Патент на изобретение №2190599
|
||||||||||||||||||||||||||
(54) НОВЫЕ КЕТОБЕНЗАМИДЫ
(57) Реферат: Изобретение относится к новым кетобензамидам формулы (1), где R1 означает фенил, нафтил, хинолил, пиридил, хиназолил, хиноксалил, бензотиенил, изохинолин, тетрагидроизохинолин или тетрагидрохинолин, которые могут быть как незамещены, так и замещены, R2 означает водород или алкил, R3 означает алкил, который может нести фениловое кольцо, Х означает связь, -(СH2)m-, -(СН2)m-O-(CH2)0-, -(CH2)n-S-(CH2)m-, -CH= CH-, -CO-CH=CH-, -(CH2)m-NHCO-(CH2)0-, -(CH2)m-CONH-(CH2)0-, -(CH2)m-NHSO2-(CH2)0-, -(CH2)m-SO2NH-(CH2)0-; R4 означает группы OR6, NR7R8; n – число от 0 до 2. Соединения формулы (I) обладают ингибирующей активностью и поэтому представляют собой ингибиторы протеаз цистеина, в частности таких протеаз цистеина, как калпаин 1 и 11 и катепсины В, L. 2 з.п.ф-лы, 1 табл.
Настоящее изобретение относится к новым химическим веществам с биологической активностью, более конкретно к новым кетобензамидам, которые можно применять в качестве ингибиторов протеаз цистеина. В группу протеаз цистеина, имеющихся во многих клетках, входят, например, калпаины, внутриклеточные протеолитические ферменты. Калпаины активируются повышенной концентрацией кальция, причем различают между калпаином I или -калпаином, который активируется микромолярными концентрациями ионов кальция, и калпаином II или m-калпаином, который активируется миллимолярными концентрациями ионов кальция (см. публикацию П. Джонсон, Int. J. Biochem. 1990, 22(8), стр. 811-822). В настоящее время имеются еще и другие изоферменты калпаина (см. К. Зузуки и др., Biol. Chem. Hoppe-Seyler, 1995, 376 (9), стр.523-529).
Имеется предположение, что калпаины играют важную роль в различных физиологических процессах. К ним относятся расщепление регуляторных протеинов, таких, как например, протеин-киназы С, цитоскелетные протеины, такие, как MAP 2 и спектрин, мышечные протеины, расщепление протеинов при ревматоидном артрите, протеины при активации тромбоцитов, нейропептидный метаболизм, протеины при митозе и другие, которые приведены в публикациях М.Й. Баррет и др. , Life Sci. 1991, 48, стр. 1659-69 и К.К. Ванг и др., Trends in Pharmacol. Sci., 1994, 15, стр.412-9.
При различных патофизиологических процессах наблюдались повышенные уровни калпаина, например, в таких, как сердечная ишемия (например, инфаркт миокарда), почечная ишемия или ишемия центральной нервной системы (например инсульт), воспаления, мышечная дистрофия, катаракты глаз, повреждение центральной нервной системы (например, травма) или болезнь Альцгеймера (см. вышеуказанный источник К.К. Ванг и др.). Поэтому предполагается связь этих болезней с повышенным уровнем кальция в клетках. Вследствие этого зависящие от кальция процессы чрезмерно активируются и больше не поддаются физиологической регуляции. В соответствие с этим чрезмерная активность калпаинов может также вызвать патофизиологические процессы. Поэтому имеются утверждения, что ингибиторы калпаиновых ферментов могут быть полезными для лечения таких болезней. Различные исследования это подтверждают. Так, например, такие авторы, как Сеунг-Чиул Хонг и др., в Stroke 1994, 25(3), стр. 663-9 и Р. Т. Бартус и др., в Neurological Res. 1995, 17, стр. 249-58 показали нейрозащитное действие ингибиторов калпаинов при острых нейродегенеративных нарушениях или ишемии, имеющихся, например, после мозгового инсульта. После экспериментальных мозговых повреждений ингибиторы калпаина улучшали возникшие дефициты функции памяти и нервно-двигательные нарушения (см. публикацию К.Э. Саатман и др., Proc.Natl.Acad.Sci. США, 1996, 93, стр. 3428-3433). Авторы К. Л. Эдельштейн и др., в публикации Proc.Natl.Acad.Sci. США, 1995, 92, стр. 7662-6, обнаружили защитное действие ингибиторов калпаина на поврежденные гипоксией почки. Авторы Иошида, Кен Иши и др., в публикации Jap.Circ.J. 1995, 59(1), стр. 40-8 смогли показать благоприятные эффекты ингибиторов калпаина после сердечных повреждений, которые были вызваны ишемией или реперфузией. В связи с тем, что ингибиторы калпаина тормозят выделение -АР4-протеина, было предложено их потенциальное применение при терапии болезни Альцгеймера (см. И. Хигаки и др., Neuron, 1995, 14, стр.651-59). Выделение интерлейкина-1 также тормозится ингибиторами калпаина (см. Н. Ватанабе и др. , Cytokine 1994, 6(6), стр.597-601). Далее было найдено, что ингибиторы калпаина оказывают цитотоксическое действие на опухолевые клетки (см. Э. Шиба и др. , 20th Meeting Int. Ass. Breast Cancer Res., Sendai Jp, 1994, 25-28.Sept., Int. J. Oncol. 5(Suppl.), 1994, стр.381).
Другие возможные области применения ингибиторов калпаина приведены автором К.К. Ванг в публикации Trends in Pharmacol.Sci., 1994, 15, стр.412-8.
Ингибиторы калпаина уже были описаны в литературе. Однако в подавляющем большинстве случаев речь идет или о необратимых, или о пептидных ингибиторах. Необратимые ингибиторы являются, как правило, алкилирующими субстанциями и имеют тот недостаток, что они реагируют в организме неселективно или они нестабильны. Так, например, эти ингибиторы часто проявляют нежелательные побочные эффекты, такие как токсичность, и поэтому они ограничены в их применении или вообще неприменимы. К необратимым ингибиторам причисляются, например, эпоксиды Е 64 (см. Э.Б. МакГован и др., Biochem. Biophys. Res. Commun. 1989, 158, стр.432-5), -галогенкетоны (см. X. Англикер и др., J. Med. Chem. 1992, 35, стр.216-20) и дисульфиды (см. Р. Матсуэда и др., Chem. Lett. 1990, стр.191-194).
Многие известные обратимые ингибиторы протеаз цистеина, такие как калпаин, представляют собой пептидные альдегиды, в частности дипептидные и трипептидные альдегиды, как, например, Z-Val-Phe-H (MDL 28170) (см. С. Меди, Trends in Biol. Sci. 1991, 16, стр.150-3) и соединения, описанные в европейском патенте 520336. В физиологических условиях пептидные альдегиды имеют часто тот недостаток, что они вследствие свойственной им реакционноспособности нестабильны, могут быстро метаболизироваться, склонны к неспецифичным реакциям, которые могут быть причиной токсических эффектов (см. И.А. Ференц и В. Кастро, Synthesis 1983, 676-678). Применение пептидных альдегидов при лечении болезней является таким образом ограниченным или нецелесообразным.
Прогрессом является открытие того, что определенные пептидные производные кетона представляют собой также ингибиторы цистеин-протеаз и, в частности, калпаина. Так, например, производные кетона известны в качестве ингибиторов серин-протеаз, причем кетогруппа активируется электронно-притягивающей группой, например, CF3. При цистеин-протеазах производные кетона, у которых кетогруппа активируется группой CF3 или подобными группами, являются мало или совсем неэффективными (см. М.Р. Ангеластро и др., J. Med. Chem. 1990, 33, стр.11-13). Неожиданно до сих пор в качестве эффективных ингибиторов калпаина могли быть найдены только производные кетона, при которых, с одной стороны, находящиеся в -положении уходящие группы вызывают необратимое ингибирование и, с другой стороны, производное карбоновой кислоты активирует кетогруппу (см. выше авторов М.Р. Ангеластро и др., а также заявки WO 92/11850; WO 92/12140; WO 94/00095 и WO 95/00535). Однако из этих кетоамидов и сложных кетоэфиров до сих пор только пептидные производные были описаны как эффективные (см. Жао Жао Ли и др., J.Med.Chem. 1993, 36, стр.3472-80; С. Л. Харбенсон и др., J.Med.Chem. 1994, 37, стр.2918-29 и вышеупомянутую публикацию М.Р. Ангеластро и др.).
Далее, кетобензамиды уже были описаны в литературных источниках. Так, например, сложный кетоэфир формулы PhCO-Abu-СООСН2СН3 описан в заявках WO 91/09801, WO 94/00095 и 92/11850. Аналогичное производное фенила формулы Ph-CONH-CH(CH2Ph)-СОСООСН3 было описано автором М.Р. Ангеластро и др., в J. Med. Chem. 1990, 33, стр.11-13, однако, как слабый ингибитор калпаина. Это производное описано также и в публикации Й.Р. Буркхардта, Tetrahedron Lett., 1988, стр. 3433-36. Однако роль замещенных бензамидов до сих пор не была исследована.
Задачей изобретения является разработка новых кетобензамидов, которые можно применять в качестве ингибиторов калпаина.
