Патент на изобретение №2189377
|
||||||||||||||||||||||||||
(54) АМИД N-(3′-ХЛОРБУТЕН-2′-ИЛ) АНТРАНИЛОВОЙ КИСЛОТЫ, ПРОЯВЛЯЮЩИЙ ПРОТИВОВОСПАЛИТЕЛЬНУЮ АКТИВНОСТЬ
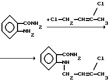
(57) Реферат: Изобретение относится к области органической химии, к классу амидов ароматических аминокислот, а именно к новому биологически активному амиду N-(3′-хлорбутен-2′-ил)-антраниловой кислоты, обладающему противовоспалительной активностью, который может найти применение в медицине. Соединение практически нетоксично и по противовоспалительной активности равно ортофену и превосходит аналог по структуре. 1 табл. Заявляемое соединение относится к области органической химии, к классу амидов ароматических аминокислот, а именно к новому биологически активному амиду N-(3′-хлорбутен-2′-ил)-антраниловой кислоты, которое может найти применение в качестве основы нового лекарственного средства следующей формулы: ![]() Ближайшим структурным аналогом заявляемого соединения является натриевая соль N-(3′-хлорбутен-2′-ил)-антраниловой кислоты, проявляющая противовоспалительную активность [Авторское свидетельство 1783774, 1990]. ![]() В лечебной практике применяется противовоспалительное средство ортофен [Машковский М. Д. Лекарственные средства (пособие по фармакотерапии для врачей), М. , ” Медицина”, Т. 1., С. 172, (1997], который взят нами в качестве эталона сравнения. Целью предлагаемого изобретения является получение нового амида N-(3′-хлорбутен-2′-ил)-антраниловой кислоты, обладающего противовоспалительным действием. Поставленная цель достигается путем взаимодействия амида антраниловой кислоты с 1,3-дихлорбутеном-2 с образованием амида N-(3′-хлорбутен-2′-ил)-антраниловой кислоты: ![]() К раствору из 0,68 г (0,005 моль) амида антраниловой кислоты и 20 мл горячей воды при постоянном перемешивании по каплям добавляют 0,69 г (0,0055моль) 1,3-дихлорбутена-2 при комнатной температуре в течение 1 ч. Полученную смесь нейтрализуют карбонатом натрия. Образовавшийся осадок отфильтровывают и перекристаллизовывают из смеси воды с этанолом (2:1). Выход 52,8%. Т.пл. 122-4oС, найдено, %: Cl 15,54; N 12,25; вычислено, %: Cl 15,78; N 12,47. ИК-спектр, max, см-1: 1520, 1580, 1620, 1670, 3050, 3380. ПМР-спектр, CDCl3, , м.д.: 2,0 с (3Н, СН3); 3,7 д (2Н,СН2); 5,5 т (1Н, СН=); 5,90-7,76 м (7Н, 4Н аром, NH, NH2).
Заявляемое соединение представляет собой белое с желтоватым оттенком кристаллическое вещество, не растворимое в воде, растворимое в этаноле, диметилформамиде и диметилсульфоксиде.
Исследование острой токсичности и противовоспалительной активности проводили на кафедре фармакологии Пермской фармацевтической академии.
Была определена острая токсичность (ЛД50) соединения на белых мышах массой 16-20 г при однократном внутрибрюшинном введении в 2%-ной крахмальной слизи. Каждой паре мышей вводили одну дозу в порядке возрастания. Гибель животных регистрировали в течение 1 суток. ЛД50 вычисляли экспресс-методом при Р= 0,05 [Прозоровский В.Б. Практическое пособие по ускоренному определению среднеэффективных доз и концентраций биологически активных веществ. С. -Петербург: НПП-Наука, 1992].
Противовоспалительное действие соединения изучали в соответствии с методическими указаниями по экспериментальному изучению нестероидных противовоспалительных фармакологических веществ, одобренных фармакологическим комитетом МЗ СССР (протокол 22 от 11.11.82). Опыты проведены на беспородных белых крысах массой 150-220 г на модели острого воспалительного отека, вызванного субплантарным введением в заднюю лапу крысы 0,1 мл 1% раствора каррагенина. О противовоспалительном действии судили по торможению отека стопы в процентах к контролю. Объем стопы измеряли онкометрически [Салямон Р.С. Лекарственная регуляция воспалительного процесса. Л., 1958. – С. 11-43]. В качестве препарата сравнения использовали ортофен. Исследуемое соединение (50 мг/кг), аналог по структуре (50 мг/кг) и ортофен (10 мг/кг) вводили внутрибрюшинно за 1 час до введения каррагенина. Оценку противовоспалительного действия проводили через 4 часа после введения флогогенного агента. Результаты опытов обработаны статистически с вычислением критериев достоверности при р 0,05. Данные исследования представлены в таблице.
