Патент на изобретение №2187507
|
||||||||||||||||||||||||||
(54) ПРОИЗВОДНЫЕ ИМИДАЗОЛА, СПОСОБЫ ИХ ПОЛУЧЕНИЯ, ПРОМЕЖУТОЧНЫЕ ПРОДУКТЫ И ФАРМАЦЕВТИЧЕСКАЯ КОМПОЗИЦИЯ НА ОСНОВЕ ПРОИЗВОДНЫХ ИМИДАЗОЛА
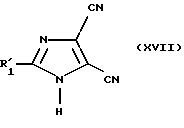
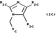
(57) Реферат: Описываются новые производные имидазола общей формулы (I), в которой R1 означает радикал алкил или алкилтио, линейный или разветвленный, содержащий не более 12 атомов углерода, возможно замещенные 1-2 одинаковыми или разными радикалами, выбранными из гидроксила, алкила, алкокси или алкилтио, алкильная часть которых содержит не более 6 атомов углерода, фенила, замещенного С1-С4 алкоксигруппой; или радикал диоксолан или диоксан; R2 и R3, одинаковые или разные, выбраны из атомов галогена, радикалов меркапто, ацила, карбокси, свободного, превращенного в соль или этерифицированного, формила, алкила, замещенного фенилом или циклоалкилом, или означает радикал где m1 – целое число от 0 до 4, m2 – целое число от 0 до 2; R10 – радикал алкил, линейный или разветвленный, содержащий не более 6 атомов углерода, или фенил, возможно замещенные 1-2 заместителями, одинаковыми или разными, выбранными из гидроксила, С1-С6 алкила, С1-С6 алкоксила, карбоксила, свободного, превращенного в соль или этерифицированного, карбоксиэтила, алкила, замещенного фенилом, замещенным в свою очередь С1-С6 алкоксилом; радикал циклоалкил, содержащий 3-7 атомов углерода, или бензодиоксол; Y – фенил, замещенный двумя радикалами, образующими вместе с двумя соседними атомами углерода, к которым они присоединены, диоксолановое кольцо, которое может быть замещено 1-2 одинаковыми или разными заместителями, выбранными из галогена, карбоксикарбонила, свободного, превращенного в соль или этерифицированного. Новые производные имидазола годны для приготовления фармацевтических композиций, предназначенных для лечения заболеваний, вызванных анормальным стимулированием рецепторов эндотелина и, в частности, для лечения гипертонии, вызванной эндотелином, спазмов сосудов, лечения состояний после кровоизлияний в мозг, почечной недостаточности, инфарктов миокарда, и в профилактике повторных стенозов после ангиопластики. Описываются способы их получения, промежуточные продукты и фармацевтическая композиция на основе соединений формулы (I). 6 с. и 5 з.п.ф-лы, 19 табл.
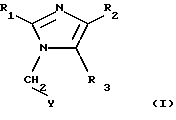
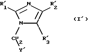
Изобретение относится к новому применению производных имидазола, к новым производным имидазола, способу их получения, к новым полученным промежуточным продуктам и к фармацевтической композиции на основе производных имидазола. Предметом настоящего изобретения является использование для приготовления фармацевтических композиций, предназначенных для лечения заболеваний, вызванных анормальным стимулированием рецепторов эндотелина, продуктов формулы (I): ![]() где R1 – радикал гидроксил, алкил, алкенил, алкинил, алкоксигруппа, алкилтиогруппа, причем каждый из этих радикалов линейный или разветвленный и содержит не больше 12 атомов углерода, радикал формил или радикал циклоалкил, возможно прерванный одним или несколькими гетероатомами, и содержащий 3-7 атомов углерода, при этом все эти радикалы могут быть замещены одним или несколькими радикалами, одинаковыми или разными, выбранными из атомов галогена, радикалов гидроксила, свободной карбоксигруппы, превращенной в соль, этерифицированной или амидированной, цианогруппы, нитрогруппы, аминогруппы, возможно замещенной одним или двумя радикалами алкила, одинаковыми или разными, содержащими не больше 6 атомов углерода, циклоалкила, содержащего 3-7 атомов углерода, алкила, алкенила и алкокси, содержащих не больше 6 атомов углерода, галоалкила, алкилтиогруппы, галоалкилтио, галоалкокси, феноксигруппы, фенилалкоксигруппы, карбамоила, возможно замещенного, ацила, ацилоксигруппы, тетразолила, возможно превращенного в соль, и фенила, возможно замещенного одним или несколькими радикалами, выбранными из атомов галогена, радикалов гидроксила, алкила и алкоксигруппы, содержащей не больше 4 атомов углерода, трифторметила, цианогруппы, свободной карбоксигруппы, превращенной в соль или этерифицированной, и тетразолила, R2 и R3, одинаковые или разные, выбраны из: а) атомов галогена, радикалов меркапто, ацила, карбокси- или карбоксикарбонила свободного, превращенного в соль, этерифицированного или амидированного, нитрогруппы, цианогруппы и радикала- Р(O)(OR)2, где R – атом водорода, радикал алкил или фенил, б) радикалов R4 и -ОR4, где или R4-радикал ![]() где m1 – целое число от 0 до 4, m2 – целое число от 0 до 2 и либо X-R10 – аминогруппа либо Х – простая связь или радикалы -NR11-, -NR11-CO-, NR11-CO-O-, -NR11-CO-NR12 и -N= CR11-NR12-, a R10 – радикалы алкил, алкенил, или арил, которые могут быть замещены одним или несколькими одинаковыми или разными радикалами, выбранными из атомов галогена; радикалов гидроксила; циклоалкила, содержащего 3-7 атомов углерода; радикалов алкила, алкоксигруппы, галоалкила, алкилтиогруппы, галоалкилтиогруппы и галоалкоксигруппы, линейных или разветвленных, содержащих не больше 6 атомов углерода; радикалов феноксигруппы; фенилалкоксигруппы; карбамоила, возможно замещенного; ацила, ацилоксигруппы; свободной карбоксигруппы, превращенной в соль или этерифицированной; тетразолила; цианогруппы; нитрогруппы; аминогруппы, возможно замещенной одним или двумя радикалами алкила, одинаковыми или разными, содержащими не больше 6 атомов углерода, и арила, возможно замещенного одним или несколькими радикалами, выбранными из атомов галогена, радикалов гидроксила, алкила и алкоксигруппы, содержащих не больше 4 атомов углерода, трифторметила, свободной карбоксигруппы, превращенной в соль или этерифицированной, и тетраазолила, и R11 и R12, одинаковые или разные, выбраны из атома водорода и значений, определенных для R10, или R4 – атом водорода; радикал алкил, алкенил, алкинил и ацил, причем эти радикалы линейные или разветвленные, содержат не больше 6 атомов углерода, могут быть прерваны одним или несколькими гетероатомами, выбранными из атомов серы, кислорода или азота; радикал амино или карбамоил, возможно замещенный одним или двумя радикалами алкила или алкенила, одинаковыми или разными, содержащими не больше 6 атомов углерода, или радикал определенный выше; радикал циклоалкил, содержащий 3-6 атомов углерода или радикал арил, причем радикалы алкил, алкенил, и арил всех радикалов, которыми определен R4, могут быть замещены одним или несколькими одинаковыми или разными радикалами, выбранными из:– атомов галогена, – радикалов гидроксила, меркапто-, циано-, азидо-, нитро, – SO3Н, свободной карбоксигруппы, превращенной в соль, этерифицированной или амидированной, – радикалов алкила, алкенила, алкокси, галоалкила, алкилтио, алкенилтио, алкинилтио, ацила, ацилокси, ацилтио, галоалкилтио, галоалкокси, причем эти радикалы содержат не больше 6 атомов углерода, арила, арилалкила, арилалкенила, арилтио, арилокси и арилалкокси, в которых арильный радикал может быть замещен одним или несколькими одинаковыми или разными радикалами, выбранными из атомов галогена, радикалов гидроксила, алкила и алкокси, содержащих не больше 6 атомов углерода, галоалкила, алкилтио, галоалкилтио, галоалкокси, карбамоила, возможно замещенного, ацила, ацилокси, карбоксигруппы свободной, превращенной в соль или этерифицированной, цианогруппы, нитрогруппы, аминогруппы, возможно замещенной одним или двумя радикалами алкила, одинаковыми или разными, содержащими не больше 6 атомов углерода, тетразолила и фенила, возможно замещенного одним или несколькими радикалами, выбранными из атомов галогена, радикалов гидроксила, алкила и алкокси, содержащих не больше 4 атомов углерода, трифторметила, карбокси группы, свободной, превращенной в соль или этерифицированной, и тетразолила, и – радикалов: ![]() и ![]() где либо R6 или R7 или R8 и R9, одинаковые или разные, выбраны из: – атома водорода, – аминокислот, – радикалов алкила и алкенила, содержащих не больше 6 атомов углерода и возможно замещенных одним или несколькими одинаковыми или разными радикалами, выбранными из атомов галогена, радикала гидрокси или радикалов алкокси, содержащих не более 6 атомов углерода; – радикалов арила, арилалкила и арилалкенила, в которых радикалы алкила и алкенила линейные или разветвленные, содержат не больше 6 атомов углерода, причем радикалы арила, арилалкила и арилалкенила могут быть замещены одним или несколькими радикалами, выбранными из атомов галогена, радикалов гидроксила, нитро, циано, радикалов алкила, алкенила, галоалкила, алкокси и ацила, причем эти радикалы содержат не более 6 атомов углерода, аминогруппы, возможно замещенной одним или двумя радикалами алкила, одинаковыми или разными, содержащими не больше 6 атомов углерода, радикалов карбокси, свободной, превращенной в соль или этерифицированной, арила и арилалкила, при этом два последних радикала могут быть замещены одним или несколькими радикалами, выбранными из атомов галогена, радикалов гидроксила, трифторметила, нитро, циано, карбокси свободной, превращенной в соль или этерифицированной, и тетразолила, – радикала определенного выше, или R6 и R7 либо R8 и R9 образуют соответственно с атомом азота, которым они связаны, моноциклический радикал, содержащий 5, 6 или 7 звеньев, или радикал, состоящий из конденсированных циклов, содержащий 8-14 звеньев, причем эти радикалы, одинаковые или разные, могут содержать один или несколько других гетероатомов, выбранных из атомов кислорода, азота или серы, и могут быть замещены одним или несколькими радикалами, выбранными из атомов галогена, радикалов гидроксила, нитро, циано, радикалов алкила, алкенила, галоалкила, алкокси и ацила, при этом эти радикалы содержат не больше 6 атомов углерода, аминогруппы, возможно замещенной одним или двумя радикалами, алкила, одинаковыми или разными, содержащими не больше 6 атомов углерода, радикалов карбокси, свободной, превращенной в соль, этерифицированной или амидированной, арила и арилалкила, причем эти два последних радикала могут быть замещены одним или несколькими радикалами, выбранными из атомов галогена, радикалов гидроксила, трифторметила, нитро, циано, карбокси, свободной, превращенной в соль или этерифицированной, и тетразолила,или R8 и R9, одинаковые или разные, являются ацилом или один из R8 и R9 является радикалом карбамоила, алкоксикарбонила или бензилоксикарбонила, а другой выбран из значений, указанных для R8 и R9, или R8 и R9 образуют с атомом азота, с которым они связаны, радикал фталимидо или сукцинимидо, Y представляет собой радикал -Y1-В-Y2, где Y1 означает арил, возможно замещенный одним или несколькими радикалами, выбранными из радикалов диоксола и радикалов, которыми представлены радикалы R2 и R3, В – простая связь между Y1 и Y2 или один из следующих двухвалентных радикалов: -СО-, -О-, -NH-CO-, -СО-NН- или -О-(СН2)p-, где р имеет значение 1, 2 или 3, Y2 имеет следующие значения: либо независимо от значения В и если Y2 идентичен или отличен от Y1, то Y2 имеет значения, указанные для Y1, либо если В – простая связь, то Y2 является атомом водорода, атомом галогена, радикалом циано, карбокси, свободным, превращенным в соль, этерифицированным или амидированным, радикалом тетразолила или радикалом определенным выше,указанные продукты формулы (I) находятся во всех возможных рацемических изомерах, энантиомерах и диастереоизомерах также в виде солей с минеральными и органическими кислотами или с минеральными и органическими основаниями. Изобретение относится, в частности, к использованию соединений формулы (I), описанных выше, для приготовления фармацевтических композиций, предназначенных для лечения гипертонии, вызванной эндотелином, любых сосудистых спазмов и лечения мозговых кровоизлияний и также для приготовления фармацевтических композиций, предназначенных для лечения инфаркта миокарда и для профилактики повторных стенозов после ангиопластики. В соединениях формулы (I): – термин “радикал алкила линейный или разветвленный” означает предпочтительно радикал метила, этила, пропила, изопропила, бутила, изобутила, вторичного бутила и третичного бутила, но может также означать радикал пентила или гексила, в частности изопентил и изогексил, – термин “радикал алкенил линейный или разветвленный” предпочтительно означает радикал винил, аллил, 1-пропенил, бутенил, в частности, 1-бутенил, или пентенил, – термин “радикал алкенил линейный или разветвленный” предпочтительно означает радикал этинила, пропаргила, бутинила или пентинила. Среди алкильных радикалов, прерванных одним или несколькими гетероатомами, можно назвать, например, радикалы метоксиметил, метоксиэтоксиметил, пропилтиопропил, пропилоксипропил, пропилтиоэтил, метилтиометил, – термин “атом галогена” означает предпочтительно, атом хлора, но может также означать атом фтора, брома или иода, – термин “радикал алкокси, линейный или разветвленный” предпочтительно, означает радикалы метокси, этокси, пропокси или изопропокси, но может также означать радикал бутокси линейный, вторичный или третичный, – термин “радикал ацил” предпочтительно означает радикал, имеющий 1-6 атомов углерода, такой как, например, формил, ацетил, пропионил, бутирил или бензоил, а также радикал пентаноил, гексаноил, акрилоил, кротоноил или карбамоил, или производные карбонильных радикалов, такие как радикалы циклоалкилкарбонила, – термин “радикал ацилокси” означает, например, радикал, в котором ацильный радикал имеет значения, указанные выше, и предпочтительно является радикалом формилокси, ацетилокси, пропионилокси, бутирилокси или бензоилокси, – термин “радикал циклоалкил, возможно прерванный одним или несколькими гетероатомами”, означает предпочтительно радикалы циклопропила, циклобутила и, в частности, радикалы циклопентила и циклогексила, или же карбоциклический радикал, прерванный одним или несколькими атомами, выбранными из атомов кислорода, азота или серы и, в частности, радикал диоксалана или диоксана, – термин “радикал галоалкил” означает предпочтительно радикалы, в которых алкильный радикал имеет указанное выше значение и замещен одним или несколькими атомами галогена, описанными выше, как, например, в бромэтиле, трифторметиле, трифторэтиле или пентафторэтиле, – термин “радикал галоалкокси” означает предпочтительно радикалы, в которых радикал алкокси имеет описанное выше значение и замещен одним или несколькими атомами галогена, описанными выше, как, например, в бромэтокси-, трифторметокси-, трифторэтокси- или пентафторэтоксигруппах, – термин “радикал арила” означает ненасыщенный 5, 6 или 7-членный моноциклический радикал или радикал, состоящий из конденсированных циклов, содержащих 8-14 звеньев, карбоциклических или гетероциклических, причем гетероциклические радикалы могут содержать один или несколько гетероатомов, выбранных из атомов кислорода, азота или серы и что когда эти гетероциклические радикалы содержат больше одного гетероатома, то гетероатомы в этих гетероциклических радикалах могут быть одинаковыми или разными. В качестве примера арильного радикала можно назвать радикалы фенила, нафтила, тиенила, такого как 2-тиенил и 3-тиенил, фурила, такого как 2-фурил, пиридила, такого как 2-пиридил и 3-пиридил, пиримидинила, пирролила, тиазолила, изотиазолила, пиразолила, триазолила, тетразолила, тетразолила превращенного в соль, диазолила, тиадиазолила, тиатриазолила, оксазолила, оксадиазолила, 3- или 4-изоксазолила; конденсированные гетероциклические группы, содержащие, по крайней мере, один гетероатом, выбранный из серы, азота и кислорода, например бензотиенил, такой как 3-бензотиенил, бензофурил, бензофуранил, бензопирролил, бензимидазолил, бензоксазолил, тионафтил, индолил, индолинил, хинолил или изохинолил, пуринил, – термин “арилалкил” означает радикалы, в которых радикалы алкил и арил могут иметь значения, вышеописанные для этих радикалов; в качестве примеров таких радикалов можно назвать радикалы бензила, дифенилметила, трифенилметила, нафтилметила, инденилметила, тиенилметила, такого как 2-тиенилметил, фурилметила, такого как фурфурил, пиридилметила, пиридилэтила, пиримидилметила или пирролилметила, причем перечень не исчерпывается примерами вышеприведенных радикалов, радикал алкил может быть метилом так же, как и радикалами этила, пропила или бутила, такой как, например, в радикалах фенилалкила, такого как фенилэтил, фенилпропил или фенилбутил; – термин “арилалкенил и арилалкинил” означает радикалы, в которых соответственно радикалы алкенил или алкинил и арил могут иметь значения, описанные выше для этих радикалов; в качестве примеров таких радикалов можно назвать вышеописанные примеры для радикалов арилалкила, в которых радикал алкила замещен на радикал алкенил, такой как, например, радикал фенилвинил или фенилаллил, причем в этих радикалах радикал фенил может быть замещен на радикал нафтил, пиридил или же, например, на один из радикалов арила, описанных выше; в качестве примера радикалов арилалкинила можно привести радикал фенилэтинил. В качестве примера алкильных радикалов алкила, замещенных радикалом арил, можно привести вышеописанные радикалы арилалкила. В качестве примера радикалов алкилена, замещенных радикалом арила, можно привести радикалы арилалкенила, такие, как описаны выше. – термин “радикал арилокси” предпочтительно означает радикалы, в которых радикал арила такой, как описан выше, например, фенокси, – термин “радикал арилалкокси” предпочтительно означает радикалы, в которых радикал арил и радикал алкокси являются вышеописанными радикалами, как, например, бензилокси, фенилэтокси или фенилизопропокси, – термин “радикал арилтио” означает предпочтительно радикалы, в которых радикал арил является таким, как описано выше, как, например, фенилтио, пиридилтио или пиримидилтио, имидазолилтио или N-метилимидазолилтио, – термин “радикал алкилтио” означает предпочтительно радикалы, в которых радикал алкил такой, как описан выше, например, метилтио, этилтио, пропилтио, изопропилтио, бутилтио, втор.бутилтио, трет.бутилтио, изопентилтио или изогексилтио, возможно замещенные, например, гидроксиметилтио или аминоэтилтио, – термин “галоалкилтио” означает предпочтительно радикалы, в которых радикал алкила такой, как описан выше, и замещен одним или несколькими атомами галогена, описанными выше, как, например, бромэтилтио, трифторметилтио, трифторэтилтио или пентафторэтилтио, – термин “радикал арилалкилтио или алкилтио, замещенный арилом”, означает, например, радикал бензилтио или фенэтилтио. Во всех радикалах R1, R2, R3 и R4, описанных выше, атомы серы могут быть не окислены, как в радикалах алкилтио, арилтио, циклоалкилтио, например, в циклогексилтио или, наоборот, могут быть окислены с образованием радикалов алкилсульфинила, циклоалкилсульфинила, арилсульфинила, алкилсульфонила, циклоалкилсульфонила или арилсульфонила: – термин “радикал алкилсульфинил и алкилсульфонил” означает радикалы алкилтио, в которых алкил, линейный или разветвленный, может иметь, например, значения, указанные выше для радикала алкила, и в которых тиогруппа окислена до сульфинила или сульфонила. Можно назвать в качестве примера такие радикалы, как метилсульфинил, этилсульфинил, метилсульфонил или этилсульфонил, – термин “радикал арилсульфинил и арилсульфонил” означает радикалы арилтио, в которых арил может иметь, например, значения, указанные выше для радикала арила, и в которых тиогруппа окислена до сульфинила или сульфонила, например радикалы фенил-сульфинил или фенил-сульфонил, пиридил-сульфинил или пиридил-сульфонил, пиримидил-сульфинил или пиримидил-сульфонил, имидазолил-сульфинил или имидазолил-сульфонил, или N-метилимидазолил-сульфинил или N-метилимидазолил-сульфонил. Радикалы карбамоил и амино, которые входят в значения одного или нескольких возможных заместителей радикалов, описанных в отношении соединений формулы (I), и в последующем тексте означают радикалы, в которых с атомом азота связаны два радикала, одинаковых или разных, выбранных из атома водорода с образованием аминорадикала, из алкильных радикалов, описанных выше, с образованием моноалкил- или диалкиламиногрупп, в которых радикалы алкила, линейные или разветвленные, содержат 1-6 атомов углерода, причем все эти радикалы могут быть замещены так, как указано выше и будет указано далее. Карбоциклические или гетероциклические радикалы, которые входят в значения R6, R7, R8 и R9, могут иметь значения, указанные выше для этих радикалов, в частности, фенил, бензил, фенетил, нафтил, индолил, индолинил, тиенил, фурил, пирролил, пиридил, пирролидинил, пиперидино, морфолино, пиперазинил, причем эти радикалы могут быть замещены одним или несколькими радикалами, описанными выше, и означать, например, метилпиперазинил, фторметилпиперазинил, этилпиперазинил, пропилпиперазинил, фенилпиперазинил или бензилпиперазинил. Когда R6 и R7, с одной стороны, и R8 и R9 или R14 и R15 с другой стороны, описанные выше, образуют с атомом азота, которым они связаны, гетероцикл, то речь идет, например, о цикле пирролила, имидазолила, индолила, индолинила, пуринила, пирролидинила, пиперидино, морфолино, пиперазинила, имидазолидинила, пиразолидинила, тиоморфолинила, азепина; при этом указанные радикалы могут быть замещены одним или несколькими радикалами, описанными выше, в частности одним или несколькими радикалами, выбранными из атомов хлора и фтора, радикалов метила, этила, изопропила, трет.бутила, метокси, этокси, пропокси, бензоила, метоксикарбонила, этоксикарбонила и означать, например, метилпиперазинил, фторметилпиперазинил, этилпиперазинил, пропилпиперазинил, фенилпиперазинил или бензилпиперазинил: в этих двух последних радикалах радикалы фенил и бензил могут быть замещены, как указано выше для радикалов арила, арилалкила и арилалкенила, и означать, например, хлорфенил или трифторфенил. Гетероциклом, который могут образовывать R6 и R7, с одной стороны, и R8 и R9, с другой стороны, соответственно с атомом азота, которым они связаны, является насыщенный гетерецикл. Соответственно в соединениях формулы (I) радикал карбамоил или аминогруппа таковы, что радикалы, которые находятся на атоме азота, одинаковые или разные, могут образовывать алифатические или циклизованные цепи или могут образовывать с атомом азота, которым они связаны, гетероцикл так же, как это было описано выше для R6, R7, R8, R9. Радикал карбамоил, возможно замещенный, и аминогруппа, возможно замещенная, означают соответственно радикалы, в которых один или два атома водорода, связанные с атомом азота, могут быть замещены одним или двумя радикалами, выбранными из радикалов, указанных выше. Радикал амино, возможно замещенный, обозначает, таким образом, аминорадикал, возможно замещенный одним или двумя алкильными радикалами, выбранными из вышеописанных алкильных радикалов, и может означать, например, в моноалкиламинорадикале метиламино-, этиламино- или изопропиламиногруппу или, например, в диалкиламинорадикале означать диметиламино, диэтиламино или метилэтиламиногруппу, причем эти алкильные радикалы могут быть замещены так же, как это указано выше, и, например, означать метоксиметил, метоксиэтил, этоксиэтил. В качестве неограничивающего примера радикала карбамоила, возможно замещенного, можно назвать радикал карбамоила, возможно замещенный на атоме азота одним или двумя алкильными радикалами, также возможно замещенными, как это описано выше, с образованием групп N-моноалкилкарбамил, такой как N-метилкарбамоил, N-этилкарбамоил, или группы N,N-диалкилкарбамоила, такой как N,N-диметилкарбамоил, N,N-диэтилкарбамоил; группы N-(гидроксиалкил)карбамоил, такой как N-(гидроксиметил)карбамоил, N-(гидроксиэтил)карбамоил, фенилкарбамоил; пиридилкарбамоил; бензилкарбамоил; N-метил-N-фенилкарбамоил; пиридилметилкарбамоил. Кроме того, среди замещенных алкильных радикалов можно назвать радикалы алкилов, замещенных карбамоильным радикалом, таким, как описано выше, с образованием группы карбамоилалкил, такой как карбамоилметил или карбамоилэтил. Радикалом амино может быть радикал алкоксикарбониламино, предпочтительно радикал трет.бутилоксикарбониламино или радикал бензилоксикарбониламино. Амино- и карбамоил радикалы могут быть замещены одной или двумя аминокислотами, выбранными из 20 природных аминокислот, таких как пролин, или, например, глицин, аланин, лейцин, изолейцин, валин или фенилаланин, или одной из других известных специалисту природных аминокислот. Когда индекс m1 принимает значения 0, 1, 2, 3 или 4, то радикал соответственно означает простую связь, радикал метилен, этилен, пропилен, изопропилен или бутилен.
