Патент на изобретение №2189114
|
||||||||||||||||||||||||||
(54) СПОСОБ И СИСТЕМА МОДЕЛИРОВАНИЯ РАДИОПОМЕХ, ПРИНИМАЕМЫХ АБОНЕНТСКИМИ АППАРАТАМИ В СИСТЕМЕ СВЯЗИ С РАСШИРЕННЫМ СПЕКТРОМ
(57) Реферат: Изобретение предназначено для моделирования радиопомех сигналов в одном канале связи в системе связи типа сотовой или беспроволочной абонентской телефонной и/или информационной систем. Система связи может быть сотового типа, в которой пользователи множества ячеек осуществляют обмен информационными сигналами друг с другом, используя по меньшей мере одну базовую станцию и сигналы связи типа расширенного спектра системы многостанционного доступа с кодовым разделением каналов. Базовая станция включена в первую из ячеек и имеет передающее устройство, от которого передают информацию на абонентские аппараты по меньшей мере по одному каналу связи. Способ включает в себя этап определения энергии первого составного сигнала, связанного с передачей сигнала от передающего устройства базовой станции по первой группе моделируемых каналов связи. Способ моделирования дополнительно предполагает оценку первой средней скорости передачи информации для энергии первого составного сигнала. Мощность сигнала, передаваемого по одному каналу связи, регулируют в соответствии с первым сигналом радиопомех, который основан на энергии первого составного сигнала и первой средней скорости передачи информации. 7 с. и 36 з.п. ф-лы, 9 ил., 3 табл. Область техники Изобретение в целом относится к системам радиосвязи, таким, например, как местные телефонные системы связи и персональные системы радиосвязи с сотовой структурой зон обслуживания. Более конкретно, данное изобретение касается новых и усовершенствованных системы и способа, предназначенных для передачи информации в подвижных сотовых или спутниковых телефонных системах, использующих сигналы связи типа сигналов с расширенным спектром. Предшествующий уровень техники Одним из нескольких способов, предназначенных для облегченной связи в системах, обеспечивающих большое число абонентов, является использование способов модуляции многостанционного доступа с кодовым разделением каналов (СДМА). В технике известны другие способы образования систем связи с многостанционным доступом, такие как многостанционный доступ с временным разделением каналов (ТДМА), многостанционный доступ с частотным разделением каналов (МСДЧРК) и схемы амплитудной модуляции (AM) типа модуляции с амплитудно компандированной одной боковой полосой. Однако способы модуляции расширенного спектра СДМА имеют значительное преимущество по сравнению с другими способами модуляции, предназначенными для систем связи с многостанционным доступом. Использование технических приемов СДМА в системе связи с многостанционным доступом раскрыто в патенте США 4901307, выданном 13 февраля 1990 г., под названием “Система связи с многостанционным доступом расширенного спектра, использующая спутниковые или наземные ретрансляторы”, и принадлежащем тому же патентовладельцу, что и данное изобретение. В упомянутом выше патенте США 4901307 раскрыт способ многостанционного доступа, в котором большое количество абонентов системы радиосвязи, каждый из которых имеет приемопередатчик, осуществляют связь через спутниковые ретрансляторы или приемопередатчики наземной базовой станции, используя сигналы связи расширенного спектра СДМА (многостанционного доступа с кодовым разделением каналов). При использовании способов связи СДМА спектр частот можно повторно использовать множество раз, допуская таким образом увеличение пропускной способности абонентов системы. Использование СДМА дает значительно более высокую спектральную эффективность, чем можно достичь при использовании других способов многостанционного доступа. Методы СДМА, как описано в патенте США 4901307, предполагают использование относительно длинной высокоскоростной последовательности псевдошумов (PN), где каждому абонентскому каналу назначается иная последовательность РN. Взаимная корреляция между различными последовательностями PN и автокорреляция последовательности РN для всех временных сдвигов, отличающихся от нуля, имеют средние значения, близкие к нулю. Таким способом сигналы, передаваемые с базовой станции по “прямому” каналу связи, способны быть распознанными между приемами удаленным пользователем или абонентскими аппаратами. Однако, поскольку такие сигналы PN не полностью ортогональны, через небольшие периоды времени между ними возникают шумы взаимных помех. Данные шумы возникают несмотря на то, что взаимная корреляция сигналов PN в среднем приближает их к нулю, поскольку в короткий промежуток времени, то есть в течение длительности информационного двоичного разряда взаимная корреляция следует биноминальному распределению. Сами по себе сигналы прямого канала взаимодействуют друг с другом почти так же, как если бы они были широкополосным гауссовым шумом с такой же спектральной плотностью мощности. В соответствии с этим такой тип взаимных помех между сигналами, передаваемыми по прямому каналу, ведет к ограничению достигаемой пропускной способности системы связи. В патенте США 5103459, выданном 7 апреля 1992 г., под названием “Система и способ, предназначенные для генерирования форм сигналов в сотовой телефонной системе МСДКРК”, принадлежащем владельцу данного изобретения, раскрыты новые усовершенствованные способ и система, предназначенные для создания последовательностей РN, обеспечивающих ортогональность между сигналами, передаваемыми абонентам по прямому каналу связи, так что взаимные помехи снижаются. Такое снижение взаимных помех обеспечивает более высокую пропускную способность системы и лучшие характеристики канала связи. Поскольку использование ортогональных кодов РN делает взаимную корреляцию нулевой в течение заранее заданного периода времени, взаимные помехи не возникают при условии, что выровнены между собой временные системы отсчета кадров. В системе, описанной в упомянутом патенте США, предпочтительная реализуемая форма сигнала включает в себя использование несущей частоты расширенного спектра РN прямой последовательности. Частота следования элементарных посылок сигнала для несущей PN была выбрана в предпочтительном варианте осуществления изобретения равной 1,2288 МГц. При выборе частоты следования элементарных посылок сигнала учли соображение, состоящее в том, что она должна точно делиться на подлежащие использованию в системе связи скорости передачи данных группового спектра. Кроме того, желательно, чтобы энергия частоты следования элементарных посылок была в два раза больше скорости передачи данных группового спектра. В предпочтительном варианте осуществления изобретения скорость передачи данных группового спектра равна 9600 бит в секунду, что приводит к выбору частоты 1,2288 МГц, которая равна 128 (27), умноженной на 9600 для частоты следования элементарных посылок РN. При передаче сообщений, осуществляемой между базовыми станциями в системе с сотовой структурой зоны обслуживания и различными подвижными аппаратами, используемые для расширения спектра кодовые последовательности создают из двух разных типов последовательностей, каждая из которых имеет отличающиеся характеристики для обеспечения разных функций. Существует внешний код, который используется совместно всеми сигналами в ячейке или секторе для идентифицирования сигналов многолучевого распространения. Внешний код также используют для идентифицирования сигналов, передаваемых разными ячейками или секторами на подвижные аппараты. Кроме того, существует внутренний код, который используют для идентифицирования сигналов абонентов, передаваемых внутри одного сектора или ячейки. Осуществление системы СДМА с сотовой структурой зон обслуживания, способной обеспечить адекватное обслуживание конкретного географического региона, в общем предусматривает ряд факторов, влияющих на характеристики системы. Например, обычно необходимо учитывать протяженность имеющегося частотного спектра, а также возможность координирования с другими соседними системами связи. Кроме того, необходимо принимать во внимание ограничения, налагаемые тепловым шумом и помехами, создаваемыми различными удаленными пользователями или абонентскими аппаратами. Оценкам помех внутри систем МСДКРК придается особое значение, поскольку энергия передается абонентскими аппаратами в одной и той же полосе частот, независимо от местоположения внутри области, перекрываемой сотовой структурой. Помехи в прямом канале связи, то есть от ячейки к абоненту, могут возникать, когда базовые станции внутри соседних ячеек используют тот же или смежный канал связи или радиоканал СДМА с тем, который предназначен для приема конкретным абонентским аппаратом. Для оценки характеристик системы в реальных условиях можно развернуть выбранное количество абонентских аппаратов на различных расстояниях от многочисленных базовых станций в качестве средства оценки уровней помех прямого канала связи. Однако попытка определить помехи в прямом канале связи посредством таких эксплуатационных испытаний требует наличия большого количества абонентских аппаратов и базовых станций. Это могло бы предотвратить калибровку всей системы, если бы количество базовых станций, имеющихся во время первоначального исследования системы, было меньше количества подлежащих в конечном итоге установке. В соответствии с этим в основу настоящего изобретения поставлена задача создания системы, предназначенной для моделирования помех, возникающих при передаче сигнала с базовых станций в абонентские аппараты в рамках системы связи СДМА. Раскрытие изобретения В настоящем изобретении предложены способ и устройство, предназначенные для моделирования сигнальной помехи, возникающей в системе связи типа системы абонентского радиотелефона и/или системы передачи данных. Система связи в предпочтительном случае представляет