Патент на изобретение №2192857
|
||||||||||||||||||||||||||
(54) ИНГИБИТОР АГРЕГАЦИИ ТРОМБОЦИТОВ, ОБЛАДАЮЩИЙ АНТИМЕТАСТАТИЧЕСКИМ ДЕЙСТВИЕМ
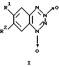
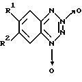
(57) Реферат: Изобретение относится к медицине и касается применения бензотетразин-1,3-диоксида (БТДО) и его бромпроизводных в качестве ингибиторов агрегации тромбоцитов, обладающих антиметастатическим действием. Предложенное изобретение позволяет повысить эффективность лечения. 1 табл. Изобретение относится к физиологии, фармакологии и медицинской химии, в частности к применению известных бензотетразин-1,3-диоксида (БТДО) и его бромпроизводных общей формулы I: ![]() где, если R1=Н, то R2=H или Br, или, если R1=Br, то R2=H или Br, в качестве ингибиторов агрегации тромбоцитов, обладающих антиметастатическим действием. Результаты многочисленных исследований свидетельствуют о том, что тромбоциты играют одну из ключевых ролей в процессе метастазирования опухолевых клеток. Усиление агрегации тромбоцитов циркулирующими в плазме крови опухолевыми клетками и повышение их адгезии к клеткам сосудистого эндотелия является составной частью ранней стадии данного патологического процесса (S. Karpatkin, E. Pearlstein “Role of platelet in tumor cell metastasis” Ann. Intern. Med. 1981, v.95, 5, p.636-641; P.G. Cavanaugh, В.F. Sloane, K.V. Honn “Role of coagulation system in tumor-cell-induced platelet aggregation and metastasis” Haemostasis 1988, v.18, 1, р.37-46; D.G. Tang, J.M. Onoda et al. “Phenotypic properties of cultured tumor cells: integrin alpha IIb beta 3 expression, tumor-cell-induced platelet aggregation, and tumor-cell adhesion to endothelium as important parameters of experimental metastasis” Int. J. Cancer 1993, v.54, 2, p.338-347). В ряде случаев степень агрегации тромбоцитов, вызванной индукторами (напр., аденозин-5′-дифосфатом /АДФ/), которые освобождаются из опухолевых клеток в процессе образования метастазов, положительно коррелировала с потенциалом метастазирования (Y. Mogi, К. Kogawa et al. “Platelet aggregation induced by adenosine diphosphate released from cloned murine fibrosarcoma cells is positively correlated with experimental metastatic potential of the cells” Jpn. J. Cancer Res. 1991, v. 82, 2, p.192-198). Применение соединений, способных предотвращать активацию тромбоцитов, в сочетании с цитотоксическими противоопухолевыми препаратами или лучевой терапией рассматривается в настоящее время как перспективный подход для комбинированного воздействия на злокачественные новообразования, сопровождающиеся интенсивным ростом метастазов. Изучение фармакологических свойств представителей различных классов биологически активных веществ позволило выявить соединения, антиметастатический эффект которых обусловлен их способностью снижать агрегационные и/или адгезивные свойства тромбоцитов. В группу таких соединений входят активаторы биосинтеза аденозин-3′, 5′-циклофосфата (цАМФ) – простациклин и его аналоги (илопрост, сайкапрост, эпталопрост) (М. R. Schneider, D. G Tang et al. “Prostacyclin and its analogues: antimetastatic effects and mechanisms of action” Cancer Metastasis Rev. 1994, v.13, 3-4, p.349-364), активатор аденилатциклазы – форсколин (К.С. Agarwal, R.E. Parks “Forscolin: a potential antimetastatic agent” Int. J. Cancer 1983, v. 32, 6, р.801-804), ингибиторы фосфодиэстеразы цАМФ (мопидамол, пентоксифиллин, DN-9693) (H. Gastpar “Modification of metastasis formation by inhibition of platelet aggregation. Experimental and clinical results” Laringol. Rhinol. Otol. 1983, v.62, 12, p. 578-585; N. G. Tanaka, A. Tohgo et al. “Effects of DN-9693, a new metastasis inhibitor, on murine hematogenous metastasis” Anticancer Res. 1986, v. 6, 4, p.543-548), ингибитор фосфодиэстеразы цАМФ/прямой активатор цАМФ-зависимой протеинкиназы (трапидил), антагонисты калмодулина (W-7) (H. Ito, J.Z. Wang, К. Shimura “Inhibition of lung metastasis by a calmodulin