Патент на изобретение №2188201
|
||||||||||||||||||||||||||
(54) ПРОИЗВОДНЫЕ 5H-ПИРАНО[2,3-D:6,5-D’]ДИПИРИМИДИНА, ОБЛАДАЮЩИЕ АНТИМИКРОБНЫМ, ПРОТИВОВИРУСНЫМ И ИММУНОМОДУЛИРУЮЩИМ ДЕЙСТВИЕМ
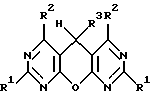
(57) Реферат: Изобретение относится к новым производным 5Н-пирано[2,3-d:6,5-d’]дипиримидина общей формулы I, обладающим антимикробным, противовирусным и иммуномодулирующим действием. В соединениях общей формулы I радикалы имеют следующие значения: R1 выбран из группы гидроксигруппа, меркаптогруппа, галоген, R2 выбран из группы гидроксигруппа, низшая алкоксигруппа, галоген, R3 выбран из группы водород, фенил или фенил, замещенный галогеном или нитрогруппой. Предпочтительны соединения, где 1=R2=OH, R3=4-O2NC6H4 (I); R1= R2=Cl, R3=C6H5 (II); R1=R2=ОН, R3=4-IС6H4 (III); R1=R2=ОН, R3=Н (IV); R1=OH, R2=ОСН3, R3=4-O2NC6H4 (V); R1=R2=OH, R3=4-ClС6Н4 (VI); R1=R2=OH, R3=4-BrC6H4 (VII); R1=SH, R2=OH, R3=4-ClC6H4 (VIII); R1=SH, R2=OH, R3=4-O2NC6H4 (IX). 9 з.п. ф-лы, 11 табл. I
Изобретение относится к области органической химии и медицины, конкретно к барбитуровым кислотам и их производным и предназначено для использования в качестве средств, обладающих антимикробным, противовирусным и иммуномодулирующим действием. Уровень техники. Многие производные пиримидина являются биологически активными веществами. Производные пиримидина являются нуклеиновыми основаниями (урацил, тимин, цитозин), витаминами (тиамин, фосфотиамин), коферментами (кокарбоксилаза), их используют как фармацевтические препараты, обладающие снотворным, противосудорожным (барбитураты, гексамидин, бензонал), диуретическим (меркузал), противовоспалительным (пентоксил, метилурацил), антитиреоидным (метилтиоурацил) действием, они являются синтетическими аналогами витаминов (бефотиамин), анаболическим (оротовая кислота), противовоспалительными и антибактериальными (сульфазин, сульфадимезин, сульфамонометоксин, сульфадиметоксин, бактрим, салазодиметоксин), антималярийными (хлоридин), противораковыми (допан, фосфемид, этимидин, фторурацил, фторафур, цитарабин) средствами [Pharmaceutical microbiology, Ed. by W.B.Hugo and A.D.Russel Blackwell Scientific Publications, Oxford, 1987, 511 р.; Машковский М.Д. Лекарственные средства. Пособие по фармакотерапии для врачей. Вильнюс, Гамта, 1993, Ч. 1, 544 с.]. В последние десятилетия значительный интерес проявляется к системам, в которых пиримидиновый цикл сконденсирован с другими гетероциклами. Зачастую такие гетероциклические системы являются аналогами природных биологически активных веществ. К ним относятся пурины, входящие в состав природных и синтетических биологически активных веществ: нуклеиновых кислот (аденин, гуанин), АТФ, препаратов, возбуждающих центральную нервную систему, действующие на сердечно-сосудистую систему (кофеин, теобромин, теофиллин, нигексин, дипрофиллин, ксантинола никотинат), применяемые для подавления тканевой несовместимости при пересадке органов (азатиоприн) (цитостатический и иммунодепрессивный эффект), обладающие анаболическим (инозин), антилейкемическим (меркаптопурин); пиразоло[3,4-d] пиримидины, используемые для лечения заболеваний, сопровождающихся гиперурикемией (аллопуринол); птеридины, используемые как диуретики (триамтрен), витамины (рибофлавин, фолиевая кислота), противораковые (метотрексат) препараты; пиримидо [5,4-d]пиримидины, обладающие сосудорасширяющим действием (дипиридамол) [Pharmaceutical microbiology, Ed. by W.B. Hugo and A.D. Russel Blackwell Scientific Publications, Oxford, 1987, 511 р.; Машковский М.