Поставленная задача решается предлагаемыми кетобензамидами формулы (I)![]() где R1 означает фенил, нафтил, хинолил, пиридил, хиназолил, хиноксалил, бензотиенил, изохинолин, тетрагидроизохинолин или тетрагидрохинолин, причем ароматические и гетероароматические кольца могут быть еще замещены одним, двумя или тремя радикалами R5, имеющими нижеприведенное значение; R2 означает водород, С1-С6-алкил; R3 означает C1-С6-алкил, который может нести фениловое кольцо; Х означает связь, -(CH2)m-, -(CH2)m-O-(СН2)о– -(СН2)n-S-(СН2)m-, -СН= СН-, -СО-СН= СН-, -(СН2)m-NНСO-(CH2)o-, -(СН2)m-СОNН-(СН2)о-, -(СН2)m-NНSO2-(СН2)o-, -(СН2)m-SO2NН-(СН2)о-; R4 означает группы OR6, NR7R8, R5 означает водород, С1-С4-алкил, -О-С1-C4-алкил, Cl, Br, J; R6 означает водород или C1-C6-алкил; R7 означает водород; R8 означает водород или С1-С6-алкил, который может нести одно или два радикала R9 или может быть замещен одной из групп ![]() ![]() или ![]() R9 означает водород, СООН; R10 означает водород или C1-C6-алкил, который может быть замещен фенильным кольцом, который может быть замещен одним или двумя радикалами R9, n – число 0, 1 или 2, m – число 0, 1, 2, 3 или 4 и о- число 0, 1, 2, 3 или 4, и их таутомерными и изомерными формами или их физиологически приемлемыми солями. Предпочтительными кетобензамидами формулы (I) являются соединения, у которых R2 означает водород, С1-С4-алкил; R3 означает-СН2-фенил, н-бутанил или н-пентанил; R4 означает-NR8 и R1, X и n имеют вышеприведенные значения. Соединения формулы I могут применяться как рацематы или чистые энантиомерные соединения или как чистые диастереомеры. Если желательны чистые энантиомерные соединения, то их можно получить, например, за счет того, что с помощью подходящего оптически активного основания или подходящей кислоты проводят классическое расщепление рацемата соединений формулы I или их промежуточных продуктов. Энантиомерные соединения могут быть получены с помощью соответствующих, имеющихся в торговле соединений, например оптически активных аминокислот, таких как фенилаланин, триптофан и тирозин. Соединения формулы I могут также иметься в мезомерной и таутомерной форме, например, такие, при которых кетогруппа формулы I имеется в виде енольного таутомера. Часть новых соединений формулы I может содержать основную или кислотную группу. В этих случаях соединения формулы I могут быть в форме своих физиологически приемлемых солей, которые получают путем взаимодействия соединений формулы I с подходящей кислотой или с подходящим основанием. В качестве кислот для солеобразования с соединениями формулы I согласно изобретению, содержащими основную группу, пригодны, например, соляная кислота, лимонная кислота, винная кислота, молочная кислота, фосфорная кислота, метансульфокислота, уксусная кислота, муравьиная кислота, малеиновая кислота, фумаровая кислота, яблочная кислота, янтарная кислота, малоновая кислота и серная кислота. В качестве подходящего основания применяются, например, гидроокись калия, гидроокись натрия, гидроокись лития, триэтиламин, , , -трис-(гидроксиметил)метиламин, а также другие амины.
Получение кетобензамидов формулы I согласно изобретению может проводиться различными методами, которые схематично показаны на нижепредставленных реакционных схемах 1 и 2 (см. в конце описания).
Сложные эфиры карбоновой кислоты формулы II преобразуются в кислоты формулы III взаимодействием с кислотами или основаниями, такими как соляная кислота, гидроокись лития, гидроокись натрия или гидроокись калия в водной среде или в смесях воды и органических растворителей, например спиртов или тетрагидрофурана, при комнатной или повышенной температуре, например при 25-100oС. Кислоты формулы III подвергают реакции сочетания с производным -аминокислоты, в обычных условиях, приведенных, например, автором Хоубен-Вейл в Methoden der organischen Chemie, 4-е издание, Е5, глава V и автором К. Р. Ларок в Comprehensive Organic Transformations, издательство VCH Publisher, 1989, глава 9.
Карбоновую кислоту формулы III переводят в “активированное” производное кислоты формулы R1-L, где L представляет собой уходящую группу, такую как, например, Cl, имидазол и N-гидроксибензотриазол, и после этого взаимодействием с производным аминокислоты формулы H2N-CHR3-COOR преобразуют в производное формулы IV. Эту реакцию проводят в безводном инертном растворителе, таком как метиленхлорид, тетрагидрофуран и диметилформамид, при температуре от -20 до +25oС.
Производные формулы IV, которые, как правило, представляют собой сложные эфиры, превращаются аналогично вышеописанному гидролизу в кетокарбоновые кислоты формулы V. Аналогичной Дакину-Весту реакцией получают сложные кетоэфиры формулы I’, причем работают по методу, описанному Жао Жао Ли и др. в J. Med. Chem., 1993, 36, стр.3472-80. Согласно этому методу карбоновую кислоту, такую как по формуле V, при повышенной температуре (50-100oС) подвергают взаимодействию с хлорангидридом сложного моноэфира щавелевой кислоты в таком растворителе, как тетрагидрофуран, после этого полученный таким образом продукт подвергают взаимодействию с такими основаниями, как метанолят натрия в этаноле при температуре 25-80oС с получением сложного кетоэфира формулы I’ согласно изобретению. Сложные кетоэфиры формулы I’ могут быть, например, гидролизированы до кетокарбоновых кислот согласно изобретению.
Превращение в кетобензамиды формулы I производят также аналогично вышеприведенному методу согласно Жао Жао Ли и др. Кетогруппу в соединении формулы I’ защищают путем добавления 1,2-этандитиола в присутствии кислоты Льюиса, например бортрифторидэтерата, в среде инертного растворителя, такого как метиленхлорид, при комнатной температуре, причем получают дитиан. Эти производные подвергаются взаимодействию с аминами формулы R4-H в полярных растворителях, таких как спирты, при температуре 0-80oС с получением кетобензамидов формулы I (причем, например, R4=NR7R8).
Альтернативный метод представлен на схеме 2. Кетокарбоновые кислоты III подвергают взаимодействию с производными аминогидроксикарбоновой кислоты формулы VI (получение соединений формулы VI см. публикацию С.Л. Харбенсон и др. , J. Med. Chem. 1994, 37, стр.2918-29) путем обычных методов сочетания пептидов (см. вышеупомянутую публикацию Хоубен-Вейл) с получением амидов формулы VII. Эти производные спиртов формулы VII можно подвергать окислению с получением производных кетокарбоновой кислоты формулы I согласно изобретению. Для этого можно использовать различные известные реакции окисления (см. К.Р. Ларок, Comprehensive Organic Transformations, изд. VCH Publisher, 1989, стр. 604 и сл.), например, окисление по Сверну или аналогичное Сверну окисление. Предпочтительно работают с диметилсульфокисидом и пиридинсерным ангидридом в таком растворителе, как метиленхлорид или тетрагидрофуран, при необходимости с добавкой диметилсульфоксида, при комнатной температуре или при температурах от -50 до 25oС (см. Т.Т. Тидвелл, Synthesis 1990, стр. 857-70) или смесь гипохлорида натрия и /TEMPO (С. Л. Харберсон и др., см. выше).
Если соединения формулы VII представляют собой сложные -гидроксиэфиры (X= O-алкил), их можно подвергать гидролизу с получением карбоновых кислот формулы VIII, причем работают аналогично вышеописанным методам, однако предпочтительно с гидроксидом лития в смесях воды с тетрагидрофураном при комнатной температуре. Получение других сложных эфиров или амидов формулы Х производится путем взаимодействия со спиртами или аминами при вышеописанных условиях сочетания. Производное спирта формулы IX может подвергаться окислению с получением производных кетокарбоновой кислоты формулы I согласно изобретению.
Синтез сложных эфиров карбоновой кислоты формулы II частично известен или может проводиться с помощью соответствующих обычных химических методов.
Соединения, при которых Х представляет собой связь, получают путем обычной реакции ароматического сочетания, например реакции сочетания Сузуки, с использованием производных борной кислоты и галогенидов на палладиевом катализаторе или реакции сочетания ароматических галогенидов на медном катализаторе. Радикалы с алкиловыми мостиками (Х=-(CH2)m-) можно получить путем восстановления аналогичных кетонов или путем алкилирования литийорганических соединений, например ортофенилоксазолидинов, или других металлорганических соединений (см. И.М. Дордор и др., J. Chem. Soc. Perkin Trans. I, 1984, стр. 1247-52).
Производные с эфирными мостиками получают путем алкилирования соответствующих спиртов или фенолов галогенидами.
Сульфоксиды и сульфоны получают путем окисления соответствующих тиоэфиров.
Соединения с алкеновыми и алкиновыми мостками получают, например, с помощью реакции Хека из ароматических галогенидов и соответствующих алкенов и алкинов (см. И. Сакамото и др., Chem.Pharm. Bull., 1986, 34, стр.2754-59).
Халконы образуются при конденсации ацетофенонов с альдегидами и могут переводиться в аналогичные алкиловые производные посредством гидрирования.
Амиды и сульфамиды получают аналогично вышеописанным методам из аминов и производных кислот.
Как уже указывалось выше, кетобензамиды формулы I согласно изобретению представляют собой ингибиторы протеаз цистеина, в частности таких протеаз цистеина, как калпаин I и II и катепсины В, соответственно L.
Ингибиторное действие кетобензамидов формулы I было определено с помощью известных в литературе ферментных опытов, причем в качестве меры эффективности была взята концентрация ингибитора, при которой ингибируется 50% активности фермента. Измерялось ингибиторное действие бензамидов формулы I на калпаин I. Результаты сведены в следующей таблице.
Благодаря вышеуказанной активности кетобензамиды формулы I могут применяться при борьбе с заболеваниями, связанными с повышенной активностью ферментов типа калпаина и/или катепсина. Вследствие этого они могут применяться для лечения нейродегенеративных заболеваний, которые возникают после ишемии, травм, субарахноидальных кровоизлияний и кровоизлияний в мозге и к которым относятся, в частности, мозговой инсульт и травма черепа, и нейродегенеративных заболеваний, таких как многократный инфаркт, деменция, болезнь Альцгеймера, болезнь Хантингтона (хорея) и, кроме того, для лечения повреждений сердца после сердечной ишемии, повреждений почек после почечной ишемии, повреждений скелетных мышц, мышечной дистрофии, повреждений, вызванных пролиферацией гладких мышечных клеток, спазм коронарных сосудов, спазм церебральных сосудов, катаракты глаз или рестеноза кровеносного русла после ангиопластии. К тому же бензамиды формулы I могут быть полезными при хемотерапии опухолей и их метастазов и для лечения заболеваний, при которых имеется повышенный уровень интерлейкина-1, например, при воспалениях и/или ревматических заболеваниях.
Соединения формулы I применяются в виде стандартных лекарственных препаратов, которые содержат наряду с обычными вспомогательными веществами терапевтически эффективное количество соединения формулы I.
