Патент на изобретение №2188818
|
||||||||||||||||||||||||||
(54) КАТИОННЫЕ МОНОБЕНЗОЛЬНЫЕ НИТРОФЕНИЛЕНДИАМИНЫ, ИХ ПРИМЕНЕНИЕ ДЛЯ ОКРАШИВАНИЯ КЕРАТИНОВЫХ ВОЛОКОН, СОДЕРЖАЩИЕ ИХ КРАСЯЩИЕ КОМПОЗИЦИИ И СПОСОБЫ ОКРАШИВАНИЯ
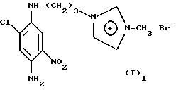
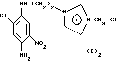
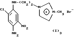
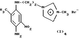
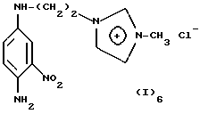
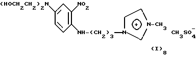
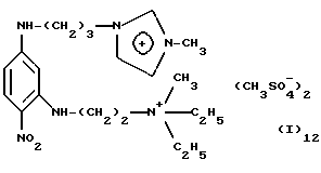
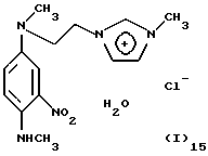
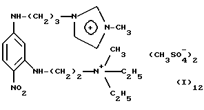
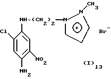
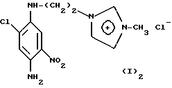
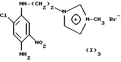
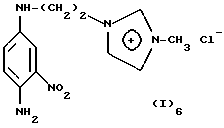
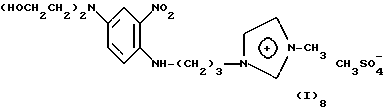
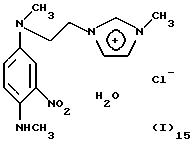
(57) Реферат: Изобретение относится к катионным нитрофенилендиаминовым красителям, которые могут быть использованы в качестве прямых красителей для окраски кератиновых волокон и, в частности, человеческих волос. Описываются катионные монобензольные нитрофенилендиамины, содержащие, по меньшей мере, одну катионную группу Z, выбранную из группы кватернизованных ненасыщенных азотсодержащих циклических групп и кватернизованных алифатических групп, причем когда алкильная цепь содержит кетонную группу, то кетонная группа не связана непосредственно с атомом азота аминогрупп или с атомом кислорода группы OR7 в фенильном кольце. Описываются также красящая композиция для кератинового волокна и способ окрашивания кератинового волокна. Предлагаемые красители обладают повышенной растворимостью в красящих средах и обеспечивают окраску повышенного качества по сравнению с известными катионными нитрофенилендиаминами, катионный заряд которых локализован на атоме азота алифатической цепи или моноазотсодержащего гетероцикла. 4 с. и 12 з.п. ф-лы, 33 табл. Изобретение относится к монобензольным нитрофенилендиаминам, содержащим, по меньшей мере, одну катионную группу, выбранную из алифатических цепей, содержащих, по крайней мере, один перемещенный катионный заряд на ненасыщенном полиазотсодержащем гетероцикле с 5 звеньями, к их применению в качестве прямого красителя при окрашивании кератиновых веществ, в частности кератиновых волокон человека, в частности волос, и еще более конкретно к содержащим их красящим композициям. Известно окрашивание кератиновых волокон, в частности волос, при помощи красящих композиций, содержащих прямые красители, то есть красящие молекулы, обладающие сродством к указанным волокнам. Способ окрашивания, при котором они применяются, представляет собой так называемый способ прямого окрашивания, заключающийся в том, что прямые красители наносят на волокна на определенное время, затем волокна прополаскивают. Получаемые при этом окраски представляют собой временные или полуперманентные окраски, так как природа взаимодействия между прямыми красителями и кератиновым волокном, а также их десорбция с поверхности и/или из сердцевины волокна обуславливают их слабые красящие возможности и их плохую устойчивость к мытью или потению. Среди известных прямых красителей катионные нитрофенилендиамины, разумеется, уже были описаны, но в случае, когда их катионный заряд был локализован на атоме азота алифатической цепи или моноазотсодержащего гетероцикла. Такие нитрофенилендиамины, например, были описаны в патентах: английском 1164824 и американском 4018556. Тем временем, в области окрашивания волос постоянно производятся исследования, направленные на получение прямых красителей, обладающих все лучшими характеристиками. После серьезных исследований, проведенных в этой области, заявитель, наконец, обнаружил совершенно неожиданным и удивительным образом новые катионные монобензольные нитрофенилендиамины, в которых, по меньшей мере, один катионный заряд перемещен на ненасыщенный полиазотсодержащий гетероцикл с 5 звеньями и которые содержат, по меньшей мере, одну катионную группу Z, где Z выбрано из кватернизованных алифатических цепей, таких, которые содержат по меньшей мере один насыщенный кватернизованный цикл и таких, которые содержат, по крайней мере, один ненасыщенный кватернизованный цикл. Это новое семейство красителей обладает тем особенно выдающимся преимуществом, что имеет более высокую растворимость в красящих средах, и эти новые красители при помощи прямого окрашивания создают окраску, обладающую прочностью и устойчивостью (по отношению к различным агрессивным влияниям, которым могут подвергаться волосы: свет, трение, непогода, мытье шампунем, потовыделение) и значительно более высокого качества по сравнению с видами окраски, осуществляемыми при помощи ранее известных катионных нитрофенилендиаминов, катионный заряд которых локализован на атоме азота алифатической цепи или моноазотсодержащего гетероцикла. Это открытие легло в основу настоящего изобретения. Предметом настоящего изобретения, таким образом, являются катионные монобензольные нитрофенилендиамины, отвечающие следующей формуле (I): ![]() в которой R1, R2, R3 и R4, которые могут быть одинаковыми или различными, представляют собой атом водорода; нижеописанную группу Z; радикал алкил с 1-6 атомами углерода; радикал моногидроксиалкил с 1-6 атомами углерода; радикал полигидроксиалкил с 2-6 атомами углерода; радикал (C1-C6)aлкоксиаклил с 1-6 атомами углерода; радикал арил; радикал бензил; радикал цианоалкил с 1-6 атомами углерода; радикал карбамилалкил с 1-6 атомами углерода; радикал N-(C1-С6)алкилкарбамилалкил с 1-6 атомами углерода; радикал N,N-(C1-C6)диалкилкарбамилалкил с 1-6 атомами углерода; радикал тиокарбамилалкил с 1-6 атомами углерода; радикал трифторалкил с 1-6 атомами углерода; радикал сульфоалкил с 1-6 атомами углерода; радикал (С1-С6)алкилкарбоксиалкил с 1-6 атомами углерода; радикал (С1-С6)алкилсульфинилалкил с 1-6 атомами углерода; радикал аминосульфонилалкил с 1-6 атомами углерода; радикал N-Z-аминосульфонилалкил с 1-6 атомами углерода; радикал N-(C1-C6)алкиламиносульфонилалкил с 1-6 атомами углерода; радикал N,N-(С1-С6)диалкиламиносульфонилалкил с 1-6 атомами углерода; радикал (С1-С6)алкилкарбонилалкил с 1-6 атомами углерода; радикал аминоалкил с 1-6 атомами углерода, в котором алкил не замещен или замещен одним или несколькими радикалами гидрокси; радикал амино (C1-C6)алкил, в котором алкил не замещен или замещен одним или несколькими радикалами гидрокси и в котором амин замещен одним или двумя радикалами, одинаковыми или различными, выбранными из алкила, моногидроксиалкила с 1-6 атомами углерода, полигидроксиалкила с 2-6 атомами углерода, (С1-С6)алкилкарбонила, карбамила, N-(C1-C6)алкилкарбамила или N,N-(С1-С6)диалкилкарбамила, (С1-С6)алкилсульфонила, формила, трифтор(С1-С6)алкилкарбонила, (C1-C6)алкилкарбокси, тиокарбамила, или же нижеуказанной группой Z; или могут образовывать вместе с атомом азота, с которым они связаны, 5- или 6-членный, углеродный цикл или содержащий один или несколько гетероатомов; R5, R6, одинаковые или различные, представляют собой атом водорода; атом галогена; нижеописанную группу Z; радикал (С1-С6)алкилкарбонил; радикал амино(С1-С6)алкилкарбонил; радикал N-Z-амино (С1-С6)алкилкарбонил; радикал N-(С1-С6)алкиламино(С1-С6)алкилкарбонил; радикал N,N-(С1-С6)диалкиламино(С1-С6)алкилкарбонил; радикал амино (С1-С6)алкилкарбонил (С1-С6)алкил; радикал N-Z-амино (С1-С6)алкилкарбонил (С1-С6)алкил; радикал N-(С1-С6)алкиламино (С1-С6)алкилкарбонил-(С1-С6)алкил; радикал N, N-(С1-С6)диалкиламино(С1-С6)алкилкарбонил (С1-С6)алкил; радикал карбокси; радикал (С1-С6)алкилкарбокси; радикал (С1-С6)алкилсульфонил; радикал аминосульфонил; радикал N-Z-аминосульфонил; радикал N-(С1-С6)алкиламиносульфонил; радикал N, N-(С1-С6)диалкиламиносульфонил; радикал аминосульфонил(С1-С6)алкил; радикал N-Z-аминосульфонил(С1-С6)алкил; радикал N-(С1-С6)алкиламиносульфонил(С1-С6)алкил; радикал N,N-(С1-С6)диалкиламиносульфонил(С1-С6)алкил; радикал карбамил; радикал N-(С1-С6)алкилкарбамил; радикал N,N-(С1-С6)диалкилкарбамил; радикал карбамил (С1-С6)алкил; радикал N-(С1-С6)алкилкарбамил (С1-С6)алкил; радикал N,N-(С1-С6)диалкилкарбамил(С1-С6)алкил; радикал алкил с 1-6 атомами углерода; радикал моногидроксиалкил