Патент на изобретение №2188640
|
||||||||||||||||||||||||||
(54) ФАРМАЦЕВТИЧЕСКАЯ КОМПОЗИЦИЯ С ПРОТИВООПУХОЛЕВОЙ АКТИВНОСТЬЮ НА ОСНОВЕ КАРБОПЛАТИНА
(57) Реферат: Изобретение может быть использовано в фармации для получения противоопухолевых препаратов. Заявлена фармацевтическая композиция, представляющая собой водный раствор, содержащий 1-20 мг/мл карбоплатина, 1,1-циклобутандикарбоновую кислоту и/или ее соль в количестве менее 0,1% от веса карбоплатина непосредственно после приготовления композиции. Изобретение позволяет получить стабильный при хранении раствор карбоплатина. Уменьшение содержания активного вещества через 2,5 года составляет 1,8-1,9%. 1 табл. Изобретение относится к фармацевтической композиции с противоопухолевой активностью на основе карбоплатина, содержащей водный раствор карбоплатина с содержанием карбоплатина от 1 до 20 мг/мл. Карбоплатин (комплекс цис-диамин-1,1-циклобутандикарбоксилатоплатины (II) представляет собой активное вещество, которое применимо в лечении опухолей. Этот содержащий платину цитостатический агент был введен в медицинскую практику в 1986 году в форме лиофилизированного порошка для инъекционного раствора, содержащего маннит в качестве фармацевтически приемлемого тритурационного агента. Хотя лиофилизированный продукт является стабильным, приготовление сухих инъекционных препаратов посредством лиофилизации отнимает много времени и энергии. Недостатком в применении лиофилизированной формы карбоплатина является трудоемкое приготовление раствора карбоплатина для инфузионного применения; кроме того, существует определенный риск для персонала, основанный на возможном взаимодействии карбоплатина с ДНК, ведущем к хромосомным аберрациям. Именно эти недостатки мотивируют усилия, предпринимаемые в получении жидкой лекарственной формы карбоплатина, которая вследствие ограниченных манипуляций могла бы привести к уменьшению риска загрязнения окружающей среды и инфицирования медицинского персонала. Основная проблема в получении жидкой лекарственной формы карбоплатина основывается на том факте, что растворы карбоплатина в воде или некоторых водных растворах являются стабильными и терапевтически применимыми только в пределах интервала времени нескольких часов или дней. После этого времени в растворах карбоплатины образуются в большом количестве нежелательные высокотоксичные аквакомплексы и/или другие токсичные вещества. Таким образом, решение проблемы стабильности карбоплатина в водных растворах является решающим для коммерческого применения водных растворов карбоплатина. В ЕР 334551 описана жидкая лекарственная форма карбоплатина, которая стабилизируется добавлением маннита и бензилового спирта, которые служат в ней в качестве консервирующих агентов. Недостаток этого способа стабилизации заключается в том, что он не решает проблемы долгосрочной стабильности водных растворов карбоплатина. В ЕР 401896 описана водная лекарственная форма карбоплатина, которая стабилизируется буфером, поддерживающим величину рН водного раствора карбоплатина в диапазоне 2-6. В патенте CZ 281349 описана водная лекарственная форма карбоплатина, которая стабилизируется присутствием от 0,01 до 0,5 мг/мл 1,1-циклобутандикарбоновой кислоты и/или ее аммониевой, натриевой или калиевой соли. В ЕР 642792 описана водная лекарственная форма карбоплатина, которая стабилизируется присутствием 0,25-4 мг/мл 1,1-циклобутандикарбоновой кислоты или ее соли щелочного металла, поддерживающей рН раствора в диапазоне от 4 до 7. Наконец, в Международной патентной публикации WO 95-20956 описана водная лекарственная форма карбоплатина, стабильность которой обеспечивается величиной рН раствора карбоплатина в диапазоне от 2,5 до 7 и присутствием 1,1-циклобутандикарбоновой кислоты и/или ее натриевой, калиевой или аммониевой соли, вследствие чего обязательным условием для этого раствора является то, что по меньшей мере 1 10-4 мг/мл этих соединений присутствуют в форме моно- или бивалентного аниона.