antagonist, N-(6-aminohexyl)-5-chloro-1-naphtalenesulphonaimide (W-7), in mice bearing Lewis lung carcinoma” Anticancer Res. 1991, v.11, 1, р.249-252), блокаторы кальциевых каналов (дилтиазем), ингибитор фосфодиэстеразы цГМФ/ингибитор транспорта нуклеозидов (дипиридамол) (H. Bando, Т. Yamashita, E. Tsubura “Effect of antiplatelet agents on pulmonary metastases” Gann 1984, v.75, 3, р.284-291), нестероидные противовоспалительные средства (напр., флурбипрофен (A. Mamytbekova, К. Resabek et al. “Antimetastatic effect of flurbiprofen and other platelet aggregation inhibitors” Neoplasma 1986, v.33, 4, p.417-421)), ингибиторы 5-липоксигеназы (нафазатром) (R.Р. Warren, R.S. Bockman et al. “Clinical study of a new antimetastatic compound, Nafasatrom (Bay g 6575). Effect on platelet consumption and monocyte prostaglandin production in patients with advanced cancer” Cancer 1986, v.57, 8, p.1455-60), ингибиторы топоизомеразы II (митоксантрон) (Р. Frank, R.F. Novak “Effects of mitoxantrone and bisantrene on platelet aggregation and prostaglandin/thromboxane biosynthesis in vitro” Anticancer Res. 1986, v.6, 5, p. 941-947; M. Iigo, M. Shimamura et al. “Characteristics of the inhibitory effect of mitoxantrone and pirarubicinn on lung metastases of colon carcinoma 26” Jpn. J. Cancer Res. 1995, v.86, 9, p.867-872), производные кумаринов (варфарин (G.F. Smith, В.L. Neubauer et al. “Correlation of the in vivo anticoagulant, antithrombotic, and antimetastatic efficacy of warfarin in the rat” Thromb. Res. 1988, v.50, 1, р.163-174), фенпрокумон), гепарин (В. Maat, P. Hilgard “Anticoagulants and experimental metastases – evaluation of antimetastatic effects in different model systems” J. Cancer Res. Clin. Oncol. 1981, v. 101, 3, p. 275-283), блокаторы Р2T рецептора АДФ тромбоцитов (тиклопидин) (патент США 4963559, кл. 514-301, оп.1990 г), блокаторы рецепторов фибриногена, в частности IIb 3 интегрина (I. Saiki, J. Murata et al. “Antimetastatic effects of synthetic polypeptides containing repeated structures of cell adhesive Arg-Gly-Asp (RGD) and Tyr-Ile-Gly-Ser-Arg (YIGSR) sequences” Br. J. Cancer 1989, v.60. 5, р.722-728) и другие продукты.
Лекарственные средства на основе вышеперечисленных соединений, как правило, обладают теми или иными недостатками, которые ограничивают возможность их применения в клинике для лечения онкологических заболеваний, сопровождающихся метастазированием опухолей. Наиболее существенными недостатками являются низкая эффективность антиметастатического действия, проявление фармакологических свойств при достаточно высоких дозах препаратов и, как следствие, различные побочные эффекты и в большинстве случаев сравнительно высокая токсичность, плохая биодоступность, малый период полужизни в плазме крови и т. д. В настоящее время остается актуальным поиск соединений, антиметастатическая активность которых обусловлена наличием у них антиагрегантных свойств.
Среди гетероциклических азотсодержащих соединений известна группа N, N’-диоксидов (напр. , замещенные диазетин-1,2-диоксиды, пиразол-4-он-1,2-диоксиды), ингибирующих агрегацию тромбоцитов, что обусловлено их способностью выделять оксид азота (NO) при взаимодействии с тиолами в физиологических условиях (I.S. Severina, N.N. Belushkina, N.В. Grigoryev “Inhibition of ADP-induced human platelet aggregation by a new class of soluble guanylate cyclase activators capable of nitric oxide generation” Biochem. Mol. Biol. Int. 1994, v. 33, 5, p.957-967, I.A. Kirilyuk, D.I. Utepbergenov et al. “Thiol-induced nitric oxide release from 3-halogeno-3,4-dihydrodiazete l, 2-dioxides” J. Med. Chem. 1998, v. 41, p.1027-1033; выложенная заявка ФРГ 4325545, C 07 D 231/18, оп. 1995 г.; K.Rehse, U.Muller “New NO-donors with antithrombotic and vasodilating activities, XIII: Pyrazol-4-one 1,2-dioxides and 4-hydroxyiminopyrazole 1,2-dioxides” Arch. Pharm. 1995, v.328, 2, p. 765-769). Наличие у данных соединений антиметастастатических свойств не исследовалось.
