Патент на изобретение №2188964
|
||||||||||||||||||||||||||
(54) СПОСОБ УПРАВЛЕНИЯ СТАРТЕР-ГЕНЕРАТОРОМ
(57) Реферат: Изобретение относится к электротехнике, а именно к системам управления стартер-генераторными установками транспортных средств с двигателями внутреннего сгорания. Способ управления стартер-генератором на основе синхронной машины с электромагнитным возбуждением основан на введении новой переменной управления, с помощью которой формируются заданные значения токов возбуждения и составляющих вектора тока статора в частотно-токовой системе управления. Техническим результатом изобретения является оптимизация использования работы машины с минимальными потерями как в стартерном, так и в генераторном режимах, и предельное использование габаритной мощности электрической машины и установленной мощности ключевых элементов силового преобразователя. 3 ил. Изобретение относится к электротехнике, а именно к системам управления стартер-генераторными устройствами транспортных средств с двигателями внутреннего сгорания. Известно устройство (Вершигора В. А. , Игнатов А.П. и др. Автомобиль ВАЗ-2108. – М.: ДОСААФ, 1986, стр. 194), в котором для поддержания в заряженном состоянии бортовой аккумуляторной батареи автомобиля используется синхронная машина с электромагнитным возбуждением. Недостатком этого устройства является отсутствие возможности запуска двигателя внутреннего сгорания (ДВС) с помощью этой синхронной машины. Известно также устройство (европейский патент 0406182 В1, кл. F 02 N 11/04, 1992), в котором синхронная машина с постоянными магнитами используется и для запуска ДВС и для заряда бортовой аккумуляторной батареи, т.е. она выполняет функции стартера и генератора. Недостатком этого устройства является отсутствие электромагнитного возбуждения и блока оптимизации режимов работы синхронной машины в условиях ограничения по току и напряжению питания для оптимального использования габаритной мощности синхронной машины и установленной мощности силового преобразователя. Наиболее близким техническим решением является устройство (см. [1], стр. 104), в котором синхронная машина с электромагнитным возбуждением работает в частотно-токовой системе автоматического регулирования с номинальным потокосцеплением статора и коэффициентом мощности, равным или близким к единице, во всем диапазоне изменения нагрузок и регулирования скорости за исключением второй зоны (режим ослабления поля). Недостатком этого устройства является работа с неизменным потокосцеплением статора, что не позволяет полностью использовать синхронную машину по мощности и максимально допустимому току и напряжению во всем диапазоне скоростей и нагрузок. Кроме того, не обеспечивается режим минимизации потерь, когда текущие значения скоростей и нагрузок могут быть реализованы не при предельных значениях тока и напряжения. Решение технической задачи направлено на оптимизацию использования габаритной мощности электрической машины и установленной мощности ключевых элементов силового преобразователя. Для решения поставленной технической задачи измеряют текущее значение скорости синхронной машины с электромагнитным возбуждением, сравнивают его с заданным и по величине отклонения формируют заданные значения токов в функции поддержания коэффициента мощности равным или близким к единице, которые затем формируют в обмотках машины с помощью системы частотно-токового управления, вводя при этом новую переменную, коэффициент связи, равную отношению продольной составляющей вектора потокосцепления статора к произведению текущего значения поперечной составляющей вектора тока статора на величину продольной составляющей полной индуктивности статора, определяют ее значение, обеспечивающее минимальные потери в меди машины при фиксированном моменте, и формируют заданные значения продольной составляющей вектора тока статора в виде отрицательного значения частного от деления произведения текущего значения поперечной составляющей вектора тока статора на величину поперечной составляющей полной индуктивности статора на произведение коэффициента связи на продольную составляющую полной индуктивности статора, а заданные значения тока возбуждения формируют в виде произведения текущего значения поперечной составляющей вектора тока статора на сумму двух слагаемых, первое из которых равно частному от деления произведения коэффициента связи и величины продольной составляющей полной индуктивности статора на величину продольной составляющей взаимной индуктивности обмоток статора и ротора, а второе слагаемое равно частному от деления величины поперечной составляющей полной индуктивности статора на произведение коэффициента связи и величины продольной составляющей взаимной