Патент на изобретение №2190106
|
||||||||||||||||||||||||||
(54) РОТОРНЫЙ ДВИГАТЕЛЬ (ВАРИАНТЫ)
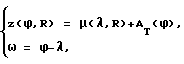
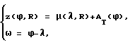
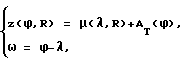
(57) Реферат: Изобретение относится к двигателестроению, а именно к роторным двигателям внутреннего сгорания со сложным движением ротора. Техническим результатом является повышение эффективности работы двигателя при упрощении его конструкции и уменьшении габаритов. Роторный двигатель содержит статор, состоящий из среднего корпуса с внутренней цилиндрической расточкой, вал, установленный в подшипниках, и ротор. Ротор выполнен в виде диска со ступицей, установленной на валу с возможностью перемещения вдоль его оси и передачи на него крутящего момента. Торцевые поверхности диска ротора представляют собой цилиндроид или коноид. Работа двигателя осуществляется путем одновременного вращательного и возвратно-поступательного движения ротора с возможностью изменения замкнутых объемов между торцевыми поверхностями статора и ротора. 8 ил. Изобретение относится к двигателям внутреннего сгорания со сложным движением ротора и может быть использовано для привода стационарных агрегатов и транспортных средств. Известен двигатель, содержащий статор, состоящий из среднего корпуса с всасывающими и выпускными окнами и двух боковых корпусов, ротор, располагающийся в выточке среднего корпуса на эксцентриковом валу и совершающий в ней планетарное движение [1]. В среднем корпусе установлены свечи зажигания. Форма выточки в среднем корпусе представляет собой цилиндрическую поверхность с направляющей кривой в виде или трохоиды, или внешней огибающей семейства трохоид при их планетарном движении, аналогичном движению ротора. Рабочая поверхность ротора также представляет собой цилиндрическую поверхность. На поверхностях профиля ротора имеются выемки для формирования топливно-воздушного потока и образования камеры сгорания. Эксцентриковый вал установлен в подшипниках. расположенных в боковых корпусах. Недостатком данной конструкции является то, что она имеет эксцентриковый вал, который подвержен действию изгибающих нагрузок, передача крутящего момента на этот вал осуществляется через шестеренчатую передачу, габариты роторно-поршневого двигателя зависят от передаточного отношения шестеренчатой передачи. Задача изобретения заключается в создании двигателя внутреннего сгорания с более высокой эффективностью работы при упрощении конструкции и уменьшении габаритов. Сущность изобретения заключается в том, что роторный двигатель содержит статор, состоящий из среднего корпуса с внутренней цилиндрической расточкой, всасывающими и выпускными окнами и установленными в нем свечами зажигания, двух боковых корпусов с расточками, расположенными соосно c его внутренней цилиндрической поверхностью, вал, установленный в подшипниках, и ротор. Отличие предлагаемого устройства от известного состоит в том, что ротор выполнен в виде диска, жестко установленного на ступице, которая размещена на валу с возможностью перемещения вдоль его оси и передачи на него крутящего момента. Торцевые поверхности диска ротора представляют собой цилиндроид с двумя направляющими в виде пространственных замкнутых циклических гладких линий и прямолинейной образующей линией, проходящей под постоянным углом к плоскости, перпендикулярной оси вращения ротора. Форма обращенных к торцевой поверхности диска поверхностей боковых корпусов определяется огибающей теоретических положений торцевой поверхности диска ротора в подвижной и неподвижной цилиндрических системах координат, у которых оси аппликат z совпадают с осью вращения ротора, из условия ![]() где и R – полярные координаты неподвижной цилиндрической системы координат статора; и R – полярные координаты подвижной цилиндрической системы координат ротора, начало отсчета углов и от образующей линии вершины профиля бокового корпуса и диска ротора соответственно; – угол поворота подвижной системы координат вокруг оси аппликат;AT( ) – функция, определяющая теоретическую траекторию движения ротора, то есть зависимость высоты подъема ротора от угла ; ( ,R) – функция, определяющая теоретическое положение точек поверхности диска ротора на угле и на расстоянии R от оси ротора;z( ,R) – функция, определяющая теоретическое значение аппликаты точек поверхности ротора на угле и на расстоянии R от оси ротора при повороте ротора на угол и сдвиге ротора на величину AT( ) вдоль оси аппликат.
Во впадинах торцевых рабочих поверхностей диска ротора выполнены перепускные каналы, один край которых располагается на угле = 180o/n-(10o-15o)+360o (k-1)/n, где n – число ветвей направляющей кривой; k – порядковый номер перепускного канала, а другой край – на линии перегиба профиля между впадиной и вершиной.