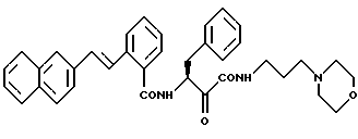
Для локального наружного применения, например, как пудра, мазь или спрей, активные вещества могут содержаться в обычной концентрации. Как правило, активные вещества содержатся в количестве от 0,001 до 1 вес. %, предпочтительно от 0,01 до 0,1 вес. %При внутреннем применении лекарственные препараты даются в отдельных дозах. В отдельной дозе даются на кг веса тела от 0,1 до 100 мг. Лекарственный препарат можно давать ежедневно в одну или несколько доз в зависимости от вида и серьезности заболевания. В соответствии с желаемым видом применения лекарственные препараты содержат наряду с активным веществом обычные наполнители и растворители. Для локального наружного применения могут использоваться фармацевтически-технические вспомогательные вещества, такие как этанол, изопропанол, оксиэтилированное касторовое масло, оксиэтилированное гидрированное касторовое масло, полиакриловая кислота, полиэтиленгликоль, полиэтиленгликостеарат, этоксилированные спирты жирного ряда, парафиновое масло, вазелин и ланолин. Для внутреннего применения пригодны, например, молочный сахар, пропиленгликоль, этанол, крахмал, тальк и поливинилпирролидон. Кроме того, лекарственные формы могут содержать антиокислители, такие как токоферол и бутилированный оксианизол и бутилированный окситолуол, а также улучшающие вкус добавки, стабилизаторы, эмульгаторы и смазки. Содержащиеся наряду с активным началом вещества, а также вещества, применяемые при изготовлении фармацевтических препаратов, являются токсикологически приемлемыми и совместимыми с соответствующим активным веществом. Изготовление лекарственных препаратов производится обычным образом, например, путем смешения активного вещества с другими обычными носителями и разбавителями. Лекарственные препараты могут даваться различным образом, например орально, парентерально, внутривенно посредством инфузий, подкожно, внутрибрюшинно и локально. Таким образом, возможны такие лекарственные формы, как таблетки, эмульсии, растворы для вливания и инъекций, пасты, мази, гели, кремы, лосьоны, пудры и спреи. Примеры Пример 1 (S)-2-(Е-2-(нафт-2-ил)-этен-1-ил)-N-(1-(N-(3-морфолино-1-ил-пропан-1-ил)-карбамоил-1-оксо-3-фенил-пропан-2-ил)-бензамид ![]() а) сложный этиловый эфир 2-(2-(Е-нафт-2-ил)-этен-1-ил)-бензойной кислоты 29,7 г (0,13 моль) 2-винилнафталина, 25 г (0,16 моль) сложного этилового эфира 2-бромбензойной кислоты, 22,5 мл (0,16 моль) триэтиламина, 0,54 г диацетата палладия и 1,44 г трифенилфосфина нагревают в 200 мл ацетонитрила в течение 20 часов при 100oС. После этого смесь выливают на воду и несколько раз экстрагируют сложным этиловым эфиром уксусной кислоты. Органическую фазу концентрируют под вакуумом и остаток подвергают хроматографической очистке на силикагеле. Выход: 34 г (71%). б) 2-(Е-2-(нафт-2-ил)-этен-1-ил)-бензойная кислота 34 г (112,5 ммоль) промежуточного продукта стадии а) растворяют в 200 мл тетрагидрофурана и примешивают 9,5 г (168,7 ммоль) 80%-ной гидроокиси калия, растворенной в 150 мл воды. Компоненты нагревают 10 часов с обратным холодильником. После этого реакционную смесь подкисляют концентрированной соляной кислотой и экстрагируют сложным этиловым эфиром уксусной кислоты. Органическую фазу промывают водой, сушат и концентрируют под вакуумом. Остаток обрабатывают небольшим количеством этилацетата и отсасывают. Выход: 23,8 г (78%). в) (S)-O-(трет. -бутил)-N-(1-(N-(3-морфолино-1-ил-пропан-1-ил)-карбамоил-3-фенил-пропан-1-ол-2-ил)-карбамат К 2,95 г (10 ммоль) O-(трет.-бутил)-2-(S)-N-(1-карбокси-2-гидрокси-3-фенилпропан-1-ол-2-ил)-карбамата (см. С.Л. Харбезон и др., J.Med.Chem. 1994, 37, стр.2918-29) и 1,4 г (10 ммоль) N-(3-аминопропан-1-ил)морфолина в 50 мл безводного диметилформамида подают последовательно при -5oС 1,6 г (10 ммоль) сложного диэтилового эфира цианофосфорной кислоты и 1,0 г (10 ммоль) триэтиламина. Компоненты перемешивают 1 час при -5oС и потом 16 часов при комнатной температуре. Затем смесь выливают на воду и экстрагируют этилацетатом. Органическую фазу экстрагируют водным раствором лимонной кислоты. Эту водную фазу потом подщелачивают разбавленным натровым щелоком и экстрагируют этилацетатом. Органическую фазу сушат и концентрируют под вакуумом, при этом получают 2,3 г (55%) продукта. г) Амид 3-(S)-3-амино-2-гидрокси-3-фенил-N-(-3-морфолин-1-ил-пропан-1-ил)-масляной кислоты 2,1 г (5 ммоль) промежуточного продукта стадии в) растворяют в 60 мл метиленхлорида и примешивают 60 мл трифторуксусной кислоты. Компоненты перемешивают 30 минут при комнатной температуре. После этого смесь концентрируют под вакуумом и остаток переосаждают с помощью смеси метиленхлорида и простого эфира. Получают 2.4 г сырья. д) 2-(S)-2-(Е-2-(нафт-2-ил)-этен-1-ил)-N-(1-(N(3-морфолино-1-ил-пропан-1-ил)-карбамоил)-1-гидрокси-3-фенил-пропан-2-ил)-бензамид К 2,4 г (4 ммоль) промежуточного продукта стадии г) и 1,1 г (4 ммоль) промежуточного продукта стадии б) в 30 мл безводного диметилформамида при -5oС последовательно добавляют 0,65 г (4 ммоль) сложного диэтилового эфира цианофосфорной кислоты и 0,8 г (8 ммоль) триэтиламида. После этого реакционную смесь перемешивают 1 час при -5oС и еще 16 часов при комнатной температуре. Потом добавляют 200 мл воды и экстрагируют сложным диэтиловым эфиром. Водную фазу нейтрализируют разбавленным натровым щелоком и потом экстрагируют сложным этиловым эфиром уксусной кислоты. Органическую фазу сушат и концентрируют под вакуумом. Остаток перекристаллизовывают из сложного этилового эфира уксусной кислоты. Выход: 0,8 г (35%). е) 2-(S)-2-(Е-2-(нафт-2-ил)-этен-1-ил)-N-(1-(N-(3-морфолино-1-ил-пропан-1-ил)-карбамоил)-1-оксо-3-фенил-пропан-2-ил)-бензамид К 0,46 г (0,8 ммоль) промежуточного продукта стадии д) и 0,3 г (3,2 ммоль) триэтиламина в 8 мл диметилсульфоксида подают при комнатной температуре 0,38 г (2,4 ммоль) комплекса пиридина и серного ангидрида, растворенного в 4 мл диметилсульфоксида. Компоненты перемешивают в течение 16 часов. После этого реакционную смесь разбавляют сначала водой и потом экстрагируют метиленхлоридом. Органическую фазу сушат и концентрируют под вакуумом. Остаток обрабатывают простым эфиром, при этом получают 0,3 г (65%) продукта. 1H-ЯМР (СDСl3): = 1,7 (2Н), 2,4 (6Н), 3,2 (1Н), 3,5 (3Н), 3,7 (4Н), 5,8 (1Н), 6,5 (1Н), 7,0-8,0 (19Н) и 8,8 (1Н) млн.д.
Пример 2(S)-2-(Е-2-нафт-2-ил)-этен-1-ил)-N-(1-карбамоил-1-оксо-3-фенил-пропан-2-ил)-бензамид ![]() а) 2-(S)-O-(трет. -бутил)-N-(1-карбамоил-3-фенил-пропан-1-ол-2-ил)-карбамат 217,7 г (60 ммоль) O-(трет.-бутил)-2-(S)-N-(1-карбокси-2-гидрокси-3-фенил-пропан-1-ол-2-ил)-карбамата (см. С. Л. Харбенсон и др., J.Med.Chem. 1994, 37, стр.2918-29) подвергают взаимодействию с этанольным раствором аммиака при условиях стадии в) примера 1. Выход: 13,5 г (76%). б) Амид 3-(S)-3-амино-2-гидрокси-3-фенилмасляной кислоты 13,4 г (45,5 ммоль) промежуточного соединения стадии а) подвергают взаимодействию аналогично стадии г) примера 1. Получают 12,3 г (88%) продукта. в) 2-(S)-2-(Е-2-(нафт-2-ил)-этен-1-ил)-N-(1-карбамоил-1-гидрокси-3-фенил-проп-2-ил)-бензамид К 1,65 г (6 ммоль) промежуточного соединения стадии б) и 0,81 г (6 ммоль) 1-гидроксибензотриазола в 10 мл безводного диметилформамида подают при -5oС последовательно 1,26 г (6,6 ммоль) гидрохлорида N’-(3-диметил-аминопропил)-N-этилкарбодиимида, 1,85 г (6 ммоль) промежуточного соединения стадии б) примера 1 и 1,2 г (12 ммоль) N-метилморфолина. Потом смесь перемешивают 1 час при -5oС и потом еще 16 часов при комнатной температуре. В заключении к смеси добавляют воду и отсасывают осадок. Выход продукта составляет 1,3 г (48%). г) (S)-2-(2-(нафт-2-ил)-этен-1-ил)-N-(1-карбомоил-1-оксо-3-фенил-пропан-2-ил)-бензамид 0,45 г (1 ммоль) промежуточного соединения стадии в) окисляют аналогично стадии е) примера 1. Выход: 0,28 г (62%). МС: m/е = 458(М+). Пример 3 2-(S)-2-(Е-2-(3,4-диметоксифенил)-этен-1-ил)-N-(1-карбамоил-1-оксо-3-фенил-пропан-2-ил)-бензамид ![]() а) Сложный этиловый эфир 2-(Е-2-(3,4-диметоксифенил)-этен-1-ил)-бензойной кислоты 5 г (30,5 ммоль) 3,4-диметоксистирола подвергают взаимодействию при условиях стадии 1а со сложным этиловым эфиром бромбензойной кислоты в диметилформамиде при 120oС. Получают 7,2 г (94%) продукта. б) 2-(Е-2-(3,4-диметоксифенил)-этен-1-ил)-бензойная кислота 7 г (22 ммоль) промежуточного продукта стадии а) омыляют при условиях стадии б) примера 1 4М натровым щелоком. Выход: 6,2 г (98%). в) 2-(S)-2-(2-(3,4-диметоксифенил)-этен-1-ил)-N-(1-кабамоил-1-гидрокси-3-фенил-пропан-2-ил)-бензамид 1,7 г (6 ммоль) промежуточного соединения стадии б) примера 2 подвергают взаимодействию аналогично стадии в) примера 2 с соединением стадии б). Выход продукта составляет 2,1 г (76%). г) 2-(S)-2-(Е-2-(3,4-диметоксифенил)-этен-1-ил)-N-(1-карбамоил-1-оксо-3-фенил-пропан-2-ил)-бензамид 0,45 г (1 ммоль) промежуточного соединения стадии в) окисляют при аналогичных условиях, что и на стадии е) примера 1. Получают 0,28 г (62%) продукта. МС: m/е = 479 (М+). Пример 4 (S)-4-(2-нафтиламидо)-метил-N-(1-карбамоил-1-оксо-3-фенил-пропан-2-ил)-бензамид ![]() а) 4-(2-нафтиламидо)-метил-бензойная кислота К 10 г (66,2 ммоль) 4-аминометил-бензойной кислоты в 150 мл пиридина добавляют по каплям при 10oС 12,6 г (66,2 ммоль) хлорангидрида 2-нафтойной кислоты, растворенного в 150 мл тетрагидрофурана. Полученную смесь перемешивают 16 часов при комнатной температуре. Реакционную смесь концентрируют под вакуумом и полученный остаток подвергают хроматографической очистке (растворитель: смесь метиленхлорида и метанола в соотношении 10/1). При этом получают 11,3 г (56%) продукта. б) 4-(2-нафтиламидо)-метил-N-(-3-(S)-1-карбамоил-1-гидрокси-3-фенил-пропан-2-ил)-бензамид 1,2 г (4 ммоль) промежуточного продукта стадии а) подвергают взаимодействию аналогично стадии в) примера 2 с амидом 3-(S)-3-амино-2-гидрокси-3-фенилмасляной кислоты стадии б) примера 2 и при этом получают 1,7 г (88%) продукта. в) (S)-4-(2-нафтиламидо)-метил-N-(1-карбамоил-1-оксо-3-фенил-пропан-2-ил)-бензамид 0,48 г (1 ммоль) промежуточного соединения стадии б) окисляют при условиях стадии е) примера 1. Выход составляет 0,31 г (65%). 1Н-ЯМР (D6-ДМСО): = 2,9 (1Н), 3,2 (1Н), 4,5 (2Н), 5,2 (1Н), 7,0-8,0 (16Н), 8,2 (1Н), 8,7 (1Н) и 9,1 (2Н) млн.д.