Д. Лекарственные средства. Пособие по фармакотерапии для врачей. Вильнюс, Гамта, 1993, Ч. 1, 544 с.]. Задача изобретения. Задачей изобретения является создание новых веществ, обладающих антимикробным, противовирусным и иммуномодулирующим действием. Сущность изобретения. Поставленная задача решается синтезом новых веществ – производных пирано[2,3-d:6,5-d’]дипиримидина общей формулы ![]() где R1 выбран из группы гидроксигруппа, меркаптогруппа, галоген, R2 выбран из группы гидроксигруппа, низшая алкоксигруппа, галоген, R3 выбран из группы водород, фенил или фенил, замещенный галогеном или нитрогруппой. При этом лучшие варианты заявленных веществ при R1=R2=ОН, R3=4-O2NС6Н4 (I), R1=R2=Cl, R3=С6Н5 (II), R1=R2=OH, R3=4-IC6H4 (III), R1=R2=OH, R3=Н (IV), R1=OH, R2=ОСН3, R3=4-O2NС6Н4 (V), R1=R2=OH, R3-4-ClC6H4 (VI), R1=R2=OH, R3-4-BrC6H4 (VII), R1=SH, R2=OH, R3=4-СlС6Н4 (VIII), R1=SH, R2=OH, R3=4-O2NС6Н4 (IX). Следует сразу отметить, что использование остальных представителей алкоксигруппы, меркаптогруппы, галогенов и арилов не имеют принципиальных отличий в процессах синтеза и биологических свойствах полученных веществ, т.е. существенное значение имеют не конкретные элементы радикалов R1, R2 и R3, а их принадлежность к упомянутым в общей формуле группам. Лучшие варианты представлены в табл.1. Общая формула заявляемых соединений и все вышеперечисленные варианты конкретных соединений являются новыми, из доступных источников информации они нам не известны. Более того, их синтез и наличие в них заметной биологической активности не вытекает явным образом из современного уровня техники, т.е. для специалиста неочевидно. Раскрытие изобретения. Сущность изобретения поясняется приведенными ниже пятью общими примерами синтеза заявленных веществ, тремя лучшими известными авторам на дату подачи заявки вариантами синтеза, тремя сводными таблицами химико-физических характеристик заявленных веществ, в которых приведены выходы, температуры плавления, а также результатами восьми серий экспериментов по определению сравнительных медико-биологических свойств заявляемых веществ (с соответствующими таблицами количественных измерений), где: Пример 1 – вариант синтеза 5-арил-2,4,6,8-тетрагидрокси-5H-пирано[2,3-d: 6,5-d’] дипиримидинов (I, III, IV, VI, VII) и 5-арил-4,6-дигидрокси-2,8-димеркапто-5H-пирано[2,3-d:6,5-d’]дипиримидинов (VIII, IX). Пример 2 – вариант синтеза 5-арил-2,4,6,8-тетрагидрокси-5H-пирано-[2,3-d: 6,5-d’]дипиримидинов (I, III, IV, VI, VII) и 5-арил-4,6-дигидрокси-2,8-димеркапто-5H-пирано[2,3-d:6,5-d’]дипиримидинов (VIII, IX). Пример 3 – вариант синтеза 2,4,6,8-тетрагидрокси-5-(п-нитрофенил)-5Н-пирано[2,3-d:6,5-d’]дипиримидина (I). Пример 4 – вариант синтеза 5Н-фенил-2,4,6,8-тетрахлор-5Н-пирано[2,3-d: 6,5-d’]дипиримидина (II). Пример 5 – вариант синтеза 2,8-дигидрокси-4,6-диметокси-5-(4-нитрофенил)-5Н-пирано[2,3-d:6,5-d’]дипиримидина (V). Пример 6 – лучший известный авторам вариант синтеза 4,6-дигидрокси-2,8-димеркапто-5-(п-нитрофенил)-5Н-пирано[2,3-d:6,5-d’]дипиримидина (IX). Пример 7 – лучший известный авторам вариант синтеза 5-фенил-2,4,6,8-тетрахлор-5Н-пирано[2,3-d:6,5-d’]дипиримидина (II). Пример 8 – лучший известный авторам вариант синтеза 2,8-дигидрокси-4,6-диметокси-5-(4-нитрофенил)-5Н-пирано[2,3-d:6,5-d’]дипиримидина (V). Таблица 2 – спектры ПМР растворов заявленных веществ 5Н-пирано [2,3-d: 6,5-d’]дипиримидинов – в ДМСО-d6 ( , м.д.).
