Патент на изобретение №2190832
|
||||||||||||||||||||||||||
(54) УСТРОЙСТВО ВЫДЕЛЕНИЯ СЛАБЫХ ОПТИЧЕСКИХ СИГНАЛОВ
(57) Реферат: Изобретение относится к светолокации и может быть использовано в системах связи и оптико-электронных измерительных устройствах. Устройство содержит последовательно соединенные формирующую оптику с интерференционным фильтром, фотодетектор и усилитель. Между управляемым входом усилителя и его выходом включена автоматическая регулировка усиления по шумам, а между выходом формирующей оптики с интерференционным фильтром и входом фотодетектора введен электронно-оптический преобразователь. Техническим результатом является уменьшение пороговой чувствительности с реализацией возможности приема коротких импульсов в относительно узкополосном тракте с достижением максимума отношения сигнал-шум. 5 ил. Изобретение относится к светолокации и может быть использовано в системах связи и оптико-электронных измерительных устройствах. Известно устройство, фотоприемное устройство для выделения слабых оптических сигналов с автоматической регулировкой усиления (АРУ) по шумам, содержащее приемник световых импульсов с регулировкой шума, рассчитанный на работу в условиях помех от постоянно действующего светового фона переменной интенсивности (Шведский патент, Кл. 21а 36/04; М. Кл. N 03 k 5/00, 303788, заявка 101246). Однако в указанном устройстве устранение влияния фоновой засветки достигается путем введения обратной связи, по которой проводится загрубление пороговой чувствительности фотоприемника пропорционально уровню дробовых шумов. При отсутствии возможностей повышения чувствительности тракта такая операция загрубления приводит к снижению достоверности селекции сигналов и других тактико-технических характеристик всей системы в целом. Кроме того, известно фотоприемное устройство выделения слабых оптических сигналов импульсного оптического излучения (патент США Н.Кл.356-226, М. Кл. G 01 C 3/20, 3516751), являющееся прототипом предлагаемого изобретения и состоящее из последовательно соединенных: формирующей оптики с интерференционным фильтром, фотодетектора и усилителя, между управляемым входом и выходом которого включена АРУ по шумам. Однако указанное устройство при действии фоновой солнечной засветки не улучшает пороговую чувствительность, а загрубляет ее. Недостаток данного устройства состоит в том, что в такой системе даже при отсутствии фоновой засветки пороговая чувствительность ограничена приведенными тепловыми шумами усилителя и необходимым для приема отношением сигнал-шум. Для широкополосных приемников она составляет порядка 10-9 Вт. Задачей предлагаемого изобретения является создание устройства выделения слабых оптических сигналов, обеспечивающего существенное уменьшения пороговой чувствительности с реализацией возможности приема коротких импульсов в относительно узкополосном тракте с достижением максимума отношения сигнал-шум. Поставленная задача достигается тем, что в известном устройстве выделения слабых оптических импульсных сигналов, содержащем последовательно соединенные формирующую оптику с интерференционным фильтром, фотодетектор и усилитель, между управляемым входом и выходом которого включена АРУ по шумам, введен электронно-оптический преобразователь (ЭОП), включенный между выходом формирующей оптики с интерференционным фильтром и входом фотодетектора. На фиг.1 приведена структурная схема предлагаемого устройства; на фиг.2 представлена структурная схема анализируемого фотоприемного тракта; на фиг.3 представлена эквивалентная схема электронно-оптического преобразователя (ЭОП) или фотодетектора (ФД); на фиг.4 приведена форма сигнала на нагрузке ФД; на фиг.5 представлен график нормированного отношения сигнал/шум на выходе ФД. Предлагаемое устройство (фиг.1) состоит из последовательно соединенных блоков 1 – оптической системы с интерференционным фильтром, 2 – электронно-оптический преобразователя (ЭОП), 3 – фотодетектора, 4 – усилителя, 5 – автоматической регулировки по шумам (АРУ), соединенной между выходом усилителя и управляемым входом. Оптическая система 1 представляет собой описанную в книге: Н.П. Заказнов /Теория оптических систем – М.: Машиностроение, 1992, 442 с., типовой объектив, например, описан на стр.256. Такие объективы при малом размере фоточувствительной площадки 0,5х0,5 мм создают малый угол зрения 20-30′, что позволяет устанавливать типовой интерференционный фильтр на входе такого объектива без применения коллиматора.