индуктивности обмоток статора и ротора, при этом заданное значение поперечной составляющей вектора тока статора формируют в стартерном режиме в функции отклонения текущего значения скорости от заданного значения, а в генераторном – в функции отклонения текущего значения напряжения бортовой аккумуляторной батареи от заданного значения, причем, если в любом из режимов работы текущее значение модуля вектора напряжения статора достигнет граничного значения, то монотонно уменьшают коэффициент связи в функции поддержания текущего значения модуля вектора напряжения статора на граничном уровне, если же текущее значение модуля вектора тока статора достигнет граничного значения, то монотонно увеличивают коэффициент связи в функции поддержания текущего значения модуля вектора тока статора на граничном уровне, в случае же, когда текущее значение развиваемой машиной мощности достигает предельно допустимую мощность бортовой аккумуляторной батареи, то монотонно уменьшают заданное значение поперечной составляющей вектора тока статора в функции поддержания развиваемой машиной мощности на предельно допустимом уровне для бортовой аккумуляторной батареи, при этом переход в стартерный режим производят при наличии сигнала датчика нажатого состояния педали акселератора автомобиля и низкого значения скорости, а переход в генераторный режим производят при высоком значении скорости и наличии сигнала датчика нажатого состояния педали акселератора автомобиля. Устройство управления стартер-генератором на базе синхронной машины с электромагнитным возбуждением, реализующее данный способ, содержит блок формирования заданных значений тока возбуждения и составляющих вектора тока статора по продольной и поперечной осям, подключенный через регулятор тока возбуждения к обмотке возбуждения, а через последовательно включенные блок преобразования координат, силовой преобразователь с частотно-токовой системой управления и датчики фазного тока – к фазным обмоткам; формирователь гармонических функций, механически связанный с ротором синхронной машины и подключенный своими выходами ко вторым входам блока преобразования координат; датчик скорости, выход которого подключен ко второму входу первого блока сравнения, а первый вход этого блока подключен к выходу задатчика интенсивности; второй блок сравнения, подключенный первым входом к уставке напряжения бортовой аккумуляторной батареи, а вторым входом – к датчику напряжения бортовой аккумуляторной батареи, подключенной к соответствующим входам питания регулятора тока возбуждения и силового преобразователя, при этом выходы первого и второго блоков сравнения подключены соответственно к первому и второму входам блока коммутации, выход которого подключен к первому входу блока формирования заданных значений тока возбуждения и составляющих вектора тока статора по продольной и поперечной осям, причем второй вход этого блока подключен к выходу датчика скорости, третьи входы подключены к выходам датчиков фазного напряжения, четвертые входы подключены к выходам датчиков фазного тока, пятый и шестой входы подключены к выходам формирователя гармонических функций, а управляющий вход блока коммутации подключен к выходу логического элемента И, первый вход которого через первый компаратор подключен к выходу датчика скорости, а второй вход через второй компаратор подключен к датчику нажатого состояния педали акселератора автомобиля, причем выход второго компаратора подключен также ко входу задатчика интенсивности. Блок формирования заданных значений тока возбуждения и составляющих вектора тока статора по продольной и поперечной осям в составе описанного устройства содержит блоки вычисления входной мощности модуля вектора напряжения и тока статора, блок вычисления поперечной составляющей вектора тока статора, блок ограничения коэффициента связи, три блока суммирования, три блока сравнения, три пропорциональных регулятора, три блока масштабирования, блок задания постоянных сигналов, блок вычисления модуля, блок ограничения минимального значения, блоки деления и умножения, при этом выход блока вычисления входной мощности через первый блок сравнения и первый пропорциональный регулятор соединен с первым входом первого блока суммирования, второй вход которого является первым входом блока формирования заданных значений тока возбуждения и составляющих вектора тока статора по продольной и поперечной осям и подключен к выходу блока коммутации, а его выход подключен к одному из вторых входов блока преобразования координат, выходы датчиков фазных напряжений статора через последовательно включенные блок вычисления модуля вектора напряжения, второй блок сравнения и второй пропорциональный регулятор подключены к