Патент на изобретение №2189443
|
||||||||||||||||||||||||||
(54) СПОСОБ ОПРЕДЕЛЕНИЯ ХАРАКТЕРИСТИК СКВАЖИНЫ, ПРИЗАБОЙНОЙ ЗОНЫ И ПЛАСТА
(57) Реферат: Изобретение относится к нефтяной промышленности и может найти применение при испытании скважины на приемистость и проведении технологического воздействия на призабойную зону скважины. Обеспечивает возможность увеличения числа измеряемых параметров и повышение точности измерений. Сущность изобретения: при определении характеристик скважины, призабойной зоны и пласта проводят нестационарную закачку реагента, на устье скважины замеряют давление закачки и расхода реагента, пересчитывают данные замеров на забойные условия, определяют накопленный расход и работу, затрачиваемую на нестационарное течение в призабойной зоне скважины единицы расхода реагента. По этим показателям с учетом текущей проводимости пласта рассчитывают коэффициент скин-эффекта, в качестве текущей проводимости используют величину, определенную по результатам нестационарного испытания данной скважины на приемистость пластовой жидкостью. Изменяют режим закачки реагента при достижении необходимых фильтрационных свойств призабойной зоны скважины, определенных по скин-эффекту, рассчитанному по накопленному расходу и работе течения единицы расхода реагента в призабойной зоне скважины с учетом текущей проводимости пласта. Непосредственно перед нестационарной закачкой реагента межтрубное пространство между эксплуатационной колонной и колонной насосно-компрессорных труб заполняют гомогенной однофазной стабильной жидкостью с известной плотностью. Нестационарную закачку реагента в пласт ведут через колонну насосно-компрессорных труб при закрытом межтрубном пространстве. Замер давления ведут в закрытом межтрубном пространстве на устье скважины с одновременным замером уровня жидкости в закрытом межтрубном пространстве. 2 з.п.ф-лы, 1 табл., 3 ил. Изобретение относится к нефтяной промышленности и может найти применение при испытании скважины на приемистость и проведении технологического воздействия на призабойную зону скважины. Известен способ разработки продуктивного пласта, включающий импульсную нестационарную закачку пластовой жидкости, замеры на устье давления закачки и расхода жидкости, определение накопленного расхода и производной функции репрессии, характеризующей работу, затрачиваемую на нестационарное течение в пласте единицы расхода пластовой жидкости, построение графика зависимости производной функции репрессии от накопленного расхода для диапазона значений гидропроводности, заведомо включающих искомую гидропроводность, и выбор линии среди множества полученных кривых производной, ближе остальных отвечающей условию постоянства производной, соответствующей искомой гидропроводности пласта (патент РФ 2151859, кл. Е 21 В 43/20. опублик. 2000 г.). Известен способ эксплуатации скважины с одновременным определением параметров загрязненной призабойной зоны скважины, включающий импульсную нестационарную закачку пластовой жидкости со ступенчатыми изменениями расхода от минимальных до максимальных величин с задаваемым периодом, через 5-60 с, замер и регистрацию давления, плотности и расхода закачиваемой пластовой жидкости, пересчет данных на забойные условия, для каждого замера в условиях импульсной нестационарной закачки пластовой жидкости во время каждого режима закачки, определение функции репрессии, характеризующей нестационарное течение в призабойной зоне скважины на протяжении данного режима закачки жидкости, для каждого режима построение графика зависимости функции репрессии от логарифма времени закачки на данном режиме, на каждом из полученных графиков выделение начального наклонного прямолинейного участка, математическим методом нахождение параметров выделенных прямолинейных участков, по которым производятся определения гидропроводности и пьезопроводности загрязненной призабойной зоны, а также ее радиуса и коэффициента скин-эффекта (патент РФ 2151856, кл. Е 21 В 43/20, опублик. 2000 г.). Общим недостатком известных способов является малое число измеряемых параметров, низкая точность и эффективность определения забойного давления при закачке жидкостей со сложной реологией и трудности в определении потенциала скважины. Наиболее близким к изобретению по технической сущности является способ эксплуатации скважины, в результате осуществления которого происходит определение характеристик скважины, призабойной зон ы и пласта, включающий импульсную нестационарную закачку реагента, на устье скважины замер давления закачки и расхода реагента, пересчет данных замеров на забойные условия, определение накопленного расхода и работы, затрачиваемой на нестационарное течение в призабойной зоне скважины единицы расхода реагента, по этим показателям с учетом текущей проводимости пласта расчет коэффициента скин-эффекта, в качестве текущей проводимости использование величины, определенной по результатам кратковременного импульсного нестационарного испытания данной скважины на приемистость пластовой жидкостью, изменение режима закачки реагента при достижении необходимых фильтрационных свойств призабойной зоны скважины, определенных по скин-эффекту, рассчитанному по накопленному расходу и работе течения единицы расхода реагента в призабойной зоне скважины с учетом текущей проводимости пласта (патент РФ 2151855, кл. Е 21 В 43/20, опублик. 2000 г. – прототип). Недостатком известного способа является малое число измеряемых параметров и невысокая точность определения характеристик скважины, призабойной зоны и пласта. В изобретении решается задача увеличения числа измеряемых параметров и повышения точности определения характеристик скважины, призабойной зоны и пласта. Задача решается тем, что в способе определения характеристик скважины, призабойной зоны и пласта, включающем нестационарную закачку реагента, на устье скважины замер давления закачки и расхода реагента, пересчет данных замеров на забойные условия, определение накопленного расхода и работы, затрачиваемой на нестационарное течение в призабойной зоне скважины единицы расхода реагента, по этим показателям с учетом текущей проводимости пласта расчет коэффициента скин-эффекта, в качестве текущей проводимости использование величины, определенной по результатам кратковременного нестационарного испытания данной скважины на приемистость пластовой жидкостью, изменение режима закачки реагента при достижении необходимых фильтрационных свойств призабойной зоны скважины, определенных по скин-эффекту, рассчитанному по накопленному расходу и работе течения единицы расхода реагента в призабойной зоне скважины с учетом текущей проводимости пласта, согласно изобретению непосредственно перед нестационарной закачкой реагента межтрубное пространство между эксплуатационной колонной и насосно-компрессорными трубами заполняют гомогенной однофазной стабильной жидкостью с известной плотностью, нестационарную закачку реагента в пласт ведут через колонну насосно-компрессорных труб при закрытом межтрубном пространстве, при этом замер давления ведут в закрытом межтрубном пространстве на устье скважины с одновременным замером уровня жидкости в закрытом межтрубном пространстве. Для определения гидропроводности, пьезопроводности, радиуса призабойной зоны и коэффициента скин-эффекта для каждого замера в условиях нестационарной закачки жидкости во время каждого режима закачки определяют функцию репрессии, характеризующую нестационарное течение в призабойной зоне скважины на протяжении данного режима закачки жидкости, для каждого режима строят график зависимости функции репрессии от логарифма времени закачки на данном режиме, на каждом из полученных графиков выделяют начальный наклонный прямолинейный участок, математическим методом находят параметры выделенных прямолинейных участков, по которым определяют гидропроводность и пьезопроводность загрязненной призабойной зоны, а также ее радиус и коэффициент скин-эффекта. Для определения