Патент на изобретение №2193886
|
||||||||||||||||||||||||||
(54) ФАРМАЦЕВТИЧЕСКАЯ КОМПОЗИЦИЯ ДЛЯ ПЕРОРАЛЬНОГО ПРИМЕНЕНИЯ ПРОИЗВОДНОГО АМИДА N-ПИПЕРИДИН-3-ПИРАЗОЛКАРБОНОВОЙ КИСЛОТЫ, ЕГО СОЛЕЙ И ИХ СОЛЬВАТОВ
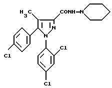
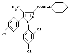
(57) Реферат: Изобретение может быть использовано в фармации для получения лекарственных препаратов. Заявлена фармацевтическая композиция для перорального применения, полученная методом влажного гранулирования, содержащая в качестве активного начала амид N-пиперидино-5-(4-хлорфенил)-1-(2,4-дихлорфенил)-4-метилпиразол-3-карбоновой кислоты формулы ![]() его фармацевтически приемлемую соль или сольват в микронизированной форме в количестве 0,5-20,0 мас.%. Композиция содержит 0,05-0,5 мас.% алкилсульфата натрия, 2,5-10,0 мас.% агента дезагрегации и фармацевтические эксципиенты, выбранные из группы, включающей связующие, разбавители, красители, агенты растекания, отдушки, смазочные агенты, антиадгезивные агенты – остальное до 100%. Заявлен способ получения фармацевтической композиции. Он включает смешивание при комнатной температуре активного начала, агента дезагрегации и алкилсульфата натрия с разбавителем, связующим и при необходимости с красителем. Смесь смачивают очищенной водой. Влажную массу сушат и сортируют по размеру зерен. К сухим отсортированным зернам добавляют смазочный агент и при необходимости антиадгезивный агент, агент растекания, краситель и/или отдушку. Изобретение позволяет достигнуть полного растворения состава при улучшенной кинетике растворения. 2 с. и 8 з.п. ф-лы, 7 табл. Изобретение относится к фармацевтической композиции для перорального применения амида N-пиперидин-5-(4-хлорфенил)-1-(2,4-дихлорфенил)-4-метилпиразол-3-карбоновой кислоты формулы ![]() ее фармацевтически приемлемых солей и их сольватов, называемых далее соединениями формулы 1. Соединения формулы 1 и способ их получения описаны в европейской патентной заявке EP 656 354. Амид N-пиперидино-5-(4-хлорфенил)-1-(2,4-дихлорфенил)-4-метилпиразол-3-карбоновой кислоты, известный также под кодовым названием SR 141716 и в последующем описании называемый соединением А, является особенно предпочтительным для фармацевтических композиций настоящего изобретения. О фармакологических свойствах соединений формулы 1, которые являются избирательными антагонистами рецепторов центральных каннабиноидов СВ1, сообщалось, в частности, в публикации M. Rinaldi-Carmona et al., FEBS Letters, 1994, 240-244. Для введения таких соединений оральным путем необходимо, чтобы они обладали хорошей всасываемостью, что предполагает одновременно хорошую растворимость в водной среде и высокую способность проходить через кишечную мембрану (M. Rowland и T.N. Tozer в Clinical Pharmacokinetics, concepts and applications, Lea and Fehiger ed., 1989, 2nd edition, p.113-130). Для оценки эпителиальной проницаемости соединений используют клеточную линию Сасо-2, которая обладает особенностью дифференцироваться in vitro с образованием эпителиального монослоя (Crit. Rev. Ther. Drug Carrier System, 1991, 105-330). На этой модели проницаемость соединения А, растворенного в диметилсульфоксиде (ДМСО), является высокой, что показывает его хорошую способность всасываться в кишечнике из раствора.
С другой стороны, гидрофобный характер соединений формулы 1 является четко выраженным. Так, констатируется, что соединение А не смачивается водой, кроме того это соединение и его соли практически не растворимы в воде ни при каких значениях рН. Эти соединения растворимы в спиртах и гликолях и, более конкретно, в полиэтиленгликолях (ПЭГ).
Однако когда растворы, приготовленные с использованием спирта или гликоля, разбавляют в водной среде, соединение формулы 1 по причине своего гидрофобного характера выпадает в осадок.
Соединения формулы 1 и, в частности, соединение А являются слабыми электростатиками. Они поддаются микронному распылению с высоким выходом (около 85%), которое позволяет получать частицы размером приблизительно 1 мкм. Аналитический контроль, произведенный после этой микронизации, показывает отсутствие изменений в кристаллической форме.