Из вышеописанного очевидно, что существует убежденность среди специалистов в данной области, что присутствие 1,1-циклобутандикарбоновой кислоты и/или ее вышеуказанных солей является абсолютно необходимым для достижения определенной приемлемой стабильности водных растворов карбоплатина.
После основательного исследования кинетики гидролиза карбоплатина в водных растворах это профессиональное предубеждение, описанное выше, было преодолено новым и неожиданным открытием, которое может быть суммировано в утверждении, что присутствие какой бы то ни было кислоты облегчает гидролиз карбоплатина посредством электрофильного разрушения карбоксильных лигандов карбоплатина. Подобным образом любое нуклеофильное соединение, которое обладает более сильной нуклеофильностью, чем вода, может уменьшать стабильность карбоплатина вследствие замещения карбоксилатного лиганда карбоплатина. Таким образом, любое присутствие буфера, в том числе 1,1-циклобутандикарбоновой кислоты и/или ее конъюгированного основания в форме соли, будет, вопреки ожиданиям, уменьшать стабильность карбоплатина в водном растворе. В противоположность принятому до сих пор убеждению наиболее стабильной водной формой карбоплатина является водный раствор карбоплатина высокой чистоты в стерильной воде для инъекционных растворов, без каких-либо других компонентов, а именно нуклеофильных соединений или кислот.
Таким образом, объектом данного изобретения является фармацевтическая композиция с противоопухолевой активностью на основе карбоплатина, содержащая водный раствор карбоплатина с содержанием карбоплатина от 1 до 20 мг/мл, отличающаяся тем, что она содержит непосредственно после ее приготовления количество 1,1-циклобутандикарбоновой кислоты и/или ее соли, которое меньше 0,1% по весу в расчете на вес присутствующего карбоплатина.
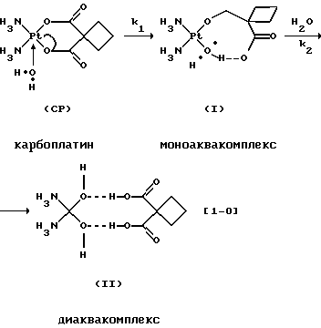
Предположительным механизмом разложения карбоплатина, который аналогичен механизму гидратации цисплатина (Cheung Y.W., Cradock J.C., Vishnuvajjala В. В. , Flora К.Р., Am. J. Hosp. Pharm., 1987, 44, 124), является двухстадийный гидролиз до моно- и диаквакомплексов платины формул I и II:![]() Первая стадия разложения карбоплатина в водном растворе в соответствии с уравнением /1-0/, которая обуславливает нестабильность, может быть дополнительно обобщена уравнением /1-1/ ![]() Из уравнений /1-0/ и /1-1/ очевидно, что каждая кислота или каждое нуклеофильное соединение, которое является более сильным нуклеофилом, чем вода, будет уменьшать стабильность карбоплатина посредством механизма замещения карбоксилатного лиганда карбоплатина. Хотя это предположение из уравнения /1-1/ является лигандом, оно находится в противоречии со всеми опубликованными до сих пор утверждениями. В качестве обоснования для преодоления сформулированного выше профессионального предубеждения при помощи доказательств были собраны и разработаны данные из исследований стабильности жидких инъекционных растворов карбоплатина, которые отличались по содержанию 1,1-циклобутандикарбоновой кислоты и/или ее солей. Было предположено, что скорость гидролиза карбоплатина до моноаквакомплекса формулы (I) является величиной первого порядка относительно концентрации карбоплатины и не зависит от концентрации воды: ![]() ,что может быть проинтегрировано с получением: ,что может быть представлено как: ln(1-x)=-k1 t /1-3/Зависимости от концентрации в соответствии с уравнениями /1-2/ и /1-3/ оценивали линейной регрессией и можно было рассчитать константу скорости реакции и/или скорость реакции разложения карбоплатина. Исследование скорости разложения карбоплатина в зависимости от концентрации 1,1-циклобутандикарбоновой кислоты. Средняя исходная концентрация карбоплатина была 10,0 мг мл-1. Исходные концентрации 1,1-циклобутандикарбоновой кислоты были 0,017, 0,129, 1,189 и 14,804 мг мл-1. Температура и относительная влажность во время хранения были 25oС/60% и 35oС/60%. Флаконы с пробами хранили в вертикальном положении закупоренными.