Если площадь катода ЭОП (фоточувствительного слоя) относительно большая, то в оптическую систему вводится коллиматор, который описан на стр.179 указанной выше книги, а интерференционный фильтр устанавливается на выходе коллиматора.
Интерференционный фильтр выбирается как известное комплектующее, выпускаемое рядом приборостроительных предприятий по техническим требованиям заказчика.
Принцип работы и конструкция канального ЭОП как одного из наиболее применяемых в настоящее время в промышленности изложен в книге: Б. Кейзана. Достижения в технике передачи и воспроизведения изображений – М.: Мир, 1978, 335с. , стр. 17, 26, 71. В книге теоретически и экспериментально показана возможность получения высокой чувствительности в таких преобразователях, т. е. доказана возможность реализации большого коэффициента усиления принимаемого ИК оптического сигнала по яркости с преобразованием оптической частоты принятого сигнала в видимое излучение и получения малого уровня выходного фона на преобразованной частоте.
Технические характеристики фотодетектора 3 представлены в книге Г.Г. Ишанин. Приемники излучения оптико-электронных приборов – Л.: Машиностроение, 1986, а схема его включения дана в японском патенте Н.Кл.99(5), М. Кл. Н 01 L 31/18, 53-12798, заявлено 4.02.74, 49-13658, опубл.4.05.78.
Принципиальная схема усилителя 4 и АРУ 5 представлены в книге Лукошкин А. П. Радиолокационные усилители с большим диапазоном входных сигналов – М.: Советское радио, 1964, 255с., стр.149.
Устройство работает следующим образом. Сигнал малой интенсивности и фоновая засветка переменной интенсивности поступают на формирующий объектив 1 с интерференционным фильтром, где максимальный уровень фоновой засветки сокращается до уровня, когда дробовые шумы фотодетектора, образуемые действием фоновой засветки, будут меньше уровня принимаемого сигнала. С выхода объектива 1 сигнал концентрируется на приемном окне электронно-оптического преобразователя 2. В ЭОП входной оптический полезный сигнал и ослабленный поток фоновой солнечной засветки переменной интенсивности преобразуется в электронный поток, который в микроканалах усиливается до четырех порядков и попадает на люминесцентный экран (анод). На экране происходит преобразование этого электронного потока в световой поток (излучение) другой частоты. Отношение яркости экрана ЭОП 2 (собираемой мощности) к интенсивности входного оптического сигнала (входной мощности) характеризует коэффициент яркости электронно-оптического преобразователя, который составляет примерно величину (30-100)103. Т.е. выходной оптический сигнал в результате усиления на более чем на три порядка превышает входной оптический сигнал. Полезный оптический сигнал и переменная фоновая засветка с выхода ЭОП 2 собираются на светочувствительную площадку фотодетектора 3. При традиционном выборе инерционности нагрузочного звена фотодетектора на выходе фотодетектора присутствует дробовой шум как самого фотодетектора, так и дробовой шум солнечной засветки, который в связи с введением интерференционного фильтра будет существенно меньше шумов самого фотодетектора, а также низкочастотная составляющая, обусловленная изменяющейся интенсивностью фоновой засветки. Для реализации максимума отношения сигнал-шум на выходе фотодетектора и сокращения при этом полосы фотоприемника, т.е. реализации возможности приема коротких импульсов в относительно узкополосном тракте при минимальных потерях в энергетике, постоянная инерционности люминисцентного экрана и коэффициент усиления ЭОП2 увеличиваются до тех пор, пока дробовые шумы, образуемые увеличивающейся при этом фоновой засветкой люминофора, не сравняются с собственными шумами фотодетектора 3. При этом сигнал по длительности расширятся и поступает на усилитель 4, полоса которого согласуется с длительностью расширенного импульса, т. е. уменьшается обратно пропорционально увеличению длительности принятого сигнала. В случаях, когда суммарная дисперсия шума будет превышать пороговый уровень срабатывания всей системы, вступает в работу АРУ 5, сохраняя постоянной величину ложных тревог. Для устранения влияния переменной низкочастотной составляющей фона на входе усилителя может устанавливаться типовой фильтр низких частот. При этом отношение верхней граничной частоты принимаемого импульсного сигнала к верхней частоте фильтра непрозрачности выбирается большим, при этом потери в энергетике для полезного сигнала не велики.