При изучении смачиваемости отмечали, что скорость проникновения воды в слой порошка, приготовленного путем влажного гранулирования, гораздо выше скорости проникновения воды, измеряемой на слое порошка, полученного путем сухого смешения. Изучение эффекта введения смачивающих агентов показало, что алкилсульфаты натрия при низкой концентрации существенно повышают смачиваемость.
Далее было обнаружено, что присутствие в композиции агента дезагрегации, такого как сшитая карбоксиметилцеллюлоза натрия, позволяет улучшить кинетику растворения.
Было неожиданным образом обнаружено, что при совместном присутствии в одном и том же составе алкилсульфата натрия и агента дезагрегации быстро достигается полное растворение этого состава с хорошей воспроизводимостью получаемых результатов.
Таким образом, объектом настоящего изобретения является фармацевтическая композиция для перорального применения на основе соединений формулы 1, содержащая 0,5 – 20,0 мас.% соединений формулы 1 в микронной форме, 0,05 – 0,5 мас.% алкилсульфата натрия, 2,5 – 10 мас.% агента дезагрегации и фармацевтические эксципиенты, причем композиция получается методом влажного гранулирования.
Под влажным гранулированием предполагается фармацевтическая операция, которая позволяет с помощью грануляционной жидкости уплотнить смесь порошков, содержащих активное начало, причем эта смесь является внутренней фазой композиции, после чего полученную влажную массу сушат и сортируют по размеру и затем к ней добавляют ингредиенты, образующие внешнюю фазу композиции.
Согласно настоящему изобретению под алкилсульфатом натрия понимают С8-С12-алкилсульфат натрия, например, октилсульфат натрия или, предпочтительно, лаурилсульфат натрия.
Согласно настоящему изобретению под агентом дезагрегации понимают целлюлозу или ее производные, такие как карбоксиметилцеллюлоза натрия, сшитая карбоксиметилцеллюлоза натрия, поливинилпирролидон, предварительно желатинированный крахмал и карбоксиметилкрахмал натрия, из которых предпочтительным агентом дезагрегации является сшитая карбоксиметилцеллюлоза натрия.
Фармацевтические композиции согласно настоящему изобретению могут находиться в виде желатиновых капсул, таблеток, пакетиков и порошков, из которых предпочтительными являются желатиновые капсулы.
Фармацевтические эксципиенты, пригодные для фармацевтической композиции настоящего изобретения, включают, в частности, разбавитель, связующее и смазочный агент. Могут быть также добавлены агент растекания, антиадгезивный агент и, возможно, краситель и/или отдушка.
Применяемый в композиции настоящего изобретения разбавитель может представлять собой одно или несколько соединений, способных загущать активное начало до получения желаемой массы. Предпочтительными разбавителями являются: неорганические фосфаты, такие как фосфаты кальция; сахара, такие как водная или обезвоженная лактоза и маннит; а также целлюлоза или ее производные, такие, например, как микрокристаллическая целлюлоза, крахмал, крахмал кукурузы или предварительно желатинизированный крахмал. Особое предпочтение отдается лактозе-моногидрату, манниту, микрокристаллической целлюлозе и крахмалу кукурузы, используемым индивидуально или в смеси, например, смесь лактозы-моногидрата и крахмала кукурузы.
Применяемое в композиции настоящего изобретения связующее может представлять собой одно или несколько соединений, способных загущать соединение формулы 1, переводя его в более крупные и более плотные частицы, обладающие лучшей растекаемостью. Предпочтительными связующими являются: альгиновая кислота и альгинат натрия; целлюлоза и ее производные, такие как карбоксиметилцеллюлоза натрия, этилцеллюлоза, гидроксиэтилцеллюлоза, гидроксипропилцеллюлоза, гидроксипропилметилцеллюлоза или метилцеллюлоза; желатина; полимеры акриловой кислоты; поливинилпирролидон, например, повидон К-30; особенно предпочтителен повидон К-30. Содержание связующего в фармацевтической композиции изобретения составляет 1 – 10 мас.%.
Применяемый в композиции настоящего изобретения смазочный агент может представлять собой одно или несколько соединений, способных избежать проблем, связанных с приготовлением сухих форм, таких, например, как проблемы липкости и/или слипания, возникающие в машинах в процессе компримирования или заполнения. Предпочтительными смазочными агентами являются жирные кислоты или производные жирных кислот, такие как стеарат кальция, глицерилмоностеарат, глицерилпальмитостеарат, стеарат магния, лаурилсульфат натрия, стеарилфумарат натрия, стеарат цинка или стеариновая кислота; гидрированные растительные масла, например, гидрированное касторовое масло; полиалкиленгликоли, в частности, полиэтиленгликоль; бензоат натрия или тальк. Согласно настоящему изобретению предпочтение отдается стеарату магния. Смазочный агент присутствует в фармацевтической композиции изобретения в количестве 0,2 – 5,0 мас.%.