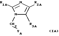
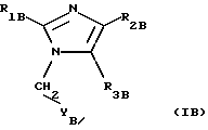
Один или несколько карбоксирадикалов соединений формулы (I) могут быть превращены в соль или этерифицированы различными группами, известными специалисту, из которых можно назвать, например:– среди солеобразующих соединений можно назвать минеральные основания, такие как эквивалент натрия, калия, лития, кальция, магния, или аммония, или органические основания, такие как, например, метиламин, пропиламин, триметиламин, диэтиламин, триэтиламин, N,N-диметилэтаноламин, три(гидроксиметил)аминометан, этаноламин, пиридин, пиколин, дициклогексиламин, морфолин, бензиламин, прокаин, лизин, аргинин, гистидин, N-метилглюкамин, – среди этерифицирующих агентов – радикалы алкила, образующие алкоксикарбонильные группы, такие как, например, метоксикарбонил, этоксикарбонил, трет. бутоксикарбонил или бензилоксикарбонил, причем эти алкильные радикалы могут быть замещены радикалами, выбранными, например, из атомов галогена, радикалов гидрокси, алкокси, ацила, ацилокси, алкилтио, амино или арила, и означать, например, хлорметил, гидроксипропил, метоксиметил, пропионилоксиметил, метилтиометил, диметиламиноэтил, бензил или фенетил. Соли соединений формулы (I), полученные при взаимодействии с минеральными или органическими кислотами, могут быть, например, солями, образованными с кислотами: соляной, бромистоводородной, иодистоводородной, азотной, серной, фосфорной, пропионовой, уксусной, муравьиной, бензойной, малеиновой, фумаровой, янтарной, винной, лимонной, щавелевой, глиоксиловой, аспарагиновой, аскорбиновой, с алкилмоносульфокислотами, такими как, например, метансульфокислота, этансульфокислота, пропансульфокислота, с алкилдисульфокислотами, такими как, например, метандисульфокислота, альфа-, бета- этандисульфокислоты, с арилмоносульфокислотами, такими как бензолсульфокислота, и с арилдисульфокислотами. Когда R1 и R2 оба являются серосодержащими группами, то предпочтительно R2 и R3 одинаковые или разные, и не обязательно должны иметь одну и ту же степень окисления. Предметом изобретения является, в частности, применение с указанной выше цепью соединений формулы (I), отвечающих формуле (IA): ![]() где RIA означает гидрокси, алкил, алкенил, алкинил, алкоксигруппу, алкилтиогруппу, причем каждый из этих радикалов, линейный или разветвленный, содержит не больше 12 атомов углерода, радикал формил или циклоалкил, содержащий 3-7 атомов углерода, или радикал диоксолан или диоксан, причем все эти радикалы могут быть замещены одним или несколькими радикалами, одинаковыми или разными, выбранными из атомов галогена, радикалов гидрокси, алкокси и алкилтио, содержащих не больше 6 атомов углерода, ацила, карбокси, свободной, превращенной в соль, этерифицированной или амидированной, цианогруппы, нитро-группы, аминогруппы, возможно замещенной одним или двумя радикалами алкила, одинаковыми или разными, содержащими не больше 6 атомов углерода, циклоалкила, содержащего 3-7 атомов углерода, и фенила, возможно замещенного одним или несколькими радикалами, выбранными из атомов галогена, радикалов гидрокси, алкила и алкокси, содержащих не больше 4 атомов углерода, трифторметила, карбокси свободной, превращенной в соль или этерифицированной, цианогруппы и тетразолила, R2А и R3А, одинаковые или разные, выбраны из: а) атомов галогена, радикалов меркапто, ацила, карбокси или карбоксикарбонила, свободного, превращенного в соль или этерифицированного, нитро, циано, b) радикалов R4A и -OR4A, где или R4A – радикал где значение m3 равно 0 и 1, значение m2 равно 0-2 илибо -XA-R10A означает аминогруппу, либо ХA означает простую связь или радикалы – NH, -NHCO-, -NH-CO-O-, -NH-CO-NH- и -N=СН-NR11A с R10A – радикал алкила, алкенила или арила, причем эти радикалы могут быть замещены одним или несколькими заместителями, выбранными из атомов галогена; радикалов гидрокси, алкила и алкоксигруппы, содержащих не больше 4 атомов углерода; радикалов трифторметила; нитро, циклогексила; циклопентила; арила, возможно замещенного одним или несколькими одинаковыми или разными радикалами, выбранными из атомов галогена, радикалов гидрокси, алкила и алкокси, содержащих не больше 6 атомов углерода, трифторметила, карбокси, свободного, превращенного в соль или этерифицированного, циано, нитро, аминогруппы, возможно замещенной одним или двумя алкильными радикалами, одинаковыми или разными, содержащими не больше 4 атомов углерода, и R11A – атом водорода или значения, указанные для R10A; или R4A – атом водорода, радикал алкил, алкенил и ацил, причем эти радикалы, линейные или разветвленные, и содержат не больше 6 атомов углерода и, возможно, прерваны одним или несколькими гетероатомами, выбранными из атомов серы, кислорода или азота, радикал амино, возможно замещенный одним или двумя алкильными радикалами, одинаковыми или разными, содержащими не больше 6 атомов углерода, радикал циклоалкил, содержащий 3-6 атомов углерода, или радикал арил, причем радикалы алкил, алкенил и арил во всех радикалах, составляющих R4, могут быть замещены одним или несколькими радикалами, одинаковыми или разными, выбранными из: – атомов галогена, – радикалов гидрокси, меркапто, циано, азидо, нитро, SO3Н, карбокси, свободной, превращенной в соль, этерифицированной или амидированной, – радикалов алкила, алкенила, алкокси, галоалкила, алкилтио, ацила, ацилокси, ацилтио, галоалкилтио, галоалкокси, причем эти радикалы содержат не больше 6 атомов углерода, арила, арилалкила, арилалкенила, арилтио, арилокси и арилалкокси, в которых арил может быть замещен одним или несколькими радикалами, одинаковыми или разными, выбранными из атомов водорода, радикалов гидрокси, алкила и алкокси, содержащих не больше 6 атомов углерода, трифторметила, карбокси, свободной, превращенной в соль или этерифицированной, циано, нитро, аминогруппы, возможно замещенной одним или двумя алкилами, одинаковыми или разными, содержащими не больше 4 атомов углерода, тетразолила и фенила, возможно замещенного одним или несколькими радикалами, выбранными из атомов галогена, радикалов гидрокси, алкила и алкокси, содержащих не больше 4 атомов углерода, трифторметила и карбокси, свободной, превращенной в соль или этерифицированной, – радикалов: ![]() и ![]() где или R6A и R7A или R8A и R9A, одинаковые или разные, выбраны из: – атома водорода, – радикалов алкила, содержащих не больше 6 атомов углерода и, возможно, замещенных одним или несколькими радикалами, одинаковыми или разными, выбранными из атомов галогена, радикала гидрокси или радикалов алкокси, содержащих не больше 4 атомов углерода, – радикалов арила и арилалкила, в которых алкил, линейный или разветвленный, содержит не больше 4 атомов углерода, причем эти радикалы арил и арилалкил могут быть замещены одним или несколькими радикалами, выбранными из атомов галогена, радикалов гидрокси, нитро, циано, трифторметила, причем радикалы алкил, алкокси и ацил содержат не больше 6 атомов углерода, аминогруппы, возможно замещенной одним или двумя алкильными радикалами, одинаковыми или разными, содержащими не больше 4 атомов углерода, радикалов карбокси, свободного, превращенного в соль или этерифицированного, тетразолила и фенила, возможно замещенного одним или несколькими радикалами, выбранными из атомов галогена, радикалов гидрокси, трифторметила, нитро-, циано, карбокси, свободного, превращенного в соль или этерифицированного, и тетразолила, или R6A и R7A или R8A и R9A соответственно образуют с атомом азота, с которым они связаны, моноциклический радикал, содержащий 5, 6 или 7 цепей, или радикал, состоящий из конденсированных циклов, содержащий 8-14 звеньев, причем эти радикалы, одинаковые или разные, могут содержать один или несколько других гетероатомов, выбранных из атомов кислорода, азота и серы, и могут быть замещены одним или несколькими радикалами, выбранными из атомов галогена, радикалов гидрокси, нитро, циано, трифторметила, радикалов алкила, алкокси и ацила, содержащих не больше 6 атомов углерода, аминогруппы, возможно замещенной одним или двумя алкильными радикалами, одинаковыми или разными, содержащими не больше 4 атомов углерода, радикалов карбокси, свободной, превращенной в соль, этерифицированной или амидированной, тетразолила, оксазолила и фенила, возможно замещенного одним или несколькими радикалами, выбранными из атомов галогена, радикалов гидрокси, трифторметила, нитро, циано, карбокси свободного, превращенного в соль или этерифицированного, и тетразолила, или R8А и R9А, одинаковые или разные, являются радикалом ацила, или один из радикалов R8A или R9A является радикалом карбамоила, алкоксикарбонила или бензилоксикарбонила, а другой выбран из значений, указанных выше для R8A и R9A, или же R8A и R9A образуют с атомом азота, с которым они связаны, радикал фталимидо или сукцинимидо, YA представляет собой радикал -Y1A-В-Y2A, где Y1A – означает арил, возможно замещенный одним или несколькими радикалами, выбранными из радикалов диоксола и радикалов, которыми представлены радикалы R2А и R3A, В – простая связь между Y1A и Y2A или один из следующих двухвалентных радикалов: -СО-, -О-, -NH-CO-, -CO-NH- или -О-(СН2)p, где р – 1, 2 или 2, Y2A – имеет следующие значения: либо, независимо от значения В, и если Y2A одинаков или отличен от Y1A, то Y2A имеет значения, указанные для Y1A, либо, если В – простая связь, то Y2A является атомом водорода, атомом галогена, радикалом циано, карбокси, свободным, превращенным в соль, этерифицированным или амидированным, радикалом тетразолила или радикалом описанным выше,причем указанные соединения формулы (IA) представлены во всех возможных изомерах рацемических, энантиомерах и диастереоизомерах, а также в виде соли с минеральной и органической кислотой или с минеральным и органическим основанием. Предметом изобретения является, в частности, применение с указанной выше целью соединений формулы (I) и соответствующих формуле (IB): ![]() где RIB означает алкил, алкокси или алкилтио, линейный или разветвленный, содержащий не больше 6 атомов углерода, или радикал диоксолана или диоксана, причем все эти радикалы могут быть замещены одним или несколькими радикалами, одинаковыми или разными, выбранными из атомов галогена, радикалов гидрокси, алкокси и алкилтио, содержащих не больше 6 атомов углерода, ацила, карбокси, свободного, превращенного в соль, этерифицированного или амидированного, циано, нитро, аминогруппы, возможно замещенной одним или двумя алкильными радикалами, одинаковыми или разными, содержащими не больше 6 атомов углерода, циклоалкила, содержащего 3-7 атомов углерода, и фенила, возможно замещенного одним или несколькими радикалами, выбранными из атомов галогена, радикалов гидрокси, алкила и алкокси, содержащих не больше 4 атомов углерода, трифторметила, карбокси, свободного, превращенного в соль или этерифицированного, цианогруппы и тетразолила, R2B и R3B, одинаковые или разные, выбраны из: a) атомов галогена; радикала меркапто; радикалов карбокси или карбоксикарбонила, свободного, превращенного в соль или этерифицированного; радикала гидрокси; радикалов алкокси и ацила, содержащих не больше 6 атомов углерода, цианогруппы, нитрогруппы, бензоила; b) радикалов R4B и -ОR4B, где или R4B является радикалом ![]() где m3 равно 0 и 1, m2 =от 0 до 2 и либо Х-R10B означает аминогруппу, либо ХB означает простую связь или радикалы -NН, -NHCO-, -NН-СО-O, -NH-СО-NH- и -N=CH-NR11B, а радикал R10B означает метил, этил, пропил, винил, аллил, пиридил, фенил, пиримидинил, тетразолил, тиазолил, диазолил, хинолил или фурил, причем все радикалы алкила и алкенила могут быть замещены одним или несколькими заместителями, выбранными из атомов галогена, радикалов гидрокси и алкокси, содержащей не больше 4 атомов углерода, радикалов трифторметила, нитро, циклогексила, циклопентила, пиридила, пиримидинила, тиенила, тетразолила и фенила, причем все радикалы фенила могут быть замещены одним или несколькими радикалами, выбранными из атомов галогена, радикалов гидрокси, алкокси, содержащей не больше 4 атомов углерода, циано и тетразолила, и R11B означает атом водорода или значения, указанные для R10B, или R4B – атом водорода или радикал алкил или алкенил, линейный или разветвленный, содержащий не больше 6 атомов углерода, циклогексил, фенил, пиридил, пиримидинил, тетразолил или имидазолил, причем все эти радикалы могут быть замещены одним или несколькими радикалами, одинаковыми или разными, выбранными из: – атомов галогена, – радикалов гидрокси, меркапто, алкилтио, трифторметила, трифторметилтио, трифторметокси, циано, азидо, нитро, формила, -SO3Н, карбокси, свободного, превращенного в соль, этерифицированного или амидированного, – радикалов алкила, алкилтио, ацила, ацилокси и алкокси, содержащих не больше 6 атомов углерода, радикалов фенила и фенилтио, причем все эти радикалы могут быть сами замещены одним или несколькими радикалами, выбранными из атомов галогена, радикала гидрокси, радикалов алкокси, содержащих не больше 4 атомов углерода, карбокси, свободного, превращенного в соль, этерифицированного или амидированного, нитро и фенила, – радикалов изоксазолила, пирролидинила, пирролидинилкарбонила, пиридила, пиримидила, тиазолила, диазолила, пиперидинила, тетразолила, тетрагидрофуранила, причем все эти радикалы могут быть замещены радикалом метила, этила или нитрогруппой, – радикалов: ![]() и ![]() где или R6B, R7B, R8B и R9B, одинаковые или разные, выбраны из атома водорода, радикалов алкила, содержащих не больше 4 атомов углерода и, возможно, замещенных одним или несколькими радикалами, одинаковыми или разными, выбранными из атомов галогена, радикала гидрокси или радикалов алкокси, содержащих не больше 4 атомов углерода, и радикалов фенила, бензила, фенетила, азепина, пиперидила, морфолина, пирролидинила, пиперазинила, или, с одной стороны, R6B и R7B и, с другой стороны, R8B и R9B, образуют соответственно с атомом азота, с которым они связаны, гетероциклический радикал, причем эти радикалы, одинаковые или разные, выбраны из радикалов имидазолила, пирролила, пирролинила, пирролидинила, пиридила, пиперидинила, пиримидинила, пиридазинила, пиразинила, пиперазинила, фенилпиперазинила, пиперидила, оксазолила, морфолинила и тиоморфолинила, азепина, индолила, причем эти радикалы могут быть замещены одним или несколькими радикалами, одинаковыми или разными, выбранными из атомов галогена, радикалов гидрокси, нитро, циано, ацила, трифторметила, алкила и алкоксигруппы, причем эти радикалы содержат не больше 4 атомов углерода, карбокси, свободного превращенного в соль, этерифицированного или амидированного, тетразолила, оксазолила и фенила, YB означает радикал фенил, возможно замещенный одним или несколькими радикалами, выбранными из атомов галогена, радикалов диоксола, радикалов циано, карбокси, свободного, превращенного в соль или этерифицированного, радикала тетразолила и радикала описанного выше, причем указанные соединения формулы (IB) могут находиться во всех возможных изомерах, рацемических, энантиомерах и диастереоизомерах, а также в виде соли с минеральной и органической кислотой или с минеральным и органическим основанием.