Таблица 3 – спектры ЯМР13С растворов заявленных веществ 5Н-пирано[2,3-d: 6,5-d’]дипиримидинов в ДМСО-d6 ( , м.д.).
Таблица 4 – выходы, температуры разложения и элементный анализ заявленных веществ – 5H-Пирано[2,3-d:6,5-d’]дипиримидинов.
Эксперимент 1 (с табл.5) – определение действия заявленных веществ на вирус герпеса.
Эксперимент 2 (с табл.6) – определение интерферониндуцирующей активности заявленных веществ.
Эксперимент 3 (с табл.7) – определение действия заявленных 25 веществ на C.trachomatis.
Эксперимент 4 (с табл. 8) – определение острой токсичности заявленных веществ.
Эксперимент 5 – определение действия заявленных веществ на грамположительные бактерии.
Эксперимент 6 – определение действия заявленных веществ на микобактерии.
Эксперимент 7 (с табл.9 и 10) определение противовирусной активности заявленных веществ в отношении вирусов гриппа А и В.
Эксперимент 8 (с табл.11) – определение противовирусной активности заявленных веществ в отношении респираторных вирусов.
Пример 1 – вариант синтеза 5-арил-2,4,6,8-тетрагидрокси-5H-пирано[2,3-d: 6,5-d’] дипиримидинов (I, III, IV, VI, VII) и 5-арил-4,6-дигидрокси-2,8- димеркапто-5H-пирано[2,3-d:6,5-d’] дипиримидинов (VIII, IX).
Смесь 3 ммоль пиридиниевой соли 5,5-арилиденбис(2-тио)барбитуровой кислоты и 55 ммоль РОСl3 нагревают при перемешивании до кипения. После растворения осадка (через ~ 1 ч) к раствору добавляют 3,5 ммоль P2O5. Кипящую смесь перемешивают в течение 5-7 ч, а затем выливают в 150-200 мл холодной воды и оставляют на ночь. Выпавший осадок отфильтровывают, промывают этанолом или ацетоном, перекристаллизовывают из воды. Выход 20-30%.
Пример 2 – вариант синтеза 5-арил-2,4,6,8-тетрагидрокси-5H-пирано[2,3-d: 6,5-d’] дипиримидинов (I, III, IV, VI, VII) и 5-арил-4,6-дигидрокси-2,8-димеркапто-5H-пирано[2,3-d:6,5-d’]дипиримидинов (VIII, IX).
Смесь 0,04 моль пиридиниевой соли 5,5′-арилиденбис(2-тио)барбитуровой кислоты, 0,035 моль РОСl3, 0,02 моль P2O5 и 7-10 мл хлороформа перемешивают при кипении в течение 4 ч. Затем реакционную смесь выливают в 100 мл холодной воды и оставляют на ночь. Выделение и очистку полученных веществ проводят как описано выше. Выход 23-86%.
Пример 3 – вариант синтеза 2,4,6,8-тетрагидрокси-5-(п-нитрофенил)-5H-пирано[2,3-d:6,5-d’]дипиримидина (I).
К смеси 3,4 ммоль 2,8-дигидрокси-4,6-диметокси-5-(п-нитрофенил)-5H-пирано[2,3-d: 6,5-d’] дипиримидина, 10 мл уксусной кислоты и 10 мл уксусного ангидрида добавляют 8-12 капель концентрированной серной кислоты. Смесь перемешивают при кипении в течение 8-10 ч, а затем выливают в 150 мл холодной воды и оставляют на ночь. Выделение и очистку веществ проводят как описано выше. Выход 25-30%.
Пример 4 – вариант синтеза 5Н-фенил-2,4,6,8-тетрахлор-5H-пирано[2,3-d: 6,5-d’] дипиримидина (II).
Смесь 3 ммоль пиридиниевой соли 5,5′-бензилиденбисбарбитуровой кислоты и 55 ммоль РОСl3 нагревают при перемешивании до кипения. После растворения осадка (через ~ 1 ч) к раствору добавляют 3,5 ммоль P2O5. Кипящую смесь перемешивают в течение 4 ч, а затем выливают в 150-200 мл холодной воды и оставляют на ночь. Выпавший осадок отфильтровывают, промывают этанолом или ацетоном. Выход 10%.
