Патент на изобретение №2191780
|
||||||||||||||||||||||||||
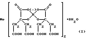
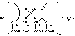
(54) ДИЦИТРАТОБОРАТЫ ДВУХВАЛЕНТНЫХ МЕТАЛЛОВ В КАЧЕСТВЕ МИКРОУДОБРЕНИЙ И БИОСТИМУЛЯТОРОВ
(57) Реферат: Описываются дицитратобораты двухвалентных металлов формулы (I), полученные взаимодействием борной и лимонной кислот и затем оксида или карбоната металла в молярном соотношении 1:2:0,5 соответственно в водной среде при нагревании на водяной бане. Новые соединения используются в качестве микроудобрений и биостимуляторов, повышающих урожайность различных сельскохозяйственных культур. 2 ил., 5 табл. ![]() где Me – Mn2+, Co2+, Cu2+, Zn2+. Изобретение относится к новым биологически активным химическим соединениям, повышающим урожайность различных сельскохозяйственных культур. Известны биостимуляторы на основе комплексных соединений бора, например пентаэритритбораты Mn, Co, Cu (см. А.с. 467583, СССР. Б.и. 9-76), применяемые для опудривания семян овощных и зернобобовых культур, однако малая растворимость этих соединений в воде делает их не применимыми при необходимости опрыскивания всходов или других способов обработки семян. Настоящее изобретение расширяет ассортимент микроудобрений и биостимуляторов, сфер и методов их применения. Предложены комплексные соединения бора с лимонной кислотой структурной формулы ![]() где Me – катион двухвалентного металла: Mn2+, Co2+, Cu2+, Zn2+. Соединения общей формулы I получали следующим способом. 0,2 моль (42,05 г) лимонной кислоты и 0,1 моль (6,2 г) борной кислоты растворяли в 35 мл дистиллированной воды при нагревании на водяной бане (50-60oС), в теплый раствор добавляли небольшими порциями 0,05 моль карбоната или оксида соответствующего металла и продолжали нагревание до полного растворения. Реакционную смесь оставляли кристаллизоваться. Обычно кристаллизация начиналась через 7-10 дней. Кристаллы отделяли фильтрованием, промывали спиртом и эфиром и сушили на воздухе до воздушно-сухого состояния. Состав и строение полученных соединений доказан химическим анализом, методами ИКС поглощения и термического анализа. Методами кондуктометрии и криоскопии изучены свойства водных растворов соединений. Бор определяли, экстрагируя борную кислоту в кислой среде 2-метилбутандиолом-1,3 и дальнейшим алкалиметрическим титрованием ее с маннитом потенциометрически (см. Белоусова Р.Г., Терауда А.А., Путнинь А.Я., Бернане А.А. , Шварц Е.М., Иевиньш А.Ф. Определение борной кислоты в ее комплексах с полиоксисоединениями. Изв. АНЛатвССР. Сер.хим.-1972. 6.-с. 643-646). Содержание углерода и водорода определялось микросожжением соединения в токе кислорода и поглощением образующихся оксидов Н2О и СО2 по методике (см. Климова В. А. Основные микрометоды анализа органических соединений. – М.: Химия, 1975. -223с.). Марганец, цинк определяли комплексонометрически – титрованием трилоном Б в присутствии металлиндикатора эриохром черный Т, медь определяли иодометрически, кристаллизационную воду – титрованием по Фишеру и по результатам термического анализа. Плотность соединений определяли пикнометрически в толуоле, показатели преломления – иммерсионным методом. Растворимость соединений в воде определяли термостатированием системы соединение – вода при 25oС с периодическим перемешиванием до установления равновесия. В растворе определяли содержание катиона металла и бора по ранее описанным методикам. ИКС поглощения снимали на спектрометре UR-20 в области 4000-400 см-1, образцы готовили в виде таблеток с бромистым калием. Состав и свойства соединений представлены в таблице 1. Соединения представляют собой кристаллические вещества белого (Zn), розового (Мn, Сo), голубого (Сu) цвета, устойчивые на воздухе, хорошо растворимые в воде. На фигуре 1 изображены ИК-спектры поглощения дицитратоборатов марганца, кобальта, цинка, меди. Сильное поглощение происходит в области 1718-1690 см-1, характерное для связи С=O карбоксильной группы СООН и карбоксильной группы, связанной с атомом бора. Поглощение в области 970-905 см-1 характерно для валентного колебания тетракоординированного атома бора. Термическое разложение соединений изучено на дериватографе “Паулик, Паулик, Эрдей” в атмосфере воздуха. Скорость нагрева 2,5oС в минуту. На фигуре 2 представлены термоаналитические кривые дицитратобората цинка. Дицитратоборат цинка термически устойчив до 110oС, в интервале 110-140oС отщепляется 4 моль воды и далее до 170oС – еще 4 моль. В интервале 170-270oС идет эндотермический процесс с потерей массы, соответствующей отщеплению концевых групп -СН2-СООН (62,29%, теорет. 62,14%). По данным хроматографии в газообразных продуктах разложения, кроме Н2О, СО, СО2, присутствует янтарная кислота НООС-СН2-СH2-СООН. Выше 270oС происходит разложение и окисление оставшейся органической части молекулы (экзотермический пик на ДТА), оканчивающийся к ~500oС. Остаток после прокаливания имеет состав ZnO B2O3.