гидропроводности продуктивного пласта определяют накопленный расход и производную функции репрессии, характеризующую работу, затрачиваемую на нестационарное течение в пласте единицы расхода пластовой жидкости, строят график зависимости производной функции репрессии от накопленного расхода для диапазона значений гидропроводности, заведомо включающих искомую гидропроводность, среди множества полученных кривых производной выбирают линию, ближе остальных отвечающую условию постоянства производной, соответствующую искомой гидропроводности пласта. Сущность изобретения При испытании скважины на приемистость, определении потенциала скважины, определении параметров призабойной зоны, проведении технологического воздействия на призабойную зону и определении гидропроводности продуктивного пласта возникает необходимость оценки эффективности воздействия особенно при закачке жидкостей со сложной реологией – неньютоновских жидкостей. Неточная или несвоевременно полученная информация приводит к перерасходу реагентов или к недостижению задач обработки. Для этого необходимо контролировать параметры технологического воздействия, проводить оперативное вмешательство, а также исследовать состояние призабойной зоны скважины. В предложенном изобретении решаются данные задачи. Предложенный способ обеспечивает измерение необходимых параметров на устье скважины в межтрубном пространстве между эксплуатационной колонной и колонной насосно-компрессорных труб и на нагнетательной линии при закачке рабочего агента в скважину через колонну насосно-компрессорных труб. Измеряют и регистрируют устьевое давление, уровень жидкости в закрытом межтрубном пространстве и объемный расход нагнетаемой жидкости. Непосредственно перед нестационарной закачкой реагента заполняют межтрубное пространство скважины гомогенной однофазной стабильной жидкостью с известной плотностью. Нестационарную закачку реагента в пласт ведут через колонну насосно-компрессорных труб при закрытом межтрубном пространстве, одновременно выполняют на устье скважины замеры давления и уровня жидкости в закрытом межтрубном пространстве. Для каждого замера по этим данным в реальном времени процесса рассчитывают забойное давление и прочие показатели с учетом искривления ствола скважины и температурных изменений плотности жидкости в межтрубном пространстве. Определение забойного давления возможно при закачке в колонну насосно-компрессорных труб в любой последовательности обычных ньютоновских жидкостей, а также полимерных, глинистых, цементных растворов и других неньютоновских жидкостей. Для проведения замеров нагнетательную линию снабжают измерительным манифольдом с датчиком расхода. На устье скважины в межтрубном пространстве между эксплуатационной колонной и колонной насосно-компрессорных труб устанавливают датчик давления и систему контроля уровня жидкости, например, акустического типа (уровнемер). Используют датчики с цифровыми замерами и регистрацией параметров. Для измерения и регистрации параметров процесса используют выносной блок, блок сбора информации и компьютер. На нагнетательной линии могут быть размещены прочие датчики, например, для определения давления, плотности и температуры. Выход датчика давления соединен электрическим кабелем с блоком искрозащиты, размещенным в выносном блоке, и далее с блоком сбора информации. Выходы датчиков расхода соединены электрическими кабелями с вторичными блоками расходомеров и далее с блоком сбора информации. Система контроля уровня жидкости в межтрубном пространстве соединена электрическим кабелем непосредственно с блоком сбора информации. Блок сбора информации соединен с компьютером. Измерительный манифольд с датчиком расхода, устанавливаемый на нагнетательной линии к скважине, датчик давления и систему контроля уровня жидкости (уровнемер), устанавливаемые на устье скважины в межтрубном пространстве, выносной блок, блок сбора информации и компьютер объединяют в устройство для определения характеристик скважины, призабойной зоны и пласта, представляющее собой информационно-измерительный комплекс. При закачке рабочего агента в скважину по нагнетательной линии через измерительный манифольд аналоговые сигналы от датчика давления, установленного на устье скважины в межтрубном пространстве, посредством электрического кабеля через блок искрозащиты поступают в выносной блок и далее в блок сбора информации. В блоке искрозащиты производится гальваническая развязка электрических цепей. Частотные сигналы от датчиков расхода посредством электрических кабелей попадают на вторичные блоки расходомеров, откуда с помощью соединительных кабелей поступают на вход соответствующих каналов блока сбора информации. Цифровые сигналы от системы контроля уровня жидкости в межтрубном пространстве через электрический кабель поступают непосредственно в блок сбора информации. В блоке сбора информации сигналы, поступающие на входы измерительных каналов, преобразуются в цифровую форму и передаются в компьютер, где поступившая информация с помощью программного обеспечения визуализируется и заносится в память компьютера. При проведении технологической операции по воздействию на нефтяной пласт для интенсификации отбора или изоляции водопритока, выравнивания профиля притока или поглощения, расход нагнетаемой рабочей жидкости остается относительно неизменным лишь в течение отдельных весьма коротких промежутков времени и изменяется в широких пределах в течение всей операции. В предложенном способе изначально закладывают режим нестационарной закачки реагента как наиболее общий и в наибольшей мере отвечающий условиям производства. Реализуемый в особых условиях на практике стационарный режим закачки реагента является частным случаем общего нестационарного режима. При этом справедливы все расчеты и выводы предлагаемого способа. Процесс нестационарной закачки реагента характеризуется значительными колебаниями расхода и давления с хаотичными изменениями величин по амплитуде и частоте. Расход может изменяться по амплитуде от 0,084 до 7,6 л/с, по частоте – от 0,002 до 0,02 Гц, при этом максимальный расход обеспечивает недопущение развития искусственной трещиноватости в призабойной зоне (максимально допустимое забойное давление в процессе закачки жидкости должно быть меньше давления раскрытия трещин в призабойной зоне скважины). Устьевое давление нагнетания может изменяться по амплитуде от 1 до 10-15 МПа при той же частоте. В процессе технологического воздействия в скважину закачивают последовательно несколько жидкостей, различных по физико-химическим свойствам. На -м этапе будет закачана -я жидкость (при = 1; 2 и т.д. в зависимости от числа жидкостей для закачки). Определение забойного давления возможно при закачке в колонну насосно-компрессорных труб обычных ньютоновских жидкостей, а также полимерных, глинистых, цементных растворов и других неньютоновских жидкостей.
При проведении технологической операции на скважине непосредственно перед закачкой рабочих жидкостей в пласт межтрубное пространство между эксплуатационной колонной и колонной насосно-компрессорных труб полностью (до устья) заполняют начальной жидкостью, т. е. гомогенной однофазной стабильной жидкостью с известной плотностью (fluid 0), например, водой или дегазированной нефтью.
После заполнения начальной жидкостью межтрубное пространство на устье закрывают и далее в ходе технологической операции на скважине оно закрыто. После герметизации межтрубного пространства при закачке и продавке рабочих жидкостей в пласт посредством информационно-измерительного комплекса измеряют и регистрируют с задаваемыми периодами опроса уровень начальной жидкости hуст.зтр.(t) и устьевое давление Pустр.зтр.(t) в межтрубном пространстве после его заполнения начальной жидкостью и объемный расход нагнетаемого реагента. По этим замерам рассчитывают забойное давление и прочие показатели с учетом искривления ствола скважины и температурных изменений плотности жидкости в межтрубном пространстве.