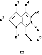
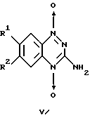
В ряду производных пирроло[2,3-d] пиридазина запатентованы замещенные 5,6-диоксиды общей формулы II:![]() где A, R1-R5, Х имеют указанные в патенте значения, в качестве средств для лечения язвы желудка, вызванной Helicobacter pylori (Европейский патент 742218, С 07 D 487/04, оп. 1996 г.). Антиагрегантные и антиметастатические свойства данных диоксидов не изучены. Известен 4,7-диметил-1,2,5-оксадиазоло[3,4-d] пиридазин-5,6-диоксид формулы III: ![]() активирующий растворимую форму гуанилатциклазы и обладающий комплексным фармакологическим действием, в частности ингибирующий агрегацию тромбоцитов (А. Ya. Kots, M.A. Grafov et al. “Vasorelaxant and antiplatelet activity of 4,7-dimethyl-1,2,5-oxadiazolo[3,4-d] pyridazine 1,5,6-trioxide: role of soluble guanylate cyclase, nitric oxide and thiols” Brit. J. Pharm. 2000, v. 129, p. 1163-1177). Антиметастатические свойства данного соединения не изучены. Известны производные хиноксалин-1,4-диоксида общей формулы IV: ![]() где R1 и R2 (независимо) = Н, Cl, F, CF3, СН3О и др., обладающие цитотоксическим действием и активирующиеся в условиях гипоксии (патент Великобритании 2297089, C 07 D 241/52, AG1K 31/495, oп. 1996 г.). Антиагрегантные и антиметастатические свойства данных диоксидов не изучены. Известны производные 1,2,4-бензотриазин-1,4-диоксида общей формулы V: ![]() где R1=R2=H (“тирапазамин”) или R1 и R2 (независимо) = Н, СН3О, Cl и др. , обладающие цитотоксическим действием и активирующиеся в условиях гипоксии (Е. М. Zeman, M.А. Baker et al. “Structure-activity relationships for benzotriazine di-N-oxides” Int. J. Radial. Oncol. Biol. Phys. 1989, v. 16, p. 977-981; заявка РСТ 91/04028, А 61 К 31/53, оп. 1991 г.). Антиагрегантные и антиметастатические свойства данных соединений не изучены. Известны нитропроизводные бензотетразин-1,3-диоксида общей формулы VI: ![]() где R1= Н и R2= NO2 или R1=NО2 и R2=Н или NO2, в качестве активаторов растворимой формы гуанилатциклазы (патент РФ 2123526, C 12 N 9/99, 9/88, 1997 г. ). Антиагрегантные и антиметастатические свойства вышеуказанных соединений не изучены. Известны БТДО и его бромпроизводные вышеуказанной общей формулы I, где R1 и R2 имеют соответствующие значения, в качестве продуктов органического синтеза (О.Ю Смирнов. Дис. канд. хим. наук, ИОХ РАН им. Н.Д. Зелинского, Москва, 1995 г.). Фармакологические свойства данных соединений не изучены. В настоящее время неизвестны N,N’-диоксиды, проявляющие антиагрегантные свойства и вместе с тем обладающие антиметастатическим действием. Наиболее близкими к БТДО и его бромпроизводным общей формулы I в ряду гетероциклических соединений, содержащих N-оксидную группу, являются нитроны фенилзамещенных соединений дигидропиридинового ряда, в частности 2-(метокси)этиловый эфир 1,4-дигидро-2,6-диметил-5-[(изопропилокси)карбонил] -4-{3-[(2-нитробензилиден) (N-оксидо)амино]фенил}пиридин-3-карбоновой кислоты