Патент на изобретение №2193887
|
||||||||||||||||||||||||||
(54) ЛЕЧЕБНОЕ СРЕДСТВО ПРОТИВ АЛОПЕЦИИ
(57) Реферат: Изобретение относится к новой композиции, обладающей лечебным действием при алопеции, гирсутизме по женскому типу или себореи, или обладающей профилактическим действием против метастаза в кости, вызванного раком предстательной железы, содержащей N-[1-метил-1-(4-метоксифенил)этил]-3-оксо-4-аза- 5 ![]() -карбоксамид, или его фармацевтически приемлемую соль или его фармацевтически приемлемое производное. Композиция обладает повышенной эффективностью. 3 с. и 15 з.п.ф-лы, 3 табл.
Изобретение относится к новой композиции, полезной при лечении алопеции, гирсутизма по женскому типу или себореи, или для предупреждения метастаза в кости, вызванного раком предстательной железы. Избыточная стимуляция андрогенных гормонов, таких как дигидротестостерон (DHT), вызывает андрогензависимую алопецию (облысение по мужскому типу или подобную), угри обыкновенные, себорею, гирсутизм по женскому типу, доброкачественную гипертрофию предстательной железы и рак предстательной железы. Стероидные антиандрогенные гормоны (например, женский гормон эстроген) являются соединениями, которые, как обнаружено, способны лечить такие симптомы, вызванные избыточной стимуляцией андрогенных гормонов. Однако они имеют склонность вызывать нежелательные действия, например феминизацию, поскольку они сами обладают гормональной активностью. С другой стороны, также разработаны нестероидные антиандрогенные гормоны. Несмотря на отсутствие гормонального действия, они конкурируют с природными андрогенами за рецептор и поэтому оказывают нежелательное действие, такое как феминизация плода мужского пола или самца, или инициация механизма обратной связи, что избыточно стимулирует яичко. Так как 5 -редуктаза действует на тестостерон с образованием дигидротестостерона (DHT), то если можно ингибировать активность 5 -редуктазы, можно ожидать лечения симптомов, вызванных избыточной стимуляцией андрогенных гормонов, без указанного побочного действия.
5 -Редуктаза человека имеет два изомера. Выяснено, что 5 -редуктаза типа I существует в сальных железах лица и кожи, а 5 -редуктаза типа II локализована в предстательной железе.
Ожидалось, что сильное ингибирование 5 -редуктазы типа I, присутствующей в волосяном фолликуле, может ослабить облысение по мужскому типу. Осуществили оценку действия МК386 – селективного ингибитора 5 -редуктазы типа I, с использованием обезьяны, которая являлась животной моделью облысения по мужскому типу. В результате оказалось, что уровень DHT в крови падает на 30-40%, но такое действие МК 386 не было оценено (J. Invest. Dermatol., 104, 658 (1995)).
![]() Введение финастерида, который является селективным ингибитором 5 -редуктазы типа II, животной модели при дозе 1 мг/кг снижает содержание DHT в крови на 60-70%, однако, неожиданно выяснилось, что он эффективен при лечении облысения (J. Clin. Endocrinol. Metabol., 79, 991 (1994)).
Действительно, о действии финастерида на облысение человека узнали при клинической проверке. Ингибирование фактора, который принимает участие в снижении объема волосяных фолликул, приводит к такому действию и, как предположили, зависит от содержания DHT в крови. Кроме того, в результате последних клинических испытаний обнаружено, что интенсивность снижения содержания DHT в крови зависит, главным образом, от эффективности ингибирующего действия против 5 -редуктазы типа II, и что более хорошие результаты можно получить при применении ингибитора 5 -редуктазы типа I в сочетании с ингибитором 5 -редуктазы типа II (J. Clin. Endocrinol. Metabol., 81, 2942-2947 (1996)).
Также полагают, что при лечении гирсутизма по женскому типу или себореи соединение, обладающее ингибирующим действием против 5 -редуктазы типа I и ингибирующим действием против 5 -редуктазы типа II, оказывается более хорошим лечебным средством по сравнению с соединением, обладающим ингибирующим действием только против 5 -редуктазы типа II. Для того чтобы найти более эффективное лечебное средство против алопеции, гирсутизма по женскому типу или себореи, требуется соединение, которое ингибирует -редуктазу типа II сильнее, чем финастерид, и в то же время сильно ингибирует 5 -редуктазу типа I.
5 -Редуктаза типа II локализована в предстательной железе, поэтому соединение с сильным ингибирующим действием против -редуктазы типа II является эффективным для лечения рака предстательной железы, но недавно обнаружено, что при развитии рака предстательной железы и метастаза в кости 5 -редуктаза типа I находится в активной форме [заявка на патент Японии (kokai), Hei 8-277220] . Также ожидается, что такое соединение, как описанное выше, способное к ингибированию 5 -редуктаз как типа I, так и типа II, является полезным при предупреждении и лечении заболеваний предстательной железы.
Обнаружено, что соединение (I) настоящего изобретения обладает сильным игибирующим действием против простатических ферментов [заявка на патент Японии (kokai), Hei 5-32693] . Резонно ожидать ингибирующего действия против простатических ферментов против 5 -редуктазы типа II. Однако невозможно ожидать ингибирующего действия против 5 -редуктазы типа I, поскольку 5 -редуктаза типа I не локализуется в предстательной железе.
Авторы настоящего изобретения в течение многих лет проводили широкие исследования по синтезу производных с ингибирующим действием против тестостерон-5 -редуктазы и фармакологическому действию этих производных. В результате обнаружено, что некоторые соединения определенного строения сильно ингибируют 5 -редуктазу типа II и более того сильно ингибируют 5 -редуктазу типа I, и, следовательно, они проявляют сильное действие по снижению содержания в крови DHT, что до сих пор не было доступно с известными селективными ингибиторами 5 -редуктазы типа II, и что они полезны при лечениии алопеции, гирсутизма по женскому типу или себореи, или при предупреждении метастаза в кости, вызванного раком предстательной железы.