с 1-6 атомами углерода; радикал полигидроксиалкил с 2-6 атомами углерода; радикал (С1-С6)алкоксиалкил с 1-6 атомами углерода; радикал трифторалкил с 1-6 атомами углерода; радикал циано; радикал амино(С1-С6)алкил, в котором алкил не замещен или замещен одним или несколькими радикалами гидрокси и у которого аминогруппа не замещена или замещена одним или двумя радикалами, одинаковыми или различными, выбранными из алкила с 1-6 атомами углерода, моногидроксиалкила с 1-6 атомами углерода, полигидроксиалкила с 2-6 атомами углерода, (С1-С6)алкилкарбонила, карбамила, N-(С1-С6)алкилкарбамила или N,N-(С1-С6)диалкилкарбамила, (С1-С6)алкилсульфонила, формила, трифтор(С1-С6)алкилкарбонила, (С1-С6)алкилкарбокси, тиокарбамила, или же нижеописанной группой Z; нижеописанную группу OR7 или -SR7, или они могут образовывать вместе с атомом азота, с которым они связаны, 5- или 6-членный, углеродный цикл или содержащий один или несколько гетероатомов; R7 обозначает атом водорода; радикал алкил с 1-6 атомами углерода; радикал моногидроксиалкил с 1-6 атомами углерода; радикал полигидроксиалкил с 2-6 атомами углерода; группу Z; радикал (С1-С6)алкоксиалкил с 1-6 атомами углерода; радикал арил; радикал бензил; радикал карбоксиалкил с 1-6 атомами углерода; радикал (С1-С6)алкилкарбоксиалкил с 1-6 атомами углерода; радикал цианоалкил с 1-6 атомами углерода; радикал карбамилалкил с 1-6 атомами углерода; радикал N-(С1-С6)алкилкарбамилалкил с 1-6 атомами углерода; радикал N,N-(С1-С6)диалкилкарбамилалкил с 1-6 атомами углерода; радикал трифторалкил с 1-6 атомами углерода; радикал аминосульфонилалкил с 1-6 атомами углерода; радикал N-Z-аминосульфонилалкил с 1-6 атомами углерода; радикал N-(С1-С6)алкиламиносульфонилалкил с 1-6 атомами углерода; радикал N,N-(С1-С6)диалкиламиносульфонилалкил с 1-6 атомами углерода; радикал (С1-С6)алкилсульфинилалкил с 1-6 атомами углерода; радикал (С1-С6)алкилсульфонилалкил с 1-6 атомами углерода; радикал (С1-С6)алкилкарбонилалкил с 1-6 атомами углерода; радикал аминоалкил с 1-6 атомами углерода, в котором алкил не замещен или замещен одним или несколькими радикалами гидрокси; радикал аминоалкил с 1-6 атомами углерода, в котором алкил не замещен или замещен одним или несколькими радикалами гидрокси и в котором амин замещен одним или двумя радикалами, одинаковыми или различными, выбранными из (С1-С6)алкила, моногидрокси(С1-С6)алкила, полигидрокси(C2-C6)алкила, (С1-С6)алкилкарбонила, формила, трифтор(С1-С6)алкилкарбонила, (С1-С6)алкилкарбокси, карбамила, N-(С1-С6)алкилкарбамила, N,N-(С1-С6)диалкилкарбамила, тиокарбамила, (С1-С6)алкилсульфонила или нижеописанной группой Z; или они могут образовывать вместе с атомом азота, с которым они связаны, 5- или 6-членным, углеродный цикл или содержащий один или несколько гетероатомов; Z выбирается из катионных ненасыщенных групп, отвечающих следующим формулам (II) и (III), или катионных насыщенных групп, отвечающих следующей формуле (IV): ![]() ![]() ![]() в которых D представляет собой связующее звено, являющееся линейной или разветвленной алкильной цепью, содержащей предпочтительно от 1 до 14 атомов углерода, которая может прерываться одним или несколькими гетероатомами, такими как атомы кислорода, серы или азота, и которая может быть замещена одним или несколькими радикалами гидроксила или алкокси с 1-6 атомами углерода, и которая может нести одну или несколько кетонных групп; вершины Е, G, J, L и М, одинаковые или различные, являются атомом углерода, кислорода, серы или азота; n представляет собой целое число от 0 до 4 включительно; m представляет собой целое число от 0 до 5 включительно; радикалы R, одинаковые или различные, представляют собой вторую группу Z, идентичную или отличную от первой группы Z, атом галогена, радикал гидроксил, радикал алкил с 1-6 атомами углерода, радикал моногидроксиалкил с 1-6 атомами углерода, радикал полигидроксиалкил с 2-6 атомами углерода, радикал нитро, радикал циано, радикал цианоалкил с 1-6 атомами углерода, алкокси с 1-6 атомами углерода, (C1-С6)триалкилсиланалкил с 1-6 атомами углерода, амидо, альдегидо, карбоксил, алкилкарбонил с 1-6 атомами углерода, тио, тиоалкил с 1-6 атомами углерода, (С1-С6)алкилтио, аминогруппу, аминогруппу, защищенную (С1-С6)алкилкарбонилом, карбамилом или (С1-С6)алкилсульфонилом; группу NHR” или NR”R”‘, в которых R” и R”‘, одинаковые или различные, представляют собой алкил с 1-6 атомами углерода, моногидроксиалкил с 1-6 атомами углерода или полигидроксиалкил с 2-6 атомами углерода; R8 представляет собой алкил с 1-6 атомами углерода, моногидроксиалкил с 1-6 атомами углерода, полигидроксиалкил с 2-6 атомами углерода, цианоалкил с 1-6 атомами углерода, (С1-С6)триалкилсиланалкил с 1-6 атомами углерода, (С1-С6)алкоксиалкил с 1-6 атомами углерода, карбамилалкил с 1-6 атомами углерода, (С1-С6)алкилкарбоксиалкил с 1-6 атомами углерода, бензил, вторую группу Z, идентичную или отличную от первой группы Z; R9, R10 и R11, одинаковые или различные, представляют собой алкил с 1-6 атомами углерода, моногидроксиалкил с 1-6 атомами углерода, полигидроксиалкил с 2-6 атомами углерода, (С1-С6)алкоксиалкил с 1-6 атомами углерода, цианоалкил с 1-6 атомами углерода, арил, бензил, амидоалкил с 1-6 атомами углерода, (С1-С6)триалкилсиланалкил с 1-6 атомами углерода или аминоалкил с 1-6 атомами углерода, в котором аминогруппа защищена (С1-С6)алкилкарбонилом, карбамилом или (С1-С6)алкилсульфонилом; два из радикалов R9, R10 или R11 могут также образовывать вместе с атомом азота, с которым они связаны, насыщенный 5- или 6-членный, углеродный цикл или содержащий один или несколько гетероатомов, как, например, пирролидиновый цикл, пиперидиновый цикл, пиперазиновый или морфолиновый цикл, при этом указанный цикл может быть не замещен или замещен атомом галогена, гидроксилом, алкилом с 1-6 атомами углерода, моногидроксиалкилом с 1-6 атомами углерода, полигидроксиалкилом с 2-6 атомами углерода, нитрогруппой, цианогруппой, цианоалкилом с 1-6 атомами углерода, алкокси с 1-6 атомами углерода, (С1-С6)триалкилсиланалкилом с 1-6 атомами углерода, амидогруппой, альдегидо, карбоксилом, кетоалкилом с 1-6 атомами углерода, тио, тиралкилом с 1-6 атомами углерода, (С1-С6)алкилтио, аминогруппой, аминогруппой, защищенной (С1-С6)алкилкарбонилом, карбамилом или (С1-С6)алкилсульфонилом; один из радикалов R9, R10 или R11 также может представлять собой вторую группу Z, идентичную или отличную от первой группы Z; R12 представляет собой алкил с 1-6 атомами углерода; моногидроксиалкил с 1-6 атомами углерода; полигидроксиалкил с 2-6 атомами углерода; арил; бензил; аминоалкил с 1-6 атомами углерода, аминоалкил с 1-6 атомами углерода, в котором аминогруппа защищена (С1-С6)алкилкарбонилом, карбамилом или (С1-С6)алкилсульфонилом; карбоксиалкил с 1-6 атомами углерода; цианоалкил с 1-6 атомами углерода; карбамилалкил с 1-6 атомами углерода; трифторалкил с 1-6 атомами углерода; (С1-С6)триалкилсиланалкил с 1-6 атомами углерода; сульфонамидоалкил с 1-6 атомами углерода; (С1-С6)алкилкарбоксиалкил с 1-6 атомами углерода; (С1-С6)алкилсульфинилалкил с 1-6 атомами углерода; (С1-С6)алкилсульфонилалкил с 1-6 атомами углерода; (С1-С6)алкилкетоалкил с 1-6 атомами углерода; радикал N-(С1-С6)алкилкарбамилалкил с 1-6 атомами углерода; радикал N-(С1-С6)алкилсульфонамидоалкил с 1-6 атомами углерода; х и у представляют собой целые числа, равные от 0 до 1 при следующем условии: – в катионных ненасыщенных группах, отвечающих формуле (II): – когда х=0, связующее звено D привязано к атому азота, – когда х=1, связующее звено D привязано к одной из вершин Е, G, J или L, – у принимает значение, равное 1, только если: 1) вершины Е, G, J и L представляют собой одновременно атом углерода, а радикал R8 находится на атоме азота ненасыщенного цикла, или же 2) по меньшей мере одна из вершин Е, G, J или L представляет собой атом азота, на котором зафиксирован радикал R8; – в катионных ненасыщенных группах, отвечающих формуле (III): – когда х = 0, связующее звено D привязано к атому азота, – когда х= 1, связующее звено D привязано к одной из вершин Е, G, J, L или М, – у принимает значение, равное 1, только когда по меньшей мере одна из вершин Е, G, J, L и М является