Антиадгезивный агент, который может присутствовать в композиции согласно изобретению, представляет собой одно или несколько соединений, способных уменьшить липкость состава, например, понизить адгезию к металлическим поверхностям. Предпочтительными антиадгезивными агентами являются соединения, содержащие кремний, например, диоксид кремния или тальк. Антиадгезивный агент может присутствовать в фармацевтической композиции изобретения в количествах 0 – 5,0 мас.%.
Агент растекания, который может присутствовать в композиции настоящего изобретения, представляет собой одно или несколько соединений, способных облегчить растекание приготовленного состава.
Предпочтительными агентами растекания являются соединения, содержащие кремний, например, безводный коллоидный диоксид кремния или осажденный диоксид кремния. Агент растекания может присутствовать в фармацевтической композиции изобретения в количествах 0 – 15 мас.%.
Согласно настоящему изобретению фармацевтические композиции приготовляют методом влажного гранулирования. При этом для получения внутренней фазы смешивают при комнатной температуре активное начало, разбавитель, связующее, агент дезагрегации, алкилсульфат натрия и, при необходимости, краситель, после чего увлажняют грануляционной жидкостью. Полученную влажную массу сушат и затем просеивают. К сухим зернам нужного размера добавляют один или больше ингредиенты внешней фазы, а именно смазочный агент и, при необходимости, антиадгезивный агент, агент растекания и в некоторых случаях краситель и/или отдушку.
В качестве грануляционной жидкости используют очищенную воду.
В предпочтительном варианте осуществления изобретения для проведения влажной грануляции к очищенной воде добавляют алкилсульфат натрия.
Конкретным случаем настоящего изобретения является фармацевтическая композиция для перорального применения, содержащая 0,5 – 20,0 мас.% соединения А в микронной форме, 0,05 – 0,5 мас.% лаурилсульфата натрия, 2,5 – 10,0 мас. % сшитой карбоксиметилцеллюлозы натрия, и фармацевтические эксципиенты, причем композиция получена методом влажного гранулирования.
Согласно предпочтительному варианту фармацевтическая композиция для перорального применения, приготовленная методом влажного гранулирования, содержит 0,5 – 20,0 мас.% соединения А в микронной форме, 0,1 мас.% лаурилсульфата натрия, 5,0 мас.% сшитой карбоксиметилцеллюлозы натрия, 1 – 10 мас.% связующего, 0,2 – 5,0 мас.% смазочного агента и разбавитель в количестве до 100%.
Более конкретно изобретение относится к фармацевтическим композициям, приготовленным в виде желатиновых капсул методом влажного гранулирования и имеющим один из приведенных ниже составов, мас.%:i) Внутренняя фаза Cоединение А микронизированное – 0,59 Крахмал кукурузы – 30,0 Лактоза-моногидрат 200 меш – 60,78 Повидон К-30 – 2,53 Сшитая карбоксиметилцеллюлоза натрия – 5,0 Гранулирование Лаурилсульфат натрия – 0,1 Очищенная вода – Достаточное кол-во Внешняя фаза Стеарат магния – 1,0 ii) Внутренняя фаза Соединение А микронизированное – 5,88 Крахмал кукурузы – 30,0 Лактоза-моногидрат 200 меш – 55,49 Повидон К-30 – 2,53 Сшитая карбоксиметилцеллюлоза натрия – 5,0 Гранулирование Лаурилсульфат натрия – 0,1 Очищенная вода – Достаточное кол-во Внешняя фаза Стеарат магния – 1,0 iii) Внутренняя фаза Соединение А микронизированное – 17,64 Крахмал кукурузы – 30,0 Лактоза-моногидрат 200 меш – 43,73 Повидон К-30 – 2,53 Сшитая карбоксиметилцеллюлоза натрия – 5,0 Гранулирование Лаурилсульфат натрия – 0,1 Очищенная вода – Достаточное кол-во Внешняя фаза Стеарат магния – 1,0 Характеристики и преимущества композиций изобретения будут выявлены в приведенном ниже описании на данных в качестве примеров композициях. ИСПЫТАНИЯ 1. Изучение растворимости соединений формулы 1 Растворимости соединений формулы 1 измерены в различных водных средах. Количественно измеряется мгновенная растворимость при комнатной температуре. Результаты, выраженные в мкг/мл, сведены в приведенную ниже таблицу 1. Измерена также растворимость соединения А в различных растворителях (таблица 2) и после разбавления водой полученных растворов (таблица 3). 2. Изучение смачиваемости Смачиваемость соединения А была изучена в различных составах с использованием методики H. Mohamad et al., Labo Pharma. Problemes techniques, 1984, , 284-289.