Радикал может быть, в частности, радикалами, в которых XB-R10B являются следующими радикалами:-NH-CO-V-V4 ![]() ![]() ![]() ![]() ![]() ![]() где n3 – целое число от 0 до 3, V – простая связь или радикалы -NН- и -О-, V1 и V2, одинаковые или разные, являются атомом водорода, атомом галогена, в частности хлора или фтора, и радикалом алкокси, в частности метоксигруппы, и V4 – атом водорода или радикал алкила или алкенила, такой как метил, этил, пропил, бутил, винил или аллил. Радикал описанный выше, может означать в качестве примеров перечень радикалов:-SO2-NH2, -SO2-N=CH-H(CH3)2, SO2-NH-CO-CF3, ![]() ![]() ![]() ![]() ![]() ![]() ![]() -SO2-NH-CO-NH-nPr, ![]() ![]() ![]() -SO2-NH-CO2H, -SO2-NH-CO2Et, SO2-NH-СО2Pr, -SO2-NH-СО2BU ![]() ![]() Изобретение относится, в частности, к соединения формулы (ID), соответствующих формуле (I), описанной выше, где Y – радикал бензофуранил или радикал фенил, замещенный двумя радикалами, образующими вместе радикал диоксол, и, возможно, замещенный одним или несколькими заместителями, выбранными из значений R2 и R3, описанных выше, причем указанные соединения формулы (ID) имеют все возможные рацемические изомеры, энантиомеры и диастереоизомеры, а также представлены в виде солей с минеральной и органической кислотой или с минеральным и органическим основанием. Изобретение касается, более конкретно, соединений формулы (ID), описанной выше, и соответствующих формуле (IC): ![]() где R1C – радикал гидрокси, алкил, алкокси или алкилтио, линейный или разветвленный, содержащий не больше 12 атомов углерода, радикал формил или радикал диоксолан или диоксан, причем все эти радикалы могут быть замещены одним или несколькими радикалами, выбранными из радикалов гидрокси, карбокси, свободного, превращенного в соль, этерифицированного или амидированного, алкоксигруппы, линейной или разветвленной, содержащей не больше 4 атомов углерода, и фенила, который сам может быть замещен радикалом гидрокси или алкокси, линейным или разветвленным, содержащим не больше 4 атомов углерода, R2C и R3C, одинаковые или разные, выбраны из: а) атомов галогена; радикала карбокси или карбоксикарбонила, свободного, превращенного в соль или этерифицированного алкилом, содержащего не больше 4 атомов углерода; радикала формила; б) радикала в котором m3 равно 0 и 1, m2 – 0-2 илибо – ХB-R10B означает аминогруппу, либо ХB – простая связь или радикалы -NН, -NHCO-, -NH- СО-O-, -NH-CO-NH- и N=CH-NR11B, a R10B означает алкил или алкенил, линейный или разветвленный, содержащий не больше 10 атомов углерода, пиридил, фенил, пиримидинил, тетразолил, тиазолил, диазолил, хинолил, или фурил, причем все радикалы алкила, алкенила и фенила могут быть замещены одним или несколькими заместителями, выбранными из атомов галогена, радикалов гидроксила, алкила, алкенила, алкокси, содержащей не больше 4 атомов углерода, радикалов карбокси, свободного, превращенного в соль или этерифицированного, радикалов трифторметила, нитро, циклогексила, циклопентила, пиридила, пиримидинила, тиенила, тетразолила, морфолинила и фенила, причем все фенильные радикалы могут быть сами замещены одним или несколькими радикалами, выбранными из радикалов диоксола, циано, тетразолила, алкила и алкенила, содержащих не больше 4 атомов углерода, которые сами могут быть замещены радикалом карбоксигруппы, и R11 означает атом водорода или значения, указанные для R10B и в) радикалов алкила, алкенила, содержащих не больше 4 атомов углерода, радикала арила, циклоалкила или циклоалкенила, содержащих до 6 атомов углерода и, возможно, один или несколько гетероатомов, причем эти радикалы связаны с циклом имидазола либо непосредственно либо через заместитель Q, который означает атом кислорода или серы или радикал ![]() в котором n’ равно 1-4, -СН=СН-, ![]() где атом серы может быть окислен до сульфоксида или сульфона, причем все эти радикалы, возможно, замещены одним или несколькими радикалами, выбранными из атомов галогена, радикалов гидрокси, алкокси, содержащего не больше 4 атомов углерода, циклоалкила, карбокси, свободного, превращенного в соль или этерифицированного, диоксола и фенила, радикалы, кроме того, могут быть замещены одним или несколькими радикалами, выбранными из радикалов диоксола, алкила, алкенила, возможно замещенных радикалом карбокси, свободным, превращенным в соль или этерифицированным, и YC означает радикал фенил, замещенный двумя радикалами, образующими вместе радикал диоксол, и, в случае необходимости, одним или несколькими заместителями, выбранными из значений R2C и R3C, причем указанные соединения формулы (IC), могут находиться во всех возможных изомерах, энантиомерах и диастереоизомерах, а также в виде солей с минеральной и органической кислотой или с минеральным и органическим основанием. В вышеописанной формуле (IC) под радикалом алкил или алкенил, линейным или разветвленным, входящим в значения радикала R10B, понимают, в частности, радикал метил, этил, пропил, бутил, пентил, гексил, гептил, октил, линейный или разветвленный, винил, аллил. В вышеописанной формуле (IС) под радикалом арил имеется в виду, в частности, фенил, морфолинил или тетразолил. Изобретение относится еще более конкретно к соединениям формулы (IC), описанным выше, где: R1C – радикал алкил или алкокси, линейный или разветвленный, содержащий не больше 4 атомов углерода, возможно замещенный одним или несколькими радикалами, выбранными из радикалов гидрокси, алкокси и фенила; радикала диоксолан; радикала алкилтио, в котором алкил, линейный или разветвленный, содержащий не больше 12 атомов углерода, возможно, замещен фенилом, который сам, возможно, замещен одним или несколькими радикалами, выбранными из атомов галогена и алкоксильных радикалов, a) R2С – атом галогена, радикал формил, алкилтио или алкенилтио, линейный или разветвленный, содержащий не больше 8 атомов углерода, возможно замещенный радикалом гидрокси или карбокси, свободным, превращенным в соль или в сложный эфир, b) или R2C – радикал циклогексил, радикал морфолинил или радикал фенил, причем все эти радикалы связаны с циклом имидазола либо непосредственно либо через заместитель Q, описанный выше, а радикалы циклогексила и фенила, возможно, замещены одним или несколькими радикалами, выбранными из атомов галогена, гидроксигруппы, радикалов алкокси, алкила или алкенила, возможно замещенных карбоксигруппой, с) или R2C – радикал ![]() ![]() ,![]() где Q определен выше, n1 равно 1-4, n2 равно 0-3 и n3 равно 1-3, R3C – радикал карбокси, свободный, превращенный в сложный эфир, в соль или амид, радикал сульфонилкарбамид, радикал тетразолил, свободный или превращенный в соль, или радикал алкил или алкенил, линейный или разветвленный, содержащий не больше 4 атомов углерода, возможно замещенный радикалом карбокси, свободным, превращенным в сложный эфир, в соль или амид, или радикалом тетразолила или сульфонилкарбамида. YC – радикал фенил, замещенный двумя радикалами, образующими вместе радикал диоксол, и, возможно, одним или несколькими радикалами, выбранными из атома галогена, гидроксигруппы, радикал алкокси, карбокси или карбоксикарбонила, превращенного в соль или в сложный эфир, и тетразолила, при этом указанные продукты формулы (IС) находятся во всех возможных изомерах, энантиомерах и диастереоизомерах, а также в виде солей с минеральной и органической кислотой или с минеральным и органическим основанием. Более конкретно, изобретение относится к продуктам формулы (IС), описанной выше, где RIC выбран из радикалов метила, этила, пропила, бутила, линейного или разветвленного, возможно замещенного радикалом гидрокси или алкокси, и радикалов алкилтио, содержащего до 6 атомов углерода, диоксолана и диоксана, R2C выбран из радикалов: ![]() ![]() ![]() ![]() где n4 равно 2 или 3, и n2 и n3 имеют значение, указанное выше. b) радикалов алкилтио, алкенилтио, циклоалкилтио, циклоалкила, циклоалкилалкила, циклоалкилалкенила, фенила, фенокси, фенилтио, бензила, бензоила, фенилтиоалкила, в которых радикалы алкил, алкенил, циклоалкил и фенил, возможно, замещены одним или несколькими радикалами, выбранными из радикалов гидрокси, карбокси, алкила, алкенила и алкокси, из которых три последних радикала сами возможно замещены карбоксигруппой, причем в фенильных радикалах, кроме того, два смежных атома углерода, возможно, замещены радикалом диоксол; R3С выбран из радикалов карбокси, свободной или этерифицированной, тетразолила или сульфонилкарбамида, YC означает фенил, замещенный двумя радикалами, образующими вместе радикал диоксол, и, возможно, одним или несколькими радикалами, выбранными из атомов галогена и радикалов гидрокси, алкокси и карбокси. Из соединений, являющихся предметом изобретения, особенно интересны, в частности, соединения формулы (IС), соответствующие следующим конкретным соединениям: – 1-((6-хлор-1,3-бензодиоксол-5-ил)метил)-4-((4-метоксифенил)метилтио) 1Н-имидазол-5-карбоновая кислота, – 2-бутил-1-((6-хлор-1,3-бензодиоксол-5-ил)метил)-5-((4-метоксифенил)тио) 1Н-имидазол-4-карбоновая кислота, – 1-((6-хлор-1,3-бензодиоксол-5-ил)метил) 2,4-бис-(((4-метоксифенил)метил)тио) 1Н-имидазол-5-карбоновая кислота, – 1-((6-хлор-1,3-бензодиоксол-5-ил)метил)-4-(4-(метокси-фенил)тио) 2-(пропилтио) 1Н-имидазол-5-карбоновая кислота, – 1-((6-хлор-1,3-бензодиоксол-5-ил)метил) 4-((3,4-диметоксифенил)тио) 2-пропил-1Н-имидазол-5-карбоновая кислота, – 2-бутил-1-((6-хлор-1,3-бензодиоксол-5-ил)метил) 4-(циклогексилтио) 1Н-имидазол-5-карбоновая кислота, – 2-бутил-4-((3-карбоксипропил)тио 1-((6-хлор-1,3-бензодиоксол-5-ил)метил) 1Н-имидазол-5-карбоновая кислота, – 4-(((4-(2-карбоксиэтил)фенил)тио)метил) 1-((6-хлор-1,3-бензодиоксол-5-ил)метил) 2-пропил-1Н-имидазол-5-карбоновая кислота, – 4-((3-карбоксипропил)тио) 1-((6-хлор-1,3-бензодиоксол-5-ил)метил) 2-пропил-1Н-имидазол-5-карбоновая кислота, – 4-((7-карбоксигептил)тио) 1-((6-хлор-1,3-бензодиоксол-5-ил)метил) 2-пропил-1Н-имидазол-5-карбоновая кислота. Продукты формулы (I), не соответствующие формуле (ID), могут быть приготовлены, в частности, так, как указано в заявках на европатент ЕР 0465368 или ЕР 0503162. Продукты формулы (ID) и формулы (IC) могут быть приготовлены так, как описано ниже. Изобретение относится также к способу получения продуктов формулы (I), заключающемуся в том, что: либо подвергают соединение формулы (II): ![]() где R’1 имеет значение, указанное выше для R1, в котором возможные реакционные функции в случае необходимости защищены защитными группами, реакции взаимодействия с соединением формулы (III): ![]() где Hal – атом галогена, а Y’ имеет значение, указанное выше для Y, в котором возможные реакционные функции в случае необходимости защищены защитными группами, с получением продукта формулы (IV1): ![]() где R1‘ и Y’ имеют значения, указанные выше, полученный продукт формулы (IV1) подвергают реакции галогенирования для образования продукта формулы (IV2): ![]() где R1‘, Hal и Y’ имеют указанные выше значения либо подвергают соединение формулы (VIII): ![]() где Hal имеет значение, указанное выше, или реакции с соединением формулы (III), описанной выше, или действию защитной группы Р для образования продукта формулы (IX): ![]() где Hal имеет значение, указанное выше, и W означает или группу -СН2-Y’, где Y’ указан выше, или защитную группу Р атома азота, полученный продукт формулы (IX) подвергают реакции обмена галоген-металл, с последующей реакцией с электрофильным соединением формулы (X), (X’), (XI), (ХII) или (ХII’): L1-CHO (X) L1-CHO-Cl (X’) (S-L1)2 (XI) L1SO2-S-L’1 (XII) L1SO2-CL (XII’) где L1 и L1′, одинаковые или разные, являются радикалом алкила, алкенила или арила, описанных выше, для образования продукта формулы (XIII): ![]() где Hal и W имеют значение, указанное выше, R1” – радикал арил- или алкил-карбонил, арил- или алкил-гидроксиалкил или алкилтиогруппу, в которых радикалы арила и алкила имеют значения, указанные выше, и в которых возможные реакционные функции в случае необходимости защищены защитными группами, полученные выше продукты формул (IV2) и (XIII), подвергают реакции обмена галоген-металл с одним из атомов галогена, а затем реакции с СO2, или ДМФ, или с электрофильным соединением формулы (Va), (Vв), (VIa), (VIв) или (VIс): (-S-Z1)2 (Va) или MeSO2SZ1 (Vв) или ![]() или ![]() или ![]() где Z1 – радикал алкил, алкенил или арил, возможно замещенные, в которых возможные реакционные функции в случае необходимости защищены защитными группами, и alk – алкил, содержащий не больше 4 атомов углерода, для образования соединения формулы (I1): ![]() или соединения формулы (XIV): ![]() где R1‘,, R1“, Hal, Y’ и W имеют значения, указанные выше, и Z3 означает радикал карбокси, формил, группу -S-Z1-, определенную выше, или радикал К-O-alk, в котором К – радикал ![]() и alk имеет значение, указанное выше, полученное соединение формулы (I1) или (XIV), когда Z3 – радикал формил или этерифицированная карбоксигруппа, подвергают реакции с соединением формулы (VII): Z2-S-M (VII) где S – атом серы, М – металл, такой как натрий, калий или медь, и Z2 – радикал алкил, алкенил или арил, возможно замещенный, в которых возможные реакционные функции в случае необходимости защищены защитными группами для образования соответственно соединения формулы (I2): ![]() или соединения формулы (XV): ![]() где R1‘, R1“, Y’, Z2 и W имеют значения, указанные выше, и Z4 – радикал формил или этерифицированная карбоксигруппа, полученное соединение формулы (I2) или (XV), когда Z4 означает радикал формил, подвергают окислению или восстановлению для образования соответственно продукта формулы (I3): ![]() или продукта формулы (I4): ![]() где R1‘, R1“, Z2, Y’ и W имеют значения, указанные выше, и Z5 – радикал СН2ОН или карбоксигруппа, свободная или этерифицированная алкилом, линейным или разветвленным, содержащим не больше 6 атомов углерода, полученный продукт формул (XV) или (I4) в случае, если W является Р, указанным выше, и после освобождения аминофункции от группы Р, указанной выше, подвергают взаимодействию с соединением формулы (III), описанной выше, для образования продукта формулы (I5): ![]() где R1” и Y’ имеют значения, указанные выше, R2” и R3” являются независимо друг от друга, один – Z4 или Z5, указанные выше, и другой – группой S-Z2, указанной выше, либо подвергают соединение формулы (XVI): ![]() где R1‘ имеет значение, указанное выше, и R2‘ и R3‘ имеют значения, указанные выше соответственно для R2, и R3, в которых возможные реакционные функции в случае необходимости защищены защитными группами, реакции с соединением формулы (III), описанной выше, для образования соединения формулы (I’): ![]() где R1‘, R2‘, R3‘ и Y’ имеют значения, указанные выше, или подвергают соединение формулы (XVII): ![]() где R1‘ имеет ранее указанное значение, реакции окисления для образования продукта формулы (XVIII): ![]() где R1‘ имеет ранее указанное значение и один или оба Z6 и Z7 являются карбоксигруппой, свободной или этерифицированной, и, в случае необходимости, другой из Z6 и Z7 сохраняет значение CN, полученный продукт формулы (XVIII) подвергают взаимодействию с соединением формулы (III), описанной выше, для образования продукта формулы (I6): ![]() где R1‘, Y’, Z6 и Z7 – имеют вышеуказанное значение: причем соединения формул (I1), (I2), (I3), (I4), (XIV), (XV), (I5), (I6) и (I’), могут быть соединениями формулы (I), а для получения других продуктов формулы (I) подвергают соединения указанных формул одной или нескольким следующим реакциям преобразования в любом порядке: а) реакции этерификации кислотной функции, б) реакции омыления эфирной функции до кислотной, в) реакции преобразования эфирной функции в ацильную, г) реакции преобразования цианогруппы в кислотную, д) реакции преобразования кислотной функции в амидную, затем, в случае необходимости, в тиоамидную, е) реакции восстановления карбоксигруппы до спиртовой, ж) реакции преобразования алкоксигруппы в гидроксильную или гидроксильной группы в алкоксигруппу, з) реакции окисления спирта до альдегида, кислоты или кетона, и) реакции преобразования радикала формила в радикал карбамоила, к) реакции преобразования карбамоила в нитрил, л) реакции преобразования нитрильной группы в тетразолил, м) реакции окисления алкилтиогруппы или арилтиогруппы в соответствующий сульфоксид или сульфон, н) реакции преобразования сульфида, сульфоксида или сульфона в соответствующий сульфоксимин, о) реакции преобразования оксогруппы в тиоксогруппу, п) реакции преобразования радикала ![]() в радикал ![]() а затем, если необходимо, снова в радикал ![]() где L1 – такой, как описан выше, р) реакции преобразования кислотной группы в группу формулы ![]() с) реакции преобразования бета-кетосульфоксида в альфа-кетотиоэфир, т) реакции преобразования карбамата в карбамид, в частности сульфонилкарбамата в сульфонилкарбамид, у) реакции преобразования галогенсодержащей группы в формильную или этерифицированную карбоксигруппу, ф) реакции преобразования формила в группу СН2-СО2 алк или СН=СН-СО2 алк, где алк означает алкил, содержащий 1-4 атомов углерода, с последующим, в случае необходимости, преобразованием в соответствующую кислоту, х) реакции преобразования радикала формил в радикал ![]() а затем, в случае необходимости, в ![]() ц) реакции преобразования радикала формила в радикал СН2-ОН или ![]() а затем, в случае необходимости, в CH2-RS или преобразования ![]() с получением алкильных или ацильных радикалов, возможно замещенных так, как описано выше для R2‘ и R3‘, ч) реакции окисления радикала S-алк до радикала ![]() с последующим преобразованием в SH-группу, или, при необходимости, в S-Z2 группу, где алк и Z2 имеют указанные выше значения, ш) реакции удаления защитных групп с реакционных функций, э) реакции образования соли с минеральной или органической кислотой или с основанием, ю) реакции расщепления рацематов на отдельные изомеры, и получают целевые продукты формулы (I) во всех возможных изомерах, энантиомерах и диастереоизомерах. Можно отметить, что указанные реакции превращения одних заместителей в другие могут быть также произведены как с исходными продуктами, так и с промежуточными, описанными выше, перед тем как продолжать синтез согласно реакциям, указанным в вышеописанном способе. Предпочтительные условия осуществления способа следующие. Соединение формулы (III) в качестве атома галогена предпочтительно содержит атом брома, но может содержать атом хлора или иода. Реакция конденсации имидазолов вышеописанных формул (II), (VIII), (XVI), (XV) и (I4) (если в соединениях формул (XV) и (I4) W является защитной группой Р, то после снятия защитной группы с атома азота) с соединением формулы (III), описанной выше, для образования соответственно соединений формул (IV1), (IX), где W является Y’, (I5) и (I’), осуществляют в растворителе, таком как, например, диметилформамид или диметилацетамид, тетрагидрофуран, диметоксиэтан или диметилсульфоксид, при температуре кипения с обратным холодильником или при комнатной температуре, предпочтительно при перемешивании; реакцию осуществляют предпочтительно в присутствии основания, например гидрида натрия или калия, или же карбоната натрия или калия, метилата или этилата или трет.бутилата натрия или калия. Реакцию галогенирования соединения формулы (IV1) с образованием соединения формулы (IV2) осуществляют в условиях, известных специалисту, в частности путем бромирования с помощью БСИ в СН2Cl2 или Br2 в уксусной кислоте. Соединения формул (IV2), (IX) и (XIII), описанных выше, подвергают реакции обмена галоген-металл с атомом галогена путем реакции с металлоорганическим соединением, таким как нBuLi или EtMgBr в растворителе, таком как ТГФ, при температуре примерно -78oС в случае BuLi и при комнатной температуре в случае EtMgBr. Реакции карбоксилирования с помощью СO2 и формулирования с помощью ДМФ соединений формул (IV2) и (XIII) с образованием соответственно соединений формул (I1) и (XIV) могут быть осуществлены в условиях, известных специалисту, например в тетрагидрофуране при комнатной температуре. Символы Z1 и Z2, одинаковые или разные, являются радикалом алкил, алкенил или арил таким образом, что группы Z1-S-и Z2-S- имеют соответствующие значения, определяемые выше радикалами R2 и R3, в которых возможные реакционные функции в случае необходимости защищены защитными группами. L1 и L1‘, одинаковые или разные, являются алкилом, алкенилом или арилом, при этом R1” имеет соответствующие значения, выбранные из значений R1, указанных выше, в которых возможные реакционные функции в случае необходимости защищены защитными группами. Реакция соединения формулы (IV2) или (XV) с соединением формулы (VIa), (VIв) или (VIс) с образованием соответствующего соединения формулы (I1) или (XIV), описанных выше, может быть осуществлена аналогичным образом с использованием EtMgBr в качестве агента металлирования в тетрагидрофуране при комнатной температуре. Реакция соединения формулы (IV2) или (XIII) с соединением формулы (Vа) или (Vв) может быть осуществлена в условиях, известных специалисту, т.е., например, в тетрагидрофуране при комнатной температуре. Реакция соединения формулы (IX) с соединениями формул (X), (XI), (XII) и (XII’) может быть осуществлена в условиях, известных специалисту, т.е., например, в тетрагидрофуране при обычной температуре. Функция амина в соединениях формул (XV) и (I4), описанных выше, защищенная с помощью группы Р, описанной выше, может быть освобождена в обычных условиях, известных специалисту, в частности, когда Р означает радикал -СН2-O-(СН2)2-Si(CH3)3, то атом водорода может быть высвобожден в ТГФ или в присутствии иона фторида. Реакция омыления может быть осуществлена обычными методами, известными специалисту, например в растворителе, таком как метанол или этанол, диоксан или диметоксиэтан, в присутствии гидроксида натрия или калия или карбоната цезия. Реакции восстановления или окисления продуктов формул (I2) и (XV) соответственно до продуктов формул (I3) и (I4) могут быть осуществлены обычными способами, известными специалисту. В зависимости от значений R1‘, R1“, R2‘, R2“, R3‘, R3” соединения формул (I1), (I2), (I3), (I4), (I5), (I6), (XIV), (IV2), (XV) и (I’) представляют собой продукты формулы (I), или могут образовывать продукты формулы (I), или могут быть преобразованы в другие продукты формулы (I), будучи подвергнуты одной или нескольким реакциям а)-ю), указанным выше. Таким образом, различные реакционные функции, которые могут иметь некоторые соединения в вышеуказанных реакциях, могут, если необходимо, быть защищены: речь идет, например, о радикалах гидроксила, ацила, свободных карбоксигруппах или об амино- и моноалкиламиногруппах, которые могут быть защищены соответствующими защитными группами. Ниже приведены примеры защиты реакционных функций: – группы гидроксила могут быть защищены, например, радикалами алкила, такими как третичный бутил, триметилсилил, трет.бутилдиметилсилил, метоксиметил, тетрагидропиранил, бензил или ацетил, – аминогруппы могут быть защищены, например, радикалами ацетила, тритила, бензина, трет.бутоксикарбонила, фталимидо или другими радикалами, известными в химии пептидов, – ацильные группы, такие как формил, могут быть защищены, например, в виде кеталей или тиокеталей, циклических и нециклических, таких как диметил- или диэтилкеталь или этилендиоксикеталь, или диэтилтиокеталь, или этилендитиокеталь, – кислотные функции вышеописанных продуктов могут быть, если необходимо, переведены в амиды с помощью первичного или вторичного амина, например в метиленхлориде в присутствии, например, хлоргидрата 1-этил-3(диметиламинопропил)карбодиимида при комнатной температуре: кислотные функции могут быть защищены, например, в виде сложных эфиров, образующихся с легко расщепляемыми эфирами, такими как бензиловые эфиры или трет.