двухвалентным атомом, и когда радикал R8 находится на атоме азота ненасыщенного цикла; – в катионных группах, отвечающих формуле (IV): – когда х=0, связующее звено D привязано к атому азота, несущему радикалы R9-R11, – когда х=1, тогда два из радикалов с R9 по R11 образуют вместе с атомом азота, с которым они связаны, такой насыщенный цикл с 5 или 6 звеньями, как описан выше; а связующее звено D находится на атоме углерода указанного насыщенного цикла; X– представляет собой одновалентный или двухвалентный анион и предпочтительно выбирается из атома галогена, такого как хлор, бром, фтор или йод, гидроксида, гидросульфата или (С1-С6)алкилсульфата, такого как, например, метилсульфат или этилсульфат; при условии, что: – количество катионных ненасыщенных групп Z, отвечающих формуле (II), в которых, по меньшей мере, одна из вершин Е, G, J и L представляет собой атом азота, по меньшей мере равно 1, и – когда один и только один из радикалов R1-R4 или R7 обозначает группу Z, в которой связующее звено D является алкильной цепью, содержащей кетонную группу, тогда указанная кетонная группа не связана непосредственно с атомом азота группы NR1R2 или NR3R4 или с атомом кислорода группы OR7. Алкилы и алкокси, указанные ранее в формулах (I), (II), (III) и (IV), могут быть линейными или разветвленными. Соединения формулы (I) могут быть при необходимости превращены в соль при помощи таких сильных неорганических кислот, как НСl, HBr, H2SO4, или таких органических кислот, как уксусная, винная, молочная, лимонная или янтарная кислоты. Среди циклов ненасыщенных групп Z, отвечающих вышеуказанной формуле (II), можно, в частности, назвать в качестве примера пиррольные, имидазольные, пиразольные, оксазольные, тиазольные и триазольные циклы. Среди циклов ненасыщенных групп Z, отвечающих вышеуказанной формуле (III), можно, в частности, назвать в качестве примера пиридиновые, пиримидиновые, пиразиновые, оксазиновые и триазиновые циклы. Соединения формулы (I) предпочтительно выбираются из соединений, отвечающих следующим формулам с (I)1 по (I)15: ![]() то есть 1-[3-(4-амино-2-хлор-5-нитрофениламино)-пропил] -3-метил-3Н-имидазол-1-ий бромид, ![]() то есть 1-[2-(4-амино-2-хлор-5-нитрофениламино)-этил] -3-метил-3Н-имидазол-1-ий хлорид, ![]() то есть 1-[2-(4-амино-2-хлор-5-нитрофениламино)-этил] -3-метил-3Н-имидазол-1-ий бромид, ![]() то есть 1-[2-(4-амино-2-метил-5-нитрофениламино)-этил]-3-метил-3Н-имидазол-1-ий бромид, ![]() то есть 1-[2-(4-амино-2-метилсульфанил-5-нитрофениламино) этил]-3-метил-3Н-имидазол-1-ий бромид, ![]() то есть 1-[2-(4-амино-3-нитрофениламино)-этил]-3-метил-ЗН-имидазол-1-ий хлорид, ![]() то есть 3-[3-(4-диэтиламино-2-нитрофениламино]-пропил]-1-метил-3Н-имидазол-1-ий метилсульфат, ![]() то есть 3- [3-{4-[бис-(2-гидроксиэтил)-амино]-2-нитрофенил-амино}-пропил]-1-метил-3Н-имидазол-1-ий метилсульфат, ![]() то есть 1-метил-3-[3-(3-метиламино-4-нитрофениламино)пропил] -3-Н-имидазол-1-ий метилсульфат, ![]() то есть кислый дисульфат 3-(3-{2-хлор-5-[3-(3-метил-3Н-имидазол-1-ий)-пропиламино]-4-нитрофениламино}-пропил)-1-метил-3Н-имидазол-1-ия, ![]() то есть 3-(3-{ 4-хлор-5-[3-(триметиламмоний)-пропиламино]-2-нитрофениламино}-пропил)-1-метил-3Н-имидазол-1-ий диметилсульфат, ![]() то есть 3-(3-{3-[2-(диэтилметиламмоний)-этиламино]-4-нитро-фениламино} -пропил)-1-метил-3Н-имидазол-1-ий диметилсульфат, ![]() то есть 1-[2-(4-амино-2-хлор-5-нитрофениламино)-этил]-2-метил-2Н-пиразол-1-ий бромид, ![]() то есть 1-[2-(4-амино-2-метилсульфанил-5-нитрофениламино)этил] -2-метил-2Н-пиразол-1-ий бромид, ![]() то есть 3-метил-1-{2-[метил-(4-метиламино-3-нитрофенил)-амино]-этил}-3Н-имидазол-1-ий хлорид, моногидрат. Соединения, отвечающие формуле (I), по изобретению могут быть легко получены в соответствии со способами, по большей части хорошо известными из уровня техники, применяемыми для получения кватернизованных аминов, например: – в один прием, путем конденсации нитрофенилендиамина, содержащего галогеналкил, с соединением-носителем третичного амина, или путем конденсации нитрофенилендиамина, содержащего третичный амин, с соединением-носителем галогеналкила; – или в два приема, при помощи конденсации нитрофенилендиамина, содержащего галогеналкил, с соединением-носителем вторичного амина, или при помощи конденсации галогенированного нитрофенилендиамина с амино(двузамещенный)алкиламином, за которой следует перевод в четвертичную форму с помощью алкилирующего соединения. Стадия перевода в четвертичную форму представляет собой, главным образом, из-за удобства последнюю стадию синтеза, но может быть проведена и ранее, сразу после реакций, в результате которых получают соединения, отвечающие формуле (I). Предметом изобретения также является красящая композиция, предназначенная для кератинового вещества, включающая в среде, приспособленной для окрашивания, эффективное количество, по меньшей мере, одного катионного монобензольного нитрофенилендиамина, соответствующего вышеописанной формуле (I). Предметом изобретения также является композиция, предназначенная для прямого окрашивания кератиновых волокон человека, таких как волосы, включающая в среде, приспособленной для окрашивания, эффективное количество, по меньшей мере одного, такого монобензольного катионного нитрофенилендиамина, как описан выше в формуле (I). Еще одним предметом изобретения является применение катионных монобензольных нитрофенилендиаминов, отвечающих формуле (I), в качестве прямых красителей в составе или для получения красящих композиций, предназначенных для кератинового вещества, в частности, для кератиновых волокон человека, таких как волосы. Другие характеристики, аспекты и преимущества изобретения станут еще очевиднее после ознакомления с приведенным ниже описанием, а также с конкретными примерами, которые предназначены лишь для иллюстрации изобретения, не нося при этом ограничительного характера. Катионные монобензольный нитрофенилендиамин или нитрофенилендиамины, соответствующие формуле (I), по изобретению и/или их соли присоединения с кислотой составляют предпочтительно примерно от 0,005% до 12% от общего веса красящей композиции, еще лучше – приблизительно от 0,05% до 6% этого веса. Катионные монобензольные нитрофенилендиамины формулы (I) по изобретению могут также применяться в хорошо известных способах окислительного окрашивания с использованием окислительных красителей (предшественников окислительных красителей и при необходимости краскообразующих веществ) для того, чтобы оттенить или обогатить с точки зрения отблеска окраску, получаемую при помощи окислительных красителей. Красящая композиция по изобретению может также содержать, с целью расширения палитры оттенков и получения различных окрасок, кроме катионных монобензольных нитрофенилендиаминов формулы (I), другой обычно применяемый прямой краситель (или красители), в частности, бензольные нитрокрасители, отличные от катионных нитрофенилендиаминов формулы (I) по изобретению, нитродифениламины, нитрофенольные эфиры или нитрофенолы, нитропиридины, антрахиноновые красители, нитроанилины, моно- и диазокрасители, триарилметановые, азиновые, акридиновые и ксантоловые красители или также металлоносные красители. Пропорции всех этих других прямых красителей, являющихся добавочными, могут составлять приблизительно от 05% до 10% веса по отношению к общему весу красящей композиции. Среда, приспособленная для окрашивания (или основа), как правило, состоит из воды или смеси воды и, по меньшей мере, одного органического растворителя, необходимого для растворения соединений, которые недостаточно растворимы в воде. В качестве органического растворителя можно, например, назвать такие низшие алканолы с 1-4 атомами углерода, как этанол и изопропанол; глицерин; такие гликоли и гликолевые эфиры, как 2-бутоксиэтанол, пропиленгликоль, монометиловый эфир пропиленгликоля, а также такие ароматические спирты, как бензиловый спирт или феноксиэтанол, аналогичные продукты и их смеси. Растворители могут составлять предпочтительно от 1% до 40% от общего веса красящей композиции, еще лучше – приблизительно от 5% до 30% от этого веса. Также можно добавить в композицию по изобретению жирные амиды, такие как моно- и диэтаноламиды