Патент на изобретение №2187511
|
||||||||||||||||||||||||||
(54) ПЕПТИДНЫЕ ПРОИЗВОДНЫЕ
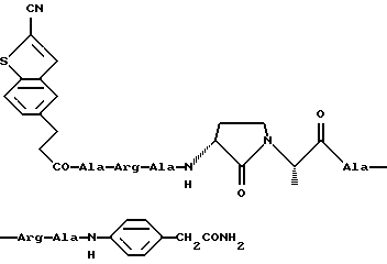
(57) Реферат: Предложены пептидные производные общей формулы I: P-R1-R2-R3-R4 или их фармацевтически приемлемые соли, в которых Р представляет собой органическую гидрофобную группу, состоящую из от 5 до 20 углеродных атомов формулы RCO-; R представляет собой арил(2-10)алкил или гетероарил(2-10С)алкил, где арильная или гетероарильная группа в R необязательно замещена на один или более (1-4С)алкил, галогено, циано или (1-4С)алкокси; R1 представляет собой последовательность из 5 L-аминокислот, представленных в виде АА1-АА2-АА3-АА4-АА5, и R3 представляет собой одиночную L-аминокислоту, выбранную из Ala, Gly, азааланина или азаглицина; или R1 представляет собой последовательность из 3 L-аминокислот, представленных в виде АА6-АА7-АА8, и R3 представляет собой последовательность из 3 L-аминокислот, представленных в виде АА9-АА10-АА11; причем АА1 выбрана из Ala, Ile, Arg, Gap, GapMe4 и Lys(= C(NMe2)2); AA2 выбрана из Ala, Lys, Ile и Arg; AA3 выбрана из Ala и Asn; AA4 выбрана из Ala, Asn, Lys, Arg и His; AA5 выбрана из Val и Thr; AA6 выбрана из Ala, Arg и Ile; AA7 выбрана из Lys, Arg, Ala и Ile; AA8 представляет собой Ala; AA9 выбрана из Ala и Leu; AA10 выбрана из Ala и Arg; AA11 представляет собой Ala; R2 представляет собой группу формулы II или формулы III ![]() ![]() в которых Ra и Rb независимо выбраны из водорода и (1-4С) алкила, А представляет собой метилен; R4 представляет собой ОН, NH2 или NRcRd, где Rc выбран из (1-4С)алкила, 3-карбамоилфенила, 4-карбомоилфенила, 4-(карбомоилметил)фенила, 4-(карбоксиметил)фенила, 4-(метоксикарбонилметил)-фенила, 2-морфолиноэтила и группу формулы -A1-G1, в которой А1 представляет собой (3С)алкилен или А1 представляет собой группу формулы -А2-В2-, в которой А2 представляет собой р-фенилен и В2 представляет собой (1-4С)алкилен; и G1 представляет собой группу формулы -N=C[N(Rp)2]2, в которой каждый Rp представляет собой водород; или А1 представляет собой группу формулы -А4-В4-, в которой А4 представляет собой р-фенилен, а В4 представляет собой -СН2-СО-, и G1 представляет собой 2-морфолиноэтиламино или 4-(2-(2-гидроксиэтокси)этил)пиперазин-1-ил; и Rd представляет собой водород или (1-4)С алкил; или R4 представляет собой 4-(2-(2-гидроксиэтокси)этил)-1-пиперазинил, 1-пиперидил или 4-замещенный-1-пиперидил, где данный 4-заместитель выбран из карбокси и карбамоила; предложен способ получения соединений формулы I по п. 1, предложена фармацевтическая композиция, обладающая способностью ингибировать Т-клеточный иммунный ответ, опосредованный через молекулу МНС класса II, включающая пептидное производное формулы I или его фармацевтически приемлемую соль; предложен способ лечения зависимого от МНС класса II Т-клеточного опосредованного аутоиммунного или воспалительного заболевания. Описываемое изобретение предлагает пептиды, обладающие минимальными потерями, связанными с деградацией при высвобождении из лекарственного препарата. 4 с. и 11 з.п. ф-лы, 1 табл. Текст описания в факсимильном виде (см. чертежи)и Формула изобретения
P-R1-R2-R3-R4 или его фармацевтически приемлемая соль, в которой Р представляет собой органическую гидрофобную группу, состоящую из от 5 до 20 углеродных атомов формулы RCO-; R представляет собой арил(2-10)алкил или гетероарил(2-10С)алкил, где арильная или гетероарильная группа в R необязательно замещена на один или более (1-4С)алкил, галогено, циано или (1-4С)алкокси; R1 представляет собой последовательность из 5 L-аминокислот, представленных в виде АА1-АА2-АА3-АА4-АА5, и R3 представляет собой одиночную L-аминокислоту, выбранную из Ala, Gly, азааланина или азаглицина; или R1 представляет собой последовательность из 3 L-аминокислот, представленных в виде АА6-АА7-АА8, и R3 представляет собой последовательность из 3 L-аминокислот, представленных в виде АА9-АА10-АА11; причем АА1 выбрана из Ala, Ile, Arg, Gap, GapMe4 и Lys(=C(NMe2)2); AA2 выбрана из Аla, Lys, Ile и Arg; AA3 выбрана из Аla и Asn; AA4 выбрана из Аla, Asn, Lys, Arg и His; AA5 выбрана из Val и Thr; AA6 выбрана из Аla, Arg и Ile; AA7 выбрана из Lys, Arg, Ala и Ile; AA8 представляет собой Аla; AA9 выбрана из Аla и Leu; AA10 выбрана из Аla и Arg; AA11 представляет собой Аla; R2 представляет собой группу формулы II или формулы III ![]() ![]() в которой Ra и Rb независимо выбраны из водорода и (1-4С)алкила; А представляет собой метилен; R4 представляет собой ОН, NH2 или NRcRd, где Rc выбран из (1-4С)алкила, 3-карбамоилфенила, 4-карбамоилфенила, 4-(карбамоилметил)фенила, 4-(карбоксиметил)фенила, 4-(метоксикарбонилметил)-фенила, 2-морфолиноэтила и группу формулы -A1-G1, в которой А1 представляет собой (3С)алкилен или А1 представляет собой группу формулы -А2-В2-, в которой А2 представляет собой р-фенилен и В2 представляет собой (1-4С)алкилен; и G1 представляет собой группу формулы -N=C[N(Rp)2]2, в которой каждый Rp представляет собой водород; или А1 представляет собой группу формулы -А4-В4-, в которой А4 представляет собой р-фенилен, а В4 представляет собой -СН2-СО-, и G1 представляет собой 2-морфолиноэтиламино или 4-[2-(2-гидроксиэтокси)этил]пиперазин-1-ил; и Rd представляет собой водород или (1-4)С алкил; или R4 представляет собой 4-(2-(2-гидроксиэтокси)этил)-1-пиперазинил, 1-пиперидил или 4-замещенный-1-пиперидил, где данный 4-заместитель выбран из карбокси и карбамоила. 2. Пептидное производное или его фармацевтически приемлемая соль по п.1, в котором R4 представляет собой NHRc, где Rc выбран из 4-(карбамоилметил)фенила, 4-(2-гуанидиноэтил)фенила, 2-морфолиноэтила, 3-гуанидинопропила и 4-[4-(2-(2-гидроксиэтокси)этил)пиперазин-1-ил-карбонилметил] фенила; или R4 представляет собой 4-(2-(2-гидроксиэтокси)этил)-1-пиперазинил или 4-карбамоил-1-пиперидил. 3. Пептидное производное или его фармацевтически приемлемая соль по п.1, где R1 представляет собой последовательность из 5 L-аминокислот, представленных в виде АА1-АА2-АА3-АА4-АА5, в которой АА4-АА5 выбрана из Lys-Val, Arg-Val, Lys-Thr, Arg-Thr, Ala-Val и Ala-Thr; и R3 представляет собой одиночную L-аминокислоту, выбранную из Ala, Gly и Azgly. 4. Пептидное производное или его фармацевтически приемлемая соль по п.1, в котором R1 представляет собой последовательность из 5 L-аминокислот, представленных в виде АА1-АА2-АА3-АА4-АА5, выбранную из Ala-Ala-Ala-Lys-Val, Ile-Ala-Ala-Arg-Thr, Arg-Ala-Ala-Ala-Val, Arg-Ala-Ala-Ala-Thr, Ala-Ala-Ala-Arg-Val, Ala-Arg-Ala-Arg-Val, Ala-Ile-Ala-Arg-Val, Ala-Arg-Ala-His-Val, Ala-Ala-Asn-Arg-Val, Ala-Arg-Ala-Ala-Thr, Ala-Arg-Ala-Arg-Thr, Gap-Ala-Ala-Ala-Thr, GapMe4-Ala-Ala-Ala-Thr, Ala-Ala-Ala-Arg-Thr и Lys(=C(NMe2)2)-Ala-Ala-Ala-Thr; и R3 представляет собой одиночную L-аминокислоту, выбранную из Ala, Gly и Azgly. 5. Пептидное производное или его фармацевтически приемлемая соль по п.1, в котором R1 представляет собой последовательность из 3 L-аминокислот, представленных в виде АА6-АА7-АА8, выбранную из Ala-Arg-Ala, Arg-Ala-Ala, Arg-Ile-Ala, Ile-Arg-Ala и Ala-Lys-Ala; и R3 представляет собой последовательность из 3 L-аминокислот, представленных в виде АА9-АА10-АА11, выбранную из Ala-Arg-Ala, Leu-Arg-Ala и Ala-Ala-Ala. 6. Пептидное производное или его фармацевтически приемлемая соль по любому из пп.1-5, где R2 представляет собой группу формулы IIb ![]() 7. Пептидное производное или его фармацевтически приемлемая соль по любому из пп.1-5, где гидрофобная группа Р представляет собой 5-фенилвалерил. 8. Пептидное производное или его фармацевтически приемлемая соль по любому из пп. 1-5, где R4 представляет собой 4-карбамоил-1-пиперидил, 4-(карбамоилметил)анилино или 4-(2-гуанидиноэтил)анилино. 9. Пептидное производное по п.1 или его фармацевтически приемлемая соль, которое выбрано из ![]() ![]() ![]() ![]() ![]() или его фармацевтически приемлемая соль, в которой Phv представляет 5-фенилвалерил группу. 10. Пептидное производное формулы I или его фармацевтически приемлемая соль по любому из пп.1-9, обладающее способностью ингибирования Т-клеточного иммунного ответа, опосредованного через молекулу МНС класса II. 11. Пептидное производное формулы I или его фармацевтически приемлемая соль по любому из пп.1-9, обладающее способностью ингибирования связывания антигена с молекулами МНС класса II, ассоциированных с заболеванием. 12. Фармацевтическая композиция, обладающая способностью ингибирования Т-клеточного иммунного ответа, опосредованного через молекулу МНС класса II, которая включает пептидное производное общей формулы I или его фармацевтически приемлемую соль по пп.1-9, в ассоциации с фармацевтически приемлемым разбавителем или носителем. 13. Способ получения пептидного производного общей формулы I по пп.1-9 или его фармацевтически приемлемой соли, заключающийся в том, что (I) связывают соответственно защищенную аминокислоту, являющуюся С-концевой аминокислотой пептидного производного, с твердым носителем; (II) затем осуществляют последовательное связывание в определенном порядке соответственно защищенных аминокислот и соответственно защищенных групп формулы H-II-OH или H-III-OH, как определено в п.1, причем функциональная группа N-концевых аминокислоты пептидного производного может быть необязательно модифицирована для введения гидрофобной Р-группы; (III) удаляют твердый носитель и необязательно модифицируют С-концевую функциональную группу для введения соответственно защищенной группы формулы R4-H, где R4 определен как в п.1, необязательно модифицируют N-концевую аминогруппу для введения гидрофобной группы Р и удаляют оставшиеся защитные группы; и затем выделяют пептидное производное формулы I или его фармацевтически приемлемую соль. 14. Способ лечения зависимого от МНС класса II Т-клеточного опосредованного аутоиммунного или воспалительного заболевания, который включает введение теплокровному млекопитающему, при необходимости такого лечения, эффективного количества пептидного производного формулы I или его фармацевтически приемлемой соли. 15. Способ лечения по п.14 ревматоидного артрита. РИСУНКИ
MM4A Досрочное прекращение действия патента Российской Федерации на изобретение из-за неуплаты в установленный срок пошлины за поддержание патента в силе
Дата прекращения действия патента: 19.02.2004
Извещение опубликовано: 10.05.2005 БИ: 13/2005
|
||||||||||||||||||||||||||