бутиловые эфиры, или эфиры, известные в химии пептидов. Реакции, которым продукты формул (I1), (I2), (I3), (I4), (I5), (IV2), (XIV), (XV) и (I’) могут быть подвергнуты, осуществляются, например, как указано ниже. а) Вышеописанные продукты при желании можно ввести в реакцию этерификации возможных карбоксигрупп, которая осуществляется обычными способами, известными специалисту. б) Возможные преобразования эфирных функций в кислотные вышеописанных продуктов могут быть осуществлены в обычных условиях, известных специалисту, в частности кислотным или щелочным гидролизом, например гидроксидом натрия или калия в спиртовой среде, такой как метанол, или соляной или серной кислотой. в) Реакция присоединения по сложноэфирным функциям ![]() где Е1 – радикал алкил или арил, возможно замещенный и в случае необходимости защищенный с образованием ацильной группы ![]() может быть осуществлена действием карбаниона ![]() где Е2, Е3 и Е4, одинаковые или разные, выбраны из атомов водорода, радикалов алкила, алкилтиоарила, алкилсульфоксида, арилсульфоксида, алкилсульфона, арилсульфона, ацила, свободной карбоксигруппы, превращенной в соль, этерифицированной или амидированной, причем радикалы алкил, алкилтио и арил могут быть замещены и в случае необходимости защищены, как это указано выше. Такая реакция осуществляется так, как это описано в экспериментальной части, или обычными методами, известными специалисту. г) Цианогруппы вышеописанных продуктов могут быть преобразованы в кислотные в обычных условиях, известных специалисту, например двойным гидролизом в кислой среде, такой как, например, смесь серной кислоты, ледяной уксусной кислоты и воды, причем эти три кислоты предпочтительно взяты в равных пропорциях, или в смеси гидроксида натрия, этанола и воды, с обратным холодильником. д) Реакция преобразования кислотной функции в амидную может быть осуществлена образованием сначала хлорангидрида кислоты в обычных условиях, известных специалисту, например действием SOCl2, затем амидированием, указанным выше, или прямым амидированием вышеуказанной кислоты. В частности можно получить радикал ![]() путем превращения кислотной функции в хлорангидрид кислоты действием SOCl2 в растворителе, таком как толуол или бензол, затем действуя на него амином ![]() Полученный таким образом амид может при желании быть преобразован в тиоамид действием реактива LAWESSON в толуоле, е) свободная или этерифицированная карбоксигруппа вышеописанных продуктов может быть восстановлена до спиртовой известными специалисту методами: этерифицированная карбоксигруппа может быть восстановлена до спиртовой способами, например, гидридом лития и алюминия в растворителе, таком как, например, тетрагидрофуран. или диоксан, или этиловый простой эфир. Свободная карбоксигруппа вышеописанных продуктов может быть восстановлена до спиртовой, например, гидридом бора. ж) алкоксигруппа, такая как метоксигруппа, вышеописанных продуктов может быть преобразована в гидроксильную в обычных условиях, известных специалисту, например трибромидом бора в растворителе, таком как, например, метиленхлорид, бромгидрат или хлоргидрат пиридина, или бромистоводородной или соляной кислотой в воде, или трифторуксусной кислотой с обратным холодильником. з) Спиртовые функции вышеописанных продуктов могут быть преобразованы в альдегидную или кислотную функции путем окисления в обычных условиях, известных специалисту, таких как, например, воздействием оксида марганца для образования альдегидов или реактива Джонса для образования кислот. и), к) Реакции преобразования формильного радикала в карбамоильный и карбамоильного радикала в радикал нитрила осуществляют, в частности, для R3 и R4 в обычных условиях, известных специалисту, таких, например, с образованием промежуточного кетонитрила и заменой амином (Chem. Com. 1971, с. 733). л) Нитрильные функции вышеописанных продуктов могут быть преобразованы в тетразолил в обычных условиях, известных специалисту, таких как, например, циклоприсоединением азида металла, такого как, например, азида натрия или азита триалкилолова к нитрильной функции так, как указано в способе, описанном в следующей статье: J.Organometallic Chemistry., 33, 337(1971) KOZIMA S. и сотр. м) Алкилтиогруппа или арилтиогруппа вышеописанных продуктов может быть преобразована в соответствующие группы сульфоксид или сульфон в обычных условиях, известных специалисту, таких как, например, с помощью перкислот, например надуксусной или метахлорнадбензойной кислотой, или озоном, оксония, периодатом натрия в растворителе, таком как метиленхлорид или диоксан, при комнатной температуре. Получению сульфоксидной группы может благоприятствовать эквимолярная смесь продукта, содержащего алкилтиогруппу или арилтиогруппу, и реагента, такого как перкислота. Получению сульфона может благоприятствовать смесь продукта, содержащего алкилтиогруппу или арилтиогруппу с избытком реагента, такого как перкислота. н) Сульфид, сульфоксид или сульфон вышеописанных продуктов могут быть преобразованы в соответствующие сульфоксимины в обычных условиях, известных специалисту: не ограничивающие примеры приготовления продуктов, содержащих сульфоксиминовую функцию, описаны ниже. Так, например, для приготовления таких соединений, как N-(арилсульфонил)сульфоксимины, и, например, в случае, когда группа арила, представленная X’, является радикалом толуола, сульфоксимин может быть получен действием азида паратолуолсульфонила на соответствующий сульфоксид, т.е. S(O)CH3, предпочтительно в присутствии меди так, как это указано, например, в ссылке: J.A.C.S., 95, с. 4287(1973) JOHNSON C.R. и сотр. Другой также используемый способ заключается в обработке N-тозилсульфилимина (приготовленного из сульфида действием, например, хлорамина “Т”) окисляющим агентом, например гипохлоритом натрия в условиях фазового перехода так, как указано, например, в ссылке: J.Org. Chem., 49, с. 2282(1984) AKUTAGAWA К. и сотр. с) реакция преобразования оксигруппы в тиоксогруппу может быть осуществлена реактивом Лавессона в условиях, описанных выше. п) Реакция преобразования радикала ![]() в радикал ![]() может быть осуществлена спиртовым растворителем, таким как, например, оксид марганца в диоксане. Обратная реакция преобразования радикала ![]() в радикал ![]() может быть осуществлена боргидридом натрия в этаноле. р) Реакция преобразования кислотной функции в тетразолилкарбоксигруппу может быть осуществлена, например, предварительным преобразованием кислотной группы в хлорангидрид кислоты так, как это указано выше, а затем действием в обычных условиях, известных специалисту, на полученный таким образом хлорангидрид кислоты, получают таким образом радикал![]() который можно преобразовать в радикал ![]() например, действием соединения Sn(Bu)3N3 в толуоле, с) реакция преобразования бета-кетосульфоксида в альфа-кетотиоэфир может быть произведена бромированием в альфа-положении кетосульфоксида, например действием БСИ, например в метиленхлориде, а затем реакцией Пуммерера, осуществляемой в смеси трифторуксусной кислоты и метиленхлорида или в смеси серной кислоты и диоксана. В частности так, как это описано выше в в) и с), можно осуществить следующую реакционную схему: ![]() в этих соединениях R’ и Y’ имеют значения, указанные выше, и R – радикал алкил или арил, возможно замещенные так, как указано выше. т) реакция преобразования карбамата в карбамид и, в частности, сульфонилкарбамата в сульфонилкарбамид, может быть осуществлена, например, при температуре кипения с обратным холодильником растворителя, например, толуола, в присутствии соответствующего амина, у) преобразование галогенсодержащего радикала в радикал формил может быть осуществлено действием металлорганического производного, например этилмагнийбромида, в среде органического растворителя, ф) преобразование радикала формила в радикал СН=СН-СО2 алк может быть произведено согласно реакции Виттига путем конденсации соответствующей соли фосфония в присутствии гидрида натрия; превращение в кислоту осуществляют гидролизом, например, с помощью основания, такого как гидроксид натрия, в спиртовой среде. х) преобразование радикала формила в радикал ![]() может быть осуществлено согласно реакции Виттига, как указано выше; преобразование в радикал ![]() осуществляют восстановлением посредством водорода в присутствии катализатора, например оксида платины, ц) преобразование радикала формила в радикал СН2ОН может быть осуществлено с помощью восстановительного агента, например боргидрида натрия в этаноле, при комнатной температуре; преобразование в радикал СН2RS может быть осуществлено действием соответствующего тиола RS-SН на промежуточный мезилат, предварительно полученный действием мезилхлорида на спирт в присутствии основания Ханига, ч) окисление заместителя S-алк до сульфоксида может быть произведено, например, действием метахпорнадбензойной кислоты; преобразование тиола осуществляют реакцией Пуммерера, например, в присутствии трифторуксусного ангидрида; преобразование заместителя SH в SZ2 может быть осуществлено действием галогенсодержащего производного Hal-Z2, например, иод-циклогексана. Вышеописанные реакции могут быть осуществлены обычными методами, известными специалисту. ш) Удаление защитных групп, например, указанных выше, может быть осуществлено в обычных условиях, известных специалисту, в частности кислым гидролизом, осуществляемым такой кислотой, как соляная, бензолсульфокислота или паратолуолсульфокислота, муравьиная кислота или трифторуксусная кислота, или каталитическим гидрированием. Фталимидогруппа может быть удалена гидразином. Перечень используемых различных защитных групп можно найти, например, в патенте ВР 2499995. э) Вышеописанные продукты можно при желании перевести в соли, например, с помощью минеральной или органической кислоты или минерального или органического основания по обычным способам, известным специалисту. ю) Различные оптически активные формы вышеописанных продуктов могут быть получены раздвоением рацематов по обычным способам, известным специалисту. Иллюстрации вышеуказанных реакций даны в разделе приготовление описанных ниже примеров. Соединения формулы (I), а также их соли с кислотами, обладают ценными фармакологическими свойствами. Продукты формулы (I) обладают антагонистическими свойствами по отношению к рецепторам эндотелина и являются, таким образом, ингибиторами действия эндотелина, в частности сосудосуживающего и гипертензивного действия, вызванных эндотелином. Отмечается, в частности, антиишемическое действие, причем устраняется сосудосуживающее действие эндотелина. Продукты формулы (I) способны также противодействовать стимулирующему эффекту эндотелина на уровне всех типов клеток, особенно клеток гладкой мускулатуры, нейрональных клеток и костных клеток. Эти свойства позволяют их рекомендовать для терапевтического использования, и поэтому объектом изобретения являются, в частности, медикаменты на основе продуктов формулы (ID), соответствующей формуле (I), где Y имеет, по крайней мере, один радикал бензофуранила или радикал фенила, замещенный радикалом диоксола и, возможно, одним или несколькими заместителями, выбранными из значений 2 и R3. При этом указанные продукты формулы (ID) могут находиться в форме всех возможных рацемических изомеров, энантиомеров и диастереоизомеров, а также в виде аддитивных солей с минеральной и органической кислотой или с минеральными и органическими основаниями, фармацевтически приемлемых. Предметом изобретения являются также в качестве медикаментов продукты, описанные вышеуказанными формулами (IС) и (ID), причем указанные продукты формулы (IС) и (ID) могут находиться в виде всех возможных рацемических изомеров или оптически активных, а также в виде аддитивных солей с минеральной и органической кислотой или с минеральным и органическим основанием, фармацевтически приемлемых. Предметом изобретения являются более конкретно в качестве медикаментов продукты формулы (ID), описанной выше, и соответствующие формуле (IС): ![]() в которой R1C означает радикал гидрокси, алкил, алкокси или алкилтио, линейный или разветвленный, содержащий не больше 12 атомов углерода, радикал формил или радикал диоксолан или диоксан, причем все эти радикалы могут быть замещены одним или несколькими радикалами, выбранными из радикалов гидроксила, свободной карбоксигруппы, превращенной в соль, этерифицированной или амидированной, алкоксигруппы, линейной или разветвленной, содержащей не больше 4 атомов углерода, и фенила, который сам может быть замещен радикалом гидроксила или алкоксигруппой, линейной или разветвленной, содержащей не больше 4 атомов углерода, R2C и R3C, одинаковые или разные, выбраны из: а) атомов галогена, карбоксигруппы или карбоксикарбонила, свободного, превращенного в соль или этерифицированного радикалом алкила, содержащим не больше 4 атомов углерода; радикала формила; б) радикала ![]() где m3 равно 0 и 1, m2 равно 0-2 и или -XB-R10B – аминогруппа, или ХB – простая связь или радикалы – NH, – NHCO-, -NН-СО-O-, -NН-СО-NН и -N= CH-R11B, где R10B – радикал алкил или алкенил, линейный или разветвленный, содержащий не больше 10 атомов углерода, пиридил, фенил, пиримидинил, тетразолил, тиазолил, диазолил, хинолил или фурил, причем все радикалы алкил, алкенил и фенил, возможно, замещены одним или несколькими заместителями, выбранными из атомов галогена, радикала гидрокси, алкоксигруппы, содержащей не больше 4 атомов углерода, карбоксигруппы, свободной, превращенной в соль или этерифицированной, радикала трифторметила, нитрогруппы, циклогексила, циклопентила, пиридила, пиримидинила, тиенила, тетразолила, морфолинила и фенила, причем все фенильные радикалы, кроме того, могут быть замещены одним или несколькими радикалами, выбранными из радикалов диоксола, циано, тетразолила, алкила и алкенила, содержащих не больше 4 атомов углерода, которые сами могут быть замещены радикалом карбокси, и R11B является атомом водорода или значениями, указанными для R10B и в) радикалов алкила, алкенила, содержащих не больше 4 атомов углерода, радикала арила или циклоалкила, содержащего до 6 атомов углерода и, возможно, содержащего один или несколько гетероатомов, причем эти радикалы связаны с циклом имидазола или непосредственно, или через заместитель Q, являющийся атомом кислорода или серы, или через радикал ![]() где n’ равно 1-4, -СН=СН-, ![]() где атом серы в случае необходимости окислен до сульфоксида или сульфона, причем все эти радикалы могут быть замещены одним или несколькими радикалами, выбранными из атомов галогена, радикалов гидрокси, алкокси, содержащей не больше 4 атомов углерода, циклоалкила, карбокси, свободной, превращенной в соль или этерифицированной, диоксола и фенила, эти радикалы, кроме того, возможно, замещены одним или несколькими радикалами, выбранными из диоксола, алкила, алкенила, которые сами могут быть замещены карбоксигруппой, свободной, превращенной в соль или этерифицированной, и YС является радикалом фенила, замещенным двумя радикалами, образующими вместе радикал диоксол, и, в случае необходимости – одним или несколькими заместителями, выбранными из значений R2С и R3C, при этом указанные продукты формулы (IС) находятся во всех возможных рацемических изомерах, энантиомерах и диастереоизомерах, а также в виде аддитивных солей с минеральной и органической кислотой или с минеральным и органическим основанием. Предметом изобретения являются, еще более конкретно, используемые в качестве медикаментов, продукты, описанные далее в примерах, и в частности продукты формулы (IС), соответствующие следующим соединениям: – 1-((6-хлор-1,3-бензодиоксол-5-ил)метил) 4-((4-метоксифенил)метилтио) 1Н-имидазол-5-карбоновая кислота, – 2-бутил-1-((6-хлор-1,3-бензодиоксол-5-ил)метил) 5-((4-метоксифенил)тио) 1Н-имидазол-4-карбоновая кислота, – 1-((6-хлор-1,3-бензодиоксол-5-ил)метил) 2,4-бис(((4-метоксифенил)метил)тио) 1Н-имидазол-5-карбоновая кислота, – 1-((6-хлор-1,3-бензодиоксол-5-ил)метил) 4-(4-(метоксифенил)тио) 2-(пропилтио) 1Н-имидазол-5-карбоновая кислота, – 1-((6-хлор-1,3-бензодиоксол-5-ил)метил) 4-((3,4-диметоксифенил)тио) 2-пропил-1Н-имидазол-5-карбоновая кислота, – 2-бутил-1-((6-хлор-1,3-бензодиоксол-5-ил)метил) 4-(циклогексилтио)-1Н-имидазол-5-карбоновая кислота, – 2-бутил-4-((3-карбоксипропил)тио) 1-((6-хлор-1,3-бензодиоксол-5-ил)метил) 1Н-имидазол-5-карбоновая кислота, – 4-(((4-(2-карбоксиэтил)фенил)тио)метил) 1-((6-хлор-1,3-бензодиоксол-5-ил)метил) 2-пропил-1Н-имидазол-5-карбоновая кислота, – 4-((3-карбоксипропил)тио) 1-((6-хлор-1,3-бензодиоксол-5-ил)метил), 2-пропил-1Н-имидазол-5-карбоновая кислота, – 4-((7-карбоксигептил)тио) 1-((6-хлор-1,3-бензодиоксол-5-ил)метил) 2-пропил-1Н-имидазол-5-карбоновая кислота, и их аддитивные соли с минеральными или органическими кислотами или минеральными и органическими основаниями, фармацевтически приемлемыми. Медикаменты, являющиеся предметом изобретения, находят применение, например, при лечении всех сосудистых спазмов, при лечении состояний после кровоизлияния в мозг, при лечении коронароспазмов, периферических сосудистых спазмов, а также при лечении почечной недостаточности. Эти медикаменты могут также быть использованы в лечении инфарктов миокарда, гиперемической сердечной недостаточности, в профилактике повторных стенозов после ангиопластики, в лечении атеросклероза, некоторых форм гипертонии, особенно легочной гипертонии, так же, как в лечении астмы. Медикаменты, являющиеся предметом изобретения, могут также находить применение в лечении остеопороза, простатической гипертонии, и в качестве нейронных защитников. Изобретение относится к фармацевтическим композициям, содержащим в качестве действующего начала, по крайней мере, один из вышеуказанных медикаментов. Фармацевтические композиции могут быть введены через рот, ректальным путем, парентеральным путем или локальным путем при топическом нанесении на кожу и слизистые оболочки или путем внутривенной или внутримышечной инъекцией. Эти композиции могут быть твердыми или жидкими и представлены во всех фармацевтических формах, обычно используемых в медицине, как, например, простые таблетки или драже, желатиновые капсулы, гранулы, свечи, препараты для инъекций, помады, кремы, гели и аэрозольные препараты; их готовят обычными способами. Действующее начало может быть введено с эксципиентами, обычно используемыми в этих фармацевтических композициях, такими как тальк, гуммиарабик, лактоза, крахмала, стеарат магния, масло какао, водные и неводные связующие, животные или растительные жиры, парафиновые производные, гликоли, различные смачивающие, диспергирующие или эмульгирующие агенты, консерванты. Обычная дозировка, изменяемая в зависимости от используемого продукта, пациента и причины болезни, может составлять например, от 1 до 300 мг в день для взрослого при приеме оральным путем или от 1 до 100 мг в день при внутривенном введении. Некоторые исходные продукты формул (II) и (XVI) известны и могут быть приготовлены, например, как указано в европатенте ЕР 168950. Другие исходные продукты формул (II) и (XVI) могут, в частности, быть приготовлены, как указано в европатенте ЕР 0465368 или в примерах, описанных ниже в экспериментальной части, в частности в примерах 1 и 3. Некоторые исходные продукты формул (II) и (XVI) имеются в продаже, так, например, следующие продукты формулы (II) выпускаются в продажу: – 2-метоксиметилимидазол, – 2-пропилимидазол, – 2-изопропилимидазол, – 2-этилимидазол, – 2-метилимидазол. Примеры коммерческих продуктов формулы (XVI) даны в патентах ЕР 0465368 или ЕР 0503162. Некоторые соединения формул (II) и (XVI) можно также получить из продуктов формулы (II), например, подвергая их одной или нескольким реакциям, описанным выше с а) по ю), осуществляемым в условиях, также описанных выше. Некоторые соединения формулы (XVI) могут быть также получены моногалогенированием продукта формулы (II), указанной выше, с получением продукта формулы (Р1): ![]() где R1‘ и Р имеют значения, указанные выше для продукта формулы (II), полученный продукт формулы (Р1) подвергают взаимодействию, после обмена согласно реакции галоген-металл, известной специалисту, с соответствующим электрофильным веществом по способам, известным специалисту, и в частности, например, согласно реакции типа, описанной выше, для преобразования, например, соединения формулы (XIII) в соединение формулы (XIV). – Некоторые продукты формулы (XVI) могут быть также приготовлены по схеме I (см. в конце описания). – Некоторые продукты формулы (XVI) могут быть также приготовлены по схеме II (см. в конце описания). – Некоторые продукты формулы (XVI) могут быть еще приготовлены по схеме III (см. в конце описания). Исходные продукты формулы (VIII) могут находиться в продаже, например, такой продукт, как 2,4,5-трибромимидазол, или могут быть приготовлены по способам, известным специалисту. Исходные продукты формул (Vа), (Vв), (VIа), (VIв) и (VIс) коммерческие, в частности, такие продукты формулы (Vа) или (XI), как: – втор.бутилдисульфид, – этилдисульфид, – изопропилдисульфид, – метилдисульфид, – бензилдисульфид, – фенилдисульфид, – пропилдисульфид, такие продукты формулы (Vв) или (XII), как: – метилметантиосульфонат, – фенилбензолтиолсульфонат, такие продукты формулы (VIс), как: – метилхлорформат, – бензилхлорформат, – изобутилхлорформат, – этилхлорформат, – N-пропилхлорформат, или следующие продукты формулы (VId): – диметилкарбонат, – диэтилкарбонат, или следующие продукты формулы (VIе): – ди-трет.бутилоксалат, – диэтилоксалат, – диметилоксалат. Исходные продукты формул (X), (X’) и (XII’) – коммерческие, такие как, в частности: продукты формулы (X): – бензальдегид или бутаналь продукты формулы (X’): – хлорид бензоила или бутирила продукты формулы (XII’): – хлорид мезила, – хлорид тозила. Способ приготовления некоторых продуктов формулы (III) описан в европатенте ЕР 0465368. Примеры получения соединений формулы (III) также описаны в литературе и в примерах, например, в патенте US 4880804 или, например, в ссылке Chemistry and Industry, 7 сентября 1987, HOWARD and COLQUHOUN с. 612-617. В частности продукт формулы (III), являющийся хлоридом 6-хлорпиперонила, выпускается фирмой Янсен. Наконец, предметом настоящего изобретения являются новые промышленные продукты, такие как соединения формул (IV1), (IV2), (XIII), (XIV) и (XV), в которых Y’ означает радикал фенила, замещенный радикалом диоксола и, возможно, замещенный одним или несколькими заместителями, выбранными из значений R2 и R3, в которых возможные реакционные функции могут быть защищены защитными группами. Предметом изобретения является также, в частности, применение продуктов формул (IС) и (ID), для приготовления фармацевтических композиций, предназначенных для лечения заболеваний, вызванных анормальным стимулированием рецепторов эндотелина, и, в частности, для лечения гипертонии, вызванной эндотелином, всех видов сосудистых спазмов, для лечения больных после кровоизлияния в мозг, при почечной недостаточности, инфарктов миокарда, в профилактике повторных стенозов после ангипластики. Изобретение иллюстрируется следующими примерами, не ограничивающими его рамки. Пример 1А 2-бутил-1-((6-хлор-1,3-бензодиоксол-5-ил)метил)-4-((4-метоксифенил)метилтио)-1Н-имидазол-5-карбоксилат этила. Пример 1В 2-бутил-1-((6-хлор-1,3-бензодиоксол-5-ил)метил)-5-((4-метоксифенил)метилтио)-1Н-имидазол-4-карбоксилат этила. Стадия 1 ((бутилкарбонил)амино)цианоацетат этила Вводят 6,71 г 2-циано-2-аминоэтилацетата (полученного как указано в Chemistry and Industry 1980, 541-542) в 100 мл метиленхлорида. Температуру раствора доводят до 0oС и вводят 4,24 мл пиридина, а затем в течение 30 минут при температуре ниже 6oС вводят 6,31 мл хлорангидрида кислоты. Содержимое доводят до комнатной температуры. Добавляют толуол для удаления избытка пиридина, затем обрабатывают 200 мл метиленхлорида, промывают два раза водой и сушат. Полученное твердое вещество очищают путем растирания с изопропиловым эфиром, затем фильтруют. Получают таким образом 8,4 г целевого продукта (твердый белый) с температурой плавления 88oС. Анализы см. в табл.1. Стадия 2 3-амино-2-((бутилкарбонил)амино)-3-(((4-метоксифенил) метил)тио)пропеноат этила Вводят 3 г продукта, полученного на вышеуказанной стадии 1, 4 мл параметоксибензилмеркаптана, 0,2 мл триэтиламина и 5 мл этанола. Перемешивают при комнатной температуре 3-4 дня, отгоняют растворитель, извлекают остаток изопропиловым эфиром, фильтруют осадок, затем обильно промывают изопропиловым эфиром. Получают таким образом 4,65 г целевого продукта (твердый белый) Рf=120oС. Анализы см. в табл.2. Стадия 3 2-бутил-4-((4-метоксифенил)-метилтио)-1Н-имидазол-5-карбоксилат этила. 1,14 г пентахлорида фосфора в 20 мл метиленхлорида охлаждают до 0oС и добавляют раствор 0,73 г 4-диметиламинопиридина, растворенного в 7 мл метиленхлорида. Перемешивают 5 минут, затем медленно добавляют 1 г продукта, полученного на вышеуказанной стадии 2, в виде раствора в 10 мл метиленхлорида в течение примерно 5 минут. После хроматографии на кремнеземе с элюантом (АЕ/метиленхлорид, 10:90) получают 686 мг целевого продукта f=105oС. Анализы см. в табл.3. Стадия 4 2-бутил-1-((6-хлор-1,3-бензодиоксол-5-ил)метил)-4-((4-метоксифенил)метилтио)-1Н-имидазол-5-карбоксилат этила и 2-бутил-1-((6-хлор-1,3-бензодиоксол-5-ил)метил)-5-((4-метоксифенил)метилтио)-1Н-имидазол-4-карбоксилат этила В объеме 14,2 мл диметилформамида при комнатной температуре смешивают 495 мг продукта, полученного на вышеуказанной стадии 3; 350 мг хлорида 6-хлорпиперонила и 235 мг бикарбоната калия и выдерживают реакционную среду примерно 48 часов. Гидролизуют с помощью Н2О (хлорид аммония), экстрагируют этилацетатом и промывают 2 Н2O (хлорид аммония), 2 Н2O, 2 Н2О (хлорид натрия), сушат, фильтруют и выпаривают досуха.