2.1. Влияние метода гранулированияСравнивали состав (состав 1), полученный простым смешиванием, с составом (составом 2), полученным методом влажного гранулирования. Состав 1, мг: Соединение А – 30,0 Модифицированный крахмал кукурузы – 48,0 Экстратонкие кристаллы лактозы-моногидрата – 70,1 Безводный коллоидный диоксид кремния – 0,4 Стеарат магния – 1,5 Желатиновая капсула – 150,0 Состав 2, мг: Соединение А – 30,0 Модифицированный крахмал кукурузы – 51,0 Лактоза-моногидрат 200 меш – 83,0 Повидон К-30 – 4,3 Стеарат магния – 1,7 Желатиновая капсула – 170,0 Смачиваемость, измеренная по методике H. Mohamad, составляет 22 мг2/c для состава 1 и 110 мг2/с для состава 2. Таким образом, метод влажного гранулирования увеличивает смачиваемость в 5 раз. 2.2. Влияние содержания активного начала В качестве сравнения готовят методом влажного гранулирования составы, в которых содержание активного начала составляет, соответственно, 10 мг (состав 3) и 1 мг (состав 4) (таблица 4). Для состава 3 смачиваемость составляет 500 мг2/c. Для состава 4 смачиваемость составляет 1000 мг2/с. Таким образом, смачиваемость обратно пропорциональна количеству активного начала, содержащегося в составе. Это подтверждает гидрофобный характер соединения А. 2.3. Влияние эксципиентов Методом влажного гранулирования было приготовлено несколько составов, они сравнивались с контрольным составом, также приготовленным методом влажного гранулирования (таблица 5). Только лаурилсульфат натрия в концентрации 0,5% увеличивает смачиваемость существенным образом. Измерения смачиваемости не пригодны для изучения влияния такого дезинтегрирующего агента, как сшитая карбоксиметилцеллюлоза натрия. 3. Изучение растворимости в желудочной среде Изучена кинетика растворения различных составов в желудочной среде при 37oС в течение 30 мин с использованием фосфат-цитратного буфера, рН 3. Когда 40 мг соединения А без добавок помещают в 1 л растворяющей среды, не наблюдается никакого растворения. Для обеспечения растворения испытуемых составов к среде добавляли в качестве поверхностно-активного агента 0,2% лаурилсульфата натрия (таблица 6). Для каждого состава производилось по 6 опытов, в процессе которых каждые 5 мин измеряли количество соединения А, растворенного в воде. Таблица 7 дает средние значения процента растворения соединения А и относительные средние отклонения этих значений для разных составов, приведенных в таблице 6. Для составов С и D, которые, соответственно, содержат 1 и 5% полиэтиленгликоля 6000, делается вывод, что максимальное растворение достигается только через 30 мин. Для составов А и В, которые, соответственно, содержат 0,1 и 0,5% лаурилсульфата натрия, делается вывод, что максимальное значение достигается, соответственно, через 20 и 30 мин. Кроме того, результаты, полученные для каждого из составов А, В, С или D, характеризуются разбросом. Результаты, полученные с составами Е, F и G, показывают преимущество присутствия сшитой карбоксиметилцеллюлозы натрия, которая благоприятствует растворению. С составами Е и G, содержащими, соответственно, 5,0 и 2,5% сшитой карбоксиметилцеллюлозы натрия, наблюдается 100%-ное растворение соединения А, соответственно, через 20 и 15 мин, причем относительный разброс результатов наблюдается в течение первых 15 мин. Состав F, содержащий одновременно 0,1% лаурилсульфата натрия и 5,0% сшитой карбоксиметилцеллюлозы натрия, дает лучшие результаты. Так, уже через 15 мин растворяется все количество соединения А, причем расхождения между результатами в разных опытах очень малы (между 15 и 30-й мин расхождения составляют от 2,3 до 1,5). 5. Оценка трансэпителиальной проницаемости соединения А в кишечнике. На микропористых фильтрах из поликарбоната с коллагеновым покрытием высеивают клетки Сасо-2. Образующийся при этом на фильтре клеточный монослой позволяет отделять верхнюю часть (имитирующую кишечный проход) от базальной части (имитирующей кровоток). С верхней стороны помещают композицию, содержащую изучаемое соединение, и оценивают прохождение этого соединения, диспергированного или солюбилизированного в среде Хэнка, через клеточный барьер, измеряя кинетику появления этого соединения на базальной стороне. Эта водная среда, имеющая рН 6,5, содержит, г/л: NaCl 8,0; КСl 0,4; CaCl2 0,19; MgCl2 0,1; MgSO4 0,1; Na2HPO4 0,09; КН2РO4 0,06; NаНСО3 0,35; глюкозу 1 и феноловый красный 0,01. После этого определяют коэффициент проницаемости Р в см/с, который характеризует скорость прохождения молекулы через мембрану: P=(da/dt) (1/A Co),где da/dt обозначает зависимость количества испытуемого соединения, прошедшего через клеточный монослой, от времени, моль/с, А – поверхность монослоя, см2, и Со – начальная концентрация испытуемого соединения, моль/л. 3.1. Коэффициент проницаемости соединения А, введенного в среду Хэнка в растворе ДМСО, Р=96 10-7 см/с.