первому входу второго блока суммирования, второй вход которого подключен к блоку задания постоянного сигнала, а третий вход через последовательно включенные третий пропорциональный регулятор, третий блок сравнения и блок вычисления модуля вектора тока статора связан с соответствующими выходами формирователя гармонических функций, выходами датчиков фазного тока статора и входами блока вычисления поперечной составляющей вектора тока статора, выход которого через блок вычисления модуля подключен к первым входам блоков деления и умножения, вторые входы которых через блок ограничения коэффициента связи подключены к выходу второго блока суммирования, причем второй вход блока ограничения коэффициента связи подключен к выходу датчика скорости, а выход блока деления через первый блок масштабирования подключен к одному из вторых входов блока преобразования координат, а через второй блок масштабирования – к первому входу третьего блока суммирования, второй вход которого через третий блок масштабирования соединен с выходом блока умножения, а выход третьего блока суммирования через блок ограничения минимального значения подключен ко входу регулятора тока возбуждения, при этом выходы блока задания постоянных сигналов подключены к соответствующим входам блоков сравнения, а входы блока вычисления входной мощности подключены к выходам блоков вычисления модулей векторов напряжения и тока статора. На фиг.1 изображена структурная схема устройства управления стартер-генератором на базе синхронной машины с электромагнитным возбуждением; на фиг. 2 – структурная схема блока формирования заданных значений тока возбуждения и составляющих вектора тока статора по продольной и поперечной осям; на фиг. 3 – предельные механические характеристики в стартерном режиме. Структурная схема устройства управления стартер-генератором на базе синхронной машины 1 с электромагнитным возбуждением содержит блок 2 формирования заданных значений тока возбуждения и составляющих вектора тока статора по продольной и поперечной осям, подключенный через регулятор 3 тока возбуждения к обмотке возбуждения, а через последовательно включенные блок 4 преобразования координат, силовой преобразователь 5 с частотно-токовой системой управления и датчики 6 фазного тока – к фазным обмоткам; формирователь 7 гармонических функций, механически связанный с ротором синхронной машины 1 и подключенный своими выходами ко вторым входам блока 4 преобразования координат; датчик 8 скорости, выход которого подключен ко второму входу первого блока 9 сравнения, а первый вход этого блока подключен к выходу задатчика 10 интенсивности; второй блок 11 сравнения, подключенный первым входом к уставке 12 напряжения бортовой аккумуляторной батареи, а вторым входом – к датчику 13 напряжения бортовой аккумуляторной батареи, подключенной к соответствующим входам питания регулятора 3 тока возбуждения и силового преобразователя 5, при этом выходы первого 9 и второго 11 блоков сравнения подключены соответственно к первому и второму входам блока 14 коммутации, выход которого подключен к первому входу блока 2 формирования заданных значений тока возбуждения и составляющих вектора тока статора по продольной и поперечной осям, причем второй вход этого блока подключен к выходу датчика 8 скорости, третьи входы подключены к выходам датчиков 15 фазного напряжения, четвертые входы подключены к выходам датчиков 6 фазного тока, пятый и шестой входы подключены к выходам формирователя 7 гармонических функций, а управляющий вход блока 14 коммутации подключен к выходу логического элемента 16 И, первый вход которого через первый компаратор 17 подключен к выходу датчика 8 скорости, а второй вход через второй компаратор 17 подключен к датчику 19 нажатого состояния педали акселератора автомобиля, причем выход второго компаратора 18 подключен также ко входу задатчика 10 интенсивности. Блок 2 формирования заданных значений тока возбуждения и составляющих вектора тока статора по продольной и поперечной осям, первый выход которого подключен ко входу регулятора 3 тока возбуждения, а вторые выходы подключены к первым входам блока 4 преобразования координат, содержит блоки вычисления входной мощности 20, модуля вектора напряжения 21 и тока 22 статора, блок 23 вычисления поперечной составляющей вектора тока статора, блок 24 ограничения коэффициента связи, три блока 25, 26 и 27 суммирования, три блока 28, 29 и 30 сравнения, три пропорциональных регулятора 31, 32 и 33, три блока 34, 35 и 36 масштабирования, блок 37 задания постоянных сигналов, блок 38 вычисления модуля, блок 39 ограничения минимального значения, блоки деления 40 и умножения 41, при этом выход блока 20 вычисления входной мощности через первый