После очистки на колонке с кремнеземом, используя в качестве элюанта этилацетат/циклогексан (1/4), получают 557,6 мг целевого продукта по примеру 1А и 60,0 мг целевого продукта по примеру 1В.
Анализы см. в табл.4.
Пример 22-бутил-1-((6-хлор-1,3-бензодиоксол-5-ил)метил)-4-((4-метоксифенил)метилтио)-1Н-имидазол-5-карбоновая кислота. В 10,4 мл этанола вводят 536 мг продукта примера 1А, затем 1,04 мл 2N гидроксида натрия, 10 мл тетрагидрофурана и нагревают при 60oС в течение 12 часов. Затем добавляют 10 мл воды (дистиллированной), выпаривают под вакуумом для удаления тетрагидрофурана и этанола, добавляют 20 мл воды (дистиллированной), хорошо перемешивают эту суспензию, вводят по капле 2,08 мл соляной кислоты (1N), затем выдерживают 1 час при комнатной температуре при перемешивании, 30 минут под ультразвуком и 1 час при 60oС при перемешивании. После охлаждения до комнатной температуры фильтруют, промывают дистиллированной водой (3 15 мл) и получают 460 мг целевого продукта (твердое вещество белого цвета) (Pf=158oС).
Анализы см. в табл.5.
Пример 3А2-бутил-1-((6-хлор-1,3-бензодиоксол-5-ил)метил-4-((4-метоксифенил)тио-1Н-имидазол-5-карбоксилат этила. Пример 3В 2-бутил-1-((6-хлор-1,3-бензодиоксол-5-ил)метил)-5-((4-метоксифенил)тио)-1Н-имидазол-4-карбоксилат этила. Стадия 1 3-амино-2-((бутилкарбонил)амино)-3-((4-метоксифенил)тио) пропеноат этила Вводят 1 г продукта, полученного на стадии 1 примера 1, 10 мл 100%-ного этанола, 0,065 см3 триэтиламина и 1,72 мл 4-метокситиофенола. Перемешивают при комнатной температуре 3 дня. Доводят до сухого состояния, извлекают остаток 10 мл изопропилового эфира, перемешивают 30 минут, отжимают и промывают изопропиловым эфиром. Получают 1,52 целевого продукта (твердое вещество белого цвета) (Рf=122oС). Анализы см. в табл.6. Стадия 2 2-бутил-4-((метоксифенил)тио)-1Н-имидазол-5-карбоксилат этила Смешивают 1,75 г пентахлорида фосфора и 87,5 мл метиленхлорида/NK2O и охлаждают до -70oС, затем добавляют в течение 5 минут раствор 1,27 г 4-диметиламинопиридина в 11,27 мл метиленхлорида/NK2O. Перемешивают 10 минут при -70oС, затем добавляют в течение 5 минут раствор 1,48 г продукта, полученного на вышеуказанной стадии 1, в 1,48 мл метиленхлорида/NK2O. Доводят до комнатной температуры и перемешивают в течение 16 часов, гидролизуют, добавляя 100 мл насыщенного раствора гидрокарбоната натрия, перемешивают 30 минут, декантируют, реэкстрагируют 3 50 мл метиленхлорида, промывают 50 мл воды и сушат. После хроматографии на кремнеземе, элюируя смесью метиленхлорид/этилацетат (8/2) выделяют 1 г целевого продукта (твердое вещество кремового цвета) Pf=96oС.
Анализы см. в табл.7.
Стадия 32 бутил-1-((6-хлор-1,3-бензодиоксол-5-ил)метил-4-((4-метоксифенил)тио)-1Н-имидазол-5-карбоксилат этила и 2-бутил-1-((6-хлор-1,3-бензодиоксол-5-ил)метил-5-((4-метоксифенил)тио)-1Н-имидазол-4-карбоксилат этила Действуют, как в примере 1, но исходят из 1,6 г продукта, полученного на вышеописанной стадии 2, 24 мл диметилформамида, 0,79 г бикарбоната натрия и 1,14 г хлорида 6-хлорпиперонила, и выдерживают при комнатной температуре 48 часов. После очистки хроматографией на колонке с кремнеземом с элюантом метиленхлорид-этилацетат 95-5 получают 1,24 г целевого продукта (пример 3А) (порошок) (Рf=100oС) и 1,14 г целевого продукта (пример 3В) (масло). Анализы см. в табл.8. Пример 4 2-бутил-1-((6-хлор-1,3-бензодиоксол-5-ил)метил-4-((4-метоксифенил)тио)-1Н-имидазол-5-карбоновая кислота. Действуют, как в примере 2, но исходят из 0,35 г продукта по примеру 3А, 3 мл этанола + 1 мл метанола, затем вводят при комнатной температуре 0,417 мл, затем 0,2 мл 2N гидроксида натрия. Выдерживают 14 часов при комнатной температуре, доводят до сухого состояния, поглощают остаток 10 мл воды, затем 0,62 мл 2N соляной кислоты. Получают таким образом 290 мг целевого продукта (Pf=186oС). Анализы см. в табл.9. Пример 5 2-бутил-1-((6-хлор-1,3-бензодиоксол-5-ил)метил)-4-((4-метоксифенил)сульфинил)-1Н-имидазол-5-карбоксилат этила. Вводят 0,4 г продукта по примеру 3А, 4 мл метиленхлорида/NK2O и прикапывают при 0oС раствор 0,174 г метахлорнадбензойной кислоты в 1,7 см3 метиленхлорида/NK2O. Доводят до комнатной температуры, перемешивают 4 часа и добавляют 0,03 г раствора метахлорнадбензойной кислоты в метиленхлориде. Выдерживают при перемешивании 16 часов, затем выливают в 50 см3 воды, доводят до рН 6-7 добавлением 2 мл насыщенного раствора бикарбоната натрия и экстрагируют 3 50 мл метиленхлорида.
Сушат, фильтруют и доводят до сухого состояния.
После очистки хроматографией на колонке с кремнеземом с элюантом метиленхлорид-этилацетат 80-20, получают 0,37 г целевого продукта (масло).
Анализы см. в табл.10.
Пример 62-бутил-1-((6-хлор-1,3-бензодиоксол-5-ил)метил)-4-((4-метоксифенил)сульф-1Н-имидазол-5-карбоновая кислота. Действуют, как в примере 2, но исходят из 350 мг продукта по примеру 5, в 3,5 мл этанола. Вводят затем 0,438 мл 2N гидроксида натрия и выдерживают при перемешивании при комнатной температуре в течение 4 часов. Доводят до сухого состояния, поглощают маслянистый остаток с помощью 5 мл воды, фильтруют, добавляют 0,44 мл 2N соляной кислоты и перемешивают в течение получаса. Фильтруют, промывают водой, сушат и получают 287 мг целевого продукта (Рf=90oС). Анализы см. в табл.11. Пример 7 2-бутил-1-((6-хлор-1,3-бензодиоксол-5-ил)метил)-5-((4-метоксифенил)тио)-1Н-имидазол-4-карбоновая кислота, Действуют, как в примере 2, но исходят из 0,250 г продукта примера 3В в 2,5 мл этанола (10 об.). Вводят 0,35 мл 2N гидроксида натрия и выдерживают при перемешивании 14 часов при комнатной температуре. Доводят до сухого состояния, поглощают остаток 6 мл воды, затем добавляют при перемешивании 0,35 мл 2N соляной кислоты. Получают таким образом 207 мг целевого продукта (Р=82oС). Анализы см. в табл.12. Пример 8 2-бутил-1-((6-хлор-1,3-бензодиоксол-5-ил)метил)-5-((4-метокси-фенил)метилтио)-1Н-имидазол-5-карбоновая кислота. Действуют, как в примере 7, но исходят из продукта примера 1В и получают целевой продукт. Пример 9 2-бутил-1-((6-хлор-1,3-бензодиоксол-5-ил)метил)-4-((4-метоксифенил)сульфонил)-1Н-имидазол-5-карбоксилат этила. Вводят 0,44 г продукта примера 3А в 4,4 мл метиленхлорида и добавляют по капле при комнатной температуре раствор 0,397 г 85%-ной метахлорнадбензойной кислоты в 2 мл метиленхлорида. Выдерживают 16 часов при перемешивании при комнатной температуре, выливают в 50 мл воды, доводят до рН=6-7 добавлением насыщенного раствора бикарбоната натрия, экстрагируют 3 раза 50 мл метиленхлорида, сушат, фильтруют и доводят до сухого состояния. После очистки хроматографией на колонке с кремнеземом с элюантом метиленхлорид-этилацетат (95-5), получают 380 г целевого продукта. Анализы см. в табл.13. Пример 10 2-бутил-1-((6-хлор-1,3-бензодиоксол-5-ил)метил)-4-((4-метоксифенил)сульфонил)-1Н-имидазол-5-карбоновая кислота. Действуют, как в примере 2, но исходят из 0,35 г продукта примера 9, 3,5 мл этанола и 0,43 мл 2N гидроксида натрия. Выдерживают 3 часа при комнатной температуре при перемешивании, доводят до сухого состояния, поглощают остаток 5 мл воды и добавляют 0,44 мл 2N соляной кислоты, затем выдерживают 2 часа при перемешивании, фильтруют и промывают водой. Получают таким образом 280 мг целевого продукта (порошка) Т.пл.=154oС. Анализы см. в табл.14. Пример 11 1-((6-хлор-1,3-бензодиоксол-5-ил)метил)-2,4-бис(((4-метоксифенил)метил)тио)-1Н-имидазол-5-карбоксальдегид. Стадия 1 1-((6-хлор-1,3-бензодиоксол-5-ил)метил)-2,4,5-трибром-1Н-имидазол. Вводят 25 г 2,4,5-трибромимидазола в 500 мл диметилформамида и добавляют 4,3 г гидрида натрия. Перемешивание продолжают 10 мин при комнатной температуре. Затем добавляют в реакционную среду 18,4 г хлорида 6-хлорпиперонила, затем 25 г иодида натрия и продолжают перемешивание в течение 15 мин при комнатной температуре. Выливают реакционную среду в 3 л воды, отжимают, обильно промывают водой, затем последовательно 250 мл этанола, 250 мл изопропанола, затем окончательно 250 мл изопропилового эфира. Сушат и получают 31,5 г целевого продукта (твердое вещество кремового цвета) Рf=225oС. АНАЛИЗЫ ИК СНСl3 (см-1) Отсутствие =C-NH Гетероцикл ароматический 1624-1506-1497-1485 Стадия 2 1-((6-хлор-1,3-бензодиоксол-5-ил)метил)-4,5-дибром-2-(фенилтио)-1H-имидазол. Вводят 4,73 г продукта, полученного на вышеуказанной стадии 1, в 100 мл смеси метиленхлорид/серный эфир (20/80), в которую добавляют по каплям 3,5 мл этилмагнийбромида: выдерживают при перемешивании в течение 30 мин при комнатной температуре. Затем вводят в полученную реакционную среду 2,9 г фенилбензолтиосульфоната. Перемешивание производят в течение 2 ч при комнатной температуре. Гидролизуют среду добавлением разбавленной соляной кислоты, и после экстракции этилацетатом обильно промывают водой, затем сушат и получают твердое кремовое вещество, которое очищают растиранием с 50 мл этанола. Получают таким образом 3,35 г целевого продукта Рf=165oС. Анализы см. в табл. 15. Стадия 3 4-бром-1-((6-хлор-1,3-бензодиоксол-5-ил)метил)-2-(фенилтио)-1Н-имидазол-5-карбоксальдегид. Вводят 6,4 г продукта, полученного на вышеуказанной стадии 2, в 100 мл тетрагидрофурана и добавляют по капле 9,3 мл этилмагнийбромида, выдерживают при перемешивании в течение 30 мин при комнатной температуре. Вводят затем в полученную реакционную среду 5 эквивалентов диметилформамида. Перемешивание продолжают в течение 2 ч при комнатной температуре. Гидролизуют среду добавлением разбавленной соляной кислоты, после экстракции этилацетатом, обильного промывания водой и сушки получают твердое каштанового цвета вещество, которое очищают хроматографией на кремнеземе с метиленхлоридом в качестве элюанта. Получают 5 г целевого продукта (Рf= 155oС), 500 мг которого перекристаллизовывают в 25 мл этанола; после отжима, а затем сушки получают 420 мг целевого продукта (твердое вещество белого цвета) (Рf=155oС). Анализы см. в табл.16. Стадия 4 1-((6-хлор-1,3-бензодиоксол-5-ил)метил)-2,4-бис-(((4-метоксифенил)метил)тио)-1Н-имидазол-5-карбоксальдегид. Вводят 620 мг 50%-го гидрида натрия в масле в 50 мл тетрагидрофурана, к которому медленно добавляют 1,8 мл метоксибензолметантиола. Перемешивание продолжают в течение 15 мин при комнатной температуре. К полученному тиолату добавляют раствор 3,8 г продукта, полученного на вышеуказанной стадии 3, в 25 мл тетрагидрофурана. Перемешивание продолжают в этих условиях в течение 2 часов 30 минут. Реакционную среду впивают в 0,1N гидроксид натрия, и после экстракции этилацетатом, обильного промывания водой и сушки получают смолу коричневого цвета, которую очищают хроматографией на кремнеземе, используя в качестве элюанта метиленхлорид 80/циклогексан 20, затем метиленхлорид + 20% этилацетата. Получают 2 фракции: 1,98 г целевого продукта (продукт В) и 1,97 г второго продукта (продукт А) (Рf=135oС), который получается в тех же рабочих условиях: 1-((6-хлор-1,3-бензодиоксол-5-ил)метил)-4-(((4-метоксифенил)метил)тио)-2-(фенилтио)-1Н-имидазол-5-карбоксальдегид. Анализы см. в табл.17. Пример 12 1-((6-хлор-1,3-бензодиоксол-5-ил)метил)-2,4-бис-(((4-метоксифенил)метил)тио-1Н-имидазол-5-карбоксилат метила. Вводят раствор 1 г продукта примера 11 в смеси метиленхлорид/метанол (50 мл/100 мл), добавляют затем последовательно 5 г оксида марганца, 500 г цианида натрия и 200 мкл уксусной кислоты. Перемешивание продолжают в течение 72 часов при комнатной температуре. Отжимают, промывают метиленхлоридом, концентрируют и очищают на кремнеземе с элюантом: метиленхлорид + 20% этилацетата. Получают таким образом 750 мг целевого продукта (смола). АНАЛИЗЫ ИК СНС13 (см-1) эфир 1696-1436 Ароматический + гетероцикл 1611-1585-1513-1505-1484 Пример 13 1-((6-хлор-1,3-бензодиоксол-5-ил)метил)-2,4-бис(((4-метоксифенил)метил)тио)-1Н-имидазол-5-карбоновая кислота. Действуют, как в примере 2, но исходят из 580 мг продукта примера 12 в смеси этанол/тетрагидрофуран (20 мл/60 мл), в которую добавляют 20 мл 1N гидроксида натрия. Перемешивание продолжают в течение 48 часов при комнатной температуре. Подкисляют добавлением 2N соляной кислоты, экстрагируют этилацетатом, промывают водой, затем сушат и очищают хроматографией на кремнеземе с элюантом: метиленхлорид + 5% метанола. Снова очищают растиранием с 50 мл кипящего этанола, промывают 20 мл этилацетата, затем сушат и получают таким образом 350 мг целевого продукта (твердый белый) Рf=210oС. Анализы см. в табл.18. Пример 14 4-бром-1-((6-хлор-1,3-бензодиоксол-5-ил)метил)-2-(пропилтио)-1Н-имидазол-5-карбоксальдегид. Стадия 1 1-((6-хлор-1,3-бензодиоксол-5-ил)метил-4,5-дибром-2-(пропилтио)-1H-имидазол. Вводят 5 г продукта, полученного на стадии 1 примера 11, в 100 мл тетрагидрофурана. Этот раствор охлаждают до -78oС, затем медленно добавляют туда 7,8 мл метиллития. Перемешивание продолжают при этой температуре в течение 10 мин, затем добавляют 4 мл дисульфида дипропила. Перемешивание продолжают в течение 2 ч 30 мин (температура комнатная). Гидролизуют добавлением разбавленного гидроксида натрия, добавляют 100 мл этанола, отжимают, обильно промывают водой, затем 150 мл этанола. Получают таким образом 1,8 г целевого продукта (твердый кремовый) Рf= 116oС. АНАЛИЗЫ ИК СНС13 (см-1) Сопряженная система 1627-1506-1484 Стадия 2 4-бром-1-((6-хлор-1,3-бензодиоксол-5-ил)метил)-2-(пропилтио)-1Н-имидазол-5-карбоксальдегид. Вводят 2,1 г продукта, полученного на вышеуказанной стадии 1, в 30 мл тетрагидрофурана и добавляют по капле 10 мл этилмагнийбромида. Выдерживают при перемешивании в течение 15 минут при комнатной температуре. Затем вводят в реакционную среду 2 мл диметилформамида. Перемешивание производят в течение 2 ч при комнатной температуре. Гидролизуют среду добавлением разбавленной соляной кислоты, экстрагируют этилацетатом, промывают водой, затем сушат и очищают растиранием с 2 20 мл этанола.
Получают таким образом 1,4 г целевого продукта Рf=145oС.
АНАЛИЗЫИК СНС13 (см-1) С=O 1663 Ароматический + Гетероцикл 1627-1505-1484 Пример 15 1-((6-хлор-1,3-бензодиоксол-5-ил)метил)-4-(4-метоксифенил)тио)-2-(пропилтио)-1Н-имидазол-5-карбоксальдегид. Вводят 240 мг гидрида натрия в виде 50%-го масла в 50 мл тетрагидрофурана и медленно добавляют 0,6 мл параметоксифенилтиола и перемешивают в течение 15 мин при комнатной температуре. Вводят затем в полученный таким образом тиолат раствор 1,4 г продукта по примеру 14 в 20 мл тетрагидрофурана и перемешивают в течение 2 ч. Затем выливают в 0,1N гидроксид натрия, экстрагируют этилацетатом, промывают водой, сушат и очищают хроматографией на кремнеземе с метиленхлоридом в качестве элюанта. Получают таким образом 1,32 г целевого продукта. АНАЛИЗЫ ИК СНС13 (см-1) С=О 1657 Ароматический + гетероцикл 1593-1570-1505-1494-1484, которые S-ф-ОСН3 Пример 16 1-((6-хлор-1,3-бензодиоксол-5-ил)метил)-4-((4-метоксифенил)тио)-2-(пропилтио)-1Н-имидазол-5-карбоксилат метила. Действуют, как в примере 12, но исходят из 1,26 г продукта примера 15 в смеси метиленхлорид/метанол (20 мл/100 мл) и добавляют последовательно 6 г оксида марганца, 600 мг цианида натрия и 300 мкл уксусной кислоты. Перемешивание производят в течение 24 ч при комнатной температуре. Получают таким образом 1,1 г целевого продукта. АНАЛИЗЫ ИК СНС13 (см-1) эфир 1697-1436 Ароматический + гетероцикл 1593-1575-1505-1494-1484 Пример 17 1-((6-хлор-1,3-бензодиоксол-5-ил)метил)-4-((4-метоксифенил)тио)-2-(пропилтио)-1Н-имидазол-5-карбоновая кислота. Действуют, как в примере 13, но исходят из 1 г продукта примера 16 в смеси этанол/тетрагидрофуран (20 мл/20 мл), в которую добавляют 25 мл 1N гидроксида натрия. Перемешивание производят в течение 48 ч при комнатной температуре. Получают таким образом 270 мг целевого продукта (твердый белый) Pf= 164oC. Анализы см. в табл.19. Пример 18 1-((6-хлор-1,3-бензодиоксол-5-ил)метил)-4-бром-2-метил-1Н-имидазол-5-карбоксальдегид. Стадия 1 1-((6-хлор-1,3-бензодиоксол-5-ил)метил) 2-метил-1Н-имидазол. Действуют, как на стадии 1 примера 11, но исходят из 12,3 г 2-метил-1Н-имидазола, 7,92 г гидрида натрия (в виде 50%-ой эмульсии в масле), 150 мл N диметилформамида и 33,8 г хлорида 6-хлорпиперонила. Целевой продукт получен без выделения. Стадия 2 1-((6-хлор-1,3-бензодиоксол-5-ил)метил-4,5-дибром-2-метил-1Н-имидазол. Вводят сырой продукт, полученный на вышеуказанной стадии 1, в 58,7 г N-бромсукцинимида и 200 мл метиленхлорида при температуре кипения с обратным холодильником. Получают таким образом 16,33 г целевого продукта Pf=185oС. Стадия 3 1-((6-хлор-1,3-бензодиоксол-5-ил)метил)-4-бром-2-метил-1Н-имидазол-5-карбоксальдегид. Действуют, как на стадии 3 примера 11, но исходят из 15 г продукта, полученного на вышеуказанной стадии 2, в 300 мл тетрагидрофурана, 73,4 мл этилмагнийбромида, растворенного в тетрагидрофуране, и 28,4 мл N-диметилформамида. Получают таким образом 9,8 г целевого продукта Рf=141oС, Пример 19 1-((6-хлор-1,3-бензодиоксол-5-ил)метил)-4-((4-метоксифенил)тио)-2-метил-1Н-имидазол-5-карбоксальдегид. Действуют, как на стадии 4 примера 11, но исходят из 3 г продукта по примеру 18, 765 мг гидроксида натрия (в виде 50%-ой эмульсии в масле) и 1,96 мл 4-метокситиофенола в тетрагидрофуране. Получают таким образом 3,08 г целевого продукта (аморфного). Пример 20 1-((6-хлор-1,3-бензодиоксол-5-ил-метил)-4-((4-метоксифенил)тио)-2-метил-1Н-имидазол-5-карбоксилат метила, Действуют, как в примере 12, но исходят из 1 г продукта по примеру 19, 5 г оксида марганца, 500 мг цианида натрия, 300 мкл уксусной кислоты, 100 см3 метанола и 20 см3 метиленхлорида. Получают таким образом 410 мг целевого продукта Pf=152oС. Пример 21 1-((6-хлор-1,3-бензодиоксол-5-ил)метил)-4-((4-метоксифенил)тио)-2-метил-1Н-имидазол-5-карбоновая кислота. Действуют, как в примере 13, но исходя из 740 мг продукта по примеру 12, 25 мл 1N гидроксида натрия и 25 мл этанола. Получают таким образом 521 мг целевого продукта Рf=200-210oС. Пример 22 1-((6-хлор-1,3-бензодиоксол-5-ил)метил)-4-(((метоксифенил)метил)тио)-2-метил-1Н-имидазол-5-карбоксальдегид. Действуют, как на стадии 4 примера 11, но исходя из 3 г продукта по примеру 18, 564 г 50%-ного гидрида натрия в масле и 1,63 мл 4-метоксибензилмеркаптана в тетрагидрофуране. Получают таким образом 1,28 г целевого продукта (аморфного). Пример 23 1-((6-хлор-1,3-бензодиоксол-5-ил)метил)-4-(((метоксифенил)метил)тио)-2-метил-1Н-имидазол-5-карбоксилат метила. Действуют, как в примере 12, но исходят из 1,1 г продукта по примеру 22, 7 г оксида марганца, 700 мг цианида натрия, 400 мкл уксусной кислоты, 100 мл метанола и 20 мл метиленхлорида. Получают таким образом 652 мг целевого продукта Рf=169oС, Пример 24 1-((6-хлор-1,3-бензодиоксол-5-ил)метил)-4-(((4-метоксифенил)метил)тио)-2-метил-1Н-имидазол-5-карбоновая кислота Действуют, как в примере 13, но исходят из 489 мг продукта по примеру 23, 25 мл 1N гидроксида натрия, 25 мл этанола и 40 мл тетрагидрофурана. Получают таким образом 310 мг целевого продукта Рf=196oС. Пример 25 2-бензоил-1-((6-хлор-1,3-бензодиоксол-5-ил)метил)-4-((4-метоксифенил)тио)-1Н-имидазол-5-карбоксилат метила. Стадия 1 1-((6-хлор-1,3-бензодиоксол-5-ил)метил)-4,5-дибром-альфа-фенил-1Н-имидазол-2-метанол. Вводят 9,5 г продукта, полученного на стадии 1 примера 11, в смесь метиленхлорид/серный эфир 100 мл/350 мл и добавляют по капле 7,3 мл этилмагнийбромида. Выдерживают при перемешивании в течение 20 мин при комнатной температуре. Затем вводят в полученную реакционную среду 10 мл бензальдегида. Перемешивание производят в течение 2 ч при комнатной температуре. Гидролизуют среду добавлением разбавленной соляной кислоты, после экстракции этилацетатом, обильного промывания водой, затем сушки получают твердое вещество кремового цвета, которое очищают растиранием с 50 мл этанола. Получают таким образом 5,34 г целевого продукта. АНАЛИЗЫ ИК СНС13 (см-1) -ОН 3603 + общая область абсорбции Ароматический гетероатом 1627-1603-1505-1484 Стадия 2 4-бром-1-((6-хлор-1,3-бензодиоксол-5-ил)метил)-2-(альфа-гидрокси-(фенилметил))-1Н-имидазол-5-карбоксальдегид. Вводят 5,3 г продукта, полученного на вышеуказанной стадии 1, в 100 мл тетрагидрофурана и добавляют по капле 11 мл этилмагнийбромида. Выдерживают при перемешивании в течение 15 мин при комнатной температуре. Вводят затем в полученную реакционную среду 5 мл диметилформамида. Перемешивание производят в течение 2 ч при комнатной температуре. Гидролизуют среду добавлением разбавленной соляной кислоты, после экстракции этилацетатом, обильной промывки водой, затем сушки получают твердое вещество каштанового цвета, которое очищают хроматографией на кремнеземе с метиленхлоридом в качестве элюанта. Получают таким образом 2,067 г целевого продукта. АНАЛИЗЫ ИК СНС13 (см-1) С=О 1674 -ОН 3596 размытый Ароматический + гетероцикл 1628-1602-1505-1485 Пример 26 1-((6-хлор-1,3-бензодиоксол-5-ил)метил-2-(альфа-гидрокси-(фенилметил))-4-((4-метоксифенил)тио)-1Н-имидазол-5-карбоксальдегид. Действуют, как в примере 13, но исходят из суспензии 390 мг 50%-ного гидрида натрия в масле в 50 мл тетрагидрофурана, в которую медленно добавляют 1 мл метоксибензолтиола. Перемешивание производят в течение 15 мин при комнатной температуре. Вводят затем в полученный таким образом тиолат раствор 2,6 г продукта, полученного по примеру 25, в 25 мл тетрагидрофурана. Перемешивание производят в этих условиях в течение 2 ч. Получают таким образом 2,15 г целевого продукта. АНАЛИЗЫ ИК СНС13 (см-1) С=O 1667 -ОН 3598 ассоциированный ароматический + гетероцикл 1593-1574-1505-1494-1484 Пример 27 1-((6-хлор-1,3-бензодиоксол-5-ил)метил)-2-(альфа-гидрокси-(фенилметил))-4-((4-метоксифенил)тио)-1Н-имидазол-5-карбоксилат метила. Стадия 1 2-бензоил-1-((6-хлор-1,3-бензодиоксол-5-ил)метил)-4-((4-метоксифенил)тио)-1H-имидазол)-5-карбоксилат метила. Действуют, как в примере 12, но исходят из 2,15 г продукта, полученного в примере 26, в 200 мг метанола, добавляют затем последовательно 11 г оксида марганца, 1,1 г цианида натрия и 70 мкл уксусной кислоты. Затем производят перемешивание в течение 48 ч при комнатной температуре. Действуя, как в примере 12, получают 1,32 г целевого продукта (Рf= 166oС). АНАЛИЗЫ ИК СНС13 (см-1) Отсутствие ОН С=O 1716-1653 ароматический + гетероцикл 1597-1579-1508-1495 Стадия 2 1-((6-хлор-1,3-бензодиоксол-5-ил)метил)-2-(альфа-гидрокси-(фенилметил))-4-((4-метоксифенил)тио)-1Н-имидазол-5-карбоксилат метила. В суспензию 820 мг продукта, полученного на вышеуказанной стадии 1, в 200 мл этанола добавляют 65 мг боргидрида натрия и выдерживают 2 ч при комнатной температуре. Затем добавляют лед, выдерживают 30 мин при комнатной температуре, затем добавляют 200 мл воды, фильтруют, промывают водой и этанолом и сушат. Получают таким образом 770 мг целевого продукта Рf=193oС. Пример 28 1-((6-хлор-1,3-бензодиоксол-5-ил)метил)-2-(альфа-гидрокси-(фенилметил))-4-((4-метоксифенил)тио)-1Н-имидазол-5-карбоновая кислота. Действуют, как в примере 13, но исходят из 760 мг продукта по примеру 27 в смеси уксусной кислоты (50 мл) и тетрагидрофурана (50 мл), в которую добавляют 20 мл 1N гидроксида натрия, и выдерживают 48 ч при комнатной температуре. Получают таким образом 660 мг целевого продукта Рf=130oС, Пример 29 1-((6-хлор-1,3-бензодиоксол-5-ил)метил) 4-((3,4-диметоксифенил)тио)-2-(1,3-диоксолан-2-ил) 1Н-имидазол-5-карбоксальдегид. Стадия А 1-((6-хлор-1,3-бензодиоксил-5-ил)метил) 4,5-дибром-2-(1,3-диоксолан-2-ил) 1H-имидазол. В 20 г продукта, полученного на стадии А примера 11, в 200 мл дихлорметана и 500 мл эфира добавляют 15,6 мл 3М раствора этилмагнийбромида в эфире и перемешивают 20 минут при комнатной температуре. Добавляют 200 мл 1N соляной кислоты и экстрагируют этилацетатом. Промывают органическую фазу водой, сушат и выпаривают растворитель. Извлекают полученный промежуточный альдегид с помощью 200 мл толуола, добавляют 20 мл этиленгликоля и нагревают при температуре кипения с обратным холодильником в течение 16 часов. Выпаривают растворитель, извлекают остаток насыщенным водным раствором бикарбоната натрия, экстрагируют этилацетатом, промывают водой, сушат и выпаривают растворитель при пониженном давлении. Растирают остаток с изопропиловым эфиром, фильтруют, сушат при пониженном давлении и собирают 13,5 г целевого продукта, т.пл. =188oС. Стадия В 4-бром-1-((6-хлор-1,3-бензодиоксол-5-ил)метил) 2-(1,3-диоксолан-2-ил) 1Н-имидазол-5-карбоксальдегид. Вводят 10 г продукта, полученного на вышеуказанной стадии А, в 200 мл тетрагидрофурана и добавляют по капле 10 мл этилмагнийбромида в виде 3М раствора в эфире. Выдерживают при перемешивании в течение 20 минут при комнатной температуре. Затем добавляют в полученную реакционную среду 10 мл диметилформамида и перемешивают в течение 2 часов при комнатной температуре. Гидролизуют среду добавлением 200 мл разбавленной соляной кислоты, экстрагируют этилацетатом, промывают водой, затем сушат и получают после растирания с изопропиловым эфиром 7,6 г целевого продукта, используемого на следующей стадии. Стадия С 1-((6-хлор-1,3-бензодиоксол-5-ил)метил) 4-((3,4-диметоксифенил)тио)-2-(1,3-диоксолан-2-ил) 1Н-имидазол-5-карбоксальдегид. Добавляют 1,1 г гидрида натрия в 3,15 мл 3,4-диметокситифенола, растворенного в 200 мл диметилформамида и перемешивают 20 минут при комнатной температуре. Добавляют 7,6 г продукта, полученного на стадии В, перемешивают 16 часов при комнатной температуре, выпаривают растворитель при пониженном давлении, извлекают остаток 200 мл насыщенного водного раствора хлорида аммония и экстрагируют дихлорметаном. Сушат органическую фазу, выпаривают растворитель, смешивают остаток с изопропиловым эфиром, фильтруют и получают 5,2 г ожидаемого продукта. Т.пл. =149oС. Пример 30 1-((6-хлор-1,3-бензодиоксол-5-ил)метил) 4-((3,4-диметоксифенил)тио)-2-(1,3-диоксолан-2-ил) 1Н-имидазол-5-карбоксилат метила. Вводят раствор 5,05 г продукта по примеру 29 в смесь метиленхлорид/метанол (100 мл/500 мл). Затем добавляют последовательно 22 г оксида марганца, 2,2 г цианида натрия и 1,5 мл уксусной кислоты и перемешивают в течение 72 часов при комнатной температуре. Фильтруют, промывают органическую фазу водой, сушат, выпаривают растворитель и получают после хроматографии на кремнеземе 4,1 г целевого продукта. Т.пл.=170oС. Пример 31 1-((6-хлор-1,3-бензодиоксол-5-ил)метил) 4-((3,4-диметоксифенил)тио)-2-(1,3-диоксолан-2-ил) 1Н-имидазол-5-карбоновая кислота. Вводят 1 г продукта, полученного в примере 30, в 100 мл этанола и добавляют 50 мл 2N гидроксида натрия. Перемешивают 16 часов при комнатной температуре, выпаривают растворитель при пониженном давлении, извлекают остаток смесью воды со льдом, подкисляют 2N соляной кислотой, экстрагируют этилацетатом, сушат и выпаривают растворитель при пониженном давлении. Получают 650 мг целевого продукта. Т.пл.=155oС. Действуя, как в примерах 29-31, но исходя из соответствующих соединений, получают продукты следующих примеров: Пример 32 1-((6-хлор-1,3-бензодиоксол-5-ил)метил) 4-((4-метоксифенил)тио-2-пропил) 1Н-имидазол-5-карбоновая кислота. Т.пл.=174,5oС. Пример 33 1-((6-хлор-1,3-бензодиоксол-5-ил)метил) 4-((4-метоксифенил)тио) 2-(1-метилэтил) 1Н-имидазол-5-карбоновая кислота. Т.пл.=179oС. Пример 34 1-((6-хлор-1,3-бензодиоксол-5-ил)метил) 4-((3,4-диметоксифенил)тио) 2-пропил) 1Н-имидазол-5-карбоновая кислота. Т.пл.=175oС. Пример 35 4-(бутилтио)-1-((6-хлор-1,3-бензодиоксол-5-ил)метил) 2-пропил) 1Н-имидазол-5-карбоновая кислота. Т.пл.=151,8oС. Пример 36 4-((2-карбоксифенил)тио)-1-((6-хлор-1,3-бензодиоксол-5-ил)метил) 2-(1-метилэтил) 1Н-имидазол-5-карбоновая кислота. Т.пп.=203oС. Пример 37 1-((6-хлор-1,3-бензодиоксол-5-ил)метил) 2-(1-метилэтил)-4-(фенилтио) 1Н-имидазол-5-карбоновая кислота. rf=0,2 (СН2Сl2-СН3ОН 95-5) Пример 38 Калиевая соль 1-((6-хлор-1,3-бензодиоксол-5-ил)метил) 4-((3,4-диметоксифенип)тио) 2-(1-гидрокси-1-метилэтил) 1H-имидазол-5-карбоновой кислоты. Кислоту, полученную, как указано выше, растворяют в горячем изопропаноле, затем добавляют по капле раствор гидрата окиси калия в изопропаноле до щелочного рН. После 4 часов перемешивания при комнатной температуре отжимают осадок, затем промывают его в изопропаноле, в изопропиловом эфире, сушат и получают целевой продукт. rf=0,70 (АсОЕt). Действуя, как в примере 4, но исходя из соответствующих соединений, получают следующие соединения: Пример 39 2-бутил-1-((6-хлор-1,3-бензодиоксол-5-ил)метил) 4-(метилтио) 1Н-имидазол-5-карбоновая кислота. Т.пл. =177oС. Пример 40 1-((6-хлор-1,3-бензодиоксол-5-ил)метил) 2-этил-4-((4-метоксифенил)тио) 1Н-имидазол-5-карбоновая кислота. Т.пл. =172oС. Пример 41 1-((6-хлор-1,3-бензодиоксол-5-ил)метил) 4-(метилтио) 2-пропил-1Н-имидазол-5-карбоновая кислота. Т.пл.=196oС. Пример 42 4-((1,3-бензодиоксол-5-ил)тио)-1-((6-хлор-1,3-бензодиоксол-5-ил)метил) 2-пропил-1Н-имидазол-5-карбоновая кислота. Т.пл.=203oС. Пример 43 1-((6-хлор-1,3-бензодиоксол-5-ил)метил) 2-пропил-1Н-имидазол-4,5-дикарбоксилат этила. Растворяют 2,54 г 2-пропил-1Н-имидазол-4,5-дикарбоксилата этила, полученного, как указано в Bio. Org. Med. Chem. Letters том 4 1 (177-182) 1994, в 50 мл диметилформамида и добавляют 2,5 г карбоната калия, 2,5 г хлорида 6-хлорпиперонила, затем 2,5 г иодида натрия. Нагревают при 80oС полученную суспензию в течение 1 часа, выливают реакционную среду в ледяную воду, экстрагируют этилацетатом, промывают водой, сушат, удаляют растворитель, хроматографируют остаток на кремнеземе (элюант CH2Cl2-AcOEt 80-20) и получают 4,4 г целевого продукта. rf=0,36 (СН2Сl2-АсОЕt 80-20). Пример 44 1-((6-хлор-1,3-бензодиоксол-5-ил)метил) 4-формил-2-пропил-1Н-имидазол-5-карбоксилат этила. Охлаждают до -78oС 3,3 г продукта, полученного в примере 43, в 40 мл тетрагидрофурана и добавляют 6,5 мл диизобутилалюминийгидрида и перемешивают 2 часа. Выливают реакционную среду в насыщенный водный раствор хлорида аммония, экстрагируют этилацетатом, промывают водой, сушат, удаляют растворитель, хроматографируют остаток на кремнеземе (элюант СН2Сl2-АсОЕt 80-20) и получают 2,8 г целевого продукта. Т.пл.=105oС. Пример 45 1-((6-хлор-1,3-бензодиоксол-5-ил)метил)-4-((гидроксиметил) 2-пропил) 1Н-имидазол-5-карбоксилат этила. Растворяют 2,1 г альдегида, полученного в примере 44, в 100 мл этанола и добавляют 210 мг боргидрида натрия. Перемешивают 15 минут при комнатной температуре, удаляют избыток восстановителя добавлением уксусной кислоты, удаляют растворитель при пониженном давлении, поглощают остаток водой, подщелачивают с помощью гидроксида аммония, отжимают осадок, промывают водой, сушат при 60oС при пониженном давлении и получают 1,88 г целевого продукта. Т.пл.=114oС. Пример 46 1-((6-хлор-1,3-бензодиоксол-5-ил)метил)-4-(гидроксиметил) 2-пропил-1Н-имидазол-5-карбоновая кислота. Растворяют 500 мг продукта, полученного в примере 45, в 20 мл этанола и 25 мл гидроксида натрия. Перемешивают 16 часов при комнатной температуре, удаляют растворитель при пониженном давлении, поглощают остаток водой, фильтруют, подкисляют добавлением 2N соляной кислоты, отжимают осадок, промывают водой и этанолом, сушат при пониженном давлении и получают 380 мг целевого продукта. Т.пл.=240oС. Действуя, как в примере 46, но исходя из альдегида, полученного в примере 44, получают следующий продукт: Пример 47 1-((6-хлор-1,3-бензодиоксол-5-ил)метил) 4-формил-2-пропил-1Н-имидазол-5 карбоновая кислота. Пример 48 2-бутил-1-((6-хлор-1,3-бензодиоксол-5-ил)метил) 4-(циклогексилтио) 1Н-имидазол-5-карбоксилат этила. Стадия А 2-бутил-1-((6-хлор-1,3-бензодиоксол-2-ил)метил) 4-(метилсульфинил) 1Н-имидазол-5-карбоксилат этила. Растворяют 10 г этилового эфира, полученного из продукта по примеру 39, в 500 мл дихлорметана, охлаждают до 0oС и добавляют 6,6 г метахлорнадбензойной кислоты, перемешивают 2,5 часа. Промывают реакционную среду раствором бикарбоната натрия, экстрагируют дихлорметиленом, промывают органическую фазу водой, сушат и выпаривают растворитель при пониженном давлении. Получают 12 г сырого продукта, который хроматографируют на кремнеземе (элюант: этилацетат-циклогексан 7-3, затем дихлорметан-метанол 85-15). Получают 8,49 г целевого продукта. Т.пл.=103oС. Стадия В 2-бутил-1 ((6-хлор-1,3-бензодиоксол-5-ил)метил)-4-меркапто-1Н-имидазол-5-карбоксилат этила. Растворяют 1 г продукта, полученного на стадии А, в 20 мл дихлорметана и добавляют 0,66 мл трифторуксусного ангидрида. Перемешивают в течение 30 минут, выпаривают растворитель при пониженном давлении, поглощают остаток 10 мл метанола и 4 мл триэтиламина и снова перемешивают 30 минут при комнатной температуре, экстрагируют хлороформом, промывают органическую фазу насыщенным водным раствором хлорида аммония, сушат и выпаривают растворитель при пониженном давлении. Перекристаллизовывают сырой продукт в эфире и получают 490 г целевого продукта. Т.пл. =114oС. Стадия С 2-бутил-1-((6-хлор-1,3-бензодиоксол-5-ил)метил) 4-(циклогексилтио) 1Н-имидазол-5-карбоксилат этила Добавляют 125 мл гидрида натрия в раствор, содержащий 950 мг продукта, полученного на стадии В, в 20 мл диметилформамида. Добавляют затем 0,33 мл иодциклогексана и перемешивают 3 часа при комнатной температуре. Добавляют 20 мл насыщенного водного раствора хлорида аммония, экстрагируют дихлорметаном, промывают водой, сушат и выпаривают растворитель при пониженном давлении. После хроматографии на кремнеземе (элюант: СН2Сl2) получают 850 мг целевого продукта. rf=0,43 (CH2Cl2). Пример 49 2-бутил-1-((6-хлор-1,3-бензодиоксол-5-ил)метил)-4-(циклогексилтио) 1Н-имидазол-5-карбоновая кислота. Смешивают 800 мг продукта, полученного в примере 48, с 50 мл 2N гидроксида натрия и 50 мл этанола и добавляют тетрагидрофуран до полного растворения. Перемешивают 48 часов при комнатной температуре, выпаривают органические растворители при пониженном давлении, подкисляют раствор до рН 1 с помощью 2N соляной кислоты, отжимают полученный осадок, промывают водой, сушат при 40oС при пониженном давлении и получают 317 г полученного продукта после перекристаллизации в метаноле. Т.пл.=257oС. Действуя, как в примере 49, но исходя из соответствующих соединений, получают продукты по следующим примерам: Пример 50 2-бутил-4-((2-карбоксиэтенил)тио)-1-((6-хлор-1,3-бензодиоксол-5-ил)метил) 1Н-имидазол-5-карбоновая кислота. Т.пл.=212oС. Пример 51 2-бутил-1-((6-хлор-1,3-бензодиоксол-5-ил)метил) 4-((1-метилэтил)тио) 1Н-имидазол-5-карбоновая кислота. Т.пл.=160oС. Пример 52 2-бутил-1-((6-хлор-1,3-бензодиоксол-5-ил)метил) 4-((4-гидроксибутил)тио) 1Н-имидазол-5-карбоновая кислота. Т.пл.=135oС. Пример 53 2-бутил-4-((карбоксиметил)тио) 1-((6-хлор-1,3-бензодиоксол-5-ил)метил) 4Н-имидазол-5-карбоновая кислота. Т.пл.=165,8oС. Пример 54 2-бутил-4-((3-карбоксипропил)тио) 1-((6-хлор-1,3-бензодиоксол-5-ил)метил) 1Н-имидазол-5-карбоновая кислота. Т.пл.=140oС. Пример 55 (Е) 3-(1-((6-хлор-1,3-бензодиоксол-5-ил)метил) 4-(((4-метоксифенил)тио)пропил-1Н-имидазол-5-ил) 2-пропеноат этила. Перемешивают 5 минут при комнатной температуре 1,01 г триэтилфосфоната, 15 мл тетрагидрофурана и 172,8 мг гидрида натрия. Добавляют 1 г альдегида, полученного при синтезе продукта примера 32, растворенного в 30 мл тетрагидрофурана, и продолжают перемешивание в течение 30 минут. Выпаривают растворитель при пониженном давлении, поглощают остаток этилацетатом, промывают водой, сушат, выпаривают растворитель и перекристаллизовывают сырой продукт в изопропиловом эфире при 40oС. Получают 1,16 г целевого продукта. Т.пл.= 167,8oС, Пример 56 (Е) 3-(1-((6-хлор-1,3-бензодиоксол-5-ил)метил)-4-((4-метоксифенилтио)пропил-1Н-имидазол-5-ил) 2-пропеновая кислота. Действуют, как в примере 49, используя в качестве исходных 850 мг продукта, полученного в примере 55, 40 мл 2N гидроксида натрия и 40 мл этанола, перемешивая в течение 6 часов. После перекристаллизации в изопропиловом эфире получают 745 мг целевого продукта. Т.пл.=180,8oС. Пример 57 1-((6-хлор-1,3-бензодиоксол-5-ил)метил) 4-((4-метоксифенил)тио) 2-пропил-1Н-имидазол-5-ацетат метила. Стадия А (Цис, транс) 1-((6-хлор-1,3-бензодиоксол-5-ил)метил) 4-((4-метоксифенил)тио) 5-(2-метилсульфинил) 2-((метилтио)этенил) 2-пропил-1Н-имидазол. Смешивают 279 мг метилметилсульфинилметилсульфоксида и 14 мг гидроксида натрия, перемешивают 30 минут при 70oС и понемногу добавляют 500 мг альдегида, полученного при синтезе продукта примера 32. Продолжают перемешивание при 70oС в течение 2 часов, экстрагируют метиленхлоридом, промывают водой, сушат, выпаривают растворитель при пониженном давлении, хроматографируют остаток на кремнеземе (элюант CH2Cl2-AcOEt 4-1) и получают 617 мг целевого продукта. Стадия В 1-((6-хлор-1,3-бензодиоксол-5-ил)метил) 4-((4-метоксифенил)тио) 2-пропил-1Н-имидазол-5-ацетат метила. Перемешивают в течение 15 минут 1,02 мл ацетилхлорида с 4,1 мл метанола, которые медленно добавляют к 380 мг продукта, полученного на стадии А, растворенного в 2 мл метанола. Подкисляют добавлением соляной кислоты, перемешивают 16 часов при комнатной температуре, нейтрализуют водным раствором бикарбоната натрия. Экстрагируют дихлорметаном, промывают водой органическую фазу, сушат, удаляют растворитель при пониженном давлении, очищают остаток хроматографией на кремнеземе (элюант: CH2Cl2-AcOEt 95-5) и получают 290 мг целевого продукта, rf=0,66 (СН2Сl2-АсОЕt 4-1). Пример 58 1-((6-хлор-1,3-бензодиоксол-5-ил)метил) 4-((4-метоксифенил)тио) 2-пропил-1Н-имидазол-5-уксусная кислота. Действуют, как в примере 49, используя 290 мг продукта, полученного в предыдущем примере, 10 см3 2N водного раствора гидроксида натрия и 10 см3 метанола. После перекристаллизации в этилацетате получают 193 мг целевого продукта. Т.пл.=187oС. Пример 59 (Е) 1-((6-хлор-1,3-бензодиоксол-5-ил)метил) 4-(2-фенилэтенил) 2-пропил-1Н-имидазол-5-карбоксилат этила. Добавляют 150 мл гидрида натрия в суспензию, содержащую 1,2 г хлорида бензилтрифенилфосфония в 30 мл тетрагидрофурана. Перемешивают 30 минут, охлаждают до +10oС и добавляют 1 г альдегида, полученного в примере 44, растворенного в тетрагидрофуране и продолжают перемешивание 2 часа при комнатной температуре, фильтруют, промывают органическую фазу тетрагидрофураном, удаляют растворитель при пониженном давлении и хроматографируют остаток на кремнеземе (элюант: СН2-Сl2-АсОЕt 80-20). Получают 920 мг целевого продукта. Т. пл. =161oС. Пример 60 (Е) 1-((6-хлор-1,3-бензодиоксол-5-ил)метил) 4-(2-фенилэтенил) 2-пропил-1Н-имидазол-5-карбоновая кислота. Перемешивают в течение 16 часов при комнатной температуре 400 мг продукта, полученного в примере 59, растворенного в 50 мл этанола, 50 мл тетрагидрофурана и 10 мл 2N гидроксида натрия. Удаляют растворитель при пониженном давлении, поглощают остаток водой, фильтруют, подкисляют добавлением 2N соляной кислоты, отжимают осадок, промывают водой, затем этанолом, сушат при 50oС при пониженном давлении и получают 250 мг целевого продукта. Т.пл.= 230oС. Пример 61 1-((6-хлор-1,3 бензодиоксол-5-ил)метил) 4-(2-фенилэтил) 2-пропил-1Н-имидазол-5-карбоновая кислота. Растворяют 490 мг продукта, полученного в примере 58, в смеси 50 мл этанола и 50 мл этилацетата, добавляют 50 мг оксида платины и гидрируют под давлением 200 г. Отжимают катализатор, удаляют растворитель при пониженном давлении, хроматографируют остаток на кремнеземе (элюант СН2Сl2-АсОЕt 95-5) и получают 320 мг 1-((6-хлор-1,3-бензодиоксол-5-ил)метил) 4-(2-фенилэтил) 2-пропил-1Н-имидазол-5-карбоксилат этила с rf=0,22 (СН2Сl2-АсОЕt 95-5) и 80 г полностью восстановленного продукта 1-((6-хлор-1,3-бензодиоксол-5-ил)метил)-4-(2-циклогексилэтил), 2-пропил-1Н-имидазол-5-карбоксилат этила с Rf=0,35. Растворяют 300 мг частично восстановленного изомера в 40 мл этанола, добавляют 5 мл 2N гидроксида натрия, перемешивают 16 часов при комнатной температуре, подкисляют добавлением 2N соляной кислоты, удаляют растворитель при пониженном давлении, отжимают осадок, промывают водой, сушат при 60oС при пониженном давлении и получают после растирания с изопропиловым эфиром 240 мг целевого продукта. Т.пл.=204oС. Действуя, как указано в примерах 59 и 60, но исходя из соответствующих соединений, получают эфир и кислоту соответствующих примерам: Пример 62 1-((6-хлор-1,3-бензодиоксол-5-ил)метил) 4-(2-циклогексилэтил) 2-пропил-1Н-имидазол-5-карбоновая кислота. Т.пл. 150oС.
Пример 634-(((4-(2-карбоксиэтил)фенил)тио)метил) 1-((6-хлор-1,3-бензодиоксол-5-ил)метил), 2-пропил-1Н-имидазол-5-карбоксилат этила. Растворяют 500 мг продукта, полученного в примере 45, в 50 мл дихлорметана и добавляют 0,8 мл N-этилдиизопропиламина. Охлаждают до 0oС, медленно добавляют 0,15 мл мезилхлорида, перемешивают 1 час и добавляют 360 мг 4-(2-карбоксиэтил) фенилтиола и перемешивают 2 часа. Промывают водой, сушат, удаляют растворитель при пониженном давлении, хроматографируют остаток на силикагеле (элюант CH2Cl2-CH3OH 95-5) и получают 570 мг целевого продукта. Т.пл.=174oС. Пример 64 4-(((4-(2-карбоксиэтил)фенил)тио)метил) 1-((6-хлор-1,3-бензодиоксол-5-ил)метил) 2-пропил-1Н-имидазол-5-карбоновая кислота. Растворяют 540 мг эфира, полученного в примере 63, в 20 мл этанола и 10 мл 2N гидроксида натрия и перемешивают 5 часов при комнатной температуре. Выпаривают растворитель при пониженном давлении, фильтруют водную фазу, подкисляют уксусной кислотой, отжимают осадок, промывают водой, сушат при 50oС при пониженном давлении. Извлекают остаток изопропиловым эфиром, сушат и получают 420 мг целевого продукта. Т.пл.=171oС. Действуя, как указано в примерах 63 и 64, исходя из соответствующих соединений, получают следующие эфиры и кислоты: Пример 65 1-((6-хлор-1,3-бензодиоксол-5-ил)метил) 4-(((3,4-диметоксифенил)тио)метил) 2-пропил-1Н-имидазол-5-карбоновая кислота. Т.пл.=215oС. Пример 66 1-((6-хлор-1,3-бензодиоксол-5-ил)метил) 4-(((4-(1-метилэтил)фенил)тио)метил) 2-пропил-1Н-имидазол-5-карбоновая кислота. Т.пл.=230oС. Пример 67 1-((6-хлор-1,3-бензодиоксол-5-ил)метил) 4-((4-морфолинил)метил) 2-пропил-1Н-имидазол-5-карбоновая кислота. Т.пл.=104oС. Пример 68 1-((6-хлор-7-(1,2-диоксо-2-этоксиэтил) 1,3-бензодиоксол-5-ил)метил) 4-((3-диметоксифенил)тио) 2-пропил-1Н-имидазол, 5-карбоновая кислота. Растворяют 350 мг кислоты, полученной в примере 34, в 30 мл тетрагидрофурана, охлаждают до -78oС и добавляют 1,05 мл н-бутитиллития. Перемешивают 5 минут, добавляют 0,48 мл диэтилоксолата и перемешивают 1 час при комнатной температуре. Гидролизуют добавлением воды, подкисляют добавлением 2N соляной кислоты, экстрагируют этилацетатом, промывают органическую фазу водой, сушат, удаляют растворитель, хроматографируют остаток на кремнеземе (элюант: СН2Сl2-СН3ОН 95-5) и получают 210 мг целевого продукта. rf=0,25 (СН2Сl-СН3ОН 95-5). Пример 69 Калиевая соль 1-((6-хлор-7-(карбоксикарбонил) 1,3-бензодиоксол-5-ил)метил) 4-((3,4-диметоксифенил)тио) 2-пропил-1Н-имидазол-5-карбоновой кислоты. Добавляют 5 мл 2N гидроксида натрия в 190 мг продукта, полученного в примере 68, растворенного в 10 мл этанола? и перемешивают 16 часов при комнатной температуре. Удаляют этанол при пониженном давлении, подкисляют водную фазу добавлением 2N соляной кислоты, отжимают осадок, промывают водой, сушат при пониженном давлении. Извлекают остаток этанолом, подщелачивают добавлением гидроксида калия в 10 мл изопропанола, отжимают кристаллизованный продукт и сушат при 50oС при пониженном давлении. Получают 70 мг целевого продукта, Т.пл. выше 260oС. Действуя, как в примере 54, но исходя из соответствующих исходных продуктов, получают следующие соединения: Пример 70 4-((3-карбоксипропил)тио) 1-((6-хлор-1,3-бензодиоксол-5-ил)метил) 2-пропил-1Н-имидазол-5-карбоновая кислота. Т.пл.=154oС. Пример 71 4-((7-карбоксигептил)тио) 1-((6-хлор-1,3-бензодиоксол-5-ил)метил) 2-пропил-1Н-имидазол-5-карбоновая кислота. Т.пл. =133oС. Пример 72 Фармацевтическая композиция Приготавливают таблетки, соответствующие следующей формуле: Продукт по примеру 7 – 50 мг Эксципиент для готовой таблетки до (перечень эксципиента: лактоза, тальк, крахмал, стеарат магния) – 200 мг Фармакологические результаты: Исследование активности на рецепторе В эндотелина Приготавливают мембранный препарат из клеток затылочной зоны коры головного мозга и мозжечка крыс. Ткань размельчают в Политроне в буферном растворе Трис 50 мМ рН=7,4. После выдерживания в течение 30 минут при 25oС (водяная баня) гомогенат центрифугируют при 30000 g в течение 15 минут (2 центрифугирования с промежуточным разбавлением буферным раствором Трис рН 7,4). Осадки суспензируют в инкубационном буферном растворе (Трис 25 мМ, пепстатин А 5 мкг/мл, апротинин 3 мкг/мл, PMST 0,1 мМ, EDTA 3 мМ, EGTA 1 мM рН 7,4). Напивают части, кратные 2 мл, в трубки для гемолиза и добавляют 125I эндотелина (примерно 50000 дпм/на трубку и исследуемый продукт. (Продукт сначала исследуют при концентрации 3 10-5 М в тройном количестве).
Когда исследуемый продукт смещает более 50% радиоактивности, специфически связанной с рецептором, он исследуется снова в диапазоне 7 концентраций, чтобы определить концентрацию, которая ингибирует 50% радиоактивности, специфически связанной с рецептором. Определяют таким образом концентрацию, ингибирующую 50%.
Неспецифическую связь определяют добавлением эндотелина с концентрацией 10-6 (в тройном количестве). Инкубируют при 25oС в течение 60 минут, помещают в водяную баню при 0oС на 5 минут, фильтруют при пониженном давлении, промывают буферным раствором Трис 7,4 и считают радиоактивность в присутствии сцинтиллятора Тритон.
Результат выражен в концентрации, ингибирующей 50% (CI50), т.е. в концентрации исследуемого продукта, выраженной в нМ, необходимой для смещения 50% специфической радиоактивности, зафиксированной на исследуемом рецепторе.
РезультатЗначения CI50, найденные для продуктов примеров, следующие: Продукты примеров – Рецептор В эндотелина CI/50 в наномолях 10 – 250 21 – 350 Исследование активности на рецепторе А эндотелина Приготавливают мембранный препарат из клеток желудочков сердца крыс. Ткань размельчают в Политроне в буферном растворе Трис 50 мМ рН=7,4. После 30 минут при 25oС (водяная баня) гомогенат центрифугируют при 30000 g в течение 15 минут (2 центрифугирования с промежуточным поглощением буферным раствором Трис рН 7,4). Осадки суспензируют в инкубационном буферном растворе (Трис 25 мМ, пепстатин А 5 мкг/мл, апротинин 3 мкг/мл, PMSF 0,1 мМ, EDTA 3 мМ, EGTA 1 мМ рН 7,4). Распределяют части, кратные 2 мл, в трубки для гемолиза 125 и добавляют 125I эндотелина (примерно 50000 дпм/на трубку) и исследуемый продукт. (Продукт сначала исследуют при концентрации 3 10-5 М в тройном количестве). Когда исследуемый продукт смещает более 50% радиоактивности, специфически связанной с рецептором, он исследуется снова в диапазоне 7 концентраций, чтобы определить концентрацию, которая ингибирует 50% радиоактивности, специфический связанной с рецептором. Определяют таким образом концентрацию, ингибирующую 50%.
Неспецифическую связь определяют добавлением эндотелина с концентрацией 10-6 М (в тройном количестве). Инкубируют при 25oС в течение 60 минут, помещают в водяную баню при 0oС на 5 минут, фильтруют при пониженном давлении, промывают буферным раствором Трис 7,4 и подсчитывают радиоактивность в присутствии сцинтиллятора Тритон.
Результат непосредственно в концентрации, ингибирующей 50% (CI50), т.е. в концентрации исследуемого продукта, выраженной в нМ, необходимой для смещения 50% специфической радиоактивности, зафиксированной на исследуемом рецепторе.
РезультатCI50, полученные для продуктов примеров, следующие Продукты по примерам – Рецептор А эндотелина CI50 в наномолях 10 – 91 21 – 110 Примеры – Рецептор А эндотелина IC50 в нМ 4 – 4,6 17 – 12 31 – 6 32 – 3 33 – 4,3 34 – 1,6 35 – 16 37 – 5,4 38 – 16,4 40 – 8,6 41 – 18 42 – 2 49 – 1,6 51 – 16 52 – 9,2 54 – 4 61 – 16 62 – 5,5 64 – 4,7 65 – 22 66 – 21 70 – 2,8 Фармакологические данные соединений примеров 2 и 13: CI50 в нМ в отношении рецептора А эндотелина – 25,8 CI50 в нМ в отношении рецептора В эндотелина – 383. Формула изобретения
![]() в которой R1 – радикал алкил или алкилтио, линейный или разветвленный, содержащий не более 12 атомов углерода, возможно замещенные 1-2 одинаковыми ли разными радикалами, выбранными из гидроксила, алкила, алкокси или алкилтио, алькильная часть которых содержит не более 6 атомов углерода; фенила, замещенного С1-С4алкоксигруппой; или радикал диоксолан или диоксан; R2 и R3, одинаковые или разные, выбраны из атомов галогена, радикалов меркапто, ацила, карбокси, свободного, превращенного в соль или этерифицированного; формила, алкила, замещенного фенилом или циклоалкилом; или радикала где m1 – целое число от 0 до 4; m2 – целое число от 0 до 2;R10 – радикал алкил, линейный или разветвленный, содержащий не более 6 атомов углерода, радикал циклоалкил, содержащий 3-7 атомов углерода, бензодиоксол или фенил, возможно замещенные 1-2 заместителями, одинаковыми или разными, выбранными из гидроксила, С1-С6-алкила, С1-С6-алкоксила, карбоксила, свободного, превращенного в соль или этерифицированного, карбоксиэтила, алкила, замещенного фенилом, замещенным, в свою очередь, С1-С6-алкоксилом; Y – фенил, замещенный двумя радикалами, образующими вместе с двумя соседними атомами углерода, к которым они присоединены, диоксолановое кольцо, и которое может быть замещено 1-2 одинаковыми или разными заместителями, выбранными из галогена, карбоксикарбонила свободного, превращенного в соль или этерифицированного. 2. Соединения по п.1, общей формулы (IС) ![]() в которой R1С – радикал алкила или алкилтио, линейный или разветвленный, содержащий не более 12 атомов углерода, возможно замещенные 1-2 одинаковыми или разными радикалами, выбранными из гидроксила или С1-С4-алкоксила, линейного или разветвленного, фенила, замещенного С1-С4-алкоксигруппой; R2С и R3С, однаковые или разные, выбранные из атомов галогена, радикала карбокси, свободного, превращенного в соль или этерифицированного; радикала ![]() где m3 = 0 или 1, m2 = 0 или 2; R10B – радикал алкил, линейный или разветвленный, содержащий не более 6 атомов углерода, или фенил, возможно замещенные 1-2 заместителями, одинаковыми или различными, выбранными из С1-С4-алкила, С1-С6-алкоксила, карбоксила, свободного, превращенного в соль или этерифицированного; циклогексил или циклопентил; или бензодиоксол; Yс представляет собой радикал Y, определенный в п.1. 3. Соединения по п.2, в которых R1С выбран из метила, этила, пропила, бутила линейных или разветвленных; и радикала алкилтио, содержащих до 6 атомов углерода, возможно замещенного фенилом, замещенным, в свою очередь, С1-С4-алкоксилом; диоксолана или диоксана; R2С выбран из С1-С4-алкилтио, возможно замещенного гидроксилом или карбоксигруппой, свободной, превращенной в соль или этерифицированной; циклогексилэтила, циклогексилтио, фенилэтила, бензодиоксола; R3С – карбоксигруппа, свободная, превращенная в соль или этерифицированная. 4. Соединения по любому из пп.1-3, формулы (IС), представляющие собой следующие соединения: 1-((6-хлор-1,3-бензодиоксол-5-ил)метил)-4-((4-метоксифенил)метилтио)-1Н-имидазол-5-карбоновая кислота, 2-бутил-1-((6-хлор-1,3-бензодиоксол-5-ил)метил)-5-((4-метоксифенил)-тио)-1Н-имидазол-4-карбоновая кислота, 1-((6-хлор-1,3-бензодиоксол-5-ил)метил)-2,4-бис-(((4-метоксифенил)метил)-тио)-1Н-имидазол-5-карбоновая кислота, 1-((6-хлор-1,3-бензодиоксол-5-ил)метил)-4-(4-метоксифенил)тио)-2-(пропилтио)-1Н-имидазол-5-карбоновая кислота, 1-((6-хлор-1,3-бензодиоксол-5-ил)метил)-4-((3,4-диметоксифенил)тио)-2-пропил-1Н-имидазол-5-карбоновая кислота, 2-бутил-1-((6-хлор-1,3-бензодиоксол-5-ил)метил)-4-(циклогексилтио)-1Н-имидазол-5-карбоновая кислота, 2-бутил-4-((3-карбоксипропил)тио)-1-((6-хлор-1,3-бензодиоксол-5-ил)-метил)-1Н-имидазол-5-карбоновая кислота, 4-(((4-(2-карбоксиэтил)фенил)тио)метил)-1-((6-хлор-1,3-бензодиоксол-5-ил)метил)-2-пропил-1Н-имидазол-5-карбоновая кислота, 4-((3-карбоксипропил)тио)-1-((6-хлор-1,3-бензодиоксол-5-ил)метил)-2-пропил-1Н-имидазол-5-карбоновая кислота, 4-((7-карбоксигептил)тио)-1-((6-хлор-1,3-бензодиоксол-5-ил)метил)-2-пропил-1Н-имидазол-5-карбоновая кислота. 5. Способ получения соединений формулы (I), описанной в п.1, заключающийся в том, что соединение формулы (II) ![]() где R1 ‘ имеет значение, указанное в п.1 для R1, в котором реакционные функции в случае необходимости защищены защитными группами, подвергают взаимодействию с соединением формулы (III) ![]() где Hal – атом галогена; Y’ имеет значение, указанное в п.1 для Y, в котором возможные реакционные функции, в случае необходимости, защищены защитными группами, для образования продукта формулы (IV1) ![]() где R1 ‘ и Y’ имеют значения, указанные выше, полученный продукт формулы (IV1) можно подвергнуть реакции галогенирования для образования продукта формулы (IV2) ![]() где R1 ‘, Hal и Y’ имеют значения, указанные выше, полученное соединение формулы (IV2) можно подвергнуть реакции обмена галоген-металл на одном из атомов галогена, а затем реакции с СО2 или ДМФ, или с электрофильным соединением формулы (S-Z1)2 (Va) или ![]() или ![]() или ![]() где Z1 – радикал алкила, алкенила или фенила, возможно замещенных, в которых возможные реакционные функции, в случае необходимости, защищены защитными группами, и алк – радикал алкила, содержащий не больше 4 атомов углерода, с получением соединения формулы (I1) ![]() где R1 ‘, Hal, Y’ имеют значения, указанные выше; Z3 – радикал карбокси, формил, группа S-Z1 – определенная выше, или радикал К-О-алк, в котором К – радикал ![]() и алк имеет значение, указанное выше; полученное соединение формулы (I1), когда Z3 – радикал формил или этирифицированная карбоксигруппа, можно подвергнуть реакции соединением формулы (VII) Z2-S-M (VII) где S – атом серы; М – металл, такой как натрий, калий или медь; Z2 – радикал алкил, алкенил или фенил, возможно замещенный, в которых возможные реакционные функции в случае необходимости защищены защитными группами, с получением соединения формулы (I2) ![]() где R1 ‘, Y’ и Z2 имеют значения, указанные выше; Z4 – радикал формил или этерифицированная карбоксигруппа, полученное соединение формулы (I2), когда Z4 – радикал формил, подвергают реакции окисления или восстановления для получения соединения формулы (I3) ![]() где R1 ‘, Z2, Y’ имеют значения, указанные выше; Z5 – радикал СН2ОН или карбоксигруппа, свободная или этерифицированная алкилом, линейным или разветвленным, содержащим не больше 6 атомов углерода, полученные соединения формулы (I1), (I2), (I3) могут быть соединениями формулы (I), или для получения других соединений формулы (I) подвергают, если это необходимо, одной или нескольким следующим реакциям преобразования в любом порядке: а) реакции этерификации кислотной функции, б) реакции омыления эфира до кислоты, в) реакции преобразования эфирной функции в ацильную, г) реакции восстановления карбоксигруппы до спиртовой, д) реакции преобразования алкоксигруппы в гидроксильную или гидроксильной группы в алкоксигруппу, е) реакции окисления спирта до альдегида, кислоты или кетона, ж) реакции окисления алкилтиогруппы или фенилтиогруппы до соответствующей сульфоксидной или сульфоновой группы, з) реакции преобразования галогенсодержащей группы в формил или этерифицированную карбоксигруппу, и) реакции преобразования радикала формила в радикал ![]() а затем, в случае необходимости, в ![]() ![]() к) реакции преобразования радикала формила в радикал СН2-ОН или ![]() а затем, в случае необходимости, в СН2 – RS или преобразования ![]() для получения радикалов алкила или ацила, возможно замещенных, таких как описано выше для R2‘ и R3‘; л) реакции окисления радикала S-алк до ![]() с последующим преобразованием до SH и, в случае необходимости, до S-Z2, где алк и Z2 имеют ранее указанные значения; м) реакции удаления защитных групп с реакционных функций; н) реакции образования соли минеральной или органической кислоты или основания, о) реакции разделения рацемических форм на отдельные изомеры, причем полученные продукты формулы (I) могут находиться во всех возможных рацемических изомерах, энантиомерах и диастереоизомерах. 6. Способ получения соединений формулы (I), описанной в п.1, заключающийся в том, что соединение формулы (VIII) ![]() где Hal имеет значение, указанное в п.5, подвергают взаимодействию с соединением формулы (III), описанной в п.5, или действию защитной группы Р для получения продукта формулы (IX) ![]() где Hal имеет значение, указанное выше, и W означает или -СН2-Y’, где Y’ указано в п.5, или Р, которая означает защитную группу атома азота, полученный продукт формулы (IX) подвергают реакции обмена галоген-металл, а затем реакции с электрофильным соединением формулы (Х), (Х1), (ХI) или (ХII) L1-CHO (X) L1-CHO-Cl (X) (-S-L1)2 (XI) L1SO2-S-L’ (XII) где L1 и L’, одинаковые или разные, являются радикалами алкил, алкенил или фенил, описанными выше; с получением соединения формулы (XIII) ![]() где Hal и W имеют значение, указанное выше, R1 “ – фенил- или алкил-карбонил, фенил- или алкил-гидроксиалкил или алкилтиогруппа, в которых фенил и алкил имеют заместители, указанные выше, и в которых возможные реакционные функции в случае необходимости защищены защитными группами, полученное соединение формулы (XIII) подвергают реакции обмена галоген-металл на одном из атомов галогена, а затем реакции с СО2 или ДМФ или с электрофильным соединением формулы (Va), (VIa), (VIв) или (VIc) (S-Z1)2 (Va) или ![]() или ![]() или ![]() где Z1 – радикал алкила, алкенила или фенила, возможно замещенных, в которых возможные реакционные функции в случае необходимости защищены защитными группами, и алк – радикал алкила, содержащий не больше 4 атомов углерода, c получением соединения формулы (ХIV): ![]() где R1 “, Hal и W имеют значения, указанные выше; Z3 – радикал карбокси, формил, группа S – Z1 – определенная выше, или радикал К-О-алк, в котором К – радикал ![]() и алк имеет значение, указанное выше, полученное соединение формулы (ХIV), когда Z3 – радикал формил или этирифицированная карбоксигруппа, подвергают реакции с соединением формулы (VII) Z2-S-M (VII) где S – атом серы; М – металл, такой как: натрий, калий или медь, Z2 – радикал алкил, алкенил или фенил, возможно замещенный, в которых возможные реакционные функции в случае необходимости защищены защитными группами, с получением соединения формулы (XV): ![]() где R1 “, Z2 и W имеют значения, указанные выше; Z4 – радикал формил или этерифицированная карбоксигруппа, полученное соединение формулы (XV), когда Z4 – радикал формила, подвергают реакции окисления или восстановления для получения соединения формулы (I4) ![]() где R1 “, Z2 и W имеют значения, указанные выше; Z5 – радикал СН2ОН или карбоксигруппа, свободная или этерифицированная алкилом, линейным или разветвленным, содержащим не больше 6 атомов углерода, полученное соединение формулы (ХV) или (I4) в случае, если W является Р, указанным выше, и после высвобождения аминофункции, блокированной Р, подвергают взаимодействию с соединением формулы (III), описанной выше, для образования соединения формулы (I5) ![]() где R1 “ и Y’ имеют значения, указанные выше; R2 “ и R3 “ являются, независимо друг от друга, один – Z4 или Z5, такие как указано выше, и другой – S – Z2, такой, как указано выше, причем соединения формул (I4), (XIV), (XV), (I5), могут быть соединениями формулы (I), или для получения других соединений формулы (I) подвергают, если это необходимо, одной или нескольким следующим реакциям преобразования в любом порядке: а) реакции этерификации кислотной функции, б) реакции омыления эфира до кислоты, в) реакции преобразования эфирной функции в ацильную, г) реакции восстановления карбоксигруппы до спиртовой, д) реакции преобразования алкоксигруппы в гидроксильную или гидроксильной группы в алкоксигруппу, е) реакции окисления спирта до альдегида, кислоты или кетона, ж) реакции окисления алкилтиогруппы или фенилтиогруппы до соответствующей сульфоксидной или сульфоновой группы, з) реакции преобразования радикала ![]() в радикал ![]() а затем, если необходимо, снова в радикал ![]() где L1 – такой, как описано выше, и) реакции преобразования галогенсодержащей группы в формил или этерифицированную карбоксигруппу, к) реакции преобразования радикала формила в радикал ![]() а затем, в случае необходимости, в ![]() ![]() л) реакции преобразования радикала формила в радикал СН2-ОН или ![]() а затем, в случае необходимости, в СН2-RS или преобразования ![]() для получения радикалов алкила или ацила, возможно замещенных, таких как описано выше для R2‘ и R3‘; м) реакции окисления радикала S-алк до ![]() с последующим преобразованием до SH и, в случае необходимости, до S-Z2, где алк и Z2 имеют ранее указанные значения; н) реакции удаления защитных групп с реакционных функций; о) реакции образования соли минеральной или органической кислоты или основания, п) реакции разделения рацемических форм на отдельные изомеры, причем полученные продукты формулы (I) могут находиться во всех возможных рацемических изомерах, энантиомерах и диастереоизомерах. 7. Способ получения соединений формулы (I), описанной в п.1, заключающийся в том, что соединение формулы (XVI) ![]() где R1‘ имеет значение, указанное выше; R2‘ и R3‘ имеют значения, указанные выше соответственно для R2 и R3, в которых возможные реакционные функции в случае необходимости защищены защитными группами, подвергают взаимодействию с соединением формулы (III), описанной выше, для образования соединения формулы (I’) ![]() где R1‘, R2‘, R3‘ и Y’ имеют значения, указанные выше, причем соединение формулы (I1) может быть соединением формулы (I), или для получения других соединений формулы (I) подвергают, если это необходимо, одной или нескольким следующим реакциям преобразования в любом порядке: а) реакции этерификации кислотной функции, б) реакции омыления эфира до кислоты, в) реакции преобразования эфирной функции в ацильную, г) реакции восстановления карбоксигруппы до спиртовой, д) реакции преобразования алкоксигруппы в гидроксильную или гидроксильной группы в алкоксигруппу, е) реакции окисления спирта до альдегида, кислоты или кетона, ж) реакции окисления алкилтиогруппы или фенилтиогруппы до соответствующей сульфоксидной или сульфоновой группы, з) реакции преобразования галогенсодержащей группы в формил или этерифицированную карбоксигруппу, и) реакции преобразования радикала формила в радикал ![]() а затем, в случае необходимости, в ![]() ![]() к) реакции преобразования радикала формила в радикал СН2-ОН или ![]() а затем, в случае необходимости, в СН2-RS или преобразования ![]() для получения радикалов алкила или ацила, возможно замещенных, таких как описано выше для R2‘ и R3‘; л) реакции окисления радикала S-алк до ![]() с последующим преобразованием до SH и, в случае необходимости, до S-Z2, где алк и Z2 имеют ранее указанные значения; м) реакции удаления защитных групп с реакционных функций; н) реакции образования соли минеральной или органической кислоты или основания, о) реакции разделения рацемических форм на отдельные изомеры, причем полученные продукты формулы (I) могут находиться во всех возможных рацемических изомерах, энантиомерах и диастереоизомерах. 8. Соединения по пп.1-4, обладающие сродством к рецепторам эндотелина. 9. Фармацевтическая композиция, проявляющая сродство в отношении рецепторов эндотелина, содержащая в качестве активного начала по крайней мере одно соединение по п.1. 10. Соединения по пп. 1-4, используемые в качестве активного начала фармацевтических композиций, предназначенных для лечения заболеваний, вызванных анормальным стимулированием рецепторов эндотелина и, в частности, для лечения гипертонии, вызванной эндотелином, спазм сосудов, лечения состояний после кровоизлияний в мозг, почечной недостаточности, инфарктов миокарда, и в профилактике повторных стенозов после ангиопластики. 11. Соединения формулы (IV1), (IV2), (XIII), (XIV) и (XV), где Y’ означает фенил, замещенный радикалом диоксола и, возможно замещенный одним или несколькими заместителями, выбранными из значений R2 и R3, в которых возможные реакционные функции в случае необходимости защищены защитными группами, в качестве промежуточных продуктов. РИСУНКИ
MM4A Досрочное прекращение действия патента Российской Федерации на изобретение из-за неуплаты в установленный срок пошлины за поддержание патента в силе
Дата прекращения действия патента: 02.08.2004
Извещение опубликовано: 20.04.2006 БИ: 11/2006
|
||||||||||||||||||||||||||

где m1 – целое число от 0 до 4, m2 – целое число от 0 до 2; R10 – радикал алкил, линейный или разветвленный, содержащий не более 6 атомов углерода, или фенил, возможно замещенные 1-2 заместителями, одинаковыми или разными, выбранными из гидроксила, С1-С6 алкила, С1-С6 алкоксила, карбоксила, свободного, превращенного в соль или этерифицированного, карбоксиэтила, алкила, замещенного фенилом, замещенным в свою очередь С1-С6 алкоксилом; радикал циклоалкил, содержащий 3-7 атомов углерода, или бензодиоксол; Y – фенил, замещенный двумя радикалами, образующими вместе с двумя соседними атомами углерода, к которым они присоединены, диоксолановое кольцо, которое может быть замещено 1-2 одинаковыми или разными заместителями, выбранными из галогена, карбоксикарбонила, свободного, превращенного в соль или этерифицированного. Новые производные имидазола годны для приготовления фармацевтических композиций, предназначенных для лечения заболеваний, вызванных анормальным стимулированием рецепторов эндотелина и, в частности, для лечения гипертонии, вызванной эндотелином, спазмов сосудов, лечения состояний после кровоизлияний в мозг, почечной недостаточности, инфарктов миокарда, и в профилактике повторных стенозов после ангиопластики. Описываются способы их получения, промежуточные продукты и фармацевтическая композиция на основе соединений формулы (I). 6 с. и 5 з.п.ф-лы, 19 табл.


определенный выше; радикал циклоалкил, содержащий 3-6 атомов углерода или радикал арил, причем радикалы алкил, алкенил, и арил всех радикалов, которыми определен R4, могут быть замещены одним или несколькими одинаковыми или разными радикалами, выбранными из:

определенного выше, или R6 и R7 либо R8 и R9 образуют соответственно с атомом азота, которым они связаны, моноциклический радикал, содержащий 5, 6 или 7 звеньев, или радикал, состоящий из конденсированных циклов, содержащий 8-14 звеньев, причем эти радикалы, одинаковые или разные, могут содержать один или несколько других гетероатомов, выбранных из атомов кислорода, азота или серы, и могут быть замещены одним или несколькими радикалами, выбранными из атомов галогена, радикалов гидроксила, нитро, циано, радикалов алкила, алкенила, галоалкила, алкокси и ацила, при этом эти радикалы содержат не больше 6 атомов углерода, аминогруппы, возможно замещенной одним или двумя радикалами, алкила, одинаковыми или разными, содержащими не больше 6 атомов углерода, радикалов карбокси, свободной, превращенной в соль, этерифицированной или амидированной, арила и арилалкила, причем эти два последних радикала могут быть замещены одним или несколькими радикалами, выбранными из атомов галогена, радикалов гидроксила, трифторметила, нитро, циано, карбокси, свободной, превращенной в соль или этерифицированной, и тетразолила,
определенным выше,
соответственно означает простую связь, радикал метилен, этилен, пропилен, изопропилен или бутилен.
Один или несколько карбоксирадикалов соединений формулы (I) могут быть превращены в соль или этерифицированы различными группами, известными специалисту, из которых можно назвать, например:
где значение m3 равно 0 и 1, значение m2 равно 0-2 и

описанным выше,



описанного выше, причем указанные соединения формулы (IB) могут находиться во всех возможных изомерах, рацемических, энантиомерах и диастереоизомерах, а также в виде соли с минеральной и органической кислотой или с минеральным и органическим основанием.
Радикал
может быть, в частности, радикалами, в которых XB-R10B являются следующими радикалами:





описанный выше, может означать в качестве примеров перечень радикалов:












в котором m3 равно 0 и 1, m2 – 0-2 и



,













































в обычных условиях, известных специалисту, на полученный таким образом хлорангидрид кислоты, получают таким образом радикал









Н2O (хлорид аммония), 2
150oС.
Пример 63
где m1 – целое число от 0 до 4; m2 – целое число от 0 до 2;













































