Патент на изобретение №2188867
|
||||||||||||||||||||||||||
(54) МИКРОБНЫЙ СПОСОБ ПОЛУЧЕНИЯ ХИРАЛЬНЫХ ПРОИЗВОДНЫХ БЕНЗИЛОВОГО СПИРТА
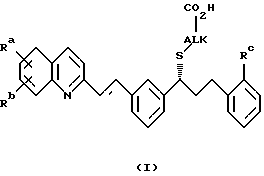
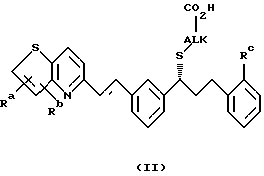
(57) Реферат: Изобретение относится к способу стереоселективного восстановления фенилалкилкетонов до их соответствующих (S)-гидроксисоединений и новому штамму. Для осуществления хирального восстановления используют новый штамм микроорганизма Microbacterium sp. MB 5614, который депонирован АТСС под инвентарным номером АТСС 55557. Способ является менее трудоемким и более экономичен по сравнению со способом химического хирального восстановления соответствующих соединений. 2 с. и 7 з.п. ф-лы, 1 табл. Лейкотриены составляют группу локально действующих гормонов, продуцируемых в живых системах из арахидоновой кислоты. Основными лейкотриенами являются лейкотриен В4 (сокращенно LTB4), LTC4, LTD4 и LTE4. Биосинтез этих лейкотриенов начинается с воздействия фермента 5-липоксегиназы на арахидоновуи кислоту с продуцированном эпоксида, известного как лейкотриен A4(LTA4), который последующими ферментативными стадиями превращается в другие лейкотриены. Детали биосинтеза также, как и метаболизм лейкотриенов, излагаюся в книге Leukotrienes and Lipoxygenases, ed. J. Rokach. Elsevier, Amsterdam (1989). Действие лейкотриенов в живых системах и их участие в различных болезненных состояниях также обсуждаются в книге под ред. J. Rokach. В патенте СШA 5270324 сообщается о классе антагонистов лейкотриенов хинолинового типа, подгруппой являются соединения, имеющие общую формулу (I) ![]() в которой Ra, Rb, в частности, представляют собой водород или галоген: и Rc может представлять собой CO2Rd, CORd или C(Re)2-OH: Rd может представлять собой водород или низший алкил, и Re может представлять собой низший алкил: и ALK представляет собой, например, циклопропил-1,1-(бис)-метилен, изопропил и т.п. В опубликованной заявке на европейский патент 604114 также описываются антагонисты лейкотриенов, к которым относятся соединения, имеющие общую формулу (II) ![]() в которой Ra, Rb, Rc и AlК имеют вышеупомянутые значения. (S)-Гидроксисоединения формулы (III) (см. ниже) являются промежуточными соединениями при синтезе соединений формулы (I) и формулы (II). Соединения формулы (III) могут быть получены из соответствующих кетонов формулы (IV) (см. ниже) при использовании хирального восстановителя, такого как диизопинокамфенилхлорборан. Химическое хиральное восстановление, как правило, требует применения дорогостоящих хиральных восстановителей; следовательно, существует необходимость в альтернативном способе получения хиральных соединений формулы (III), который может быть более экономичным и/или более удобным, чем химический способ. Краткое изложение сущности изобретения Настоящее изобретение относится к стереоселективному способу восстановления фенилалкилкетона до соответствующего (S)-гидроксипроизводного, который включает контактирование упомянутого фенилалкилкетона с Microbacterium MB5614, депонированного как AТСС 55557 или с его мутантом или его вариантом. Настоящее изобретение также относится к биологически чистой культуре Microbacterium MB 5614 (АTCC 55557), или его мутанта или его варианта. Подробное описание изобретения С одной стороны, настоящее изобретение относится к стереоселективному способу восстановления фенилалкилкетона до соответствующего (S)-гидроксипроизводного, который включает приведение в контакт упомянутого фенилалкилкетона с Microbacterium MB 5614, депонированного как ATCC 55557. Конкретнее, настоящее изобретение относится к способу получения соединения формулы (III) ![]() который включает реакцию соединения формулы (IV) ![]() с Microbacterium MB 5614, имеющего определяющие признаки AТСС 55557, где A представляет собой -СН=СН-СН=СН; R1 и R2, независимо, представляют собой водород или галоген; R3 представляет собой СО2R6, COR6 или C(R7)2-O-R8; R6 представляет собой водород или низший алкил; R7 представляет собой низший алкил: и R8 представляет собой водород или группу, защищающую гидроксильную группу. В предпочтительном варианте осуществления изобретения А представляет собой -СН= СН-СН= СН-, один из R1 и R2 представляет собой водород, а другой представляет собой галоген, и R3 представляет собой CO2R6. В более предпочтительном варианте осуществления изобретения A представляет собой -СН=СН-СН=СН-, один из R1 и R2 представляет собой водород, а другой представляет собой: хлор, и R3 представляет собой CO2CH3. С другой стороны, настоящее изобретение относится к биологический чистой культуре микроорганизма Microbacterium MB 5614, имеющего определяющие признаки AТСС 55557. Аббревиатуры и определения В настоящей заявке, если нет иных указаний, употребляются аббревиатуры и определения, перечисленные ниже. FAB-МS – масс-спектрометрия при бомбардировке быстрыми атомами; ВЭЖХ (HPLC) – высокоэффективная (высокого давления) жидкостная хроматография: МES – N-морфолиноэтансульфоновая кислота; MSG – мононатрийглутамат; ЯМР – ядерный магнитный резонанс; ТХС – тонкослойная хроматография; УФ – ультрафиолет. “Aлкил” обозначает линейные, разветвленные и циклические структуры и их сочетания. “Низший алкил” означает алкильные группы, содержащие 1-7 атомов углерода. Примерами низших алкильных групп являются метил, этил, пропил, изопропил, бутил, втор- и трет-бутил, пентил, гексил, гептил, циклопропил, циклобутил, циклопентилметил, циклогексил и подобные группы. “Галоген” включает фтор, хлор, бром и иод. “Группа, защищающая гидроксильную группу”, может представлять собой, например, простую эфирную группу, такую как метоксиметил, тетрагидропиранил, этоксиэтил, трихлорэтил, трет-бутил, аллил, бензил, триметилсилилэтил, дифенилметил и трифенилметил; простую силильную эфирную группу, такую как триметилсилил, диметилизопропилсилил, трет-бутилдиметилсилил и трет-бутилдифенилсилил; сложную эфирную группу, такую как формил, трихлорацетил, бензоил и трифторацетил; карбонатную группу, такую как трихлорэтил, бензил и аллил. Другие группы, подходящие для защиты гидроксильной группы, можно найти в известной литературе, например в Protective Groups in Organic Synthesis, Green and Wuts, Eds., 1991, John Wiley & Sons, Inc., NY. Полезность Соединения формулы (III) являются промежуточными соединениями при получении антагонистов лейкотриенов формул (I) и (II); получение таких антагонистов лейкотриенов с использованием таких промежуточных соединений описывается в патенте СШA 5270324 и в опубликованной заявке на европейский патент 604114, а также в находящейся в процессе одновременного рассмотрения заявке в СШA с регистрационным номером 08/174931. Соединения формул (I) и (II) пригодны в качестве противоастматических, противоаллергических, противовоспалительных и защитных для клеток лечебных средств. Получение субстрата В способе настоящего изобретения для микробного хирального восстановления кетонов субстраты для Microbacterium – соединения формулы (IV) – могут быть получены в соответствии со способами, известными в технике. Так, получение соединений формулы (IV), в которых A представляет собой -СН=СН-СН=СН-, описывается в патенте США 5270324. Описание микроорганизма Microbacterium MB 5614 выделяли из образцов почвы, собранных на поле в мемориальном парке Санта-Роза, пров. Гуанакасте, Коста-Рика. Поле подвергалось огневой очистке за 48 часов до отбора образцов. Образец культуры депонирован по Будапештскому соглашению в Американской коллекции типовых культур, Роквилл. Мэриленд, как AТСС 55557, и в коллекции культур ресурсов микроорганизмов. Мерк (Merk Microbial Resources Culture Collection), Rahway, Нью- Джерси, как MB 5614. В следующем далее описании наблюдения за ростом и основными признаками культур осуществлялись так, как описано в Cure и Keddie, 1969, Methods For Morphological Examination of Aerobic Coryneform Bacteria, в Board and Lovelock (editors), Samplind-Microbiological Monitoring of Environments, Academic Press, London, pp. 123-135. Утилизацию источников углерода проводят в соответствии с описанием Kamagata и Suzuki, 1986, в Sneath, P.H., N.S. Mair, M. E. Sharpe, and J.G. Holt (editors). Bergey’s Manual of Systematic Bacteriology, U.II, pp. 1314. Другие физиологические испытания проводят так, как описано в Jones, 1975, A Numerical Taxonomic Study of Coryneform and Related Bacteria. J. Gen. Microbiol. 87: 52-96. Анализ клеточных стенок осуществляют, используя методы Lechevalier и Lechevalier, 1980, The Chemotaxonomy of Actinomicetes, в Dietz. A., and D.W. Thayer (editors), Actinomyces Тaxonom, Society for Inductrial Microbiology, Arlington, UA. pp. 225-291; и Uchida и Aida, 1984, An Improved Method For The Glycolate Test For Simple Identification of Acyl Type of Bacterial Cell Walls, J. Gen. Appl. Microbiol. 30: 131-134. Анализ менахинонов проводят по методу Hiraishi et al., 1992, Rapid Profiling of Bacterial Quinones By Two-Dimtnsional Thin-Layer Chromatography, Letter in Aрр1. Microbiol. 14: 170-173. Анализ жирных кислот осуществляют по методу Miller и Berger, 1985, Hewlett-Packard Application Note, pp. 228-241, Hewlett-Packard Co., Palo Alto, СA. Морфология клетки. Неподвижная, грамположительная, плеоморфная “палочка” (1,14 0,38 мкм) с булавовидной морфологией. Первичное ветвление происходит во время цикла роста, но без продуцирования мицелиев. Не происходит четкого цикла развития палочка-кокк. Эндоспоры не продуцируются.
Культуральные и физиологические признаки. Мезофильный, причем рост происходит при 28oС и 37oС. Условия культивирования – рН может колебаться между 5,0 и 9,0 с оптимумом в районе рН 7. Строгий аэроб, каталазоположительный, оксидазоотрицательный. Метаболизм, главным образом, газовый; хотя он может быть также ферментативным. Кислота продуцируется на целлобиозы, фруктозы, галактозы, D-глюкозы, глицерина, маннозы, мальтозы, D-рибозы, сахарозы, трегалозы и D-ксилозы, но не из D-арабинозы, инозита, лактозы, мелибиозы, D-рафинозы, рамнозы, растворимого крахмала, D-сорбита, L-сорбозы или L-ксилозы. Желатин гидролизуется в малой степени, но хитин, крахмал, казеин, мочевина или целлюлоза не гидролизуются. Питание комплексное, причем рост происходит на средах на основе пептона. На средах на основе пептона колонии составляют 1-3 мм в диаметре, желтые по цвету, прозрачные, растут и имеют неповрежденный край. Поверхность блестит, а текстура мукоидная. Пигменты, способные диффундировать, не продуцируются.
Химия клеточных стенок. Диаминокислотой в клеточной стенке является лизин. Такие присутствуют глицин, аланин и глутаминовая кислота. Тип клеточных стенок более всего подобен Вlа. Основным сахаром клеточных стенок является рамноза,наряду с маннозой, рибозой и неидентифицированным сахаром (Rгалактоза= 0,75), которые все присутствуют в более низких концентрациях. Основными менахинонами являются МК10 и МК11. Основными жирными кислотами являются 15:0 антеизо, 17:0 антеизо и 16:0 изо.
Хемотаксономические исследования показывают, что MB 5614 принадлежит к роду Microbacterium; однако сравнение признаков роста и типов углеводного бровения не дает совпадения с шестью признанными на сегодняшний день видами этого рода (таблица). На основании этого предполагается этот штамм располоиить как новый вид Microbacterium campoguemadoensis.
Описание способаШтамм Microbacterium может быть выращен в обычной среде, содержащей известные источники питания для роста бактерий, т.е. усвояемые источники углерода и азота, с добавлением необязательных неорганических солей и других известных факторов роста. Культуру выращивают предпочтительно в аэробных условиях при погружении; однако для культивирования в небольших масштабах можно такие использовать поверхностные культуры и микробиологические матрасы. Обычные процедуры, применяемые для выращивания других бактерий, применимы в настоящем изобретении. Питательная среда, используемая для культивирования Microbacterium, должна содержать соответствующий усвояемый источник углерода, такой как глюкоза, фруктоза, сахароза и целлюлоза. В качестве источника азота могут использоваться хлорид аммония, сульфат аммония, мочевина, нитрат аммония, нитрат натрия, глутамат натрия и т.п., либо по отдельности, либо в сочетании с органическими источниками азота, такими как пептон, мясной экстракт, дрожжевой экстракт, кукурузный экстракт, соевая мука, хлопковое масло и т.п. При необходимости также могут добавляться питательные неорганические соли, чтобы обеспечить источники натрия, калия, кальция, аммония, фосфата, сульфата, хлорида, бромида, карбоната, цинка, магния, марганца, кобальта, железа и подобных составляющих. Microbacterium можно выращивать при любой температуре, подходящей для удовлетворительного роста, например при 25-40oС, и наиболее удобно осуществлять процесс при температуре 27-32oС. Если ферментация должна осуществляться в бродильных чанах, желательно использовать растительный инокулят в питательном бульоне из культуры на косячке агара или лиофилизованной культуры. После получения активного инокулята таким способом его стерильно переносят в сбраживаемую среду в бродильный чан. Возбуждение в бродильном чане обеспечивается перемешиванием, а аэрация может быть осуществлена путем подачи воздуха или кислорода в перемешиваемую смесь. В одном из вариантов осуществления настоящего способа кетонный субстрат (IV) приводят в контакт с Microbacterium, выращиваемым в водной питательной среде. Кетон может быть добавлен к культуре Microbacterium в любое время; но предпочтительно субстрат добавляют, когда образуется достаточная биомасса микрорганизма. Концентрацию биомассы можно легко контролировать, например, путем измерения поглощения света образцом культуры, при 660 нм с использованием спектрофотометра. Как правило, максимум биомассы достигается через 3-5 суток после инокуляции. Процесс биоконверсии можно проконтролировать обычными способами, такими как ВЭЖХ, с последующим контролем спектров. Уровень стереоселективного восстановления продукта достигает максимального значения через 3-4 суток после добавления субстрата. Биоконверсия кетонного субстрата до соответствующего (S)-гидроксисоединения может быть осуществлена непрерывно, например, в течение периода до 500 часов, при периодическом добавлении кетона. Полученное таким образом нужное (S)-гидроксисоединение может быть извлечено из ферментативного бульона любым способом, подходящим для такого извлечения и отделения; примерами такого способа являются экстракция, преципитания, хроматография и другие известные в технике традиционные методы. В другом варианте осуществления настоящего способа кетонный субстрат приводят в контакт с Microbacterium на стадии покоя. Стадия покоя здесь означает, что микроорганизм не растет активно, но способен к нужному функционированию в буферном растворе в отсутствии факторов, поддерживающих рост. Покоящиеся клетки Microbacterium получают, собирая растущие клетки Microbacterium, например, путем центрифугирования; собранные клетки также могут быть лиофилизованы и затем сохранены при -80oС для будущего применения. Покоящиеся клетки используют в виде клеточной суспензии в соответствующем буферном растворе, таком как фосфатный буферный раствор или трис-буфер (рН 6-8). Кетон добавляют к клеточной суспензии, и смесь инкубируют при температуре от 20 до 40oС, чтобы осуществить восстановление. К клеточной суспензии, необязательно, можно добавлять глюкозу, чтобы улучшить эффективность биоконверсии. Клетки, иммобилизованные на подлодке физической адсорбцией или захватом, также могут использоваться для способа хирального восстановления. Иммобилизации клеток можно достичь, используя обычные способы, например способ, описанный в Karsten, G. , and Simon, H., Appl. Microb. Biotechnol., 1993, 38:441-446, и способы, описанные в цитированных здесь ссылках. Следует иметь в виду, что для осуществления биотрансформации настоящее изобретение не ограничивается конкретным микроорганизмом, упомянутым выше, но включает использование его вариантов и мутантов, которые сохраняют способность восстанавливать кетоны. Такие варианты и мутанты могут быть продуцированы из родительского штамма с помощью различных средств, таких как рентгеновское излучение, УФ-облучение, и химические мутанты, такие как N-метил-N’-нитро-Н-нитрозогуанидин. Приведенные ниже примеры даются для более полной иллюстрации настоящего изобретения, и не должны рассматриваться как ограничивающие каким-либо образом обьем настоящего изобретения. Пример 1. Посевная культура Microbacterium MB 5614 Дают возможность 1,5-мл ампуле с замороженным Microbacterium MB 5614 в среде SG (состав приводится ниже в примере 4) оттаивать при комнатной температуре, и затем переносят в колбу Эрленмейера емкостью 250 мл, содержащую 50 мл среды КЕ, содержащей (на литр среды) 10 г декстрина, 5 г ардамина рН, 5 г амина NZ типа Е, 3 г дрожжевого экстракта, 1 г декстрозы, 0,37 г К2НРО4, 0,05 г MgSO4 7Н2O,деионизованную воду. q.v., до 1 л, NaOH до рН 7,1, 0,5 г СаСО3. Колбу инкубируют при 28oС в течение 24 час на круговой качалке при 220 об/мин. Аликвоту культуры из колбы в 1,0 мл затем используют для инокулирования 2,0 -л колбы Эрленмейера, содержащей 500 мл среды КЕ. Колбу емкостью 2 л инкубируют в течение 24 час при 28oС на круговой качалке при 220 об/мин. Пример 2. Биоконверсия метил-2-(3-(3-(2-(7-хлор-2-хинолинил)этенил)фенил)-3-оксопропил)бензоата (далее называемого кетоэфиром) до метил-2-(3-(3-(2-(7-хлор-2-хинолинил)этенил)фенил)-3(S)-гидроксипропил)бензоата (далее называемого гидроксиэфиром) (способ A) Аликвоту в 2 мл посевной культуры примера 1 переносят в колбу с перегородками емкостью 250 мл, содержащую 50 мл биоконверсионной среды, в состав которой входят (на литр среды): 20 г глюкозы, 5 г соевой муки, 5 г дрожжевого экстракта, 5 г NaCl, 9,8 г N-морфолиноэтансульфоновой кислоты (MES). деионизованная вода, q.v.. до 1 л; рН доводят до 7,0. Добавляют к среде раствор кетоэфира (5 мг) в ацетоне (0,5 мл) и колбу инкубируют при 27oC С на качалке при 220 об/мин, в темноте. Биоконверсию контролируют следующим образом. Отбирают из колбы в различное время образцы по 1 мл и смешивают с 1 мл изопропанола. Получающуюся в результате смесь после интенсивного перемешивания центрифугируют и аликвоту супернатанта проверяют ВЭЖХ (аналитическая колонка ODS-3, Whatman Partisil 10: элюент – линейный градиент ацетонитрила в воде (55% – 95% за 30 минут); скорость потока 1 мл/мин; температура колонки 45oС). Пример 3. Выделение и исследование гидроксиэфира После инкубации в течение 48 часов соединяют бульон от биотрансформации из 4 колб (всего 200 мл) и доводят рН до 6,0. Бульон центрифугируют (20 мин при 3700 об/мин), и извлекают супернатант. Осадок затем суспендируют в 150 мл метанола и перемешивают в течение 30 мин в темноте. Полученную таким образом суспензию центрифугируют, как упоминалось выше, и снова извлекают супернатант. Осадок экстрагируют еще раз и супернатант присоединяют к супернатантам, извлеченным ранее. Объединенный экстракт смешивают с равным объемом метиленхлорида и после энергичного встряхивания извлекают метиленхлоридную фазу и сушат при пониженном давлении. Высушенный остаток наносят на полупрепаративную силикагелевую пластину и пластину проявляют в системе растворителя – метиленхлориде. Проявленную ТХС-пластину проверяют под УФ-светом, и сосредотачиваются на основной полосе УФ-поглошения с величиной Rf ниже, чем у субстрата. Соскребаит силикагель с этой площади и тщательно экстрагируют метиленхлоридом. Экстракт концентрируют при пониженном давлении и фильтруют. Фильтрованный экстракт затем очищают несколькими впрыскиваниями в полупрепаративную колонку ODS-3 (9,4 мм 25 см). Whatman Partisil 10. Эту колонку проявляют, используя обычные условия для аналитической колонки, за исключением того, что скорость потока составляет 3 мл/мин (см. пример 2). Объединяют очищенные ВЭЖХ фракции и тщательно экстрагируют их метиленхлоридом. Метиленхлоридный экстракт сушат над Na2SO4 и концентрируют досуха в атмосфере азота, получают 3,5 мг сухого конечного продукта (прямое количественное определение ВЭЖХ субстрата и продукта показывает конверсии в 30-40% по отношению ко времени сбора культуры). ЯМР и спектральный анализ FAB-MS показывают, что продукт представляет собой метил-2-(3(S)-(2-(7-хлор-2-хинолинил)этенил)фенил)-3-гидрокси)пропил)-бензоат, и хиральная хроматография фракции, очищенной ВЭЖХ, на колонке Chiralcel OD (элюент 90% гексана/изопропанол; скорость потока 2 мл/мин; время удержания 17,9 мин для (S)-гидроксиэфира, 19,8 мин для (R)-гидроксиэфира) показывает избыток энантиомера в 95%.
Пример 4. Биоконверсия кетоэфира в гидроксиэфир (способ Б)Используют 10-мл аликвоту посевной культуры примера 1 для инокуляции колбы Эрленмейера емкостью 2,0 л, содержащей 500 мл производственной питательной среды (среда SG), в состав которой входят (на литр среды) 0,5 г FeCl3 6H2O,30 г декстрозы, 20 г мононатрийглутамата (MSG), 9,8 г MES. 5 г дрожжевого экстракта. 5 г NaCl, деионизованная вода, q.v., до 1 л (рН 7,0, NaOH). Колбу инкубируют при 28oС на круговой качалке при 200 об/мин. После инкубации производственной культуры в течение 5 суток добавляют кетоэфир (250 г, в виде раствора 25 мг/мл в диметилсульфоксиде). На 8 и 9 сутки после инокуляции добавляют дополнительные порции кетоэфира (каждая по 250 мг). Биоконверсию до гидроксиэфира контролируют, проверяя концентрации кетоэфира и гидроксиэфира в культуре. Коротко, аликвоту культурального бульона экстрагируют двумя объемами этилацетата. Затем экстракт сушат в атмосфере азота и ресуспендируют в ацетонитриле, и раствор хроматографируит на ВЭЖХ-колонке Zorbax RX-C8 (подвивная фаза – ацетонитрил в воде 10-90%, обе подкислены 0,1% Н3РО4; скорость потока 1,5 мл/мин). Время удержания (кетоэфир)= 5 мин; время удержания (гидроксиэфир)=12 мин. Биоконверсия при этих условиях продуцирует приблизительно 500 мг/л гидроксиэфира на 10 сутки после инокуляции, при скорости во время реакции приблизительно 100 мг/(1 сутки). Пример 5. Биоконверсия кетоэфира до гидроксиэфира с помощью покоящихся клеток Microbacterium MB 5614 Культуру Microbacterium MB 5614 выращивают по методике, описанной в примерах 1 и 2. Культуру в среде для биоконверсии инкубируют в течение 44 час при 28oС на круговой качалке при 220 об/мин, клетки собирают центрифугированием при 15000 об/мин в течение 120 мин. Получающийся в результате осадок промывают три раза 0,1 М фосфатным буфером, рН 7,2, лиофилизуют и хранят при -80oС. Клетки оттаивают, суспендируют в буфере, 4:5, г/обьем, и к клеточной суспензии добавляют кетоэфир (5 мг/0,5 мл ДМСО). Смесь инкубируют при 27oС. Биоконверсию проверяют так, как описано выше. После инкубации в течение 40 часов наблюдают конверсию более 50% (при определении ВЭЖХ). Добавление глюкозы (0,1 М) к клеточной суспензии дает в результате конверсию приблизительно 60% после 40-часовой инкубации. Формула изобретения
![]() в которой А представляет собой -СН= СН-СН= СН-; R1 и R2 независимо представляют собой водород или галоген; R3 представляет собой СО2R6, COR6 или C(R7)2-O-R8, R6 представляет собой водород или низший алкил, R7 представляет собой низший алкил, и R8 представляет собой водород или группу, защищающую гидроксильную группу, который включает в себя контактирование соединения формулы (IV) ![]() в которой A, R1, R2 и R3 принимают те же значения, которые определены для формулы (III), со штаммом Microbacterium sp. MB 5614, депонированным как АТСС 55557. 2. Способ по п. 1, при котором один из R1 и R2 представляет собой водород, а другой представляет собой галоген, и R3 представляет собой CO2R6. 3. Способ по п. 1, при котором один из R1 и R2 представляет собой водород, а другой представляет собой хлор, и R3 представляет собой СO2СН3. 4. Способ по п. 1, при котором упомянутый в п. 1 штамм культивируют в водной питательной среде, содержащей способные к ассимиляции источники углерода и азота. 5. Способ по п. 1, при котором упомянутый в п. 1 штамм находится в состоянии покоя. 6. Способ по п. 4, при котором упомянутая питательная среда дополнительно содержит FеСl3. 7. Способ по п. 4, при котором упомянутая питательная среда дополнительно содержит мононатрий-глутамат. 8. Способ по п. 4, при котором упомянутая питательная среда дополнительно содержит FеСl3 и мононатрий-глутамат. 9. Штамм Microbacterium MB 5614, депонированный как АТСС 55557, который способен согласно п. 1 конвертировать соединение формулы (IV) в соединение формулы (III). РИСУНКИ
MM4A Досрочное прекращение действия патента Российской Федерации на изобретение из-за неуплаты в установленный срок пошлины за поддержание патента в силе
Дата прекращения действия патента: 15.07.2004
Извещение опубликовано: 20.04.2006 БИ: 11/2006
|
||||||||||||||||||||||||||





0,38 мкм) с булавовидной морфологией. Первичное ветвление происходит во время цикла роста, но без продуцирования мицелиев. Не происходит четкого цикла развития палочка-кокк. Эндоспоры не продуцируются.
Культуральные и физиологические признаки. Мезофильный, причем рост происходит при 28oС и 37oС. Условия культивирования – рН может колебаться между 5,0 и 9,0 с оптимумом в районе рН 7. Строгий аэроб, каталазоположительный, оксидазоотрицательный. Метаболизм, главным образом, газовый; хотя он может быть также ферментативным. Кислота продуцируется на целлобиозы, фруктозы, галактозы, D-глюкозы, глицерина, маннозы, мальтозы, D-рибозы, сахарозы, трегалозы и D-ксилозы, но не из D-арабинозы, инозита, лактозы, мелибиозы, D-рафинозы, рамнозы, растворимого крахмала, D-сорбита, L-сорбозы или L-ксилозы. Желатин гидролизуется в малой степени, но хитин, крахмал, казеин, мочевина или целлюлоза не гидролизуются. Питание комплексное, причем рост происходит на средах на основе пептона. На средах на основе пептона колонии составляют 1-3 мм в диаметре, желтые по цвету, прозрачные, растут и имеют неповрежденный край. Поверхность блестит, а текстура мукоидная. Пигменты, способные диффундировать, не продуцируются.
Химия клеточных стенок. Диаминокислотой в клеточной стенке является лизин. Такие присутствуют глицин, аланин и глутаминовая кислота. Тип клеточных стенок более всего подобен Вlа. Основным сахаром клеточных стенок является рамноза,наряду с маннозой, рибозой и неидентифицированным сахаром (Rгалактоза= 0,75), которые все присутствуют в более низких концентрациях. Основными менахинонами являются МК10 и МК11. Основными жирными кислотами являются 15:0 антеизо, 17:0 антеизо и 16:0 изо.
Хемотаксономические исследования показывают, что MB 5614 принадлежит к роду Microbacterium; однако сравнение признаков роста и типов углеводного бровения не дает совпадения с шестью признанными на сегодняшний день видами этого рода (таблица). На основании этого предполагается этот штамм располоиить как новый вид Microbacterium campoguemadoensis.
Описание способа
