Патент на изобретение №2190618
|
||||||||||||||||||||||||||
(54) НОВОЕ КОМПЛЕКСНОЕ СОЕДИНЕНИЕ ОКСОВАНАДИЯ (IV) С ГИДРАЗИДОМ ИЗОНИКОТИНОВОЙ КИСЛОТЫ, ОБЛАДАЮЩЕЕ АНТИДИАБЕТИЧЕСКИМ ДЕЙСТВИЕМ И ПРОЯВЛЯЮЩЕЕ АНТИМИКОБАКТЕРИАЛЬНУЮ АКТИВНОСТЬ
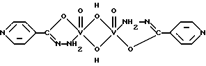
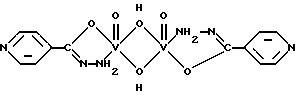
(57) Реферат: Новое комплексное соединение оксованадия (IV) с гидразидом изоникотиновой кислоты формулы ![]() которое проявляет антидиабетическую и избирательную антимикобактериальную активность, что является оригинальным сочетанием свойств в сравнении с известными антидиабетическими и противотуберкулезными препаратами. 13 табл. Изобретение относится к новому химическому соединению, а именно к комплексному соединению оксованадия (IV) с гидразидом изоникотиновой кислоты (ГИНК) формулы (VО)2(ОН)2(ГИНК-Н)2, ![]() которое проявляет антидиабетическую и избирательную антимикобактериальную активность и может найти применение в медицине. Соединение формулы (VО)2(ОН)2(ГИНК-Н)2 в литературе не описано. 5 A 61 К 31/28. Compose organo-mineral de vanadyle, precede d’obtention d’un tel compose, composition pharmaceutique contenant ce compose organo-mineral /Lazaro R., Cros G, Serrano J. J. , McNeill J.H. Опубл. 03.03.93 Bull. 93/09; Патент 5300496 USA, МКИ5 А 61 К 31/555, 31/28. Complexed vanadium for the treatment of diabetes mellitus /McNeill J.H, Hoveyda H.R, Orvig С. Опубл. 05.04.94 НКИ 514/186; Poucheret P. , Gross R., Cadene A. e.a. Long-term correction of STZ-diabetic rats after short-term i. p. VOSO4 Цель достигается синтезом в водной среде в атмосфере аргона комплекса оксованадия (IV) с ГИНК, оказывающего антидиабетическое и избирательное антимикобактериальное действие. Соединение формулы (VО)2(ОН)2(ГИНК-Н)2 получается путем взаимодействия гидроксида калия с сульфатом ванадила и ГИНК по реакции 2VOSO4 + 4KOH + 2ГИНК = (VO)2(OH)2(ГИНК-Н)2 + 2K2SO4 + 2H2O (1) Пример 1. Приготовление и хранение растворов осуществляют в атмосфере аргона. В колбу на 200 мл добавляют около 100 мл дистиллированной воды и 0.44 г (0,0032 моль) ГИНК квалификации “фармакопейный”. После растворения навески ГИНК в колбу приливают 20 мл 0,1 М раствора VOSО4 марки ЧДА (0.0016 моль), подкисленного серной кислотой до рН 2.0. Для поддержания рН прибавляют водный раствор 0.18 г КОН квалификации ЧДА. Объем полученного раствора доводят до 200 мл дистиллированной водой. Путем добавления твердого гидроксида калия значение рН раствора поддерживают равным 7,0 с помощью рН-метра. Полученный раствор зеленовато-коричневого цвета фильтруют. Количество (VО)2(ОН)2(ГИНК-Н)2 в растворе контролируют по его электронному спектру поглощения в диапазоне длин волн 400-1000 нм (характеристичное значение коэффициента экстинкции при 550 нм составляет 115 моль-1 л см-1). Состав и строение полученного комплексного соединения доказаны на основе следующих экспериментальных фактов: 1) При рН-метрическом титровании раствора 0.008 М VOSО4 и 0.016 М ГИНК щелочью по достижении рН 7.0 затрачивается 2 г-экв. КОН на 1 г-экв. VOSО4 2VO2++2ГИНК (VO)2(OH)2(ГИНК-H)2+4H+ (2)равно -8,4 0,1. Содержание комплексного соединения (VО)2(ОН)2(ГИНК-Н)2 в исследуемом растворе 0.008 М VOSО4 и 0.016 М ГИНК при рН 7.0, рассчитанное на основе приведенного значения константы равновесия (2), составляет 99.7%.