блок 27 сравнения и первый пропорциональный регулятор 30 соединен с первым входом первого блока 25 суммирования, второй вход которого является первым входом блока 2 формирования заданных значений тока возбуждения и составляющих вектора тока статора по продольной и поперечной осям и подключен к выходу блока 14 коммутации, а его выход подключен к одному из вторых входов блока 4 преобразования координат, выходы датчиков 15 фазных напряжений статора через последовательно включенные блок 21 вычисления модуля вектора напряжения, второй блок 29 сравнения и второй пропорциональный регулятор 32 подключены к первому входу второго блока 26 суммирования, второй вход которого подключен к блоку 37 задания постоянного сигнала, а третий вход через последовательно включенные третий пропорциональный регулятор 33, третий блок 30 сравнения и блок 22 вычисления модуля вектора тока статора связан с соответствующими выходами формирователя 7 гармонических функций, выходами датчиков 6 фазного тока статора и входами блока 23 вычисления поперечной составляющей вектора тока статора, выход которого через блок 38 вычисления модуля подключен к первым входам блоков деления 40 и умножения 41, вторые входы которых через блок 24 ограничения коэффициента связи подключены к выходу второго блока 26 суммирования, причем второй вход блока 24 ограничения коэффициента связи подключен к выходу датчика 8 скорости, а выход блока 40 деления через первый блок 34 масштабирования подключен к одному из вторых входов блока 4 преобразования координат, а через второй блок 35 масштабирования – к первому входу третьего блока 27 суммирования, второй вход которого через третий блок 36 масштабирования подключен к выходу блока 41 умножения, а выход третьего блока 27 суммирования через блок 39 ограничения минимального значения подключен ко входу регулятора 3 тока возбуждения, при этом выходы блока 27 задания постоянных сигналов подключены к соответствующим входам блоков 28, 29 и 30 сравнения, а выходы блока 19 вычисления входной мощности подключены к выходам блоков 21, 22 вычисления модулей векторов напряжения и тока статора. Работа устройства, реализующего предлагаемый способ управления, осуществляется следующим образом. При нажатии водителем на педаль акселератора датчик 19 выдает сигнал и компаратор 18 переключается, выдавая единичное напряжение на первый вход логического элемента 16 И и на вход задатчика 10 интенсивности. Напряжение на выходе задатчика интенсивности начинает монотонно возрастать, поступая через блок 14 коммутации на первый вход блока 2 формирования заданных значений тока возбуждения и составляющих вектора тока статора. Выходной сигнал с первого выхода этого блока поступает на вход регулятора 3 возбуждения, который формирует требуемые значения тока в обмотке возбуждения, а сигналы со второго и третьего выходов поступают на первые входы блока 4 преобразования координат. После умножения на гармонические функции углового положения ротора синхронной машины 1 и соответствующего суммирования они превращаются в заданные значения iz iz составляющих вектора тока статора в неподвижной системе координат , , ось которой совпадает с направлением фазы “А”. Затем эти сигналы разделяются на заданные значения фазных токов izA, izB, izC и отслеживаются с помощью релейных регуляторов с гистерезисной характеристикой.
Осуществление формирования заданных значений токов возбуждения и составляющих вектора тока статора по продольной и поперечной осям, обеспечивающих работу машины с коэффициентом мощности, равным или близким к единице, при минимальных потерях в меди машины поясняется с помощью следующих известных соотношений (см. [2] стр. 864) d = Lsdid+Lmdif q = Lsqiq (1) f = Lfif+Lmdid,где Lsd, Lsq – полная индуктивность статора соответственно по продольной и поперечной осям; Lmd – взаимная индуктивность обмоток статора и обмотки возбуждения по продольной оси; Lf – полная индуктивность обмотки возбуждения; id, iq – составляющие вектора |Is| тока статора по продольной и поперечной осям соответственно; d, q – составляющие вектора потокосцепления статора по продольной и поперечной осям соответственно;if, f – ток и потокосцепление обмотки возбуждения.
В соответствии с предлагаемым способом управления вводим новую переменную , называемую в дальнейшем коэффициентом связи, тогда с учетом (1) и условием равенства единице коэффициента мощности получаем![]() ![]() Развиваемый машиной момент М равен M = diq– qid = LsdK|Is|2 (4)Так как d при переходе из двигательного режима машины в генераторный и наоборот не должно изменять свой знак, то, следовательно, sign К = sign iq и составляющая id всегда отрицательна, а ток в обмотке возбуждения if всегда положительный.