Определение забойного давления PC(t) производят в такой последовательности.
1. Рассчитывают распределение температуры начальной жидкости в межтрубном пространстве. Для этого:– расстояние h по вертикали от устья скважины до башмака колонны насосно-компрессорных труб условно разбивают на V отрезков так, что вертикальная протяженность каждого отрезка равна h: h=h/V (1)размерности [h] = [ h] = м;– обозначают как h расстояние по вертикали от устья скважины до конца -го отрезка:h = h![]() ,(2)где = 0; 1; 2… V, размерность [[h ]] = м;– обозначают как h< > глубину < >-го отрезка, наиболее близкую к уровню начальной жидкости в межтрубном пространстве, т.е. расстояние по вертикали от устья скважины до конца < >-го отрезка, в наибольшей степени отвечающего условию:|h< >-hУСT.ЗTР(t)| = min; (3)– определяют температуру T(h ) начальной жидкости в межтрубном пространстве на глубине h :![]() где TПЛ – пластовая температура на глубине h, oС; Tуст – устьевая температура в межтрубном пространстве, oС; 2. Рассчитывают температурный коэффициент начальной жидкости в межтрубном пространстве между эксплуатационной колонной и колонной насосно-компрессорных труб: – если в качестве начальной жидкости (fluid 0) в межтрубном пространстве закачана дегазированная нефть, то ее температурный коэффициент T(fluid0) для плотности нефти O(fluid0) в стандартных условиях O(fluid0) 860 кг/м3 определяется так:![]() для O(fluid0) 860 кг/м3:![]() где 0(fluid0) – плотность дегазированной нефти, закачанной в межтрубное пространство, в стандартных условиях.
В формулах (5)-(6) величины имеют такие размерности:[ O] = кг/м3; [ T(fluid0)] = 1/ C;– если в межтрубное пространство между эксплуатационной колонной и колонной насосно-компрессорных труб закачана вода, то ее температурный коэффициент T(fluid0) на глубине h по вертикали от устья скважины при Т(h ) 20oС определяется так:![]() 1 при Т(h ) 20oС:![]() – если в межтрубное пространство между эксплуатационной колонной и колонной насосно-компрессорных труб закачана иная начальная жидкость, то ее температурный коэффициент определяют при предварительных лабораторных исследованиях. 3. Определяют плотность жидкости ![]() (fluid0) в межтрубном пространстве между эксплуатационной колонной и колонной насосно-компрессорных труб на глубине h по вертикали от устья скважины:![]() размерность [ ![]() (fluid0) = кг/м3;4. Для каждого замера уровня начальной жидкости hуст.зтр.(t) и устьевого давления Pуст.зтр.(t) в закрытом межтрубном пространстве определяют забойное давление PC(t) на глубине башмака насосно-компрессорных труб в текущий момент t закачки -й жидкости в процессе технологической операции:![]() где PC(t) – забойное давление на глубине башмака колонны насосно-компрессорных труб в текущий момент t закачки -й жидкости, МПа;РУСТ.ЗТР.(t) – устьевое давление, замеренное в межтрубном пространстве в текущий момент t закачки -й жидкости, МПа; – относительная плотность газа в межтрубном пространстве;hуст.зтр.(t) – уровень начальной жидкости в межтрубном пространстве в текущий момент t замера устьевого давления РУСТ.ЗТР.(t), м; Рстат.зтр. – гидростатическое давление столба начальной жидкости (fluid 0) с учетом искривления ствола скважины и температурных изменений плотности жидкости в межтрубном пространстве, определяют по формуле (11): ![]() размерность [Рстат.зтр.] = МПа; Если межтрубное пространство заполнено начальной жидкостью до устья, то hуст.зтр.(t) = 0 (12) и второе слагаемое в выражении (11) равно нулю. Если частота замеров устьевого давления РУСТ.ЗТР.(t) выше, чем частота замеров уровня в межтрубном пространстве, то в формуле (11) hуст.зтр.(t) представляют так: hуст.зтр.(t) = hуст.зтр.(T) РУСТ.ЗТР.(T)/РУСТ.ЗТР.(t), (13)где hуст.зтр.(t) – расчетный уровень начальной жидкости в межтрубном пространстве в текущий момент t замера устьевого давления РУСТ.ЗТР.(t), м; РУСТ.ЗТР.(t) – уcтьевoe давление, замеренное в межтрубном пространстве в текущий момент t времени, МПа; hуст.зтр.(T) – предыдущий фактический замер уровня начальной жидкости в межтрубном пространстве в момент времени T, м; РУСТ.ЗТР.(T) – устьевое давление, замеренное в межтрубном пространстве в момент времени T, МПа. Репрессия на пласт PC(t) в момент t закачки -й жидкости равна: РC(t)=PC(t)-РПЛ, (14)где PC(t) репрессия на пласт в момент t закачки -й жидкости, МПа;РПЛ – пластовое давление, приведенное к глубине башмака колонны насосно-компрессорных труб, МПа. Для определения коэффициента S скин-эффекта при проведении технологической операции на скважине замеряют и регистрируют с задаваемым периодом опроса уровень начальной жидкости hуст.зтр.(t) и устьевое давление РУСТ.ЗТР.(t) в закрытом межтрубном пространстве после его заполнения начальной жидкостью, плотность и объемный расход -й нагнетаемой жидкости. Для каждого замера в реальном времени процесса tN рассчитывают репрессию на пласт PC(t) по формулам (1)-(14) и объемный расход -й жидкости Q (t) в забойных условиях.
Затем для каждого текущего момента времени tN определяют величину функции репрессии Y(tN), характеризующую работу единицы расхода -й жидкости на нестационарное течение в призабойной зоне скважины, по формуле:![]() где N = 2; 3; 4; … – номер текущего замера устьевого давления, плотности и объемного расхода -й нагнетаемой жидкости;n = 0; 1; 2; 3; … N-1 – номера предыдущих замеров; t0 – время начала закачки технологической жидкости (начальный замер n = 0), с; t1; … tn время первого, … n замеров, с; tN – время текущего замера, с; PC(t0); . . . PC(tn) – репрессия на пласт в начале закачки и в момент времени tn предшествующего n замера, Па; PC(tN) – репрессия на пласт в момент tN текущего N замера, Па;Q0, … Qn – объемные расходы -й жидкости в забойных условиях в начале закачки и в моменты предшествующих n замеров, м3/с;Y(tN) – функция репрессии, характеризующая работу, затраченную на нестационарное течение в призабойной зоне единицы расхода -й жидкости, в текущий момент времени tN с начала процесса, Па с; – гидропроводность пласта, м2 м/Па с: = k h/ ; (16)k – проницаемость пласта для пластовой жидкости, м2: h – эффективная толщина продуктивного пласта, принимающего нагнетаемую жидкость, м; – вязкость пластовой жидкости, Па с.
