Патент на изобретение №2189420
|
||||||||||||||||||||||||||
(54) ГИДРОТЕХНИЧЕСКИЙ КАНАЛ
(57) Реферат: Изобретение относится к гидротехнике и может быть использовано для транспортирования воды в мелиорации и других отраслях водного хозяйства. Гидротехнический канал содержит лоток полигонального сечения с симметричными откосами: верхними с заложением m1=0,25-1,5; средними с заложением m2=1-3 и донными с заложением m3=3-6. При этом лоток выполнен с относительными глубинами ![]() ![]() и относительной шириной ![]() где B1 – ширина лотка у подножья верхних откосов, м; h1 – глубина верхней части лотка без учета запаса превышения бровки над уровнем воды, м; h2 – глубина средней части лотка, м; h3 – глубина донной части лотка, м. Полигональное сечение обеспечивает высокую эффективность работы канала за счет увеличения пропускной способности. При этом материальные затраты на строительство канала уменьшаются за счет уменьшения площади облицовки. 4 ил. , 1 табл. Изобретение относится к гидротехнике и может быть использовано для транспортирования воды в мелиорации, гидроэнергетике и других отраслях водного хозяйства. Известен канал полигонального сечения с симметричными откосами – двумя боковыми m1=0,4-l,5 и двумя донными m2=2,5-6,0 (авт.св. 1640271 А1, кл. Е 02 В 5/00, 1990 г. ). Для этого канала относительная ширина, соответствующая гидравлически наивыгоднейшему сечению (ГНС), определяется по формуле , где b – ширина лотка по дну, м; h – глубина лотка у подножия боковых откосов без учета запаса превышения бровки над расчетным уровнем воды, м. Однако, эта формула справедлива только для данного сечения (с двумя парами откосов) и при определенных значениях m2=2,5-6,0 м. При других значениях m2 и другим количеством откосов по этому выражению невозможно подобрать наивыгоднейшее сечение полигонального канала. Кроме того, для ГНС вообще не ясно, в каком соотношении должны быть относительные глубины и заложения откосов [1].
Известен также канал полигонального сечения с тремя парами симметричных откосов m1, m2, m3 и шириной по низу b. Для этого сечения Угинчисом А.А. получены громоздкие зависимости по определению гидравлически наивыгоднейших характеристик данного сечения. При этом сечение разбито на три части – донная (m1h1), средняя (m2h2) и верхняя (m3h3). Характеристики всего сечения выражены через глубину донной части h1 (А.А. Угинчус. Гидравлические и технико-экономические расчеты каналов. M., 1965, с. 128-135) [2].
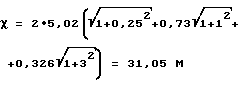
Однако по зависимостям Угинчуса А.А. очень сложно подобрать ГНС. Основной параметр канала, по которому определяют ГНС, он выразил через относительную ширину донной части сечения b/h1. Для ее определения он получил сложную формулу (125) [2], пo которой очень трудно и невозможно подобрать действительно наивыгоднейшее сечение. Автор рекомендует задаваться значениями относительных глубин i и заложений откосов mi при расчете ГНС. Только не говорит, какими именно значениями задаваться и в каком соотношении должны быть задаваемые значения i и mi. В своих примерах по определению ГНС автор задается одними и теми же значениями 2 = 3 = 1, m1=3; m2=2; m3=1,5. И для канала с этими данными, проходящего в земляном русле с уклоном i=0,00006, коэффициентом шероховатости n=0,02 и расходом воды Q=150 м3/с, по своей сложной методике он получил множество вариантов характеристик канала (в виде таблицы 33, 34, 35 и “универсальных” характеристик сечений…), из которых очень сложно выбрать наивыгоднейшие значения. По его утверждению, средняя скорость, соответствующая ГНС, составляет величину o=0,983 м/с. При этой скорости площадь живого сечения w=152,7 м2;смоченный периметр =37,4 м;гидравлический радиус R=4,08 