Патент на изобретение №2187538
|
||||||||||||||||||||||||||
(54) СПОСОБ ИДЕНТИФИКАЦИИ НЕФТЕПРОДУКТА С ИСПОЛЬЗОВАНИЕМ МАРКЕРА И ПРОЯВЛЯЮЩЕГО РЕАГЕНТА
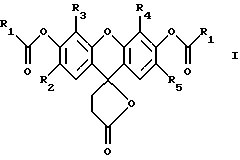
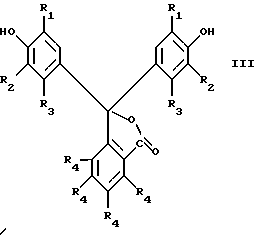
(57) Реферат: Изобретение относится к идентификации нефтепродуктов с использованием реагентов для проявления цвета или флуоресценции вводимых в нефтепродукты маркеров. Способ включает получение пробы нефтепродукта, содержащего реагирующие на основания маркер, добавление к указанной пробе проявляющего реагента, содержащего основания четвертичного алкиламмония и полученного растворением в растворимом в топливе неводном растворителе. При этом добавление проявляющего реагента к пробе осуществляют без экстракции маркера с возможностью взаимодействия проявляющего реагента с маркером, приводящего к появлению окраски и флуоресценции. Достигается повышение эффективности идентификации нефтепродукта. 10 з.п. ф-лы, 1 табл. ОБЛАСТЬ ТЕХНИКИ Изобретение относится к идентификации нефтепродуктов с использованием реагентов для проявления цвета или флуоресценции вводимых в нефтепродукты маркеров. В одном из своих предпочтительных вариантов изобретение предусматривает также устранение цвета проявленного маркера для восстановления первоначального вида топлива, так что оно может быть использовано вместе с маркированным, но непроявленным топливом. В результате отпадает необходимость накопления и утилизации потенциально вредного экстракта маркера. УРОВЕНЬ ТЕХНИКИ В течение определенного времени стало принято маркировать или метить нефтепродукты, в особенности топливо, масло для нагревательных элементов и производные продукты, с помощью бесцветных или имеющих бледный цвет химических соединений, присутствие которых в топливе трудно обнаружить визуально. Для того, чтобы эти маркеры стали видимыми, помеченное топливо смешивают с водным или спиртовым раствором сильного основания, например алифатических аминов или гидроксидов щелочных металлов. Это создает окрашенный анион, выделяющийся из относительно неполярного топлива в несмешивающуюся полярную водную или спиртовую фазу, где он может наблюдаться или может быть подвергнут количественному анализу. Эта выделенная фаза классифицируется как вредные отходы и представляет проблему безопасности и разрешенной законом утилизации, в особенности, когда тестирование производится “в полевых (дорожных) условиях”. Кроме того, топливо, с которым это вещество контактировало, может содержать воду, что делает его смешивание с общей массой топлива нежелательным и создает тем самым дополнительную проблему утилизации отходов. Как отмечено выше, маркер – это вещество, которое может быть использовано для маркировки нефтепродуктов для их последующей идентификации. Маркер растворяют в подлежащей идентификации жидкости и затем детектируют с помощью простых физических или химических тестов на маркированной жидкости. Иногда маркеры используются правительством для проверки уплаты соответствующего налога на соответствующий сорт топлива. Нефтяные компании также маркируют свою продукцию, чтобы помочь в выявлении тех, кто разбавляет или модифицирует их продукты. Эти компании часто идут на большие затраты для того, чтобы обеспечить уверенность в соответствии их маркированных нефтепродуктов установленным стандартам, например, по летучести и октановому числу, а также для того, чтобы снабдить эти продукты эффективными добавками, включающими детергенты и другие компоненты. Покупатели полагаются на наименования и качественные характеристики продукта, чтобы иметь уверенность в наличии желаемого качества у приобретенного продукта. Неразборчивые в средствах продавцы бензина могут увеличить свои прибыли путем продажи продуктов низкого качества по цене, которую покупатели готовы платить за высококачественный продукт известной марки. Более высокие доходы могут быть также получены просто путем разбавления продукта известной марки продуктом более низкого качества. Уличить продавцов, которые заменяют один продукт другим или смешивают продукты известной марки с продуктами более низкого качества, в случае с бензином довольно сложно, так как в смешанных продуктах будут присутствовать все компоненты, присущие продуктам соответствующей марки. Ключевые добавки, вводимые в продукты известных марок, в общем случае присутствуют в таких маленьких количествах, что проведение количественного анализа для выявления разбавления продуктом низкого качества является очень трудной, требующей затрат времени и дорогостоящей операцией. Маркерные системы для топлива и других нефтепродуктов и соответственно способы идентификации марок топлива и других нефтепродуктов с использованием маркеров, в частности тимолфталеина, известны, например, из патента Великобритании 361310, 1931 г. и Европейского патента 0543057, 1993 г. В качестве маркирующего вещества используется также флуоресцеин, применяемый, в частности, в форме его солей, растворимых в воде, для естественных и искусственных каналов течения воды, при производстве трассировки каналов, рек, канализационных систем. Он используется также как диагностический маркер в сосудистых системах человека. Обычно он представляет собой желтоватый краситель и ценится за легкость детектирования, обеспечивая значительную флуоресценцию даже при очень малой концентрации. Эта флуоресценция наблюдается при естественном и соответствующем искусственном освещении, особенно под действием длинноволнового ультрафиолетового излучения или под лампой “темного света”. С помощью спектрофлуориметра можно регистрировать концентрации флуоресцеина вплоть до одной части на миллиард (10-9 г/мл). Флуоресцеин известен также своей низкой токсичностью и легкостью биологического разрушения. Однако сам по себе флуоресцеин малопригоден для использования в качестве маркера для топлив на основе нефтепродуктов, поскольку он легко разделяется между водой и нефтепродуктом. Если топливо, содержащее флуоресцеин, находится в контакте с водой, как это часто случается при хранении продуктов в емкостях, это соединение разделяется между двумя фазами и становится бесполезным в качестве количественного нефтяного маркера. В связи с этим в одном из известных способов идентификации нефтепродукта в качестве маркера предложено использовать диэфир флуоресцеина (см. патент ФРГ 1643464, 1976 г.). Наиболее близким аналогом настоящего изобретения является способ идентификации нефтепродукта, содержащего маркер (хиназарин), реагирующий на основания, описанный в заявке Франции 2141667, 1973 г. Данный способ предусматривает получение пробы указанного нефтепродукта и добавление к указанной пробе проявляющего реагента, содержащего основание. Известным способам идентификации нефтепродуктов присущи серьезные недостатки, которые существенно ограничивают их эффективность. Например, многие из них утрачивают со временем свою эффективность, в результате чего значительно затрудняется их детектирование после длительного хранения. Кроме того, реактивы, используемые для проявления цвета маркера, часто создают трудности в обращении или порождают проблемы утилизации отходов. Более того, некоторые маркирующие реагенты легко разрушаются в воде. Это приводит к тому, что маркеры теряют свою эффективность при хранении в емкостях, содержащих некоторое количество воды, и в результате выпадают в осадок, от которого трудно избавиться. СУЩНОСТЬ ИЗОБРЕТЕНИЯ В настоящем изобретении решена техническая задача создания эффективного способа идентификации нефтепродукта путем детектирования или проявления топливных маркеров, реагирующих с основаниями. Как и некоторые известные способы аналогичного назначения, данный способ включает операции получения пробы нефтепродукта, содержащего реагирующий на основания маркер и добавления к указанной пробе проявляющего реагента. Проявляющие реагенты, используемые в способе по настоящему изобретению, содержат гидроксид или алкоксид