такой тип, в котором удаленные пользователи или абоненты из множества ячеек передают информационные сигналы друг другу или на телефонную сеть общего пользования, используя, по меньшей мере, одну базовую станцию и сигналы связи типа расширенного спектра многостанционного доступа с кодовым разделением каналов (СДМА). Базовая станция имеет, по меньшей мере, одно передающее устройство, которое передает информацию на абонентские аппараты, по меньшей мере, по одному каналу связи, и расположена в первой из ячеек. Соответствующий изобретению способ, предназначенный для моделирования сигнальной помехи, по меньшей мере, в одном канале связи, включает в себя этап определения энергии первого полного сигнала, связанного с прохождением сигнала от передающего устройства базовой станции по первой группе моделированных каналов связи. Осуществляют также определение первой средней скорости передачи данных в отношении передачи энергии первого полного сигнала, которая может основываться на скорости, установленной для разных пользователей внутри системы. Мощность сигнала, передаваемую по одному каналу связи, регулируют в соответствии с первым сигналом помех, который обеспечен на уровне мощности, определяемом на основе энергии первого полного сигнала и средней скорости передачи информации. Первый сигнал помех передают по меньшей мере по одному каналу связи. Когда пользователи или абоненты системы уже развернуты с использованием каналов в системе связи, можно осуществлять определение количества эквивалентных моделированных каналов, необходимых из-за снижения количества требуемых моделированных каналов на количество реальных уже используемых каналов. Определение энергии сигнала, передаваемого по эквивалентному количеству каналов, и связанной с ней средней скоростью передачи данных используют в дальнейшем для определения энергии полного сигнала. Кроме того, реальные удаленные пользователи могут контролироваться для определения как количества используемых каналов, так и фактических радиопомех либо объема радиообмена. Настоящее изобретение предполагает также определение энергии второго полного сигнала, предназначенной для передачи сигнала по второму набору моделированных каналов. Аналогичное определение осуществляют на основе второй средней скорости передачи информации, на которой указанная энергия сигнала передается во втором наборе моделированных каналов. Это обеспечивает возможность генерировать второй сигнал помех на основании энергии второго полного сигнала средней скорости передачи информации. Второй сигнал помех можно использовать для преобразования первого сигнала. Первый сигнал помехи представляет ортогональную составляющую помехи, связанную с передачей сигнала внутри первой ячейки, тогда как второй сигнал помехи представляет неортогональную составляющую помехи, связанную с передачей сигнала вне первой ячейки. Мощность энергии сигнала, передаваемого по первому каналу связи, регулируют в соответствии с энергиями ортогонального и неортогонального сигналов. Первый сигнал помехи обычно формируют путем генерирования случайных переменных и затем формирования их спектра посредством их фильтрации в соответствии с заранее определенной корреляционной функцией. Последовательность случайных переменных можно масштабировать на основе первой средней скорости передачи данных и сдвигать на основе величины энергии первого полного сигнала. В предпочтительном варианте осуществления изобретения данную операцию выполняют путем синтезирования электрического шума по заранее установленному частотному диапазону, предпочтительно имеющему относительно однородную спектральную плотность, с последующим регулированием уровня энергии данного электрического шума с учетом величины энергии первого полного сигнала и средней скорости передачи данных. Энергию сигнала можно также регулировать с учетом энергии второго полного сигнала и средней скорости передачи информации для других имитированных каналов. Кроме того, в изобретении раскрыт способ, предназначенный для использования последовательности случайных переменных, таких как гауссова случайная переменная, для моделирования вариаций в первом полном сигнале. Устройство, предназначенное для моделирования радиопомех сигналов между каналами связи в системе связи, обычно имеет элемент выбора энергии, который дает на выходе энергию первого полного сигнала в качестве сигналов, передаваемых по первому набору нужного количества моделированных каналов, и элемент формирования скорости передачи информации, который дает на выходе первую среднюю скорость передачи информации. Генератор первого сигнала помех, подсоединенный к селектору энергии и формирователю скорости передачи информации, формирует выходной сигнал, имеющий мощность сигнала на основании мощности первого полного сигнала и средней скорости передачи информации. Первый генератор сигналов помех согласно предпочтительному варианту осуществления включает по меньшей мере один генератор сигнала электрического шума с выходной энергией, которую регулируют под действием управляющего входного сигнала. По меньшей мере одно устройство управления интенсивностью шума подсоединено ко входу управления генератора источника шума, и он сам, имея входы, подсоединенные к селектору энергии и формирователю скорости передачи информации, вырабатывает управляющий сигнал, величина которого изменяется в ответ на изменения энергии сигнала и скорости передачи информации для моделируемых каналов. Можно также использовать по меньшей мере второй селектор энергии, выходные сигналы которого представляют собой энергию второго полного сигнала для сигналов, передаваемых по второму набору моделированных каналов, а управляющее устройство интенсивностью шума выполнено с возможностью генерирования базового сигнала отчасти на мощности сигнала, который передают по указанным другим моделированным каналам. Согласно одному из аспектов изобретения управляющее устройство имеет элемент, предназначенный для генерирования последовательности случайных переменных, и средство, предназначенное для масштабирования этой последовательности на основании средней скорости передачи информации. Кроме того, управляющее устройство содержит в себе средство, предназначенное для сдвига последовательности случайных переменных на основании величины энергии первого полного сигнала. Согласно другому аспекту в устройстве управления шумом используются генераторы двоичных последовательностей для создания гауссовых случайных переменных с заранее выбранными скоростями и фильтры последовательностей, подсоединенные для приема и фильтрации указанных двоичных последовательностей, с учетом расчетного времени корреляции информационных сигналов, переносимых передаваемой энергией сигналов, и средней флуктуации энергии. В любом случае фильтрованный электронный шум передают по упомянутому одному каналу связи. Краткое описание чертежей В дальнейшем изобретение поясняется описанием вариантов его выполнения со ссылками на сопровождающие чертежи, на которых: Фиг.1 представляет блок-схему пиготетической телефонной системы с сотовой структурой зоны обслуживания, в которой можно применять соответствующую настоящему изобретению систему моделирования радиопомех. Фиг.2 иллюстрирует блок-схему варианта приемного оборудования абонентского аппарата. Фиг. 3А представляет участок с гексагональным разделением, соответствующий области перекрытия варианта системы связи с многостанционным доступом. Фиг.3В представляет пару смежных шестиугольных ячеек, включенных в показанную на фиг.3А область перекрытия. Фиг. 4 графически представляет радиопомехи, возникающие от ячеек с тройным перекрытием относительно общих радиопомех. Фиг. 5 представляет блок-схему аналогового фильтра нижних частот, из которого можно получить цифровой фильтр нижних частот, используемый при соответствующей изобретению обработке последовательности гауссова шума. Фиг. 6 представляет упрощенную блок-схему приемной части варианта абонентского аппарата, использующего предпочтительный вариант соответствующего настоящему изобретению устройства моделирования радиопомех. Фиг. 7 представляет блок-схему варианта передатчика сотового участка, использующего предпочтительный вариант осуществления соответствующего настоящему изобретению устройства моделирования радиопомех. Фиг. 8 представляет вариант выполнения генератора формы волны радиопомех в канале, собранного для формирования сигнала помех, представляющего множество ортогональных каналов для радиообмена внутри моделированной ячейки. Лучший вариант осуществления изобретения I. Обзор системы В телефонной системе с сотовой структурой зоны обслуживания СДМА (многостанционного доступа с кодовым разделением каналов) типа описанной в упоминаемом выше патенте США 5103459, каждая станция сотового участка или базовая станция имеет несколько блоков модуляторов-демодуляторов, или модемов расширенного спектра. Каждый модем состоит из цифрового модулятора передачи расширенного спектра, по меньшей мере одного цифрового устройства приема данных расширенного спектра и приемника поискового устройства. Каждый модем в узле ячейки назначается абонентскому аппарату по мере необходимости для облегчения связи по прямому “каналу радиообмена” с назначенным абонентским аппаратом. На фиг.1 проиллюстрирован пример телефонной системы с сотовой структурой зоны обслуживания, в которой может быть объединена соответствующая настоящему изобретению система моделирования радиопомех. В изображенной на фиг.1 системе используются методы модуляции расширенного спектра при передаче по прямым каналам радиообмена между узлами ячеек и абонентскими аппаратами или подвижными телефонными аппаратами. Сотовые системы в больших городах могут иметь сотни базовых станций узлов ячеек, обслуживающих тысячи подвижных телефонных аппаратов или других абонентских аппаратов. Использование