Одновременно с функцией репрессии Y(tN) вычисляют накопленный объем жидкости в забойных условиях W(tN), поступившей в пласт к моменту времени tN с начала закачки, по формуле:![]() Полученные значения Y(tN) и W(tN) наносят на график. На фиг. 1 представлен график зависимости функции репрессии Y(tN) от накопленного объема жидкости W(tN) на примере закачки в скважину гелеобразующего состава: водного раствора сополимера “Комета” и смолы “ДЭГ”, где по оси абсцисс отложены величины накопленного объема W(tN), м3, по оси ординат – величины функции репрессии Y(tN), МПа с.
На фиг. 1 приняты следующие условные обозначения: 1 – первый прямолинейный участок при закачке в пласт 6,7 м3 гелеобразующего состава, 2 – второй прямолинейный участок при дальнейшей закачке в пласт 1,2 м3 гелеобразующего состава, 3 – третий прямолинейный участок при дальнейшей закачке в пласт 4,4 м3 гелеобразующего состава, 4 – четвертый прямолинейный участок при продавке в пласт 4,2 м3 пластовой воды.
При наличии цифровой регистрации устьевых параметров и системы компьютерного анализа определение величин Y(tN), W(tN) и построение графика зависимостиY(tN) = Y[W(tN)] (18) производят непосредственно в процессе технологического воздействия в реальном времени. Производят аппроксимацию отдельных участков графика зависимости (18) прямолинейными отрезками. В интервале времени [tj, tj+1] линейной аппроксимации определяют наклон Bj прямолинейного участка. Величину коэффициента скин-эффекта j, отражающего состояние призабойной зоны скважины в интервале времени [tj, tj+1] технологической операции, определяют по формуле: ![]() где Sj – коэффициент скин-эффекта, отражающий дополнительные фильтрационные сопротивления потоку жидкости вследствие загрязнения и несовершенства вскрытия призабойной зоны скважины, в интервале времени [tj, tj+1] воздействия; rC – радиус скважины, м; – пьезопроводность продуктивного пласта, м2/с;Bj – наклон графика зависимости (18) в интервале [tj, tj+1] воздействия, Па с/м3.
После достижения запланированной величины скин-эффекта изменяют режим закачки вплоть до ее прекращения.
При определении гидропроводности пласта проводят закачку пластовой жидкости в добывающую или нагнетательную скважину. Перед тем, как закачивать пластовую жидкость, для определения гидропроводности пласта межтрубное пространство полностью (до устья) заполняют начальной гомогенной однофазной стабильной жидкостью с известной плотностью (fluid 0), например водой или дегазированной нефтью. После заполнения начальной жидкостью межтрубное пространство на устье закрывают и далее в ходе технологической операции на скважине оно закрыто.
После герметизации межтрубного пространства организуют процесс нестационарной закачки пластовой жидкости в скважину, при этом посредством информационно-измерительного комплекса измеряют и регистрируют с задаваемым периодом опроса уровень начальной жидкости hуст.зтр.(t), устьевое давление Pустр.зтр.(t) в закрытом межтрубном пространстве, выполняющем роль пьезометра после его заполнения начальной жидкостью, плотность и объемный расход нагнетаемой жидкости. Для каждого замера в реальном времени процесса tN рассчитывают репрессию на пласт PC(t) по формулам (1)-(14) и объемный расход -й жидкости Q(t) в забойных условиях.
До проведения операции на скважине задают произвольный ряд M значений гидропроводности пласта m 1< 2<…< m<…< M, (20)заведомо включающих истинную величину гидропроводности пласта ИСT 1< ИСT< M. (21)Затем для каждого из принятых значений m гидропроводности пласта определяют значения производной Ym/ Xm(tN) функции репрессии на пласт по формуле:![]() где: N, N-1 номера текущего и предыдущего устьевых замеров (N = 2; 3; 4; …) уровня, плотности и объемного расхода нагнетаемой жидкости; j = 0; 1; 2; … N – 2 – номера предшествующих замеров; tN, tN-1 – время текущего и предыдущего замеров, с; t0; t1; … ti – время предшествующих замеров, с; PC(tN), PC(tN-1) – репрессия на пласт в текущем и предыдущем замерах, Па;QN, QN-1 – объемный расход жидкости в забойных условиях в текущем и предыдущем замерах, м3/с; Qi – объемный расход жидкости в забойных условиях в предшествующих замерах, м3/с; Ym(tN) – функция репрессии, характеризующая работу, затраченную на нестационарное течение единицы расхода жидкости в пласте гидропроводностью m, в момент tN с начала процесса, Па с; m – принятая в расчетах гидропроводность пласта, м2 м/Па с: m = km h/ ; (23)km – принятая в расчетах проницаемость пласта для пластовой жидкости, м2; h – эффективная толщина продуктивного пласта, поглощающего нагнетаемую жидкость, м; – вязкость пластовой жидкости, Па с;Xm(tN) – функция накопленного расхода W(tN) вида: Xm(tN) = W(tN)/[4 ![]() ![]() ![]() m]. (24)Одновременно c Ym/ Xm(tN) no формуле (17) определяют накопленный объем жидкости в забойных условиях W(tN), поступившей в пласт к тому же моменту времени tN с начала закачки.
Полученные значения наносят на график.
На фиг. 2 показан пример определения гидропроводности пласта по предлагаемому способу в процессе нестационарной закачки пластовой жидкости в добывающую скважину. Для этого представлены графики зависимости производной Ym/ Хm(tN) функции репрессии на пласт от накопленного объема W(tN) закачанной жидкости в забойных условиях для различных величин гидропроводности пласта m, принятых при расчете Ym/ Хm(tN).
На фиг. 2 приняты следующие условные обозначения: – график производной Y1/ Х1(tN)= Y1/ Х1(tN){W(tN)}, когда в расчетах принята гидропроводность пласта 5,1 мкм2 м/мПа с;– – – график производной Y2/ Х2(tN)= Y2/ Х2(tN){W(tN)}, когда в расчетах принята гидропроводность пласта 20,4 мкм2 м/мПа с;– – – график производной Y3/ Х3(tN)= Y3/ Х3(tN){W(tN)}, когда в расчетах принята гидропроводность пласта 10,3 мкм2 м/мПа с.
Графики производной Y/ Х существенно зависят от принятой величины гидропроводности пласта m. Чем ближе значения m к истинной величине гидропроводности пласта ИСT, тем ближе графики производной Y/ Х к прямой, параллельной оси абсцисс. Если истинное значение ИСT включено в диапазон (21), то среди полученных кривых зависимости Ym/ Xm(tN)= Ym/ Xm(tN){W(tN)} (25)устанавливаются одна-две линии, ближе остальных отвечающих условию: Y/ X[t, ИСT] = const. (26)Далее математическим методом последовательного приближения находят величину гидропроводности пласта , при которой производная Y/ Х может быть принята постоянной наилучшим образом. Выбор оптимального выполнения условия (26) производят численными методами. Величина m, обеспечивающая выполнение условия наилучшим образом, и является искомым значением гидропроводности пласта .До определения параметров призабойной зоны предлагаемым способом на скважине организуют предварительные исследования с целью уточнения гидропроводности пласта и установления факта существенного загрязнения призабойной зоны.