кислот, являющихся производными копры, лауриловой кислоты или олеиновой кислоты, в количествах приблизительно от 0,05% до 10% веса. В композицию по изобретению можно также добавить поверхностно-активные вещества, хорошо известные из уровня техники, анионного, катионного, неионного, амфотерного, цвиттерионного типа и их смеси, предпочтительно, в пропорциях, составляющих приблизительно от 0,1% до 50% веса, еще лучше – приблизительно от 1% до 20% от общего веса композиции. Можно также применять сгустители в пропорциях, составляющих приблизительно от 0,2% до 5%. Указанная красящая композиция может содержать, кроме того, различные добавки – такие как антиоксиданты, ароматизаторы, комплексообразующие вещества, диспергаторы, вещества, оказывающие на волосы кондиционирующий эффект, консерванты, матирующие вещества, а также любые другие добавки, обычно применяемые в окрашивании кератиновых волокон. Разумеется, специалист должен выбрать при необходимости указанные выше дополнительные соединения или соединение таким образом, чтобы эти добавки (или добавка) не исказили, во всяком случае существенно, выигрышные свойства, которые присущи красящим композициям по изобретению. Красящая композиция по изобретению может иметь кислое, нейтральное или щелочное значение рН, которое может составлять приблизительно от 3 до 12, предпочтительно, примерно от 5 до 11. Это значение может быть отрегулировано на желаемом уровне при помощи подкисляющих веществ, подщелачивающих веществ или буферных растворов, обычно применяемых в окрашивании кератиновых волокон. Подкисляющими веществами обычно являются такие неорганические или органические кислоты, как, например, соляная кислота, ортофосфорная кислота, серная кислота, такие карбоновые кислоты, как уксусная, винная, лимонная, молочная и сульфоновая кислоты. Из буферных растворов можно, например, указать двухосновный кислый фосфат калия/гидроксид натрия. Из подщелачивающих веществ можно назвать в качестве примера аммиак, карбонаты щелочных металлов, алканоламины, такие как моно-, ди- и триэтаноламины и их производные, гидроксиды натрия или калия, и соединения, отвечающие формуле: ![]() в которой W представляет собой остаток пропилена, при необходимости замещенного гидроксильной группой или алкилом с 1-4 атомами углерода; R13, R14, R15 и R16, одновременно или независимо один от другого, являются атомом водорода, алкилом с 1-6 атомами углерода или гидроксиалкилом с 1-6 атомами углерода. Красящая композиция по изобретению может быть представлена в разных формах: – в форме жидкости, крема, геля или в любой другой форме, приспособленной для осуществления окрашивания кератина, особенно кератиновых волокон человека, в частности волос. Композиция может быть, к примеру, упакована под давлением в аэрозольный флакон в присутствии пропеллента и образовывать пену. Другой предмет настоящего изобретения относится к способу окрашивания кератиновых волокон, в частности, таких кератиновых волокон человека, как волосы, путем прямого окрашивания, заключающегося в воздействии в течение определенного времени на сухие или влажные кератиновые волокна красящей композиции, содержащей, по меньшей мере, один катионный монобензольный нитрофенилендиамин формулы (I). Композицию по изобретению можно применять без ополаскивания, то есть после нанесения композиции на волокна можно просушивать их, не производя промежуточного ополаскивания. В других способах нанесения композицию наносят на волокна на определенное время – приблизительно от 3 до 60 мин, предпочтительно примерно от 5 до 45 мин, прополаскивают эти волокна, при необходимости промывают, затем заново прополаскивают и просушивают. Ниже приведены конкретные примеры, иллюстрирующие изобретение. ПРИМЕРЫ ПОЛУЧЕНИЯ ПРИМЕР 1: Получение соединения, отвечающего формуле (I)1 1-[3-(4-амино-2-хлор-5-нитрофениламино)-пропил]-3-метил-3Н-имидазол-1-ий бромид (заряд, перемещенный в имидазольный цикл). 1-ая стадия: синтез N-(4-амино-2-хлор-5-нитрофенил)-N-(3-бромпропил)-бензолсульфонамида. В реакторе на кипящей водяной бане нагревают суспензию 98,3 г (0,3 моль) N-(4-амино-2-хлор-5-нитрофенил)-бензолсульфонамида (RN 84741-80-0) и 25,3 г оксида кальция в 250 мл диметилформамида. При перемешивании добавляют в один прием 61,2 мл (0,6 моль) 1,3-дибромпропана и продолжают нагревать в течение одного часа. Горячую реакционную среду фильтруют и выливают в 3 кг ледяной воды; выпавшую в осадок камедь сцеживают и экстрагируют этилацетатом. Фазу этилацетата просушивают на сульфате натрия, фильтруют и выпаривают досуха при пониженном давлении. Полученное соединение очищают на колонке с силикагелем (градиент гептана и этилацетата). Получают 55,8 г желтых кристаллов с температурой плавления 116oС (Kofler) и для которых получен следующий элементный анализ, рассчитанный для C15H15N3O4SBrCl (см. табл.1). 2-ая стадия: синтез N1-(3-бромпропил)-2-хлор-5-нитробензол-1,4-диамина. Соединение, полученное на вышеописанной первой стадии (55,8 г – 0,125 моль), вводят порциями в 170 мл 98% сильно взбалтываемой серной кислоты и поддерживают при температуре от 15oС до 20oС при помощи ледяной бани. После добавления раствор взбалтывают в течение одного дополнительного часа при температуре 15-20oС. Затем раствор выливают на 1 кг льда и частично нейтрализуют при помощи 20% аммиака до р Н5; выкристаллизовавшийся осадок просушивают, заново заливают водой и сушат в вакууме при 40oС на фосфорном ангидриде. Получают 35,4 г красных кристаллов, которые после очищения путем рекристаллизации из кипящего ацетата изопропила плавятся при температуре 128oС (Kofler) и элементный анализ которых, рассчитанный для С9Н11N3O2ВrСl, имеет значения, приведенные в табл.2. 3-я стадия: перевод в четвертичную форму соединения, полученного на 2-й стадии. Готовят суспензию, состоящую из 12,3 г (0,04 моль) N1-(3-бромпропил)-2-хлор-5-нитробензол-1,4-диамина, полученного на 2-й стадии, и 3,9 г (0,048 моль) 1-метил-1H-имидазола (RN 616-47-7) в 40 мл толуола. В течение 4 ч при перемешивании производят нагревание при температуре кипения толуола с обратным холодильником, просушивают в кипящем виде и заново два раза погружают сначала в этилацетат, затем в абсолютный этанол. После просушивания при 40oС в вакууме получают 15,0 г темно-красных кристаллов 1-[3-(4-амино-2-хлор-5-нитрофениламино)-пропил] -3-метил-3Н-имидазол-1-ий бромида с температурой плавления более 260oС (Kofler), элементный анализ которого, рассчитанный для C13H17N5O2BrCl, дает значения, приведенные в табл. 3. ПРИМЕР 2: Получение соединения, соответствующего формуле (I)2, 1-[2-(4-амино-2-хлор-5-нитрофениламино)-этил] -3-метил-3Н-имидазол-1-ий хлорида (заряд перемещен в имидазольный цикл). 1-ая стадия: синтез N-(4-амино-2-хлор-5-нитрофенил)-N-(2-хлор-этил)-бензолсульфонамида Были проделаны действия, описанные в примере 1 (1-ая стадия). Исходя из 98,3 г (0,3 моль) N-(4-амино-2-хлор-5-нитрофенил)-бензолсульфонамида (RN 84741-80-0) и 59,3 г (0,6 моль) 1,2-дихлорэтана получили 80,2 г желтых кристаллов, которые после очищения путем рекристаллизации кипящего этилацетата плавятся при температуре 144oС (Kofler)и элементный анализ которых, рассчитанный для C14H13N3O4Cl2, дает значения, приведенные в табл.4. 2-ая стадия: синтез 2-хлор-N1-(2-хлорэтил) -5-нитробензол-1,4-диамина Были проделаны действия, описанные в примере 1 (2-ая стадия). Исходя из 79,5 г (0,203 моль) N-(4-амино-2-хлор-5-нитрофенил)-N-(2-хлорэтил)-бензолсульфонамида, полученного на предыдущей стадии, получают 45,0 г коричнево-красных кристаллов, которые после очищения путем рекристаллизации из толуола при нагревании с обратным холодильником плавятся при температуре 117oС (Kofler) и элементный анализ которых, рассчитанный для С8Н9N3O2Cl2, дает значения, приведенные в табл.5. 