Проницаемость соединения А, измеренного таким образом в растворе (в ДМСО), указывает на характеристику, присущую этому соединению. Полученный результат указывает на очень высокую способность растворенного соединения А осуществлять трансэпителиальный проход.
3.2. Сравнительная скорость трансэпителиального прохода соединения А в кишечникеИзмеряют скорость прохода соединения А в составе Х и сравнивают со скоростью прохода соединения А в суспензии. Состав Х, мг: Соединение А – 30,0 Модифицированный крахмал кукурузы – 51,0 Лактоза-моногидрат 200 меш – 83,0 Повидон К-30 – 4,3 Лаурилсульфат натрия – 0,17 Сшитая карбоксиметилцеллюлоза натрия – 8,5 Стеарат магния – 1,7 Желатиновая капсула – 178,67 Состав соединения А – Сравнительная скорость прохода Соединение А в суспензии в среде Хэнка – 1 Соединение А в составе Х – 7 ПРИМЕР 1. Желатиновая капсула 1 мг Желатиновая капсула, приготовленная методом влажного гранулирования, имеет следующий состав, мг: Внутренняя фаза Соединение А микронного размера – 1,0 Крахмал кукурузы – 51,0 Лактоза-моногидрат 200 меш – 103,33 Повидон К-30 – 4,3 Сшитая карбоксиметилцеллюлоза натрия – 8,5 Гранулирование Лаурилсульфат натрия – 0,17 Очищенная вода – Достаточное кол-во Внешняя фаза Стеарат магния – 1,7 На одну белую непрозрачную желатиновую капсулу размера 3 всего 170. ПРИМЕР 2. Желатиновая капсула 10 мг Желатиновая капсула, приготовленная методом влажного гранулирования, имеет следующий состав, мг: Внутренняя фаза Соединение А микронного размера – 10 Крахмал кукурузы – 51 Лактоза-моногидрат 200 меш – 94,33 Повидон К-30 – 4,3 Сшитая карбоксиметилцеллюлоза натрия – 8,5 Гранулирование Лаурилсульфат натрия – 0,17 Очищенная вода – Достаточное кол-во Внешняя фаза Стеарат магния – 1,7 На одну белую непрозрачную желатиновую капсулу размера 3 всего 170 мг. ПРИМЕР 3. Желатиновая капсула 30 мг Желатиновая капсула, приготовленная методом влажного гранулирования, имеет следующий состав, мг: Внутренняя фаза Соединение А микронного размера – 30,0 Крахмал кукурузы – 51,0 Лактоза-моногидрат 200 меш – 74,33 Повидон К-30 – 4,3 Сшитая карбоксиметилцеллюлоза натрия – 8,5 Гранулирование Лаурилсульфат натрия – 0,17 Очищенная вода – Достаточное кол-во Внешняя фаза Стеарат магния – 1,7 На одну белую непрозрачную желатиновую капсулу размера 3 всего 170 мг. ПРИМЕР 4. Желатиновая капсула 30 мг Желатиновая капсула, приготовленная методом влажного гранулирования, имеет следующий состав, мг: Внутренняя фаза Соединение А микронного размера – 30,0 Крахмал кукурузы – 51,0 Лактоза-моногидрат 200 меш – 73,65 Повидон К-30 – 4,3 Сшитая карбоксиметилцеллюлоза натрия – 8,5 Гранулирование Лаурилсульфат натрия – 0,85 Очищенная вода – Достаточное кол-во Внешняя фаза Стеарат магния – 1,7 На одну белую непрозрачную желатиновую капсулу размера 3 всего 170 мг. ПРИМЕР 5. Таблетка 1 мг Внутренняя фаза, мг: Соединение А микронного размера – 1,0 Крахмал кукурузы – 50,0 Лактоза-моногидрат 200 меш – 130,0 Гидроксипропилметилцеллюлоза 6 сР – 6,0 Натриевая сшитая карбоксиметилцеллюлоза – 10,0 Гранулирование Лаурилсульфат натрия – 1,0 Очищенная вода – Достаточное кол-во Внешняя фаза, мг: Стеарат магния – 2 На одну таблетку всего 200 мг. ПРИМЕР 6. Таблетка 10 мг. Внутренняя фаза, мг: Соединение А микронного размера – 10,0 Крахмал кукурузы – 50,0 Лактоза-моногидрат 200 меш – 211,5 Гидроксипропилметилцеллюлоза 6 сР – 9,0 Карбоксиметилкрахмал натрия – 15,0 Лаурилсульфат натрия – 1,5 Гранулирование Очищенная вода – Достаточное кол-во Внешняя фаза, мг: Стеарат магния – 3 На одну таблетку всего 300 мг. ПРИМЕР 7. Таблетка 30 мг. Внутренняя фаза, мг: Соединение А микронного размера – 30 Крахмал кукурузы – 80 Лактоза-моногидрат 200 меш – 252 Повидон К-30 – 12 Сшитая карбоксиметилцеллюлоза натрия – 20 Лаурилсульфат натрия – 2 Гранулирование Очищенная вода – Достаточное кол-во Внешняя фаза Стеарат магния – 4 На одну таблетку всего 400 мг. Формула изобретения
