Патент на изобретение №2187426
|
||||||||||||||||||||||||||
(54) САМОНАСТРАИВАЮЩИЙСЯ ЭЛЕКТРОПРИВОД РОБОТА
(57) Реферат: Изобретение относится к робототехнике и может быть использовано при создании систем управления приводами роботов. Технический результат заключается в обеспечении полной инвариантности динамических свойств электропривода к непрерывным и быстрым изменениям его динамических моментных нагрузочных характеристик при движении манипулятора по всем четырем степеням подвижности и, тем самым, в повышении динамической точности управления. В привод робота дополнительно введены второй датчик положения, функциональный преобразователь, четвертый и пятый блоки умножения, а также третий задатчик сигнала и восьмой сумматор. 3 ил. Изобретение относится к робототехнике и может быть использовано при создании систем управления приводами роботов. Известно устройство для управления приводом робота, содержащее последовательно соединенные первый блок умножения и первый сумматор, последовательно подключенные усилитель и двигатель, связанный с первым датчиком скорости непосредственно и через редуктор с первым датчиком положения, выход которого соединен с первым входом второго сумматора, подключенного вторым входом к входу устройства, последовательно соединенные второй датчик положения, третий сумматор, четвертый сумматор, первый квадратор и второй блок умножения, второй вход которого подключен к выходу датчика массы и первому входу третьего блока умножения, а выход – к первому входу пятого сумматора, соединенного вторым входом с выходом первого задатчика сигнала, а третьим входом с выходом второго квадратора, вход которого подключен к выходу третьего сумматора и первому входу шестого сумматора, соединенного выходом с первым входом четвертого блока умножения, а вторым входом – с выходом третьего блока умножения, второй вход которого подключен к выходу четвертого сумматора, соединенного вторым входом с выходом второго задатчика сигнала, выход третьего задатчика сигнала подключен к второму входу третьего сумматора, а выход второго датчика скорости соединен с вторым входом четвертого блока умножения. Кроме того, оно содержит пятый блок умножения, седьмой сумматор и последовательно соединенные релейный блок и восьмой сумматор, выход которого подключен к второму входу первого сумматора, соединенного выходом с входом усилителя, выход первого датчика скорости подключен к входу релейного блока, к второму входу восьмого сумматора и первому входу седьмого сумматора, второй вход которого соединен с выходом второго сумматора, а выход – с первым входом первого блока умножения, подключенного вторым входом к выходу пятого сумматора, первый вход пятого блока умножения соединен с выходом четвертого блока умножения, второй вход – с выходом первого датчика скорости, а выход – с третьим входом восьмого сумматора (см. а.с. СССР 1484702, МКИ В 25 J 13/00, 1989 г.). Недостатком данного устройства является то, что предназначено оно только для поворотного привода первой степени подвижности робота. Для привода выдвижения горизонтального звена (третья степень подвижности) это устройство не будет обеспечивать требуемую точность и устойчивость работы. Известен также самонастраивающийся электропривод робота, содержащий последовательно соединенные первый сумматор, первый блок умножения, второй сумматор, усилитель и двигатель, связанный с первым датчиком скорости непосредственно и через редуктор – с шестерней, приводящей в движение рейку, закрепленную неподвижно на горизонтальном звене робота, и движок первого датчика положения, установленного на вертикальном звене и измеряющего положение характерной точки горизонтального звена относительно вертикального, последовательно соединенные релейный блок и третий сумматор, второй вход которого подключен к выходу первого датчика скорости, входу релейного блока и второму входу первого сумматора, последовательно соединенные первый задатчик сигнала, четвертый сумматор, пятый сумматор, к второму входу которого подключен второй задатчик сигнала, второй блок умножения, шестой сумматор и третий блок умножения, а также датчик массы, причем выход датчика положения соединен с первым входом седьмого сумматора, подключенного вторым входом к входу электропривода, а выходом – к первому входу первого сумматора, выход третьего сумматора соединен с вторым входом второго сумматора, последовательно соединенные второй датчик скорости и квадратор, выход которого соединен с вторым входом третьего блока умножения, выходом подключенного к третьему отрицательному входу третьего сумматора, выход датчика массы соединен с вторыми входами первого и второго блоков умножения, выход датчика положения соединен с вторым входом четвертого сумматора, выход которого подключен к второму входу шестого сумматора, а выход первого сумматора соединен с третьим входом второго сумматора (см. патент РФ 2037173, БИ 16, 1995 г.). Недостатком данного устройства является то, что оно эффективно только для исполнительного органа робота, имеющего три степени подвижности. Однако при трех степенях подвижности у робота значительно сокращается рабочая зона (зона обслуживания). Например, при работе на конвейере желательно, чтобы робот мог перемещаться вдоль этого конвейера, сопровождая движущееся изделие и выполняя требуемые технологические операции. Однако при введении четвертой линейной степени подвижности q4 в рассматриваемом приводе появляются дополнительные возмущающие моментные воздействия, значительно ухудшающие его показатели качества. В результате возникает задача компенсации этих вредных моментных воздействий за счет введения дополнительных сигналов коррекции. Задачей, на решение которой направлено заявляемое техническое решение, является обеспечение полной инвариантности динамических свойств электропривода к непрерывным и быстрым изменениям его динамических моментных нагрузочных характеристик при движении манипулятора по всем четырем степеням подвижности и, тем самым, повышение динамической точности управления. Технический результат, который может быть получен при реализации заявляемого технического решения, выражается в формировании дополнительного сигнала управления, подаваемого на вход привода, который обеспечивает получение дополнительного моментного воздействия, компенсирующего вредное моментное воздействие со стороны четвертой степени подвижности (см. координату q4) на качественные показатели работы рассматриваемого привода. Поставленная задача решается тем, что в самонастраивающийся электропривод робота, содержащий последовательно соединенные первый сумматор, первый блок умножения, второй сумматор, усилитель и двигатель, связанный с первым датчиком скорости непосредственно и через редуктор с шестерней, приводящей в движение рейку, закрепленную неподвижно на горизонтальном звене робота, и движок первого датчика положения, установленного на вертикальном звене и измеряющего положение характерной точки горизонтального звена относительно вертикального, последовательно соединенные релейный блок и третий сумматор, второй вход которого подключен к выходу первого датчика скорости, входу релейного блока и второму входу первого сумматора, последовательно соединенные первый задатчик сигнала, четвертый сумматор, пятый сумматор, к второму входу которого подключен второй задатчик сигнала, второй блок умножения, шестой сумматор и третий блок умножения, а также датчик массы, причем выход датчика положения соединен с первым входом седьмого сумматора, подключенного вторым входом к входу электропривода, а выходом – к первому входу первого сумматора, выход третьего сумматора соединен с вторым входом второго сумматора, последовательно соединенные второй датчик скорости и квадратор, выход которого соединен с вторым входом третьего блока умножения, выходом подключенного к третьему входу третьего сумматора, выход датчика массы соединен с вторыми входами первого и второго блоков умножения, выход датчика положения соединен с вторым входом четвертого сумматора, выход которого подключен к второму входу шестого сумматора, а выход первого сумматора соединен с третьим входом второго сумматора, дополнительно введены последовательно соединенные второй датчик положения, функциональный преобразователь, четвертый блок умножения, второй вход которого подключен к выходу датчика ускорения и пятый блок умножения, выход которого соединен с четвертым входом третьего сумматора, а также последовательно соединенные третий задатчик сигнала и восьмой сумматор, второй вход которого подключен к выходу датчика массы, а выход – ко второму входу пятого блока умножения. Сопоставительный анализ существенных признаков предлагаемого технического решения с существенными признаками аналогов и прототипа свидетельствует о его соответствии критерию “новизна”. При этом отличительные признаки формулы изобретения обеспечивают высокую точность и устойчивость работы привода робота в условиях существенного изменения параметров нагрузки. На фиг.1 представлена схема предлагаемого самонастраивающегося электропривода робота. На фиг.2 представлена кинематическая схема исполнительного органа робота, а на фиг.3 показан вид сверху в проекции на горизонтальную плоскость xy. Самонастраивающийся электропривод робота содержит последовательно соединенные первый сумматор 1, первый блок 2 умножения, второй сумматор 3, усилитель 4 и двигатель 5, связанный с первым датчиком 6 скорости непосредственно и через редуктор 7 с шестерней 8, приводящей в движение рейку (на фиг.1 не показана), закрепленную неподвижно на горизонтальном звене робота (фиг.2), и движок первого датчика 9 положения, установленного на вертикальном звене и измеряющего положение характерной точки горизонтального звена относительно вертикального, последовательно соединенные релейный блок 10 и третий сумматор 11, второй вход которого подключен к выходу первого датчика 6 скорости, входу релейного блока 10 и второму входу первого сумматора 1, последовательно соединенные первый задатчик 12 сигнала, четвертый сумматор 13, пятый сумматор 14, к второму входу которого подключен второй задатчик 15 сигнала, второй блок 16 умножения, шестой сумматор 17 и третий блок 18 умножения, а также датчик 19 массы, причем выход датчика 9 положения соединен с первым входом седьмого сумматора 20, подключенного вторым входом к входу электропривода, а выходом – к первому входу первого сумматора 1, выход третьего сумматора 11 соединен с вторым входом второго сумматора 3, последовательно соединенные второй датчик 21 скорости и квадратор 22, выход которого соединен с вторым входом третьего блока 18 умножения, выходом подключенного к третьему отрицательному входу третьего сумматора 11, выход датчика 19 массы соединен с вторыми входами первого 2 и второго 16 блоков умножения, выход датчика 9 положения соединен с вторым входом четвертого 13 сумматора, выход которого подключен к второму входу шестого сумматора 17, а выход первого сумматора 2 соединен с третьим входом второго сумматора 3, последовательно соединенные второй датчик 23 положения, функциональный преобразователь 24, четвертый блок 25 умножения, второй вход которого подключен к выходу датчика 26 ускорения и пятый блок 27 умножения, выход которого соединен с четвертым входом третьего сумматора 11, а также последовательно соединенные третий задатчик 28 сигнала и восьмой сумматор 29, второй вход которого подключен к выходу датчика 19 массы, а выход – ко второму входу пятого блока 27 умножения. На чертежах введены следующие обозначения: qвх – сигнал желаемого положения; qi – соответствующие обобщенные координаты исполнительного органа робота ![]() скорости изменения соответствующих обобщенных координат ![]() – ошибка привода (величина рассогласования);m2, m3, mг – соответственно массы второго, третьего звеньев исполнительного органа и захваченного груза; l*3 = const – расстояние от оси вращения горизонтального звена до его центра масс при q3=0; l3 = const – расстояние от центра масс горизонтального звена до средней точки охвата; скорость вращения ротора двигателя;U*, U – соответственно усиливаемый сигнал и сигнал управления двигателем 5. Устройство работает следующим образом. Сигнал ошибки после коррекции в блоках 1, 2, 3, усиливаясь, поступает на электродвигатель 5, приводя его вал во вращательное движение с направлением и скоростью (ускорением), зависящими от величины поступающего сигнала U, моментов трения и внешнего моментного воздействия Мв. Электропривод при работе с различными грузами, а также за счет взаимовлияния степеней подвижности исполнительного органа обладает переменными моментными характеристиками, которые могут меняться в широких пределах. Это снижает качественные показатели электропривода и даже приводит к потере устойчивости его работы. В результате возникает задача, связанная с обеспечением инвариантности динамических свойств электропривода к непрерывным и быстрым изменениям его моментных нагрузочных характеристик, что позволяет обеспечить стабильность заданного качества системы управления.