Для доказательства достижения поставленной задачи проведем расчет получаемого выигрыша от применении предлагаемого устройства.
Сущность предлагаемого метода повышения отношения сигнал-шум и существенного уменьшения пороговой чувствительности с реализацией возможности приема коротких импульсов в относительно узкополосном тракте состоит во введении в фотоприемный тракт усилителя яркости света в виде электронно-оптического преобразователя (ЭОП) с интерференционным фильтром на входе, согласованным со спектром излучения лазера. Отсутствие теоретических обоснований препятствует внедрению предложенного метода в практику проектирования лазерных информационно-измерительных систем. В качестве фотодетектора 3 предполагается применение простого или лавинного фотодетектора (фотодиода) – ЛФД, фотоматрицы и т.д. В дальнейшем анализ проведем для случая применения лавинного фотодетектора.
Структурная схема подобного тракта показана на фиг.2.
Здесь на схеме введены следующие обозначения: Рс(t) – входное воздействие принимаемого сигнала; Рф – мощность входной фоновой, солнечной засветки; K1(jw), К2(jw) – передаточные характеристики ЭОП и ЛФД; Ряс(t) – мощность светового сигнала на выходе ЭОП; U(t) – огибающая сигнала на выходе ЛФД; B( = 0) – дисперсия выходного шума как корреляционная функция при = 0.На фиг.3 – эквивалентной схеме ЭОП или ЛФД обозначено Rj=R1 – эквивалентное сопротивление люминофора для воздействующего потока электронов или нагрузки ЛФД; Cj=C1 – эквивалентная емкость анода ЭОП или эквивалентная емкость нагрузочного звена ЛФД. Для ЭОП ![]() Rj= R1 – эквивалентное сопротивление люминофора для воздействующего потока электронов; Cj= C1 – эквивалентная емкость анода ЭОП. Соответственно, для ЛФД ![]() Rj=R2 – сопротивление нагрузки ЛФД, Cj=C2 – эквивалентная, приведенная к нагрузке емкость. Соответственно, переходные характеристики имеют вид h1(t) = R1(1-e– t), a h2(t)=R2(1-е-t/T 2).
Выбор оптимальных параметров проведем по условию реализации максимума отношения сигнал-шум на выходе предлагаемого к анализу фотодетектора, например, типа ЛФД![]() где U(tо) – максимум сигнала на нагрузке фотодетектора в условиях вариации параметров системы; среднеквадратичное значение выходного шумового процесса, определяемое через корреляционную функцию; Мn – нормирующий множитель. В качестве нормирующего множителя возьмем максимальное (квазиоптимальное) отношение сигнал-шум на выходе лавинного фотодетектора при воздействии на него тех же возмущающих факторов, что и на анализируемую систему. В этом случае полученное нормированное отношение характеризует выигрыш в отношении сигнал-шум по сравнению с обычным трактом. Ориентируясь на применение полупроводникового лазера, форму лазерного излучения представим Pc(t) = P0e– t(2), = 1/ i – коэффициент при экспоненте; i – длительность воздействия лазерного излучения. Тогда поток электронов, падающий на анод, представим I(t) = SkKYPc(t) = SkKYP0e– t = I01e– , ампер-ваттовая характеристика катода ЭОП; Ку – коэффициент умножения по току в ЭОП.