Пример 5 – вариант синтеза 2,8-дигидрокси-4,6-диметокси-5-(4-нитрофенил)-5Н-пирано[2,3-d:6,5-d’]дипиримидина (V).
Смесь 14 ммоль 6-метоксиурацила, 7 ммоль п-нитробензальдегида 10 мл уксусной кислоты и 10 мл уксусного ангидрида перемешивают при 110-115oC в течение 3-5 ч. Выпавший осадок отфильтровывают промывают этанолом и сушат.
Примеры лучших известных авторам вариантов синтеза заявляемых веществ формулы (I).
Пример 6 – лучший вариант синтеза 4,6-дигидрокси-2,8-димеркапто-5-(п-нитрофенил)-5H-пирано[2,3-d:6,5-d’]дипиримидина (IX).
Смесь 0,04 моль пиридиниевой соли 5,5′-(п-нитробензилиден)бис(2-тиобарбитуровой) кислоты, 0,035 моль РОС13, 0,02 моль P2O5 и 7-10 мл хлороформа перемешивают при кипении в течение 4 ч. Затем реакционную смесь выливают в 100 мл холодной воды и оставляют на ночь. Выделение и очистку полученных веществ проводят как описано выше. Выход 86%.
Пример 7 – лучший вариант синтеза 5-фенил-2,4,6,8-тетрахлор-5H-пирано[2,3-d:6,5-d’]дипиримидина (II).
Смесь 3 ммоль пиридиниевой соли 5,5′-бензилиденбисбарбитуровой кислоты и 55 ммоль РОСl3 нагревают при перемешивании до кипения. После растворения осадка (через ~ 1 ч.) к раствору добавляют 3,5 ммоль P2O5. Кипящую смесь перемешивают в течение 4 ч, а затем выливают в 150-200 мл холодной воды и оставляют на ночь. Выпавший осадок отфильтровывают, промывают этанолом или ацетоном. Выход 10%.
Пример 8 – лучший вариант синтеза 2,8-дигидрокси-4,6-диметокси-5-(4-нитрофенил)-5H-пирано[2,3-d:6,5-d’]дипиримидин (V).
Смесь 14 ммоль 6-метоксиурацила, 7 ммоль п-нитробензальдегида 10 мл уксусной кислоты и 10 мл уксусного ангидрида перемешивают при 110-115oС в течение 3-5 ч. Выпавший осадок отфильтровывают, промывают этанолом и сушат. Выход 46%.
Экспериментальная часть.
Эксперимент 1 – определение действия заявленных веществ на вирус герпеса.
Антивирусная активность изучалась по отношению к вирусу герпеса I типа (ВПГ-I/Ленинград/248/88) по общепринятому методу [Saltzman R., Jurewicz R., Boon В. , Safety of famciclovir in patients with herpes zoster and genital gerpes, Antimic. Agents and Chemother, 1994, 38, 10, P. 2454-2457; Gentry G. A. , Lawrency N. , Lushbaugh N. Isolation and differentiation of Herpis simplex virus and Trichomonas vaginalis in cell culture. J. of. Clinical Microbiology, 1985, 22, 2, Р. 199-204]. Вирусы выращивали на перевиваемой культуре клеток Vero, полученной из банка клеточных культур Института цитологии Российской Академии Наук.
Схема постановки опыта.
К клеткам, выращенным на среде RPMI-1640 с 10% телячьей сыворотки и помещенным в лунки 96-луночного плато, добавляли вирус в конечной концентрации 10 частиц/мл и заявленные вещества, растворенные в ДМСО, в конечной концентрации 100, 10 и 1 мг/л. Для каждой испытанной концентрации вещества использовали 5 независимых лунок. Плато инкубировали в течение 60 мин при 38oС в СO2-инкубаторе. После инкубации вирус удаляли и снова вносили свежую среду, содержащую заявленные вещества в использованных концентрациях. Результаты оценивали по наличию цитопатогенного действия вируса на клетки через 36 часов инкубации при 38oС в СO2-инкубаторе.