Рассматриваемый привод управляет обобщенной координатой q3. Конструкция робота (фиг.2) является наиболее типовой для отечественных и зарубежных промышленных роботов.
Эта конструкция позволяет осуществлять вертикальное прямолинейное перемещение груза (координата q2), вращение в горизонтальной плоскости (координата q1) и горизонтальные прямолинейные перемещения (координаты q3 и q4).
Моментные характеристики привода, управляющего координатой 3, существенно зависят от изменения координат и груза mг. В связи с этим для качественного управления координатой q3 необходимо точно компенсировать отрицательное влияние изменения этих координат, а также переменной массы груза mг на динамические свойства рассматриваемого привода (координата q3).
Предположим, что горизонтальное звено перемещается с помощью электропривода посредством передачи шестерня – рейка. Причем рейка установлена вдоль горизонтального звена, а шестерня 8 – на выходном валу редуктора 7 электропривода и имеет радиус r.
Несложно показать, что в процессе движения робота на его горизонтальное звено действует сила![]() Сила F в процессе движения робота создает на выходном валу редуктора 7 момент, равный Mв=F r. (1)С учетом соотношения (1), а также уравнения электрической ![]() и механической ![]() цепей электродвигателя постоянного тока с постоянными магнитами или независимого возбуждения рассматриваемый привод, управляющий координатой q3, можно описать следующим дифференциальным уравнением ![]() где R – активное сопротивление якорной цепи двигателя; J – момент инерции якоря двигателя и вращающихся частей редуктора, приведенный к валу двигателя; Км – коэффициент крутящего момента; Kw – коэффициент противоЭДС; Кв – коэффициент вязкого трения; ip – передаточное отношение редуктора; Мстр – момент сухого трения; Ку – коэффициент усиления усилителя 4; i – ток якоря двигателя 5; ускорение вращения вала двигателя третьей степени подвижности.
Из (2) видно, что параметры этого уравнения, а следовательно, параметры и динамические свойства привода, управляющего координатой q3, являются существенно переменными, зависящими от и mг. В результате для реализации поставленной выше задачи необходимо сформировать такое корректирующее устройство, которое стабилизировало бы параметры привода таким образом, чтобы он описывался дифференциальным уравнением с постоянными желаемыми параметрами.
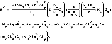
Предположим, что первый положительный вход сумматора 1 единичный, а его второй отрицательный вход имеет коэффициент усиления Kw/Kу. Следовательно, на выходе сумматора 1 формируется сигнал ![]() Первый и второй положительные входы сумматоров 13 и 14 имеют единичные коэффициенты усиления. На выходах первого 12 и второго 15 задатчиков сигнала соответственно формируются сигналы l*3 = const и l3=const. В результате на выходе сумматора 13 формируется сигнал l*3+q3, а на выходе сумматора 14 – сигнал l*3+l3+q3, так как датчик 9 измеряет положение точки горизонтального звена, отстоящей от центра масс этого звена на расстояние l*3. Первый положительный вход сумматора 17 имеет коэффициент усиления r/ip, а его второй положительный вход – коэффициент усиления r m3/ip. В результате на выходе сумматора 17 формируется сигнал r[m3(l*3+q3)+mr(l*3+q3+l3)]/ip, а на выходе блока умножения 18 – сигнал так как датчик 21 установлен в первой степени подвижности робота (фиг.2) и измеряет координату ![]() Датчик положения 23 измеряет угол поворота q1, а датчик 26 ускорение в четвертой степени подвижности Функциональный преобразователь 24 реализует функцию sinq1. В результате на выходе блока 25 умножения формируется сигнал Задатчик сигнала 28 формирует сигнал m3=const. Первый и второй положительные входы сумматора 29 имеют единичные коэффициенты усиления. В результате на четвертый положительный вход сумматора 11, имеющий коэффициент усиления, равный r/ip, поступает сигнал ![]() Первый положительный и третий отрицательный входы третьего сумматора 11 имеют единичные коэффициенты усиления, а второй положительный вход – коэффициент усиления В результате на выходе этого сумматора формируется сигнал![]() Выходной сигнал релейного элемента 10 с нулевой нейтральной точкой имеет вид ![]() где |Mт| – величина момента сухого трения при движении. Первый положительный вход сумматора 3 имеет коэффициент усиления r2/(ip 2Iн), его второй положительный вход – коэффициент усиления а третий положительный вход – коэффициент усиления (I+m3r2/ip 2)/Iн.
В результате на выходе сумматора 3 формируется сигнал![]() Несложно показать, что поскольку при движении привода достаточно точно соответствует Мстр, то, подставив полученное значение U* в соотношение (2), получим уравнение![]() которое имеет постоянные желаемые параметры. То есть предложенный самонастраивающийся привод, управляющий координатой q3, будет обладать постоянными желаемыми динамическими свойствами и качественными показателями. Таким образом, за счет дополнительного введения датчика положения 23, функционального преобразователя 24, блоков 25 и 27 умножения, датчика 26 ускорения, задатчика 28 сигнала, сумматора 29 и новых связей удалось обеспечить полную инвариантность рассматриваемого привода к эффектам взаимовлияния между степенями подвижности и моментами трения. Это позволяет получить стабильно высокое качество управления в любых режимах работы рассматриваемого привода. Формула изобретения
РИСУНКИ
MM4A Досрочное прекращение действия патента Российской Федерации на изобретение из-за неуплаты в установленный срок пошлины за поддержание патента в силе
Дата прекращения действия патента: 18.11.2002
Номер и год публикации бюллетеня: 18-2004
Извещение опубликовано: 27.06.2004
|
||||||||||||||||||||||||||


скорости изменения соответствующих обобщенных координат 
– ошибка привода (величина рассогласования);
скорость вращения ротора двигателя;
и груза mг. В связи с этим для качественного управления координатой q3 необходимо точно компенсировать отрицательное влияние изменения этих координат, а также переменной массы груза mг на динамические свойства рассматриваемого привода (координата q3).
Предположим, что горизонтальное звено перемещается с помощью электропривода посредством передачи шестерня – рейка. Причем рейка установлена вдоль горизонтального звена, а шестерня 8 – на выходном валу редуктора 7 электропривода и имеет радиус r.
Несложно показать, что в процессе движения робота на его горизонтальное звено действует сила
r. (1)


ускорение вращения вала двигателя третьей степени подвижности.
Из (2) видно, что параметры этого уравнения, а следовательно, параметры и динамические свойства привода, управляющего координатой q3, являются существенно переменными, зависящими от
и mг. В результате для реализации поставленной выше задачи необходимо сформировать такое корректирующее устройство, которое стабилизировало бы параметры привода таким образом, чтобы он описывался дифференциальным уравнением с постоянными желаемыми параметрами.
Предположим, что первый положительный вход сумматора 1 единичный, а его второй отрицательный вход имеет коэффициент усиления Kw/Kу. Следовательно, на выходе сумматора 1 формируется сигнал 
так как датчик 21 установлен в первой степени подвижности робота (фиг.2) и измеряет координату 
Функциональный преобразователь 24 реализует функцию sinq1. В результате на выходе блока 25 умножения формируется сигнал
Задатчик сигнала 28 формирует сигнал m3=const. Первый и второй положительные входы сумматора 29 имеют единичные коэффициенты усиления. В результате на четвертый положительный вход сумматора 11, имеющий коэффициент усиления, равный r/ip, поступает сигнал 
В результате на выходе этого сумматора формируется сигнал

а третий положительный вход – коэффициент усиления (I+m3r2/ip 2)/Iн.
В результате на выходе сумматора 3 формируется сигнал
при движении привода достаточно точно соответствует Мстр, то, подставив полученное значение U* в соотношение (2), получим уравнение