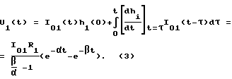
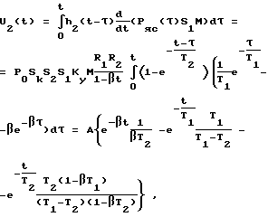
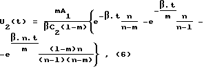
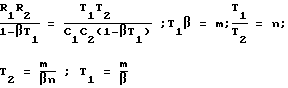
Для определения формы светового сигнала на выходе ЭОП найдем падение напряжения на проводящем слое люминесцентного экрана в момент воздействия на него усиленного в Ку раз потока электронов![]() Из условия (e– t-e- t) = 0 определим момент, соответствующий максимуму функции Ui(t), который равен![]() где T1=R1C1 – постоянная инерционности анода. Вводя подстановку T1/ i = T1 = m и умножая (3) на ватт-вольтовую характеристику анода-S2, получим зависимость изменения максимума интенсивности оптического сигнала на выходе ЭОП в зависимости от параметра m:![]() Максимум сигнала на выходе ЭОП по мере увеличения сигнала возрастает, стремясь к своему пределу ![]() T. e. импульсном сигнале для увеличения Pяc(to) необходимо уменьшать емкость анода и увеличивать до определенных пределов длительность входного воздействия. Вместо S2 можно использовать ватт-амперную характеристику S3, связанную с характеристикой S2 следующим образом: ![]() отсюда ![]() Коэффициент усиления по мощности оптического сигнала составляет ![]() Напряжение U2(t) на нагрузке ЛФД определим через переходную характеристику h2(t) ![]() ![]() Вводя получим![]() где A1=PoSkS3S1KyM. Форма сигнала на нагрузке показана на фиг.4, где 1-m=1, 2-m=5, 1-m=10 при n=1, i =10-8c.
Здесь UH(t)= U2(t)/(P0SkS3S1KYM/ C2). Для согласованного по полосе фотодетектора с длительностью сигнала на выходе ЭОП, т.е. n=(T1/T2)–>l, амплитуда напряжения возрастает с увеличением параметра m. Соответственно, с увеличением параметра m длительность сигнала на выходе фотоприемника расширяется. Определим среднеквадратичное значение дробового шума на выходе ЛФД. Если учесть, что на входе ЭОП фоновая засветка при наличии интерференционного фильтра при изотропном эквиваленте отражения равна![]() где плотность солнечного излучения на =0,8 мкм; p – коэффициент отражения отражающей поверхности; – угол поля зрения входного окна системы; ![]() – ширина полосы интерференционного фильтра; Sinput – площадь входного объектива, то суммарная фоновая засветка на входе ЛФД может быть представлена фоном солнечной засветки и фоном ЭОП (Pj)Pf=Pf0+Pj=PfoSkS3KY+( Pj/KY)(KY-KYo)=Pf0Mяф+( Pj/KY)(KY-KYo), где Мяф=SkS3KY – коэффициент усиления интенсивности (мощности) фона; Рj/КY – крутизна изменения мощности фона экрана при изменении коэффициента умножения электронов в ЭОП (КY); КY0 – величина отсечки (момент появления Pj) при изменении КY.
Корреляционную функцию шумового процесса на выходе найдем в соответствии с выражением![]() ![]() энергетическая плотность шума на выходной нагрузке фотодетектора; N1= 2еS1(Рf0Мяф+( Рj/КY)(КY-КY0)) – энергетическая плотность шума на входе инерционного звена фотодетектора.
Среднеквадратичное значение выходного шумового в соответствии с (6) процесса равно![]() Нормирующий множитель как оптимальное отношение сигнал-шум при отсутствии ЭОП описывается ![]() где Uc(t= 0) – максимум напряжения выходного сигнала при воздействии на его вход оптического сигнала (2); B2( =0) – дисперсия шумового процесса при воздействии на фотодетектор, например типа ЛФД солнечного фона Рf0.
Нормирующий множитель равен![]() ![]() Используя зависимости (1, 6, 8, 9), получим конечное выражение ![]() Результаты реализуемого выигрыша в отношении сигнал-шум и повышения чувствительности за счет введения электронно-оптического преобразователя как усилителя света представлены на фиг.5, где отмечено: 1-n=1,05; 2-5,05; Sk= 07[A/Bт]; S3=5[Bт/A]; КY=106; Рf0=10-6 Вт; КY0=103; ( Рj/КY)КY=10-5Вт.