Пример 5(S)-2-фенил-N-(1-карбамоил-1-оксо-3-фенил-пропан-2-ил)-бензамид ![]() а) 2-фенил-N-(-3-(S)-1-карбамоил-1-гидрокси-3-фенил-пропан-2-ил)-бензамид 0,8 г (4 ммоль) бифенил-2-карбоновой кислоты и 1,2 г (4 ммоль) промежуточного соединения стадии б) примера 2 подвергают взаимодействию при условиях стадии в) примера 2. Выход продукта составляет 1,2 г (80%). б) (S)-2-фенил-N-(1-карбамоил-1-оксо-3-фенил-пропан-2-ил)-бензамид 0,75 г (2 ммоль) промежуточного соединения стадии а) подвергают окислению аналогично стадии е) примера 1. Выход продукта составляет 0,35 г (47%). 1H-ЯМР (D6-ДМСО): = 2,8 (1Н), 3,1 (1Н), 5,2 (1Н), 7,0-7,5 (14Н), 7,9 (1Н), 8,1 (1Н) и 8,9 (1Н) млн.д.
Пример 6(S)-2-(нафт-2-ил-метил)-N-(1-карбамоил-1-оксо-3-фенил-пропан-2-ил)-бензамид ![]() а) 4,4-диметил-2-(2-(нафт-2-ил-гидроксиметил)-фенил)-2-оксазоли К 25 г (0,14 моль) 4,4-диметил-2-фенил-2-оксазолина и 0,1 г трифенил-метана в 400 мл безводного тетрагидрофурана медленно по каплям при -78oС добавляют 104 мл 1,6 М раствора бутиллития. Полученную смесь перемешивают в течение 1 часа. После этого смеси дают нагреваться до -30o и прибавляют по каплям раствор 20,3 г (0,13 моль) 2-нафтальдегида в 200 мл безводного тетрагидрофурана. Смесь перемешивают еще 1 час при температуре от -20 до -30oС. После этого реакционной смеси дают нагреваться до комнатной температуры и растворитель удаляют под вакуумом. Остаток подают в ледяную воду, затем экстрагируют простым эфиром. Органическую фазу сушат и концентрируют под вакуумом. Остаток хроматографически очищают (растворитель: смесь н-гептана ацетона в соотношении 40/3). Выход составляет 25,3 г (54%). б) 3-нафт-2-ил-фталид 22 г (66 ммоль) промежуточного продукта стадии а) кипятят с обратным холодильником в смеси из 250 мл этанола и 100 мл 1М соляной кислоты в течение 2 часов. После этого этанол удаляют под вакуумом и полученный осадок отсасывают. Выход продукта составляет 16,4 г (95%). в) 2-нафт-2-ил-бензойная кислота 16 г (61,5 ммоль) промежуточного соединения со стадии б) растворяют в смеси 100 мл тетрагидрофурана и 250 мл этанола и после добавки 5 г палладия на сульфате бария гидрируют. Потом смесь фильтруют и фильтрат концентрируют под вакуумом. Остаток перекристаллизовывают в толуоле и получают 13,6 г (85%) продукта. г) 2-(нафт-2-ил)-метил-N-(-3-(S)-1-карбамоил-1-гидрокси-3-фенил-пропан-2-ил)-бензамид 1,05 г (4 ммоль) промежуточного продукта стадии в) подвергают взаимодействию аналогично стадии в) примера 2 с промежуточным продуктом стадии б) примера 2 и получают 1,7 г (97%) продукта. д) (S)-2-(нафт-2-ил)-метил-N-(1-карбамоил-1-оксо-3-фенил-пропан-2-ил)-бензамид 0,88 г (2 ммоль) промежуточного продукта стадии г) подвергают окислению аналогично стадии е) примера 1, и получают 0,52 г (60%) продукта. 1H-ЯМР (D6-ДМСО): = 2,8 (1Н), 3,2 (1Н), 4,1 (2Н), 5,3 (1Н), 7,1-8,0 (17Н), 8,1 (1Н) и 8,9 (1Н) млн.д.
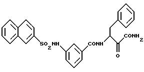
Пример 7(S)-3-(2-нафтил)-сульфонамидо-N-(1-карбамоил-1-оксо-3-фенил-пропан-2-ил)-бензамид ![]() а) Сложный этиловый эфир 3-(2-нафтилсульфонамидо)-бензойной кислоты К 25 г (0,15 моль) сложного этилового эфира 3-аминобензойной кислоты и 63 мл (0,45 моль) триэтиламина в 400 мл тетрагидрофурана добавляют по каплям при 0oС 34,3 г (0,15 моль) хлорангидрида 2-нафталинсульфокислоты, растворенного в 250 мл тетрагидрофурана. После этого полученную смесь нагревают в течение 1 часа с обратным холодильником. Органическую фазу удаляют под вакуумом и остаток распределяют между этилацетатом и водой. Фазу этилацетата сушат и концентрируют под вакуумом. Выход продукта составляет 55 г (100%). б) 3-(2-нафтилсульфонамидо)-бензойная кислота 55 г (0,15 моль) промежуточного соединения стадии а) растворяют в 400 мл тетрагидрофурана и примешивают 400 мл 4М натрового щелока. Полученную смесь перемешивают 1,5 часа при 60oС. Органический растворитель удаляют под вакуумом. К оставшейся водной фазе подмешивают разбавленную соляную кислоту. Полученный осадок растворяют в этилацетате, промывают водой, сушат и концентрируют под вакуумом. Остаток обрабатывают еще метиленхлоридом. После этого получают 37,3 г (75%) продукта. в) 3-(2-нафтил)-сульфонамидо-N(-3(S)-1-карбамоил-1-гидрокси-3-фенил-пропан-2-ил)-бензамид 0,55 г (1,68 ммоль) промежуточного соединения стадии б) подвергают взаимодействию аналогично стадии в) примера 2 с соединением, полученным на стадии б) примера 2. Выход продукта составляет 0,72 г (86%). г) (S)-3-(2-нафтил)-сульфонамидо-N-(1-карбамоил-1-оксо-3-фенил-пропан-2-ил)-бензамид 0,7 г (1,4 ммоль) промежуточного соединения стадии в) окисляют аналогично стадии е) примера 1. Выход продукта составляет 0,68 г (98%). 1H-ЯМР (D6-ДМСО): = 2,9 (1Н), 3,1 (1Н), 5,2 (1Н), 7,0-8,1 (17Н), 8,2 (1Н), 8,8 (1Н) и 10,5 (1Н) млн.д.