формулы VII: ![]() ингибирующий агрегацию тромбоцитов и обладающий антиметастатическим действием (патент США 4758669, кл. 546/263, оп. 1988 г. – прототип). Недостатком данного соединения является проявление антиагрегантных и антиметастатических свойств при сравнительно высоких концентрациях и дозах (250-1000 мкМ в модели in vitro и 50 мг/кг в условиях in vivo, соответственно). Целью изобретения является выявление нового более эффективного ингибитора агрегации тромбоцитов, обладающего антиметастатическим действием в низких дозах. Поставленная цель достигается применением известных бензотетразин-1,3-диоксида и его бромпроизводных вышеуказанной общей формулы I, где R1, R2 и R3 имеют приведенные значения, в качестве ингибиторов агрегации тромбоцитов, обладающих антиметастатическим действием. Соединения общей формулы I были получены известным способом – обработкой азотным ангидридом 2-(трет-бутил-NNO-азокси)анилина (А. М. Churakov, S.L. Ioffe, V.A. Tartakovsky. “The first synthesis of 1,2,3,4-tetrazine-1,3-di-N-oxides”. Mendeleev Commun. , 1991, pp.101-103) или его соответствующих бромпроизводных (О. Ю. Смирнов. Дис. канд. хим. наук, ИОХ РАН им. Н.Д. Зелинского, Москва, 1995 г.) в среде органического растворителя. Описываемое изобретение иллюстрируется следующими примерами. Пример 1. Ингибирование агрегации тромбоцитов человека под действием бензотетразин-1,3-диоксида и его бромпроизводных Влияние продуктов настоящего изобретения на агрегацию тромбоцитов человека изучали известным турбидиметрическим способом Борна. Для этого венозную кровь, взятую в 8 часов утра у здоровых доноров, центрифугировали при 450 g при комнатной температуре в пластиковой посуде в течение 10 мин, используя в качестве антикоагулянта цитрат натрия. Супернатант, то есть богатую тромбоцитами плазму, отбирали и центрифугировали при 650 g в течение 30 мин, получая бедную тромбоцитами плазму, Концентрацию тромбоцитов доводили в богатой тромбоцитами плазме до 2,5 108 клеток/мл с помощью разведения бедной тромбоцитами плазмой и приливали полученную суспензию в кювету объемом 0,5 мл. Агрегацию индуцировали добавлением АДФ до концентрации 2-5 мкМ. Концентрацию АДФ подбирали в каждом эксперименте так, чтобы агрегация была обратимой и максимум приходился на 2 мин после добавления АДФ, не превышая 50%. Светорассеяние суспензии тромбоцитов измеряли с помощью агрегометра, разработанного в лаборатории биоорганической химии биологического факультета МГУ им. М.В. Ломоносова (Россия). При исследовании антиагрегантных свойств БТДО и его производные вносили в пробу перед прибавлением АДФ.
Продукты настоящего изобретения в концентрации 0,5-100 мкМ ингибировали агрегацию тромбоцитов, вызванную 11 мкМ АДФ. Значения концентраций, при которых достигалось полумаксимальное ингибирование (IС50), для БТДО, 6-, 7- и 6,7-Br2-БТДО составляли 1,1; 0,47; 0,55 и 0,90 мкМ, соответственно. Согласно данным прототипа известный аналог в близких условиях имел значение IC50 ~250 мкМ.
