Патент на изобретение №2189392
|
||||||||||||||||||||||||||
(54) ИНГИБИТОР NO-ЗАВИСИМОЙ АКТИВАЦИИ РАСТВОРИМОЙ ФОРМЫ ГУАНИЛАТЦИКЛАЗЫ
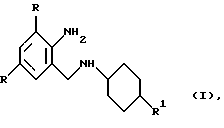
(57) Реферат: Изобретение относится к биохимии, в частности, к применению известных замещенных N-(2-аминобензил)циклогексиламинов общей формулы, где R=Cl или Br, R1=Н или ОН, и их фармакологически-приемлемых солей в качестве ингибитора NO-зависимой активации растворимой формы гуанилатциклазы (рГЦ). Может быть использовано в биохимии для изучения регуляторных эффектов оксида азота и механизма действия рГЦ, а также в фармакологии для лечения заболеваний, связанных с повышенным образованием оксида азота и циклического гуанозин-3′, 5′-циклофосфата (цГМФ). Замещенные N-(2-амино-бензил)циклогексиламины обозначенной формулы в интервале концентраций 1-100 мкМ оказывают ингибирующее действие на NO-зависимую активацию частично очищенной рГЦ из тромбоцитов человека и легких крысы под действием нитропруссида натрия (ННП). Концентрация амброксола (R=Br и R1=OH, транс-изомер, гидрохлорид), при которой наблюдалось снижение активирующего эффекта ННП на 50% (IC50), составляла 3,9 и 2,1 мкМ соответственно. Соединения общей формулы в условиях in vivo предотвращают снижение АД у бодрствующих крыс, вызываемое избыточным образованием NO и активацией рГЦ под действием экзогенного донора оксида азота – ННП. Инфузия амброксола со скоростью 14 мкл/мин в дозе 2,8 10-7 моль/кг в течение 35 мин вызывает уменьшение гипотензивного эффекта ННП в дозах 1-3 мкг/кг в 2,5-3 раза и незначительно влияет на ЧСС. 2 з.п. ф-лы, 6 ил.
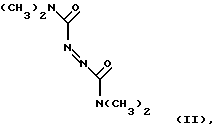
Изобретение относится к биохимии, в частности, к применению известных замещенных N-(2-аминобензил)циклогексиламинов общей формулы I: ![]() где R=Сl или Вr и R1=Н или ОН, и их фармакологически-приемлемых солей в качестве ингибиторов NО-зависимой активации растворимой формы гуанилатциклазы (pГЦ). Изобретение может быть использовано в биохимии для изучения регуляторных эффектов оксида азота и механизма действия рГЦ, а также в фармакологии для лечения заболеваний, связанных с повышенным образованием оксида азота и циклического гуанозин-3′,5′-циклофосфата (цГМФ). Гуанилатциклаза /КФ 4.6.1.2. ; гуанозин-5′-трифосфат-пирофосфатлиаза (циклизующая)/ является ферментом, катализирующим биосинтез цГМФ-универсального регулятора внутриклеточного метаболизма (Hobbs, A.J., “Soluble guanylate cyclase: the forgotten sibling” Trends in Pharm. Sci., 1997, v.18, 12, р.487-491 [1]). ГЦ существует в двух формах – мембранной и растворимой и играет ключевую роль в регуляции таких физиологических процессов, как сокращение и расслабление гладких мышц кровеносных сосудов и агрегация тромбоцитов. Основным эндогенным активатором рГЦ является оксид азота, который в результате взаимодействия с атомом железа гема, входящего в состав фермента, образует комплекс нитрозил-гем. Известны также соединения, способные активировать рГЦ по гем-независимому механизму: например, протопорфирин IX, ионы Мn2+, арахидоновая кислота и др. Оксид азота (NO), синтезируемый эндотелиальными клетками и другими типами клеток и тканей, играет одну из ключевых ролей в поддержании нормального тонуса гладких мышц сосудов, влияющего на системное давление крови. Механизм молекулярного действия эндогенного оксида азота, синтезируемого NO-синтазой из аминокислоты L-аргинина в эндотелии кровеносных сосудов, включает его диффузию через плазматические мембраны в полость кровеносного сосуда и в гладкомышечные клетки сосуда, где происходит активация рГЦ, приводящая к повышению синтеза цГМФ. Возрастание внутриклеточной концентрации данного вторичного