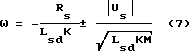
Потери Рм в меди машины при фиксированном значении момента имеют вид![]() где Rs и Rf – активные сопротивления обмоток статора и обмотки возбуждения соответственно. Из уравнения (5) видно, что существует такое значение коэффициента связи (будем называть его Копт), при котором потери в меди минимальны. Это значение коэффициента связи всегда можно получить из условия dPм/dK=0 Так как в реальных системах всегда существуют ограничения, налагаемые на величину напряжения и фазного тока силового преобразователя, то целесообразно получить зависимость = f(M), определяющую зону возможной работы машины с К=Копт и с учетом налагаемых ограничений. Используя известные дифференциальные уравнения (см. [2] стр. 865), не трудно убедиться, что в статическом режиме работы составляющие вектора напряжения статора имеют вид:Ud = Rsid– ![]() qUq = Rsiq+ ![]() d (6)Из уравнений (1), (4) и (6) получаем ![]() Знак “+” соответствует двигательному режиму работы, а “-” – генераторному. Для расчета зоны возможной работы машины с минимумом потерь в меди можно построить кривую =f(M) при К=Копт (фиг.3). Эта зона ограничена сверху максимально допустимой скоростью ротора max, а справа – максимальным моментом М1, который определяется из уравнения (4) при К=Копт и |Is| = |Is|max. Но, как видно из уравнения (4), максимальный момент достигается не при К=Копт, а при K>Копт. Естественно, что при этом потери в меди возрастают, но тем не менее при том же токоограничении можно будет получить большие моменты, что немаловажно для пусковых режимов в зимних условиях. Максимальное значение коэффициента связи Kmах можно вычислить из уравнения (3), выразив iq через |Is| при if= ifmax и |Is| = |Is|max. При этом значении Kmах и заданном токоограничении |Is|max уравнение (4) дает максимальное значение момента Mmах, развиваемого машиной (фиг.3).
Из уравнения (7) видно, что при фиксированном моменте и |Us| = |Us|max/ дальнейшее возрастание скорости возможно только за счет уменьшения значений коэффициента связи К ниже Копт, причем это также ведет к возрастанию потерь в меди машины. Очевидно, что минимальная величина коэффициента связи Kmin определяется из уравнения (7) при |Us| = |Us|max, |Is| = |Is|max и = max. Умножив уравнение (7) на М, можно сделать вывод, что предельное значение мощности Рmах, развиваемой машиной, не зависит от величины коэффициента связи, а определяется только величиной активного сопротивления обмоток статора и заданными ограничениями – |Us|max и |Is|maxPmax = -Rs|Is|2max |Us|max|Is|max (8)Уравнению (8) соответствует гипербола на фиг.3. Значения коэффициента связи, соответствующие гиперболе (будем обозначать их Кгр), обратно пропорциональны угловой скорости вращения ротора и определяются из (7) при |Us| = |Us|max и |Is| = |Is|max ![]() Таким образом, из фиг. 3 видно, что в отношении величины коэффициента связи К имеется три зоны. Зона 1 ограничена осями , М, максимальной скоростью max, кривой АБ и моментом М1 (на фиг.3 заштрихована). Это зона, в которой при заданных ограничениях |Us| = |Us|max и |Is| = |Is|max возможно выполнение минимума потерь в меди машины. Величина К в этой зоне должна быть постоянная и равна Копт.
Зона 2 ограничена гиперболой СД, моментами М1, Mmax и осью M. В этой зоне при увеличении заданного момента коэффициент связи должен меняться от К=Копт до К=Кmах в функции поддержания тока статора на уровне |Is|max.
Зона 3 ограничена кривой АБ, гиперболой СД и максимальной скоростью max. В этой зоне при увеличении заданной скорости или момента коэффициент связи должен изменяться от К=Копт до К=Kmin в функции поддержания вектора напряжения на уровне |Us| = |Us|max.