Пример 8(S)-3-(2-нафтил)-сульфонамидо-N-1-N-(3-(имидазол-1-ил-пропан-1-ил)-карбамоил-1-оксо-3-фенил-пропан-2-ил)-бензамид ![]() а) Сложный этиловый эфир 3-(S)-3-амино-2-гидрокси-4-фенилмасляной кислоты 28 г (0,12 моль) 3-(S)-3-амино-2-гидрокси-4-фенилмасляной кислоты (см. С. Л. Харбезон и др., J.Med.Chem. 1994, 37, стр.2918-29) кипятят с обратным холодильником 3 часа в 500 мл 1М этанольного раствора хлористого водорода. После этого реакционную смесь концентрируют под вакуумом и остаток распределяют между водой и этилацетатом. Этилацетатную фазу подщелачивают водным раствором бикарбоната натрия. При этом выделяется масло. Это масло обрабатывают этилацетатом, сушат и концентрируют под вакуумом. Выход: 18 г. б) 3-(нафт-2-ил)-сульфонамидо-N-(2-(S)-1-этоксикарбонил-1-гидрокси-3-фенил-пропан-2-ил)-бензамид 16,5 г (50,4 ммоль) промежуточного продукта стадии б) примера 7 и 11,2 г (50,4 ммоль) соединения, полученного на стадии а), подвергают реакции аналогично стадии в) примера 2. Получают 7,8 г (30%) продукта. в) 3-(2-нафтил)-сульфонамидо-N-(2-(S)-1-карбокси-1-гидрокси-3-фенил-пропан-2-ил)-бензамид 7,8 г (14,6 ммоль) промежуточного соединения, полученного на стадии б), растворяют в 150 мл тетрагидрофурана и смешивают с 1,1 г (44 ммоль) гидроокиси лития, растворенной в 20 мл воды. Реакционную смесь перемешивают 1 час при комнатной температуре. Органический растворитель удаляют под вакуумом и водную фазу слабо окисляют посредством 1М соляной кислоты. Полученный осадок отсасывают. Выход продукта составляет 7,2 г (98%). г) 3-(нафт-2-ил)-сульфонамидо-N-(2-(S)-1-N-(3-(имидазол-1)-ил-пропан-1-ил)-карбамоил-1-гидрокси-3-фенил-пропан-2-ил)-бензамид 1 г (2 ммоль) промежуточного соединения, полученного на стадии в), подвергают взаимодействию аналогично стадии в) примера 2 с 3-аминопропан-1-ил-1-имидазолом. Выход: 0,63 г (53%). д) (S)-3-(2-нафтил)-сульфонамидо-N-(1-N-(3-(имидазол-1-ил-пропан-1-ил)-карбамоил-1-оксо-3-фенилпропан-2-ил)-бензамид 0,6 г (0,98 ммоль) промежуточного соединения стадии г) окисляют аналогично стадии е) примера 1, при этом получают 0,55 г (92%) продукта. Пример 9 (S)-N-(1-N-(N-бензил-пиперидин-4-ил)-карбамоил-1-оксо-3-фенил-пропан-2-ил)-3-(нафт-2-ил-)сульфонамидо)-бензамид ![]() а) N-(2-(S)-1-N-(N-бензил-пиперидин-4-ил)-карбамоил-1-гидрокси-3-фенил-пропан-2-ил)-3-(нафт-2-ил)сульфонамидо-бензамид 1 г (2 ммоль) промежуточного соединения, полученного на стадии в) примера 8, и 4-амино-N-бензилпиперидин подвергают реакции аналогично стадии в) примера 2, при этом получают 0,67 г (50%) продукта. б) (S)-N-(1-N-(N-бензил-пиперидин-4-ил)-карбамоил-1-оксо-3-фенил-пропан-2-ил)-3-(нафт-2-ил)-сульфонамидо)-бензамид 0,65 г (1 ммоль) промежуточного соединения стадии а) подвергают окислению аналогично стадии е) примера 1 и получают 0,59 г (91%) продукта. Пример 10 (S)-2-(Е-2-(3,4-диметоксифенил)-этен-1-ил)-N-(1-N-(3-морфолино-1-ил-пропан-1-ил)-карбамоил)-1-оксо-3-фенил-пропан-2-ил)-бензамид ![]() а) 2-(Е-2-(3,4-диметоксифенил)-этен-1-ил)-N-(2-(S)-1-N-(3-морфолино-1-ил-пропан-1-ил)-карбамоил)-1-гидрокси-3-фенил-пропан-2-ил)-бензамид 1,7 г (6 ммоль) промежуточного соединения, полученного на стадии б) примера 3, подвергают взаимодействию аналогично стадии в) примера 2 с соединением, полученным на стадии б) примера 2, при этом получают 1,2 г (34%) продукта. б) (S)-2-(Е-2-(3,4-диметоксифенил)-этен-1-ил)-N-(1-N-(3-морфолино-1-ил-пропан-1-ил)-карбамоил)-1-оксо-3-фенил-пропан-2-ил)-бензамид 0,6 г (1 ммоль) промежуточного соединения окисляют аналогично стадии е) примера 1 и получают 0,12 г (20%) продукта. 1H-ЯМР (СDСl3): = 1,8 (2Н), 2,4-2,7 (6Н), 3,1 (1Н), 3,5 (2Н), 3,6-3,8 (5Н), 3,9 (6Н), 5,7 (1Н), 6,3 (1Н), 6,8-7,9 (14Н) и 8,5 (1Н) млн.д.
Пример 11(S)-3-(нафта-2-ил)-сульфонамидо)-N-(1-карбамоил-1-оксо-3-фенил-пропан-2-ил)-бензамид ![]() а) Амид 8-хинолил-N-(3-этоксикарбонил)-сульфокислоты 5 г (30,3 ммоль) сложного этилового эфира 3-аминобензойной кислоты подвергают взаимодействию при аналогичных стадии а) примера 7 условиях с хлорангидридом 8-хинолинсульфокислоты при 0oС, причем получают 5,9 г (76%) продукта. б) Амид N-(3-карбокси)-8-хинолил-сульфоновой кислоты 5,9 г промежуточного соединения, полученного на стадии а), омыляют аналогично стадии б) примера 1 и получают 5,1 г (95%). в) 3-(нафт-2-ил)сульфонамидо)-N-(-3-(S)-1-карбамоил-1-гидрокси-3-фенил-пропан-2-ил)-бензамид 1 г (3 ммоль) промежуточного соединения стадии б) примера 2 подвергают взаимодействию с 0,95 г (3 ммоль) соединения, полученного на стадии б), аналогично стадии в) примера 2, при этом получают 1,3 г (87%) продукта. г) (S)-3-(2-нафтил)сульфонамидо)-N-(1-карбамоил-1-оксо-3-фенил-пропан-2-ил)-бензамид 1,2 г (2,4 ммоль) промежуточного соединения, полученного на стадии в), окисляют аналогично стадии е) примера 1. Выход продукта составляет 0,8 г (70%). 1H-ЯМР (D6-ДМСО): = 2,9 (1Н), 3,1 (1Н), 5,2 (1Н), 7,0-8,8 (17), 8,1 (1Н) и 10,2 (1Н) млн.д.
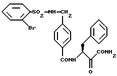
Пример 12(S)-4-(2-бромфенилсульфонамидо)-метил-N-(1-карбамоил-1-оксо-3-фенил-пропан-2-ил)-бензамид ![]() а) O-(трет.-бутил)-N-(4-этоксикарбонил-бензил)-карбамат 7 г (34,7 ммоль) сложного этилового эфира 4-аминометилбензойной кислоты и 9,6 мл (39,4 ммоль) триэтиламина растворяют в 150 мл смеси тетрагидрофурана и диметилформамида в соотношении 2:1 и при 0oС смешивают по каплям с раствором 8 г (36,5 ммоль) ангидрида трет.-бутоксикарбонила в 100 мл тетрагидрофурана. Реакционную смесь перемешивают 16 часов при комнатной температуре. После этого смесь концентрируют в вакууме и остаток распределяют между водой и этилацетатом. Органическую фазу сушат и концентрируют под вакуумом, при этом получают 8,5 г (93%) продукта. б) O-(трет.-бутил)-N-(4-карбоксибензил)-карбамат 8,3 г (31,3 ммоль) промежуточного соединения, полученного на стадии а), подвергают гидролизу аналогично стадии в) примера 8, при этом получают 7,3 г (93%) продукта. в) 4-(трет. -бутилоксиамидо)-метил-N-(-3-(S)-1-карбамоил-1-гидрокси-3-фенил-пропан-2-ил)-бензамид 7 г (27,9 ммоль) промежуточного соединения стадии б) подвергают реакции, аналогичной стадии в) примера 2, с соединением стадии б) примера 2. Выход продукта составляет 9,2 г (77%). г) 4-аминометил-N-(2-(S)-1-карбамоил-1-гидрокси-3-фенил-пропан-2-ил)-бензамид 9,0 г (21 ммоль) промежуточного соединения стадии в) расщепляют аналогично стадии г) примера 1 с помощью трифторуксусной кислоты. Выход: 10,8 г (100%). д) 4-(бромфенилсульфонамидо)-метил-N-(2-(S)-1-карбамоил-1-гидрокси-3-фенил-пропан-2-ил)-бензамид 1,5 г (3,4 ммоль) промежуточного соединения, полученного на стадии г), подвергают взаимодействию аналогично стадии а) примера 7 с хлорангидридом бромбензолсульфокислоты при 0oС, при этом получают 1,2 г (69%) продукта. е) (S)-4-(2-бромфенилсульфонамидо)-метил-N-(1-карбамоил-1-оксо-3-фенил-пропан-2-ил)-бензамид 1,05 г (1,9 ммоль) промежуточного соединения стадии д) окисляют аналогично стадии е) примера 1. Выход продукта составляет 0,78 г (75%). 1H-ЯМР (D6-ДМСО): = 2,9 (1Н), 3,2 (1Н), 4,2 (2Н), 5,3 (1Н), 7,0-8,0 (15Н), 8,4 (1Н) и 8,8 (1Н) млн.д.
Пример 13(S)-N-(1-N-(3-морфолин-1-ил-3-пропан-1-ил)-карбамоил-1-оксо-3-фенил-пропан-2-ил)-2-(нафт-2-ил-метил)-бензамид ![]() а) O-(трет. -бутил)-N-(2-(S)-1-(N-3-морфолин-1-ил-пропан-1-ил)-карбамоил-2-гидрокси-3-фенил-пропан-2-ил)карбамат 19,2 г (65 ммоль) O-(трет.-бутил)-2-(S)-N-(1-карбокси-2-гидрокси-3-фенил-пропан-1-ол-2-ил)-карбамат (см. С.Л. Харбезон и др., J.Med.Chem. 1994, 37, стр. 2918-29) подвергают взаимодействию аналогично стадии в) примера 2 с 1-(амино-пропан-1-ил)морфолином, причем получают 23,5 г (85%) продукта. б) Амид 3-(S)-3-амино-2-гидрокси-N-(3-морфолин-1-ил-пропан-1-ил)-4-фенил-масляной кислоты 23,3 г (55,3 ммоль) промежуточного соединения, полученного на стадии 13а, расщепляют аналогично стадии е) примера 1 с помощью трифторуксусной кислоты. При этом получают 28 г сырого продукта, который без очистки подают на следующую стадию. в) N-(2-(S)-1-N-(3-морфолин-1-ил-пропан-1-ил)-карбамоил-1-гидрокси-3-фенил-пропан-2-ил)-2-(нафт-2-ил-метил)-бензамид 1,57 г (6 ммоль) промежуточного соединения стадии в) примера 6 подвергают взаимодействию аналогично стадии в) примера 2 с соединением, полученным на стадии б). Выход продукта составляет 1,1 г (32%). г) (S)-N-(1-N-(3-морфолин-1-ил-3-пропан-1-ил)-карбамоил-1-оксо-3-фенил-пропан-2-ил)-2-(нафт-2-илметил)-бензамид 0,57 г (1 ммоль) промежуточного соединения стадии в) окисляют аналогично стадии в) примера 2. Выход: 0,14 г (25%). 1H-ЯМР (D6-ДМСО): = 1,6 (2Н), 2,2 (6Н), 2,9 (1Н), 3,2 (3Н), 3,5 (4Н), 4,1 (2Н), 5,3 (1Н), 7,0-7,9 (16Н) и 8,9 (1Н) млн.д.