мессенджера в гладко-мышечных клетках сосуда вызывает активацию цГМФ-зависимых протеинкиназ, что индуцирует дефосфорилирование молекулы миозина, а следовательно и расслабление гладких мышц коронарных и других кровеносных сосудов (сосудов мозга, брюшной полости, периферических сосудов), снижение сосудистого тонуса и сопротивления, то есть приводит к расширению просвета кровеносного сосуда. Таким образом, в норме NO снижает давление крови, повышает кровоток и способствует восстановлению сосудистой функции. Показано, что заболевания, вызываемые повышением активности индуцируемой NO-синтазы под действием различных патологических факторов (например, эндотоксина, фактора некроза опухоли и др.), сопровождаются интенсивным образованием NO и гиперактивацией рГЦ и цГМФ-зависимых протеинкиназ, приводящих к значительному снижению сосудистого тонуса. В результате происходит резкое понижение артериального давления, которое может вызвать шоковое состояние с летальным исходом (в критических случаях). Симптомы, аналогичные вышеописанным, наблюдаются также при передозировке NO-генерирующих гипотензивных средств, например органических нитратов. Показано, что вышеуказанные нарушения в системе NO/цГМФ-зависимых регуляторных процессов являются причиной возникновения таких патофизиологических состояний, как септический, кардиогенный, геморрогический, обструктивный и нейропатический шок. Один из фармакологических подходов к терапии шоковых состояний основан на применении ингибиторов рГЦ (заявка РСТ 93/23052, А 61 К 31/54, oп. 1993 г.). В настоящее время для изучения возможного участия рГЦ в различных физиологических процессах, применяют ингибиторы данного фермента, в частности, 3,7-бис(диметиламино)фенотиазинийхлорид (метиленовый синий), 6-(фениламино)-5,8-хинолиндион (LY 83583) и 1Н-[1,2,4]-оксадиазоло[4,3-а]хиноксалин-1-он (ОДХ) [1]. Данные соединения являются ингибиторами NO-зависимой активации рГЦ и частично влияют на базальную активность фермента. Кроме того, в аэробных условиях они способствуют образованию супероксид-аниона (кроме ОДХ), а также действуют на другие биологические объекты. Известен бис(N, N-диметиламид)азодикарбоновой кислоты (диамид) формулы II. ![]() оказывающий ингибирующее действие на базальную и NО-зависимую активность рГЦ (Craven, P.A., DeRubertis, F.R., “Effects of thiol inhibition on hepatic guanylate cyclase activity. Evidence for the involvement of vicinal dithiols in the supression of basal and agonist-stimulated activity” Biochim. Biophys. Acta. 1978, v.524, p. 231-244). Основным недостатком данного соединения является низкая эффективность ингибирующего действия на рГЦ (IС50=0,5-20 мМ). Известно ингибирование базальной активности рГЦ макроциклическими производными азофуразана, в частности, циклическим тетрамером азофуразана формулы III: ![]() (патент РФ 2151799, кл. C 12 N 9/99, 9/88, 1999 г.). Данное соединение практически не влияет на гем-зависимую активацию рГЦ под действием NO-донора – нитропруссида натрия (ННП). Известен противоопухолевый антибиотик доксорубицин (адриамицин) формулы IV: ![]() ингибирующий базальную и NO-зависимую активности рГЦ (Lehotai, DC. Levey, В. А. , et.al. “Inhibition of cardiac guanylate cyclase by doxorubicin and some of its analogs: possible relationship to cadiotoxicity” Cancer Treat. Rep. 1982, v. 66, 2, p. 311-316, Vesely, D.L., Levey, G.S., “Inhibition of nitroso chemical carcinogen activation of rat hepatic cyclase by anticancer reagent” Oncology. 