси транспортного средства, пропорциональные продольной и вертикальной перегрузкам соответственно; Т11-Т33 – элементы матрицы Тij, при этом начальные значения фазовых координат определяют на основании априорной информации о характере движения транспортного средства в выбранный момент времени, преимущественно при неподвижном состоянии транспортного средства или при прямолинейном движении, а начальные значения фазовых координат Vxg, Vyg, Vzg определяют на основании показания датчика скорости V: Vxg(to) = V(to)cos (to)cos (to);Vyg(to) = V(to)cos (to)cos (to);![]() ![]() ![]() ![]() ![]() ![]() ![]() ![]() где x, y, z – составляющие вектора угловой скорости вращения тела по осям связанной системы координат OXYZ; составляющие вектора угловой скорости как функция времени (t); , , – углы между осями связанной OXYZ и нормальной земной системы координат;OoXgYgZg определяют угловое положения тела в пространстве; углы между осями связанной OXYZ и нормальной земной системы координат как функция времени (t);Lx – расстояние между передним боковым и задним боковым датчиками перегрузок вдоль оси X; Lz – расстояние между передними датчиками перегрузок боковым и продольным вдоль оси Z. Способ реализуется с помощью устройства регистрации параметров движения (фиг.4), включающего в себя: – блок 5 регистрации, включающий аналого-цифровой преобразователь (АЦП), плату формирования разовых команд, микроконтроллеры, оперативное запоминающее устройство (ОЗУ), долговременное запоминающее устройство (ДЗУ) и порт с интерфейсом для подключения к внешнему считывающему устройству (конструктивно выполнен на типовых микроэлементах); – датчики 2, 1 и 6 продольной, вертикальной и боковой перегрузки (акселерометры, выполненные в виде кремниевых интегральных схем); – датчик 3 скорости (датчик Холла, устанавливаемый на коробке передач в разрыв троса спидометра); – датчик 4 угла поворота колес (потенциометрический датчик). Долговременное запоминающее устройство с целью сохранения информации при ДТП помещается в ударопрочный корпус со специальной термостойкой обмазкой, обеспечивающей сохранность информации при нахождении блока в зоне пожара. Считывание сохраненной информации параметров движения транспортного средства и действий водителя при ДТП, а также ее обработка в соответствии с градуировочными характеристиками, производятся с помощью специального наземного пульта или персонального компьютера типа Note-Book. Обработка полученной информации и построение траектории движения до и после ДТП обеспечиваются специальным программным обеспечением, позволяющим производить количественную (величина скорости, тормозной путь, ускорения, углы поворота колес и т.д.) и визуальную оценку в псевдотрехмерном пространстве ТС. Задача построения пространственной траектории движения ТС основана на решении уравнений пространственного движения, приведенных ранее, по алгоритмам, приведенным в таблице 2. Формула изобретения
= Vxg; = Vyg; (1) = Vzg,где Vxg, Vyg, Vzg – составляющие вектора линейной скорости движения тела по осям нормальной земной системы координат, которые определяются как функция времени (t) по следующим зависимостям: ![]() ![]() ![]() где ny1(t), nz1(t) – сигналы с переднего левого датчика перегрузок, пропорциональные вертикальной и боковой перегрузкам соответственно; ny2(t), nz2(t) – сигналы с заднего левого датчика перегрузок, пропорциональные вертикальной и боковой перегрузкам соответственно; nх3(t), nу3(t) – сигналы с переднего датчика перегрузок на продольной оси транспортного средства, пропорциональные продольной и вертикальной перегрузкам соответственно; Т11-Т33 – элементы матрицы Тij, при этом начальные значения фазовых координат определяют на основании априорной информации о характере движения транспортного средства в выбранный момент времени, преимущественно при неподвижном состоянии транспортного средства или при прямолинейном движении, а начальные значения фазовых координат Vxg, Vyg, Vzg определяют на основании показания датчика скорости V: Vxg(to) = V(to)cos (to)cos (to);Vyg(to) = V(to)cos (to)cos (to);![]() ![]() ![]() ![]() ![]() ![]() ![]() ![]() где x, y, z – составляющие вектора угловой скорости вращения тела по осям связанной системы координат ОХYZ; составляющие вектора угловой скорости как функция времени (t), , , – углы между осями связанной ОХYZ и нормальной земной системы координат ОоХgYgZg, определяющие угловое положение тела в пространстве; углы между осями связанной ОХYZ и нормальной земной системы координат как функция времени (t);Lх – расстояние между передним боковым и задним боковым датчиками перегрузок вдоль оси Х; Lz – расстояние между передними датчиками перегрузок, боковым и продольным, вдоль оси Z. 2. Устройство для реализации способа построения пространственной траектории движения транспортного средства по зарегистрированным данным по п.1, содержащее блок регистрации и датчики параметров движения скорости и ускорений, отличающееся тем, что оно содержит датчики боковой и вертикальной перегрузок, размещенные в передней и задней боковых частях транспортного средства, датчик продольной и вертикальной перегрузок, размещенный в передней части транспортного средства на его продольной оси, при этом выходы упомянутых датчиков параметров движения соединены со входами блока регистрации информации, обеспечивающего определение пространственных координат Хg, Yg и Zg в нормальной земной системе координат как функция времени (t). РИСУНКИ
MM4A Досрочное прекращение действия патента Российской Федерации на изобретение из-за неуплаты в установленный срок пошлины за поддержание патента в силе
Дата прекращения действия патента: 30.06.2003
Извещение опубликовано: 20.11.2004 БИ: 32/2004
|
||||||||||||||||||||||||||

= Vxg;
= Vyg; (1)
= Vzg,


(to)cos
(to);
(to);







x,
составляющие вектора угловой скорости как функция времени (t);
углы между осями связанной OXYZ и нормальной земной системы координат как функция времени (t);




= -gsin
= Vxg;
= Vyg; (1)
= Vzg,










составляющие вектора угловой скорости как функция времени (t);
углы между осями связанной OXYZ и нормальной земной системы координат как функция времени (t);
= Vxg;
= Vyg; (1)
= Vzg,










составляющие вектора угловой скорости как функция времени (t),
углы между осями связанной ОХYZ и нормальной земной системы координат как функция времени (t);