Если величина коэффициента скин-эффекта S, полученная тем или иным известным способом, удовлетворяет условию:S>20-30, (27) то это свидетельствует о существенном загрязнении призабойной зоны. Далее реализуют предлагаемый способ. Указанный критерий (27) обусловлен современным техническим уровнем операций по закачке жидкостей в пласты, гарантирует достоверное определение параметров призабойной зоны при регистрации расхода и давления закачки на устье. Перед тем, как закачивать пластовую жидкость для определения параметров призабойной зоны предлагаемым способом, межтрубное пространство полностью (до устья) заполняют начальной гомогенной однофазной стабильной жидкостью с известной плотностью (fluid 0), например водой или дегазированной нефтью. После заполнения начальной жидкостью межтрубное пространство при последующей закачке пластовой жидкости в скважину закрыто. Для реализации предлагаемого способа на устье скважины организуют процесс нестационарной закачки пластовой жидкости, который характеризуется колебаниями расхода от минимальных величин, обеспечивающих стабильную закачку с противодавлением на устье скважины, до максимальных, обеспечивающих при этом недопущение развития искусственной трещинности в призабойной зоне. Это достигается выполнением следующего условия: PCмакс< раск, (28)где PCмакс – максимально допустимое забойное давление в процессе закачки пластовой жидкости, МПа; раск – давление раскрытия трещин в призабойной зоне скважины, МПа.
Для получения достоверных результатов проводят закачку на нескольких режимах нагнетания с резкой сменой расхода с большего на меньший и наоборот. Оптимально использовать четное число режимов (4-6 и более). Продолжительность закачки ![]() на каждом режиме устанавливают опытным путем или приближенно оценивают так:![]() где S – значение коэффициента скин-эффекта, определенное при предварительных испытаниях скважины; – пьезопроводность пласта, м2/с.
В формуле (29) коэффициент S безразмерен, а размерность продолжительности закачки на каждом режиме такова: [![]() ] = c.На основе выполненных оценок на устье организуют процесс нестационарной закачки пластовой жидкости так, чтобы кривая переменного расхода являлась ступенчатой функцией времени t нагнетания: QZ( Z t![]() Z+1) = QZ const, (30)где t текущее время от начала процесса закачки пластовой жидкости, с; Z = 1, 2.. – порядковый номер режима закачки; Z, Z+1 – время начала и окончания Z режима закачки (начало первого режима закачки 1 = 0), с;Qz – средний расход в течение Z-го режима закачки (приближенное равенство QZ const – означает, что в процессе закачки пластовой жидкости допускаются колебания расхода до 20-30% от средней величины расхода Qz на данном режиме), м3/с.
При закрытом межтрубном пространстве организуют процесс нестационарной закачки пластовой жидкости в скважину, чтобы кривая переменного расхода являлась ступенчатой функцией времени нагнетания (30). При этом посредством информационно-измерительного комплекса измеряют и регистрируют с задаваемым периодом опроса уровень начальной жидкости hуст.зтр.(t), устьевое давление Pустр.зтр.(t) в закрытом межтрубном пространстве, выполняющем роль пьезометра после его заполнения начальной жидкостью, плотность и объемный расход нагнетаемой жидкости. Для каждого замера в реальном времени процесса tN рассчитывают репрессию на пласт по формулам (1) – (14) и объемный расход нагнетаемой жидкости в забойных условиях.
Затем для каждого N замера, выполненного в текущем временном интервале Z tN![]() Z+1 на Z режиме закачки, определяют функцию репрессии Z( tZ), характеризующую нестационарное течение нагнетаемой жидкости в призабойной зоне на данном режиме, по формуле:![]() где N = 2; 3; 4 … – номер текущего замера; j = 0; 1; 2; … N-1 – номера предшествующих замеров; Pc(tN), Pc(tN-1) – репрессия на пласт в текущем и предыдущем замерах, Па;QN, QN-1 – объемный расход жидкости в забойных условиях в текущем и предыдущем замерах, м3/ с; Qi – объемный расход жидкости в забойных условиях в предшествующих замерах м3/с; tN – время текущего замера, с; t0, t1, … tN-1 – время предшествующих замеров, с; tZ – временной интервал текущего Z режима закачки при QZ tN![]() Z+1: tZ = tN– Z, (32) – пьезопроводность пласта, м2/с;rc – радиус скважины, м. Величина функции репрессии Z( tZ) безразмерна.
Расчеты по формуле (31) выполняют последовательно для всех замеров устьевых параметров. Для каждого режима Z закачки на основе выполненных замеров устьевых параметров и расчетов по приведенным формулам строят график.
На фиг. 3 показан пример определения параметров призабойной зоны предлагаемым способом в процессе нестационарной закачки пластовой жидкости в добывающую скважину. Для этого представлены графики зависимости функции репрессии Z( tZ) от временного интервала tZ в координатах Z( tZ)-ln( tZ) для из Z режимов закачки.
На фиг.3 приняты следующие условные обозначения: Z = 1, 2 … 10 – графики функции репрессии в период времени tZ закачки пластовой жидкости в нефтедобывающую скважину на Z режиме (таблица): – 1;- – -2;- – -3;- – -4;-*- -5; – – -10, с расходом QZ.
При наличии цифровой регистрации устьевых параметров и системы компьютерного анализа определение величин ln tZ; Z( tZ) и построение графиков Z( tZ = (ln tZ) производят непосредственно в процессе закачки жидкости в реальном времени tN текущего замера.
Таким образом, каждому из режимов закачки соответствует своя линия (фиг. 3). В общем случае на каждом из полученных графиков выделяют начальный наклонный прямолинейный участок (пример дан в таблице), отражающий нестационарное течение нагнетаемой жидкости в загрязненной призабойной зоне на данном Z режиме закачки и описываемый уравнением прямой линии: Z( tZ) = aZ+bZ ln tZ. (33)Математическим методом, например, наименьших квадратов, находят наклон bZ и начальный участок aZ выделенного прямолинейного отрезка на каждом Z режиме закачки. После этого определяют: гидропроводность призабойной зоны скважины ![]() ![]() пьезопроводность призабойной зоны скважины ![]() ![]() Поскольку все прямые уравнения (33) имеют общую точку пересечения, используя найденные коэффициенты aZ, bZ, aZ-1, bZ-1 для двух смежных (Z, Z-1) режимов закачки, определяют коэффициент скин-эффекта S: ![]() после чего рассчитывают радиус RПЗС зоны загрязнения: ![]() В формулах (34) – (37) размерности величин таковы: [ ] = м2/с; [R] = м, коэффициенты aZ, bZ, S безразмерны.