1979, v.36, 3, p.122-126). Недостатком данного соединения является низкая эффективность ингибирующего действия на фермент (IC50=0,26-1 мМ). Известно уменьшение базальной и NО-зависимой активностей рГЦ под действием ингибиторов цитохром Р-450-содержащих монооксигеназ, в частности, метирапона (2-метил-1,2-бис(пиридил-3)-1-пропанона) формулы V и 2,3,5-триметил-6-(12-гидроксидодека-5,10-диинил)-1,4-бензохинона (АА 861) формулы VI: ![]() ![]() (Forstermann, U., Alheid, U., et al “Mechanisms of action oflipoxygenase and cytochrome P-450-mono-oxygenase inhibitors in blocking endothelium-dependent vasodilatation” Br. J. Pharm., 1988, v. 93, p.569-578). Недостатками данных соединений являются неспецифичность и низкая эффективность ингибирующего действия на фермент (IC50=0,1-3 мМ). Известно применение замещенных N-(2-аминобензил)циклогексиламинов вышеуказанной общей формулы I, где R=Сl или Br и R1=Н или ОН, и их фармакологически-приемлемых солей в качестве муколитических средств (Выложенные заявки ФРГ 2311637 (C 07 cd), oп. 1974 г. [7], 2338408 (С 07 С), oп. 1975 г. [8]). Известно также, что гидрохлорид соединения формулы I, где R=Вr и R1=ОН, (транс-изомер – амброксол), обладает антиоксидантными свойствами (Gillissen, A., Schaerling, В., et al “Oxidant scavenger function of ambroxol in vitro A comparison with N-acethylcysteine” Res Exp. Med. 1997, v.196, 6, р.389-398). Способность данных соединений ингибировать NO-зависимую активацию рГЦ до настоящего времени не изучена. Наиболее близким к соединениям общей формулы I по действию и структуре в ряду 1,2,4,6-тетразамещенных производных бензола является 2,6-бис(трет-бутил)-4-метилфенол (ионол) формулы VI: ![]() ингибирующий NO-зависимую активацию рГЦ и практически не влияющий на базальную активность фермента (Craven, PA, De Rubertis, F.R., “Inhibition by retinol and butylated hydroxyanisol of carcinogen-mediated increases in guanylate cyclase activity and guanosine 3′,5′-monophosphate accumulation” Cancer Res, 1977, v.37, p.4083-4097 – прототип). Недостатком данного соединения является низкая эффективность ингибирующего действия на фермент (IC50>1 мМ). Цель изобретения – поиск и выявление новых ингибиторов NО-зависимой активации рГЦ, обладающих более выраженными ингибирующими свойствами. Указанная цель достигается применением известных соединений – замещенных N-(2-аминобензил)циклогексиламинов общей формулы I, где R и R1 имеют вышеуказанные значения, в качестве новых ингибиторов NО-зависимой активации рГЦ. Согласно данному изобретению, предпочтительно применение транс-изомера гидрохлорида замещенного N-(2-аминобензил)циклогексиламина общей формулы I, где R= Br и R1=ОН, (транс-4-[(2-амино-3,5-дибромбензил)амино]циклогексанола гидрохлорида, амброксола), в качестве ингибитора NО-зависимой активации рГЦ. Предпочтительно применение соединений общей формулы I и их фармакологически-приемлемых солей в качестве гипертензивных средств для терапии заболеваний, связанных с повышенным образованием NO и цГМФ и сопровождающихся понижением артериального давления. В частности, предпочтительно применение соединений общей формулы I и их фармакологически-приемлемых солей для терапии эндотоксического, кардиогенного, геморрогического, обструктивного и нейропатического шока, а также при передозировке NO-генерирующих гипотензивных средств, например органических нитратов. Замещенные N-(2-аминобензил)циклогексиламины вышеуказанной общей формулы I были получены известным способом, основанным на реакции соответствующего замещенного бензилгалогенида или бензилового эфира арилкарбоновой или арилсульфоновой кислот с циклогексиламином или 4-амино циклогексанолом (в частности, его транс-изомером) в среде органического растворителя, при необходимости, при повышенной температуре с последующим выделением целевого продукта в свободном виде или в виде соли [7, 