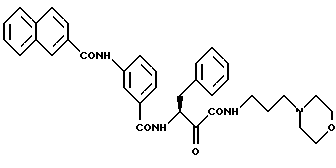
Пример 14(S)-N-(1-N-(3-морфолин-1-ил-3-пропан-1-ил)-карбамоил-1-оксо-3-фенил-пропан-2-ил)-4-(нафт-2-иламидо)-метил-бензамид ![]() а) N-(2-(S)-1-N-(3-морфолин-1-ил-3-пропан-1-ил)-карбамоил-1-гидрокси-3-фенил-пропан-2-ил)-4-(нафт-2-иламидометил)-бензамид 3,1 г (10 ммоль) промежуточного соединения стадии а) примера 4 подвергают реакции аналогично стадии в) примера 2 с соединением, полученным на стадии б) примера 13, при этом получают 1,9 г продукта. б) (S)-(1-N-(3-морфолин-1-ил-3-пропан-1-ил)-карбамоил-1-оксо-3-фенил-пропан-2-ил)-4-(нафт-2-иламидо)-метил-бензамид 1,2 г (2 ммоль) промежуточного соединения стадии а) окисляют аналогично стадии е) примера 1. Выход составляет 0,83 г (73%). 1H-ЯМР (D6-ДМСО): = 1,6 (2Н), 2,2 (6Н), 3,0 (1Н), 3-3,2 (3Н), 3,5 (4Н), 4,6 (2Н), 5,2 (1Н), 6,9-8,0 (16Н), 8,4 (1Н), 8,8 (1Н) и 9,0 (1Н) млн. д.
Пример 15(S)-N-(1-N-(3-морфолин-1-ил-пропан-1-ил)-карбамоил-1-оксо-3-фенил-пропан-2-ил)-2-фенил-бензамид ![]() а) N-(2-(S)-1-N-(3-морфолин-1-ил-(пропан-1-ил)-карбамоил-1-гидрокси-3-фенил-пропан-2-ил)-2-фенил-бензамид 2 г (10 ммоль) бифенил-2-карбоновой кислоты подвергают взаимодействию аналогично стадии в) примера 2 с промежуточным соединением, полученным на стадии б) примера 13, при этом получают 1,8 г продукта. б) (S)-N-(1-N-(3-морфолин-1-ил-пропан-1-ил)-карбамоил-1-оксо-3-фенил-пропан-2-ил)-2-фенил-бензамид 1,0 г (2 ммоль) промежуточного соединения стадии а) окисляют аналогично стадии е) примера 1. Выход продукта составляет 0,45 г (45%). 1H-ЯМР (D6-ДМСО): = 1,7 (2Н), 2,2 (6Н), 2,8 (1Н), 3,2 (3Н), 3,6 (4Н), 5,2 (1Н), 7,0-7,8 (14Н) и 8,9 (2Н) млн.д.
Пример 16(S)-2-метил-N-(1-N(3-морфолин-1-ил-пропан-1-ил)-карбамоил-1-оксо-3-фенил-пропан-2-ил)-5-(нафт-2-ил-сульфонамидо)-бензами ![]() а) Сложный этиловый эфир 5-амино-2-метилбензойной кислоты 26,5 г (127 ммоль) сложного этилового эфира 2-метил-5-нитробензойной кислоты гидрируют в этаноле после добавки 1 г 10%-го палладия на угле. После фильтрации фильтрат концентрируют под вакуумом. Выход составляет 0,1 г (89%). б) Сложный этиловый эфир 2-метил-5-(нафт-2-илсульфонамидо)-бензойной кислоты 12,6 г (70,4 ммоль) промежуточного соединения стадии а) подвергают взаимодействию аналогично стадии а) примера 7 с хлорангидридом нафталин-2-сульфокислоты при 0oС. При этом получают 20,1 г продукта. в) 2-метил-5-(нафт-2-илсульфонамидо)-бензойная кислота 20 г (54 ммоль) промежуточного соединения стадии б) подвергают гидролизу аналогично стадии в) примера 8, при этом получают 15,8 г продукта. г) 2-метил-N-(2-(S)-1-N-(3-морфолин-1-ил-пропан-1-ил)-карбамоил-1-гидрокси-3-фенил-пропан-2-ил)-5-(нафт-2-илсульфонамидо)-бензамид 3,4 г (10 ммоль) промежуточного соединения стадии в) подвергают взаимодействию аналогично стадии в) примера 2 с соединением, полученным на стадии б) примера 13. Выход продукта составляет 3,8 г. д) (S)-2-метил-N-(1-N(3-морфолин-1-ил-пропан-1-ил)-карбамоил-1-оксо-3-фенил-пропан-2-ил)-5-(нафт-2-илсульфонамидо)-бензамид 0,92 г (1,5 ммоль) промежуточного соединения окисляют аналогично стадии е) примера 1. Выход продукта составляет 0,3 г (32%). 1H-ЯМР (D6-ДМСО: = 1,6 (2Н), 2,0 (3Н), 2,3 (3Н), 2,8 (1Н), 3,2 (2Н), 3,2-3,5 (3Н), 3,6 (4Н), 5,2 (1Н), 6,9-8,1 (14Н), 8,3 (1Н), 8,7 (1Н), 8,9 (1Н) и 10,4 (1Н) млн.д.
Пример 17(S)-N-(1-карбамоил-1-оксо-3-фенил-пропан-2-ил)-2-метил-5-(нафт-2-илсульфонамидо)-бензамид ![]() а) N-(2-(S)-1-карбамоил-1-гидрокси-3-фенил-пропан-2-ил)-2-метил-5-(нафт-2-илсульфон-амидо)-бензамид 2,7 г (8 ммоль) промежуточного соединения стадии в) примера 16 подвергают взаимодействию аналогично стадии в) примера 2 с соединением стадии б) примера 2. Выход продукта составляет 1,5 г (46%). б) (S)-N-(1-карбамоил-1-оксо-3-фенил-пропан-2-ил)-2-метил-5-(нафт-2-ил-сульфонамидо)-бензамид 1,0 г (2 ммоль) промежуточного соединения стадии а) окисляют аналогично стадии е) примера 1. Выход составляет 0,65 г (65%). 1H-ЯМР (D6-ДМСО: = 2,0 (3Н), 2,8 (1Н), 3,2 (1Н), 5,2 (1Н), 6,8-8,0 (15Н), 8,2 (2Н), 8,6 (1Н) и 10,2 (1Н) млн.д.
Пример 18(S)-N-(1-карбамоил-1-оксо-3-фенил-пропан-2-ил)-4(хиноксалин-2-ил-амидо)-метил-бензамид ![]() а) N-(2-(S)-1-карбамоил-1-гидрокси-3-фенил-пропан-2-ил)-4-(хиноксалин-2-ил-амидо)-метил-бензамид 1,2 г (2,7 ммоль) промежуточного соединения со стадии г) примера 12 подвергают взаимодействию аналогично стадии а) примера 7 с хлорангидридом хиноксалин-2-карбоновой кислоты, при этом получают 0,8 г (62%) продукта. б) (S)-N-(1-карбамоил-1-оксо-3-фенил-пропан-2-ил)-4-(хиноксалин-2-ил-амидо)-метил-бензамид 0,78 г (1,6 ммоль) промежуточного соединения со стадии а) окисляют аналогично стадии е) примера 1. Получают 0,42 г (55%). МС: m/e = 481 (М+). Пример 19 (S)-N-(1-карбамоил-1-оксо-3-фенил-пропан-2-ил)-4-(хинолин-4-ил-амидо)-метил-бензамид ![]() а) N-(2-(S)-1-карбамоил-1-гидрокси-3-фенил-пропан-2-ил)4-(хинолин-4-ил-амидо)-метил-бензамид 0,8 г (1,8 ммоль) промежуточного соединения со стадии г) примера 12 подвергают реакции аналогично стадии в) примера 2 с хинолин-4-карбоновой кислотой, при этом получают 0,4 г (46%) продукта. б) (S)-N-(1-карбамоил-1-оксо-3-фенил-пропан-2-ил)-4-(хинолин-4-ил-амидо)-метил-бензамид 0,39 г (0,8 ммоль) промежуточного соединения со стадии а) окисляют аналогично стадии е) примера 1. Выход продукта составляет 0,27 г (70%). 1H-ЯМР (D6-ДМСО): = 2,9 (1Н), 3,1 (1Н), 4,4 (2Н), 5,2 (1Н), 7,0-8,0 (15Н), 8,8 (1Н), 8,9 (1Н) и 9,3 (2Н) млн.д.
Пример 20(S)-N-(1-карбамоил-1-оксо-3-фенил-пропан-2-ил)-4-(хиноксалин-6-ил-амидо)-метил-бензамид ![]() а) N-(2-(S)-1-карбамоил-1-гидрокси-3-фенил-пропан-2-ил)-4-(хиноксалин-6-ил-амидо)-метил-бензамид 0,8 г (1,8 ммоль) промежуточного соединения со стадии г) примера 12 подвергают взаимодействию аналогично стадии в) примера 2 с хиноксалин-6-карбоновой кислотой, при этом получают 0,36 г (42%) продукта. б) (S)-N-(1-карбамоил-1-оксо-3-фенил-пропан-2-ил)-4-(хиноксалин-6-ил-амидо)-метил-бензамид 0,35 г (0,72 ммоль) промежуточного соединения со стадии а) окисляют аналогично стадии е) примера 1. Выход продукта составляет 0,23 г (66%). 1H-ЯМР (D6-ДМСО): = 2,8 (1Н), 3,2 (1Н), 4,6 (2Н), 5,2 (1Н), 7,0-8,2 (10Н), 8,7 (1Н), 8,8 (1Н), 9,0 (2Н) и 9,4 (2Н) млн.д.