четвертичного аммония или тетраалкиламмония в соответствии со следующей формулой: ![]() где R1, R2, R3, и R4 – одинаковые или различные алкильные или бензильные группы, a R5 – водород или алкильная группа. Четвертичные соли гидроксидов или алкоксидов тетраалкиламмония, предложенные согласно настоящему изобретению, серийно выпускаются химическими компаниями, например, RSA Corporation. Технология получения таких соединений в коммерческих масштабах, таким образом, известна. Эти соли почти всегда производятся в растворах, потому что их обычно трудно производить и использовать в виде твердых веществ. Хотя большинство из них выпускается в виде водных растворов, в настоящем изобретении предлагается формировать их в виде растворов в неводном растворителе, который может смешиваться с углеводородными топливами (т. е. растворяться в них). Подходящие растворители включают алифатические или ароматические спирты, гликоль и гликолевые простые эфиры. Для этой цели удобно использовать низшие спирты, например, метанол, этанол и пропанол, в особенности, если тестируемым нефтепродуктом является бензин. Для использования с другими нефтепродуктами, например при использовании с маркированными дизельными топливами, предпочтительными являются менее летучие растворители, например ароматические спирты, гликоли и гликолевые простые эфиры. В общем случае, простые моноэфиры алкилгликоля наиболее подходят в этом отношении и особенно моно-n-пропиловый простой эфир, обеспечивающий желаемое сочетание свойств, включая хорошую растворимость и смешиваемость с топливами, полученными из нефтепродуктов, меньшее давление пара при температурах окружающей среды, что делает минимальным воздействие на человека и огнеопасность, и относительно низкую острую токсичность. Концентрация оснований четвертичного алкиламмония (тетраалкиламмония) в растворах, согласно настоящему изобретению, может варьироваться в широких пределах. Предпочтительно, чтобы присутствовало достаточное количество основания для участия в реакции со всем количеством маркера в пробе топлива. Из практических соображений раствор 1-10%, предпочтительно 5-10% основания четвертичного аммония в спирте рассматривается желательным для коммерческого использования. Спиртовой растворитель таким образом будет составлять 90-99% неводного раствора. Второе важное отличие способа по настоящему изобретению заключается в том, что добавление проявляющего агента к пробе осуществляют без экстракции маркера, с обеспечением возможности указанному проявляющему агенту и маркеру прореагировать между собой непосредственно в пробе, с образованием пробы, содержащей проявленный маркер, обладающий окраской или флуоресценцией. Кроме того, в своем предпочтительном варианте способ дополнительно включает операцию добавления к указанной пробе, после проявления окраски или флуоресценции, кислоты, растворимой в указанном нефтепродукте, для устранения проявленной окраски или флуоресценции. Эту кислоту целесообразно выбрать из группы, содержащей органические карбоновые кислоты. Отсутствие в предлагаемом способе операции экстракции маркера и возможность устранения проявленной окраски или флуоресценции позволяет дополнительно предусмотреть операцию возвращения проявленной пробы в нефтепродукт, из которого она была взята. Благодаря этому отпадает проблема утилизации или вторичной обработки вредных отходов, содержащих экстрагированный маркер. Проявляющие реагенты, применяемые в способе по настоящему изобретению, предназначены для использования с широким рядом маркеров, взаимодействующих с основаниями. Маркеры являются по существу невидимыми в жидких нефтепродуктах при использовании, но обеспечивают появление характерного цвета и/или флуоресценции при контакте с соответствующим проявляющим реагентом. Процедура проявления окрашивания или флуоресценции является простой в выполнении в полевых условиях, и реагенты, используемые для проявления окраски, легки в обращении и утилизации отходов. Маркеры, которые могут использоваться в способе по настоящему изобретению, включают гидроксифталеины и производные фуранона, как описано ниже. В дополнение, в рамках настоящего изобретения могут использоваться маркеры, описанные в патентах США 5156653; 5205840; 4764474 и 4735631, содержание которых включено в данное описание путем ссылки на них. В частности, предпочтительный вариант маркера представляет собой производную 2(3Н)-фурана, в котором пятый углеродный атом является частью ксантеновой системы: ![]() где R1 – алкильная группа, содержащая от одного до восемнадцати атомов углерода, или арильная группа. R2, R3, R4 и R5 – водород, хлор, бром или C1-C12 алкил. Радикалы R1 могут быть одинаковыми или различными группами и R2-R5 также могут быть одинаковыми или различными соответствующими группами. Алкильные группы могут быть прямыми или разветвленными. Углеродные атомы 1 и 2 (3Н) фуранового кольца могут быть насыщенными или между ними может существовать этиленовая связь. Водородные атомы, присоединенные к таким атомам углерода, могут быть заменены частично или полностью алкильными группами. Другие маркеры, которые могут быть использованы – это органические сложные эфиры флуоресцентных красителей гидроксифталеинового подкласса ксантеновых красителей, согласно классификации в “Color Index”, издание третье, 1975 г. Обычно их относят к органическим сложным эфирам флуоресцеина (C20H12O5). Наиболее предпочтительными являются сложные эфиры 3′,6′-дигидрокси-Спиро-(изобензофуран-1(3Н), 9′(9Н)-ксантен)-3-он, обычно называемый Флуоресцеином, структурная формула которого имеет следующий вид: ![]() где R1 – алкил, содержащий 1-18 атомов углерода, или арильная группа. Предпочтительными являются сложные эфиры флуоресцеина, в которых 1′, 2′, 4′, 5′, 7′ и 8′ и 4, 5, 6, 7 атомы водорода ароматического кольца замещаются недиссоциирующими заместителями, такими как алкильные группы, водород, хлор или бром. В частности, настоящее изобретение включает упомянутые выше соединения, в которых радикалами R2, R3, R4 и R5 являются водород, хлор, бром или C1-C12 алкил и R6 – водород, хлор или бром. R1-R6 могут быть одинаковыми или различными группами, и алкильные группы могут быть простыми или разветвленными. Во многих областях применения предпочтительными радикалами R2-R6 является водород, a R1 – предпочтительно C1-C4 алкильная группа. Преобразование флуоресцеина в органический сложный эфир двухосновной кислоты позволяет минимизировать или полностью исключить обесцвечивание (разделение) от воздействия воды, благодаря использованию эфирообразующего реагента. Такой эфир может быть получен из органической кислоты, ее ангидрида или галоида, содержащих от одного до восемнадцати атомов углерода. Другое достоинство этерификации заключается в том, что бледно-желтый цвет, присущий самому флуоресцеину, еще более ослабляется в качественных продуктах и может полностью исчезнуть в очищенном материале. Это делает наличие маркирующего вещества в маркируемом продукте невидимым для человеческого глаза. Поэтому этерификация устраняет опасность “затенения” маркером различных цветных реагентов, которые могут добавляться в продукт в соответствии с требования правил продажи или для других целей. Предлагается также включить в состав маркера по меньшей мере одно соединение, выбранное из группы, состоящей из: ![]() ![]() где R1 является алкильной либо алкоксильной группой, содержащей от 1 до 8 атомов углерода; R2 и R3 – водород, алкильная или алкоксильная группы. R4 – любое сочетание брома, хлора, или водорода, и R5 – это атом водорода, алкильная либо алкоксильная группа, содержащая C1-C8. Для создания неводного раствора маркера предпочтительно используют от 50% до 95% растворителя и от 5% до 50% маркера. При этом желательно, чтобы растворитель состоял на 40% из апротонного растворителя и на 60% из ароматического растворителя, причем ароматический растворитель являлся бы растворимым в маркируемом нефтепродукте. СВЕДЕНИЯ, ПОДТВЕРЖДАЮЩИЕ ВОЗМОЖНОСТЬ РЕАЛИЗАЦИИ ИЗОБРЕТЕНИЯ Соединения-маркеры в соответствии с формулами I и II могут быть синтезированы с помощью любого из обычных способов этерификации фенольных гидроксильных групп. Они включают прямую этерификацию с помощью кислот, реакцию с галоидангидридами, в особенности с хлорангидридами, и, наиболее существенно, посредством реакции с ангидридами карбоновой кислоты. В общем, предпочтительная техника включает реакцию гидрокисиксантена с ацелирующим реагентом в водной или безводной среде в зависимости от реагентов. Сложные эфиры, полученные из низших алифатических карбоновых кислот, представляют собой относительно тугоплавкие твердые вещества и благодаря этому могут быть выделены. Сложные эфиры более высоких карбоновых кислот являются либо более легкоплавкими твердыми веществами, либо вязкими жидкостями, которые можно отделить с помощью соответствующих растворителей. Предпочтительная формула маркеров, получаемых в реакции этерификации, имеет следующий вид: ![]() где R1 является либо С1-C18 алкильной группой, либо арильной группой. Предпочтительно, 1 соответствует C1-С4 в простой или разветвленной форме. Применительно к идентификации многих нефтепродуктов радикалы R2-R6 являются предпочтительно водородом. Наличие в углеродных кольцах галогенных атомов определяет цветовые и флуоресцентные нюансы по окончании гидролиза сложного эфира. Атомы брома, например, окрашивают продукт в более красный цвет, чем атомы водорода. Сложные эфиры, используемые в качестве маркеров, могут быть получены и использованы в сухом виде (обычно в виде порошка, кристаллов или хлопьев) или в жидкой форме. Жидкие формы оказываются более предпочтительными с точки зрения обращения с ними. При осуществлении настоящего изобретения сложные эфиры могут быть получены и использованы непосредственно в жидком виде, без добавления растворителей, однако часто предпочтительнее комбинировать маркер с растворителем, который сам легко растворяется в маркируемом нефтепродукте. Соответственно, до смешивания со многими нефтепродуктами маркер может быть обычным образом растворен в растворителе, полностью совместимом с маркируемым нефтепродуктом. В случае жидких нефтепродуктов подходящими растворителями являются ароматические углеводороды (в особенности алкилированные бензолы, такие как ксилол и нафталины), ароматические спирты, в особенности бензиловый спирт, и апротонные растворители, подобные формамиду, N,N-диметилформамиду, N, N-диметилацетамиду или 1-метил-пирролидону. Эти растворители могут использоваться либо самостоятельно, либо преимущественно в виде подходящих комбинаций. Апротонные растворители особенно полезны как растворители, комбинируемые с ароматическими или ароматическими спиртовыми растворителями. Именно при комбинировании соответствующих растворителей вышеупомянутые эфиры образуют стабильные жидкие композиции, которые легко растворяются в нефтепродуктах, т.е. являются полезными для осуществления способа по настоящему изобретению. Например, особенно полезна композиция, содержащая примерно 0,5-10% маркера, примерно 70-80% ароматического углеводородного растворителя и примерно 10-30% ароматического растворителя (по весу), так как она легко растворяется и стабильна во многих жидких нефтепродуктах, т.е. остается растворенной в нефтепродукте в течение коммерчески значимого времени. Стабильность, текучесть жидких маркерных соединений делают их особо привлекательными для нефтяной промышленности по сравнению с сухими или твердыми формами главным образом потому, что жидкости более легки в обращении. Однако могут использоваться и твердые и сухие формы маркеров. Дополнительные маркеры, используемые совместно с проявляющими реагентами в способе согласно настоящему изобретению, представлены следующей формулой: ![]() где R1 является алкильной либо алкоксильной группой, содержащей от 1 до 8 атомов углерода; R2 и R3 – водород, алкильная или алкоксильная группы; R4 – любое сочетание брома, хлора, или водорода. Предпочтительно, чтобы общее количество углеродных атомов вместе в R1, R2 и R3 не превышало 12. Они известны как производные 1(3Н)-изобензофурана. В альтернативном варианте атомы углерода R2 и R3 могут образовывать часть системы нафталинового кольца как показано ниже: ![]() где R5 – это атом водорода, алкильная либо алкоксильная группа, содержащая от 1 до 8 атомов углерода, a R4 – то же самое, что и описанное выше. Вышеуказанные композиции маркеров согласно формулам III и IV могут быть синтезированы с помощью любого известного способа, включая, например, конденсацию молярного эквивалента 1,2-фталевой кислоты или, предпочтительно, ее ангидрида, с двумя молярными эквивалентами 2-алкилфенола или 1-нафтола, где атом углерода в 4 позиции относительно ароматической гидроксильной группы в 1 позиции может участвовать в реакции. Фактическая реакция конденсации вызывается воздействием тепла, предпочтительно в присутствии дегидратирующей кислоты типа ортофосфорной кислоты, серной кислоты или метансульфо кислоты, или воздействием галоида металла типа реактива в синтезе Фриделя-Крафтса, в особенности хлорида алюминия, хлорида олова или хлорида цинка. Последний из перечисленных катализаторов особенно эффективен, когда используется в технологии синтеза, рекомендованной для синтеза фенолфталеина в патентах США 2522939 и 2522940, содержание которых включено в настоящее описание путем ссылки на них. Сочетание дегидратирующей кислоты и галоида металла, используемого в синтезе Фриделя-Крафтса, также дает удовлетворительные результаты. Процедуры, изложенные в упомянутых патентах США 2522939 и 2522940, могут использоваться в общем случае для получения соединений согласно формулам III и IV. Соединения согласно формулам III и IV могут использоваться в сухом виде, в виде порошка или кристаллов, или в виде концентрата раствора жидкости. Жидкие формы обычно являются предпочтительными с точки зрения удобства обращения. Для получения концентрата раствора жидкости, содержащего маркер, вещество-маркер растворяют в растворителе, имеющем высокую растворимость в нефтепродуктах. Подходящие растворители для использования с жидкими нефтепродуктами включают, например, ароматические углеводороды, в особенности алкилированные бензолы, например ксилол и нафталины, ароматические спирты, в особенности бензиловый спирт и простой эфир фенолгликоля; и апротонные растворители, подобные формамиду, N,N-диметилформамиду, N,N-диметилацетамиду или 1-метил-пирролидону. Эти растворители могут использоваться либо самостоятельно, либо, предпочтительно, в виде подходящих комбинаций. В комбинации с соответствующими растворителями маркеры, используемые при реализации настоящего изобретения, образуют стабильные жидкие композиции, легкорастворимые в нефтепродуктах. Наличие соединений маркеров в виде стабильных текучих жидкостей делают их значительно более привлекательными для нефтяной промышленности по сравнению с сухими или твердыми формами, главным образом потому, что жидкости более легки в обращении. Однако могут использоваться и твердые и сухие формы маркеров. Одной из конкретных форм маркеров, которая может быть использована в способе по изобретению, является тимолфталеин. Его структура представлена следующей формулой: ![]() Он может быть получен путем конденсации одного молярного эквивалента фталевой кислоты или ее ангидрида с двумя молярными эквивалентами 2-изопропил-5-метилфенола (тимола) в присутствии дегидратирующего реагента, например фосфорной кислоты, хлорида олова или хлорида цинка. Соединение образуется с хорошим выходом продукта с помощью процедур, рекомендованных для получения фенолфталеина, как изложено в патенте США 2522939. Тимолфталеин может использоваться в сухом виде, в виде порошка или кристаллов, или в виде концентрата раствора жидкости. Для получения концентрата раствора жидкости, содержащего маркер, вещество-маркер