м. А на самом деле эти результаты не являются характеристиками ГНС. Цель изобретения – повышение эффективности работы полигонального канала за счет увеличения пропускной способности и снижения материалоемкости при облицовке откосов. Указанная цель достигается, тем, что сечение канала выполняется в виде полигонального лотка с симметричными откосами – двумя верхними с заложением m1, двумя средними с заложением m2 и двумя донными с заложением m3, лоток выполнен с относительными глубинами ![]() ![]() и относительной шириной ![]() где h1 – глубина верхней части лотка без учета запаса превышения бровки над расчетным уровнем воды, м; h2 – глубина средней части лотка, м; h3 – глубина донной части лотка, м; B1 – ширина лотка у подножья верхних откосов, м. На фиг.1 изображено поперечное сечение канала без облицовки; на фиг.2, 3 и 4 – то же, в слабых грунтах с облицованными откосами. Канал представляет собой вписанный в полукруг (или сегмент) лоток полигонального сечения с симметричными откосами: двумя верхними с заложениями m1; двумя средними с заложениями m2; двумя донными с заложениями m3. Канал содержит лоток полигонального поперечного сечения с тремя парами симметричных откосов: двумя верхними откосами – 1; двумя средними откосами – 2; двумя донными откосами – 3 и бровками 4, проложенными в прочном скальном грунте 5 (фиг.1). В более слабом грунте 6 (фиг.2, 3 и 4), в зависимости от его прочности и глубины лотка откосы 1, 2 и 3 могут быть облицованы монолитным или сборным покрытием 7; откосы 1 выполнены в виде подпорных бетонных 8, габионных 9 и армогрунтовых 10 стен, а откосы 2 могут быть облицованы каменным покрытием 11. Сечение рассматриваемого канала разбито на 3 части. Характеристики верхней части обозначены через m1 и h1; средней части – m2, h2 и нижней части m3 и h3. Все параметры сечения канала выражены через глубину h1 верхней части сечения (без учета запаса превышения бровки и над уровнем воды) с помощью относительных глубин: ![]() Площадь живого сечения канала W=w1+w2+w3=B1h1+m1h2 1+B2h2+m2h2 2+m3h2 3, (2) B1=B2+2m2h2; B2=2m3h3 (3) С учетом выражений (1) и (3) ![]() W = h21(2m3 3+2m2 2+2m3 3 2+m2 22+m1+m3 23), (5)![]() Относительная ширина верхней части сечения ![]() Выразив B1 через , формула (2) после преобразования принимает вид:W = h1+m1h21+2m3 3 3h21+m2 22h21+m3 23h21 (8)W = h21( +m1+2m3 3 2+m2 22+m3 23), (9)![]() ![]() Приравняв формулы (6) и (10) и выполнив сокращения подобных членов, получим формулу по определению относительной ширины: = 2m3 3+2m2 2, (12)которая наиболее полно характеризует сечение полигонального канала. В этой формуле (12) все безразмерные параметры сечения связываются в одну простую математическую зависимость, с помощью которой легко подбирается ГНС рассматриваемого канала. Как известно, ГНС представляет собой такое сечение, в котором при заданной площади живого сечения W, уклона i и коэффициента шероховатости n пропускная способность канала будет наибольшей из всех возможных случаев. Но чаще ГНС канала определяют как сечение, в котором при данных n и i заданный расход Q проходит при минимальных значениях площади живого сечения W и смоченного периметра min/ . Известно, что сечение канала, выполненное в виде полукруга, является самым гидравлически наивыгоднейшим из всех возможных сечений открытых каналов. Полигональное сечение, выполненное в виде половины вписанного правильного многоугольника, находится наиболее близко к полукругу (фиг. 1). Исходя из того, что у правильного многоугольника все стороны равны и симметричны, можно получить следующее уравнение:![]() отсюда ![]() Смоченный периметр сечения канала ![]() С учетом уравнения (13) ![]() У вписанного в круг полигонального сечения (фиг.1) гидравлически