В опыте были использованы следующие контроли:1. Контроль культуры клеток (способность к нормальному росту). 2. Контроль вируса (оценка способности к репродукции). 3. Контроль антивирусной активности противовирусного препарата – ацикловира. 4. Контроль веществ (токсичность соединений). 5. Контроль растворителя (ДМСО) на токсичность. Для оценки цитопатического действия вируса подсчитывали число неизмененных клеток в 100 полях, образованных специальной сеткой окуляра инвертированного микроскопа. Результаты – в табл.5. Полученные результаты, приведенные в табл.5, показывают, что все заявленные вещества (соединения) обладают антигерпетической активностью, сравнимой с таковой у стандартного препарата ацикловира. Остальные заявляемые соединения имели менее выраженную активность в процессе подавления репродукции вируса герпеса в выбранных условиях эксперимента. Эксперимент 2 – определение интерферониндуцирующей активности заявленных соединений. Индукцию синтеза интерферонов заявленными веществами проводили на первичной культуре человеческих лимфоцитов (именно данные клетки в организме человека являются основными продуцентами интерферонов). Для получения культуры лимфоцитов использовали свежую (12 часов после забора) кровь здоровых доноров (не второй группы). Для выделения лимфоцитов гепаринизированная кровь, полученная от здорового донора, подвергалась центрифугированию в градиенте плотности фиколл-верографин 1,71 г/см3 для выделения фракции иммунокомпетентных клеток. Указанная фракция отбиралась и разводилась питательной средой RPMI-1640, содержащей 5% эмбриональной сыворотки крупного рогатого скота, 0,3 мг/мл L-глутамина, 100 ед. /мл пенициллина, 50 мг/мл стрептомицина. Концентрацию лимфоцитов учитывали после окрашивания метиленовым синим и подсчета количества клеток в камере Горяева. Исходные растворы заявляемых веществ разводили питательной средой RPMI-1640 так, чтобы конечные концентрации веществ составляли ряд: 100 мг/л, 10 мг/л, 1 мг/л после внесения суспензии лимфоцитов. Конечная концентрация лимфоцитов в индукционной смеси составила 3 106 клеток/мл.
Параллельно с опытными пробами проставлялись следующие контроли:1) контроль спонтанной продукции интерферонов (ИФН) лимфоцитами; 2) контроль протекания процесса при воздействии стандартизированного индуктора ИФН N-метил-N-(а,D-глюкопиранозил)аммоний-10-метилен-карбоксилат акридона (циклоферон); 3) контроль протекания процесса при воздействии стандартизированного индуктора ИФН – Неовира с соответствующим содержанием ДМСО в опытных пробах; 4) контроль спонтанной продукции интерферонов в присутствии ДМСО в количестве, соответствующем испытуемым образцам. Контрольные и опытные образцы инкубировали 24 часа при 37oС. После инкубации пробы центрифугировались при 2000 g для осаждения клеточных элементов и из проб отбирался ИФН-содержащий супернатант, который анализировали на количественное содержание ИФН. Осадок клеток ресуспендировали в прежнем объеме питательной среды, окрашивали витальным красителем трипановым синим и подсчитывали число клеток в камере Горяева (как описано выше) для определения цитотоксического действия веществ. Количественное определение содержания ИФН в контрольных и опытных образцах производили с использованием иммуноферментной тест-системы на ИФН-а производства ТОО “Протеиновый контур” ProCon IF2 plus. Для определения количества интерферона в пробе использовали твердофазный иммуноферметный метод с использованием пероксидазы хрена в качестве индикаторного фермента. Активность связанной пероксидазы измеряли с использованием автоматического фотометра для микропланшетов с микропроцессором при длине волны – 450 нм. Для подсчета результатов параллельно определяли активность ИФН у стандартных растворов ИФН, содержащих известное количество вещества. На основании полученных результатов строилась калибровочная кривая, позволяющая при использовании микропроцессора автоматического фотометра получать данные, выраженные в Международных Единицах активности (ME). Результаты анализа выражаются в ME активности ИФН на мл в данной индукционной системе, содержащей 3 106 лимфоцитов/мл.
Каждая опытная и контрольная точка исследовалась в 4-х параллелях.