![]() его фармацевтически приемлемую соль или сольват в микронизированной форме в количестве 0,5-20,0 мас. %, 0,05-0,5 мас.% алкилсульфата натрия, 2,5-10,0 мас.% агента дезагрегации и фармацевтические эксцициенты, выбранные из группы, включающей связующие, разбавители, красители, агенты растекания, отдушки, смазочные агенты, антиадгезивные агенты – остальное до 100%. 2. Композиция по п.1, содержащая в качестве алкилсульфата натрия лаурилсульфат натрия и в качестве агента дезагрегации сшитую Na-карбоксиметилцеллюлозу. 3. Композиция по п.1, содержащая 0,5-20,0 мас.% амида N-пиперидино-5-(4-хлорфенил)-1-(2,4-дихлорфенил)-4-метилпиразол-3-карбоновой кислоты в микронизированной форме, 0,1 мас.% лаурилсульфата натрия, 5 мас.% сшитой Na-карбоксиметилцеллюлозы, 1-10 мас. % связующего, 0,2-5,0 мас.% смазочного агента и разбавитель в количестве до 100%. 4. Фармацевтическая композиция по любому из пп.1-3, полученная методом влажного гранулирования, при котором алкилсульфат натрия добавляют к очищенной воде. 5. Фармацевтическая композиция по любому из пп.1-4, выполненная в виде желатиновых капсул, таблеток, пакетиков или порошков. 6. Фармацевтическая композиция по п.1 в виде желатиновой капсулы, имеющая следующий состав, мас.%: Внутренняя фаза: Амид N-пиперидино-5-(4-хлорфенил) -1-(2,4-дихлорфенил)-4-метилпиразол -3-карбоновой кислоты в микронизированной форме – 0,59 Крахмал кукурузы – 30,0 Лактоза-моногидрат 200 меш – 60,78 Повидон К-30 – 2,53 Сшитая Na-карбоксиметилцеллюлоза – 5,0 Лаурилсульфат натрия – 0,1 Внешняя фаза: Стеарат магния – 1,0 7. Фармацевтическая композиция по п.1 в виде желатиновой капсулы, имеющая следующий состав, мас.%: Внутренняя фаза: Амид N-пиперидино-5-(4-хлорфенил)-1-(2,4-дихлорфенил)-4-метилпиразол- 3-карбоновой кислоты в микронизированной форме – 5,88 Крахмал кукурузы – 30,0 Лактоза-моногидрат 200 меш – 55,49 Повидон К-30 – 2,53 Сшитая Na-карбоксиметилцеллюлоза – 5,0 Лаурилсульфат натрия – 0,1 Внешняя фаза: Стеарат магния – 1,0 8. Фармацевтическая композиция по п.1 в виде желатиновой капсулы, имеющая следующий состав, мас.%: Внутренняя фаза: Амид N-пиперидино-5-(4-хлорфенил)-1- (2,4-дихлорфенил)-4-метилпиразол-3- карбоновой кислоты в микронизированной форме – 17,64 Крахмал кукурузы – 30,0 Лактоза-моногидрат 200 меш – 43,73 Повидон К-30 – 2,53 Сшитая Nа-карбоксиметилцеллюлоза – 5,0 Лаурилсульфат натрия – 0,1 Внешняя фаза: Стеарат магния – 1,0 9. Способ получения фармацевтической композиции по любому из пп.1-5, заключающийся в том, что при комнатной температуре смешивают активное начало, агент дезагрегации и алкилсульфат натрия с разбавителем, связующим и при необходимости с красителем, смесь смачивают очищенной водой, полученную влажную массу высушивают и сортируют по размеру зерен, к полученным сухим отсортированным зернам добавляют смазочный агент и при необходимости антиадгезивный агент, агент растекания, краситель и/или отдушку. 10. Способ по п.9, в котором для приготовления фармацевтической композиции по любому из пп.6-8 алкилсульфат натрия добавляют на стадии смачивания. РИСУНКИ
PD4A – Изменение наименования обладателя патента Российской Федерации на изобретение
(73) Новое наименование патентообладателя:
Извещение опубликовано: 7.01.2006 БИ: 03/2006
|
||||||||||||||||||||||||||



105-330). На этой модели проницаемость соединения А, растворенного в диметилсульфоксиде (ДМСО), является высокой, что показывает его хорошую способность всасываться в кишечнике из раствора.