Во впадинах рабочих торцевых поверхностей боковых корпусов выполнены перепускные каналы, один край которых расположен на угле = 360o/(2 n)+(10o-15o)+360o (k-1)/n, а другой край расположен по направлению движения ротора на линии перегиба профиля между впадиной и вершиной профиля рабочей поверхности бокового корпуса.
Во втором варианте торцевые поверхности диска ротора представляют собой коноид с направляющими в виде пространственной замкнутой циклической гладкой линии и прямой линии, совпадающей с осью вращения ротора, причем образующей линией является прямая линия, проходящая через обе направляющие под постоянным углом к оси вращения ротора.
Технический результат, который получается от использования изобретения, заключается в повышении удельных мощностных показателей за счет увеличения рабочих циклов до n (числа периодов профиля ротора и статора) за один оборот выходного вала, в экономии материалов из-за уменьшения габаритов.
Действие роторного двигателя основано на возможности осуществления одновременного кругового и возвратно-поступательного движения подвижного элемента (ротора), выполненного в виде диска, торцевые поверхности которого представляют собой две криволинейные поверхности, между двумя неподвижными рабочими поверхностями боковых корпусов, являющимися огибающими положений криволинейных поверхностей диска ротора при его движении по заданной траектории.
На фиг. 1 показано изображение роторного двигателя (вид сбоку со снятой крышкой); на фиг.2 показан продольный разрез роторного двигателя по сечению А-А; на фиг. 3 показана раскладка основных деталей роторного двигателя Федоренко; на фиг.4-8 – развертки направляющих линий рабочих поверхностей статора и ротора роторного двигателя в различных фазах работы.
Устройство содержит ротор, состоящий из диска 1 ротора, жестко закрепленного на ступице 2 ротора, статор, состоящий из среднего корпуса 3 и боковых корпусов 4 и 5, рабочие торцевые поверхности которых располагаются навстречу друг другу. При этом профили рабочих торцевых поверхностей боковых корпусов могут быть разными (общий случай) или одинаковыми при симметричной форме траектории движения ротора и зеркальном расположении рабочих профилей ротора, конгруэнтных между собой.
Боковые корпуса 4 и 5 с целью их точной и жесткой установки связаны со средним корпусом 3 при помощи штифтов и других крепежных элементов и закрыты крышками 6 и 7. В боковых корпусах 4 и 5 располагаются каналы системы охлаждения роторного двигателя. Ступица ротора установлена на валу 8 (шлицевом, квадратном и т.д.) между боковыми корпусами 4 и 5 с возможностью перемещения вдоль оси вала 8 и передачи на вал 8 крутящего момента. Вал 8 установлен в подшипниках 9 и 10, которые в свою очередь установлены в цилиндрических проточках боковых корпусов 4 и 5 соосно с внутренней цилиндрической поверхностью среднего корпуса 3. Диск 1 жестко закреплен на ступице 2 при помощи штифтов 11. Во впадинах торцевых поверхностей диска 1 ротора выполняются перепускные каналы 12 и 13 (фиг.4-8), образующие с профилем статора камеры сгорания и одновременно являющимися каналами для перепуска сжимаемой топливно-воздушной смеси из полости сжатия в камеру сгорания. От формы перепускных каналов 12 и 13 и их расположения на профиле ротора зависит степень сжатия топливно-воздушной смеси в камере сгорания. Во впадинах рабочих поверхностей боковых корпусов 4 и 5 выполнены перепускные каналы 14 и 15 (фиг. 4-8). Каналы 14 и 15 предназначены для перепуска топливно-воздушной смеси или продуктов ее сгорания из вспомогательных полостей в основные в процессе сжатия с целью повышения эффективности использования топлива и недопущения защемления объемов газа во вспомогательных полостях. На валу 8 с одной стороны крепится маховик, а с другой – шкив для привода генератора и водяного насоса.
Корпус 3 имеет впускные окна 16 и 17, через которые в рабочую полость роторного двигателя попадает топливно-воздушная смесь, и выпускные окна 18 и 19, через которые отработанные газы удаляются из двигателя. Окна расположены в области вершин профиля боковых корпусов. Перекрытие окон 16, 17, 18 и 19 производится самим ротором при его движении. К корпусу 3 статора крепится впускной коллектор 20 (фиг.1) таким образом, что проходные сечения коллекторов совпадают с проходными сечениями впускных окон. Аналогично, к корпусу 3 статора крепится выпускной коллектор 21. Также в корпусе 3 над камерами сгорания установлены свечи 22 и 23 зажигания.