способов расширенного спектра, в частности СДМА, просто способствует увеличениям пропускной способности пользователей в системах данного размера по сравнению с обычными сотовыми системами типа частотной модуляции. Хотя настоящее изобретение описано со ссылкой на мобильную сотовую систему согласно фиг.1, следует уяснить, что положения изобретения в равной степени применимы к системам связи СДМА, в которых множество абонентских аппаратов распределены по ряду фиксированных местоположений (позиций). Как будет показано ниже, в настоящем изобретении раскрыты способ и устройство, предназначенные для моделирования эффекта сигнальных радиопомех, принимаемых данным абонентским аппаратом, обусловленных передачей данных по каналам радиообмена внутри индивидуальной ячейки, а также эффекта, обусловленного радиопомехами от передачи сигнала по каналам радиообмена в смежных ячейках. В соответствии с изобретением такие радиопомехи в канале радиообмена моделируют с помощью введения случайных данных в сигнал, передаваемый базовой станцией узла ячейки, размещенной внутри ячейки данного абонентского аппарата. Это дает возможность моделировать радиопомехи, возникающие при передаче сигнала по выбранному количеству каналов радиообмена, независимо от количества каналов радиообмена: (i) реально используемых внутри ячейки данного абонентского аппарата (здесь и далее называемой “моделируемой” ячейкой) или (ii) реально используемых внутри ячеек, окружающих моделируемую ячейку. Из этого следует, что моделирование уровней радиопомех, соответствующих максимальной пропускной способности ячейки, возможно даже при отсутствии необходимого количества абонентских аппаратов. Хотя согласно предпочтительному варианту осуществления изобретения моделированные радиопомехи канала радиообмена передаются узлом ячейки внутри моделируемой ячейки, в альтернативных вариантах осуществления изобретения аналоговый сигнал радиопомех непосредственно вводят в приемное устройство испытываемого абонентского аппарата. В последнем примере вводимый сигнал создают так, чтобы учитывать влияние распространения по каналу передачи между узлом ячейки и испытываемым абонентским аппаратом. Из фиг.1 видно, что управляющее устройство и коммутатор системы 10, также называемые подвижной коммутационной телефонной станцией (ПКТС), обычно включает в себя схему сопряжения и обработки данных, предназначенную для обеспечения управления системы узлами ячеек. Управляющее устройство 10 также управляет маршрутизацией телефонных вызовов из телефонной сети общего пользования в соответствующий узел ячейки для передачи в соответствующий подвижный или абонентский аппарат. Кроме того, управляющее устройство 10 управляет маршрутизацией вызовов из подвижных или удаленных абонентских аппаратов, используя по меньшей мере один узел ячейки, в АТС общего пользования. Управляющее устройство 10 позволяет подсоединять или связывать вызовы между абонентскими аппаратами, используя соответствующие базовые станции, поскольку абонентские аппараты обычно не связаны непосредственно друг с другом. Управляющее устройство 10 можно подсоединять к узлу ячейки с помощью различных средств типа выделенных телефонных линий, волоконно-оптических линий связи или сверхвысокочастотных (СВЧ) линий связи. На фиг.1 показаны два таких примерных узла ячеек 12 и 14 вместе с подвижными аппаратами 16 и 18, где каждый подвижный аппарат включает в себя сотовый телефон. Примерные узлы ячеек 12 и 14, как приведено в описании и показано на чертежах, считаются обеспечивающими обслуживание целой ячейки. Однако следует представить, что ячейку можно географически разделить на секторы, где каждый сектор обеспечивает обслуживание разных охватываемых областей. В соответствии с этим, обычно требуется обеспечивать передачу управления между секторами внутри ячейки, в то же время можно также добиться разнесения между секторами, как это делается между ячейками. На фиг. 1 линии 20а-20в и 22а-22в с соответствующими стрелками соответствуют передаче сигнала, которая включает в себя передачу информации по разным каналам радиообмена между узлом ячейки 12 и подвижными точками (пунктами) 16 и 18 соответственно. Подобным образом линии 24а-24в и 26а-26в представляют связь между узлом ячейки 14 и подвижными пунктами 18 и 16 соответственно. Узлы ячейки 12 и 14 обычно осуществляют передачу, используя равную мощность. Перекрытие обслуживаемых узлом ячейки областей или ячеек проектируют или планируют в географических координатах таким образом, что подвижные пункты обычно оказываются ближе всего к одному узлу ячейки и только внутри одного сектора, если ячейка поделена на секторы. Когда подвижный блок не занят, то есть при отсутствии вызовов, подвижный блок постоянно контролирует передачи контрольных сигналов от каждого ближайшего узла ячейки, и при получении нужного варианта от единственного узла ячейки, если ячейка поделена на секторы, подвижный пункт 16 может идентифицировать ячейку посредством сравнения уровней контрольных сигналов, передаваемых из узлов ячеек 12 и 14. В иллюстрируемом на фиг.1 примере подвижный пункт 16 можно рассматривать находящимся ближе всего к узлу ячейки 12. Когда подвижный пункт 16 начинает вызов, управляющее сообщение передается в ближайший узел ячейки, в данном случае узел ячейки 12. Узел ячейки 12 при приеме сообщения запроса вызова передает вызываемый номер на управляющее устройство системы 10. Управляющее устройство системы 10 далее адресует вызов через АТС общего пользования предполагаемому пользователю информации. Для инициирования вызова внутри АТС общего пользования, управляющее устройство 10 передает информацию о вызове во все узлы ячейки в области. Узлы ячеек передают ответное сообщение, передаваемое по системе поискового вызова внутри каждой соответственной области перекрытия, которая предполагается в качестве вызываемого получающего подвижного пользователя. Когда предполагаемый подвижный пункт получателя информации “слышит” или принимает сообщение, переданное по системе поискового вызова, он отвечает управляющим сообщением, которое передается в ближайший узел ячейки. Управляющие сообщения сигнализируют управляющему устройству системы, что конкретный узел ячейки находится на связи с подвижным пунктом, принявшим сообщение поискового вызова. Далее управляющее устройство 10 маршрутизирует вызов через этот узел ячейки на подвижный пункт. Если подвижный пункт 16 вышел из перекрываемой области первоначального узла ячейки (сотового узла) 12, осуществляется попытка продолжать вызов посредством маршрутизации вызова через другой сотовый узел. В показанной на фиг.1 примерной системе каналам пользователя присвоены ортогональные функции Уолша на линии связи от ячейки к абоненту. В случае телефонных каналов поток цифровых символов для каждого речевого сигнала умножается на присвоенную ему последовательность Уолша. Закодированный кодом Уолша поток символов для каждого речевого канала далее умножается на внешний кодированный псевдошумом сигнал. Полученные в результате расширенные потоки симводов затем складывают вместе для формирования сложной формы сигнала. Затем полученным в результате сигналом сложной формы модулируют синусоидальную несущую, фильтруют с помощью полосового фильтра, преобразуют в требуемую рабочую частоту, усиливают и излучают с помощью антенной системы. В альтернативных вариантах осуществления настоящего изобретения можно менять порядок некоторых вышеописанных операций для формирования передаваемого узлом ячейки сигнала. Например, может оказаться предпочтительным перемножать сигнал каждого звукового канала на внешний ПШ-кодированный сигнал и осуществлять операцию фильтрации до суммирования всех сигналов каналов, которые подлежат излучению с помощью антенны. В технике хорошо известно, что порядок линейных операций можно менять для достижения различных преимуществ при различных вариантах осуществления и разных конструкций. При синтезировании сигнала, соответствующего предпочтительному варианту осуществления изобретения, для сотового обслуживания используется способ передачи пилот-сигнала на несущей частоте для линии связи ячейки с абонентом, как описано в патенте США 4901307. Все ячейки передают высокочастотный пилот-сигнал, используя последовательность одной и той же длины 32768, но с разными сдвигами хронирования для предотвращения взаимных помех. Как описано более подробно ниже, поток символов, предназначенных для конкретного пользователя системы сотовой структуры связи, объединяют в первой операции исключающего ИЛИ с последовательностью Уолша, назначенной данному пользователю. Функция Уолша обычно синхронизируется на частоте 1,2288 МГц, тогда как в примерной системе с переменной скоростью передачи данных, включающей в себя каналы звуковой факсимильной связи (ФАКС) и высокоскоростной – низкоскоростной передачи данных, частота передачи информационных символов может изменяться примерно от 75 Гц до 76800 Гц. Полученный в результате кодированный сигнал объединяют во второй операции исключающего ИЛИ с двоичной ПШ (псевдошумовой) последовательностью, также синхронизируемой на частоте 1,2288 МГц. Идентичную двоичную ПШ-последовательность используют для кодирования сигнала каждого абонентского канала внутри конкретного сектора области перекрытия сотовой системы. В результате ортогональности последовательностей кодирования функцией Уолша каждую последовательность можно использовать для обработки данных пользователя в единственном радиочастотном канале, связанном с таким сектором без наведения радиопомех между пользователями внутри сектора. До применения кодирования Уолша сигналы, передаваемые по каждому каналу, также можно кодировать сверточным кодом, с повторением и чередованием, для обеспечения выявления ошибок и функций корректирования, которые дают возможность системе работать со значительно меньшим