Контроли иммуноферментной реакции:1. Контроль DMSO с питательной средой. 2. Контроль компонентов системы (согласно инструкции). Все результаты учитывались только при соответствии контролей паспортным данным системы. Полученные результаты подвергались статистическому анализу по t-критерию и расчетом доверительного интервала при p=0,05. Произведен анализ сходимости результатов в параллельных опытах. В результате проведенных исследований установлено, что все заявленные вещества обладают способностью индуцировать синтез ИНФ, вполне сопоставимой с известными интерферониндуцирующими средствами, что указывает на их противовирусную и противоопухолевую эффективность (табл.6). Эксперимент 3 – определение действия заявляемых соединений на Chlamydia trachomatis. Антимикробная активность заявленных соединений изучали по отношению к С. trachomatis D323 – стандартному штамму из коллекции кафедры микробиологии С-Петербургского Государственного университета им. акад. И.П.Павлова. Данный штамм был выделен от больного с хламидийным уретритом, имеет морфологию и физиологическую активность, характерную для представителей данного вида, чувствителен к действию препаратов, используемых для лечения хламидийной инфекции. В работе использованы клеточные культуры МсСоу и L929, полученные из института Цитологии Российской Академии Наук. Схема постановки опыта. Клетки выращивали во флаконах из нейтрального стекла в среде RPMI-1640 с добавлением 10% эмбриональной телячьей сыворотки. Опыт ставили в стеклянных (лишенных токсичности) плоскодонных флаконах с покровными стеклами. Клетки вносили в среду в конечной концентрации 1 10 кл/мл. После получения монослоя в пробирки вносили стандартные заражающие дозы хламидий, хранящиеся в замороженном состоянии при -70oС. Одновременно к клеткам добавляли испытуемые соединения в конечной концентрации 100 мг/л. Пробу центрифугировали при 2400 g в течение 60 минут при комнатной температуре и инкубировали при 37oС в течение 2 часов. После этого меняли питательную среду на новую, содержащую 5% эмбриональной телячьей сыворотки и циклогексимид (2 мкг/мл) с повторным внесением заявленных соединений в той же концентрации. Параллельно дублировали пробы, используя среду без циклогексимида, чтобы исключить его влияние на изучаемые субстанции. Пробы инкубировали в течение 48 часов в СO2-инкубаторе.
Контроли включали: контроли культур клеток, контроль действия растворителей, контроль действия хламидий в отсутствие каких бы то ни было препаратов, контроль чувствительности хламидий к стандартным антимикробным препаратам ципрофлоксацину и абакталу [Grever M.R., Schepartz S.A., Chabner B.A., The National Cancer Institute: cancer drug discovery and development program, Seminars in oncology, 1992, 19, 6, р. 622-638], контроль испытуемых соединений на токсичность по отношению к культурам клеток.
Оценку результатов проводили путем выявления хламидийных цитоплазматических включений с помощью метода иммунофлюоресценции (MicroTrac Chlamydia trachomatis Direct Specimen Test) и хламидийных антигенов с помощью CylaMonoScreen (Russian-British Joint Venture 66 Regent’s Parc Road London NW1 7SX) (46). Эффект действия препарата определяли, анализируя состояние монослоя и число клеток с ЦПВ по сравнению с контролем (культура клеток, зараженная C. trachomatis D323), при этом учитывали число неизмененных клеток в 100 полях зрения, полученных при использовании специальной сетки окуляра микроскопа. Результаты контрольных проб, удовлетворяющие требованиям эксперимента: контроль культуры клеток – морфология клеток и состояние монослоя соответствуют данному типу клеток, контроль роста хламидий в культуре клеток – наличие ЦПВ в монослое, контроль действия стандартного антимикробного препарата – уменьшение числа ЦПВ в монослое по сравнению с предыдущим контролем, контроль токсичности заявляемых соединений – токсичность отсутствует, контроль действия растворителей – токсическое действие на клетки отсутствует. Результаты проведенных испытаний представлены в табл.7.
Полученные данные свидетельствуют о том, что заявленные соединения могут быть применены для лечения заболеваний, вызванных хламидиями.
Эксперимент 4 – определение острой токсичности.
Определение острой токсичности проведено на беспородных белых мышах массой 18-20 г. Эмульсии некоторых заявляемых соединений готовили в различных концентрациях: 1500 700, 500, 100, 20 и 5 мг/кг. Для исследования каждой концентрации соединения использовали по 5 животных. Препарат вводили один раз в сутки через рот или внутрибрюшинно. Период наблюдения составил 14 дней. На 1, 8 и 15 день проводили взвешивание животных в каждой группе. Для контроля использовали животных, которым вводили эмульсию, приготовленную без испытуемых соединений.
Для макроскопического исследования внутренних органов проводили вскрытие всех животных, умерших в ходе опыта и выживших к концу эксперимента.