наивыгоднейшие значения заложения откосов лежат в следующих пределах: ![]() Для проверки ГНС проведены расчеты по вышеприведенным формулам при m1= 0,25; m2=1; m3=3 и площади живого сечения W=150 м2. По формуле (14) определены ![]() ![]() и h1 определены по формулам (12) и (11) = 2 3 0,326 + 2 1 0,73 = 3,416![]() h2 = 2 h1 = 0,73 5,02 = 3,66 м,h3 = 3 h1 = 0,326 5,02 = 1,64 мПо формуле (15) смоченный периметр ![]() Гидравлический радиус ![]() Для сравнения с результатами ГНС по методу Угинчуса А. (и при тех же исходных данных: уклоне канала i=0,00006 и коэффициенте шероховатости n= 0,02) проверим пропускную способность канала по формуле Шези ,где С – коэффициент Шези, ![]() Средняя скорость потока ![]() Такие же расчеты проведены при тех же условиях, но с другими значениями заложений откосов: m1=0,6; m2=1; m3=4. Результаты получились (примерно такие же) =31,67 м;Q=163,89 м3/с; R=4,74 м; V=1,093 м/с, чуть хуже, чем в первом случае, но достаточно высокие по сравнению с результатами Угинчуса А. Как видно, при одних и тех же условиях пропускная способность канала (с предлагаемым вариантом сечения) увеличивается более чем на 10%, а смоченный периметр уменьшается более чем на 15% (по сравнению с сечением Угинчуса А.). Для пропуска заданного расхода Q=150 м3/с требуемая площадь живого сечения составляет![]() А по методу Угинчуса А. требуемая площадь живого сечения W=152,7 м2. Чтобы оценить полученные результаты, являются ли они гадравлически наивыгоднейшими характеристиками полигонального сечения, проведем расчеты при тех же исходных данных и для полукруглого сечения. Площадь живого сечения W = 0,5 ![]() 2 = 150 м2Радиус круга ![]() Смоченный периметр = ![]() =314 9,77=30,69 м.
Гидравлический радиус ![]() Коэффициент Шези ![]() Расход воды ![]() Средняя скорость V=1,116 м/с Результаты расчета ГНС для предлагаемого варианта полигонального канала оказались очень близкими к результатам полукруглого сечения – самого гидравлически наивыгоднейшего. Отличаются они менее чем на 2%. Отсюда можно сделать вывод, что предлагаемый вариант сечения полигонального канала, подбираемый с соблюдением условий (12), (14) и (15), является (бесспорно) самым гидравлически наивыгоднейшим по сравнению с известными полигональными сечениями. При тех же условиях проверим еще одно сечение с m1=l,5; m2=2; m3=3 (как в примере Угинчуса А.). Результаты получились следующие: 2=0,806; 3=0,57; =6,64;h1=3,38; =36,6 м;R=4,11 м; W=151 м3; V=0,994 м/с. И эти результаты являются лучшими по сравнению с результатами громоздких и сложных расчетов по методу Угинчуса А. Таким образом, можно констатировать следующее: предлагаемая Угинчусом А. Методика расчета ГНС полигональных каналов (с построением сложных универсальных характеристик) не позволяет подобрать действительно гидравлически наивыгоднейшее сечение. Все это хорошо видно из таблицы приложения, где приведены результаты основных расчетов. Кроме того, по предлагаемому варианту очень легко подбираются основные характеристики ГНС, объем расчетов получается более чем в 3 раза меньше, по сравнению с методикой Угинчуса А. Условия (12), (14) и (15) соблюдаются и для полигонального сечения с шириной по низу b (фиг.1 и 4). Только живое сечение W и смоченный периметр определяются с учетом величины b.
Гидравлически наивыгоднейшее сечение полигонального канала является и экономически наивыгоднейшим в случае, когда канал проходит по скальному основанию. В этом случае канал можно выполнить с любыми малыми значениями заложений откосов (15) без дополнительных затрат на крепления откосов. Из-за малой площади живого сечения уменьшается объем выработки грунта, соответственно, уменьшаются и затраты на строительство единицы длины канала.