С другой стороны, гидрофобный характер соединений формулы 1 является четко выраженным. Так, констатируется, что соединение А не смачивается водой, кроме того это соединение и его соли практически не растворимы в воде ни при каких значениях рН. Эти соединения растворимы в спиртах и гликолях и, более конкретно, в полиэтиленгликолях (ПЭГ).
Однако когда растворы, приготовленные с использованием спирта или гликоля, разбавляют в водной среде, соединение формулы 1 по причине своего гидрофобного характера выпадает в осадок.
Соединения формулы 1 и, в частности, соединение А являются слабыми электростатиками. Они поддаются микронному распылению с высоким выходом (около 85%), которое позволяет получать частицы размером приблизительно 1 мкм. Аналитический контроль, произведенный после этой микронизации, показывает отсутствие изменений в кристаллической форме.
При изучении смачиваемости отмечали, что скорость проникновения воды в слой порошка, приготовленного путем влажного гранулирования, гораздо выше скорости проникновения воды, измеряемой на слое порошка, полученного путем сухого смешения. Изучение эффекта введения смачивающих агентов показало, что алкилсульфаты натрия при низкой концентрации существенно повышают смачиваемость.
Далее было обнаружено, что присутствие в композиции агента дезагрегации, такого как сшитая карбоксиметилцеллюлоза натрия, позволяет улучшить кинетику растворения.
Было неожиданным образом обнаружено, что при совместном присутствии в одном и том же составе алкилсульфата натрия и агента дезагрегации быстро достигается полное растворение этого состава с хорошей воспроизводимостью получаемых результатов.
Таким образом, объектом настоящего изобретения является фармацевтическая композиция для перорального применения на основе соединений формулы 1, содержащая 0,5 – 20,0 мас.% соединений формулы 1 в микронной форме, 0,05 – 0,5 мас.% алкилсульфата натрия, 2,5 – 10 мас.% агента дезагрегации и фармацевтические эксципиенты, причем композиция получается методом влажного гранулирования.
Под влажным гранулированием предполагается фармацевтическая операция, которая позволяет с помощью грануляционной жидкости уплотнить смесь порошков, содержащих активное начало, причем эта смесь является внутренней фазой композиции, после чего полученную влажную массу сушат и сортируют по размеру и затем к ней добавляют ингредиенты, образующие внешнюю фазу композиции.
Согласно настоящему изобретению под алкилсульфатом натрия понимают С8-С12-алкилсульфат натрия, например, октилсульфат натрия или, предпочтительно, лаурилсульфат натрия.
Согласно настоящему изобретению под агентом дезагрегации понимают целлюлозу или ее производные, такие как карбоксиметилцеллюлоза натрия, сшитая карбоксиметилцеллюлоза натрия, поливинилпирролидон, предварительно желатинированный крахмал и карбоксиметилкрахмал натрия, из которых предпочтительным агентом дезагрегации является сшитая карбоксиметилцеллюлоза натрия.
Фармацевтические композиции согласно настоящему изобретению могут находиться в виде желатиновых капсул, таблеток, пакетиков и порошков, из которых предпочтительными являются желатиновые капсулы.
Фармацевтические эксципиенты, пригодные для фармацевтической композиции настоящего изобретения, включают, в частности, разбавитель, связующее и смазочный агент. Могут быть также добавлены агент растекания, антиадгезивный агент и, возможно, краситель и/или отдушка.
Применяемый в композиции настоящего изобретения разбавитель может представлять собой одно или несколько соединений, способных загущать активное начало до получения желаемой массы. Предпочтительными разбавителями являются: неорганические фосфаты, такие как фосфаты кальция; сахара, такие как водная или обезвоженная лактоза и маннит; а также целлюлоза или ее производные, такие, например, как микрокристаллическая целлюлоза, крахмал, крахмал кукурузы или предварительно желатинизированный крахмал. Особое предпочтение отдается лактозе-моногидрату, манниту, микрокристаллической целлюлозе и крахмалу кукурузы, используемым индивидуально или в смеси, например, смесь лактозы-моногидрата и крахмала кукурузы.