Примеры конкретного выполненияПример 1. При эксплуатации нефтедобывающей скважины проводят обработку призабойной зоны с целью изоляции водопритоков. При этом проводят определение забойного давления и репрессии предлагаемым способом. Нагнетательную линию снабжают измерительным манифольдом с датчиком расхода. На устье скважины в межтрубном пространстве между эксплуатационной колонной и колонной насосно-компрессорных труб устанавливают датчик давления и систему акустического контроля уровня жидкости (уровнемер). Используют датчики с цифровыми замерами и регистрацией параметров. Для измерения и регистрации параметров процесса используют выносной блок, блок сбора информации и компьютер. Выход датчика давления марки “МИДА” соединяют электрическим кабелем с блоком искрозащиты типа “Корунд” и далее с блоком сбора информации. Выходы датчиков расхода марки ПЭА1 соединяют электрическими кабелями с вторичными блоками расходомеров типа “Взлет” БИИ и “Днепр-7” БП и далее с блоком сбора информации. Уровнемер марки “МИКОН” соединяют электрическим кабелем с блоком сбора информации. Блок сбора информации соединяют с компьютером типа Ноутбук. При закачке рабочего агента в скважину по нагнетательной линии через измерительный манифольд аналоговые сигналы от датчика давления, установленного на устье скважины в межтрубном пространстве, посредством электрического кабеля через блок искрозащиты каждые 5 с процесса поступают в выносной блок и далее в блок сбора информации. В блоке искрозащиты производится гальваническая развязка электрических цепей. Частотные сигналы от датчиков расхода посредством электрических кабелей каждые 5 с процесса попадают на вторичные блоки расходомеров, откуда с помощью соединительных кабелей поступают на вход соответствующих каналов блока сбора информации. Цифровые сигналы от системы акустического контроля уровня жидкости в межтрубном пространстве через электрический кабель каждые 60 с поступают непосредственно в блок сбора информации. В блоке сбора информации сигналы, поступающие на входы измерительных каналов, преобразуются в цифровую форму и передаются в компьютер, где поступившая информация с помощью программного обеспечения визуализируется и заносится в память компьютера. Посредством информационно-измерительного комплекса измеряют и регистрируют устьевое давление, уровень жидкости в закрытом межтрубном пространстве и объемный расход нагнетаемой жидкости. Непосредственно перед нестационарной закачкой реагента заполняют межтрубное пространство скважины начальной жидкостью, – гомогенной однофазной стабильной жидкостью с известной плотностью, – пластовой водой. После заполнения начальной жидкостью межтрубное пространство на устье закрывают и далее в ходе технологической операции на скважине оно закрыто. После этого на устье скважины организуют процесс нестационарной закачки реагента с колебаниями расхода и давления с хаотичными изменениями величин по амплитуде и частоте. Расход изменяется по амплитуде от 0,084 до 7,6 л/с, по частоте – от 0,002 до 0,02 Гц. Давление нагнетания изменяется по амплитуде от 1 до 10-15 МПа при той же частоте. При обработке скважины в призабойную зону нагнетают порции гелеобразующего состава ( = 1), его продавку выполняют пластовой водой ( = 2). В качестве гелеобразующего состава используют водный раствор сополимера “Комета” и смолы “ДЭГ”, образующих псевдопластичную систему. Закачку ведут с начальным расходом 4,79 л/с.
При закрытом межтрубном пространстве выполняют закачку и продавку рабочих жидкостей через колонну насосно-компрессорных труб в пласт. Посредством информационно-измерительного комплекса измеряют и регистрируют с задаваемыми периодами опроса уровень начальной жидкости hуст.зтр.(t) и устьевое давление Pуст.зтр.(t) в закрытом межтрубном пространстве, заполненном снизу начальной жидкостью, а сверху – воздухом, и объемный расход нагнетаемого реагента. По этим замерам рассчитывают забойное давление и прочие показатели с учетом искривления ствола скважины и температурных изменений плотности жидкости в межтрубном пространстве.
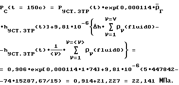
Выполняют определение забойного давления и репрессии, например, спустя 150 с после начала закачки. В этот момент выполнен замер устьевого давления в закрытом межтрубном пространстве: Pуст.зтр.(t=150 с)=0,906 МПа; предыдущий замер уровня выполнялся в момент T=120 с: hуст.зтр.(T=120 с)=70 м; при этом устьевое давление составляло Рc(T=120 с)=0,953 МПа.
Последовательность определения такова:Рассчитывают распределение температуры начальной жидкости в межтрубном пространстве. Для этого расстояние h по вертикали от устья скважины до башмака колонны насосно-компрессорных труб (2210 м) условно разбивают на 442 отрезка так, что вертикальная протяженность h каждого отрезка составляет 5 метров (1): h = h/V = 2210/442 = 5 м;обозначают, например, как h20 расстояние по вертикали от устья скважины до конца 20-го отрезка (2): h = h![]() = 5 20 = 100 м.Определяют температуру T(h20) начальной жидкости в межтрубном пространстве на глубине h20 при TПЛ = 57oС, ТУСТ = 23oС: ![]() В межтрубное пространство закачана пластовая вода, ее температурный коэффициент T(fluid0) на глубине 100 м по вертикали от устья скважины определяют по формуле (8):![]() Определяют по формуле (9) плотность жидкости 20(fluid0) в межтрубном пространстве на глубине 100 м по вертикали от устья скважины при O(fluid0) = 1020 кг/м3![]() По формуле (13) определяют расчетный уровень пластовой жидкости спустя 150 с после начала закачки [Pуст.зтр.(t=150 с)=0,906 МПа] по фактическому замеру уровня и давления спустя 120 с [(hуст.зтр.(T=120 с)=70 м; при этом устьевое давление составляло PC(T=120 с)=0,953 МПа]: hуст.зтр. (t=150 c)=hуст.зтр. (T) Pуст.зтр. (T)/Pуст.зтр.(t)= 70 0,953/0,906=74 м.
К полученной величине наиболее близок 15-ый отрезок, его глубина h<15>= 75 м.
Тогда забойное давление PC(t=150 с) спустя 150 с после начала закачки определяют по формулам (10) – (11), при этом верхняя часть межтрубного пространства заполнена воздухом ![]() ![]() Репрессия на пласт при этом равна (при PПЛ = 14,954 МПа): PC(t=150 c) = PC(t)-PПЛ = 22,141-14,954 = 7,187 МПаАналогично выполняют остальные определения. Пример 2. При эксплуатации нефтедобывающей скважины глубиной 2230 м проводят обработку призабойной зоны с целью изоляции водопритоков. Процесс обработки заключается в закачке в призабойную зону скважины порций гелеобразующего состава и его продавке пластовой водой. В качестве текущей проводимости используют величину, определенную по результатам кратковременного нестационарного испытания данной скважины на приемистость пластовой водой. Предварительные испытания данной скважины на приемистость пластовой водой показали, что текущая проницаемость пласта k составляет 0,163 мкм2, проводимость k h равна 2,45 мкм2 м, коэффициент скин-эффекта оценен как 12,89, вязкость пластовой жидкости составляет 1,02 мПа с. Таким образом, гидропроводность пласта по формуле (19) равна:![]() Пьезопроводность пласта составляет 0,05 м2/с, радиус скважины rс равен 0,084 м.