Таким образом, при учете влияния ограничения тока ключевых элементов силового преобразователя необходимо увеличить значение коэффициента связи К, начиная от значения Копт до тех пор, пока ток в статорных обмотках не уменьшится до допустимых значений. Эти функции осуществляются третьим блоком 20 сравнения, вторым блоком 26 суммирования и третьим пропорциональным регулятором 33, нижний уровень выходного сигнала которого равен нулю (фиг.2). Аналогичным образом следует поступать и при учете ограничения напряжения. Эти функции осуществляются вторым блоком 29 сравнения, вторым блоком 26 суммирования и вторым пропорциональным регулятором 32, верхний уровень выходного сигнала которого равен нулю. Блок 24 ограничения коэффициента связи имеет коэффициент передачи, равный единице. Он обеспечивает ограничение максимальной величины своего выходного сигнала (т.е. величины коэффициента связи К) в функции скорости на уровне, соответствующем К=Кгр, причем максимальное значение Кгр равно Kmax, а минимальное – Кmin. Кроме того, величина выходного сигнала блока 24 в третьей зоне лежит в пределах от Кгр до Копт, а во второй зон – от Копт до Кгр. Первый блок 34 масштабирования имеет коэффициент передачи, равный отношению Lsq к Lsd, причем сигнал на его выходе инвертируется, поэтому выходной сигнал блока 34 равен idz (в соответствии с уравнением (2)). Коэффициент передачи блока 35 масштабирования равен отношению Lsq к Lmd, а коэффициент передачи блока 36 масштабирования – отношению Lsd к Lmd, поэтому сигнал на выходе третьего блока 27 суммирования равен заданному значению тока ifz в соответствии с уравнением (3). В то же время может оказаться, что предельная мощность синхронной машины с учетом ограничений |Is| и |Us| превышает допустимое значение мощности бортовой аккумуляторной батареи. Это ограничение не должно вызывать изменения величины коэффициента связи К. Поэтому ограничение мощности, потребляемой от бортовой аккумуляторной батареи, осуществляется за счет уменьшения заданного значения составляющей iq, т.е. за счет уменьшения развиваемого машиной момента. Эти функции осуществляются первым блоком 25 суммирования, первым пропорциональным регулятором 31, первым блоком 28 сравнения и блоком 20 вычисления входной мощности, на входы которого поступают сигналы IH и UH, пропорциональные току и напряжению бортовой аккумуляторной батареи (фиг.2).
Таким образом, предлагаемый способ управления стартер-генератором позволяет предельно использовать синхронную машину с электромагнитным возбуждением как в стартерном, так и в генераторном режимах во всем диапазоне возможных скоростей и нагрузок с учетом реальных ограничений по току и напряжению. Существенно, что требуемые значения скоростей и моментов достигаются автоматически при минимально возможных в данной точке потерях в меди машины. Наибольший эффект дает использование предлагаемого изобретения там, где первостепенное значение имеют энергетические и массо-габаритные показатели. Характерным примером этого являются стартер-генераторные устройства транспортных средств с двигателями внутреннего сгорания.
Источники информации1. О. В.Слежановский, Л.Х.Дацковский, И.С.Кузнецов и др. Системы подчиненного регулирования электроприводов переменного тока с вентильными преобразователями. – М.: Энергоатомиздат, 1983. – 256 с., ил. 2. Иванов-Смоленский А.В. Электрические машины: Учебник для вузов. – М.: Энергия, 1980. – 928 с., ил. Формула изобретения
РИСУНКИ
MM4A Досрочное прекращение действия патента Российской Федерации на изобретение из-за неуплаты в установленный срок пошлины за поддержание патента в силе
Дата прекращения действия патента: 05.12.2005
Извещение опубликовано: 10.12.2006 БИ: 34/2006
|
||||||||||||||||||||||||||

iz
составляющих вектора тока статора в неподвижной системе координат
d = Lsdid+Lmdif
, называемую в дальнейшем коэффициентом связи, тогда с учетом (1) и условием равенства единице коэффициента мощности получаем


= f(M), определяющую зону возможной работы машины с К=Копт и с учетом налагаемых ограничений. Используя известные дифференциальные уравнения (см. [2] стр. 865), не трудно убедиться, что в статическом режиме работы составляющие вектора напряжения статора имеют вид:
|Us|max|Is|max (8)