Термическое разложение дицитратоборатов марганца, кобальта происходит аналогично. При термическом разложении дицитратобората меди медь в процессе окисления органических составляющих восстанавливается до металла, и остаток после прокаливания при 550oС представляет собой смесь Сu и В2О3.
По данным электропроводности и криоскопии водных растворов соединения при концентрации ~0,2-0,4 моль/л диссоциируют на три частицы – катион металла и комплексный анион, который при разбавлении раствора подвергается гидролитическому разложению:![]() Названные соединения применяются для предпосевной обработки семян зерновых, овощных и зернобобовых посредством: 1) опудривания совместно с протравливанием и без него, 2) посредством обработки раствором при мокром способе протравливания, 3) посредством намачивания семян в растворе. Растворами названных соединений могут быть обработаны также всходы посредством опрыскивания. Применение вышеописанных соединений иллюстрируется следующими примерами. Пример 1. Семена полусахарной свеклы обрабатывали методом опудривания дицитратоборатом меди 3 и 6 г на 1 килограмм семян. Почвы дерновоподзолистые, фон N100P80K110. Опытная площадь 40 м2, одновременно проводилось 4 параллельных опыта. Усредненные результаты опытов показаны в таблице 2. Как видно из данных таблицы, предпосевное опрыскивание семян дицитратоборатом меди в количестве 3 г на 1 кг семян повышает урожайность корней свеклы на 4%, листьев – на 8%, содержание сахара в корнях увеличивается на 0,5%, что повышает выход сахара на 8,8%. Пример 2. Семенной овес обрабатывался перед посевом методом опудривания совместно с протравливанием дицитратоборатом цинка и марганца в количестве 1 г на 1 кг семян. Опыты проводились в богарных условиях на почвах по механическому составу – легкий суглинок в условиях жесткой засухи в течение всего лета. Опытная площадь 66 м2, одновременно проводилось четыре параллельных опыта. Усредненные результаты опытов приведены в таблицах 3 и 4. Как следует из табличных данных, на делянах с использованием микроудобрений наблюдается повышение полевой всхожести на 3-5%, повышается натура зерна, увеличивается урожайность на 6-7% по сравнению с контролем. Пример 3. Семена люцерны перед посевом обрабатывали методом опудривания борной кислотой, дицитратоборатом меди и дицитратоборатом цинка в количестве 1 г на 1 кг семян. Опыты проводились на легко суглинистой почве с периодическим поливом. Усредненные результаты испытания по четырехкратному повторению приведены в таблице 5. Из данных таблицы видно, что при применении микроудобрений повышается урожай зеленой массы и соответственно сена люцерны. Причем дицитратобораты меди и цинка повышают урожай больше, чем борная кислота. Формула изобретения
![]() где Ме – Mn2+, Co2+, Cu2+, Zn2+ полученные взаимодействием борной и лимонной кислот и затем оксида или карбоната металла в молярном соотношении 1:2:0,5 соответственно, в водной среде при нагревании на водяной бане в качестве микроудобрений и биостимуляторов. РИСУНКИ
|
||||||||||||||||||||||||||



B2O3.
Термическое разложение дицитратоборатов марганца, кобальта происходит аналогично. При термическом разложении дицитратобората меди медь в процессе окисления органических составляющих восстанавливается до металла, и остаток после прокаливания при 550oС представляет собой смесь Сu и В2О3.
По данным электропроводности и криоскопии водных растворов соединения при концентрации ~0,2-0,4 моль/л диссоциируют на три частицы – катион металла и комплексный анион, который при разбавлении раствора подвергается гидролитическому разложению:
