Патент на изобретение №2187822
|
||||||||||||||||||||||||||
(54) СПОСОБ ОПРЕДЕЛЕНИЯ ПАРАМЕТРОВ ПЕРЕХОДНОГО ПРОЦЕССА
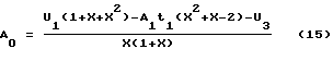
(57) Реферат: Использование: в измерительной технике для вычисления параметров переходного процесса. Технический результат заключается в повышении точности и быстродействия определения параметров переходного процесса. Способ определения параметров переходного процесса, состоящего из суммы постоянной, линейно изменяющейся и возрастающей экспоненциальной составляющих, заключается в измерении четырех мгновенных значений переходного процесса в моменты времени t1, 2t1, 3t1 и 4t1 после начала переходного процесса и вычислении постоянной составляющей, крутизны линейно изменяющейся составляющей, установившегося значения и постоянной времени возрастающей экспоненциальной составляющей переходного процесса по формулам, приведенным в описании изобретения. 2 ил. Изобретение относится к измерительной технике и может быть использовано для определения параметров переходного процесса при построении средств контроля технологических процессов. Известен способ определения амплитуды установившегося переходного процесса, описанный в авт. свид. СССР 1029093, кл. G 01 R 23/16, 15.07.83, бюл. 26, заключающийся в измерении двух значений переходного процесса в моменты времени t1 и 2t1 после начала переходного процесса и вычислении амплитуды установившегося процесса. Недостатком этого способа является возможность определения параметров переходного процесса, содержащего только экспоненциально возрастающую составляющую. Наиболее близким к предлагаемому является способ определения параметров переходного процесса, состоящего из суммы постоянной, линейно изменяющейся и возрастающей экспоненциальной составляющих, заключающийся в том, что в момент времени t1 после начала переходного процесса измеряют первое мгновенное значение переходного процесса, в момент времени 2t1 измеряют второе мгновенное значение переходного процесса, в момент времени t1уст измеряют третье мгновенное значение переходного процесса, в момент времени t2уст измеряют четвертое мгновенное значение переходного процесса и определяют параметры переходного процесса по математическим выражениям [Измерительная техника, 1999 г., 8, с. 19-22 (прототип)]. Недостатком этого способа является наличие методической погрешности вычисления параметров вследствие принятия допущений, что к моменту измерения третьего и четвертого мгновенных значений переходного процесса экспоненциальный переходный процесс считается полностью установившимся, а также низкое быстродействие, так как приходится дожидаться установления экспоненциальной составляющей переходного процесса. Изобретение решает техническую задачу повышения точности и быстродействия определения параметров переходного процесса. Сущность способа определения параметров переходного процесса, состоящего из суммы постоянной, линейно изменяющейся и возрастающей экспоненциальной составляющих заключается в следующем. В момент времени t1 после начала переходного процесса измеряют первое мгновенное значение переходного процесса, в момент времени 2t1 измеряют второе мгновенное значение переходного процесса, в момент времени 3t1 измеряют третье мгновенное значение переходного процесса, в момент времени 4t1 измеряют четвертое мгновенное значение переходного процесса и вычисляют постоянную составляющую А0, крутизну линейно изменяющейся составляющей А1, установившееся значение А2 и постоянную времени возрастающей экспоненциальной составляющей переходного процесса по формулам:![]() ![]() ![]() ![]() где t1 – первый момент времени измерения переходного процесса; U1, U2, U3 и U4 первое, второе, третье и четвертое мгновенные значения переходного процесса соответственно. Пусть переходный процесс (фиг.1), состоящий из суммы (композиции) постоянной А0, линейно изменяющейся A1t и возрастающей экспоненциальной составляющих, описывается выражением![]() где А1 – значение крутизны линейно изменяющейся составляющей; А2 – конечное (установившееся) значение возрастающей экспоненциально изменяющейся составляющей; – значение постоянной времени экспоненциально изменяющейся составляющей;t – текущее время от начала переходного процесса. Значения переходного процесса (1) измеряются в моменты времени t1, t2, t3 и t4, причем t2=2t1, t3=3t1, t4=4t1, при этом получим ![]() ![]() ![]() ![]() Сделаем в уравнениях (2), (3), (4) и (5) следующую замену: ![]() С учетом выражения (6) уравнения (2), (3), (4) и (5) примут вид U1 = A0+A1t1+A2(1-X) (7) U2 = A0+2A1t1+A2(1-X2) (8) U3 = A0+3A1t1+A2(1-X3) (9) U4 = A0+4A1t1+A2(1-X4) (10) Выразив из уравнений (7), (8), (9) и (10) переменную А2 и приравняв между собой полученные выражения, получим ![]() ![]() ![]() Сократив обе части уравнений (11), (12) и (13) на (1-X) 0 и выразив переменную А0 получим![]() ![]() ![]() Приравняв между собой уравнения (14), (15) и (14), (16) и выразив из полученных уравнений переменную А1, после несложных преобразований получим ![]() ![]() Приравняв между собой уравнения (17) и (18) и решив полученное уравнение относительно X, получим ![]() С учетом сделанной замены (6), из последнего выражения определяют постоянную времени экспоненциально изменяющейся составляющей :![]() Подставив уравнение (19) в уравнение (17) или (18), получим выражение для вычисления крутизны линейно изменяющейся составляющей А1: ![]() Подставив уравнения (19) и (21) в одно из уравнений (14), (15) или (16), получим формулу для вычисления постоянной составляющей А0 ![]() Подставив уравнения (19), (21) и (22) в одно из уравнений (7), (8), (9) или (10), получим выражение для определения установившегося значения возрастающей экспоненциально изменяющейся составляющей переходного процесса: ![]() На фиг.1 изображена временная диаграмма переходного процесса; на фиг.2 – устройство, поясняющее способ. Устройство содержит вход 1, аналого-цифровой преобразователь 2, микропроцессорный контроллер 3, блок цифровой индикации 4. Реализация способа возможна с помощью устройства, изображенного на фиг. 2, которое работает следующим образом. На вход аналого-цифрового преобразователя (АЦП) 2 поступает напряжение со входа 1, закон изменения которого описывается формулой (1). В момент времени t1 после начала переходного процесса по команде с микропроцессорного контроллера (MПK) 3 АЦП 2 измеряет первое мгновенное значение переходного процесса. Код, пропорциональный измеренному значению переходного процесса, поступает в МПК 3. В момент времени 2t1 по команде с МПК 3 АЦП 2 измеряет второе мгновенное значение переходного процесса, и результат измерения передается в МПК 3. В момент времени 3t1 по команде с МПК 3 АЦП 2 измеряет третье мгновенное значение переходного процесса и результат измерения передается в МПК 3. В момент времени 4t1 по команде с МПК 3 АЦП 2 измеряет четвертое мгновенное значение переходного процесса и результат измерения поступает в МПК 3. После чего микропроцессорный контроллер 3 по измеренным значениям переходного процесса производит по формулам (20-23) вычисление значений постоянной составляющей А0, крутизны линейно изменяющейся составляющей А1, установившегося значения А2 и постоянной времени возрастающей экспоненциальной составляющей переходного процесса. С МПК 3 результаты вычислений поступают на блок цифровой индикации 4.
Предлагаемый способ, по сравнению с прототипом, позволяет повысить точность и быстродействие определения параметров переходного процесса.
Предлагаемый способ может быть использован в различных областях промышленности при исследовании процессов различной физической природы, описывающихся функцией, состоящей из суммы постоянной, линейно изменяющейся и возрастающей экспоненциальной составляющих. В частности, изобретение может найти применение в нефтяной и газовой промышленности при измерении различных технологических параметров с помощью емкостных и индуктивных датчиков, выходные функции которых содержат постоянную, линейно изменяющую и возрастающую экспоненциальные составляющие.
Формула изобретения
возрастающей экспоненциальной составляющей переходного процесса по формулам![]() ![]() ![]() ![]() где t1 – первый момент времени измерения переходного процесса; U1, U2, U3 и U4 – первое, второе, третье и четвертое мгновенные значения переходного процесса соответственно. РИСУНКИ
MM4A Досрочное прекращение действия патента Российской Федерации на изобретение из-за неуплаты в установленный срок пошлины за поддержание патента в силе
Дата прекращения действия патента: 14.06.2003
Извещение опубликовано: 7.04.2005 БИ: 12/2005
|
||||||||||||||||||||||||||

возрастающей экспоненциальной составляющей переходного процесса по формулам:



составляющих, описывается выражением








0 и выразив переменную А0 получим