3-я стадия: перевод в четвертичную форму соединения, полученного на 2-й стадии Были проделаны действия, описанные в примере 1 (3-я стадия). Исходя из 10,0 г (0,04 моль) 2-хлор-N1-(2-хлорэтил)-5-нитробензол-1,4-диамина, полученного на 2-й стадии, и 3,9 г (0,048 моль) 1-метил-1H-имидазола (RN 616-47-7) получают 6,2 г кирпично-красных кристаллов с температурой плавления 221oС (Kofler) и элементный анализ которых, рассчитанный для C12H15N5O2Cl2+1/2H2O, дает следующие значения, приведенные в табл.6. ПРИМЕР 3: Получение соединения, соответствующего формуле (I)3, 1-[2-(4-амино-2-хлор-5-нитрофениламино)-этил] -3-метил-3Н-имидазол-1-ий бромида (заряд перемещен в имидазольный цикл) 1-ая стадия: синтез N-(4-амино-2-хлор-5-нитрофенил)-N-(2-бромэтил)-бензолсульфонамида Были проведены операции, описанные в примере 1 (1-ая стадия). Исходя из 145,5 г (0,44 моль) N-(4-амино-2-хлор-5-нитрофенил)-бензолсульфонамида (RN 84741-80-0) и 115 мл (1,32 моль) 1,2-дибромэтана получают желтые кристаллы, которые после очищения при помощи рекристаллизации из 96o этилового спирта при нагревании с обратным холодильником плавятся при температуре 115oС (Kofler) и элементный анализ которых, рассчитанный для С14Н13Н3O4ВrСl, дает значения, приведенные в табл.7. 2-ая стадия: синтез N1-(2-бромэтил)-2-хлор-5-нитробензол-1, 4-диамина Были проделаны операции, описанные в примере 1 (2-ая стадия). Исходя из 191,0 г (0,44 моль) N-(4-амино-2-хлор-5-нитрофенил)-N-(2-бромэтил)-бензолсульфонамида, полученного на предыдущей стадии, получают 114,5 г темно-красных кристаллов, которые после очищения путем рекристаллизации из ацетата изопропила при нагревании с обратным холодильником плавятся при температуре 120oС (Kofler) и элементный анализ которых, рассчитанный для C8H9N3O2BrCl, дает значения, приведенные в табл.8. 3-я стадия: перевод в четвертичную форму соединения, полученного на 2-й стадии Производят действия, описанные в примере 1 (3-я стадия). Исходя из 11,8 г (0,04 моль) N1-(2-бромэтил)-2-хлор-5-нитробензол-1,4-диамина, полученного на предыдущей стадии, и 3,9 г (0,048 моль) 1-метил-1Н-имидазола (RN 616-47-7) получают 11,9 г кирпично-красных кристаллов с температурой плавления 224oС (Kofler) и элементный анализ которых, рассчитанный для C12H15N5O2BrCl, дает значения, приведенные в табл.9. ПРИМЕР 4: Получение соединения, соответствующего формуле (I)4, 1-[2-(4-амино-2-метил-5-нитрофениламино)-этил] -3-метил-3Н-имидазол-1-ий бромида (заряд перемещен в имидазольный цикл) 1-ая стадия: синтез N-(4-амино-2-метил-5-нитрофенил)-N-(2-бром-этил)-4-метилбензолсульфонамида Производят действия, описанные в примере 1 (1-ая стадия). Исходя из 57,0 г (0,177 моль) N-(4-амино-2-метил-5-нитрофенил)-4-метилбензолсульфонамида (RN 82576-78-1) и 38,2 мл (0,44 моль) 1,2-дибромэтана получают 66,0 г желтых кристаллов, которые после очищения путем рекристаллизации из этилацетата при нагревании с обратным холодильником плавятся при температуре 159oС (Kofler) и элементный анализ которых, рассчитанный для C16H18N3O4SBr, дает значения, приведенные в табл.10. 2-ая стадия: синтез N1-(2-бромэтил)-2-метил-5-нитробензол-1,4-диамина Производят действия, описанные в примере 1 (2-ая стадия). Исходя из 66,0 г (0,154 моль) N-(4-амино-2-метил-5-нитрофенил)-N-(2-бромэтил)-4-метилбензолсульфонамида, полученного на предыдущей стадии, получают 36,0 г коричнево-красных кристаллов, которые после очищения путем рекристаллизации из ацетата изопропила при нагревании с обратным холодильником плавятся при температуре 120oС (Kofler) и элементный анализ которых, рассчитанный для С9Н12N3О2Вr, дает значения, представленные в табл.11. 3-я стадия: перевод в четвертичную форму соединения, полученного на 2-й стадии Производят действия, описанные в примере 1 (3-я стадия). Исходя из 11,0 г (0,04 моль) N1-(2-бромэтил)-2-метил-5-нитробензол-1,4-диамина, полученного на предыдущей стадии, и 3,9 г (0,048 моль) 1-метил-1H-имидазола (RN 616-47-7) в изобутаноле, получают 9,9 г коричнево-красных кристаллов с температурой плавления 200oС (Kofler) и элементный анализ которых, рассчитанный для C13H18N5O2Br, дает результаты, приведенные в табл.12. ПРИМЕР 5: Получение соединения, соответствующего формуле (I)5, 1-[2-(4-амино-2-метилсульфанил-5-нитрофениламино)-этил] -3-метил-3Н-имидазол-1-ий бромида (заряд перемещен в имидазольный цикл) 1-ая стадия: синтез N-(4-амино-2-метилсульфанил-5-нитрофенил)-бензолсульфонамида В реакторе растворяют при температуре окружающей среды 132 г (0,662 моль) 2-метилсульфанил-5-нитробензол-1,4-диамина (RN 171968-54-0) в 400 мл пиридина. При перемешивании по каплям добавляют 120,8 г (0,684 моль) хлорида бензолсульфонила, поддерживая экзотермическую реакцию между 40oС и 45oС; в течение получаса красный раствор становится желто-оранжевым; его выливают на 2,7 кг льда и подкисляют при помощи 400 мл 36% соляной кислоты. Полученный желто-охряной выкристаллизовавшийся осадок сушат, вновь разбавляют водой до нейтральности и просушивают в вакууме при температуре 40oС на фосфорном ангидриде. Получают желтые кристаллы, которые после рекристаллизации из ацетонитрила при нагревании с обратным холодильником плавятся при температуре 212oС (Kofler) и элементный анализ которых, рассчитанный для С13Н13N3O4S2, дает результаты, приведенные в табл.13. 2-ая стадия: синтез N-(4-амино-2-метилсульфанил-5-нитрофенил)-N-(2-бромэтил)-бензолсульфонамида Производят действия, описанные в примере 1 (1-ая стадия). Исходя из 116,0 г (0,33 моль) N-(4-амино-2-метилсульфанил-5-нитрофенил)-бензолсульфонамида, полученного на предыдущей стадии, и 57,0 мл (0,66 моль) 1,2-дибромэтана, получают желтые кристаллы, которые после очищения кристаллизацией из метилэтилкетона при нагревании с обратным холодильником плавятся при температуре 216oС (Kofler) и элементный анализ которых, рассчитанный для C15H16N3O4S2Br, дает результаты, приведенные в табл.14. 3-я стадия: синтез N1-(2-бромэтил)-2-метилсульфанил-5-нитробензол-1,4-диамина Производят действия, описанные в примере 1 (2-ая стадия). Исходя из 147,3 г (0,33 моль) N-(4-амино-2-метилсульфанил-5-нитрофенил)-N-(2-бромэтил)-бензолсульфонамида, полученного на предыдущей стадии, получают 72,0 г красных кристаллов, которые после очищения путем рекристаллизации из этилацетата при нагревании с обратным холодильником плавятся при температуре 131oС (Kofler) и элементный анализ которых, рассчитанный для C9H12N3O2SBr, дает результаты, приведенные в табл.15. 4-ая стадия: перевод в четвертичную форму соединения, полученного на 3-ей стадии Производят действия, описанные в примере 1 (3-я стадия). Исходя из 12,2 г (0,04 моль) N1-(2-бромэтил)-2-метилсульфанил-5-нитробензол-1,4-диамина, полученного на предыдущей стадии, и 3,9 г (0,048 моль) 1-метил-1H-имидазола (RN 616-47-7) в толуоле, получают 11,0 г кирпично-красных кристаллов с температурой плавления 196oС (Kofler) и элементный анализ которых, рассчитанный для C13H18N5O2SBr+1/2H2O, дает результаты, приведенные в табл.16. ПРИМЕР 6: Получение соединения, соответствующего формуле (I)6, 1-[2-(4-амино-3-нитрофениламино)-этил] -3-метил-3Н-имидазол-1-ий хлорида (заряд перемещен в имидазольный цикл) 1-ая стадия: синтез N-(4-амино-3-нитрофенил)-N-(2-хлорэтил)-4-метилбензолсульфонамида Производят действия, описанные в примере 1 (1-ая стадия). Исходя из 23,0 г (0,075 моль) N-(4-амино-3-нитрофенил)-4-метилбензолсульфонамида (RN 59457-54-4) и 29,7 г (0,3 моль) 1,2-дихлорэтана, получают желтые кристаллы, которые после очищения путем рекристаллизации из 96o этилового спирта при нагревании с обратным холодильником плавятся при температуре 146oС (Kofler) и элементный анализ которых, рассчитанный для C15H16N3O4SCl, дает результаты, приведенные в табл.17. 2-ая стадия: синтез N4-(2-хлорэтил)-2-нитробензол-1,4-диамина и кватернизация Производят действия, описанные в примере 1 (2-ая стадия). Исходя из 136,0 г (0,365 моль) N-(4-амино-3-нитрофенил)-N-(2-хлорэтил)-4-метилбензолсульфонамида, полученного на предыдущей стадии, получают 75,7 г коричнево-красных кристаллов N4-(2-хлорэтил)-2-нитробензол-1,4-диамина, которые после очищения путем рекристаллизации из бензола при нагревании с обратным холодильником плавятся при температуре 107oС (Kofler). Для осуществления перевода в четвертичную форму производят действия, описанные в примере 1 (3-я стадия). Исходя из 10,8 г (0,05 моль) N4-(2-хлорэтил)-2-нитробензол-1,4-диамина, полученного ранее, и 4,9 г (0,06 моль) 1-метил-1Н-имидазола (RN 616-47-7) в толуоле получают 11,5 г коричнево-красных кристаллов с температурой плавления 204oС и элементный анализ которых, рассчитанный для C12H16N5O2Cl+1/4H2O, дает результаты, приведенные в табл.18. ПРИМЕР 7: Получение соединения, соответствующего формуле (I)7, 3-[3-(4-диэтиламино-2-нитрофениламино)-пропил] -1-метил-3Н-имидазол-1-ий метилсульфата (заряд перемещен в имидазольный цикл) 1-ая стадия: синтез диэтил-(4-фтор-3-нитрофенил)-амина В смесь, нагреваемую при 65oС, содержащую 63,0 г (0,5 моль) 4-фтор-3-нитрофениламина (RN 364-76-1) и 110 г карбоната кальция в 150 мл диметилформамида, вливают в течение 2-х часов при перемешивании 197 мл (1,5 моль) диэтилсульфата; затем в течение 2-х часов нагревают при температуре 85oС-90oС. Горячую смесь фильтруют и вливают в 2 кг ледяной воды. Сцеженное масло экстрагируют этилацетатом; просушивают на сульфате натрия, фильтруют и выпаривают досуха при пониженном давлении. Получают 46,3 г красно-оранжевого масла, которое после очистки на колонке с силикагелем (градиент гептана и этилацетата) кристаллизуется (Т.