отношением сигнал/шум и уровнем радиопомех. В технике хорошо известны способы сверточного кодирования, повторения и чередования. Затем полученными сигналами обычно модулируют высокочастотную несущую и суммируют с пилот-сигналом и установочным сигналом на несущей частоте наряду с другими звуковыми несущими. Суммирование можно выполнить в несколько различных моментов при обработке, например, на промежуточной частоте (ПЧ) или на частоте модулирующих сигналов либо до, либо после умножения на ПШ-последовательность, связанную с каналами внутри конкретной ячейки. Каждую звуковую несущую частоту можно также умножить на значение, которое устанавливает их передаваемую мощность относительно мощности других звуковых несущих частот. Эта особенность управления мощностью дает возможность распределять мощность по тем линиям связи, которые требуют более высокую мощность, вследствие того, что предполагаемый получатель информации находится в относительно неблагоприятном местоположении. Предусматривают средства, предназначенные для сообщения абонентам принимаемого ими отношения сигнал/шум, чтобы дать возможность устанавливать мощность на таком уровне, который обеспечивает адекватные характеристики без потерь мощности. Свойство ортогональности функций Уолша не нарушаются при использовании разных уровней мощности для разных звуковых несущих частот при условии, что сохраняется временное выравнивание. Фиг. 2 иллюстрирует в форме блок-схемы примерный вариант осуществления приемопередатчика абонентского аппарата. Приемная часть абонентского аппарата на фиг.2 содержит аналоговое приемное устройство 34, поисковый приемник 36, несколько RAKE или приемников цифровой информации 38А-38N и схему объединения разнесения и декодирующего устройства 40. Передающая часть содержит передающий модулятор 46, схему управления мощностью передачи 48 и усилитель мощности передачи 50. Совместно используемыми приемной частью и передающей частью являются антенна 30, антенный переключатель 32, управляющий процессор 42 и цифровая схема группового спектра пользователя 44. Управляющий процессор 42 подсоединен к поисковому приемнику 36 и приемникам информации 38А – 38N в приемной части, и к передающему модулятору 46 и схеме управления мощностью передачи 48 в передающей части. Цифровая схема группового спектра пользователя 44 выполняет различные функции типа преобразования из аналоговой формы в цифровую и цифрового преобразования, наряду с обеспечением сопряжения с микрофоном абонентского аппарата и динамиком (не показаны). Управляющий процессор 42 обеспечивает, помимо прочего, такие функции, как обработка сигнала; формирование синхронизирующего сигнала; управление мощностью и управление переведением, разнесением и объединением символов. Дополнительные подробные сведения о работе такого абонентского аппарата представлены в патенте США 5103459. II. Общие сведения о радиопомехах в линии связи между ячейкой и абонентом При приеме сигнала от передатчика узла ячейки внутри собственной ячейки, то есть моделируемой ячейки, абонентский аппарат подвергается воздействию радиопомех от линий связи между ячейкой и абонентами внутри моделируемой ячейки. В примерной системе СДМА эти радиопомехи включают в себя радиопомехи, обусловленные передачей по различным другим каналам радиообмена внутри моделируемой ячейки, а также по другим каналам передачи пилот-сигнала, сигнала синхронизации и сигналов поискового вызова, связанных с абонентами внутри моделируемой ячейки. Поскольку в выбранной в качестве примера системе сигналы, передаваемые по этим каналам, ортогональны передачам по выбранному испытываемому каналу радиообмена, эти радиопомехи ниже называются ортогональной составляющей радиопомех. На абонентский аппарат воздействуют также радиопомехи, обусловленные передачей сигнала по каналам в соседних ячейках, не ортогональных каналам радиообмена внутри моделируемой ячейки. Следовательно, радиопомехи, обусловленные передачей сигнала в соседних ячейках, называются неортогональной составляющей радиопомех. Мощность, передаваемая по линии связи между ячейкой и абонентом в примерной системе МСДКРК, распределяется между каналами пилот-сигнала, сигнала синхронизации, сигнала поискового вызова и радиообмена (то есть информационного). Доля мощности, назначенной для каждого канала, изменяется на основании местоположения соответственного абонентского аппарата, и в соответствии с совокупным числом абонентских аппаратов в системе связи (то есть нагрузкой системы). Мощность по каналам радиообмена распределяется управляющим устройством в передающем устройстве узла ячейки моделируемой ячейки с использованием цифровой регулировки усиления, связанного с каждым каналом. Коэффициент усиления каждого канала в примерной системе обычно представляется 7-разрядным коэффициентом усиления без знака, используемым для регулирования величины составляющих как синфазного (I), так и сдвинутого на 90 градусов (Q) каналов. III. Радиопомехи прямого канала радиообмена Помехи сигнала в прямом канале радиообмена, то есть информационном канале, конкретной линии связи между ячейкой с абонентом включают в себя пару некоррегированных составляющих, а именно: ортогональную составляющую, обусловленную помехами, возникающими от передачи другим абонентам внутри моделируемой ячейки, и неортогональную составляющую, обусловленную радиопомехами от окружающих ячеек. Неортогональная составляющая На фиг.3А показан разделенный на шестиугольники регион, соответствующий области перекрытия для примерной системы связи с многостанционным доступом. Область перекрытия включает в себя множество шестиугольных ячеек, обозначенных или пронумерованных позициями С1-С36, окружающих моделируемую ячейку СО, которая показана более подробно на фиг.3В. Как показано на фиг.3В, неподвижный или подвижный абонент SO расположен внутри ячейки С0, которая окружена первым рядом ячеек С1-С6 (фиг.3А), которые, в свою очередь, окружены вторым рядом ячеек С7-С18 и так далее. Хотя в целях проведения анализа область перекрытия примерной системы разделена на шестиугольники, представляется очевидным, что положения данного изобретения в равной степени подходят для ячеек другой геометрической формы. В примерном варианте осуществления изобретения передающее устройство узла ячейки (не показанное) расположено в центре каждой шестиугольной ячейки и предполагается оборудованным всенаправленной антенной. Вне шестиугольной ячейки, обслуживаемой каждым передающим устройством, сильное изменение энергии сигнала, передаваемой каждым передающим устройством, можно представить с помощью случайной переменной величины с логарифмически нормальным распределением. Среднее значение мощности сигнала (Sm), принимаемого абонентским аппаратом SO от передающих устройств узлов ячеек в других ячейках, уменьшается в функции радиального расстояния (d) от таких ячеек, возведенного в степень, и может быть представлено выражением ![]() где к представляет собой коэффициент пропорциональности. Было установлено, что в географических регионах, относительно свободных от крупных строений (например, в сельских и пригородных областях), зависимость мощности принимаемого сигнала Sm на радиальном расстоянии d (в милях) примерно может равняться: ![]() где Р1 указывает мощность сигнала (дБ, отсчитываемых относительно уровня 1 Вт), передаваемого от узла ячейки, Gc представляет коэффициент усиления антенны узла ячейки относительно /2 (полуволнового) симметричного вибратора (дБ), Gm представляет коэффициент усиления антенны абонентского аппарата относительно полуволнового ( /2) симметричного вибратора (дБ), Нc соответствует высоте антенны узла ячейки, а Нm соответствует высоте антенны абонента.
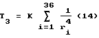
Рассматривая вновь фиг.3В, отметим, что квадрат расстояния (ri 2) между абонентским аппаратом SO и передающим устройством в центре i-й ячейки Сi в первом ряду можно выразить уравнениемr2i= x2+r2-2rxcos[ -30i], i = 1,2,…,6 (3)где х означает длину линейных сегментов, образующих границу шестиугольных областей перекрытия, r является вектором расстояния между абонентским аппаратом SO и центром ячейки C0, a представляет угол между r и горизонтальной осью Н на фиг.3В. Подобно этому квадрат расстояния от аппарата SО до центра i-й ячейки во втором ряду определяется уравнением![]() ![]() В уравнении (4) параметр у представляет расстояние от центра ячейки С0 до центра ячеек С(2j+1), где j = 3, 4,…, 8, тогда как в уравнении (5) параметр z представляет расстояние от центра ячейки СО до центра ячеек С(2j), где j = 4, 5,…, 9. Подобным образом квадрат расстояний от абонентского аппарата SO до ячеек третьего ряда Сi (19 i 36, i=17+3j, j=1, 2, 3,…, 6) и Сi (i= 17+3j, j=1, 2, 3,…, 6) определяется в соответствии с соотношениями (6) и (7):![]() ![]() в которых опять (r, ) определяют местоположение абонентского аппарата SO в ячейке С0, а R обозначает радиус окружности, описывающей шестиугольные ячейки. Ссылаясь на выражения (3) и (7), получим:![]() ![]() z = 3R, (10) ![]() ![]() В данном примерном варианте осуществления изобретения мощность объединенных радиопомех Tt, возникающих в абонентском аппарате SO под действием передачи сигналов из узлов ячеек в первых трех рядах, определяется согласно следующему выражению: ![]() где предполагается, что в уравнении (1) установлена равной 4. Подобно этому радиопомехи от ячеек в третьем ряду, то есть Т3, можно выразить соотношением![]() Обращаясь к фиг.4, отметим, что здесь показано графическое представление радиопомех (дБ) от ячеек третьего ряда относительно общих радиопомех (Т3/Тt), в функции угла . В частности, величина T3/Tt представлена для четырех разных местоположений абонентского аппарата r, то есть r = 0,5, 0,6, 0,7 и 0,8 относительно центра ячейки С0, где величина r = 1,0 соответствует расстоянию между центром ячейки С0 и ее углами.