8]. Изобретение иллюстрируется следующими примерами. Пример 1. Ингибирующее действие замещенных N-(2-аминобензил)циклогексиламинов общей формулы I на NO-зависимую активацию частично очищенной рГЦ из тромбоцитов человека. Препарат фермента получали центрифугированием (10500 g) тромбоцитов человека, выделенных из венозной крови доноров известным способом. Активность фермента определяли по количеству образовавшегося цГМФ известным иммуноферментным способом с использованием наборов реактивов для количественного определения цГМФ АО “Биоиммуноген” (РФ). Инкубационная смесь для определения активности (общий объем пробы 150 мкл) приготавливалась при 0-4oС и содержала 50 мМ трис-НСl(рН 7,6), 1 мМ ГТФ, 4 мМ MgCl2, 4 мМ креатинфосфат, 20 мкг (50 ед/мг)креатинфосфокиназы, 10 мМ теофиллин и полученный ферментный препарат (10-20 мкг белка). При определении ингибирующего действия в среду инкубации вносили изучаемое соединение в виде раствора в водном диметилсульфоксиде (ДМСО). Концентрация соединения в пробе составляла 1 10-7-1 10-4 М, ДМСО – 0,2 об.%. Контрольная проба показала отсутствие влияния ДМСО в указанной концентрации на базальную активность рГЦ. Через 10 мин. в инкубационную смесь добавляли расчетное количество нитропруссида натрия (ННП) для достижения его концентрации в пробе, равной 100 мМ. Пробы инкубировали в термостате при 37oС в течение 15 мин. Реакцию останавливали перенесением проб на 2 мин в кипящую водяную баню с последующим охлаждением в водяной бане. После отделения денатурированного белка центрифугированием (10 мин при 1500 g) в полученном супернатанте определяли количество образовавшегося цГМФ вышеуказанным способом. Определение белка проводили по способу Лоури, в качестве стандарта использовали бычий сывороточный альбумин. Для оценки степени ингибирования NO-зависимой (под действием ННП) активации рГЦ соединениями общей формулы I проводили сравнение полученных данных с удельной активностью фермента в тех же условиях в отсутствие указанных веществ (фермент в 15,9 раз активировался 0,1 мМ ННП в присутствии 0,5 мМ дитиотреитола).
Замещенные N-(2-аминобензил)циклогексиламины вышеуказанной общей формулы I в интервале концентраций 1-100 мкМ оказывали ингибирующее действие на NO-зависимую активацию частично очищенной рГЦ из тромбоцитов человека. Так, концентрация амброксола (R=Br и R1=OH, транс-изомер, гидрохлорид), при которой наблюдалось снижение активирующего эффекта ННП на 50% (IC50), составляла 3,9 мкМ. При этом базальная активность фермента (в отсутствие ННП) практически не менялась. Наиболее близкий структурный аналог – ионол в вышеописанных условиях ингибировал NO-зависимую активацию рГЦ на 28% в концентрации 10 мкМ и также не оказывал влияния на базальную активность фермента.
Пример 2. Ингибирующее действие замещенных N-(2-аминобензил)циклогексиламинов общей формулы I на NО-зависимую активацию частично очищенной рГЦ из легких крысы.
В условиях примера 1 изучают влияние соединений настоящего изобретения на NО-зависимую активацию рГЦ из легких крысы, препарат которой был выделен и частично очищен известным способом.
Замещенные N-(2-аминобензил)циклогексиламины вышеуказанной общей формулы I в интервале концентраций 1-100 мкМ оказывали ингибирующее действие на NО-зависимую активацию частично очищенной рГЦ из легких крысы. Так, концентрация амброксола, при которой наблюдалось снижение активирующего эффекта ННП на 50% (IС50), составляла 2,1 мкМ. При этом базальная активность фермента (в отсутствие ННП) практически не менялась.
Пример 3. Ингибирующее действие замещенных N-(2-аминобензил)циклогексиламинов общей формулы I на снижение артериального давления, вызываемого ННП.