Таким образом, введение ЭОП с малым уровнем оптического фона позволяет улучшить отношение сигнал-шум устройства выделения сигналов более чем на три порядка и, соответственно, на эту величину увеличить пороговую чувствительность фотоприемников.
Для согласованного по полосе инерционного звена фотодетектора с длительностью расширенного импульса на выходе ЭОП, т.е. при n=T1/T2–>1, существует оптимальное значение m= Т1/ i–>3, т.е инерционность люминофора превышает длительность входного импульса в три раза.
Дальнейшее увеличение m, т.е. дальнейшее увеличение инерционности люминофора, например в 10 раз, приводит к уменьшению отношения сигнал-шум в три раза. Это свидетельствует о возможности приема коротких импульсов излучения в относительно узкополосном тракте. Особенно этот эффект наблюдается при n>1. Здесь очевидно, чем меньше Т2, тем меньше расход энергии, расходуемый в инерционном звене фотодетектора.
Таким образом, предлагаемое устройство имеет во много раз лучшую пороговую чувствительность ( 104), обеспечивает прием коротких импульсов в относительно узкополосном тракте и реализует максимум отношения синал-шум.
Формула изобретения
РИСУНКИ
MM4A Досрочное прекращение действия патента Российской Федерации на изобретение из-за неуплаты в установленный срок пошлины за поддержание патента в силе
Дата прекращения действия патента: 23.06.2003
Извещение опубликовано: 20.11.2004 БИ: 32/2004
|
||||||||||||||||||||||||||

20-30′, что позволяет устанавливать типовой интерференционный фильтр на входе такого объектива без применения коллиматора.
Если площадь катода ЭОП (фоточувствительного слоя) относительно большая, то в оптическую систему вводится коллиматор, который описан на стр.179 указанной выше книги, а интерференционный фильтр устанавливается на выходе коллиматора.
Интерференционный фильтр выбирается как известное комплектующее, выпускаемое рядом приборостроительных предприятий по техническим требованиям заказчика.
Принцип работы и конструкция канального ЭОП как одного из наиболее применяемых в настоящее время в промышленности изложен в книге: Б. Кейзана. Достижения в технике передачи и воспроизведения изображений – М.: Мир, 1978, 335с. , стр. 17, 26, 71. В книге теоретически и экспериментально показана возможность получения высокой чувствительности в таких преобразователях, т. е. доказана возможность реализации большого коэффициента усиления принимаемого ИК оптического сигнала по яркости с преобразованием оптической частоты принятого сигнала в видимое излучение и получения малого уровня выходного фона на преобразованной частоте.
Технические характеристики фотодетектора 3 представлены в книге Г.Г. Ишанин. Приемники излучения оптико-электронных приборов – Л.: Машиностроение, 1986, а схема его включения дана в японском патенте Н.Кл.99(5), М. Кл. Н 01 L 31/18, 53-12798, заявлено 4.02.74, 49-13658, опубл.4.05.78.
Принципиальная схема усилителя 4 и АРУ 5 представлены в книге Лукошкин А. П. Радиолокационные усилители с большим диапазоном входных сигналов – М.: Советское радио, 1964, 255с., стр.149.