Анализ фиг. 4 показывает, что в примерном варианте осуществления изобретения максимальное значение отношения между Т3 и Тt меньше, чем – 14 дБ. В соответствии с этим для ясности при последующем анализе радиопомех, возникающих от ячеек первого и второго рядов, не принимаются во внимание сравнительно небольшой вклад радиопомех от ячеек в третьем ряду ячеек и рядах более высоких порядков.
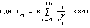
Обращаясь вновь к фиг.3В, видим, что абонентский аппарат SO расположен близко к границе ячейки С1. При таком примерном расположении радиопомехи, действию которых подвергается абонентский аппарат SO, можно рассматривать как возникающие от следующих трех источников:(i) ячейка С1, ближайщая к аппарату, SO, (ii) следующие две ближайшие ячейки (С2 и С6), и (iii) остальные пятнадцать других ячеек в первом и втором рядах. Составляющие радиопомех, обусловленные ячейками C1, C2 и С6, можно смоделировать в виде случайных переменных Рейли, отличающихся следующими составляющими соответственно средней мощности радиопомех (0 60):![]() ![]() ![]() Четвертая составляющая радиопомех, обусловленная остальными пятнадцатью ячейками в первом и втором рядах (фиг.3А), показаны на фиг.4, как описано выше. Составную мощность радиопомех “от других ячеек” Iос, соответствующую сумме составляющих радиопомех, описанных выше, можно выразить следующим образом: ![]() где к2 – коэффициент пропорциональности. Отношение между мощностью радиопомех Iос от других ячеек и мощностью Ior, принимаемой данным абонентским аппаратом от передающего устройства внутри ячейки, в которой расположен аппарат, можно выразить следующим образом: ![]() где выражение (19) получено из отношения между выражением (18) и уравнением (1). Как описано ниже, в предпочтительном варианте осуществления изобретения сигнал помехи, основанный на нормированной неортогональной составляющей радиопомех, определяемой уравнением (19), вводят в сигнал, вырабатываемый передающим устройством базовой станции, обслуживающей оцениваемую ячейку абонентского аппарата. В предпочтительном варианте осуществления изобретения неортогональный сигнал радиопомех создается путем пропускания белого гауссова шума через ряд аттенюаторов и регулятор уровня сигнала. Аттенюаторы регулируют для моделирования потерь на распространение, возникающих в конкретном канале передачи, в то время как регулятор уровня сигнала позволяет осуществлять моделирование небольших флуктуаций в уровне радиопомех. Если Lpi, где i = 1,…, 4, соответственно обозначает средние потери сигнала, возникающие в каналах передачи, связанных с четырьмя составляющими радиопомех, определяемыми выражениями (15)-(18), то требуемые регулирования аппаратов определяются на основе следующего равенства: Pi + Lpi = G + Lai, i=1, 2,…, 4 (20) где Рi соответствует передаваемой мощности i-ой составляющей радиопомех, G представляет уровень белого шума, обеспечиваемого для каналов в передающем устройстве базовой станции, а Lai определяет ослабление, требуемое для канала передающего устройства, предназначенного для моделирования i-й составляющей радиопомех. В итоге, в предпочтительном варианте осуществления изобретения неортогональную составляющую радиопомех моделируют в соответствии с приведенной ниже процедурой моделирования неортогональных радиопомех. Моделирование неортогональных радиопомех I. Определение следующих входных параметров: (а) местоположение абонентского аппарата (r, ), где 0(b) модель распространения сигнала (например, уравнение (1)), (c) коэффициенты усиления базовой станции ячейки и антенны абонентского аппарата и потери в фидере, (d) высота антенны базовой станции, (e) выходная мощность (Рi) для каждого передающего устройства базовой станции ячейки, где i = 1, 2,…, N, и (f) радиус (R) каждой шестиугольной ячейки. II. Определение величины каждой из следующих составляющих радиопомех: ![]() ![]() ![]() ![]() ![]() и где к определяют посредством осуществления необходимых подстановок входных параметров, определяемых выше в уравнениях (1) и (2). III. Генерирование белого (то есть гауссова) шума мощности и регулирование уровней ослабления (Laj, где j = 1, 2,…, 4) для создания четырех сигналов радиопомех, установленных в разделе II. В этом случае требуемые уровни ослабления Laj можно определить из следующего равенства:Рj + Lpj = + Laj, j = 1, 2…, 4 (26)Ортогональная составляющая Как отмечали выше, мощность, передаваемая каждым узлом ячейки или базовой станцией ячейки, распределяется между каналами пилот-сигнала, синхронизирующего сигнала, сигнала поискового вызова и радиообмена. Доля мощности, распределенной в канал радиообмена, связанный с данной линией связи ячейки с абонентом, может меняться в соответствии с местоположением абонентского аппарата и нагрузкой системы. Мощность распределяется между каналами радиообмена, обслуживаемыми передающим устройством узла моделируемой ячейки, посредством цифрового регулирования коэффициента усиления, связанного с каждым каналом. Коэффициент усиления каждого канала в примерной системе обычно можно представить 7-разрядным коэффициентом усиления без знака, используемым для регулирования величины составляющих как синфазного (I), так и сдвинутого на 90 градусов по фазе (Q) канала. Уровни мощности, связанные с каждым каналом радиообмена, зависят не только от значений соответственных цифровых коэффициентов усиления, но также и от скорости передачи информации в каждом из них. В частности, энергия на кодовый символ (Еs) пропорциональна величине ri, где ri обозначает нормированную скорость передачи информации. В соответствии с изобретением ортогональную составляющую радиопомех делают такой, чтобы она была ортогональна другим каналам, действительно обслуживаемым узлом ячейки. В число таких каналов включены каналы контрольного сигнала (пилот-сигнала), сигнала синхронизации, сигнала поискового вызова, а также “реальные” каналы радиообмена Nr, назначенные пользователям, физическим присутствующим в моделируемой ячейке. Ортогональную составляющую мощности S, передаваемой по радиоканалу или каналу связи, регулируют с помощью управляющего устройства ячейки на основании цифрового коэффициента усиления и эквивалентной скорости передачи информации req, соответствующей среднему значению скорости передачи информации модулируемых каналов радиообмена. Более конкретно, ортогональную составляющую мощности S, излучаемой по радиоканалу, синтезируют для моделирования передачи Ns моделируемых каналов радиообмена на эквивалентной скорости еq. В примерном варианте осуществления, в котором мощность радиопомех S синтезирована для эмулирования рабочей связи, эквивалентная скорость req определена с использованием модели Маркова второго порядка с шестнадцатью состояниями. Каждое состояние в модели определяется скоростями передачи речи (например, полная скорость, половина полной скорости, четвертая часть полной скорости или восьмая часть полной скорости), связанными с парой последовательных речевых кадров. Например, как показано ниже, состояние “0” соответствует паре последовательных кадров, отличающихся активностью речи при полной скорости передачи. В табл.I приведены скорости речевой активности для пары речевых кадров, связанных с каждым из шестнадцати состояний модели Маркова. В соответствии с теорией модели Маркова второго порядка, вероятность появления данной скорости передачи речи в кадре (N+1) можно определить на основании скоростей, указанных состояниями предшествующих кадров (N) и (N-1). В первой строке табл.II видим, что имеется вероятность 0,911 того, что в кадре (N+1) будет иметь место речь с полной скоростью в ситуации, когда оба кадра (N) и (N-1) имеют полную скорость, а цепь Маркова находится в состоянии “0”. В остальной части табл.II приведены вероятности перехода к указанной скорости речи в кадре (N+1) для других возможных пар состояний модели Маркова, связанных с кадром (N) и кадром (N-1). В табл.III показаны результирующие установившиеся марковские вероятности первого порядка для осуществления каждой из четырех скоростей речи, то есть полной скорости, половины полной скорости, четвертой части полной скорости и одной восьмой части полной скорости, в функции состояния модели Маркова предыдущего кадра. Табл.III можно создать на основании эмпирических данных активности речи, включенных в табл.II, используя методику Маркова второго порядка. При одном подходе строки в табл.II размещают в виде 16 16 матрицы Р вероятностей перехода состояний. Если предположить существование шестнадцати состояний, приведенных в табл.I, то строка (i, j) матрицы Р представляет вероятность перехода из i-го состояния “х” в j-ое состояние “у”. Например, вероятность перехода из состояния 0 (полная, полная) в состояние 1 (полная, половина) равна 0,089.