Влияние соединений настоящего изобретения на снижение артериального давления (АД), вызываемого ННП, определяли в условиях in vivo у бодрствующих крыс линии Вистар средней массой 280 г известным способом. Для измерения среднего АД и частоты сердечных сокращений (ЧСС) и для введения препарата в кровоток за сутки до эксперимента животным имплантировали полиэтиленовые катетеры (марки РЕ-10, РЕ-50) в бедренную артерию и бедренную вену. Свободные концы катетеров выводили и закрепляли на голове. Операция проводилась под гексеналовым наркозом (150 мг/кг). Через сутки крысу брали в опыт. В ходе эксперимента регистрировали АД датчиком фирмы Stadham (США) с последующей регистрацией данных с помощью компьютера (программа Bioshell, Факультет фундаментальной медицины МГУ им. Ломоносова, Россия). Во время всего эксперимента животные находились в состоянии бодрствования и могли свободно перемещаться по клетке. В течение часа животные свободно адаптировались к условиям эксперимента, а затем начинали регистрацию гемодинамических показателей, которая велась непрерывно в течение всего опыта. Исходные значения среднего артериального давления и частоты сердечных сокращений составляли 98,3 мм рт.ст. и 315,6 ударов/мин соответственно. После 1 часа адаптации к условиям эксперимента с интервалом 15 мин внутривенно вводили ННП в дозах 1, 2, 3 и 4 мкг/кг. В качестве замещенного N-(2-аминобензил)циклогексиламина использовали амброксол. Через 1 час после последнего введения ННП инфузировали амброксол (опыт) или физиологический раствор (0,9% NaCl) со скоростью 14 мкл/мин в дозе 2,8 10-7 моль/кг в мин. Через 35 мин после начала инфузии повторяли введение ННП, инфузию амброксола не прекращали. Полученные результаты представлены на фиг.1-6.
Инфузия амброксола в течение 35 мин не вызывала достоверных изменений АД и ЧСС по сравнению с контролем. Незначительное падение АД на 5-й минуте инфузии связано, по-видимому, с антиоксидантными свойствами данного соединения и является результатом кратковременного увеличения NO в крови. Болюсное введение ННП в дозах 1-4 мкг/кг приводило к значительному снижению АД. Инфузия амброксола со скоростью 14 мкл/мин в дозе 2,8 10-7 моль/кг в мин в течение 35 мин вызывала уменьшение гипотензивного эффекта ННП в дозах 1-3 мкг/кг в 2,5-3 раза и незначительно влияла на ЧСС.
Как вытекает из приведенных данных, соединения настоящего изобретения являются более эффективными ингибиторами NО-зависимой активации рГЦ, чем их наиболее близкий аналог – ионол. Кроме того, в условиях in vivo они предотвращали снижение АД, вызываемое избыточным образованием NO и активацией рГЦ (в частности, под действием экзогенного донора оксида азота – ННП).
Таким образом, применение замещенных N-(2-аминобензил)циклогексиламинов общей формулы I, ингибирующих NО-зависимую активацию рГЦ, расширяет ассортимент эффективных модуляторов активности данного фермента и опосредованных им физиологических эффектов.
Формула изобретения
![]() где R= Cl или Br и R1= Н или ОН, и их фармакологически-приемлемых солей в качестве ингибитора NO-зависимой активации растворимой формы гуанилатциклазы. 2. Применение транс-изомера гидрохлорида замещенного N-(2-аминобензил)циклогексиламина общей формулы I по п. 1, где R= Br и R1= ОН, в качестве ингибиторов NO-зависимой активации растворимой формы гуанилатциклазы. 3. Применение замещенных N-(2-аминобензил)циклогексиламинов общей формулы I по п. 1 для лечения заболеваний, связанных с повышенным образованием оксида азота и циклического гуанозин-3′, 5′-циклофосфата. РИСУНКИ
MM4A Досрочное прекращение действия патента Российской Федерации на изобретение из-за неуплаты в установленный срок пошлины за поддержание патента в силе
Дата прекращения действия патента: 17.01.2003
Номер и год публикации бюллетеня: 16-2004
Извещение опубликовано: 10.06.2004
|
||||||||||||||||||||||||||

10-7 моль/кг в течение 35 мин вызывает уменьшение гипотензивного эффекта ННП в дозах 1-3 мкг/кг в 2,5-3 раза и незначительно влияет на ЧСС. 2 з.п. ф-лы, 6 ил.