Уменьшение содержания карбоплатина рассчитывали как разность содержания карбоплатина между эталонной и измеряемой пробой. Показатели концентрации оценивали в соответствии с уравнением /1-2/, посредством чего, вследствие хорошего линейного соотношения, эти показатели оценивали при помощи линейной регрессии.
Рассчитанные скорости разложения карбоплатина (г, /моль м-3 с-1) суммированы в таблице (см. в конце описания).
Следующие концентрационные зависимости скоростей реакции были получены при температурах хранения 25 и 35oС:r25=5,2 10-9+1,7 10-9 cCBDCA /моль м-3 с-1/ /1-4/r35=5,4 10-8+1,2 10-9 cCBDCA /моль м-3 с-1/ /1-5/(CBDCA=1,1-циклобутандикарбоновая кислота). Согласно уравнению Аррениуса рассчитывали энергию активации ЕA: ЕA=190 000 Дж моль-1 /1-6/Рассчитанная величина показывает сильную зависимость скорости разложения карбоплатина от температуры. Для эталонной температуры 35oС, при которой был получен наилучший коэффициент детерминации (R2=0,99), из уравнений /1-5/ и /1-6/ может быть получена следующая зависимость скорости разложения карбоплатина от концентрации присутствующей 1,1-циклобутандикарбоновой кислоты и от температуры: ![]() где r выражена в моль м-3 с-1 и cCBDCA выражена в моль м-3.
На основании уравнения /1-7/ можно рассчитать скорости разложения карбоплатина при температуре 25oС и для различных концентраций 1,1-циклобутандикарбоновой кислоты:a) концентрация 1,1-циклобутандикарбоновой кислоты равна 0,005 мг/мл (концентрация в диапазоне в соответствии с данным изобретением): r=4,48 10-9 моль м-3 с-1,b) концентрация 1,1-циклобутандикарбоновой кислоты равна 0,150 мг/мл (концентрация в коммерчески производимой лекарственной форме карбоплатина Ribocarbol L): r=4,58 10-9 моль м-3 с-1, (увеличение скорости 2,2%)c) концентрация 1,1-циклобутандикарбоновой кислоты равна 0,250 мг/мл (нижний предел концентрации в водной лекарственной форме карбоплатина в соответствии с ЕР 642792): r=4,65 10-9 моль м-3 с-1, (увеличение скорости 4%).
Из описанных выше данных очевидно, что скорость разложения карбоплатина в водном растворе зависит в соответствии с полученным уравнением /1-7/ отрицательно от количества присутствующей 1,1-циклобутандикарбоновой кислоты и/или ее солей и очень отрицательно от температуры хранения. Константа скорости k в 0,1 М фосфатном буфере при температуре 37oС приблизительно в 200 раз выше, чем в 1,4 10-4 М CBDCA-буфере при температуре 40oС. Повышение температуры на 10oС вызывает приблизительно десятикратное увеличение скорости разложения карбоплатина, свидетельствуя тем самым о сильной зависимости стабильности карбоплатина в водном растворе от температуры. Из данных, полученных в долгосрочных исследованиях стабильности, видно, что наиболее стабильной жидкой лекарственной формой карбоплатина является раствор чистого карбоплатина в воде с минимальным содержанием других примесей, а именно кислот или нуклеофилов. Содержание 1,1-циклобутандикарбоновой кислоты и ее солей, возможно, и других буферящих агентов или нуклеофильных соединений, в водной лекарственной форме карбоплатина должно составлять менее 0,1% по весу присутствующего карбоплатина, т.е. менее 0,01 мг/мл для концентрации карбоплатина 10 мг/мл. При пролонгированных периодах хранения (до нескольких лет) или при повышенных температурах в жидкой лекарственной форме карбоплатина появляется желтое окрашивание, обусловленное, возможно, диспропорционированием карбоплатина в Pt(IV)- и Pt(0)-комплексах. Во избежание этого диспропорционирования жидкая лекарственная форма карбоплатина должна храниться при исключении воздействия света, возможно, во флаконах, изготовленных из янтарного стекла подходящего гидролитического класса.