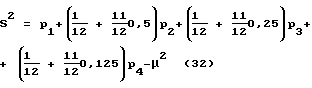
В соответствии с теорией Маркова, как описано, например, в работе Х.Дж. Ларсона и Б. О. Шубера “Вероятностные модели в прикладной науке”, том 11, издательство Джон Уайли энд Санз (1979), для марковских цепей, имеющих конечное число состояний, соответственные вероятности п-этапного перехода можно расположить в виде стохастической матрицы Р(п). В связи с этим уравнение Чапмана – Холмогорова можно выразить в видеP(п+m)=P(п)P(m), (27) в котором P(п+m) определяет матрицу перехода состояний после (п+m) перехода от первоначальной матрицы перехода состояний P(1). При п _ ![]() P(п)=Pп=…=П. (28) где П обозначает установившуюся матрицу переходов состояний. Матрица П при п _ определяется выражением![]() Следовательно, при п _ вероятность существования состояния “y” приближается к постоянной величине, независимой от “п” и от вероятностей первоначальных состояний. Из это следует, что матрицу П можно получить посредством решения следующего матричного уравнения:П=ПР (30) где, в свою очередь, матрицу Р составляют из эмпирических статистических данных речевой активности, типа представленных в табл.II. Рассматривая табл. III, отметим, что общая вероятность данной скорости передачи речи, существующая в произвольном кадре, получена путем суммирования всех установившихся вероятностей, соответствующих данной скорости передачи речи. Например, суммирование первых четырех строк в колонне “Установившаяся вероятность” табл. III дает общую вероятность (р1), равную 0,3696, того, что активность речи на полной скорости имеет место в некотором произвольном речевом кадре. Подобно этому существует общая вероятность (р4), равная 0,5116, того, что скорость передачи речи в произвольном кадре будет равна одной восьмой части от полной скорости. Эквивалентную скорость передачи информации req вычисляют на основании вектора статистических данных скорости Р, где Р = p1,…, p4, который соответствует ряду общих вероятностей, связанных с наличием каждой скорости передачи речи. В частности, дробная величина, связанная с каждой скоростью передачи речи (то есть полная скорость = 1,0; половинная скорость = 0,5; четвертая часть полной скорости = 0,25; и одна восьмая часть полной скорости = 0,125) умножается на связанную с ней общую вероятность (то есть на p1, p2, p3 или p4), и получения req. В приводимой в качестве примера системе каждый канал радиообмена, выделенный для действительных абонентских аппаратов в конкретной ячейке, периодически “проживают” двоичным разрядом управления мощностью, используемым для регулирования мощности передачи абонентского аппарата получателя информации. Настоящее изобретение рассчитывает указанный “пробой” посредством трансформирования экивалентной скорости передачи информации req в “прошитую” скорость передачи информации , где![]() Дисперсию, S2, “прошитой” скорости передачи информации можно выразить соотношением ![]() Двоичный разряд управления мощностью в общем имеет длину, эквивалентную длине двух информационных символов, включаемых в данный кадр. Так как в варианте осуществления имеется двадцать четыре кодовых символа в кадре, равном 1,25 мс, подканал управления мощностью занимает примерно одну двенадцатую часть каждого информационного кадра. В итоге, ортогональная составляющая передаваемой мощности радиопомех в предпочтительном варианте генерируется в соответствии с приводимой ниже процедурой моделирования ортогональных радиопомех. Моделирование ортогональных радиопомех I. Определение следующих входных параметров: (а) число пользователей Nи, загружающих ячейку, где Ns = N4 – N2, (в) количество каналов радиообмена N2, назначенное для реальных пользователей в ячейке, (с) таблица преобразования, определяющая коэффициент усиления передающего устройства в функции количества абонентских аппаратов и их местоположения в моделируемой ячейке, (d) вектор статистических данных скорости Р, где Р = p1,…, p4, представляющий, например, скорость передачи речи или информации, связанную с энергией, передаваемой по каналу моделируемого шума, и (е) коэффициент окрашивающей фильтрации , характеризующий степень корреляции между следующими один за другим кадрами.
II. Генерирование гауссовой случайной переменной, с нулевым средним значением, и имеющей среднеквадратическое отклонение, равное единице в 20 мс интервалах, для создания вероятностного процесса данных с частотой 50 Гц. Случайную переменную предпочтительно генерируют с использованием генератора случайных чисел совместно с таблицей преобразований, скомпанованной так, чтобы преобразовывать однородный стохастический процесс в гауссово распределение. Каждую случайную переменную используют в качестве значения указателя для отыскания соответственной гауссовой величины из таблицы преобразований. Генерацию случайных чисел можно осуществлять, используя линейную конгруэнтную последовательность типа описанной Д.Е. Натом в работе “Искусство программирования для вычислительной машины”, 2-ое издание, издательство Эдисон-Уэсли, 1973. В частности, в примерном варианте осуществления изобретения для создания конгруэнтной последовательности используется следующее рекуррентное выражение:Xi+1 = (Xi x A + C)mod M (33) III. Пропускание каждой гауссовой переменной, найденной из таблицы преобразований, через цифровой фильтр нижних частот. Фиг.5 представляет блок-схему цифрового фильтра нижних частот (ФНЧ) 80, который можно получить из аналогового ФНЧ. Как видно на фиг.5, каждое входное значение фильтра умножается на весовой коэффициент 1-а, с использованием первого умножителя 82, где параметр а связан с частотой среза фильтра 80. Каждое взвешенное входное значение объединяют в суммирующем элементе или сумматоре 84 с произведением, полученным вторым умножителем 86. На умножитель 86 поступает параметр а в качестве первого входного сигнала, и в качестве второго входного сигнала поступает задержанный вариант выходного сигнала сумматора 84 из элемента задержки 88. В предпочтительном варианте осуществления изобретения параметр а выбирают близким к единице, а постоянную времени фильтра выбирают равной по длительности примерно десяти кадрам (например, 200 мс). Функция преобразования соответственного аналогового фильтра представляется выражением: ![]() которая дает импульсную характеристику: h(t)=a exp [-at] и (t) (35) Детерминированная автокорреляция характеристики h(t) определяется уравнением: ![]() где * представляет операцию свертки, а h+(-t) представляет сопряженную функцию от h(-t). Предполагая, что параметр “а” выбран так, что а = 1/кТ, тогда коэффициент корреляции фильтра будет равен е-1 в каждый момент времени выборки ts, где ts = кТ. Применяя методы импульсной инвариатности, нашли, что местоположение полюса (Zp) цифрового ФНЧ 80 эквивалентно значению параметра , то есть Zp = exp[-aT] = exp[-1/к] = .
В соответствии с этим передаточная функция цифрового фильтра Н(z) определяется выражением![]() что дает ширину полосы частот, равную ![]() IV. Изменение масштаба выходного сигнала фильтра цифрового фильтра 80 на коэффициент “е” средней скорости передачи информации и сдвигание выходного сигнала в соответствии со стандартным коэффициентом девиации “f”, где f = Ns (39)и ![]() где Ns обозначает количество моделируемых пользователей в ячейке, и где и 2 определяются из уравнений (31) и (32). Согласно предпочтительному варианту выполнения коэффициент “е” скорости передачи информации модифицирован для вычисления пробивания информационного потока информацией управления мощностью.
V. Определение дискретного усиления, соответствующего ортогональной составляющей мощности S, передаваемой по каналу моделирования радиопомех в соответствии с количеством множества Nи каналов радиосвязи, загружающих ячейку, и количеством каналов радиообмена N2, распределенных для реальных пользователей.
VI. Для каждого из действительных каналов радиообмена коэффициенты фильтра с импульсной характеристикой конечной длительности (фиг.8), связанные с каждым каналом, регулируют в соответствии со средней скоростью передачи информации. Это регулирование осуществляют путем умножения коэффициентов данного фильтра с импульсной характеристикой конечной длительности на квадратный корень скорости передачи информации соответственного канала.