Пример 21(S)-N-(1-карбамоил-1-оксо-3-фенил-пропан-2-ил)-4-(хинолин-6-ил-амидо)-метил-бензамид ![]() а) N-(2-(S)-1-карбамоил-1-гидрокси-3-фенил-пропан-2-ил)-4-(хинолин-6-ил-амидо)-метил-бензамид 0,8 г (1,8 ммоль) промежуточного соединения со стадии д) примера 12 подвергают взаимодействию аналогично стадии в) примера 2 с хинолин-6-карбоновой кислотой, при этом получают 0,41 г (47%) продукта. б) (S)-N-(1-карбамоил-1-оксо-3-фенил-пропан-2-ил)-4-(хинолин-6-ил-амидо)-метил-бензамид 0,4 г (0,83 ммоль) промежуточного соединения со стадии а) окисляют аналогично стадии е) примера 1. Выход продукта составляет 0,34 г (85%). 1H-ЯМР (D6-ДМСО): = 2,9 (1Н), 3,1 (1Н), 4,4 (2Н), 5,2 (1Н) и 7,0-9,2 (19Н) млн.д.
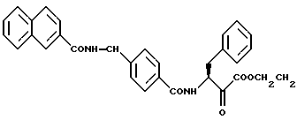
Пример 22(S)-N-(1-карбамоил-1-оксо-3-фенил-пропан-2-ил)-4-(хинолин-3-ил-амидо)-метил-бензамид ![]() а) N-(2-(S)-1-карбамоил-1-гидрокси-3-фенил-пропан-2-ил)-4-(хиноксалин-3-ил-амидо)-метил-бензамид 1,0 г (2,3 ммоль) промежуточного соединения со стадии г) примера 12 подвергают взаимодействию аналогично стадии в) примера 2 с хиноксалин-3-карбоновой кислотой, при этом получают 0,89 г (80%) продукта. б) (S)-N-(1-карбамоил-1-оксо-3-фенил-пропан-2-ил)-4-(хиноксалин-6-ил-амидо)-метил-бензамид 0,84 г (1,7 ммоль) промежуточного соединения со стадии а) окисляют аналогично стадии е) примера 1. Выход: 0,75 г (90%). МС: m/e = 480 (М+). Пример 23 N-1-этоксикарбонил-1-оксо-3-фенил-пропан-2-ил)-4-(нафт-2-ил-амидо)-бензамид ![]() а) 3-(нафт-2-ил-амидо)-бензойная кислота 14,8 г (0,11 моль) 3-аминобензойной кислоты растворяют в 300 мл пиридина и порциями смешивают с 20,6 г (0,11 моль) 2-нафтоилхлорида. Смесь перемешивают в течение 16 часов при комнатной температуре. После этого смесь концентрируют под вакуумом и остаток перекристаллизовывают из этанола. Выход продукта составляет 30,3 г (97%). б) N-(1-этоксикарбонил-3-фенил-пропан-2-ил)-4-(нафт-2-ил-амидо)-бензамид 18,0 г (61,8 ммоль) промежуточного соединения со стадии а) и 14,2 г (61,8 ммоль) сложного этилового эфира D,L-аминопропионовой кислоты подвергают взаимодействию аналогично стадии в) примера 2. Получают 19,8 г (71%) продукта. в) N-(1-карбокси-3-фенил-пропан-2-ил)-4-(нафт-2-ил-амидо)-бензамид 19,5 г (41,8 ммоль) промежуточного соединения со стадии б) гидролизуют аналогично стадии в) примера 8. Выход: 15,2 г (83%). г) N-(1-этоксикарбонил-1-оксо-3-фенил-пропан-2-ил)-4-(нафт-2-ил-амидо)-бензамид К раствору 14,0 г (32 ммоль) промежуточного соединения со стадии в), 0,4 г (3,2 ммоль) N,N-4-диметиламинопиридина и 10,3 мл (127,7 ммоль) пиридина в 100 мл безводного тетрагидрофурана по каплям добавляют 7,1 мл (63,9 ммоль) хлорангидрида сложного моноэфира щавелевой кислоты, так что температура повышается прибл. до 40oС. После этого смесь кипятят с обратным холодильником в течение 3 часов, потом ее перемешивают еще 16 часов при комнатной температуре. Затем осторожно добавляют 100 мл воды и снова перемешивают 30 минут. Реакционную смесь смешивают с большим количеством воды и экстрагируют этилацетатом. Органическую фазу сушат и концентрируют под вакуумом, при этом получают 17 г масла. Это масло растворяют в 100 мл абсолютного этанола и добавляют 0,24 г трет.-бутанолата калия. Снова смесь перемешивают в течение 18 часов при комнатной температуре. Реакционную смесь концентрируют под вакуумом и остаток подвергают хроматографической очистке (растворитель: смесь метиленхлорида и этилацетата в соотношении 10/1). Выход продукта составляет 7,5 г (54%). 1H-ЯМР (СDСl3): = 1,3 (3Н), 3,2 (1Н), 3,3 (1Н), 4,2 (2Н), 5,6 (1Н) и 6,9-8,4 (18Н) млн.д.
Пример 24(S)-N-(1-этоксикарбонил-1-оксо-3-фенил-пропан-2-ил)-2-фенил-бензамид ![]() а) N-(3-(S)-1-этоксикарбонил-1-гидрокси-3-фенил-пропан-2-ил)-2-фенил-бензамид Бифенил-2-карбоновую кислоту подвергают взаимодействию аналогично стадии в) примера 2 со сложным метиловым эфиром 3-(S)-3-амино-2-гидрокси-4-фенилмасляной кислоты. б) (S)-N-(1-этоксикарбонил-1-оксо-3-фенил-пропан-2-ил)-2-фенил-бензамид Промежуточное соединение со стадии а) окисляют аналогично стадии е) примера 1. МС: m/e = 387 (М+). Пример 25 (S)-N-(N-карбоксиметил-1-карбамоил-1-оксо-3-фенил-пропан-2-ил)-3-(2-нафтилсульфонамидо)-бензамид ![]() а) O-трет.-бутил-N-(3-(S)-1-этоксикарбонил-2-гидрокси-4-фенилпропан-2-ил)-уретан 2,3 г (7,7 ммоль) O-трет.-бутил-N-(3-(S)-1-карбокси-2-гидрокси-4-фенилпропан-2-ил)-уретана и 1,1 г (7,7 ммоль) гидрохлорида сложного глицинэтилового эфира подвергают взаимодействию аналогично стадии в) примера 2. При этом получают 1,7 г (57%) продукта. б) Амид 3-(S)-3-амино-N-(этоксикарбонилметил)-2-гидрокси-4-фенилмасляной кислоты х трифторуксусная кислота 1,4 г (3,7 ммоль) промежуточного соединения со стадии 25а растворяют в 25 мл метиленхлорида и после добавления 10 мл трифторуксусной кислоты перемешивают в течение 2 часов при комнатной температуре. После этого смесь концентрируют под вакуумом, получают 1,5 г (100%) продукта. в) (S)-N-(1-(N-этоксикарбонилметил-карбамоил)-1-гидрокси-3-фенил-пропан-2-ил)-3-(2-нафтил-сульфонамидо)-бензамид Промежуточное соединение со стадии б) примера 7 подвергают взаимодействию аналогично стадии в) примера 2 с продуктом стадии б). Выход составляет 1,3 г. г) (S)-N-(1-(N-карбоксиметил-карбамоил)-1-гидрокси-3-фенил-пропан-2-ил)-3-(2-нафтилсульфонамидо)-бензамид 1,2 г (2 ммоль) промежуточного соединения со стадии в) подвергают гидролизу аналогично стадии в) примера 8 гидроокисью лития. Выход продукта составляет 0,77 г (67%). д) (S)-N-(1-(N-карбоксиметил-карбамоил)-1-оксо-3-фенил-пропан-2-ил)-3-(2-нафтилсульфонамидо)-бензамид 0,7 г (1,2 ммоль) промежуточного соединения со стадии г) окисляют аналогично стадии е) примера 1, при этом получают 0,16 г (23%) продукта. МС: m/e = 559 (М+). Пример 26 N-(1-карбамоил-1-оксо-3-фенил-пропан-2-ил)-3-(2-нафтилсульфонамидо)-бензамид ![]() а) Промежуточное соединение со стадии б) примера 7 подвергают взаимодействию аналогично стадии в) примера 2 со сложным этиловым эфиром 3-амино-2-гидрокси-4-фенилмасляной кислоты. б) N-(N-карбоксиметил-1-карбамоил-1-оксо-3-фенил-пропан-2-ил)-3-(2-нафтилсульфонамидо)-бензамид Промежуточное соединение со стадии а) окисляют аналогично стадии е) примера 1. При этом получают целевой продукт. 1Н-ЯМР (D6-ДМСО): = 2,5 (2Н), 5,2 (1Н), 7,1-8,1 (17Н), 8,4 (2Н), 8,8 (1Н) и 10,5 (1Н) млн.д.
Аналогично получают следующие соединения.
Пример 272-(Е-2-пирид-2-ил-этен-1-ил)-N(1-карбамоил-1-оксо-3-фенил-пропан-2-ил)бензамид МС: m/e = 399(M+). Пример 28 2-(Е-2-никотиноил-этен-1-ил)-N(1-карбамоил-1-оксо-3-фенил-пропан-2-ил)бензамид МС: m/e = 428(M+). Пример 29 3-нафт-2-илсульфонамидо-N(1-N(3-морфолин-1-илпропан-1-ил)карбамоил-1-оксо-3-фенил-пропан-2-ил)-бензамид 1H-ЯMP(D6-ДMCO): = 1,5 (2H), 2,1-2,4 (4Н), 2,9 (1Н), 3,1-3,5 (5Н), 3,6(4Н), 5,2 (1Н), 7,1-8,1 (14Н), 8,3 (1Н), 8,9 (2Н) и 10,8 (шир.) млн.д.
Пример 303-(2-бензотиенил)амидо-N(1-карбамоил-1-оксо-3-фенил-пропан-2-ил)-бензамид МС: m/e = 472(M+). Пример 31 2-(Е-2-изоникотиноил-этен-1-ил)-N(1-карбамоил-1-оксо-3-фенил-пропан-2ил)бензамид 1H-ЯМР (D6-ДMCO): = 3,0-3,2 (2H), 5,3 (1Н), 7,2 (1Н), 7,8-8,1 (14Н), 8,9 (2Н) и 9,0 (1Н) млн. д.