Применяемое в композиции настоящего изобретения связующее может представлять собой одно или несколько соединений, способных загущать соединение формулы 1, переводя его в более крупные и более плотные частицы, обладающие лучшей растекаемостью. Предпочтительными связующими являются: альгиновая кислота и альгинат натрия; целлюлоза и ее производные, такие как карбоксиметилцеллюлоза натрия, этилцеллюлоза, гидроксиэтилцеллюлоза, гидроксипропилцеллюлоза, гидроксипропилметилцеллюлоза или метилцеллюлоза; желатина; полимеры акриловой кислоты; поливинилпирролидон, например, повидон К-30; особенно предпочтителен повидон К-30. Содержание связующего в фармацевтической композиции изобретения составляет 1 – 10 мас.%.
Применяемый в композиции настоящего изобретения смазочный агент может представлять собой одно или несколько соединений, способных избежать проблем, связанных с приготовлением сухих форм, таких, например, как проблемы липкости и/или слипания, возникающие в машинах в процессе компримирования или заполнения. Предпочтительными смазочными агентами являются жирные кислоты или производные жирных кислот, такие как стеарат кальция, глицерилмоностеарат, глицерилпальмитостеарат, стеарат магния, лаурилсульфат натрия, стеарилфумарат натрия, стеарат цинка или стеариновая кислота; гидрированные растительные масла, например, гидрированное касторовое масло; полиалкиленгликоли, в частности, полиэтиленгликоль; бензоат натрия или тальк. Согласно настоящему изобретению предпочтение отдается стеарату магния. Смазочный агент присутствует в фармацевтической композиции изобретения в количестве 0,2 – 5,0 мас.%.
Антиадгезивный агент, который может присутствовать в композиции согласно изобретению, представляет собой одно или несколько соединений, способных уменьшить липкость состава, например, понизить адгезию к металлическим поверхностям. Предпочтительными антиадгезивными агентами являются соединения, содержащие кремний, например, диоксид кремния или тальк. Антиадгезивный агент может присутствовать в фармацевтической композиции изобретения в количествах 0 – 5,0 мас.%.
Агент растекания, который может присутствовать в композиции настоящего изобретения, представляет собой одно или несколько соединений, способных облегчить растекание приготовленного состава.
Предпочтительными агентами растекания являются соединения, содержащие кремний, например, безводный коллоидный диоксид кремния или осажденный диоксид кремния. Агент растекания может присутствовать в фармацевтической композиции изобретения в количествах 0 – 15 мас.%.
Согласно настоящему изобретению фармацевтические композиции приготовляют методом влажного гранулирования. При этом для получения внутренней фазы смешивают при комнатной температуре активное начало, разбавитель, связующее, агент дезагрегации, алкилсульфат натрия и, при необходимости, краситель, после чего увлажняют грануляционной жидкостью. Полученную влажную массу сушат и затем просеивают. К сухим зернам нужного размера добавляют один или больше ингредиенты внешней фазы, а именно смазочный агент и, при необходимости, антиадгезивный агент, агент растекания и в некоторых случаях краситель и/или отдушку.
В качестве грануляционной жидкости используют очищенную воду.
В предпочтительном варианте осуществления изобретения для проведения влажной грануляции к очищенной воде добавляют алкилсульфат натрия.
Конкретным случаем настоящего изобретения является фармацевтическая композиция для перорального применения, содержащая 0,5 – 20,0 мас.% соединения А в микронной форме, 0,05 – 0,5 мас.% лаурилсульфата натрия, 2,5 – 10,0 мас. % сшитой карбоксиметилцеллюлозы натрия, и фармацевтические эксципиенты, причем композиция получена методом влажного гранулирования.
Согласно предпочтительному варианту фармацевтическая композиция для перорального применения, приготовленная методом влажного гранулирования, содержит 0,5 – 20,0 мас.% соединения А в микронной форме, 0,1 мас.% лаурилсульфата натрия, 5,0 мас.% сшитой карбоксиметилцеллюлозы натрия, 1 – 10 мас.% связующего, 0,2 – 5,0 мас.% смазочного агента и разбавитель в количестве до 100%.
Более конкретно изобретение относится к фармацевтическим композициям, приготовленным в виде желатиновых капсул методом влажного гранулирования и имеющим один из приведенных ниже составов, мас.%:
, 284-289.
2.1. Влияние метода гранулирования
(1/A Co),