В ходе проведенных исследований не наблюдалось: потери веса, изменения в поведении и внешнем виде, а также гибели животных. По результатам вскрытия макроскопической патологии со стороны внутренних органов животных как в опытной, так и в контрольной группах обнаружено не было (табл.8).
Полученные результаты свидетельствуют о том, что при приеме через рот или внутрибрюшинно некоторые из заявленных соединений в концентрации 1500 мг/кг не обладают острой токсичностью для мышей.
Эксперимент 5 – определение действия заявленных соединений на грамположительные бактерии.
Для оценки действия заявленных соединений на грамположительные бактерии определяли минимальную подавляющую концентрацию (МПК) с использованием метода серийных разведений на жидкой среде. В тестировании использованы штаммы Staphylococcus aureus VT209 и АТСС25913. Установлено, что вещество IX в концентрации 100 мкг/мл полностью угнетает рост тест микробов. Другие соединения менее эффективны по отношению к грамположительным бактериям и имеют большую величину МПК.
Эксперимент 6 – определение действия заявленных соединений на микобактерии.
Для оценки антимикобактериального действия были использованы стандартные штаммы Mycobacterium tuberculosis H37RW и Micobacterium smegmatis ATCC607. Минимальную подавляющую концентрацию (МПК) определяли методом серийных разведений на среде Школьникова, обогащенной инактивированной сывороткой крови. Вещество IX обладает активностью по отношению к использованным штаммам микобактерии и подавляет их рост. Для Mycobacterium tuberculosis H37RW МПК составляет 100 мкг/мл, а для штамма Micobacterium smegmatis ATCC607 – 50 мкг/мл.
Другие соединения менее эффективны по отношению к микобактериям и имеют большую величину МПК.
Эксперимент 7 – определение противовирусной активности заявленных соединений в отношении вирусов гриппа А и B.
Противовирусную активность веществ определяют по их способности угнетать репродукцию вирусов гриппа на модели переживающих фрагментов хориоаллантоисной оболочки куриного эмбриона (ХАО) по методу Fazekas de St. Growth, модифицированному для определения ингибирующего действия химиопрепаратов в отношении вирусов гриппа.
Опыты проводили в стерильных полистироловых серологических панелях (72 лунки) с использованием среды специального состава. Фрагменты ХАО готовили из 10-11-дневных куриных эмбрионов после их обработки и удаления эмбриона вместе с желточным мешком. Кусочки ХАО размером 20-25 мм2 помещали в лунки полистироловых панелей и закрывали стеклом.
Сначала определяют токсическое действие соединений для культуры ХАО. Для этого в лунки с различными разведениями веществ на среде вносили кусочки ХАО и инкубировали в термостате при 37oС, через 48 и 72 часа оценивали состояние оболочки.
Максимальной переносимой дозой (МПД) считали половинную концентрацию вещества, которая не оказывает цитотоксического действия, т.е. не вызывает визуальных изменений фрагментов ХАО: нарушения рисунка кровеносных сосудов (спадение сосудов), исчезновения блеска оболочки и ее полной деструкции.
В работе использованы референс-штаммы вируса гриппа типа А (А/Гонконг/1/68(Н3N2)) и типа В (В/Гонконг/5/72).
В каждый опыт включают положительный контрольный препарат – ремантадин (Dupont) или виразол (Virazole; ICN Pharmaceuticals Inc).
Эффективность вещества оценивали по снижению инфекционной активности вируса в опыте по сравнению с контролем – индекс нейтрализации (Ig ИД50). Вещество считали активным при значении ИН от 1,0 Ig ИД50 и выше.
Наличие вируса гриппа определяют в реакции гемагглютинации с куриными эритроцитами, которые добавляли в лунки панелей, предварительно удалив из них фрагменты ХАО.
Другие соединения были менее эффективны по отношению к вирусу гриппа А и имели меньший индекс нейтрализации.
Другие соединения были менее эффективны по отношению к вирусу гриппа В и имели меньший индекс нейтрализации.
Таким образом, заявленные вещества защищают клетки от инфекции вирусами гриппа А и В. Наиболее активное вещество VIII.
Эксперимент 8 – определение противовирусной активности заявленных веществ в отношении респираторных вирусов.