В ходе фармакотоксикологических испытаний установлено, что препарат нового комплекса оксованадия (IV) с ГИНК при молярном соотношении 1:2 является умеренно токсичным веществом, проявляющим антидиабетическую активность, сочетающуюся с избирательным антимикобактериальным действием.
Пример 2. Острую токсичность нового препарата ванадия определяли при однократном внутрибрюшинном введении водных растворов на 36 белых нелинейных мышах обоего пола средней массой 21 4 г и 36 крысах средней массой 200 20 г. Растворы готовили ex tempore. Наблюдение за животными вели в течение двух недель. Средне-смертельная доза (DL50) устанавливалась методом Беренса, ее стандартная ошибка – по формуле Геддама [Беленький М.А. Элементы количественной оценки фармакологического эффекта. – Л.: Медицина, 1963. – 116 с.].
Токсико-летальные дозы нового соединения оксованадия(IV) вызывали сходную картину интоксикации как у мышей, так и у крыс, сопровождающуюся снижением двигательной активности, общим угнетением ЦНС без перехода в “боковое положение”, гипотермией, учащением мочеиспускания и диареей. Гибель наступала от нарушения дыхания в течение первых двух суток. У выживших животных выраженность симптомов острого отравления соединением ванадия: снижение локомоторной активности, угнетение ЦНС, гипотермия, учащение мочеиспускания и диарея, – была менее интенсивными и редуцировалась через 3-4 дня. Введение абсолютно смертельной дозы (DL100=136 мг/кг) сопровождалось резким снижением двигательной активности, снижением или отсутствием реакции на внешние раздражители, гипотермией, выраженной диареей и обильным мочеиспусканием, и в течение первых двух суток летальным исходом из-за нарушения дыхания. Параметры острой токсичности нового препарата оксованадия(IV) представлены в табл. 1.
Таким образом, исследуемый препарат относится к умеренно токсичным соединениям [Измеров Н.Ф., Саноцкий И.В., Сидоров К.К. Параметры токсикометрии промышленных ядов при однократном воздействии – М.: Медицина, 1977 – С.197]. Установлено, что токсичность зависит от вида животного: крысы более чувствительны, чем мыши.
Пример 3. Для оценки антибактериальных свойств предлагаемого соединения было поставлено 90 проб в 15 опытах in vitro. В качестве тест-культур использовали музейные штаммы E. coli (штамм 0126), Staph.aureus (штамм 209р) и споры Bac.subtilis (штамм 2). Бактериостатические свойства изучали с использованием метода последовательных серийных разведений по общепринятой в бактериологии методике [Першин Г.И. Методы экспериментальной химиотерапии – М. : Медицина, 1971 – 540 с.]. Результаты фиксировали через 24 часа в опытах с бактериями, при этом отмечали наличие или отсутствие роста в среде.
Установлено, что новый препарат не подавляет рост и размножение E.coli, Staph. aureus, Bac.subtilis (табл.2). Через 24 часа после посева бактерий на среды с препаратом во всех исследуемых концентрациях от 0.05 до 50 мкг/мл среды обнаруживали те же самые морфологические и тинкториальные свойства штаммов, что и в контрольных пробирках.
Таким образом, предлагаемый препарат не влияет на рост и размножение бактерий.
Пример 4. Антимикобактериальные свойства препарата изучали в 40 опытах in vitro со 160 пробами. Антимикобактериальные свойства нового соединения оценивали на вакцинном штамме БЦЖ, музейном штамме M.bovis-8 и клиническом штамме Mycobacterium tuberculosis, выделенном от больного туберкулезом легких в сравнении с эталонным препаратом изониазидом. Бактериостатические свойства препаратов оценивали с использованием метода последовательных серийных разведений по общепринятой методике [Першин Г.Н. Методы экспериментальной химиотерапии – М.: Медицина, 1971 – 540 с.]. Результаты экспериментов учитывали через две недели после посева микроорганизмов и далее в течение каждых трех дней на протяжении трех месяцев.