Из данных таблицы видно, что заявляемое соединение практически нетоксично (ЛД50 соответствует 3570 мг/кг), обладает в 48,2 раза меньшей токсичностью в сравнении с ортофеном и в 15,5 раза меньшей токсичностью в сравнении с аналогом по структуре. По противовоспалительной активности заявляемое соединение равно ортофену и превосходит аналог по структуре в 1,4 раза. Условная широта фармакологического действия (УШФД) у заявляемого соединения в 9,6 раз больше УШФД ортофена и в 15,5 раза больше УШФД аналога по структуре.
Заявляемое соединение перспективно как вещество, проявляющее противовоспалительное действие, близкое по активности эталону сравнения – ортофену и обладающее меньшей токсичностью в сравнении с ним. Таким образом, предлагаемое соединение может найти применение в медицине в качестве основы для создания новых противовоспалительных лекарственных средств.
Формула изобретения
![]() проявляющий противовоспалительную активность. РИСУНКИ
MM4A Досрочное прекращение действия патента Российской Федерации на изобретение из-за неуплаты в установленный срок пошлины за поддержание патента в силе
Дата прекращения действия патента: 27.07.2003
Извещение опубликовано: 27.09.2004 БИ: 27/2004
|
||||||||||||||||||||||||||




max, см-1: 1520, 1580, 1620, 1670, 3050, 3380. ПМР-спектр, CDCl3,
, м.д.: 2,0 с (3Н, СН3); 3,7 д (2Н,СН2); 5,5 т (1Н, СН=); 5,90-7,76 м (7Н, 4Н аром, NH, NH2).
Заявляемое соединение представляет собой белое с желтоватым оттенком кристаллическое вещество, не растворимое в воде, растворимое в этаноле, диметилформамиде и диметилсульфоксиде.
Исследование острой токсичности и противовоспалительной активности проводили на кафедре фармакологии Пермской фармацевтической академии.
Была определена острая токсичность (ЛД50) соединения на белых мышах массой 16-20 г при однократном внутрибрюшинном введении в 2%-ной крахмальной слизи. Каждой паре мышей вводили одну дозу в порядке возрастания. Гибель животных регистрировали в течение 1 суток. ЛД50 вычисляли экспресс-методом при Р= 0,05 [Прозоровский В.Б. Практическое пособие по ускоренному определению среднеэффективных доз и концентраций биологически активных веществ. С. -Петербург: НПП-Наука, 1992].
Противовоспалительное действие соединения изучали в соответствии с методическими указаниями по экспериментальному изучению нестероидных противовоспалительных фармакологических веществ, одобренных фармакологическим комитетом МЗ СССР (протокол 22 от 11.11.82). Опыты проведены на беспородных белых крысах массой 150-220 г на модели острого воспалительного отека, вызванного субплантарным введением в заднюю лапу крысы 0,1 мл 1% раствора каррагенина. О противовоспалительном действии судили по торможению отека стопы в процентах к контролю. Объем стопы измеряли онкометрически [Салямон Р.С. Лекарственная регуляция воспалительного процесса. Л., 1958. – С. 11-43]. В качестве препарата сравнения использовали ортофен. Исследуемое соединение (50 мг/кг), аналог по структуре (50 мг/кг) и ортофен (10 мг/кг) вводили внутрибрюшинно за 1 час до введения каррагенина. Оценку противовоспалительного действия проводили через 4 часа после введения флогогенного агента. Результаты опытов обработаны статистически с вычислением критериев достоверности при р
0,05. Данные исследования представлены в таблице.
Из данных таблицы видно, что заявляемое соединение практически нетоксично (ЛД50 соответствует 3570 мг/кг), обладает в 48,2 раза меньшей токсичностью в сравнении с ортофеном и в 15,5 раза меньшей токсичностью в сравнении с аналогом по структуре. По противовоспалительной активности заявляемое соединение равно ортофену и превосходит аналог по структуре в 1,4 раза. Условная широта фармакологического действия (УШФД) у заявляемого соединения в 9,6 раз больше УШФД ортофена и в 15,5 раза больше УШФД аналога по структуре.
Заявляемое соединение перспективно как вещество, проявляющее противовоспалительное действие, близкое по активности эталону сравнения – ортофену и обладающее меньшей токсичностью в сравнении с ним. Таким образом, предлагаемое соединение может найти применение в медицине в качестве основы для создания новых противовоспалительных лекарственных средств.