В случае, когда канал проходит в нескальных грунтах (фиг.2, 3 и 4), очень сложно выполнить верхние откосы с заложением m1<1, возникает необходимость укрепить их подпорными стенками из бетона 8, из габионов 9 или из армированного грунта 10. Устройство подпорных стен обходится дорого, возрастает объем земляных работ и креплений. Поэтому гидравлически наивыгоднейшее сечение не всегда оказывается экономически наивыгоднейшим. Чтобы вместо подпорных стенок можно было предусмотреть простое крепление, необходимо увеличить заложение верхних откосов m1>1.
В связи с этим, экономически наивыгоднейшие значения заложений откосов лежат в более широких пределах:![]() При назначении заложений откосов необходимо стремиться, чтобы в результате получилось правильное полигональное сечение, то есть в виде части вписанного правильного многоугольника (фиг.1). Для этого должно соблюдаться дополнительно (14) еще одно условие: ![]() Предлагаемое полигональное сечение, подобранное с соблюдением условий (12), (14), (20) и (21) обеспечивает высокую эффективность работы канала за счет увеличения пропускной способности. При этом и материальные затраты на строительство канала уменьшаются за счет уменьшения площади облицовки. С полигональным сечением можно строить не только мелиоративные и энергетические каналы, но и судоходные каналы и зарегулированные участки русла реки (фиг.4). Источники информации 1. Авторское свидетельство СССР 1640271, кл. Е 02 B 5/00, 1990 г. 2. А.А. Угинчус. Гидравлические и технико-экономические расчеты каналов. М.: Стройиздат, 1965, с.42, 128-134. Формула изобретения
![]() ![]() и относительной шириной ![]() где h1 – глубина верхней части лотка без учета запаса превышения бровки над уровнем воды, м; m1 – заложение верхних откосов; h2 – глубина средней части лотка, м; m2 – заложение средних откосов; h3 – глубина донной части лотка, м; m3 – заложение донных откосов; В1 – ширина лотка у подножья верхних откосов, м. РИСУНКИ
MM4A Досрочное прекращение действия патента Российской Федерации на изобретение из-за неуплаты в установленный срок пошлины за поддержание патента в силе
Дата прекращения действия патента: 05.06.2002
Номер и год публикации бюллетеня: 32-2003
Извещение опубликовано: 20.11.2003
|
||||||||||||||||||||||||||




, где b – ширина лотка по дну, м; h – глубина лотка у подножия боковых откосов без учета запаса превышения бровки над расчетным уровнем воды, м. Однако, эта формула справедлива только для данного сечения (с двумя парами откосов) и при определенных значениях m2=2,5-6,0 м. При других значениях m2 и другим количеством откосов по этому выражению невозможно подобрать наивыгоднейшее сечение полигонального канала. Кроме того, для ГНС вообще не ясно, в каком соотношении должны быть относительные глубины и заложения откосов [1].
Известен также канал полигонального сечения с тремя парами симметричных откосов m1, m2, m3 и шириной по низу b. Для этого сечения Угинчисом А.А. получены громоздкие зависимости по определению гидравлически наивыгоднейших характеристик данного сечения. При этом сечение разбито на три части – донная (m1h1), средняя (m2h2) и верхняя (m3h3). Характеристики всего сечения выражены через глубину донной части h1 (А.А. Угинчус. Гидравлические и технико-экономические расчеты каналов. M., 1965, с. 128-135) [2].
Однако по зависимостям Угинчуса А.А. очень сложно подобрать ГНС. Основной параметр канала, по которому определяют ГНС, он выразил через относительную ширину донной части сечения b/h1. Для ее определения он получил сложную формулу (125) [2], пo которой очень трудно и невозможно подобрать действительно наивыгоднейшее сечение. Автор рекомендует задаваться значениями относительных глубин
i и заложений откосов mi при расчете ГНС. Только не говорит, какими именно значениями задаваться и в каком соотношении должны быть задаваемые значения
=37,4 м;






, формула (2) после преобразования принимает вид:








3 


,



2 = 150 м2