Настоящее изобретение относится к новой композиции, полезной при лечениии алопеции, гирсутизма по женскому типу или себореи, или при предупреждении метастаза в кости, вызванного раком предстательной железы. В другом аспекте настоящее изобретение относится к применению указанного соединения для получения композиции для лечения алопеции, гирсутизма по женскому типу или себореи, или для предупреждения метастаза в кости, вызванного раком предстательной железы.
Еще в одном аспекте настоящее изобретение относится к способу лечения алопеции, гирсутизма по женскому типу или себореи, или предупреждения метастаза в кости, вызванного раком предстательной железы, включающему введение нуждающемуся в таком лечении теплокровному животному терапевтически эффективного количества указанной композиции.
Новая композиция настоящего изобретения для лечения алопеции, гирсутизма по женскому типу или себореи, или предупреждения метастаза в кости, вызванного раком предстательной железы, содержит в качестве активного ингредиента соединение представленное формулой (I), или его фармацевтически приемлемую соль или другое его производное, предпочтительно – N-[1-метил-1-(4-метоксифенил) -этил] -3-оксо-4-аза-5 -андрост-1-ен-17 -карбоксамид.
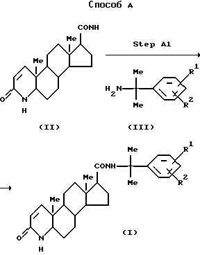
Новое применение по настоящему изобретению представляет собой применение соединения, представленного формулой (I), или его фармацевтически приемлемой соли или другого его производного, для получения композиции для лечения алопеции, гирсутизма по женскому типу или себореи, или для предупреждения метастаза в кости, вызванного раком предстательной железы, предпочтительно применение для получения указанной композиции N-[1-метил-1-(4-метоксифенил)этил]-3-оксо-4-аза-5 -андрост-1-ен-17 -карбоксамида:![]() где R1 и R2 являются одинаковыми или отличаются друг от друга, и каждый представляет атом водорода, гидроксильную группу или низшую алкоксигруппу. В формуле (I) термин “низшая алкоксигруппа” означает линейную или разветвленную C1-6-алкоксигруппу, такую как метокси, этокси, н-пропокси, изопропокси, н-бутокси, изобутокси, втор-бутокси, трет-бутокси, н-пентокси, изопентокси, 2-метилбутокси, неопентокси, н-гексилокси, 4-метилпентокси, 3-метилпентокси, 2-метилпентокси, 3,3-диметилбутокси, 2,2-диметилбутокси, 1,1-диметилбутокси, 1,2-диметилбутокси, 1,3-диметилбутокси или 2,3-диметилбутокси, из которых предпочтительна линейная или разветвленная C1-4-алкоксигруппа, и более предпочтительной является метоксигруппа. Термин “алопеция” означает облысение по мужскому типу и потерю волос на голове по женскому типу. Так как соединение (I) может образовывать соль, термин “фармацевтически приемлемые соли” обозначает соли соединения (I) настоящего изобретения, которое можно превратить в его соли, примерами таких солей являются предпочтительно соли щелочных металлов, такие как натриевая соль, калиевая соль и литиевая соль, соли щелочноземельных металлов, такие как кальциевая соль и магниевая соль, и соли металлов, такие как алюминиевая соль, соль железа и цинковая соль. Когда соединение (I) настоящего изобретения оставляют стоять на воздухе, оно может поглощать влагу или образовать гидрат. Такое вещество также охватывается настоящим изобретением. Соединение (I) настоящего изобретения можно получить по способу, представленному ниже: ![]() где R1 и R2 имеют указанные выше значения. В способе А соединение (I) получают посредством конденсации производного карбоновой кислоты с аминопроизводным. На стадии A1 соединение (I) получают с использованием соединения (II) или его реакционноспособного производного и соединения (III). Данную стадию осуществляют обычным методом, используемым в синтезе пептидов, например азидным методом, способом с активным сложным эфиром, способом со смешанным ангидридом или в процессе конденсации. Среди указанных способов азидный метод включает обработку азида амином (III). Азид получают посредством взаимодействия азотистой кислоты с гидразидом аминокислоты, который получают посредством взаимодействия соединения (II) или его эфира с гидразином при температуре приблизительно комнатной в инертном растворителе (например, диметилформамиде). Примерами соединений азотистой кислоты, используемых здесь, являются нитриты щелочных металлов, такие как нитрит натрия, и алкилнитриты, такие как изоамилнитрит. Взаимодействие осуществляют предпочтительно в инертном растворителе, и примерами растворителя, используемого здесь, являются амиды, такие как диметилформамид и диметилацетамид, сульфоксиды, такие как диметилсульфоксид, и пирролидоны, такие как N-метилпирролидон. Вторую стадию реакции при этом способе осуществляют обычным путем в одном реакторе. Температура реакции колеблется в интервале от -50 до 0oС на первой стадии, в то время как на второй стадии она находится в интервале от -10 до 10oС. Время, требуемое для реакции, составляет от 5 мин до 1 ч на первой стадии, в то время как на второй стадии оно находится в интервале от 10 ч до 5 сут. Способ с активным эфиром осуществляют посредством взаимодействия соединения (II) с активным этерифицирующим агентом с образованием активного эфира соединения (II), с последующим взаимодействием полученного соединения с амином (III). Обе реакции осуществляют предпочтительно в инертном растворителе, и примерами используемого здесь растворителя являются галогенсодержащие углеводороды, такие как метиленхлорид и хлороформ, простые эфиры, такие как диэтиловый эфир и тетрагидрофуран, амиды, такие как диметилформамид и диметилацетамид, и нитрилы, такие как ацетонитрил. Примерами используемого здесь этерифицирующего агента являются N-гидроксисоединения, такие как N-гидроксисукцинимид, 1-гидроксибензотриазол, N-гидрокси-5-норборнен-2,3-дикарбоксиимид, и дисульфиды, такие как дипиридилдисульфид. Этерификацию осуществляют, как правило, в присутствии конденсирующего агента, такого как дициклогексилкарбодиимид, карбонилдиимидазол или трифенилфосфин. Температура реакции составляет от -10 до 100oС при этерификации, в то время как при реакции активного эфира с амином (III) температура примерно комнатная. Время, необходимое для реакции, составляет от 30 мин до 80 ч при каждой реакции. При взаимодействии активного эфира с амином можно добавить 4-диметиламинопиридин или подобное соединение. Способ со смешанным ангидиридом осуществляют посредством взаимодействия смешанного ангидрида соединения (II) с амином. Реакцию получения смешанного ангидрида осуществляют путем взаимодействия соединения (II) с агентом, образующим смешанный ангидрид. Примерами такого агента являются низший (C1-C4)-алкилгалогенированный карбонат, такой как этилхлоркарбонат или изобутилхлоркарбонат, низший алканоилгалогенид, такой как пивалоилхлорид, (низший алкил)- или диарилцианофосфорная кислота, такая как диэтилцианофосфорная кислота или дифенилцианофосфорная кислота, или сульфонилгалогенид, такой как 2,4,6-триизопропилбензолсульфонилхлорид, пара-толуолсульфонилхлорид или метансульфонилхлорид. Взаимодействие осуществляют, как правило, в присутствии органического амина, такого как триметиламин или N-метилморфолин, при температуре от -10 до 50oС. Время, необходимое для реакции, составляет от 30 мин до 20 ч. Взаимодействие смешанного ангидрида и амина (III) проводят, как правило, в инертном растворителе (например, в указанных выше в качестве примеров галогенсодержащем углеводороде, амиде или простом эфире) в присутствии органического амина, примеры которого указаны выше. Температура реакции составляет от 0 до 80oС, а необходимое для реакции время составляет от 1 до 48 ч. С другой стороны, способ А осуществляют в смеси соединения (II), соединения (III) и агента, образующего соответствующий смешанный ангидрид, без выделения смешанного ангидрида. Процесс конденсации осуществляют путем непосредственного взаимодействия соединения (II) с амином (III) в присутствии конденсирующего агента, такого как дициклогексилкарбодиимид, карбонилдиимидазол, 1-метил-2-хлорпиридинийиодидтриэтиламин. Это взаимодействие осуществляют в условиях, используемых в описанной выше реакции получения активного эфира. Когда R1 или R2 содержит защищенную гидроксильную группу, защитную группу можно удалить обычным способом. Исходное соединение (II) или его активный эфир являются известными соединениями, или их можно получить с помощью процедуры, известной специалистам в этой области техники [см., например, J. Med. Chem., 27, 1690 (1984); J. Med. Chem., 29, 2298 (1986)]. Соединение (III) является известным соединением или его получает специалист в этой области техники [см., например, Synthesis, 593 (1976); J. Org. Chem. , 36, 305 (1971); Angew. Chem., 82, 138 (1970); Synthesis, 24 (1978); Synthetic Commun., 18, 777 (1988); Synthetic Commun., 18, 783 (1988); Organic Reaction, 3, 337 (1946); Org. Synthesis, 51, 48 (1971); Tetrahedron, 30, 2151 (1974); J. Org. Chem., 37, 188 (1972)]. Например, H2N-C(Me)(Me)-Ph(R1) (R2), который является исходным соединением настоящего изобретения, можно получить так, как показано на приведенной далее реакционной схеме: ![]() где R1 и R2 имеют указанные выше значения. Me представляет метильную группу, a Ph представляет фенильную группу, посредством реакции Гриньяра, реакции замещения гидроксильной группы азидной группой и последующим восстановлением азидной группы способом, подобным способу, описанному в Synthesis, 24 (1978). Соединение (I) вводят перорально в форме таблеток, капсул, гранул, порошков, сиропов или подобной форме, и местно в форме раствора в этаноле, очищающей пены, очищающего крема, геля для кожи, лосьона для кожи, шампуня-геля, шампуня в виде крема или подобной форме. Пероральные фармацевтические композиции получают посредством процедур, известных специалистам в этой области техники, с использованием эксципиентов (примерами которых являются органические эксципиенты, например сахара, такие как лактоза, сахароза, глюкоза, маннит и сорбит; производные крахмалов, такие как кукурузный крахмал, картофельный крахмал, -крахмал, декстрин и карбоксиметилкрахмал; производные целлюлозы, такие как кристаллическая целлюлоза, гидроксипропилцеллюлоза с низкой степенью замещения, гидроксипропилметилцеллюлоза, карбоксиметилцеллюлоза, кальцийкарбоксиметилцеллюлоза и натрийкарбоксиметилцеллюлоза с внутримолекулярными сшивками; аравийская камедь; декстран и пуллулан; и неорганические эксципиенты, например силикатные производные, такие как легкий кремниевый ангидрид, синтетический алюмосиликат и алюмометасиликат магния, фосфаты, такие как фосфат кальция; карбонаты, такие как карбонат кальция, и сульфаты, такие как сульфат кальция), смазывающих веществ (примерами являются стеариновая кислота, соли металлов стеариновой кислоты, такие как стеарат кальция и стеарат магния; тальк; коллоидный диоксид кремния; воски, такие как пчелиный воск и спермацет; борная кислота; адипиновая кислота; сульфаты, такие как сульфат натрия; гликоль; фумаровая кислота; бензоат натрия; DL-лейцин; натриевые соли алифатических кислот; лаурилсульфаты, такие как лаурилсульфат натрия и лаурилсульфат магния; кремниевые кислоты, такие как кремниевый ангидрид и гидроксид кремния; и приведенные выше в качестве примеров производные крахмалов), связующих веществ (примерами являются поливинилпирролидон, макроголь и соединения, подобные эксципиентам, перечисленным выше в качестве примеров), агентов, вызывающих дезинтеграцию (примерами являются соединения, подобные перечисленным выше примерам эксципиентов, и химически модифицированные крахмалы и производные целлюлозы, такие как натрийкросскармелоза, натрийкарбоксиметилкрахмал, и поливинилпирролидон с поперечными сшивками), стабилизаторов (примерами являются параоксибензоаты, такие как метилпарабен и пропилпарабен, спирты, такие как хлорбутанол, бензиловый спирт и фенилэтиловый спирт; бензалконийхлорид; производные фенола, такие как фенол и крезол; тимерозаль; дегидроацетовая кислота и сорбиновая кислота), корригентов (примерами являются обычно используемые подслащиватели, подкислители и отдушки) и/или разбавителей.
Фармацевтические композиции для местного применения получают посредством добавления указанного в качестве примера соединения к основе, хорошо известной специалистам в этой области техники; например суспендирующих агентов (примерами являются аравийская камедь, трагакант, метилцеллюлоза, натрийкарбоксиметилцеллюлоза, гидроксиэтилцеллюлоза, гидроксипропилцеллюлоза, альгинат натрия и бентонит), эмульгаторов (примерами являются триэтаноламин, лаурилсульфат натрия, сорбитансесквиалеат, полисорбат 80 и модифицированная этиленоксидом стеариновая кислота полиоксил-40), увлажняющих агентов (примерами являются сорбит, этиленгликоль, пропиленгликоль, бутиленгликоль и глицерин), консервантов (примерами являются метилпараоксибензоат, этилпараоксибензоат, пропилпараоксибензоат и бутилпараоксибензоат) или растворителей (примерами являются вода; спирты, такие как этанол, изопропиловый спирт, пропиленгликоль, цетанол и изостеариловый спирт; углеводороды, такие как природные жиры и масла, воски и жидкий парафин; алифатические кислоты, такие как стеариновая кислота, изостеариновая кислота и линолевая кислота; и сложные эфиры, такие как изопропилмиристат) или их смесей.
Количество соединения (I), вводимого перорально или местно, будет изменяться в зависимости от состояния, возраста или подобного фактора пациента. Желательно вводить в одной дозе 0,001 мг/кг (предпочтительно – 0,01 мг/кг) как нижний предел и 10 мг/кг (предпочтительно – 0,5 мг/кг) как верхний предел, и вводить в виде одноразовой дозы или в виде нескольких доз в сутки.
Предпочтительный пример осуществления ихобретенияНастоящее изобретение будет описано далее более конкретно с помощью испытаний, ссылочных примеров и препаративных примеров. Пример испытаний 1 Способ определения ингибирующего действия против 5 -редуктазы человека каждого типа – типа I и типа II(1) Получение рекомбинатных 5 -редуктаз человека типа I и типа IIа) Клонирование 2 кДНК рекомбинатных 5 -редуктаз человека типа I и типа IIДля того чтобы клонировать полностью транслированные области 5 -редуктаз человека типа I и типа II с помощью метода полимеразных цепных реакций (PCR), получают праймеры последовательностей 1, 2, 3 и 4 с использованием синтезатора ДНК Oligo 1000 (изделие BECKMAN Co., Ltd.) на основе последовательностей оснований 5 -редуктаз человека типа I и типа II, описанных в опубликованных сообщениях (Stefan, A. et al., Proc. Natl. Acad. Sci. USA, 87, 3640-3644 (1990), Stefan, A. et al. . Nature, 354, 159-161 (1991)) (перечень последовательностей см. в конце описания).
Смысловой праймер типа I: 5′-CCAGCCCTGGCGATGGCAAC-3′ (последовательность 1)Антисмысловой праймер типа I: 5′-CAGAGCTTGAAATTCTGACCTGTTA-3′ (последовательность 2) Смысловой праймер типа II: 5′-ACGGCGCGATGCAGGTTCAGTG-3′ (последовательность 3) Антисмысловой праймер типа II: 5′-AGCATTGTGGGAGCTCTGCTCTT-3′ (последовательность 4) В качестве матрицы для метода CPR используют кДНК QUICK-CloneТМ печени человека и кДНК QUICK-CloneТМ предстательной железы человека (продукты CLONTECH Laboratories, Inc.). PCR осуществляют с использованием 1 мкл кДНК, 5 мкл фиксированного буфера для PCR, 1 мкл 10 мМ раствора смешанного dNTP, по 1 мкл каждого из описанных выше смысловых и антисмысловых праймеров в концентрации 20 мкМ, 1 мкл полимеразы Taq TaKaRa при содержании 5 единиц/мл, и 40 мкл дистиллированной воды для получения реакционного объема 50 мкл. Для PCR цикл реакций при 94oС в течение 20 с, при 55oС в течение 1 мин и при 72oС в течение 1 мин повторяют 25 раз, а затем хранят при 4oС. Когда часть реакционной смеси после PCR примерно в 5 мкл подвергают электрофорезной хроматографии в 0,8% агарозном геле, обнаруживают две полосы (тип I: 1021 п.о, тип II: 812 п.о.), соответствующие полосам, ожидаемым на основании сведений из указанной выше литературы. Затем остальную часть реакционной смеси после PCR очищают посредством электрофорезной хроматографии в 5% акриламидном геле. Очищенный таким образом фрагмент кДНК субклонируют с использованием набора ТА CloningТМ (продукт Invitrogen Corporation). В результате анализа полной последовательности оснований каждой из субклонированных кДНК типов I и II методом красителя-терминатора подтвердилось, что их последовательности такие же, как последовательности в указанных сообщениях. кДНК типа I и типа II, чьи последовательности оснований подтверждены таким образом, встраивают в экспрессионный вектор, экспрессируют и затем используют. б) Получение экспрессионных плазмид человека типа I и типа II Штамм Escherichia coli DH5 (supE44, hsdR17, recAl, endAl, gyrA96, thil, relAl) (закупают у Toyobo Co. , Ltd. ) трансформируют с ипользованием pME18sH5Rl или pME18sH5R2, т.е. экспрессионной плазмидой человека типа I или типа II, с помощью способа, описанного в инструкции, приложенной к набору ТА CloningТМ. Примерно 10 мкл раствора первичной культуры рекомбинантного штамма имплантируют в 50 мл среды 2xLB (20 г бактотриптона (продукт DIFCO Labs. ), 10 г экстракта бактодрожжей (продукт DIFCO Labs.), 10 г хлорида натрия и 2 г глюкозы на 1 л), содержащей 50 мкг/мл ампициллина (продукт GIBCO BRL), с последующей инкубацией при 37oС в течение примерно 40 ч. Культуральный раствор подвергают центрифугированию (5000 об/мин, 10 мин) и собирают клетки. Из полученных клеток получают pME18sH5Rl или pME18sH5R2 с использованием набора QIAGEN Plasmid Maxi (продукт Qiagen Inc). в) Экспрессия и получение белков человека типа I и типа II В 2х106 клеток в 0,5 мл COS-1 вводят 10-20 мкг pME18sH5Rl или pME18sH5R2 методом электропорации (Gene PulserTM; продукт Bio-Rad Laboratories, 960 мкФ, 200 Ом, 300 В). После введения смесь инкубируют в течение примерно 48 ч, и собирают клетки. Клетки гомогенизируют (1000 об/мин, 30 с) с помощью POLYTRON (изделие KINEMATIKA GmbH) в буферном растворе (20 мМ калийфосфатный буферный раствор, рН 7,4, 10% глицерина, 0,33 М сахарозы, 50 мкМ восстановленной формы никотинамидадениндинуклеотидфосфата (NADPH) и 0,001% фенилметилсульфонилфторида (PMSF)) на ледяной бане, а затем центрифугируют (10000 х g, 1 ч). Выпавший осадок снова суспендируют в буферном растворе, и полученную суспензию хранят при -80oС. Суспензию используют в качестве 5 -редуктазы человека типа I или типа II.
(2) Определение содержания белкаСодержание белка определяют по методу Брэдфорда (анализ белков Bio-Rad, Biorad) с использованием бычьего гамма-глобулина (бычья II фракция Коэна, продукт Sigma) в качестве стандартного продукта. (3) Определение активности 5 -редуктазыАктивность 5 -редуктазы определяют с использованием в качестве показателя степени конверсии 14С-тестостерона (продукт Amersham) в 14С-5 -дигидротестостерон. Соединение растворяют и разбавляют диметилсульфоксидом (ДМСО). В каждую из двух пробирок наливают 5 мкл полученного раствора, в то время как еще в одну пробирку наливают 5 мкл только ДМСО в качестве контроля. В каждую из пробирок добавляют по 0,5 мл буферного раствора для ферментативной реакции, содержащего 10-25 мкг рекомбинантной 5 -редуктазы человека типа I или типа II (тип I: 40 мМ буферный раствор фосфата кальция (рН 7,5), содержащий 1 мкМ 14С-тестостерона, 1 мМ дитиотреитола и 0,5 мМ NADPH; тип II: 100 мМ трис-цитратный буферный раствор (рН 5,5), содержащий 1 мкМ 14С-тестостерона, 1 мМ дитиотреитола и 1 мМ NADPH), а затем инкубируют при 37oС в течение 15 мин. После инкубации добавляют 2 мл этилацетата (содержащего по 10 мкг тестостерона, 5 -дигидротестостерона и андростендиона), и полученную смесь хорошо перемешивают, посредством чего обрывают ферментативную реакцию, и экстрагируют стероиды этилацетатом. Затем этилацетатную фазу отделяют от водной фазы посредством центрифугирования (3000 об/мин в течение 5 мин). Этилацетатную фазу переносят в другую пробирку, затем упаривают досуха в струе газа азота. Стенки пробирки обмывают 0,8 мл диэтилового эфира, посредством чего смывают стероиды на дно пробирки. Снова после упаривания досуха стероиды растворяют в 40 мкл этилацетата, и полученный раствор наносят каплями на пластину для тонкослойной хроматографии (пластина с диоксидом кремния LK6DF, продукт Whatman). Пластину дважды проявляют смесью этилацетата и гексана (1:1), чтобы отделить каждую фракцию, содержащую стероид. Радиоактивность каждой фракции измеряют с помощью анализатора bioimage (изделие Fuji Film Co., Ltd.). Ингибирующее действие против редуктазы показывают в помощью концентрации для 50% ингибирования (IС50).
Величину IC50 вычисляют следующим образом. Принимая степень конверсии контроля за 100%, вычисляют степень ингибирования активности редуктазы (100 – (степень конверсии после добавления испытываемого соединения – степень конверсии контроля) х 100) (%). Осуществляют ряд разведений и с помощью описанного выше способа вычисляют степень ингибирования при каждой концентрации. Используя концентрацию, при которой степень ингибирования попадает в интервал от примерно 20 до примерно 80%, и представляя логарифм величины концентрации испытываемого соединения как X, а степень ингибирования как Y, вычисляют линию регрессии по методу наименьших квадратов. Из полученной линии регрессии вычисляют концентрацию соединения, требуемую для получения степени ингибирования 50%, и обозначают ее IC50.
IC50 типа I приводятся в табл.1, а типа II – в табл.2.
Пример испытаний 2Влияние на снижение содержания дигидростерона в крови человека В организм человека вводят перорально 1-10 мг на индивидуума соединения I или 5 мг на индивидуума финастерида и определяют содержание в крови дигидротестостерона (DHT) и тестостерона (Т). Вычисляют их соотношение (DHT/T) перед введением (рrе) и по прошествии некоторого времени (10 и 18 ч), из которого вычисляют (DHT/T)/(DHT/T)pre. Результаты приводятся в табл.3 (n=4-6). Пример испытаний 3 Испытание с использованием клеток волосяных сосочков человека Волосяной сосочек представляет собой массу клеток, небольшое количество которых имеется в волосяных фолликулах. В настоящее время полагают, что они являются стволовыми клетками для формирования базы для роста волос. Обнаружено, что эта клетка обладает активностью 5 -редуктазы. Следовательно, возможно осуществить испытание ингибитора 5 -редуктазы посредством использования культивированной системы этой клетки. Выделение и инкубацию клеток волосяных сосочков осуществляют по способу Messenger, A.G. (The Culture of Dermal Papilla Cells From Human Hair Follicles, Br. J. Dermatol., 110, 685-989 (1984)), или по Itami, S., et al. (“5a-Reductase Activity In Cultured human Dermal Papilla Cells From Beard Compared With Reticular Dermal Fibroblasts”, J. Invest. Dermatol. , 94, 150-152 (1990)). Для испытаний берут клетки волосяных сосочков на лице и корни волос на затылочной области головы двух человек. Испытания осуществляют в условиях слияния после того, как субкультивируют 4-6 генераций этих клеток. Клетки, которые стали конфлюентными, дважды промывают забуференным фосфатом физиологическим раствором (PBS), отделяют каучуковой палочкой (rubber policeman), и затем собирают в центрифужной пробирке. Клетки подвергают центрифугированию при 4oС при 1500 об/мин в течение 10 мин. Полученный осадок суспендируют в буферном растворе (20 мМ буферный раствор трис-НСl (рН 7,5), содержащий 250 мМ сахарозы, 1 мМ хлорида магния и 2 мМ хлорида кальция) и пропускают 10 раз через иглу 25G. Затем суспензию гомогенизируют с использованием тефлонового или стеклянного гомогенизатора и получают раствор разрушенных клеток. Для того чтобы идентифицировать локализацию 5 -редуктазы в клетке, полученный раствор разрушенных клеток подвергают центрифугированию при 800 х g в течение 10 мин, посредством чего получают неочищенную ядерную фракцию. Супернатант центрифугируют при 10000 х g в течение 15 мин, посредством чего получают митохондриальную фракцию. Супернатант еще центрифугируют при 100000 х g в течение 60 мин, посредством чего получают микросомальную фракцию и цитозольную фракцию. Затем осадок каждой из них дважды промывают и затем ресуспендируют.
В обычных условиях инкубации 50 мкл раствора разрушенных клеток добавляют к 100 мМ натрийцитратному буферу (рН 5,5) или 100 мМ трис-НСl буферу (рН 7,5), содержащему 50 нМ [3Н]-тестостерона и 1 мМ NADPH, чтобы получить 100 мкл раствора. В каждую пробирку добавляют раствор разрушенных клеток при содержании белка 50-100 мг. Реакцию осуществляют при 37oС в течение 30 мин. Во время инкубации реакция протекает пропорционально времени. Для того чтобы найти оптимальный рН реакции, при рН 4,5-6,5 используют раствор нитратного буфера, в то время как буферный раствор трис-НСl используют при рН 7,0-9,0. Содержание белка определяют по методу Lowry, et al. (“Protein Measurment With The Folin Phenol Reagent”, J. Biol. Chem., 193, 265-275 (1951)).
По завершении инкубации реакцию обрывают посредством добавления 4-кратного количества смеси хлороформа и метанола (2:1 по объему), содержащей 110 мг каждого носителя-стероида. Экстрагированный стероид анализируют посредством тонкослойной хроматографии в соответствии с методом Gomez et al. (“In Vitro Metabolism Of Testosterone-4-14C and D-androstene-3,17-dione-4-14C In Human Skin”, Biochem. , 7,24-32 (1968)). Чистоту каждого стероида подкрепляют посредством перекристаллизации. Активность 5 -редуктазы показывают по количеству образовавшегося дигидротестостерона. Инигибирующее действие на фермент показывают в виде процента ингибирования (100 – (степень конверсии после добавления испытываемого соединения -степень конверсии контроля) х 100) (%), принимая степень конверсии контроля за 100%.
Обнаружено, что соединения формулы (I) показывают превосходное ингибирующее действие в отношении 5 -редуктазы.
Пример испытаний 4Предупреждение эпиляции и стимулирование роста волос у бесхвостого макака (1) Бесхвостый макак страдает от алопеции, которая схожа с алопецией по мужскому типу. Алопеция у бесхвостого макака начинается сразу после полового созревания (в возрасте примерно 4 лет). Алопеция поражает почти всех как самцов, так и самок бесхвостого макака и она зависит от содержания андрогена. Поэтому бесхвостый макак является полезной животной моделью алопеции по мужскому типу у человека. Самцов бесхвостого макака (в возрасте 3-16 лет) делят на группы, в каждую из которых входят 3-6 животных. Волосистую часть головы бесхвостого макака четко делят на переднюю область и затылочную область, и одну из этих областей маркируют, например, тушью. Волосы на маркированном участке сбривают. Готовят раствор или порошок испытываемого соединения в разных дозах и в разных сочетаниях, и эти образцы равномерно применяют в области, с которой сбриты волосы, или вводят их перорально. Контрольному животному вводят такое же количество растворителя (например, диметилсульфоксида), крема (подкожное введение) или плацебо (пероральное введение).Волосы на маркированном участке сбривают с интервалом в 4-6 недель и определяют массу сбритых волос. Введение продолжают на протяжении периода от 6 недель до 2 лет. Финастерид является ингибитором 5 -редуктазы, и, как известно, предотвращает алопецию у описанного выше животного. Финастерид (пероральное введение) включается в испытание для сравнения.
Волосистую часть головы иссекают (перфорация 4 мм) для образца биопсии в начале и конце испытания. О наличии или отсутствии алопеции судят по анализу на активность 5 -редуктазы и по осмотру ткани иссеченного скальпа.
Обнаружено, что соединения формулы (I) эффективны против алопеции.
Пример испытаний 5Предупреждение эпиляции и стимулирование роста волос у бесхвостого макака (2) Самцов и самок бесхвостого макака (в возрасте 3-16 лет) делят на группы, в каждую из которых входят 3-6 животных. Готовят раствор или порошок испытываемого соединения в разных дозах и в разных сочетаниях и равномерно применяют к волосистой части головы на передней области или вводят их перорально один раз в сутки. Введение продолжают от 6 недель до 2 лет. Контрольному животному вводят такое же количество растворителя (например, диметилсульфоксида), крема (подкожное введение) или плацебо (пероральное введение). За состоянием волос на передней области наблюдают с интервалом в 1 месяц, и действие испытываемого соединения оценивают по величине диаметра волоса, плотности и области роста волос со временем. В то же время осуществляют описание бесхвостого макака, и по этим описаниям судят о действии в целом. Часть кожи (кружок диаметром 4 мм) передней части головы иссекают для образца биопсии в начале испытаний и через 3 месяца и 6 месяцев после начала испытаний, и посредством гистологического анализа исследуют действие на стадии роста волосяных корней. Обнаружено, что соединения формулы (I) эффективны против алопеции. Пример испытаний 6 Испытания с использованием волосатых крыс Волосатая крыса является андрогензависимой моделью животного, которая показывает аномально активную пролиферацию и секрецию из клеток сальных желез при волосяном корне. Ее волосяные корни в ювенильной стадии (возраст примерно 4 недели) представляют собой, главным образом, корни в стадии роста. После полового созревания (примерно 8 недель) волосяные корни растут в стадии покоя. Поэтому это животное можно использовать в качестве животной модели для исследования влияния на рост волос. Волосатых крыс (самцы, возраст 2-12 недель) делят на группы, каждая из которых состоит из 5-6 крыс. Готовят раствор или порошок испытываемого соединения в разных дозах и в разных сочетаниях и равномерно применяют к коже в области спины, или вводят его перорально один раз в сутки. Введение продолжают в течение 4-8 недель. Животным контрольной группы вводят такое же количество растворителя (например, диметилсульфоксида), крема (подкожное введение) или плацебо (пероральное введение). На следующий день после завершения введения животных декапитируют. Иссекают ткань кожи (кружок диаметром 4 мм) в области спины. Действие на сальные железы и стадию роста волос в волосяном корне исследуют посредством гистологического анализа. Обнаружено, что соединения формулы (I) эффективны против себореи и алопеции. Так же, как в описанных выше испытаниях, рост волос можно оценить в соответствии с методом, описанным в литературе (В de Brouwer et al., Br. J. Dermatol., 137, 699-702 (1997)), с использованием голых мышей. Ссылочный пример 1 N-[1-Метил-1-(4-метоксифенил)этил] -3-оксо-4-аза-5 -андросто-1-ен-17 -карбоксамидК 30 мл сухого толуола добавляют последовательно 1,0 г 3-оксо-4-аза-5 -андрост-1-ен-17 -карбоновой кислоты, 1,6 гтрифенилфосфина и 1,4 г 2,2′-дипиридилдисульфида. Полученную смесь перемешивают в течение ночи при комнатной температуре. Реакционную смесь подвергают колоночной хроматографии на 35 г силикагеля с элюированием смесью ацетона и метиленхлорида (от 1:9 до 1:1) и получают 1,11 г 2-пиридилтиоэфира. К 30 мл сухого метиленхлорида последовательно добавляют 5,0 г 2-пиридилтиоэфира и 5,0 г 1-(4-метоксифенил)-1-метилэтиламина, и полученную смесь перемешивают при комнатной температуре в течение 3 сут. После разбавления 100 мл метиленхлорида смесь последовательно промывают 1 N соляной кислотой, водой, водным раствором бикарбоната натрия и рассолом, сушат над безводным сульфатом магния и концентрируют при пониженном давлении. Остаток подвергают колоночной хроматографии на 15 г силикагеля с элюированием смесью ацетона и метиленхлорида (от 1:9 до 1:1) и получают 5,2 г названного в заголовке соединения. Спектр ЯМР (СDС13) , м.д.: 0,68 (3Н, с), 0,98 (3Н, с), 0,90-2,20 (16Н, м), 1,70 (3Н, с), 1,72 (3Н, с), 3,35 (1Н, т, J=9 Гц), 3,80 (3Н, с), 5,48 (1Н, уш), 5,76 (1Н, уш), 5,83 (1Н, д, J=10 Гц), 6,82 (1Н, д, J=10 Гц), 6,88 (2Н, д, J=9 Гц), 7,32 (2Н, д, J=9 Гц).
ИК-спектр, max, см-1 (KBr): 2969, 2938, 1672, 1599, 1514, 1455, 1248, 1181, 1035, 825.
Препаративный пример 1Таблетки (5-мг таблетка) Компонент – Состав основы (мг/таблетку) Соединение ссылочного примера 1 – 5 Гидроксипропилметилцеллюлоза – 15 Натрийкарбоксиметилкрахмал – 9,5 Кристаллическая целлюлоза – 30,5 Натрийкросскармелоза – 20 Лактоза (после просеивания) – 38,75 Желтый полуторный оксид железа – 0,05 Стеарат магния (после просеивания) – 1,2 Таблетки – 120,0 Препаративный пример 2 Раствор в спирте Соединение ссылочного примера 1 – 15,0 (мас.%) Вода – 45 Этанол – 40 Препаративный пример 3 Очищающая пена Соединение ссылочного примера 1 – 10,00 (мас.%) Вода – 70,439 Ромашка – 0,01 Гель Aloe vera – 0,01 Аллантоин – 0,001 Триэтаноламин – 0,02 Метоцель (METHOCELТМ 40-100 (Dow)) – 1,50 Глицерин – 3,00 Лаурилсульфат натрия – 15,00 Витамин А маслорастворимый – 0,01 Витамин Е маслорастворимый – 0,01 Препаративный пример 4 Очищающий крем Соединение ссылочного примера 1 – 5,0 (мас.%) Синтетический пчелиный воск – 14,0 РРG2-миристилпропионат – 5,0 Спирт ланолина – 0,5 Минеральное масло – 36,0 Пропилпарабен – 0,15 Бура – 1,0 Вода – 38,35 PPG – полиэтиленгликоль-полипропиленгликоль Препаративный пример 5 Гель для кожи Соединение ссылочного примера 1 – 2,00 (мас.