пл. <50oС – Kofler) и элементный анализ которого, рассчитанный для С10H13N2О2F, дает результаты, приведенные в табл.19. 2-ая стадия: синтез N4,N4-диэтил-N1-(3-имидазол-1-илпропил)-2-нитробензол-1,4-диамина При перемешивании в течение 2-х часов при нагревании с обратным холодильником нагревают смесь 8,8 г (0,041 моль) диэтил-(4-фтор-3-нитрофенил)-амина, полученного на предыдущей стадии, 17,0 г (0,136 моль) 3-имидазол-1-ил-пропиламина (RN 5036-48-6) и 6,7 мл триэтиламина. Выливают на 100 г ледяной воды; сцеженное масло экстрагируют этилацетатом. Затем просушивают на сульфате натрия, фильтруют и выпаривают досуха при пониженном давлении. Получают 12,8 г масла фиолетового цвета, которое после очистки на колонке с силикагелем (градиент гептана и этилацетата) кристаллизуется (Т.пл. >260oС – Kofler) и элементный анализ которого, рассчитанный для C16H23N5O2, дает результаты, приведенные в табл.20. 3-я стадия: перевод в четвертичную форму соединения, полученного на 2-й стадии Готовят суспензию 6,3 г (0,02 моль) N4,N4-диэтил-N1-(3-имидазол-1-ил-пропил)-2-нитробензол-1,4-диамина, полученного на предыдущей стадии, и 2,09 мл (0,022 моль) диметилсульфата в 100 мл этилацетата, и оставляют ее при взбалтывании на 3 ч при температуре окружающей среды. Полученный выкристаллизовавшийся осадок сушат, промывают несколько раз в этилацетате и просушивают при 50oС в вакууме. Получают 8,2 г темно-фиолетовых кристаллов с температурой плавления 101oС (Kofler) и элементный анализ которых, рассчитанный для C18H29N5O6S, дает результаты, приведенные в табл.21. ПРИМЕР 8: Получение соединения, соответствующего формуле (I)8, 3-(3-{ 4-[бис-(2-гидроксиэтил)-амино]-2-нитрофениламино}-пропил)-1-метил-3Н-имидазол-1-ий метилсульфат (заряд перемещен в имидазольный цикл) 1-ая стадия: синтез 2-{ (2-гидроксиэтил)-[4-(3-имидазол-1-ил-пропиламино)-3-нитрофенил]-амино}-этанол Производят действия, описанные в примере 7 (2-ая стадия). Исходя из 29,3 г (0,12 моль) 2-[(4-фтор-3-нитрофенил)-(2-гидроксиэтил)-амино] -этанола (RN 29705-38-2) и 50,0 г (0,4 моль) 3-имидазол-1-ил-пропиламина (RN 5036-48-6), получают 39,0 г кристаллов фиолетового цвета, которые после очистки путем рекристаллизации в 96o этилового спирта при нагревании с обратным холодильником плавятся при температуре 141oС (Kofler) и элементный анализ которых, рассчитанный для C16H23N5O4, дает результаты, приведенные в табл.22. 2-ая стадия: перевод в четвертичную форму соединения, полученного на 1-й стадии Производят действия, описанные в примере 7 (3-я стадия). Исходя из 14,0 г (0,04 моль) 2-{(2-гидроксиэтил)-[4-(3-имидазол-1-ил-пропиламино)-3-нитрофенил]-амино}-этанола, полученного на предыдущей стадии, и 4,2 мл (0,044 моль) диметилсульфата, получают 17,9 г сине-фиолетового масла, элементный анализ которого, рассчитанный для C18H29N5O8S+1/2H2O, дает результаты, приведенные в табл.23. ПРИМЕР 9: Получение соединения, соответствующего формуле (I)9. 1-метил-3-[3-метиламино-4-нитрофениламино]-пропил-3Н-имидазол-1-ий метилсульфат (заряд перемещен в имидазольный цикл) 1-ая стадия: синтез N1-(3-имидазол-1-ил-пропил)-N3-метил-4-нитробензол-1,3-диамина Производят действия, описанные в примере 7 (2-ая стадия). Исходя из 37,3 г (0,2 моль) (5-хлор-2-нитрофенил)-метиламина (RN 35966-84-8) и 37,5 г (0,3 моль) 3-имидазол-1-ил-пропиламина (RN 5036-48-6), получают желтые кристаллы (52,0 г), которые после очистки путем рекристаллизации из 96o этилового спирта при нагревании с обратным холодильником плавятся при температуре 145oС (Kofler) и элементный анализ которых, рассчитанный для C13H17N5O2, дает результаты, приведенные в табл.24. 2-ая стадия: перевод в четвертичную форму соединения, полученного на 1-й стадии Производят действия, описанные в примере 7 (3-я стадия). Исходя из 8,2 г (0,03 моль) N1-(3-имидазол-1-ил-пропил)-N3-метил-4-нитробензол-1,3-диамина, полученного на предыдущей стадии, и 3,2 мл (0,034 моль) диметилсульфата, получают 11,9 г желтых кристаллов с температурой плавления 120oС (Kofler) и элементный анализ которых, рассчитанный для C15H23N5O6S, дает результаты, приведенные в табл.25. ПРИМЕР 10: Получение соединения, соответствующего формуле (I)10, кислый дисульфат 3-(3-{2-хлор-5-[3-(3-метил-3Н-имидазол-1-ий)-пропиламино]-4-нитрофениламино}-пропил)-1-метил-3Н-имидазол-1-ия (заряд перемещен в имидазольный цикл) 1-ая стадия: синтез 4-хлор-N1, N3-бис-(3-имидазол-1-ил-пропил)-6-нитробензол-1,3-диамина При перемешивании в течение 9 ч при нагревании с обратным холодильником нагревают смесь 113,2 г (0,5 моль) 1,2,4-трихлор-5-нитробензола (RN 89-69-0), 250,4 г (2 моль) 3-имидазол-1-ил-пропиламина (RN 5036-48-6) и 138 г (1 моль) карбоната кальция в 660 мл диоксана. Смесь выливают в 3,3 л ледяной воды, просушивают выкристаллизовавшийся осадок, заливают водой и просушивают в вакууме при 50oС на фосфорном ангидриде. После очистки путем рекристаллизации из абсолютного спирта при нагревании с обратным холодильником получают 139,3 г желтых кристаллов с температурой плавления 108-110oС (Kofler) и элементный анализ которых, рассчитанный для C18H22N7O2Cl+1,5Н2O, дает результаты, приведенные в табл.26. 2-ая стадия: перевод в четвертичную форму соединения, полученного на 1-й стадии Производят действия, описанные в примере 7 (3-я стадия). Исходя из 21,5 г (0,05 моль) 4-хлор-N1,N3-бис-(3-имидазол-1-ил-пропил)-6-нитробензол-1,3-диамина, выкристаллизовавшегося с 1,5 молекулы воды и полученного на предыдущей стадии, и 14,3 г (0,113 моль) диметилсульфата, и после повторного растворения в абсолютном спирте, нагретом до 30oС, получают 12,0 г желтых кристаллов, которые плавятся при температуре 188-190oС (Kofler) и элементный анализ которых, рассчитанный для C20H30N7O10S2Cl, дает значения, приведенные в табл.27. ПРИМЕР 11: Получение соединения, соответствующего формуле (I)15, 3-метил-1-{2-[метил-(4-метиламино-3-нитрофенил)-амино]-этил}-3Н-имидазол-1-ий хлорид, моногидрат (заряд перемещен в имидазольный цикл) Производят действия, описанные в примере 1 (3-я стадия). Исходя из 41,4 г (0,17 моль) N4-(2-хлорэтил)-N1,N4-диметил-2-нитробензол-1,4-диамина (RN 14607-54-6) и 41,8 г (0,51 моль) 1-метил-1H-имидазола (RN 616-47-7) в 100 мл толуола, получают после рекристаллизации из этанола при нагревании с обратным холодильником 37,8 г фиолетовых кристаллов 3-метил-1-{ 2-[метил-(4-метиламино-3-нитрофенил)-амино] -этил} -3Н-имидазол-1-ий хлорида, моногидрата, которые плавятся при температуре 135oС (Kofler) и элементный анализ которых, рассчитанный для C14H20N5O2Cl+Н2O, дает результаты, приведенные в табл.28. ПРИМЕР ПОЛУЧЕНИЯ 12 Получение соединения формулы (1)11 ![]() ди(метилсульфат) 3-(3-{ 4-хлор-5-[3-(триметиламмонио)пропиламино] 2-нитрофениламино}пропил)-1-метил-3Н-имидазол-1-ия Ниже приведена схема синтеза: ![]() 1-ая стадия В реакторе кипятят следующую суспензию: – 22,6 г (0,1 моль) 1,2,4-трихлор-5-нитробензола – 9,7 г (0,07 моль) карбоната калия – 100 мл тетрагидрофурана В течение десяти минут вводят по каплям 17,5 г (0,14 моль) 1-(3-аминопропил)имидазола и продолжают кипячение в течение 6 ч (за реакцией следят с помощью ТСХ; элюент: этилацетат/метанол, 6/4). Смесь вливают в 600 мл ледяной воды, отжимают выпавшие кристаллы и вновь растирают их в воде. Влажную массу перекристаллизовывают из 40 мл кипящего этанола. После сушки при 35oС в вакууме над пятиокисью фосфора получают 16,9 г желтых кристаллов с т.