Устройство работает следующим образом. Сигнал малой интенсивности и фоновая засветка переменной интенсивности поступают на формирующий объектив 1 с интерференционным фильтром, где максимальный уровень фоновой засветки сокращается до уровня, когда дробовые шумы фотодетектора, образуемые действием фоновой засветки, будут меньше уровня принимаемого сигнала. С выхода объектива 1 сигнал концентрируется на приемном окне электронно-оптического преобразователя 2. В ЭОП входной оптический полезный сигнал и ослабленный поток фоновой солнечной засветки переменной интенсивности преобразуется в электронный поток, который в микроканалах усиливается до четырех порядков и попадает на люминесцентный экран (анод). На экране происходит преобразование этого электронного потока в световой поток (излучение) другой частоты. Отношение яркости экрана ЭОП 2 (собираемой мощности) к интенсивности входного оптического сигнала (входной мощности) характеризует коэффициент яркости электронно-оптического преобразователя, который составляет примерно величину (30-100)103. Т.е. выходной оптический сигнал в результате усиления на более чем на три порядка превышает входной оптический сигнал. Полезный оптический сигнал и переменная фоновая засветка с выхода ЭОП 2 собираются на светочувствительную площадку фотодетектора 3. При традиционном выборе инерционности нагрузочного звена фотодетектора на выходе фотодетектора присутствует дробовой шум как самого фотодетектора, так и дробовой шум солнечной засветки, который в связи с введением интерференционного фильтра будет существенно меньше шумов самого фотодетектора, а также низкочастотная составляющая, обусловленная изменяющейся интенсивностью фоновой засветки. Для реализации максимума отношения сигнал-шум на выходе фотодетектора и сокращения при этом полосы фотоприемника, т.е. реализации возможности приема коротких импульсов в относительно узкополосном тракте при минимальных потерях в энергетике, постоянная инерционности люминисцентного экрана и коэффициент усиления ЭОП2 увеличиваются до тех пор, пока дробовые шумы, образуемые увеличивающейся при этом фоновой засветкой люминофора, не сравняются с собственными шумами фотодетектора 3. При этом сигнал по длительности расширятся и поступает на усилитель 4, полоса которого согласуется с длительностью расширенного импульса, т. е. уменьшается обратно пропорционально увеличению длительности принятого сигнала. В случаях, когда суммарная дисперсия шума будет превышать пороговый уровень срабатывания всей системы, вступает в работу АРУ 5, сохраняя постоянной величину ложных тревог. Для устранения влияния переменной низкочастотной составляющей фона на входе усилителя может устанавливаться типовой фильтр низких частот. При этом отношение верхней граничной частоты принимаемого импульсного сигнала к верхней частоте фильтра непрозрачности выбирается большим, при этом потери в энергетике для полезного сигнала не велики.
Для доказательства достижения поставленной задачи проведем расчет получаемого выигрыша от применении предлагаемого устройства.
Сущность предлагаемого метода повышения отношения сигнал-шум и существенного уменьшения пороговой чувствительности с реализацией возможности приема коротких импульсов в относительно узкополосном тракте состоит во введении в фотоприемный тракт усилителя яркости света в виде электронно-оптического преобразователя (ЭОП) с интерференционным фильтром на входе, согласованным со спектром излучения лазера. Отсутствие теоретических обоснований препятствует внедрению предложенного метода в практику проектирования лазерных информационно-измерительных систем. В качестве фотодетектора 3 предполагается применение простого или лавинного фотодетектора (фотодиода) – ЛФД, фотоматрицы и т.д. В дальнейшем анализ проведем для случая применения лавинного фотодетектора.
Структурная схема подобного тракта показана на фиг.2.
Здесь на схеме введены следующие обозначения: Рс(t) – входное воздействие принимаемого сигнала; Рф – мощность входной фоновой, солнечной засветки; K1(jw), К2(jw) – передаточные характеристики ЭОП и ЛФД; Ряс(t) – мощность светового сигнала на выходе ЭОП; U(t) – огибающая сигнала на выходе ЛФД; B(
= 0) – дисперсия выходного шума как корреляционная функция при 

t),
a h2(t)=R2(1-е-t/T 2).
Выбор оптимальных параметров проведем по условию реализации максимума отношения сигнал-шум на выходе предлагаемого к анализу фотодетектора, например, типа ЛФД
t(2),
ампер-ваттовая характеристика катода ЭОП; Ку – коэффициент умножения по току в ЭОП.
Для определения формы светового сигнала на выходе ЭОП найдем падение напряжения на проводящем слое люминесцентного экрана в момент воздействия на него усиленного в Ку раз потока электронов








получим

плотность солнечного излучения на
=0,8 мкм; p – коэффициент отражения отражающей поверхности;
– угол поля зрения входного окна системы; 







104), обеспечивает прием коротких импульсов в относительно узкополосном тракте и реализует максимум отношения синал-шум.