Установлено, что новый препарат проявляет антимикобактериальные свойства и подавляет рост БЦЖ, музейного штамма M.bovis-8 и Mycobacterium tuberculosis. Минимальная ингибирующая концентрация (МИК) предлагаемого соединения сопоставима с таковой у изониазида (табл.3).
Таким образом, предлагаемый препарат проявляет избирательное антимикобактериальное действие, которое сопоставимо с эталонным препаратом изониазидом в опытах in vitro.
-4, 10-5, 10-6, 10-7 M и его влияние на сокращения, вызванные гистамином (Г) в концентрации 5 10-7 М и карбахолином (КХ) в концентрации 5 10-6 M. В качестве препаратов сравнения использовали растворы сульфата ванадила и ортованадата калия в соответствующих концентрациях. Сократительная активность ГМ в этих экспериментах выражалась в % от начального ответа ГМ препарата на гистамин или карбахолин.
Установлено, что новый препарат ванадия в зависимости от концентрации приводил к снижению базального тонуса ГМ. Ортованадат калия не влиял на тонус ГМ. Инкубация гладкомышечных препаратов с сульфатом ванадила приводила к повышению тонуса ГМ во всех исследуемых концентрациях (табл.4)Предварительная инкубация гладкомышечных препаратов с новым соединением оксованадия(IV) в концентрациях 10-4 и 10-5 М приводила к выраженному угнетению амплитуды гистамин-индуцированных сокращений по сравнению с ванадатом калия на 82,0% (р<0.001) и 37,5% (р<0.05) и сульфатом ванадила на 82,0% (р<0.001) и 35,2% (р<0.05) соответственно. В то же время предварительная инкубация гладкомышечных препаратов трахеи морской свинки с ортованадатом калия и сульфатом ванадила в изучаемом диапазоне концентраций не влияла на амплитуду сокращений гладкомышечной ткани, вызванных добавлением гистамина в концентрации 5 10-7 М. Исследуемый препарат ванадия, подобно сульфату ванадила и ванадату калия, не влиял на амплитуду сокращений ГМ, вызванных карбахолином (табл.4)Таким образом, новое соединение оксованадия(IV) вызывает релаксацию ГМ трахеи морской свинки. Предварительная обработка гладкомышечных препаратов данным соединением угнетала сократительную активность гладкомышечной ткани трахеи морской свинки, индуцированную гистамином, и не влияла на сокращения ГМ, вызванные карбахолином, в отличие от неорганических соединений ванадия, способствующих повышению базального тонуса и не влияющих на амплитуду гистамин-индуцированных сокращений ГМ трахеи морской свинки. Пример 6. Гипогликемизирующее действие нового препарата оценивали на 30 белых крысах-самцах на модели аллоксанового диабета, вызванного однократным внутрибрюшинным введением аллоксангидрата (Lachema) в дозе 150 мг/кг. Данная модель диабета соответствует течению инсулинзависимого сахарного диабета у человека и используется для оценки антидиабетических свойств новых лекарственных препаратов [Баранов В. Г. , Соколоверова И.М., Гаспарян Э.Г. Экспериментальный сахарный диабет – Л.: Наука, 1983. – 240 с.]. Диабет у животных подтверждали измерением уровня глюкозы крови через 14 суток после инъекции аллоксана и затем сразу же начинали лечение крыс ежедневным интраперитонеальным введением предлагаемого препарата в дозе 7.65 мг/кг (1/10 DL50) в течение 8 дней. На седьмые сутки от начала эксперимента у крыс проводили оральный тест толерантности к глюкозе (ОТТГ) введением 20% раствора глюкозы в дозе 5 г/кг, кровь из хвостовой вены забирали до начала ОТТГ и через 45 мин и 90 мин после введения глюкозы. Гипогликемизирующую активность препарата оценивали по влиянию его на уровень глюкозы у животных с диабетом. Было установлено, что курсовое введение препарата крысам приводило к снижению гипергликемии на 37,4% (р<0.001) по сравнению с показателем до начала лечения (табл.5). У животных с аллоксановым диабетом регистрировался патологический подъем сахарной кривой при проведении ОТТГ. Курсовое введение предлагаемого препарата достоверно снижало