пл. 130-131oС (Кофлер), элементный анализ которых, рассчитанный для C12H12Cl2N4O2, представлен в табл.29. 2-ая стадия Конденсируют взятый в большом избытке N,N-диметилпролилендиамин (второй амин) (избыток служит в качестве растворителя) при температуре 120-140oС. 3-я стадия Полученное во второй стадии соединение подвергают двойной кватернизации в ди(метилсульфат) в этилацетате при температуре 30-40oС, получая соединение формулы (I)ii ПРИМЕР ПОЛУЧЕНИЯ 13 Получение соединения формулы (I)12 ![]() ди(метилсульфат) 3-(3-{ 3-[2-(диэтилметиламмонио)этиламино] -4-нитрофениламино}пропил)-1-метил-3Н-имидазол-1-ия Ниже приведена схема синтеза: ![]() 1-ая стадия В реактор порциями прибавляют при перемешивании и температуре от 50 до 55oС 38,4 г (0,2 моль) 2,4-дихлорнитробензола к 130 мл N,N-диэтилпропилендиамина. Реакция является экзотермической. После завершения прибавления продолжают нагревание при 55oС в течение полутора часов, следя за реакцией с помощью ТСХ (элюент: этилацетат). Смесь вливают в 500 мл ледяной воды, отжимают выпавшие желтые кристаллы и вновь растирают их в воде. После перекристаллизации из 150 мл кипящего этанола и сушки при 50oС в вакууме над пятиокисью фосфора получают 47,5 г желтых кристаллов с т.пл.78oС (Кофлер), элементный анализ которых, рассчитанный для C12H18ClN3O2, представлен в табл.30. 2-ая стадия Конденсируют взятый в большом избытке N,N-диметилпропилендиамин (второй амин) (избыток служит в качестве растворителя) при температуре 120-140oС. 3-я стадия Полученное во второй стадии соединение подвергают двойной кватернизации в ди(метилсульфат) в этилацетате при температуре 30-40oС, получая соединение формулы (I)12 ПРИМЕР ПОЛУЧЕНИЯ 14 Получение соединения формулы (I)13 ![]() бромид 1-[2-(4-амино-2-хлор-5-нитрофениламино)этил)-1-метил-2Н-пиразол-1-ия Это соединение синтезируют в соответствии с прописью примера 1 настоящей заявки, заменяя в конечной стадии кватернизации (3-я стадия) 1-метил-1H-имидазол 1-метил-1Н-пиразолом. Это соединение может быть также получено в 2 стадии, как это следует из следующей схемы: ![]() ПРИМЕРЫ КРАСЯЩИХ КОМПОЗИЦИЙ ПРИМЕР 1: Получают следующую красящую композицию: (содержание всех веществ указано в граммах – А.В. обозначает Активное Вещество). Краситель формулы (I)9 – 0,344 Гидроксиэтилцеллюлоза, реализуемая фирмой Aqualon под названием NATROSOL 250 MR – 0,72 Бензиловый спирт – 4 Полиэтиленгликоль с 6 единицами оксида этилена – 6 Алкил(С8-С10)полиглюкозид в водном растворе с 60% А.В., реализуемый фирмой Seppic под названием ORAMIX CG 110 – 4,5 А.В. Фосфатный буферный раствор рН 9 (борная кислота/ хлорид калия/гидроксид натрия q.s.p – 100 ПРИМЕРЫ 2-7 представлены в табл.31. Каждую из вышеуказанных композиций нанесли на пряди седых волос с 90% седины и с перманентом и держали 20 мин. После полоскания проточной водой и просушивания окраска волос имела оттенки, указанные в табл.32. ПРИМЕРЫ 8 и 9 представлены в табл.33. Каждую из вышеуказанных композиций нанесли на пряди седых волос с 90% седины и с перманентной завивкой и продержали в течение 20 мин. После ополаскивания проточной водой и просушивания окраска волос имела следующие оттенки: Соединение примера 8 – фиолетовый; Соединение примера 9 – фиолетовый. Формула изобретения
![]() в которой R1, R2, R3 и R4, которые могут быть одинаковыми или различными, представляют собой атом водорода; нижеописанную группу Z; алкил с 1-6 атомами углерода; моногидроксиалкил с 1-6 атомами углерода; полигидроксиалкил с 2-6 атомами углерода; (С1-С6)aлкоксиаклил с 1-6 атомами углерода; арил; бензил; цианоалкил с 1-6 атомами углерода; карбамилалкил с 1-6 атомами углерода; N-(С1-С6)алкилкарбамилалкил с 1-6 атомами углерода; N, N-(С1-С6)диалкилкарбамилалкил с 1-6 атомами углерода; тиокарбамилалкил с 1-6 атомами углерода; трифторалкил с 1-6 атомами углерода; сульфоалкил с 1-6 атомами углерода; (С1-С6)алкилкарбоксиалкил с 1-6 атомами углерода; (С1-С6)алкилсульфинилалкил с 1-6 атомами углерода; аминосульфонилалкил с 1-6 атомами углерода; N-Z-аминосульфонилалкил с 1-6 атомами углерода; N-(С1-С6)алкиламиносульфонилалкил с 1-6 атомами углерода; N, N-(С1-С6)диалкиламиносульфонилалкил с 1-6 атомами углерода; (С1-С6)алкилкарбонилалкил с 1-6 атомами углерода; аминоалкил с 1-6 атомами углерода, в котором алкил не замещен или замещен одним или несколькими радикалами гидрокси; амино(С1-С6)алкил, в котором алкил не замешен или замещен одним или несколькими радикалами гидрокси и в котором амин замещен одним или двумя радикалами, одинаковыми или различными, выбранными из алкила, моногидроксиалкила с 1-6 атомами углерода, полигидроксиалкила с 2-6 атомами углерода, (С1-С6)алкилкарбонила, карбамила, N-(С1-С6)алкилкарбамила или N, N-(С1-С6)диалкилкарбамила, (С1-С6)алкилсульфонила, формила, трифтор(С1-С6)алкилкарбонила, (С1-С6)алкилкарбокси, тиокарбамила, или же нижеуказанной группой Z; или могут образовывать вместе с атомом азота, с которым они связаны, 5- или 6-членный, углеродный цикл или содержащий один или несколько гетероатомов; R5, R6, одинаковые или различные, представляют собой атом водорода; атом галогена; нижеописанную группу Z; (С1-С6)алкилкарбонил; амино (С1-С6)алкилкарбонил; N-Z-амино(С1-С6)алкилкарбонил; N-(С1-С6)алкиламино (С1-С6)алкилкарбонил; N, N-(С1-С6)диалкиламино(С1-С6)алкилкарбонил; амино(С1-С6)алкилкарбонил(С1-С6)алкил; N-Z-амино(С1-С6)алкилкарбонил(С1-С6)алкил; , N-(С1-С6)алкиламино(С1-С6)алкилкарбонил-(С1-С6)алкил; N, N-(С1-С6)диалкиламино(С1-С6)алкилкарбонил(С1-С6)алкил; карбокси; (С1-С6)aлкилкарбокси; (С1-С6)алкилсульфонил; аминосульфонил; N-Z-аминосульфонил; N-(С1-С6)алкиламиносульфонил; N, N-(С1-С6)диалкиламиносульфонил; аминосульфонил(С1-С6)алкил; N-Z-аминосульфонил(С1-С6)алкил; N-(С1-С6)алкиламиносульфонил(С1-С6)алкил; N, N-(С1-С6)диалкиламиносульфонил(С1-С6)алкил; карбамил; N-(С1-С6)алкилкарбамил; N, N-(С1-С6)диалкилкарбамил; дикал карбамил(С1-С6)алкил; радикал N-(С1-С6)алкилкарбамил(С1-С6)алкил; N, N-(С1-С6)диалкилкарбамил(С1-С6)алкил; алкил с 1-6 атомами углерода; моногидроксиалкил с 1-6 атомами углерода; полигидроксиалкил с 2-6 атомами углерода; (С1-С6)алкоксиалкил с 1-6 атомами углерода; трифторалкил с 1-6 атомами углерода; циано; амино(С1-С6)алкил, в котором алкил не замещен или замещен одним или несколькими радикалами гидрокси и в котором амин не замещен или замещен одним или двумя радикалами, одинаковыми или различными, выбранными из алкила с 1-6 атомами углерода, моногидроксиалкила с 1-6 атомами углерода, полигидроксиалкила с 2-6 атомами углерода, (С1-С6)алкилкарбонила, карбамила, N-(С1-С6)алкилкарбамила или N, N-(С1-С6)диалкилкарбамила, (С1-С6)алкилсульфонила, формила, трифтор(С1-С6)алкилкарбонила, (С1-С6)алкилкарбокси, тиокарбамила, или же нижеописанной группой Z; нижеописанную группу OR7 или -SR7, или они могут образовывать вместе с атомом азота, с которым они связаны, 5- или 6-членный, углеродный цикл или содержащий один или несколько гетероатомов; R7 обозначает атом водорода; алкил с 1-6 атомами углерода; моногидроксиалкил с 1-6 атомами углерода; полигидроксиалкил с 2-6 атомами углерода; группу Z; (С1-С6)алкоксиалкил с 1-6 атомами углерода; арил; бензил; карбоксиалкил с 1-6 атомами углерода; (С1-С6)алкилкарбоксиалкил с 1-6 атомами углерода; цианоалкил с 1-6 атомами углерода; карбамилалкил с 1-6 атомами углерода; N-(С1-С6)алкилкарбамилалкил с 1-6 атомами углерода; N, N-(С1-С6)диалкилкарбамилалкил с 1-6 атомами углерода; трифторалкил с 1-6 атомами углерода; аминосульфонилалкил с 1-6 атомами углерода; кал N-Z-аминосульфонилалкил с 1-6 атомами углерода; N-(С1-С6)алкиламиносульфонилалкил с 1-6 атомами углерода; N, N-(С1-С6)диалкиламиносульфонилалкил с 1-6 атомами углерода; (С1-С6)алкилсульфинилалкил с 1-6 атомами углерода; (С1-С6)алкилсульфонилалкил с 1-6 атомами углерода; (С1-С6)алкилкарбонилалкил с 1-6 атомами углерода; аминоалкил с 1-6 атомами углерода, в котором алкил не замещен или замещен одним или несколькими радикалами гидрокси; аминоалкил с 1-6 атомами углерода, в котором алкил не замещен или замещен одним или несколькими радикалами гидрокси и в котором амин замещен одним или двумя радикалами, одинаковыми или различными, выбранными из (С1-С6)алкила, моногидрокси(С1-С6)алкила, полигидрокси(С2-С6)алкила, (С1-С6)алкилкарбонила, формила, трифтор(С1-С6)алкилкарбонила, (С1-С6)алкилкарбокси, карбамила, N-(С1-С6)алкилкарбамила, N, N-(С1-С6)диалкилкарбамила, тиокарбамила, (С1-С6)алкилсульфонила или нижеописанной группой Z; или они могут образовывать вместе с атомом азота, с которым они связаны, 5- или 6-членный, углеродный цикл или содержащий один или несколько гетероатомов; Z выбирается из катионных ненасыщенных групп, отвечающих формуле (II) ![]() в которой D представляет собой связующее звено, являющееся линейной или разветвленной алкильной цепью, содержащей предпочтительно от 1 до 14 атомов углерода, которая может прерываться одним или несколькими гетероатомами, такими, как атомы кислорода, серы или азота, и которая может быть замещена одним или несколькими радикалами гидроксила или алкокси с 1-6 атомами углерода и которая может нести одну или несколько кетонных групп; вершины Е, G, J, L, одинаковые или различные, являются атомом углерода, кислорода, серы или азота; n представляет собой целое число от 0 до 4 включительно; радикалы R, одинаковые или различные, представляют собой вторую группу Z, идентичную или отличную от первой группы Z, атом галогена, гидроксил, алкил с 1-6 атомами углерода, моногидроксиалкил с 1-6 атомами углерода, полигидроксиалкил с 2-6 атомами углерода, нитро, циано, цианоалкил с 1-6 атомами углерода, алкокси с 1-6 атомами углерода, (С1-С6)триалкилсиланалкил с 1-6 атомами углерода, амидо, альдегидо, карбоксил, алкилкарбонил с 1-6 атомами углерода, тио, тиоалкил с 1-6 атомами углерода, (С1-С6)алкилтио, аминогруппу, аминогруппу, защищенную (С1-С6)алкилкарбонилом, карбамилом или (С1-С6)алкилсульфонилом; группу NHR” или NR”-R”’, в которых R” и R”‘, одинаковые или различные, представляют собой алкил с 1-6 атомами углерода, моногидроксиалкил с 1-6 атомами углерода или полигидроксиалкил с 2-6 атомами углерода; R8 представляет собой алкил с 1-6 атомами углерода, моногидроксиалкил с 1-6 атомами углерода, полигидроксиалкил с 2-6 атомами углерода, цианоалкил с 1-6 атомами углерода, (С1-С6)триалкилсиланалкил с 1-6 атомами углерода, (С1-С6)алкоксиалкил с 1-6 атомами углерода, карбамилалкил с 1-6 атомами углерода, (С1-С6)алкилкарбоксиалкил с 1-6 атомами углерода, бензил, вторую группу Z, идентичную или отличную от первой группы Z; R12 представляет собой алкил с 1-6 атомами углерода; моногидроксиалкил с 1-6 атомами углерода; полигидроксиалкил с 2-6 атомами углерода; арил; бензил; аминоалкил с 1-6 атомами углерода, аминоалкил с 1-6 атомами углерода, в котором аминогруппа защищена (С1-С6)алкилкарбонилом, карбамилом или (С1-С6)алкилсульфонилом; карбоксиалкил с 1-6 атомами углерода; цианоалкил с 1-6 атомами углерода; карбамилалкил с 1-6 атомами углерода; трифторалкил с 1-6 атомами углерода; (С1-С6)триалкилсиланалкил с 1-6 атомами углерода; сульфонамидоалкил с 1-6 атомами углерода; (С1-С6)алкилкарбоксиалкил с 1-6 атомами углерода; (С1-С6)aлкилсульфинилалкил с 1-6 атомами углерода; (С1-С6)алкилсульфонилалкил с 1-6 атомами углерода; (С1-С6)алкилкетоалкил с 1-6 атомами углерода; радикал N-(С1-С6)алкилкарбамилалкил с 1-6 атомами углерода; радикал N-(С1-С6)алкилсульфонамидоалкил с 1-6 атомами углерода; х и у представляют собой целые числа, равные от 0 до 1, при следующем условии: когда х = 0, то связующее звено D связано с атомом азота; когда х = 1, то связующее звено D связано с одной из вершин Е, G, J или L; у принимает значение, равное 1, только если: 1) вершины E, G, J и L представляют собой одновременно атом углерода, а радикал R8 находится на атоме азота ненасыщенного цикла, или же 2) по меньшей мере, одна из вершин Е, G, J или L представляет собой атом азота, на котором зафиксирован радикал R8; X– представляет собой одновалентный или двухвалентный анион, при условии, что количество катионных ненасыщенных групп Z, отвечающих формуле (II), в которых, по меньшей мере, одна из вершин Е, G, J и L представляет собой атом азота, по меньшей мере, равно 1, и когда один и только один из радикалов R1-R4 или R7 обозначает группу Z, в которой связующее звено D является алкильной цепью, содержащей кетонную группу, тогда указанная кетонная группа не связана непосредственно с атомом азота группы NR1R2 или NR3R4 или с атомом кислорода группы OR7. 2. Катионные монобензольные нитрофенилендиамины по пункту 1, отличающиеся тем, что циклы ненасыщенных групп Z формулы (II) выбираются из пиррольных, имидазольных, пиразольных, оксазольных, тиазольных и триазольных циклов. 3. Катионные монобензольные нитрофенилендиамины по любому из предыдущих пунктов, отличающиеся тем, что X– выбирается из атома галогена, гидроксида, гидросульфата или (С1-С6)алкилсульфата. 4. Катионные монобензольные нитрифенилендиамины по любому из предыдущих пунктов, отличающиеся тем, что они выбираются из тех, которые соответствуют следующим формулам (I)1-(I)10 и (I)15: ![]() ![]() ![]() ![]() ![]() ![]() ![]() ![]() ![]() ![]() ![]() 5. Катионные монобензольные нитрофенилендиамины по любому из предыдущих пунктов, отличающиеся тем, что соли присоединения с кислотой выбираются из хлоргидратов, бром-гидратов, сульфатов, цитратов, сукцинатов, тартратов, лактатов и ацетатов. 6. Катионные монобензольные нитрофенилендиамины, отвечающие формуле (I), такие, как описаны в любом из пп. 1-5, в качестве прямых красителей в красящих композициях или для получения красящих композиций, предназначенных для окрашивания кератинового вещества, особенно для кератиновых волокон человека, в частности, волос. 7. Красящая композиция, предназначенная для кератинового вещества, отличающаяся тем, что она содержит в среде, пригодной для окрашивания, эффективное количество, по меньшей мере, одного катионного монобензольного нитрофенилендиамина, отвечающего формуле (I), описанного в любом из пп. 1-5. 8. Композиция по п. 7, отличающаяся тем, что она пригодна для прямого окрашивания кератиновых волокон человека, в частности, волос. 9. Композиция по п. 7 или 8, отличающаяся тем, что ее рН составляет от 3 до 12. 10. Композиция по любому из пп. 7-9, отличающаяся тем, что концентрация катионных монобензольных нитрофенилендиаминов формулы (I) составляет от 0,005 до 12% от общего веса композиции. 11. Композиция по п. 10, отличающаяся тем, что концентрация катионных монобензольных нитрофенилендиаминов формулы (I) составляет от 0,05 до 6% от общего веса композиции. 12. Композиция по любому из пп. 7-11, отличающаяся тем, что она дополнительно содержит другие прямые красители, выбранные из бензольных нитрокрасителей, отличных от катионных нитрофенилендиаминов формулы (I) по изобретению, и таких, как нитродифениламины, нитроанилины, эфиры нитрофенолов или нитрофенолы, а также из нитропиридинов, антрахиненовых красителей, моно- и диазокрасителей, триарилметановых, азиновых, акридиновых, ксантеновых или металлокомплексных красителей. 13. Композиция по любому из пп. 7-12, отличающаяся тем, что среда, пригодная для окрашивания, является водной средой, состоящей из воды и/или органических растворителей, выбранных из спиртов, гликолей и простых эфиров гликолей, в пропорциях, составляющих от 1 до 40% от общего веса композиции. 14. Композиция по любому из пп. 7-13, отличающаяся тем, что ее рН составляет около 7. 15. Способ окрашивания кератиновых волокон, в частности, таких кератиновых волокон человека, как волосы, путем прямого окрашивания, отличающийся тем, что красящую композицию, описанную в любом из пп. 7-13, наносят на сухие или влажные кератиновые волокна и после выдержки в течение приблизительно от 3 до 60 мин, волокна при необходимости ополаскивают, при необходимости моют, заново ополаскивают, а затем просушивают. 16. Способ по п. 15, отличающийся тем, что после воздействия на волокна композицией в течение 3-60 мин волокна просушивают без промежуточного ополаскивания. РИСУНКИ
MM4A – Досрочное прекращение действия патента СССР или патента Российской Федерации на изобретение из-за неуплаты в установленный срок пошлины за поддержание патента в силе
Дата прекращения действия патента: 07.01.2007
Извещение опубликовано: 20.07.2010 БИ: 20/2010
|
||||||||||||||||||||||||||







