ПРИМЕР 1В условиях GMP (см. ниже) стерильный водный раствор карбоплатина с концентрацией карбоплатина 10,03 мг/мл готовили из вещества карбоплатина, имеющего чистоту 99,85% и содержащего 0,05% по весу 1,1-циклобутандикарбоновой кислоты и 0,05% по весу воды. Раствор, имеющий величину рН 6,3, подвергали ультрафильтрации при асептических условиях через фильтр с пористостью 0,2 мкм и затем опять помещали в виде порций по 5 мл во флаконы, изготовленные из стекла первого гидролитического класса, которые закрывали покрытыми тефлоном резиновыми пробками с алюминиевыми крышками. Атмосферный воздух образовывал газообразную среду над раствором. Полученные композиции подвергали исследованию стабильности при 25oС и 60% относительной влажности при исключении воздействия света. Флаконы хранили в вертикальном положении с пробками. Содержания карбоплатина и 1,1-циклобутандикарбоновой кислоты подвергали мониторингу с использованием жидкостной хроматографии высокого разрешения и оценивали в сравнении с наружным ссылочным стандартом. Спустя 36 месяцев эта фармацевтическая композиция показала содержание карбоплатина 9,85 мг/мл, т.е. уменьшение содержания активного вещества составляло 1,8%. ПРИМЕР 2 В условиях GMP стерильный водный раствор карбоплатина с концентрацией карбоплатина 9,99 мг/мл готовили из вещества карбоплатина, имеющего чистоту 99,82% и содержащего 0,08% по весу 1,1-циклобутандикарбоновой кислоты и 0,07% по весу воды. Полученную фармацевтическую композицию, имеющую величину рН 6,2, помещали в виде порций по 15 мл во флаконы. Последующая процедура была идентична процедуре примера 1. Спустя 36 месяцев эта фармацевтическая композиция показала содержание карбоплатина 9,80 мг/мл, т.е. уменьшение содержания активного вещества составляло 1,9%. ПРИМЕР 3 В условиях GMP стерильный водный раствор карбоплатина с концентрацией карбоплатина 10,02 мг/мл готовили из вещества карбоплатина, имеющего чистоту 99,86% и содержащего 0,03% по весу 1,1-циклобутандикарбоновой кислоты и 0,10% по весу воды. Полученную фармацевтическую композицию, имеющую величину рН 6,3, помещали в виде порций по 45 мл во флаконы. Последующая процедура была идентична процедуре примера 1. Спустя 36 месяцев эта фармацевтическая композиция показала содержание карбоплатина 9,84 мг/мл, т.е. уменьшение содержания активного вещества составляло 1,8%. ПРИМЕР 4 (сравнительный пример) В условиях GMP стерильный водный раствор карбоплатина с концентрацией карбоплатина 10,03 мг/мл и с концентрацией 1,1-циклобутандикарбоновой кислоты 0,25 мг/мл (т.е. минимальной стабилизирующей концентрацией согласно ЕР 642792) готовили из вещества карбоплатина, имеющего чистоту 99,85% и содержащего 0,05% по весу 1,1-циклобутандикарбоновой кислоты и 0,05% по весу воды, и из вещества 1,1-циклобутандикарбоновой кислоты, имеющего чистоту 99,7% и содержащего 0,12% воды. Величину рН доводили до 6,0 при помощи NaOH. Последующая процедура была идентична процедуре примера 1. Спустя 36 месяцев эта фармацевтическая композиция показала содержание карбоплатина 9,83 мг/мл, т.е. уменьшение содержания активного вещества составляло 2,0%. ПРИМЕР 5 (сравнительный пример) В условиях GMP стерильный водный раствор карбоплатина с концентрацией карбоплатина 9,95 мг/мл и с концентрацией 1,1-циклобутандикарбоновой кислоты 1,19 мг/мл (т.е. равной величине медианы выборки из интервала стабилизирующих концентраций согласно ЕР 642792) готовили из вещества карбоплатина, имеющего чистоту 99,85% и содержащего 0,05% по весу 1,1-циклобутандикарбоновой кислоты и 0,05% по весу воды, и из вещества 1,1-циклобутандикарбоновой кислоты, имеющего чистоту 99,7% и содержащего 0,12% воды. Величина рН этого раствора была 5,7. Последующая процедура была идентична процедуре примера 1. Спустя 36 месяцев эта фармацевтическая композиция показала содержание карбоплатина 9,73 мг/мл, т.