%) РРG2-миристилпропионат – 45,0 Цетиловый эфир PPG10 – 5,0 Триглицерид C18-C36 – 4,0 Миристилмиристат – 3,0 Глицерилтрибегенат – 2,0 Циклометикон – 34,00 Полиэтилен – 5,00 Препаративный пример 6 Лосьон для кожи Соединение ссылочного примера 1 – 1,0 (мас.%) Оleth-3 фосфат диэтаноламина – 1,0 Эмульгируемый воск – 2,0 Насыщенная (C18-С36)-алифатическая кислота – 1,0 РРG2-миристилпропионат – 5,0 Глицерин – 3,0 Триэтаноламин – 0,5 Вода – 86,5 Препаративный пример 7 Шампунь-гель Соединение ссылочного примера 1 – 2,0 (мас.%) Изопропаноламинлаурилсульфат – 81,5 Диэтаноламид алифатической кислоты кокосового масла – 8,0 Эфир глицерина и насыщенной кислоты – 4,5 C18-С36 PPG5-ceteth-10 фосфат – 4,0 Препаративный пример 8 Шампунь в виде крема Соединение ссылочного примера 1 – 0,1 (мас.%) Лаурилсульфат натрия – 65,0 Глицерилтрибегенат – 2,0 Гидролизованный коллаген – 1,0 Диэтаноламид лауриновой кислоты – 5,0 Вода – 26,9 Промышленная применимость Финастерид является соединением, которое продается на европейском рынке как лечебное средство против доброкачественной гипертрофии предстательной железы, а в настоящее время проходит клинические испытания как лечебное средство против алопеции. Соединение (I) настоящего изобретения и родственные ему соединения обладают более сильным ингибирующим действием против изозима типа II, чем финастерид. Они обладают также сильным ингибирующим действием против изозима типа I. Они также сильнее понижают содержание в крови DHT, чем финастерид, и также имеют низкую токсичность, поэтому они полезны в качестве активного ингредиента композиции для лечения алопеции, гирсутизма по женскому типу или себореи, или композиции для предупреждения метастаза в кости, вызванного раком предстательной железы. Перечень последовательностей: Последовательность 1 Описание синтезированной последовательности: праймер, созданный на основе последовательности кДНК, кодирующей 5 -редуктазу типа I.
Последовательность 2Описание синтезированной последовательности: праймер, созданный на основе последовательности кДНК, кодирующей 5 -редуктазу типа I.
Последовательность 3Описание синтезированной последовательности: праймер, созданный на основе последовательности кДНК, кодирующей 5 -редуктазу типа II.
Последовательность 4Описание синтезированной последовательности: праймер, созданный на основе последовательности кДНК, кодирующей 5 -редуктазу типа II.
Формула изобретения
-андрост-1-ен-17 -карбоксамид, или его фармацевтически приемлемую соль, или его фармацевтически приемлемое производное.
2. Композиция по п.1 для лечения алопеции, гирсутизма по женскому типу или себореи.
3. Композиция по п.1 для лечения алопеции.
4. Композиция по п.1 для лечения гирсутизма по женскому типу.
5. Композиция по п.1 для лечения себореи.
6. Композиция по п. 1 для лечения метастаза в кости, вызванного раком предстательной железы.
7. Применение N-[1-метил-1(4-метоксифенил)этил] -3-оксо-4-аза-5 -андрост-1-ен-17 – карбоксамида, или его фармацевтически приемлемой соли, или его фармацевтически приемлемого производного для получения композиции для лечения алопеции, гирсутизма по женскому типу или себореи или для предупреждения метастаза в кости, вызванного раком предстательной железы.
8. Применение по п.7 для получения композиции для лечения алопеции, гирсутизма по женскому типу или себореи.
9. Применение по п.7 для получения композиции для лечения алопеции.
10. Применение по п.7 для получения композиции для лечения гирсутизма по женскому типу.
11. Применение по п.7 для получения композиции для лечения себореи.
12. Применение по п.7 для получения композиции для предупреждения метастаза в кости, вызванного раком предстательной железы.
13. Способ лечения алопеции, гиструтизма по женскому типу, себореи или предупреждения метастаза в кости, вызванного раком предстательной железы, включающий введение теплокровному животному, нуждающемуся в таком лечении или предупреждении, терапевтически эффективного количества активного ингредиента, где указанный ингредиент представляет собой N-[1-метил-1(4-метоксифенил)этил]-3-оксо-4-аза-5 -андрост-1-ен-17 -карбоксамид, или его фармацевтически приемлемую соль, или его фармацевтически приемлемое производное.
14. Способ по п.13 для лечения алопеции, гирсутизма по женскому типу или себореи.
15. Способ по п.13 для лечения алопеции.
16. Способ по п.13 для лечения гирсутизма по женскому типу.
17. Способ по п.13 для лечения себореи.
18. Способ по п.13 для предупреждения метастаза в кости, вызванного раком предстательной железы.
РИСУНКИ
MM4A Досрочное прекращение действия патента Российской Федерации на изобретение из-за неуплаты в установленный срок пошлины за поддержание патента в силе
Дата прекращения действия патента: 28.07.2005
Извещение опубликовано: 7.12.2006 БИ: 36/2006
|
||||||||||||||||||||||||||


-карбоксамид, или его фармацевтически приемлемую соль или его фармацевтически приемлемое производное. Композиция обладает повышенной эффективностью. 3 с. и 15 з.п.ф-лы, 3 табл.




, м.д.: 0,68 (3Н, с), 0,98 (3Н, с), 0,90-2,20 (16Н, м), 1,70 (3Н, с), 1,72 (3Н, с), 3,35 (1Н, т, J=9 Гц), 3,80 (3Н, с), 5,48 (1Н, уш), 5,76 (1Н, уш), 5,83 (1Н, д, J=10 Гц), 6,82 (1Н, д, J=10 Гц), 6,88 (2Н, д, J=9 Гц), 7,32 (2Н, д, J=9 Гц).
ИК-спектр,
max, см-1 (KBr): 2969, 2938, 1672, 1599, 1514, 1455, 1248, 1181, 1035, 825.
Препаративный пример 1