растворяют в растворителе, имеющем высокую смешиваемость с подлежащими маркировке нефтепродуктами. Так как прямая растворимость тимолфталеина в нефтепродуктах – простых углеводородах – в определенной мере ограничена, предпочтительно включить в композицию растворителя апротонный растворитель, особенно предпочтительно 1-метил-2-пирролидон, который резко увеличивает растворимость тимолфталеина в углеводородах. Другие подходящие растворители включают, например, ароматические углеводороды, в особенности алкилированные бензолы, например, ксилол и нафталины, ароматические спирты, в особенности бензиловый спирт и простой эфир фенолгликоля; и другие апротонные растворители, в особенности формамид, N,N-диметилформамид и N,N-диметилацетамид. Концентрат раствора жидкости, содержащего любой вышеуказанный маркер, будет в общем случае содержать примерно 5%-50% вещества-маркера (по весу) и примерно 50%-95% растворителя (по весу). Предпочтительные диапазоны для раствора составляют 15%-25% маркера и 75%-85% растворителя (по весу). Подходящие растворители включают как апротонные, так и ароматические растворители. Количество апротонного растворителя в растворе зависит от количества добавленного маркера, вязкости раствора, относительной стоимости используемого апротонного растворителя, а также от других известных факторов. Ароматический растворитель или сорастворители, используемые в конкретных концентратах раствора жидкости, выбирают на основе типа нефтепродукта, подлежащего маркировке. Например, более летучий растворитель выбирают для маркировки бензинов, а менее летучий растворитель используют в жидких концентрированных растворах для маркировки дизельного топлива или топлива для отопления жилых домов. В сочетании с соответствующими растворителями тимолфталеин и другие соединения, используемые согласно настоящему изобретению, образуют стабильные жидкие композиции, легко растворимые в нефтепродуктах. Наличие соединений маркеров в виде стабильных, текучих жидкостей делает их значительно более привлекательными для нефтяной промышленности по сравнению с сухими или твердыми формами главным образом потому, что жидкости более легки в обращении. Однако могут использоваться и твердые и сухие формы маркеров. Маркеры, реагирующие на основания, согласно настоящему изобретению могут добавляться в любые жидкие нефтепродукты, например топлива, жидкие и консистентные смазки. В качестве примеров жидких нефтепродуктов, которые могут быть маркированы и идентифицированы согласно настоящему изобретению, могут быть названы бензин, дизельное топливо, топливный мазут, керосин и осветительное масло. Полученные маркеры на основе сложных эфиров после проявления детектируются визуально в широком диапазоне концентраций, но предпочтительно при уровне по меньшей мере примерно от 0,5 м.д. до 5 м.д., а наиболее предпочтительно при уровне концентрации от 0,5 до 100 м.д. Другие маркеры, описанные и включенные в настоящее описание, также работают в тех же диапазонах концентраций. Так как рассматриваемые маркеры в нефтепродуктах бесцветны, их наличие определяют, согласно настоящему изобретению, путем реакции с проявителем, или проявляющим реактивом. Проявляющий реактив в соответствии с настоящим изобретением должен содержать гидроксид или алкоксид четвертичного аммония, представленный следующей формулой: ![]() где R1, R2, R3, и R4 – одинаковые или различные алкильные группы, предпочтительно содержащие от 1 до 12 атомов углерода, в особенности метильные, этильные, пропильные, бутильные или бензильные группы, или их любое сочетание, a R5 – водород или алкильная группа. В случае, если R5 – алкильная группа, она предпочтительно должна содержать от 1 до 8 атомов углерода. Четвертичный гидроксид аммония в общем случае является предпочтительным для коммерческого использования. Предпочтительными компонентами проявляющего реагента являются гидроксид тетраметиламмония, гидроксид тетраэтиламмония, гидроксид тетрапропиламмония, гидроксид тетра-n-бутиламмония, метилат бензилтриметиламмония. Все указанные компоненты изготавливаются серийно под своими химическими наименованиями. При осуществлении способа по настоящему изобретению берут пробу нефтепродукта, содержащего реагирующий на основания маркер, и соединяют с проявляющим реагентом согласно настоящему изобретению. Добавление проявляющего реагента в пробу и добавление пробы к проявляющему реагенту рассматриваются как равнозначные операции. Показатель рН проявляющего реактива имеет значение примерно 10-14, предпочтительно 11-13. При контакте маркеров с предложенными основаниями немедленно образуется имеющее яркий цвет или флуоресценцию соединение, предположительно дианион. Интенсивность окраски дианиона обеспечивает легкое визуальное детектирование. Учитывая, что требуется лишь количественная индикация наличия маркера, окрашенное “проявленное” топливо может быть вновь возвращено в исходный резервуар. Таким образом, проявляющий реагент и маркер сгорают или используются иным образом вместе с тестированным нефтепродуктом, так что не возникает никаких потенциально вредных отходов, например, при дорожном тесте, для накопления и последующей утилизации. Маркеры, описанные и включенные в настоящее описание, могут смешиваться вместе и не требуют раздельного использования. Особенный интерес вызывает сочетание маркеров в соответствии с Формулами I и II, которые способны к флуоресценции, с маркерами в соответствии с Формулами III и IV. Эти сочетания могут обеспечить композиции, которые при проявлении с помощью проявляющего реактива становятся двухцветными. Примером является сочетание тимолфталеина (Формула V), который при проявлении дает синий цвет, если используется отдельно, и маркера согласно Формуле II, где R1 – это С3Н7, a R2-6 – это Н, который при проявлении дает желтый цвет с зеленой флуоресценцией при использовании отдельно. При проявлении этих маркеров согласно настоящему изобретению с помощью сильного основания, предпочтительно с помощью проявляющего реагента, наблюдается зелено-синий дихроичный эффект. Проявленная проба одновременно имеет синий цвет в проходящем свете и зеленый цвет в отраженном свете. При использовании проявляющего реагента, предложенного настоящим изобретением, особенно в спиртовом растворе гидроксида тетраалкиламмония, цвет или флуоресценция маркера может быть сделана ясно видимой и тестирование может быть выполнено без извлечения из нефтепродукта. Кроме того, в конце теста эффект проявления реагента может быть изменен в противоположном направлении путем добавления небольшого количества совместимой с топливом кислоты, в особенности карбоновой кислоты. Топливо может быть возвращено в общую массу топлива, тем самым минимизируя или устраняя проблемы утилизации вредных отходов. Небольшие количества проявляющего реагента, в особенности четвертичного аммониевого основания или его соли, с карбоновой кислотой, не оказывают какого-либо неблагоприятного воздействия на качества горючести топлива и сгорают вместе с топливом без создания каких-либо проблем, связанных с токсичностью продуктов сгорания топлива. Перед возвращением проявленной маркером пробы в исходный резервуар цвет проявленного маркера может быть устранен путем добавления растворимой в топливе кислоты, предпочтительно органической карбоновой кислоты, например, олеиновой кислоты, изостеариновой кислоты или 2-этилкапроновой кислоты. Таким образом, топливо в исходном резервуаре не будет иметь цветового загрязнения при добавлении “проявленного” топлива, которое может содержать не вступивший в реакцию проявляющий реактив. В случае, если цвет проявленного маркера “смазывается” в нефтепродуктах другими цветными добавками, маркер может быть активизирован визуально выделением его из проявленного топлива в некоторую экстрагирующую среду. В качестве такой среды можно добавлять воду, но обычно используют смесь воды с сильными разделителями