патологический подъем сахарной кривой на 26% и 22%, наблюдавшийся на 45 мин и 90 мин соответственно (табл. 6). Терапия новым препаратом крыс с диабетом способствовала нормализации коэффициентов масс сердца, мозга, селезенки, гипофиза, увеличение которых наблюдалось у контрольных животных, больных диабетом (табл.7). В предыдущих исследованиях [Poucheret P. , Gross R., Cadene A e.a. Long-term correction of STZ-diabetic rats after short-term i.p. VOSO450, сопровождалось снижением гипергликемии на 25% в конце курса терапии (табл.5). Сравнительная оценка гипогликемической активности нового соединения оксованадия(IV) и сульфата ванадила свидетельствует о более выраженной антидиабетическом действии предлагаемого препарата. На основании имеющейся в научной и патентной литературе сведений, характеризующих силу гипогликемической активности различных соединений ванадия, а именно, бис-(малтолато)оксованадия(IV), BMOV [патент 5300496 USA, МКИ55 Сравнительная оценка гипогликемической активности нового препарата и известных соединений ванадия, а также инсулина указывает на сопоставимость эффекта предлагаемого соединения. Таким образом, на модели сахарного диабета крыс, вызванного введением аллоксана в дозе 150 мг/кг, предлагаемый препарат проявляет гипогликемизирующие свойства, улучшает показатели теста толерантности к глюкозе и оказывает защитное действие на основные органы мишени диабета, что свидетельствует об антидиабетических свойствах нового препарата ванадия. Пример 7. Антидиабетическое действие препарата оценивали на 78 белых крысах самцах на модели аллоксанового диабета, вызванного однократным подкожным введением аллоксангидрата (Lachema) в дозе 110 мг/кг. Диабет у животных подтверждали измерением уровня глюкозы крови ортотолуидиновым методом через двое суток после инъекции аллоксана, а затем сразу же начинали лечение крыс ежедневным интраперитонеальным введением в течение 28 дней предлагаемого препарата в дозе 3.83 мг/кг (1/20 DL50 – и -клеточных популяций островков Лангерганса поджелудочной железы, вырабатывающих глюкагон и инсулин соответственно, с последующей количественной морфометрической оценкой иммуно-гистохимического материала, используя пакет компьютерных программ и проводя дальнейшую статистическую обработку.
Было установлено, что введение животным аллоксана приводило к развитию гипергликемии (табл.8). Биохимическое исследование тканей нелеченых диабетических крыс на содержание продуктов реакций ПОЛ в конце опыта показало, что у этих животных происходит достоверное повышение концентрации ДК и МДА в мозге и МДА в печени по сравнению с интактными крысами (табл.9). Выявлено, что 4-недельное течение диабета приводило к значительному увеличению коэффициентов масс следующих органов: сердца, мозга, селезенки, гипофиза и надпочечников (табл. 10). Показано, что введение аллоксана животным сопровождалось достоверным уменьшением количества -клеток и повышением числа -клеток на протяжении всего эксперимента (табл.11).
Двукратное введение предлагаемого препарата диабетическим животным привело к 70% снижению гипергликемии по сравнению с уровнем глюкозы до начала лечения (табл.8). Курсовое лечение препаратом крыс больных диабетом способствовало нормализации содержания ДК и МДА в мозге и МДА в печени, уровни которых были повышены у нелеченых животных (табл.9) Фармакотерапия предлагаемым препаратом препятствовала увеличению показателей коэффициентов масс внутренних органов, что регистрировалось у контрольных диабетических крыс (табл. 10). Терапия крыс новым препаратом ванадия достоверно препятствовала снижению количества -клеток и повышению числа -клеток, регистрируемых при диабете. В то же время введение препарата здоровым животным не влияло на число -клеток и вызывало увеличение количества -клеток на сроке наблюдения 28 дней в островках Лангерганса поджелудочной железы (табл.11).