е. уменьшение содержания активного вещества составляло 2,2%. ПРИМЕР 6 (сравнительный пример) В условиях GMP стерильный водный раствор карбоплатина с концентрацией карбоплатина 9,73 мг/мл и с концентрацией 1,1-циклобутандикарбоновой кислоты 14,80 мг/мл готовили из вещества карбоплатина, имеющего чистоту 99,85% и содержащего 0,05% по весу 1,1-циклобутандикарбоновой кислоты и 0,05% по весу воды, и из вещества 1,1-циклобутандикарбоновой кислоты, имеющего чистоту 99,7% и содержащего 0,12% воды. Величина рН этого раствора была 5,5. Последующая процедура была идентична процедуре примера 1. Спустя 36 месяцев эта фармацевтическая композиция показала содержание карбоплатина 8,94 мг/мл, т. е. уменьшение содержания активного вещества составляло 8,1%. Аббревиатура GMP, применяемая в примерах, является сокращенным выражением обычно используемого технического термина “Good Manufacturing Practice” (Приемы хорошего приготовления), которые отличаются тем, что приготовление удовлетворяет ряду специфических правил и условий, требующихся в фармацевтической практике. Формула изобретения
РИСУНКИ
|
||||||||||||||||||||||||||

10-4 мг/мл этих соединений присутствуют в форме моно- или бивалентного аниона.
Из вышеописанного очевидно, что существует убежденность среди специалистов в данной области, что присутствие 1,1-циклобутандикарбоновой кислоты и/или ее вышеуказанных солей является абсолютно необходимым для достижения определенной приемлемой стабильности водных растворов карбоплатина.
После основательного исследования кинетики гидролиза карбоплатина в водных растворах это профессиональное предубеждение, описанное выше, было преодолено новым и неожиданным открытием, которое может быть суммировано в утверждении, что присутствие какой бы то ни было кислоты облегчает гидролиз карбоплатина посредством электрофильного разрушения карбоксильных лигандов карбоплатина. Подобным образом любое нуклеофильное соединение, которое обладает более сильной нуклеофильностью, чем вода, может уменьшать стабильность карбоплатина вследствие замещения карбоксилатного лиганда карбоплатина. Таким образом, любое присутствие буфера, в том числе 1,1-циклобутандикарбоновой кислоты и/или ее конъюгированного основания в форме соли, будет, вопреки ожиданиям, уменьшать стабильность карбоплатина в водном растворе. В противоположность принятому до сих пор убеждению наиболее стабильной водной формой карбоплатина является водный раствор карбоплатина высокой чистоты в стерильной воде для инъекционных растворов, без каких-либо других компонентов, а именно нуклеофильных соединений или кислот.
Таким образом, объектом данного изобретения является фармацевтическая композиция с противоопухолевой активностью на основе карбоплатина, содержащая водный раствор карбоплатина с содержанием карбоплатина от 1 до 20 мг/мл, отличающаяся тем, что она содержит непосредственно после ее приготовления количество 1,1-циклобутандикарбоновой кислоты и/или ее соли, которое меньше 0,1% по весу в расчете на вес присутствующего карбоплатина.
Предположительным механизмом разложения карбоплатина, который аналогичен механизму гидратации цисплатина (Cheung Y.W., Cradock J.C., Vishnuvajjala В. В. , Flora К.Р., Am. J. Hosp. Pharm., 1987, 44, 124), является двухстадийный гидролиз до моно- и диаквакомплексов платины формул I и II:


,
,