фаз, такими как алифатические спирты, гликоли или гликолевые простые эфиры. Использование разделителя фаз обеспечивает легкое разделение водной и органической фаз. Кроме того, для стабилизации окрашенной пробы в экстрагируемой среде могут присутствовать другие вещества, например рН буферные соли. Предпочтительно смеси экстрагирующей среды могут также содержать соединения гидроксида четвертичного аммония для обеспечения более простого способа проявления цвета при образовании дианиона и для получения подходящей экстрагирующей среды, в которую может быть немедленно экстрагирован проявленный дианион. Разумеется, могут быть использованы и другие сильные основания, в особенности гидроксиды щелочных металлов. Экстрагированная фаза может визуально наблюдаться по качественному определению присутствия маркера. При особо малых концентрациях (примерно 1-500 частей на миллиард) флуоресценция маркеров может быть визуально усилена облучением экстрагированного маркера длинноволновым ультрафиолетовым излучением. В альтернативном варианте выделенный маркер можно детектировать качественно и количественно с помощью спектрофотометрии видимой части спектра или, в случае флуоресцентных маркеров, с помощью спектрофлуорометрии. Преимущество технологии экстрагирования заключается в возможности получения концентрата маркера из топлива на базе нефтепродуктов, за счет чего повышается чувствительность тестовых процедур. Следующие примеры 1-42 иллюстрируют использование маркеров вместе с проявляющими реагентами в способе согласно настоящему изобретению. Примеры 43-52 иллюстрируют проявляющие реагенты, предназначенные для осуществления способа согласно настоящему изобретению. ПРИМЕР 1 33,2 г флуоресцеина добавляют с непрерывным перемешиванием в колбу объемом 150 мл, содержащую 200 г охлажденной уксусной кислоты и 25 г уксусного ангидрида. Затем добавляют 0,3 г концентрированной серной кислоты и перемешивание прекращают. Затем содержимое бутыли нагревают до кипения. Процесс кипячения продолжают до тех пор, пока весь флуоресцеин не преобразуется в соответствующий диацетатный сложный эфир, что проверяют с помощью метода тонкослойной хромотографии. После этого содержимое колбы охлаждают ниже точки кипения и добавляют медленно при непрерывном встряхивании к 600 мл холодной воды. Смесь встряхивают для обеспечения гидролиза не прореагировавшего уксусного ангидрида, после чего продукт восстанавливают фильтрацией с помощью воронки Бюхнера, промывают от уксусной кислоты дистиллированной водой и высушивают до постоянного веса при 105oС. Продукт получают в виде кремово-белых кристаллов при почти точном количественном выходе продукта. Полученное соединение имеет точку плавления 199-203oС. ПРИМЕР 2 Вышеизложенную процедуру повторяют, заменяя 33,2 г флуоресцеина 50 г ди-n-гексилфлуоресцеина. Конечный продукт, 2,7-ди-n-гексил-3,6-диацетоксифлуоресцеин, получают в виде желтовато-кремового твердого вещества. ПРИМЕР 3 Процедуру Примера 1 повторяют, заменяя 33,2 г флуоресцеина 65 г 2,4,5,7-тетрабромфлуоресцеина. Продукт, 2,4,5,7-тетрабром-3,6-диацетоксифлуоресцеин, получают в виде бледно-желтого порошка. ПРИМЕР 4 Процедуру Примера 1 повторяют, заменяя 33,2 г флуоресцеина 79,0 г 4,5,6,7-тетрахлор-2,4,5,7-тетрабромфлуоресцеина. Конечный продукт, диацетиловый сложный эфир исходного материала, является бледно-желтым порошком. ПРИМЕР 5 Процедуру Примера 1 повторяют, заменяя 25 г уксусного ангидрида 40 г масляного ангидрида. Процедура этерификации проходит несколько медленнее, но в конце процесса получают ди-n-бутоксифлуоресцеин. ПРИМЕР 6 33,2 г флуоресцеина, помещенного в 500 мл колбу, растворяют в 600 мл холодной воды, добавляя 16 г 50% раствора едкого натра. После этого добавляют 12 г безводного карбоната натрия, после чего добавляют 160 мл ксилолового растворителя. Затем двухфазную систему встряхивают при 20-25oС в течение 60 мин, добавляя по каплям 40 г масляного ангидрида. В процессе этерификации флуоресцеина интенсивность окрашивания и флуоресценции более низкой водной фазы уменьшается и продукт растворяется в ксилоле с образованием бледно-желтого, нефлуоресцирующего раствора. По окончании добавления масляного ангидрида реакционную смесь нагревают до 50-55oС до тех пор, пока тонкослойная хроматография не укажет на завершение процесса этерификации. Две фазы разделяют и более низкую водную фазу, содержащую явный след непрореагировавшего флуоресцеина, удаляют. В оставшуюся верхнюю ксилоловую фазу добавляют 50 г 1-метилпирролидона. Содержимое колбы затем помещают в вакуум и остатки воды и ксилола азеотропно отгоняют до тех пор, пока реакторная масса не достигнет веса 165 г. Этот почти бесцветный раствор дибутилового сложного эфира флуоресцеина фильтруют и помещают на хранение. Данный раствор обладает большим сопротивлением кристаллизации даже при хранении в течение 3 месяцев при -18oС. ПРИМЕР 7 Повторяют процедуру Примера 6, заменяя n-масляный ангидрид равным по весу изо-масляным ангидридом. Получают аналогичный продукт, за исключением того, что он обладает еще более высоким сопротивлением кристаллизации при длительном хранении при низких температурах. ПРИМЕР 8 В процедуре Примера 6 заменяют 40 г масляного ангидрида 47 г ангидрида триметилуксусной кислоты. Конечный сложный ди(1,1,1-триметилацетиловый) сложный эфир флуоресцеина представляет бесцветное твердое вещество по существу с такими же маркерными свойствами, как и ди-бутиловый сложный эфир Примера 6. ПРИМЕР 9 В процедуре Примера 6 33,2 г флуоресцеина заменяют 50,8 г 4,5,6,7 тетрахлорфлуоресцеина. Конечный продукт представляет бледно-желтый раствор, который является менее стабильным при длительном хранении в охлажденном состоянии по сравнению с продуктом Примера 6. ПРИМЕР 10 20 г флуоресцеиндиацетата, приготовленного, как в Примере 1, встряхивают с 50 г продукта растворителя Exxon Aromatic 200 и добавляют 30 г 1 метилпироллидона. Смесь нагревают до 27oС до тех пор, пока не растворится весь эфир; горячий раствор фильтруют и помещают в бутыль. Полученный раствор обнаруживает лишь слабую склонность к кристаллизации при продолжительном хранении при -18oС.
ПРИМЕР 1150 г флуоресцеиндибутирата, приготовленные способом, описанным в Примере 4, растворяют в 50 г 1 метилпироллидона при медленном нагревании. Отфильтрованный раствор обладает исключительной стабильностью хранения при -18oС. ПРИМЕР 12 33,2 г флуоресцеина добавляют в 150 мл пиридина, в который добавлены 36 г 2-этил-гексаноилхлорида. Смесь нагревают до флегмы (125oС) и кипятят в течение ночи. Анализ пробы реакторной смеси на следующее утро с помощью тонкослойной хроматографии показывает, что образование диэфира закончилось. Затем реакционную смесь вливают в 1 литр холодной воды и доводят рН до 3 с помощью соляной кислоты. Продукт в виде коричневого масла выделяют с помощью толуола. Из раствора толуола под вакуумом удаляют все летучие вещества и получают 65 г коричневого масла, легко растворимого в ксилоле с образованием светло-коричневого раствора. ПРИМЕР 13 11 г 2(3Н)-производной фурана, известной как сукцинфлуоресцеин, приготовленные путем конденсации одного молярного эквивалента янтарного ангидрида с двумя молярными эквивалентами резорцина в условиях обезвоживания, смешивают с 75 г пиридина. В эту смесь добавляют 25 г хлорида лауроила. Смесь доводят до состояния флегмы (125oС) и кипятят в течение ночи до тех пор, пока анализ методом тонкослойной хроматографии не фиксирует окончание процесса этерификации сукцинфлуоресцеина. Реакторную смесь охлаждают до 90oС и вливают в 1 литр холодной воды. Затем смесь доводят до рН 3 с помощью соляной кислоты. Продукт в виде коричневого масла выделяют с помощью 150 мл толуола. Полученный раствор высушивают от остаточной воды с помощью азеотропной дистилляции, после чего остающийся толуол удаляют с помощью вакуумной дистилляции. Конечный продукт представляет темное масло, легко растворимое в ксилоле с образованием слегка коричневого раствора. ПРИМЕР 14 Повторяют процедуру Примера 13, заменяя 25 г хлорида лауроила 35 г хлорида стеароила. Конечный продукт представляет слегка коричневое ваксообразное вещество, легко растворимое в ксилоле. ПРИМЕР 15 500 мг раствора, полученного в Примере 7, растворяют в толуоле и в мерной колбе доводят его объем до 100 мл. 1,0 мл этого раствора отмеряют в 100 мл розничного бензина, уже окрашенного в красный цвет с помощью 3 частей Unisol Liquid Red В на миллион, и помещают в делительную воронку. Эта проба бензина содержит эквивалент 10 м.д. флуоресцеиндиацетата как маркера. 5 мл водного раствора, содержащего 15% хлорида натрия и достаточное количество гидроксида калия для того, чтобы повысить его рН до 12,0, добавляют в маркированный бензин в делительной воронке. Обе фазы встряхивают вместе в течение двух-трех минут и затем разделяют. Верхняя бензиновая фаза сохраняет свой красный цвет, а нижняя водная фаза обнаруживает теперь сильную зеленую флуоресценцию. Эту фазу можно отделить и измерить количество сильно флуоресцирующего красителя с помощью спектрофотометрии или спектрофлуорометрии. Возможно, потребуется пяти- или более кратное разбавление выделенного раствора и увеличение количества экстрагента для того, чтобы привести его поглощающие/эмиссионные свойства к области оптимальной чувствительности измерительных инструментов. ПРИМЕР 16 5 мл маркированного окрашенного бензина, приготовленные аналогично Примеру 10, смешивают с 95 мл немаркированного бензина. Эту смесь подвергают процедуре экстракции с водным раствором щелочной соли, как в Примере 15. Даже при такой значительно ослабленной концентрации маркера водный экстракт обнаруживает заметную флуоресценцию и вновь количество красителя может быть измерено при желании инструментально, путем сравнения с калиброванным стандартом. ПРИМЕР 17 К 50 мл пробы бензина, маркированного 10 частями на миллион дибутиратного сложного эфира флуоресцеина, приготовленной в соответствии с Примером 6, добавляют 5 мл проявляющей композиции, представляющей 10% раствор гидроксида четвертичного аммония в диэтиленгликоле. Смесь встряхивают в течение 1-2 минут до получения темно-зеленой флуоресценции, отчетливо видимой на красном фоне бензина. Если необходимо лишь качественное обнаружение маркера в бензине, полученный маркированный бензин может быть возвращен в топливную емкость; таким образом исключают проблемы, связанные с отходами. Если же желательна количественная оценка маркера, эта проблема может быть решена с помощью спектрофотометрии или спектрофлуорометрии с учетом уровня фоновых помех других компонентов в топливе. Кроме того, к полученному маркированному топливу может быть добавлено 5 мл аликвоты 10% раствора хлорида натрия в дистиллированной воде. После встряхивания этой смеси в течение короткого промежутка времени флуоресцентный маркер экстрагируется в низшую водную фазу, которая может быть выделена и измерена количественно, как в Примере 15. ПРИМЕР 18 Синтезируют аналогично Примеру 3 раствор из 15 м.д. 2,4,5,7 тетрабром-3,6-диацетоксифлуоресцеина в бензине. Эту смесь затем подвергают тем же самым процедурам проявления и экстракции, что и в Примере 15. Выделенная водная фаза имеет ярко-красный цвет с оранжевой флуоресценцией. Количество полученного эозинового красителя может быть установлено с помощью спектрофотометрии или спектрофлуорометрии. ПРИМЕР 19 Процедуру Примера 13 повторяют с диацетиловым сложным эфиром 4,5,6,7-тетрахлор-2,4,5,7-тетрабромфлуоресцеина. Выделенный гидролизованный маркер содержит дианион красителя, исторически известного как Phloxin В. Он имеет яркий вишнево-красный цвет с темно-зеленой флуоресценцией. ПРИМЕР 20 К 100 мл раствора бензина, содержащего 15 м.д. дибутилового сложного эфира 4,5,6,7-тетрахлорфлуоресцеина, приготовленного как в Примере 7, добавляют 5 мл 8% раствора гидроксида тетраметиламмония в моно-n-пропиловом простом эфире этилен гликоля. Смесь встряхивают и получают темно-зеленую флуоресценцию. Добавление 5 мл 10% водного раствора хлорида натрия выделяет гидролизованный маркер в более низкой водной фазе, где он образует коричнево-оранжевый раствор с темно-зеленой флуоресценцией, значительно отличающейся от флуоресценции нехлорированного красителя, полученного в Примере 17 и поэтому достаточно легко от него отличаемого. ПРИМЕР 21 100 мл бесцветного раствора, содержащего 30 м.д. дистеароилового сложного эфира сукцинфлуоресцеина в толуоле, приготовленного как в Примере 14, встряхивают в течение одной минуты с 20 мл смеси 2 частей гидроксида тетраметиламмония, 48 частей моно n-пропилового простого эфира этиленгликоля и 50 частей воды. Смесь затем сепарируют. Более низкая водная фаза имеет бледный оранжево-желтый цвет и сильную зеленую флуоресценцию. ПРИМЕР 22 В 1-литровую бутыль наливают, помешивая, 400 г безводной метансульфокислоты. Затем добавляют 200 г 2-изопропил-5-метил-фенола (тимола), вслед за которым добавляют 110 г фталиевого ангидрида. Смесь нагревают до температуры 85oС и эту температуру поддерживают в течение 5 ч. Содержимое бутыли затем погружают в 1500 мл хорошо перемешиваемой холодной воды, при этом продукт выпадает в осадок в виде красных твердых гранул в форме оксониевой соли. Достаточное количество 40% раствора едкого натра добавляют в перемешиваемую смесь для повышения рН до 4. В результате происходит гидролиз оксониевой соли и продукт преобразовывается в светлое желтовато-оранжевое твердое вещество. Продукт отфильтровывают, промывают холодной водой и сушат при 70oС. Получают 256 г продукта с активным содержанием тимолфталеина, составляющим 76,7%. Это составляет 68,5% от ожидаемого количества. ПРИМЕР 23 Вышеописанную процедуру синтеза повторяют, за исключением того, что после добавления фталиевого ангидрида добавляют 40 г хлорида алюминия. Смесь нагревают до температуры 85-90oС и эту температуру поддерживают в течение 4 ч, в течение этого времени происходит обильное выделение газа соляной кислоты. Затем смесь погружают в холодную воду и нейтрализуют до значения рН, равного 2, посредством добавления едкого натра. Выпавший в осадок продукт отфильтровывают, промывают холодной водой и сушат. Выход восстановленного продукта составляет 235 г, при этом он имеет менее интенсивный цвет, чем в Примере 1. Он содержит 84,2% активного тимолфталеина, эквивалентного примерно 74,9% от теоретически ожидаемого количества. ПРИМЕР 24 В 1-литровую бутыль наливают, помешивая, 500 г безводной метансульфокислоты, затем добавляют 110 г фталиевого ангидрида и 144 г ортокрезола. Смесь нагревают до температуры 40oС и добавляют 40 г безводного хлорида алюминия. Затем смесь нагревают до температуры 85oС и эту температуру поддерживают в течение 4 часов. Затем смесь погружают в холодную воду и посредством добавления едкого натра значение рН водного раствора доводят до 2. Выпавший в осадок продукт отфильтровывают, промывают холодной водой и сушат. Получают 160 г серо-белого твердого вещества, имеющего 98,2% содержание ортокрезолфталеина. Это эквивалентно примерно 68,1% от теоретически ожидаемого выхода. ПРИМЕР 25 Процедуру, описанную в Примере 24, повторяют, за исключением того, что 144 г ортокрезола заменено на 235 г 2 циклогексилфенола. Синтез дает выход в 218,8 г кремово-белого твердого вещества с содержанием продукта 79,5%, что составляет 65% от теоретически ожидаемого количества. ПРИМЕР 26 Процедуру, описанную в Примере 22, повторяют, за исключением того, что 200 г 2 изопропил-5-метилфенола заменяют на 195 г 1 нафтола (98% чистоты). Получают 255 г неочищенного продукта. ПРИМЕР 27 20 г тимолфталеина размешивают в 50 г растворителя Exxon Aromatic 200 и добавляют 30 г 1-метилпирролидона. Смесь нагревают до температуры 40oС до тех пор, пока не растворится сложный эфир, затем горячий раствор фильтруют и разливают в бутылки. Раствор не имеет склонности к кристаллизации при длительном хранении при температуре -18oС.