Таким образом, на модели диабета крыс, вызванного введением аллоксана, показано, что новый препарат обладает выраженным гипогликемизирующим эффектом. Его длительное введение диабетическим животным препятствовало усилению процессов ПОЛ и оказывало защитное действие на основные органы-мишени сахарного диабета, что свидетельствует о терапевтической эффективности предлагаемого препарата. Специфической особенностью антидиабетического действия препарата является его способность коррегировать нарушенное при диабете соотношение – и -клеточных популяций островков Лангерганса поджелудочной железы, а именно, приводить к увеличению количества -клеток и снижению числа -клеток.
На основании проведенных экспериментов можно заключить, что новый препарат ванадия проявляет гипогликемические свойства и коррегирует ряд изменений, наблюдаемых при сахарном диабете. Введение препарата снижает интенсивность перекисного окисления липидов, о чем свидетельствует уменьшение содержания начальных (ДК) и конечных (МДА) продуктов ПОЛ в тканях печени и мозга. Курсовое лечение препаратом в разных дозах устраняет увеличение коэффициентов масс некоторых органов, наблюдаемое при диабете. Терапия препаратом улучшает показатели ОТТГ у животных с диабетом. Специфическим свойством препарата, отмеченным в динамике лечения аллоксанового диабета, является его способность устранять дисбаланс – и -клеточных популяций островков Лангерганса поджелудочной железы, наблюдаемый у крыс с диабетом. Лечение животных предлагаемым соединением не сопровождалось побочными эффектами, а также неблагоприятным влиянием на массу тела крыс, поведение и прием пищи.
Таким образом, новый препарат оксованадия (IV) является умеренно токсичным соединением, проявляющим антидиабетическую активность, которое не уступает в этом отношении препарату сравнения и известным соединениям ванадия, но обладает, кроме того, избирательной антимикобактериальной активностью. Следовательно, применение препарата ванадия в качестве лекарственного средства, обладающего антимикобактериальными свойствами, не будет сопровождаться нарушением обмена углеводов, что наблюдается при использовании известных противотуберкулезных препаратов.
Формула изобретения
![]() которое проявляет антидиабетическую и избирательную антимикобактериальную активность. РИСУНКИ
|
||||||||||||||||||||||||||



(VO)2(OH)2(ГИНК-H)2+4H+ (2)
0,1. Содержание комплексного соединения (VО)2(ОН)2(ГИНК-Н)2 в исследуемом растворе 0.008 М VOSО4 и 0.016 М ГИНК при рН 7.0, рассчитанное на основе приведенного значения константы равновесия (2), составляет 99.7%.
В ходе фармакотоксикологических испытаний установлено, что препарат нового комплекса оксованадия (IV) с ГИНК при молярном соотношении 1:2 является умеренно токсичным веществом, проявляющим антидиабетическую активность, сочетающуюся с избирательным антимикобактериальным действием.
Пример 2. Острую токсичность нового препарата ванадия определяли при однократном внутрибрюшинном введении водных растворов на 36 белых нелинейных мышах обоего пола средней массой 21
10-7 М и карбахолином (КХ) в концентрации 5
– и
-клеточных популяций островков Лангерганса поджелудочной железы, вырабатывающих глюкагон и инсулин соответственно, с последующей количественной морфометрической оценкой иммуно-гистохимического материала, используя пакет компьютерных программ и проводя дальнейшую статистическую обработку.
Было установлено, что введение животным аллоксана приводило к развитию гипергликемии (табл.8). Биохимическое исследование тканей нелеченых диабетических крыс на содержание продуктов реакций ПОЛ в конце опыта показало, что у этих животных происходит достоверное повышение концентрации ДК и МДА в мозге и МДА в печени по сравнению с интактными крысами (табл.9). Выявлено, что 4-недельное течение диабета приводило к значительному увеличению коэффициентов масс следующих органов: сердца, мозга, селезенки, гипофиза и надпочечников (табл. 10). Показано, что введение аллоксана животным сопровождалось достоверным уменьшением количества 