Пример 324-((5-трифторметил-хинолин-4-ил)меркаптометил)-N(1-карбамоил-1-оксо-3-фенил-пропан-2-ил)-бензамид MC: m/e = 538(M+). Пример 33 4-(хинолин-2-ил-меркаптометил)-N(1-карбамоил-1-оксо-3-фенил-пропан-2-ил)бензамид 1H-ЯMP(D6-ДMCO): = 2,9-3,2 (4Н), 4,0 (1Н), 4,7 (2Н), 5,3 (1Н), 7,1-8,2 (14H) и 8,9 (1Н) млн. д.
Пример 344-(хинолин-2-илметил)окси-N(1-карбамоил-1-оксо-3-фенил-пропан-2-ил)-бензамид 1H-ЯМР (D6-ДМСО): = 2,8-3,2 (4Н), 4,0 (1Н), 4,5 (2Н), 5,3 (1Н), 7,2-8,2 (14Н) и 8,8 (1Н) млн. д.
Пример 353-хинолин-3-ил-амидо-6-метил-N(1-карбамоил-1-оксо-3-фенил-пропан-2-ил)бензамид 1H-ЯМР (D6-ДМСО): = 2,1 (3Н), 2,8 (2Н), 4,5 (1Н), 5,4 (1Н), 7,1-7,3 (5Н), 7,7-8,2 (6Н), 8,9 (1Н), 9,1 (1Н), 9,4 (1Н) и 10,8 (1Н) млн. д.
Пример 363-хинолин-5-ил-амидо-N(1-карбамоил-1-оксо-3-фенил-пропан-2-ил)-бензамид 1H-ЯMP(D6-ДМSO): = 2,5 (3Н), 7,5-7,7 (5Н), 7,9-8,8 (13Н), 9,0 (1H) и 10,9 (1Н) млн.д.
Пример 372-(1,2,3,4-тетрагидроизохинолин-2-ил)метил-N(1-карбамоил-1-оксо-3-фенилпропан-2-ил)-бензамид 1H-ЯMP (D6-ДМSO): = 2,5-3,1 (4H), 3,5-4,0 (4Н), 5,1 (1Н), 6,9-7,7 (15Н), 7,8 (1Н), 8,0 (1Н) и 10,1 (1Н) млн.д.
Пример 383-пирид-2ил-N(1-карбамоил-1-оксо-3-фенил-пропан-2ил)-бензами MC: m/e=374(M+). Пример 39 3-нафт-2илсульфонамид-(1карбамоил-1оксо-3-фенил-пропан-2-ил)-бензамид МС: m/e=468 (М+). Пример 40 3-(изохинолин-5-ил)сульфонамид-(1-карбамоил-1-оксо-3-фенил-пропан-2-ил)бензамид 1H-ЯМР(D6-DMSO): ‘ = 2,9-3,1 (2Н), 5,5 (1Н), 7,0-7,5 (5Н), 7,8-8,1 (10Н) и 8,8-9,0 (4Н) млн.дПример 41 3-(2-метил-1,2,3,4-тетрагидроизохинолин-5-ил)сульфонамид-N(1-карбамоил-1-оксо-3-фенил-пропан-2-ил)-бензамид МС: m/e=521 (М+). Формула изобретения
![]() где R1 означает фенил, нафтил, хинолил, пиридил, хиназолил, хиноксалил, бензотиенил, изохинолин, тетрагидроизохинолин или тетрагидрохинолин, причем ароматические и гетероароматические кольца могут быть еще замещены одним, двумя или тремя радикалами R5, имеющими нижеприведенное значение; R2 означает водород, С1-С6-алкил; R3 означает С1-С6-алкил, который может нести фениловое кольцо; Х означает связь, -(СH2)m-, -(СН2)m-O-(CH2)0-, -(CH2)n-S-(CH2)m-, -CH= CH-, -CO-CH= CH-, -(CH2)m-NHCO-(CH2)0-, -(CH2)m-CONH-(CH2)0-, -(CH2)m-NHSO2-(CH2)0-, -(CH2)m-SO2NH-(CH2)0-; R4 означает группы OR6, NR7R8; R5 означает водород, С1-С4-алкил, -О-С1-С4-алкил, Cl, Br, J; R6 означает водород или С1-С6-алкил; R7 означает водород; R8 означает водород, или C1-C6-алкил, который может нести один или два радикала R9, или может быть замещен одной из групп ![]() ![]() или ![]() R9 означает водород, СООН; R10 означает водород или С1-С6-алкил, который может быть замещен фенильным кольцом или который может быть замещен одним или двумя радикалами R9; n – число 0, 1 или 2; m – число 0, 1, 2, 3 или 4; и o – число 0, 1, 2, 3 или 4, и их таутомерные и изомерные формы или их физиологически приемлемые соли. 2. Кетобензамиды формулы I по п. 1, в которой R2 означает водород, С1-С4-алкил; R3 означает -СН2-фенил, н-бутанил или н-пентанил; R4 означает -NR7R8; и R1, Х и n имеют приведенные в п. 1 значения. 3. Кетобензамиды формулы I по п. 1, представляющие собой ингибиторы протеаз цистеина. РИСУНКИ
MM4A Досрочное прекращение действия патента Российской Федерации на изобретение из-за неуплаты в установленный срок пошлины за поддержание патента в силе
Дата прекращения действия патента: 29.11.2002
Извещение опубликовано: 20.11.2004 БИ: 32/2004
|
||||||||||||||||||||||||||

-калпаином, который активируется микромолярными концентрациями ионов кальция, и калпаином II или m-калпаином, который активируется миллимолярными концентрациями ионов кальция (см. публикацию П. Джонсон, Int. J. Biochem. 1990, 22(8), стр. 811-822). В настоящее время имеются еще и другие изоферменты калпаина (см. К. Зузуки и др., Biol. Chem. Hoppe-Seyler, 1995, 376 (9), стр.523-529).
Имеется предположение, что калпаины играют важную роль в различных физиологических процессах. К ним относятся расщепление регуляторных протеинов, таких, как например, протеин-киназы С, цитоскелетные протеины, такие, как MAP 2 и спектрин, мышечные протеины, расщепление протеинов при ревматоидном артрите, протеины при активации тромбоцитов, нейропептидный метаболизм, протеины при митозе и другие, которые приведены в публикациях М.Й. Баррет и др. , Life Sci. 1991, 48, стр. 1659-69 и К.К. Ванг и др., Trends in Pharmacol. Sci., 1994, 15, стр.412-9.
При различных патофизиологических процессах наблюдались повышенные уровни калпаина, например, в таких, как сердечная ишемия (например, инфаркт миокарда), почечная ишемия или ишемия центральной нервной системы (например инсульт), воспаления, мышечная дистрофия, катаракты глаз, повреждение центральной нервной системы (например, травма) или болезнь Альцгеймера (см. вышеуказанный источник К.К. Ванг и др.). Поэтому предполагается связь этих болезней с повышенным уровнем кальция в клетках. Вследствие этого зависящие от кальция процессы чрезмерно активируются и больше не поддаются физиологической регуляции. В соответствие с этим чрезмерная активность калпаинов может также вызвать патофизиологические процессы. Поэтому имеются утверждения, что ингибиторы калпаиновых ферментов могут быть полезными для лечения таких болезней. Различные исследования это подтверждают. Так, например, такие авторы, как Сеунг-Чиул Хонг и др., в Stroke 1994, 25(3), стр. 663-9 и Р. Т. Бартус и др., в Neurological Res. 1995, 17, стр. 249-58 показали нейрозащитное действие ингибиторов калпаинов при острых нейродегенеративных нарушениях или ишемии, имеющихся, например, после мозгового инсульта. После экспериментальных мозговых повреждений ингибиторы калпаина улучшали возникшие дефициты функции памяти и нервно-двигательные нарушения (см. публикацию К.Э. Саатман и др., Proc.Natl.Acad.Sci. США, 1996, 93, стр. 3428-3433). Авторы К. Л. Эдельштейн и др., в публикации Proc.Natl.Acad.Sci. США, 1995, 92, стр. 7662-6, обнаружили защитное действие ингибиторов калпаина на поврежденные гипоксией почки. Авторы Иошида, Кен Иши и др., в публикации Jap.Circ.J. 1995, 59(1), стр. 40-8 смогли показать благоприятные эффекты ингибиторов калпаина после сердечных повреждений, которые были вызваны ишемией или реперфузией. В связи с тем, что ингибиторы калпаина тормозят выделение
-АР4-протеина, было предложено их потенциальное применение при терапии болезни Альцгеймера (см. И. Хигаки и др., Neuron, 1995, 14, стр.651-59). Выделение интерлейкина-1
также тормозится ингибиторами калпаина (см. Н. Ватанабе и др. , Cytokine 1994, 6(6), стр.597-601). Далее было найдено, что ингибиторы калпаина оказывают цитотоксическое действие на опухолевые клетки (см. Э. Шиба и др. , 20th Meeting Int. Ass. Breast Cancer Res., Sendai Jp, 1994, 25-28.Sept., Int. J. Oncol. 5(Suppl.), 1994, стр.381).
Другие возможные области применения ингибиторов калпаина приведены автором К.К. Ванг в публикации Trends in Pharmacol.Sci., 1994, 15, стр.412-8.
Ингибиторы калпаина уже были описаны в литературе. Однако в подавляющем большинстве случаев речь идет или о необратимых, или о пептидных ингибиторах. Необратимые ингибиторы являются, как правило, алкилирующими субстанциями и имеют тот недостаток, что они реагируют в организме неселективно или они нестабильны. Так, например, эти ингибиторы часто проявляют нежелательные побочные эффекты, такие как токсичность, и поэтому они ограничены в их применении или вообще неприменимы. К необратимым ингибиторам причисляются, например, эпоксиды Е 64 (см. Э.Б. МакГован и др., Biochem. Biophys. Res. Commun. 1989, 158, стр.432-5), 




= 1,7 (2Н), 2,4 (6Н), 3,2 (1Н), 3,5 (3Н), 3,7 (4Н), 5,8 (1Н), 6,5 (1Н), 7,0-8,0 (19Н) и 8,8 (1Н) млн.д.
Пример 2



