ПРИМЕР 2850 г тимолфталеина растворяют в 50 г 1-метилпирролидона при медленном нагревании. Отфильтрованный раствор имеет превосходные показатели хранения при -18oС. ПРИМЕР 29 500 мг раствора, полученного в Примере 1, растворяют в толуоле и помещают в 100 мл мерную колбу. 1,0 мл этого раствора отмеряют в 100 мл высококлассного, предназначенного для розничной продажи бензина, уже окрашенного в красный цвет с помощью 3 частей Unisol Liquid Red В на миллион, и помещают в делительную воронку. Эта проба бензина содержит эквивалент 10 м.д. тимолфталеина в качестве маркера. В маркированный бензин в делительной воронке для повышения его рН до 12,0 добавляют 5 мл водного раствора, содержащего 15% хлорида натрия и достаточное количество гидроксида калия. Обе фазы встряхивают вместе в течение двух трех минут и затем разделяют. Верхняя бензиновая фаза сохраняет свой красный цвет, а нижняя водная фаза имеет теперь яркую синюю окраску. Эту фазу можно отделить и измерить количество синего красителя с помощью спектрофотометрии на длине волны его максимума поглощения, которая соответствует примерно 590 нм. ПРИМЕР 30 Процедуру, описанную в Примере 29, повторяют с дистиллированным, почти обесцвеченным бензином, за исключением того, что добавляют 20 м.д. тимолфталеина в виде раствора в толуоле. Присутствие маркера не вызывает никаких видимых изменений во внешнем виде бензина. ПРИМЕР 31 5 мл маркированного окрашенного бензина, приготовленных, как в Примере 29, смешивают с 95 мл немаркированного бензина. Эту смесь вновь подвергают той же процедуре экстракции с водным раствором соли и щелочи, как в Примере 29. Даже в такой значительно уменьшенной концентрации маркера водный экстракт имеет заметную синюю окраску, и вновь, при необходимости, количество красителя может быть измерено с помощью приборов, путем сравнения с калиброванным стандартом. ПРИМЕР 32 50 мл пробы окрашенного красным красителем бензина, маркированного 10 частями на миллион тимолфталеина, добавляют в 5 мл композиции проявителя, представляющей 10% раствор гидроксида тетрабутиламмония, растворенного в моно-n-пропиловом простом эфире этиленгликоля. Смесь встряхивают в течение нескольких секунд до получения отчетливой синей окраски, ясно видимой на красном фоне бензина. Если необходимо лишь качественное обнаружение маркера в бензине, проявленный маркированный бензин может быть возвращен в топливную емкость; таким образом, отсутствуют проблемы утилизации отделенных потенциально вредных отходов. Если же необходимо количественное определение маркера, оно может быть выполнено с помощью прямой спектрофотометрии, с учетом фоновых помех других компонентов в топливе. В противном случае к проявленному маркированному топливу может быть добавлено 5 мл аликвоты 10% раствора хлорида натрия в дистиллированной воде. После встряхивания этой смеси в течение короткого промежутка времени синий маркерный дианион экстрагируется в низшую водную фазу, которая может быть выделена и измерена количественно, как в Примере 29. ПРИМЕР 33 К 100 мл бензинового раствора, содержащего 15 м.д. тимолфталеина, добавляют 1 мл 10% раствора гидроксида тетра-n-бутиламмония в моно-n-пропиловом простом эфире этиленгликоля. Смесь быстро проявляется с возникновением синей флуоресценции, свидетельствующей о присутствии тимолфталеинового маркера. Затем добавляют 1 мл изостеариновой кислоты, что вызывает исчезновение синего цвета тимолфталеинового маркера. Теперь проба может быть возвращена в исходную емкость. ПРИМЕР 34 50 мл дизельного топлива, содержащего по 5 м.д. тимолфталеина и ди-n-бутилового сложного эфира флуоресцеина, как описано в патенте США 5498808, 1996 г. (содержание которого включено в настоящее описание путем ссылки на него) помещают в 100 мл бутылку прозрачного стекла и добавляют 1 мл 10% раствора гидроксида тетра-n-бутиламмония в моно-n-пропиловом простом эфире этиленгликоля. Смесь быстро проявляется с возникновением синей флуоресценции в отраженном свете и зеленой флуоресценции в проходящем свете, которая очень отличается от цвета немаркированного топлива. Часть раствора может быть помещена в кювету спектрофотометра, и относительные интенсивности дианионов флуоресцеина и тимолфталеина могут быть измерены на длинах волн своего максимального поглощения (примерно 490 и 600 нм соответственно). В альтернативном варианте может быть использована спектрофотометрия водного солевого экстракта маркеров, как описано в Примере 29. Если этот вариант не используется, к проявленному экстрагированному топливу может быть добавлена аликвота кислоты, нейтрализующая дианионы маркера и восстанавливающая топливо по существу до первоначального внешнего вида. Топливо затем может быть возвращено в исходную емкость. ПРИМЕРЫ 35-42 С помощью по существу подобных технологий реакции синтеза, проиллюстрированных в Примерах 22-26, с последующим использованием технологии проявления, описанной в Примере 29, были получены и оценены следующие дополнительные продукты (см. таблицу). Следует отметить, что вследствие сольватотропизма вышеприведенные значения длин волн в максимуме поглощения могут несколько измениться при 5 различных условиях наблюдения. ПРИМЕР 43 200 г серийно производимого 40% раствора гидроксида бензилтриметиламмония в метаноле добавляют в 900 г моно-n-пропилового простого эфира этиленгликоля (гликоль ЕР), содержащихся в двухлитровой 10 колбе, оборудованной для перемешивания. В колбе создают разрежение до давления 10 мм ртутного столба и нагревают до 70oС для удаления всех веществ, улетучивающихся при этих температуре и давлении. Затем давление и температуру колбы с содержимым доводят до соответствующих значений окружающей среды и доводят массу содержимого до 1000 г путем добавления гликоля ЕР для замены испарившегося метанола. Окончательная композиция представляет собой 8% раствор гидроксида бензилтриметиламмония в гликоле ЕР, который может быть использован в качества проявителя маркера топлива. ПРИМЕР 44 Процедуру, описанную в Примере 43, повторяют, за исключением того, что гидроксид бензилтриметиламмония заменен на соль – соответствующий метилат. ПРИМЕР 45 1 мл 0,1% раствора хинизарина (1,4-дигидрокси-9,10-антрахинон) в толуоле добавляют, в дорожных условиях, к 100 мл дизельного топлива с низким содержанием серы. Хинизарин – это соединение, используемое для маркировки определенных сортов топлива в Великобритании и Северной Ирландии. К раствору в концентрации 10 м.д. хинизарина в топливе, придающей ему бледную оранжевую окраску, добавляют 1 мл аликвоты проявляющего раствора, приготовленного, как описано в Примере 1. Топливо немедленно окрашивается в яркий чистый сине-фиолетовый цвет вследствие превращения хинизарина в его дианион. Часть раствора помещают в стеклянную кювету с оптической толщиной 1 см и сканируют на регистрирующем спектрофотометре. Оптическая плотность на длины волны в максимуме поглощения (569,5 нм) составила 0,46. Раствор из спектрофотометрической кюветы затем добавляют в массу маркированного пурпурным цветом топлива и во вновь полученный раствор добавляют 1 мл изостеариновой кислоты. Сине-фиолетовый цвет исчезает, и топливо возвращается к своему первоначальному маркированному виду. Теперь оно пригодно для возврата в исходную емкость. ПРИМЕР 46 Процедуру Примера 45 повторяют, за исключением того, что хинизарин заменен на эквивалентное по массе количество его лейкопроизводной (2,3-дигидро-9,10-дигидрокси-1,4-антрахинон), придающей маркированному топливу почти невидимую окраску. Это вещество также используется в качестве маркера топлива на основе нефтепродуктов в Европе. Маркер затем проявляют с помощью проявляющего раствора метилата бензилтриметиламмония, описанного в Примере 2. Проявленный маркер приобретает красно-синий цвет при оптической плотности, равной 0,295 на длины волны 574,5 нм, соответствующей максимуму поглощения. ПРИМЕР 47 К 100 мл раствора 2-(2′-этилгексил)хинизарина в концентрации 15 м.д., описанного как маркер топлива в патенте США 3883568 (описание которого включено в настоящее описание путем ссылки на него), содержащегося в дизельном топливе с низким содержанием серы, добавляют 1,0 мл аликвоты проявителя маркера, описанного в Примере 44. При этом немедленно образуется красно-синий раствор дианиона. При спектрофотометрическом сканировании он имеет длину волны максимума поглощения 581,5 нм. ПРИМЕР 48 К 100 мл раствора тимолфталеина в бесцветном бензине в концентрации 10 м. д. добавляют раствор, приготовленный путем разведения 20 мл серийно производимого раствора гидроксида тетраметиламмония в 100 мл денатурированного этанола 200 пробы. Бензин приобретает ярко-синий цвет, и наблюдается спектрометрическое поглощение 0,962 при длине волны 609,5 нм в 1см стеклянной кювете. Добавление к проявленному топливу 1 мл 50% (по весу) раствора 2-этил-капроновой кислоты в денатурированном спирте возвращает маркированному бензину его изначальный бесцветный вид. ПРИМЕР 49 Проба предложенного вещества-маркера фенол, 2,6-бис(1-метилпропил)-4-[(4-нитрофенил)азо], синтезированного по способу, приведенному в Примере 1 и описанному в патенте США 5156653, приготавливают, как 100 мл раствора концентрации 10 м.д. (активного вещества) в бесцветном бензине, что дает в результате бледно-желтый цвет. К этому раствору добавляют 1 мл этанолового раствора гидроксида тетраметиламмония, описанного в Примере 43 данного описания. При этом мгновенно проявляется темный красно-синий цвет. Интенсивность спектрофотометрического поглощения в максимуме (на длине волны в 577,5 нм) была несколько меньше, чем половина интенсивности, наблюдаемой у тимолфталеина в Примере 48 настоящего описания. Добавление небольшого количества 2-этил-капроновой кислоты к проявленному топливу восстанавливает его цвет до первоначального бледно-желтого, и топливо может быть возвращено в исходный резервуар. В отличие от процедуры, описанной в Примере 15 и в патенте США 5156653, для выявления вещества-маркера не требуется никакой процедуры раздельного экстрагирования. Не требуется также раздельной утилизации потенциально вредного водного экстракта маркера и содержащего воду топлива. При использовании данной процедуры проявления маркера бензин в данном Примере остается по существу безводным, или, по меньшей мере, без физического отделения воды. Более того, выявление маркера посредством описанной процедуры происходит по существу мгновенно, что делает ее значительно более удобной для использования например, при выполнении полицией тестов на дорогах. ПРИМЕР 50 100 мл маркированного бензина, приготовленного как в Примере 49, помещают в делительную воронку объемом 250 мл. Туда же добавляют 20 мл смеси, содержащей 10 объемных частей 40% водного раствора гидроксида тетраметиламмония, 40 частей воды, 50 частей гликоля ЕР. Топливо и композицию проявителя встряхивают вместе, при этом проявляется ярко-синий цвет, затем смеси дают осесть. Маркер экстрагируется в нижней водной фазе и может быть определен количественно, например, с помощью способа, подробно описанного в Примере 15 и в патенте США 5156653. Проявляющая композиция гидроксида тетраметиламмония, предлагаемая в качестве проявителя, имеет значительно менее неприятный запах, чем композиции алифатических первичных аминов, предложенные в указанном патенте. ПРИМЕР 51 В 100 мл раствора, содержащего 10 м.д. 2,4,5,7 тетрабром-3,6-диацетоксифлуоресцеина в бензине, приготовленного как описано в патенте США 5498808, 1996 г. (содержание которого включено в настоящее описание путем ссылки), добавляют 1 мл проявляющего реактива, приготовленного как описано в Примере 43. В результате проявляется чистый характерный флуоресцентный розовый цвет и максимум поглощения на длине волны 533 нм. Цвет проявленного маркера может быть устранен путем добавления небольшого количества изостеариновой кислоты. ПРИМЕР 52 1(3Н)-изобензофуранон, 3,3-бис(4-гидрокси-1-нафтил), приготовленный в качестве пробы согласно Примеру 41, приготавливают в виде раствора концентрации 20 м.д., в разновидности топливного мазута 2 с высоким содержание серы, имеющего сильный естественный желтый цвет. Часть пробы хранят отдельно для помещения в спектрометрическую ячейку. К 50 мл указанного раствора добавляют 0,5 мл проявляющего реактива, описанного в Примере 43. Топливо приобретает оливково-зеленую окраску, спектрофотометрическое сканирование показывает относительно острый пик поглощения при 660 нм, причем на этой длине волны помехи от исходного фонового цвета топлива минимальны. Добавление 1,0 мл технической олеиновой кислоты к проявленной пробе топлива восстанавливает его первоначальный вид. Изобретение было описано применительно к предпочтительным вариантам выполнения. Возможны многочисленные модификации описанного изобретения, не изменяющие изобретение по существу. Формула изобретения
![]() где R1, R2, R3, и R4 – одинаковые или различные алкильные или бензильные группы; a R5 – водород или алкильная группа, отличающийся тем, что указанная проба содержит идентифицируемый нефтепродукт, указанный проявляющий реагент формируют растворением в неводном растворителе, растворимом в топливе и выбранном из группы, содержащей метанол, этанол, пропанол, алифатические или ароматические спирты, гликоли и гликолевые простые эфиры, причем количество указанного основания в проявляющем реагенте выбирают достаточным для участия в реакции со всем количеством маркера в указанной пробе, при этом в результате реакции указанного маркера с указанным проявляющим реагентом в пробе образуется проявленный маркер, обладающий окраской или флуоресценцией. 2. Способ по п.1, отличающийся тем, что указанный проявляющий реагент содержит примерно от 1 до 10% указанного основания четвертичного алкиламмония и растворитель, растворимый в указанном нефтепродукте. 3. Способ по п.2, отличающийся тем, что указанным алкилгликолевым простым эфиром является моно-n-пропиловый эфир этиленгликоля. 4. Способ по п.2, отличающийся тем, что дополнительно включает операцию добавления к указанной пробе, после проявления окраски или флуоресценции, кислоты, растворимой в указанном нефтепродукте, для устранения проявленной окраски или флуоресценции. 5. Способ по п.4, отличающийся тем, что указанную кислоту выбирают из группы, содержащей органические карбоновые кислоты. 6. Способ по любому из предыдущих пунктов, отличающийся тем, что дополнительно включает операцию возвращения проявленной пробы в нефтепродукт, из которого она была взята. 7. Способ по п.2, отличающийся тем, что указанный проявляющий реагент выбирают из группы, содержащей гидроксид тетраэтиламмония, гидроксид тетрапропиламмония, гидроксид тетра-n-бутиламмония, гидроксид бензилтриметиламмония, метилат бензилтриметиламмония. 8. Способ по п.2, отличающийся тем, что указанный проявляющий агент содержит 8% раствор гидроксида бензилтриметиламмония в моно-n-пропиловом простом эфире этиленгликоля. 9. Способ по любому из пп.1-8, отличающийся тем, что маркер содержит по меньшей мере одно соединение, выбранное из группы, состоящей из ,![]() где R1 – алкильная группа, содержащая 1-18 атомов углерода, или арильная группа; R2, R3, Р4 и R5 – водород, хлор, бром или C1-C12 алкил, R6 – водород, хлор или бром, причем указанные радикалы R1-R6 представляют собой одинаковые или различные группы, а алкильные группы являются прямыми или разветвленными, с по меньшей мере, одним соединением, выбранным из группы, состоящей из ![]() ![]() где R1 является алкильной либо алкоксильной группой, содержащей от 1 до 8 атомов углерода; R2 и R3 – водород, алкильная или алкоксильная группа; R4 – любое сочетание брома, хлора, или водорода; R5 – атом водорода, алкильная либо алкоксильная группа, содержащая C1-C8. 10. Способ по п.9, отличающийся тем, что для создания неводного раствора маркера используют от 50 до 95% растворителя и от 5 до 50% маркера. 11. Способ по п. 10, отличающийся тем, что указанный растворитель содержит примерно 40% апротонного растворителя и примерно 60% ароматического растворителя, причем указанный ароматический растворитель является растворимым в указанном нефтепродукте. РИСУНКИ
|
||||||||||||||||||||||||||











200 и добавляют 30 г 1 метилпироллидона. Смесь нагревают до 27oС до тех пор, пока не растворится весь эфир; горячий раствор фильтруют и помещают в бутыль. Полученный раствор обнаруживает лишь слабую склонность к кристаллизации при продолжительном хранении при -18oС.
ПРИМЕР 11
,