Уплотнительные элементы 24 между цилиндрической поверхностью диска 1 и внутренней цилиндрической поверхностью корпуса 3 выполнены в форме полосы, подобной направляющей линии рабочей поверхности ротора. Уплотнительные элементы 25 между наружной цилиндрической поверхностью ступицы 2 и цилиндрической расточкой боковых корпусов 4 и 5 выполнены в форме полосы, подобной внутренней направляющей рабочей поверхности бокового корпуса. На выступах рабочей поверхности боковых кулачков 4 и 5 расположены уплотнения 26 (фиг. 4-8). Граница предельной конфигурации впускного (выпускного) окна определяется расположением соответствующих участков уплотнительного элемента 24 в момент крайнего положения осевого сдвига диска ротора (момент закрытия окон), в момент соприкосновени точек перегиба профиля диска ротора и профиля бокового корпуса при движении ротора из “нижнего” положения в “верхнее” (момент максимального раскрытия впускного окна) и в момент соприкосновения точек перегиба профиля диска ротора и профиля бокового корпуса при движении ротора из “верхнего” положения в “нижнее” (момент максимального раскрытия выпускного окна).
Устройство работает следующим образом.
На фиг.4 показано крайнее верхнее положение ротора. При этом в полостях 35 и 37 произошел процесс сгорания топливно-воздушной смеси и расширения продуктов сгорания, в полостях 36 и 38 закончился процесс впуска топливно-воздушной смеси через окна 16 в корпусе 3, в полостях 27, 30, 31, 34 – процесс сжатия топливно-воздушной смеси, а в полостях 28, 29, 32, 33 после выпуска через окна 19 сохраняются остатки продуктов сгорания. Под воздействием расширения продуктов сгорания ротор сдвигается, открывая тем самым окна 18 для вывода отработавших газов (фиг.5) в полостях 35 и 37 и перекрывая окна 16, изолируя тем самым полости 36 и 38 от впускного коллектора.
Одновременно с этим через перепускные каналы 12 на поверхности ротора идет перепуск сжимаемой топливно-воздушной смеси из 30 в полость 31 и из полости 34 в полость 27. После того как перепускные каналы 12 будут изолированы от полостей 30 и 34 (фиг.5) и образуют с полостями 27 и 31 камеры сгорания, на свечи зажигания 22 подается электрический искровой разряд и происходит сгорание топлива в полостях 27 и 31. При дальнейшем движении ротора для предотвращения защемления в замкнутом объеме отработанные газы из полостей 28 и 32 через перепускные каналы 14 выжимаются в полости 27 и 31, где дожигаются.
Топливно-воздушная смесь из полостей 30 и 34 через перепускные каналы 14 выжимается в полости 29 и 33, где смешивается с вновь поступающей топливно-воздушной смесью. Одновременно с расширением продуктов сгорания в полостях 27 и 31 (рабочий ход) (фиг.6) и перемещением ротора в полостях 29 и 33 через окна 17 в корпусе 3 происходит впуск топливно-воздушной смеси, а в полостях 35 и 37 выпуск отработавших газов через окна 18. Во время рабочего хода ротор доходит до крайнего положения (фиг.7). При этом в полостях 27 и 31 произошел процесс сгорания топливно-воздушной смеси и расширения продуктов сгорания, в полостях 29 и 33 впуск топливно-воздушной смеси, в полостях 39, 36, 41, 38 сжатие топливно-воздушной смеси, а в полостях 35, 40, 37, 42 после выпуска через окна 18 сохраняются остатки продуктов сгорания. Под воздействием расширения продуктов сгорания в полостях 27 и 31 ротор сдвигается, открывая окна 19 для вывода отработавших газов из полостей 27 и 31, и окна 16 для впуска топливно-воздушной смеси в полости 40 и 42.
При дальнейшем движении ротора происходит перепуск отработанных газов через перепускные каналы 13 из полости 39 в полость 40 и из полости 37 в полость 42, а также топливно-воздушной смеси из полости 36 в полость 41 и из полости 38 в полость 39 до тех пор, пока перепускные каналы 13 не будут изолированы от полостей 35, 36, 37, 38, ставших вспомогательными. После этого на свечи 23 зажигания подается электрический искровой разряд и происходит сгорание топливно-воздушной смеси в полостях 39 и 41 (рабочий ход). Перемещение ротора “вверх” аналогично описанному перемещению “вниз”(фиг.8). Ротор поднимается до верхнего крайнего положения (фиг.4), после чего вышеописанный процесс повторяется. Ротор, скользя по валу 8 и одновременно поворачиваясь под воздействием расширения топливно-воздушной смеси при ее сгорании, поворачивает вал 8.