В работе использовали и респираторно-синцитиальный вирус (штамм Лонг). Вирус поддерживают путем пассажей на перевиваемых клетках Нер-2 (посевная доза 3 105 кл/мл). Для проверки токсичности веществ через 6 дней инкубации в термостате при 37oС проверяли состояние клеточного монослоя и определяли максимальную переносимую дозу вещества. Оценку состояния клеток проводили при микроскопическом исследовании по степени неспецифической дегенерации по сравнению с контролем: появление зернистости в цитоплазме и утолщение клеточной стенки, изменение формы клеток, полная деструкция монослоя. Противовирусную активность соединений определяли в концентрациях от 1,0 до 0,25 МПД. Инфекционный вирус определяли по наличию специфического синцития, характерного для репродукции респираторно-синцитиального вируса в гетероплоидных культурах, достигающего максимального размера на 5-7 сутки. Противовирусную активность соединений определяли по индексу нейтрализации. Каждый опыт включал положительный контрольный препарат виразол.
Таким образом, вещество VIII защищает клетки от инфекции респираторно-синцитиальным вирусом.
Другие заявляемые соединения были менее эффективны и имели меньший индекс нейтрализации.
Промышленная применимость.
Примеры 1-8 практического синтеза и химико-физический анализ заявляемых соединений, приведенный в табл.2-4, подтверждают возможность лабораторного и промышленного синтеза всех девяти заявленных соединений средствами, освоенными современной фармацевтической промышленностью, а также их четкую идентификацию общепринятыми методами контроля.
Серия экспериментов по определению биологических свойств, приведенная в восьми представленных экспериментах, показала, что заявленные соединения обладают биологической активностью по отношению к различным микроорганизмам, включая хламидии, вирус простого герпеса, грамположительные бактерии, микобактерии, вирусы гриппа А и Б, респираторно-синцитиальный вирус, а также интерферониндуцирующей активностью. Последнее указывает на возможность их использования в лечении герпеса, других вирусных и некоторых раковых заболеваний.
Приведенные сведения доказывают достижение задач, поставленных изобретением: синтезирован новый класс гетероциклических соединений, обладающих высокой и широкой биологической активностью, в частности антимикробной, противовирусной и иммуномодулирующей.
Формула изобретения
![]() где R1 выбран из группы гидроксигруппа, меркаптогруппа, галоген; R2 выбран из группы гидроксигруппа, низшая алкоксигруппа, галоген; R3 выбран из группы водород, фенил или фенил, замещенный галогеном или нитрогруппой, обладающие антимикробным, противовирусным и иммуномодулирующим действиями. 2. Вещество по п.1, отличающееся тем, что R1=R2=OH, R3=4-O2NC6H4 (I). 3. Вещество по п.1, отличающееся тем, что R1=R2=Cl, R3=C6H5 (II). 4. Вещество по п.1, отличающееся тем, что R1=R2=ОН, R3=4-IC6Н4 (III). 5. Вещество по п.1, отличающееся тем, что R1=R2=ОН, R3=H (IV). 6. Вещество по п.1, отличающееся тем, что R1=OH, R2=ОСН3, R3=4-O2NС6Н4 (V). 7. Вещество по п.1, отличающееся тем, что R1=R2=OH, R3=4-ClС6Н4 (VI). 8. Вещество по п.1, отличающееся тем, что R1=R2=OH, R3=4-BrC6H4 (VII). 9. Вещество по п. 1, отличающееся тем, что R1=SH, R2=ОН, R3=4-ClC6H4 (VIII). 10. Вещество по п.1, отличающееся тем, что R1=SH, R2=ОН, R3=4-O2NC6H4 (IX). РИСУНКИ
MM4A – Досрочное прекращение действия патента СССР или патента Российской Федерации на изобретение из-за неуплаты в установленный срок пошлины за поддержание патента в силе
Дата прекращения действия патента: 20.11.2007
Извещение опубликовано: 10.04.2009 БИ: 10/2009
NF4A Восстановление действия патента СССР или патента Российской Федерации на изобретение
Дата, с которой действие патента восстановлено: 27.04.2010
Извещение опубликовано: 7.04.2010 БИ: 12/2010
|
||||||||||||||||||||||||||

I

, м.д.).
Таблица 3 – спектры ЯМР13С растворов заявленных веществ 5Н-пирано[2,3-d: 6,5-d’]дипиримидинов в ДМСО-d6 (
106 клеток/мл.
Параллельно с опытными пробами проставлялись следующие контроли: