Патент на изобретение №2187498
|
||||||||||||||||||||||||||
(54) СМЕСЕВОЙ ПЛАСТИФИКАТОР
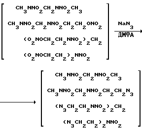
(57) Реферат: Изобретение относится к смесевому пластификатору на основе нитроаминов, который предполагается использовать в качестве пластификатора различных полимеров. Описывается смесевой пластификатор, включающий 2,4-динитро-2,4-диазапентан (I); 1-азидо-3,5-динитро-3,5-диазагексан (II) и 1,7-диазидо-3,5-динитро-3,5-диазагептан (III), отличающийся тем, что он дополнительно содержит 1,5-диазидо-3-нитро-3-азапентан (IV) при следующем соотношении компонентов, вес. %: I CH3NNO2CH2NNO2CH3 2-55; II CH3NNO2CH2NNO2CH2CH2N3 15-64; III (N3CH2CH2NNO2)2CH2 2-40; IV (N3CH2CH2)2NNO2 2-75. Технический результат – создание нового активного пластификатора, имеющего более высокую пластифицирующую способность. 2 табл. Изобретение относится к области органической химии, а именно к смесевому пластификатору на основе нитраминов, содержащему 2,4-динитро-2,4-диазапентан (I), 1-азидо-3,5-динитро-3,5-диазагексан (II), 1,7-диазидо-3,5-динитро-3,5-диазагептан (III) и 1,5-диазидо-3-нитро-3-азапентан (IV) при следующем соотношении компонентов (вес. %): ![]() Смесь “ЧСА” предполагается использовать в качестве пластификатора различных полимеров. Известен смесевой пластификатор, состоящий из 2,4-динитро-2,4-диазапентана, 2,4-динитро-2,4-диазагексана и 3,5-динитро-3,5-диазагептана – смесь “ТС” [пат. Россия 2061680, зарегистр. 10.06.1996 г., Тартаковский В.А., Ермаков А. С. и др.]. Однако пластификатор “ТС” обладает низкой энтальпией образования (~ -80 – -90 ккал/кг) и высокой температурой плавления (7-12oС). Известен активный пластификатор полимеров, принятый нами за прототип, состоящий из 2,4-динитро-2,4-диазапентана (I), 1-азидо-3,5-динитро-3,5-диазагексана (II) и 1,7-диазидо-3,5-динитро-3,5-диазагептана(III) – смесь “ТСА” [Пат. Россия 2157364, зарегистр. 10.10.2000 г., Тартаковский В.А., Ермаков А. С. , Лукьянов О.А. и др.]. Однако указанный пластификатор “ТСА” имеет относительно высокую температуру плавления (-3-+2oС) и относительно низкую пластифицирующую способность (на уровне 2,4-динитро-2,4-диазапентана и смеси “ТС”). Задачей настоящего изобретения является создание нового смесевого пластификатора, имеющего более низкую температуру плавления, более высокие пластифицирующую способность и энтальпию образования. Поставленная цель достигается смесевым пластификатором, включающим 2,4-динитро-2,4-диазапентан (I), 1-азидо-3,5-динитро-3,5-диазагексан (II) и 1,7-диазидо-3,5-динитро-3,5-диазагептан (III) и отличающийся тем, что он дополнительно содержит 1,5-диазидо-3-нитро-3-азапентан (IV) при следующем соотношении компонентов (вес. %): ![]() Новый пластификатор “ЧСА” получают азидированием смеси “ЧCN”, состоящей из 2,4-динитро-2,4-диазапентана, 1-нитрокси-3,5-динитро-3,5-диазагексана, 1,7-динитрокси-3,5-динитро-3,5-диазагептана и 1,5-динитрокси-3-нитро-3-азапентана, в среде ДМФА азидом натрия в присутствии CaCl2 при температуре ~ 80-90oС. ![]() Выход целевого продукта составляет ~ 80%. Состав пластификатора “ЧСА” определяется составом исходного пластификатора “ЧCN” и анализируется с помощью метода ПМР Н1-спектроскопии в d-бензоле, точность определения составляла 1-2% (табл. 2).
Новый пластификатор “ЧСА” по пластифицирующей способности превосходит пластификатор “ТСА” и пластификатор “ТС”. Наиболее высокая пластифицирующая способность наблюдается у составов “ЧСА”, имеющих примерно равное содержание компонентов I, II и IV (примерно по ~ 30% каждого). В этом случае наблюдается наименьшая температура плавления ЧСА ~ -10- -15oС. Таким образом новый пластификатор “ЧСА” имеет более высокую пластифицирующую способность, чем пластификатор “ТСА”, более высокую энтальпию образования и температуру плавления ниже, чем у пластификатора “ТСА” [табл. 1].
ПРИМЕР 1.
К 60 мл ДМФА добавляют 8.0 г NaN3, 12.0 г CaCl2 и 15.0 г смеси “ЧCN” состава (вес. %): I~29, V~31, VI~6, VII~34. Реакционную массу нагревают до 85oС и перемешивают 6 часов, далее охлаждают до ~20oС и выливают в 80 мл воды. Смесь “ЧСА” экстрагируют бензолом (15х6) мл, экстракт промывают водой (10х6) мл и упаривают на роторном испарителе при температуре бани ~60oС. Выход смеси “ЧСА” – 11.0 г (81%).
Состав (вес. %): I~31; II~31; III~5; IV~33.
Аналогично получают смеси “ЧСА” другого состава (табл. 2).
Формула изобретения
H
РИСУНКИ
|
||||||||||||||||||||||||||




1-2% (табл. 2).
Новый пластификатор “ЧСА” по пластифицирующей способности превосходит пластификатор “ТСА” и пластификатор “ТС”. Наиболее высокая пластифицирующая способность наблюдается у составов “ЧСА”, имеющих примерно равное содержание компонентов I, II и IV (примерно по ~ 30% каждого). В этом случае наблюдается наименьшая температура плавления ЧСА ~ -10- -15oС. Таким образом новый пластификатор “ЧСА” имеет более высокую пластифицирующую способность, чем пластификатор “ТСА”, более высокую энтальпию образования и температуру плавления ниже, чем у пластификатора “ТСА” [табл. 1].
ПРИМЕР 1.
К 60 мл ДМФА добавляют 8.0 г NaN3, 12.0 г CaCl2 и 15.0 г смеси “ЧCN” состава (вес. %): I~29, V~31, VI~6, VII~34. Реакционную массу нагревают до 85oС и перемешивают 6 часов, далее охлаждают до ~20oС и выливают в 80 мл воды. Смесь “ЧСА” экстрагируют бензолом (15х6) мл, экстракт промывают водой (10х6) мл и упаривают на роторном испарителе при температуре бани ~60oС. Выход смеси “ЧСА” – 11.0 г (81%).
Состав (вес. %): I~31; II~31; III~5; IV~33.
Аналогично получают смеси “ЧСА” другого состава (табл. 2).
H