ЛИТЕРАТУРА1. Бениович В.С., Апазиди Г.Д., Бойко А.М. Ротопоршневые двигатели. М.: Машиностроение, 1968. Формула изобретения
![]() где и R – полярные координаты неподвижной цилиндрической системы координат статора; и R – полярные координаты подвижной цилиндрической системы координат ротора;начало отсчета углов и от образующей линии вершины профиля бокового корпуса и диска ротора соответственно; – угол поворота подвижной системы координат вокруг оси аппликат;AТ( ) – функция, определяющая теоретическую траекторию движения ротора, то есть зависимость высоты подъема ротора от угла ; ( ,R) – функция, определяющая теоретическое положение точек поверхности диска ротора на угле и на расстоянии R от оси ротора;z( ,R) – функция, определяющая теоретическое значение аппликаты точек поверхности ротора на угле и на расстоянии R от оси ротора при повороте ротора на угол и сдвиге ротора на величину AT( ) вдоль оси аппликат,во впадинах торцевых рабочих поверхностей диска ротора выполнены перепускные каналы, один край которых располагается на угле = 180 /n-(10 -15 )+360![]() (k-1)/n,где n – число ветвей направляющей кривой; k – порядковый номер перепускного канала, а второй край – на линии перегиба профиля между впадиной и вершиной, во впадинах рабочих торцевых поверхностей боковых корпусов выполнены перепускные каналы, один край которых расположен на угле = 360 /2 n+(10![]() 15 )+360![]() (k-1)/n, а другой край расположен по направлению движения ротора на линии перегиба профиля между впадиной и вершиной профиля рабочей поверхности бокового корпуса.
2. Роторный двигатель, содержащий статор, состоящий из среднего корпуса с внутренней цилиндрической расточкой, всасывающими и выпускными окнами и установленными в нем свечами зажигания, двух боковых корпусов с расточками, расположенными соосно его внутренней цилиндрической поверхности, вал, установленный в подшипниках, и ротор, отличающийся тем, что ротор выполнен в виде диска, жестко установленного на ступице, которая установлена на валу с возможностью перемещения вдоль его оси и передачи на него крутящего момента, торцевые поверхности диска ротора представляют собой коноид с направляющими в виде пространственной замкнутой циклической гладкой линии и прямой линии, совпадающей с осью вращения ротора, причем образующей линией является прямая линия, проходящая через обе направляющие под постоянным углом к оси вращения ротора, форма обращенных к торцевой поверхности диска поверхностей боковых корпусов определяется огибающей теоретических положений торцевой поверхности диска ротора в подвижной и неподвижной цилиндрических системах координат, у которых оси аппликат z совпадают с осью вращения ротора, из условия![]() где и R – полярные координаты неподвижной цилиндрической системы координат статора; и R – полярные координаты подвижной цилиндрической системы координат ротора;начало отсчета углов и от образующей линии вершины профиля бокового корпуса и диска ротора соответственно; – угол поворота подвижной системы координат вокруг оси аппликат;AT( ) – функция, определяющая теоретическую траекторию движения ротора, то есть зависимость высоты подъема ротора от угла ; ( ,R) – функция, определяющая теоретическое положение точек поверхности диска ротора на угле и на расстоянии R от оси ротора;z( ,R) – функция, определяющая теоретическое значение аппликаты точек поверхности ротора на угле и на расстоянии R от оси ротора при повороте ротора на угол и сдвиге ротора на величину AT( ) вдоль оси аппликат,во впадинах торцевых рабочих поверхностей диска ротора выполнены перепускные каналы, один край которых располагается на угле = 180 /n-(10 -15 )+360![]() (k-1)/n,где n – число ветвей направляющей кривой; k – порядковый номер перепускного канала, а второй край – на линии перегиба профиля между впадиной и вершиной, во впадинах рабочих торцевых поверхностей боковых корпусов выполнены перепускные каналы, один край которых расположен на угле = 360o/2 n+(10o-15o)+360o (k-1)/n, а другой край расположен по направлению движения ротора на линии перегиба профиля между впадиной и вершиной профиля рабочей поверхности бокового корпуса.
РИСУНКИ
MM4A – Досрочное прекращение действия патента СССР или патента Российской Федерации на изобретение из-за неуплаты в установленный срок пошлины за поддержание патента в силе
Дата прекращения действия патента: 24.05.2006
Извещение опубликовано: 10.05.2007 БИ: 13/2007
|
||||||||||||||||||||||||||


и R – полярные координаты неподвижной цилиндрической системы координат статора;
и R – полярные координаты подвижной цилиндрической системы координат ротора, начало отсчета углов
– угол поворота подвижной системы координат вокруг оси аппликат;
(
(k-1)/n, где n – число ветвей направляющей кривой; k – порядковый номер перепускного канала, а другой край – на линии перегиба профиля между впадиной и вершиной.
Во впадинах рабочих торцевых поверхностей боковых корпусов выполнены перепускные каналы, один край которых расположен на угле 
/n-(10
15