Пример 2. Ингибирующее действие бензотетразин-1,3-диоксида и его бромпроизводных на метастазирование перевиваемой карциномы легких ЛьюисИзучение антиметастатического действия соединений настоящего изобретения проводили известным способом на мышах-самцах линии C57BL/6 средней массой около 20 г. Карциному легких Льюис трансплантировали подкожно по 1 106 опухолевых клеток на мышь. Введение исследуемых соединений внутрибрюшинно в виде 10%-ного раствора в ДМСО начинали через 48 часов после трансплантации опухоли и продолжали ежедневно в течение 10 дней. Влияние соединений настоящего изобретения на развитие первичной опухоли оценивали в динамике, измеряя ее размеры и рассчитывая коэффициент торможения роста опухоли (ТРО) по формуле![]() где Vк – средний объем опухоли (мм3) у контрольных животных, Vоп – средний объем опухоли (мм3) у животных, которым вводилось исследуемое соединение. Влияние БТДО и его бромпроизводных на легочное метастазирование оценивали после забоя контрольных и получавших соединения животных на 25-й день опыта путем сравнения средней массы легких, пораженных метастазами. Расчет коэффициента торможения роста метастазов (ТРМ) проводили по формуле, аналогичной для определения ТРО, где к и Vоп заменены на среднюю массу (мг) легких с метастазами у контрольных и получавших соединения животных, соответственно. В описанных условиях БТДО и его бромпроизводные ингибировали метастазирование карциномы легких Льюис у мышей линии C57BL/6. Результаты экспериментов представлены в таблице. Как вытекает из приведенных данных, в вышеописанных условиях БТДО в низких дозах (до 0,001 мг/кг) ингибировал процесс метастазирования карциномы легких Льюис в легкие у мышей линии C57BL/6 (средняя масса легких у мышей, получавших данное соединение, была ниже ~ на 33% по сравнению с аналогичным показателем у контрольных животных). Согласно данным прототипа известный аналог оказывал умеренное антиметастастатическое действие на мышах в дозе 50 мг/кг. Пример 3. Изучение способности бензотетразин-1,3-диоксида и его бромпроизводных общей формулы I генерировать оксид азота Для определения оксида азота использовали известный способ, основанный на реакции оксида азота с кислородом воздуха в водной среде с образованием нитрита, количество которого измеряли по интенсивности окрашивания пробы продуктом реакции азосочетания с помощью спектрофотометра. Проба конечным объемом 1 мл содержала 50 мМ калий-фосфатный буфер (рН 7,4), 0,5 мМ цистеин или глутатион, изучаемое соединение в концентрации 0,1 мМ и 0,2% диметилсульфоксид (ДМСО). В качестве отрицательного контроля использовали водный раствор ДМСО в концентрации 0,2%, а в качестве положительного контроля 0,1 мМ нитрит натрия, содержащий 0,2% ДМСО. Пробы инкубировали 60 мин при 37oС и добавляли последовательно 100 мкл 3 М ацетата натрия, 400 мкл 0,92% раствора сульфаниловой кислоты в 30% уксусной кислоте и 400 мкл 0,05% N-нафтилэтилендиамина. Пробы инкубировали 10 мин и измеряли оптическую плотность при длине волны 554 нм на спектрофотометре. В вышеуказанных условиях при рН 7,4 не наблюдалось образования заметного количества нитрита (< 0,01 моль нитрита/моль исходного соединения) в отсутствие тиолов. В присутствии тиолов соединения общей формулы I также не генерировали нитрит. Таким образом, бензотетразин-1,3-диоксид и его бромпроизводные общей формулы I не являются спонтанными или тиол-зависимыми донорами оксида азота. Пример 4. Острая токсичность бензотетразин-1,3-диоксида и его бромпроизводных Острую токсичность соединений настоящего изобретения определяли известным способом по ЛД50 с использованием беспородных мышей обоего пола средней массой 21 г при комнатной температуре; стандартное питание и воду давали ad libitum в течение всего эксперимента; подвижность животных не ограничивали. Растворы соединений в ДМСО вводили с помощью стерильного шприца внутрибрюшинно. После инъекции за животными вели наблюдение в течение 48 часов; по истечении этого времени за мышами наблюдали дополнительно в течение 72 часов (ни одно из животных не погибло в течение дополнительного промежутка времени). Полученные результаты свидетельствуют о том, что значение ЛД50 для БДТО составляет >100 мг/кг, а для его бромсодержащих производных не ниже 50 мг/кг. Для известного аналога определение острой токсичности не проводилось. Как следует из примера 1, БДТО и его бромпроизводные ингибируют агрегацию тромбоцитов в условиях in vitro в концентрациях, значительно более низких по сравнению с соответствующими концентрациями известного аналога. Пример 2 показывает, что, в отличие от известного аналога, соединения настоящего изобретения в низких дозах проявляют антиметастастатическое действие на мышах с перевиваемой карциномой легких Льюис. Таким образом, применение бензотетразин-1,3-диоксида и его бромпроизводных общей формулы I расширяет ассортимент эффективных ингибиторов агрегации тромбоцитов, обладающих антиметастатическим действием. Формула изобретения
![]() где, если R1-H, то R2-H или Вr или, если R1-Br, то R2-H или Вr, в качестве ингибиторов агрегации тромбоцитов, обладающих антиметастатическим действием. РИСУНКИ
MM4A – Досрочное прекращение действия патента СССР или патента Российской Федерации на изобретение из-за неуплаты в установленный срок пошлины за поддержание патента в силе
Дата прекращения действия патента: 25.04.2008
Извещение опубликовано: 20.06.2010 БИ: 17/2010
|
||||||||||||||||||||||||||


IIb
3 интегрина (I. Saiki, J. Murata et al. “Antimetastatic effects of synthetic polypeptides containing repeated structures of cell adhesive Arg-Gly-Asp (RGD) and Tyr-Ile-Gly-Ser-Arg (YIGSR) sequences” Br. J. Cancer 1989, v.60. 5, р.722-728) и другие продукты.