Устройство моделированияКак описывалось выше, настоящее изобретение касается способа и устройства, предназначенных для моделирования влияния радиопомех сигнала, принимаемых абонентским аппаратом в системе связи с многостанционным доступом, обусловленных передачей информации по выбранному набору каналов связи или радиообмена. Настоящее изобретение дает возможность оценить характеристики данной системы связи с многостанционным доступом до развертывания сети, или позволяет осуществлять доработку во время работы путем моделирования уровня радиопомех, ожидаемого во время нормальной работы. Системы с многостанционным доступом, к которым можно применять положения настоящего изобретения, включают в себя, например, американскую версию многостанционного доступа с временным разделением каналов (USТDМА), вариант Пан-Европейской глобальной системы для радиосвязи с подвижными объектами (GSM) и системы связи (СDMA) (многостанционного доступа с кодовым разделением каналов). В соответствии с изобретением требуемый уровень радиопомех канала радиообмена можно смоделировать посредством добавления шумового сигнала с заранее заданными статистическими свойствами и уровнем мощности к сигналу, передаваемому базовой станцией узла ячейки, расположенной в ячейке оцениваемого абонентского аппарата. Предварительно определяемые статистические характеристики и уровень мощности шумового сигнала зависят от местоположений соседних базовых станций относительно местоположения данного исследуемого абонентского аппарата. В качестве альтернативы аналоговый помеховый сигнал вводят непосредственно в приемное устройство исследуемого абонентского аппарата. В последнем случае вводимый сигнал формируют с возможностью учета влияния распространения по каналу передачи между базовой станцией узла ячейки и исследуемым абонентским аппаратом. Обращаясь к фиг.6, отметим, что на ней представлена упрощенная блок-схема приемной части примерного абонентского аппарата, которая включает в себя предпочтительный вариант осуществления соответствующего настоящему изобретению устройства моделирования радиопомех. Приемная часть 90 включает в себя приемное устройство 91 абонентского аппарата, а также устройство 92 моделирования радиопомех, выполненное с возможностью моделирования радиопомех, создаваемых базовыми станциями в ячейках, смежных с ячейкой, в которой расположен исследуемый абонентский аппарат. Сигнал радиопомех, создаваемый устройством моделирования 92, объединяют в сумматоре 93 вместе с сигналом, принимаемым из антенны 94 абонентского аппарата. Полученный в результате объединенный сигнал затем обрабатывают с помощью приемного устройства 91 абонентского аппарата обычным способом. Устройство моделирования 92 включает в себя источник шума 95, предназначенный для генерирования радиопомех, обычно в форме сигнала белого гауссова шума, имеющего предопределенную спектральную плотность. Шумовой сигнал от источника шума 95 затем проходит через полосовой фильтр 96 и подается на блок управления 97. Среднюю частоту полосы пропускания шумового фильтра 96 выбирают таким образом, чтобы она совпадала со средней частотой базовой станции для канала абонентского аппарата, то есть для моделируемой линии связи через ИСЗ. Подобно этому, ширину полосы частот фильтра 96 определяют из условия ее эквивалентности ширине спектра каналов радиообмена, используемых оцениваемой системой с многостанционным доступом. Например, для моделирования радиопомех в системах связи USTDMA полоса частот фильтра 96 предпочтительно составляет 30 кГц. Таким же образом, при моделировании системы связи GSM можно использовать полосу частот фильтра, примерно равную 200 кГц. Обращаясь вновь к фиг. 6, отметим, что с блока управления 97 подают сигнал радиопомех на сумматор 93 на основе сигнала, вырабатываемого фильтром 96. Согласно одному из вариантов осуществления блок управления 97 можно реализовать, например, используя регулируемый аттенюатор вместе с электронными схемами согласования устройств по уровню и форме сигнала. Аттенюатор устанавливают для обеспечения уровня радиопомех в соответствии с различными аспектами исследуемой системы. Например, на необходимый уровень радиопомех обычно оказывает влияние ожидаемое количество соседних базовых станций, способных вносить вклад в радиопомехи принимаемого сигнала, местоположения таких базовых станций относительно исследуемого абонентского аппарата и характеристики распространения по линиям связи между этими базовыми станциями и абонентским аппаратом. Электронные схемы согласования устройств по уровню и форме сигнала (например, микропроцессор) используется для придания предварительно определенных статистических свойств сигналу радиопомех. Более подробное описание устройства моделирования, специально предназначенного для системы связи СДМА, приведено ниже со ссылкой на фиг.7. На фиг. 7 представлена блок-схема усовершенствованного варианта передающего устройства 100 базовой станции узла ячейки, включающего в себя предпочтительный вариант осуществления соответствующего настоящему изобретению устройства моделирования радиопомех. Передающее устройство 100 включает в себя схему 110 генерирования сигнала линии связи между ячейкой и абонентом, предназначенную для создания каналов поискового вызова, контроля синхронизации, действительного радиообмена и модулирующего сигнала радиопомех ICB. Сигнал ICB используют при синтезировании ортогональной составляющей энергии сигнала IO,B, передаваемой по каналу моделирования радиопомех. В частности, схема 110 генерирования сигнала включает в себя генераторы сигналов поискового вызова, контроля синхронизации, прямого радиообмена (то есть данных) и ортогональной составляющей радиопомех 124, 128, 132, 136 и 140 соответственно, выходы которых объединены в цифровом суммирующем элементе или суммирующем устройстве 142. Между суммирующим устройством 142 и первым повышающим преобразователем промежуточной частоты 120 можно факультативно поместить регулируемый вручную аттенюатор (не показанный). В приведенном на фиг.7 примере осуществления первый повышающий преобразователь ПЧ 120 обеспечивает выходной сигнал на частоте 70 МГц в ответ на подаваемый модулирующий сигнал IO,B. Обращаясь снова к фиг.7, отметим, что передающее устройство 100 узла ячейки далее включает в себя генератор неортогональных радиопомех сигнала 150. Генератор радиопомех включает в себя первый, второй, третий и четвертый цифровые аттенюаторы 160, 170, 180 и 190, предназначенные для ослабления Lai, требуемого для канала передающего устройства, предназначенного для моделирования i-ой составляющей радиопомех, где согласно одному из вариантов осуществления изобретения i = 1,…, 4. На каждый аттенюатор 160, 170, 180 и 190 подается выходной сигнал от процесса цифровых шумов с генератора белого шума 200, причем указанные аттенюаторы регулируются цифровыми управляющими сигналами с устройства управления (не показанного). Полученные в результате составляющие радиопомех, создаваемые аттенюаторами 160, 170, 180, 190 (Lai), затем объединяются в цифровом суммирующем элементе или суммирующем устройстве 210. Частота выходного сигнала цифрового суммирующего устройства 210 преобразуется в величину 70 МГц с помощью второго повышающего преобразователя ПЧ 220 перед подачей на вход цифрового суммирующего устройства 230. Как показано на фиг.7, сигналы, представляющие радиопомехи ортогональной и неортогональной составляющих, объединяются в цифровом суммируем устройстве 230, образуя объединенный сигнал радиопомех Sc. Затем объединенный сигнал радиопомех Sс излучается с помощью РЧ передающего устройства 260 на один или больше абонентские аппараты (АА) в моделируемой ячейке. На фиг. 8 показано примерное осуществление генератора 140 одной составляющей канала радиопомех, который предназначен для генерирования сигнала радиопомех, представляющих вплоть до двенадцати ортогональных каналов радиообмена. В частности, первый набор из шести каналов радиообмена можно моделировать по первому каналу радиопомех, охватываемому первым кодом Уолша W1, тогда как второй набор из шести каналов радиообмена можно моделировать по второму каналу радиопомех, охватываемому вторым кодом Уолша W2. Ограничивающим фактором количества моделируемых каналов на устройстве сопряжения является регулировка усиления. Установка большого усиления может вызывать насыщение, которое не может точно отображать выходную мощность от соответствующего количества пользователей. Предполагается, что можно развернуть дополнительные моделируемые каналы, используя дополнительные ресурсы каналов радиообмена, так что для каждого кода Уолша в качестве дополнительных обеспечиваются шесть моделируемых каналов радиообмена. В примерном варианте осуществления изобретения генератор радиопомех 140 включает в себя свертывающее кодирующее устройство 300, предназначенное для приема повторяющейся последовательности идентичных кадров нулевых данных (Д) на заранее заданной скорости (например, 9,6 килобайт в секунду). Входные данные кодируют со свертыванием при повторении кодового символа в соответствии со скоростью передачи входных данных и длиной последовательности кодов Уолша W1 и W2. Для примерной скорости передачи входных данных, равной 9,6 килобайт в секунду, каждый символ кодируется сворачиваемым образом с 1/2 скорости, так что создает поток кодированных символов со скоростью 19,2 килобайта в секунду. Как показано на фиг.8, входной каскад генератора 140 составляющей радиопомех дополнительно включает в себя блок чередования 310, сумматор по модулю 2 или вентиль исключающего ИЛИ 315, а также псевдошумовой генератор длинного кода 317 и устройство прореживания 319, предназначенные для генерирования ПШ скремблирующего кода РNs. Кодированные данные из кодирующего устройства 300 поступают в блок