Непосредственно перед нестационарной закачкой реагента заполняют межтрубное пространство скважины пластовой водой. После заполнения пластовой водой межтрубное пространство на устье закрывают и далее в ходе технологической операции на скважине оно закрыто. После этого на устье скважины организуют процесс нестационарной закачки реагента с колебаниями расхода и давления с хаотичными изменениями величин по амплитуде и частоте. Расход изменяется по амплитуде от 0,084 до 7,6 л/с, по частоте – от 0,002 до 0,02 Гц. Давление нагнетания изменяется по амплитуде от 1 до 10-15 МПа при той же частоте. При обработке скважины в призабойную зону нагнетают порции гелеобразующего состава ( = 1), его продавку выполняют пластовой водой ( = 2). В качестве гелеобразующего состава используют водный раствор сополимера “Комета” и смолы “ДЭГ”, образующих псевдопластичную систему.
При закрытом межтрубном пространстве выполняют закачку и продавку рабочих жидкостей через колонну насосно-компрессорных труб в пласт. Посредством информационно-измерительного комплекса измеряют и регистрируют с задаваемыми периодами опроса уровень пластовой воды hуст.зтр.(t) и устьевое давление Pуст.зтр.(t) в закрытом межтрубном пространстве, объемный расход нагнетаемого реагента. По этим замерам по формулам (1) – (14) рассчитывают забойное давление PC(t), репрессию на пласт PC(t), объемный расход реагента Q(t) в забойных условиях.
Затем для каждого N замера (в момент времени tN) по формуле (15) рассчитывают величину функции репрессии Y, а по формуле (17) – накопленный объем реагента W в забойных условиях, поступившего в пласт к этому моменту времени.
Полученные значения Y и W наносят на график (фиг.1). В реальном времени проводят аппроксимацию отдельных участков полученного графика Y=Y[W] прямолинейными отрезками и определяют их наклон. Первый участок соответствует закачке в призабойную зону 6,7 м3 гелеобразующего состава, при этом его наклон B1 составлял:B1 = 1167,9 МПа с/м3 = 1167,9 106 Па с/м3,а коэффициент скин-эффекта S1, по формуле (19): ![]() Эта величина показывает, что проводимость призабойной зоны в результате закачки 6,7 м3 гелеобразующего состава несколько снизилась, в процессе дальнейшего нагнетания реагента наклон второго прямолинейного участка, аппроксимирующего кривую Y=Y[W] в диапазоне 6,8 W 8,0 м3, возрос и составил:B2 = 1988,7 МПа с/м3 = 1988,7 106 Па с/м3.
Величина коэффициента скин-эффекта S2, соответствующая второму участку с наклоном 1988,7 106 Па с/м3, равна S2 = 28,605.
Полученная величина указывает на проходящий в призабойной зоне скважины процесс закупорки до проектной величины скин-эффекта 28-30. В этой связи после закачки в пласт 8,0 3 гелеобразующего состава на устье прекращают нагнетание реагента в колонну насосно-компрессорных труб и начинают закачивать продавочную жидкость.
На графике Y= Y[W] (фиг.1) этому соответствуют участки 3 и 4 с практически совпадающими наклонами 1958,8 и 2022,2 МПа с/м3. Участок 3 отражает продавку гелеобразующего состава из колонны насосно-компрессорных труб в призабойную зону продавочной жидкостью (пластовой водой), коэффициент скин-эффекта на этом участке S3 равен 28,154. Следовательно, проектное снижение проводимости призабойной зоны достигнуто, дальнейшей закупорки призабойной зоны скважины не происходит и закачка гелеобразующего состава прекращена правильно. Это подтверждает коэффициент скин-эффекта на 4 участке: S4=29,11, что соответствует проектному показателю.
Непосредственно перед проведением изоляционных работ гидродинамические исследования не проводились, поэтому в известных способах использовалась величина проводимости пласта по результатам ранее выполненных гидродинамических исследований k h=4,59 мкм2 м. Вязкость нагнетаемого реагента составляла 15 мПа с.
Известные способы показали, что закупорка призабойной зоны не достигнута, а коэффициент скин-эффекта находится в пределах [-0,5 – -0,15 ].
Пример 3. Для определения гидропроводности пласта предлагаемым способом проводят закачку пластовой жидкости в нефтедобывающую скважину глубиной 2240 м. Для оценки точности определения гидропроводности пласта предлагаемым способом проводят предварительные исследования скважины методом восстановления давления, в соответствии с которым гидропроводность пласта составляет 10,2 мкм2 м/(мПа с). Таким образом, для оценки точности определения гидропроводности пласта принято:![]() До проведения операции на скважине задают произвольный ряд значений гидропроводности пласта m:1 мкм2 м/(мПa c)![]() m 30 мкм2 м/(мПa c); заведомо включающих истинную величину гидропроводности пласта ![]() В процессе определения гидропроводности пласта в пласт закачивают 3 м3 пластовой жидкости. Непосредственно перед этим заполняют межтрубное пространство скважины пластовой жидкостью. После заполнения межтрубное пространство на устье закрывают и далее в ходе технологической операции на скважине оно закрыто. Закачку ведут с начальным расходом 5,8 л/с. На устье скважины организуют процесс нестационарной закачки пластовой жидкости с колебаниями расхода от 5,2 до 6,4 л/с и частотой 0,02 Гц, аналогично изменяется давление нагнетания. При закачке пластовой жидкости через колонну насосно-компрессорных труб в пласт посредством информационно-измерительного комплекса измеряют и регистрируют с задаваемыми периодами опроса уровень hуст.зтр.(t) и устьевое давление Pуст.зтр.(t) в закрытом межтрубном пространстве, заполненном пластовой жидкостью, объемный расход нагнетаемой жидкости. По этим замерам по формулам (1)-(14) рассчитывают забойное давление PC(t), репрессию на пласт PC(t), объемный расход жидкости Q(t) в забойных условиях.
Для каждого из принятых значений m гидропроводности пласта определяют значение производной Ym/ Хm(tN) по формуле (22). Одновременно с Ym/ Хm(tN) для того же момента времени tN определяют накопленный объем жидкости в забойных условиях W(tN), поступившей в пласт к моменту времени tN с начала закачки, по формуле (17). Полученные значения наносят на график (фиг.2), где по оси абсцисс откладывают величины W, по оси ординат – соответствующие им значения Ym/ Хm(tN).
Графики производной Ym/ Хm(tN) существенно зависят от принятой величины гидропроводности пласта m. Чем ближе значения m к истинной величине гидропроводности пласта тем ближе графики производной Ym/ Хm(tN) к прямой, параллельной оси абсцисс. Среди полученных кривых зависимости Ym/ Хm(tN)= Ym/ Хm[W(tN)] установлены две линии, ближе остальных отвечающих условию (26):![]() Далее методом последовательного приближения находят величину гидропроводности пласта = 10,3 мкм2 м/мПа с), при которой производная Y/ Х может быть принята постоянной наилучшим образом. Выбор оптимального выполнения условия (26) достигают численными методами.
Величина , обеспечивающая выполнение условия (26) наилучшим образом, и является искомым значением гидропроводности пласта, а погрешность ее определения равна 1%.
Пример 4. Предлагаемый способ определения параметров призабойной зоны реализуют на нефтедобывающей скважине глубиной 2240 м.