Лекарственные средства на основе вышеперечисленных соединений, как правило, обладают теми или иными недостатками, которые ограничивают возможность их применения в клинике для лечения онкологических заболеваний, сопровождающихся метастазированием опухолей. Наиболее существенными недостатками являются низкая эффективность антиметастатического действия, проявление фармакологических свойств при достаточно высоких дозах препаратов и, как следствие, различные побочные эффекты и в большинстве случаев сравнительно высокая токсичность, плохая биодоступность, малый период полужизни в плазме крови и т. д. В настоящее время остается актуальным поиск соединений, антиметастатическая активность которых обусловлена наличием у них антиагрегантных свойств.
Среди гетероциклических азотсодержащих соединений известна группа N, N’-диоксидов (напр. , замещенные диазетин-1,2-диоксиды, пиразол-4-он-1,2-диоксиды), ингибирующих агрегацию тромбоцитов, что обусловлено их способностью выделять оксид азота (NO) при взаимодействии с тиолами в физиологических условиях (I.S. Severina, N.N. Belushkina, N.В. Grigoryev “Inhibition of ADP-induced human platelet aggregation by a new class of soluble guanylate cyclase activators capable of nitric oxide generation” Biochem. Mol. Biol. Int. 1994, v. 33, 5, p.957-967, I.A. Kirilyuk, D.I. Utepbergenov et al. “Thiol-induced nitric oxide release from 3-halogeno-3,4-dihydrodiazete l, 2-dioxides” J. Med. Chem. 1998, v. 41, p.1027-1033; выложенная заявка ФРГ 4325545, C 07 D 231/18, оп. 1995 г.; K.Rehse, U.Muller “New NO-donors with antithrombotic and vasodilating activities, XIII: Pyrazol-4-one 1,2-dioxides and 4-hydroxyiminopyrazole 1,2-dioxides” Arch. Pharm. 1995, v.328, 2, p. 765-769). Наличие у данных соединений антиметастастатических свойств не исследовалось.
В ряду производных пирроло[2,3-d] пиридазина запатентованы замещенные 5,6-диоксиды общей формулы II:





108 клеток/мл с помощью разведения бедной тромбоцитами плазмой и приливали полученную суспензию в кювету объемом 0,5 мл. Агрегацию индуцировали добавлением АДФ до концентрации 2-5 мкМ. Концентрацию АДФ подбирали в каждом эксперименте так, чтобы агрегация была обратимой и максимум приходился на 2 мин после добавления АДФ, не превышая 50%. Светорассеяние суспензии тромбоцитов измеряли с помощью агрегометра, разработанного в лаборатории биоорганической химии биологического факультета МГУ им. М.В. Ломоносова (Россия). При исследовании антиагрегантных свойств БТДО и его производные вносили в пробу перед прибавлением АДФ.
Продукты настоящего изобретения в концентрации 0,5-100 мкМ ингибировали агрегацию тромбоцитов, вызванную 11 мкМ АДФ. Значения концентраций, при которых достигалось полумаксимальное ингибирование (IС50), для БТДО, 6-, 7- и 6,7-Br2-БТДО составляли 1,1; 0,47; 0,55 и 0,90 мкМ, соответственно. Согласно данным прототипа известный аналог в близких условиях имел значение IC50 ~250 мкМ.
Пример 2. Ингибирующее действие бензотетразин-1,3-диоксида и его бромпроизводных на метастазирование перевиваемой карциномы легких Льюис