чередования 310, где в альтернативном варианте осуществления чередуются свертываемым образом. Данные с чередующимися символами далее выходят из блока чередования с примерной скоростью 19,2 килобайта в секунду и поступают на вход вентиля исключающего ИЛИ 315, и скремблируются с помощью ПШ последовательности ПШ скремблирующего кода, поступающего на другой вход вентиля исключающего ИЛИ 315, с устройства прореживания 319. Генератор ПШ 317 функционирует для обеспечения, в соответствии с подаваемым шаблоном, длинного ПШ кода на фиксированной частоте следования элементарных посылок сигнала 1,228 мегапосылок в секунду в устройство прореживания 319. Использование шаблона ПШ обеспечивает сдвиг в ПШ коде, который обеспечивает уникальность для пользователя. Устройство прореживания 319 формирует скремблирующий код ПШ с примерной скоростью 19,2 килобайта в секунду из длинного ПШ кода путем использования одного из каждых 64 элементарных посылок, производимых генератором ПШ 317. В предпочтительном варианте осуществления изобретения периодически повторяющийся длинный код, формируемый для устройства прореживания 319, имеет длительность 242-1 ПШ элементарных посылок, и рекурсивно получается с помощью генератора 317 в соответствии с полиномом р(х), где: р(х)=x42+x35+x33+x31+x27+x26+x25+x22+x21+x19+x18 +x17+x16+x10+x7+x6+x5+x3+x2+x1+1 (41) Более конкретно, генератор 317 производит каждую элементарную посылку ПШ длинного кода, беря скалярное произведение по модулю 2 42-разрядного шаблона ПШ и 42-разрядного вектора состояния. Выходной сигнал вентиля исключающего ИЛИ 315 поступает на вход каждого из двух сумматоров по модулю 2 или вентилей исключающего ИЛИ 321 и 323. В качестве второго входного сигнала на вентиль исключающего ИЛИ 321 поступает последовательность W1 кода Уолша, тогда как в качестве второго входного сигнала на вентиль исключающего ИЛИ 323 поступает последовательность W2 кода Уолша. Данные скремблированных символов и последовательность W1 Уолша суммируют по модулю 2 (проводят операцию исключающего ИЛИ) с помощью вентиля исключающего ИЛИ 321, а полученный результат подается в качестве входного сигнала на каждый из двух сумматоров по модулю 2 или вентилей исключающего ИЛИ 327 и 329. Псевдошумовые последовательности РN1 и PNQ, соответствующие конкретному сектору ячейки или адресу, поступают в качестве вторых входных сигналов на вентили исключающего ИЛИ 327 и 329 соответственно. Сигналы РN1 и PNQ подвергают операции исключающего ИЛИ, причем на выходе вентиля исключающего ИЛИ 321 появляются сигналы, которые, в свою очередь, поступают в качестве входных сигналов на фильтры импульсной характеристики с конечной длительностью (КИХ) 333 и 335 соответственно. Входные символы фильтруют в соответствии с меткой скорости передачи входных данных из блока чередования 310. Выходящие из фильтров КИХ 333 и 335 отфильтрованные сигналы поступают на часть схемы управления мощностью передачи, содержащую два элемента управления усилением 337 и 339. В соответствии с изобретением, на каждый из двух элементов управления усилением 337 и 339 поступает 7-разрядное слово управления усилением G1, получаемое, как было описано выше со ссылкой на метод МОДЕЛИРОВАНИЕ ОРТОГОНАЛЬНЫХ РАДИОПОМЕХ. И в этом случае значение слова управления усилением G1 выбирают таким образом, чтобы ортогональная составляющая мощности S, излучаемой по каналу моделирования радиопомех, охватываемая символом W1 Уолша, соответствовала прохождению по Ns моделируемым каналам радиообмена на эквивалентной скорости eq, где Ns {0,1,2,3}. В вариантах осуществления, где по каналам радиообмена передают речевую информацию, слово управления усилением G1 предпочтительно корректируют с интервалами в 20 миллисекунд для адекватного моделирования флуктуацией в речевой активности. Выходные сигналы элементов управления усилением 337 и 339 объединяются в блоке объединения данных 343, который функционирует с возможностью формирования первого модулирующего сигнала радиопомех IO,B1.
Как показано на фиг.8, данные скремблированных символов также подвергаются операции исключающего ИЛИ с последовательностью W2 Уолша, используя вентиль исключающего ИЛИ 323, выходной сигнал которого поступает в качестве входного сигнала на каждый из двух сумматоров по модулю 2 или вентилей исключающего ИЛИ 349 и 351. Последовательности псевдослучайного шума РN1 и PNQ также поступают в качестве вторых входных сигналов на вентили исключающего ИЛИ 349 и 351 соответственно для того, чтобы обеспечить возможность сложения по модулю 2 (осуществления операции исключающего ИЛИ) с выходным сигналом вентиля исключающего ИЛИ 321. Поток символов, вырабатываемый вентилем исключающего ИЛИ 321, фильтруется фильтрами с конечной импульсной характеристикой (КИХ) 353 и 355, а полученные в результате отфильтрованные сигналы поступают на часть схемы управления мощностью передачи, содержащую в себе два элемента управления усилением 357 и 359. На элементы управления усилением 357 и 359 поступает 7-разрядное слово управления усилением G2, выбираемое таким образом, чтобы ортогональная составляющая радиопомех, перекрываемая символом W2 Уолша, соответствовала требуемому количеству моделируемых каналов радиообмена (то есть, 0, 1, 2 или 3). Выходные сигналы элементов управления усилением 357 и 359 объединяются в блоке объединения данных 343, создавая второй модулирующий сигнал радиопомех IO,B2. Далее два сигнала IO,B1 и IO,B2 объединяют путем наложения двух сигналов с помощью блока объединения данных 343 для генерирования объединенного модулирующего сигнала радиопомех ICB. С выхода блока объединения данных 343 сигнал ICB поступает в качестве входного сигнала в цифровой сумматор 142 (фиг.7).
Приведенное выше описание предпочтительных вариантов осуществления изобретения позволяет специалистам в данной области техники реализовать или использовать настоящее изобретение. Для специалиста в данной области техники представляется очевидной возможность реализации различных модификаций указанных вариантов осуществления, а заложенные в заявке алгоритмы могут найти применение в других вариантах осуществления, без использования изобретательской деятельности. Таким образом, настоящее изобретение органичено приведенными в описании вариантами осуществления, а должно трактоваться более широко в соответствии с изложенными принципами и элементами новизны.
Формула изобретения
РИСУНКИ
|
||||||||||||||||||||||||||



/2 (полуволнового) симметричного вибратора (дБ), Gm представляет коэффициент усиления антенны абонентского аппарата относительно полуволнового (
-30i], i = 1,2,…,6 (3)

i






в уравнении (1) установлена равной 4. Подобно этому радиопомехи от ячеек в третьем ряду, то есть Т3, можно выразить соотношением










и регулирование уровней ослабления (Laj, где j = 1, 2,…, 4) для создания четырех сигналов радиопомех, установленных в разделе II. В этом случае требуемые уровни ослабления Laj можно определить из следующего равенства:
16 матрицы Р вероятностей перехода состояний. Если предположить существование шестнадцати состояний, приведенных в табл.I, то строка (i, j) матрицы Р представляет вероятность
перехода из i-го состояния “х” в j-ое состояние “у”. Например, вероятность
перехода из состояния 0 (полная, полная) в состояние 1 (полная, половина) равна 0,089.
В соответствии с теорией Маркова, как описано, например, в работе Х.Дж. Ларсона и Б. О. Шубера “Вероятностные модели в прикладной науке”, том 11, издательство Джон Уайли энд Санз (1979), для марковских цепей, имеющих конечное число состояний, соответственные вероятности п-этапного перехода можно расположить в виде стохастической матрицы Р(п). В связи с этим уравнение Чапмана – Холмогорова можно выразить в виде


, где

, характеризующий степень корреляции между следующими один за другим кадрами.
II. Генерирование гауссовой случайной переменной, с нулевым средним значением, и имеющей среднеквадратическое отклонение, равное единице в 20 мс интервалах, для создания вероятностного процесса данных с частотой 50 Гц. Случайную переменную предпочтительно генерируют с использованием генератора случайных чисел совместно с таблицей преобразований, скомпанованной так, чтобы преобразовывать однородный стохастический процесс в гауссово распределение. Каждую случайную переменную используют в качестве значения указателя для отыскания соответственной гауссовой величины из таблицы преобразований. Генерацию случайных чисел можно осуществлять, используя линейную конгруэнтную последовательность типа описанной Д.Е. Натом в работе “Искусство программирования для вычислительной машины”, 2-ое издание, издательство Эдисон-Уэсли, 1973. В частности, в примерном варианте осуществления изобретения для создания конгруэнтной последовательности используется следующее рекуррентное выражение:




2 определяются из уравнений (31) и (32). Согласно предпочтительному варианту выполнения коэффициент “е” скорости передачи информации модифицирован для вычисления пробивания информационного потока информацией управления мощностью.
V. Определение дискретного усиления, соответствующего ортогональной составляющей мощности S, передаваемой по каналу моделирования радиопомех в соответствии с количеством множества Nи каналов радиосвязи, загружающих ячейку, и количеством каналов радиообмена N2, распределенных для реальных пользователей.
VI. Для каждого из действительных каналов радиообмена коэффициенты фильтра с импульсной характеристикой конечной длительности (фиг.8), связанные с каждым каналом, регулируют в соответствии со средней скоростью передачи информации. Это регулирование осуществляют путем умножения коэффициентов данного фильтра с импульсной характеристикой конечной длительности на квадратный корень скорости передачи информации соответственного канала.
Устройство моделирования