Для оценки точности определения параметров призабойной зоны скважины предлагаемым способом до проведения работ по реализации предлагаемого способа на скважине дополнительно выполняют гидродинамические исследования методом восстановления забойного давления и гидропрослушивания, определяя при этом гидропроводность , и пьезопроводность пласта и призабойной зоны, коэффициент скин-эффекта S и радиус зоны загрязнения RПЗП: = 10,2 мкм2 м/(мПа с);![]() = 1410 см2/с;![]() S = 56,9; RПЗП = 1,68 м. До определения параметров призабойной зоны предлагаемым способом на скважине организуют предварительные исследования с целью уточнения гидропроводности пласта. Для этого проводят нестационарную закачку пластовой жидкости в пласт. Полученная при этом величина гидропроводности пласта совпадает с результатами гидродинамических исследований. Установлено также существенное загрязнение призабойной зоны (S>20-30). Поэтому далее реализуют предлагаемый способ, при этом достоверное определение параметров призабойной зоны достигают регистрацией параметров процесса (расхода, плотности жидкости и давления нагнетания) на устье скважины. Для реализации предлагаемого способа непосредственно перед этим заполняют межтрубное пространство скважины пластовой жидкостью. После заполнения межтрубное пространство на устье закрывают и далее в ходе технологической операции на скважине оно закрыто. На устье нефтедобывающей скважины организуют процесс нестационарной закачки пластовой жидкости. Процесс нестационарной закачки характеризуется колебаниями расхода от минимальных величин 0,58 л/с, обеспечивающих стабильную закачку с противодавлением на устье скважины, до максимальных 5,79 л/с, обеспечивающих при этом недопущение развития искусственной трещиноватости в призабойной зоне пласта, что достигается выполнением условия (28) для максимального забойного давления в процессе закачки пластовой жидкости: PCмакс<30,6 МПа, где PCмакс – максимально допустимое забойное давление в процессе закачки пластовой жидкости, МПа. Для получения достоверных результатов выполняют закачку пластовой жидкости на 10 режимах нагнетания с резкой сменой расхода с большего на меньший и наоборот (см. таблицу). Продолжительность закачки ![]() на каждом режиме приближенно оценивают по формуле (29):![]() для реализации предлагаемого способа продолжительность закачки на каждом режиме принята ![]() = 200 с (см. таблицу).
Таким образом, на основе выполненных оценок на устье организуют процесс нестационарной закачки пластовой жидкости с резкой сменой расходов от максимальных до минимальных значений и обратно каждые 200 с так, что кривая переменного расхода образует некоторую ступенчатую функцию (30) времени t нагнетания (см. таблицу).
При закачке пластовой жидкости через колонну насосно-компрессорных труб в пласт посредством информационно-измерительного комплекса измеряют и регистрируют с задаваемыми периодами опроса (10 с для замеров давления и расхода, 60 с – уровня) уровень hуст.зтр.(t)), устьевое давление РУСТ.ЗТР.(t)) в закрытом межтрубном пространстве, заполненном пластовой жидкостью, и объемный расход нагнетаемой жидкости. По этим замерам по формулам (1)-(14) рассчитывают забойное давление PC(t), репрессию на пласт PC(t) и объемный расход жидкости Q(t) в забойных условиях.
Для каждого замера, сделанного в текущем временном интервале на режиме закачки, рассчитывают значение функции репрессии Z( tZ), характеризующей нестационарное течение нагнетаемой жидкости в призабойной зоне скважины на данном режиме.
Расчеты выполняют последовательно для всех выполняемых замеров устьевых параметров. Для каждого режима закачки на основе выполненных замеров устьевых параметров и расчетов строят график функции репрессии Z( tZ), характеризующей нестационарное течение нагнетаемой жидкости в загрязненной призабойной зоне скважины в течение Z (Z = 1; 2; … 9; 10) режима закачки, последовательно для всех 10 режимов нестационарной закачки пластовой жидкости в нефтедобывающую скважину (фиг.3).
Таким образом, каждому из 10 режимов закачки соответствует своя линия (фиг. 3). На каждом из 10 полученных графиков в интервале 20 с – 140 с выделяют начальный наклонный прямолинейный участок, отражающий нестационарное течение нагнетаемой жидкости в загрязненной призабойной зоне на данном режиме закачки и описываемый уравнением прямой линии (32) с весьма высокими (0,96-0,99) коэффициентами корреляции.
Методом наименьших квадратов находят наклон и начальный участок выделенного прямолинейного отрезка на каждом режиме закачки (см. таблицу). Далее определяют гидропроводность и пьезопроводность призабойной зоны пласта по формулам (34), (35):![]() ![]() Аналогично определяют те же показатели и для остальных режимов закачки (см. таблицу). Используя найденные коэффициенты aZ, bZ, aZ-1, bZ-1, для двух смежных (Z, Z-1) режимов закачки, по формулам (36): S=55,9; после чего по формуле (37) рассчитывают радиус зоны загрязнения: RПЗС = 1,75 м. Аналогично определяют эти параметры и для остальных режимов нагнетания. Итоги определений параметров призабойной зоны на 10 режимах закачки приведены в таблице, здесь же даны средние величины параметров. Из сопоставления с результатами гидродинамических исследований скважины известным методом восстановления давления следует, что точность предлагаемого способа вполне достаточна для использования в нефтепромысловой практике. В рассматриваемом случае погрешности определения гидропроводности и пьезопроводности призабойной зоны составляют 7,4%; коэффициента скин-эффекта 5,6%; радиуса зоны загрязнения 3,6%. Применение предложенного способа позволит повысить точность оценки эффективности воздействия. Формула изобретения
РИСУНКИ
TK4A – Поправки к публикациям сведений об изобретениях в бюллетенях “Изобретения (заявки и патенты)” и “Изобретения. Полезные модели”
Страница: 362
Напечатано: Адрес для переписки: 109172, Москва, 1-й Гончарный пер., 7, кв.101, А.Е.Чикину
Следует читать: Адрес для переписки: 109004, Москва, Товарищеский пер., 29, корп.2, А.Е.Чикину
Номер и год публикации бюллетеня: 26-2002
Код раздела: FG4A
Извещение опубликовано: 7.04.2005 БИ: 12/2005
|
||||||||||||||||||||||||||

-м этапе будет закачана
h:
расстояние по вертикали от устья скважины до конца 

O(fluid0) в стандартных условиях
860 кг/м3 определяется так:
860 кг/м3:
C;



– относительная плотность газа в межтрубном пространстве;

– гидропроводность пласта, м2
; (16)

– пьезопроводность продуктивного пласта, м2/с;

– график производной
– – график производной
раск, (28)
на каждом режиме устанавливают опытным путем или приближенно оценивают так:
const, (30)
Z(
– 1;-
– -4;-*- -5; –
-10, с расходом QZ.
При наличии цифровой регистрации устьевых параметров и системы компьютерного анализа определение величин ln
(ln





[








тем ближе графики производной 
, и пьезопроводность
пласта и призабойной зоны, коэффициент скин-эффекта S и радиус зоны загрязнения RПЗП:



