Патент на изобретение №2188820
|
||||||||||||||||||||||||||
(54) 2-(3-ДИМЕТИЛАМИНОПРОПИЛТИО)-3-ФОРМИЛИНДОЛ, ЗАЩИЩАЮЩИЙ ОРГАНИЗМ ОТ ГИПОКСИИ
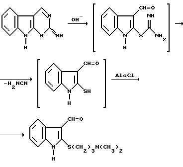
(57) Реферат: Изобретение относится к 2-(3-диметиламинопропилтио)-3-формилиндолу формулы ![]() который защищает организм от гипоксии. Соединение имеет Тпл 76oС, Rf 0,38, ЛД50=375 мг/кг. Описан способ его получения. 1 табл. Изобретение относится к химии азотсодержащих гетероциклических систем и конкретно касается 2-(3-диметиламинопропилтио)-3-формилиндола формулы 1 [1] ![]() Заявляемое соединение является производным системы индола типа А ![]() В литературе отсутствуют сведения об антигипоксической активности неконденсированных производных индола. Аналогом по действию является эталонный антигипоксант амтизол Формулы B [2] ![]() Целью данного изобретения является создание нового соединения ряда индола, эффективно защищающего организм от гипоксии. Поставленная цель достигается химической структурой соединения 1, обладающего вышеуказанным свойством. При изучении биологической активности заявляемого соединения 1 установлено, что оно защищает организм от воздействия гипобарической гипоксической гипоксии. Что, в свою очередь, позволяет предполагать возможность применения его для предотвращения вредного воздействия фактора гипоксии на людей. Заявляемое соединение 1 представляет собой светло-желтое кристаллическое вещество, легко растворимое в спирте, диоксане, этилацетате, трудно растворимое в бензоле, воде. Строение соединения 1 подтверждено данными элементного анализа и спектральными характеристиками, приведенными ниже в тексте примерa. Исследование защитного действия соединения 1 при воздействии гипобарической гипоксической гипоксии. Опыты выполнены на мышах линии C57BL/6J массой 18-20 г. Заявляемое вещество вводили внутрибрюшинно в виде суспензии с твином 20 в дозе 50 мг/кг за 30 минут до гипоксического эпизода. Оптимальную дозу выбрали на основании предварительных опытов. Эффект препарата сравнивали с известным антигипоксантом амтизолом в дозе 25 мг/кг. Мышам в контроле вводили эквивалентные объемы физиологического раствора. Гипоксию моделировали в барокамере “поднятием” животных на высоту 10000 м со скоростью 50 м/с и экспозицией в течение 90 минут. Оценку защитного действия изучали по средней продолжительности жизни и по выживаемости животных после гипоксического эпизода. Активность заявляемого соединения 1 в сравнении с известным аналогом представлена в таблице. Ввиду того что молекулярная масса соединения 1 превосходит массу соединения В в 2,25 раза, полученные данные свидетельствуют о том, что заявляемое соединение равно по эффективности эталонному антигипоксанту амтизолу и даже несколько превосходит его. Проведена оценка токсического действия заявляемого соединения по величине средней летальной дозы по известной методике [3]. Исследование проведено на мышах массой 18-20 г. Соединение 1 вводили внутрибрюшинно в виде водной эмульсии с твином 20. Каждую дозу испытывали на 8-10 мышах. Наблюдение за состоянием экспериментальных животных проводили в течение суток. Найдено, что ЛД50 исследуемого препарата составляет 375 мг/кг. Полученные данные позволяют заключить, что соединение 1 относится к малотоксичным веществам и обладает достаточной фармакологической широтой. Заявляемое соединение получают по следующей схеме. 9Н-1,3-тиазино[6,5-b] индол в водной щелочной среде обрабатывают гидрохлоридом диметиламинопропилхлорида, происходит гидролитическое расщепление тиазинового кольца с образованием промежуточного альдегида, который затем отщепляет цианамид и превращается в 2-меркапто-3-формилиндол, далее подвергающийся алкилированию. ![]() Пример. К раствору 2 г (1 ммоль) 9Н-1,3-тиазино[6,5-b]индола в 25 мл 1 н. раствора едкого натра прибавляют 1,73 г (1,1 ммоль) гидрохлорида диметиламинопропилхлорида и оставляют раствор желтого цвета на трое суток. Затем отфильтровывают выпавшие кристаллы желтого цвета, получают 1,6 г продукта. После кипячения маточника в течение 30 мин на водяной бане получают дополнительно еще 0,8 г продукта, несколько загрязненного исходным. Продукт при попытке кристаллизации осмоляется, поэтому для очистки используют переосаждение с активированным углем из спирта в воду, соотношение 1:10. Для аналитических целей 0,8 г переосажденного вещества растворяют в 9 мл спирта и вымораживают в течение двух суток в морозилке. Получают 0,36 г светло-желтых кристаллов, т. пл. 76oС. Вещество однородно по данным ТСХ в УФ-254, элюент ацетон-гексан 1:1, Rf 0,38. Найдено, %: С 63,79, 63,98; Н 6,75, 6,84; N 10,22, 10,40; S 12,62, 12,38. C14H18N2O. Вычислено, %: С 64,09, Н 6,92, N 10,68, S 12,22. УФ-спектр в спирте, макс. , нм (lg E): 216 (4,34), 258 (4,21), 312 (4,02).
Спектр ПМР в ДМСО d6, 200 МГц, , м.д.: 1,72 м (2Н, СН2C), 2,08 с (6Н, СН3), 2,33 т (2Н, СН2N), 3,16 т (2Н, СН2S), 7,22-7,46 м (3Н, Н4, Н5, Н6), 8,07 д (1Н, Н7), 10,09 с (1Н, CHO).
Масс-спектр, m/z: (1%): [М] + 234 (39), [M-NН3]+ 217 (10), [М-СОNН2] + 190(4), [M-NH3-CO]+ 189 (4), [M-CH2CОNH2]+ 176 (100), [М-Н-СН2СОNН2]+ 175 (30), [М-СН2СОNН2-СО]+ 148 (28), [М-СН2СОNН2-СНО]+ 147 (5), [M-CH2CONH2-S] + 144 (5), [M-CH2CОNH2-HCN]+ 121 (8).
Использованная литература
2. Методические рекомендации по экспериментальному изучению препаратов, предлагаемых для клинического изучения в качестве антигипоксических средств. /Под редакцией Л.Д.Лукьяновой. – М.: Б.И., 1990. – 18 с.
3. Прозоровский В. Б. и др. Экспресс-метод определения средней эффективной дозы и ее ошибки. / Фармакология и токсикология. – 1978. – 4. – С. 494-502.3
Формула изобретения
![]() защищающий организм от воздействия гипоксии РИСУНКИ
MM4A Досрочное прекращение действия патента Российской Федерации на изобретение из-за неуплаты в установленный срок пошлины за поддержание патента в силе
Дата прекращения действия патента: 19.12.2003
Извещение опубликовано: 20.04.2005 БИ: 11/2005
|
||||||||||||||||||||||||||






макс. , нм (lg E): 216 (4,34), 258 (4,21), 312 (4,02).
Спектр ПМР в ДМСО d6, 200 МГц,
, м.д.: 1,72 м (2Н, СН2C), 2,08 с (6Н, СН3), 2,33 т (2Н, СН2N), 3,16 т (2Н, СН2S), 7,22-7,46 м (3Н, Н4, Н5, Н6), 8,07 д (1Н, Н7), 10,09 с (1Н, CHO).
Масс-спектр, m/z: (1%): [М] + 234 (39), [M-NН3]+ 217 (10), [М-СОNН2] + 190(4), [M-NH3-CO]+ 189 (4), [M-CH2CОNH2]+ 176 (100), [М-Н-СН2СОNН2]+ 175 (30), [М-СН2СОNН2-СО]+ 148 (28), [М-СН2СОNН2-СНО]+ 147 (5), [M-CH2CONH2-S] + 144 (5), [M-CH2CОNH2-HCN]+ 121 (8).
Использованная литература
2. Методические рекомендации по экспериментальному изучению препаратов, предлагаемых для клинического изучения в качестве антигипоксических средств. /Под редакцией Л.Д.Лукьяновой. – М.: Б.И., 1990. – 18 с.
3. Прозоровский В. Б. и др. Экспресс-метод определения средней эффективной дозы и ее ошибки. / Фармакология и токсикология. – 1978. – 4. – С. 494-502.3
