Патент на изобретение №2187422
|
||||||||||||||||||||||||||
(54) СПОСОБ ОПРЕДЕЛЕНИЯ ТЕМПЕРАТУРЫ В ЗОНЕ ШЛИФОВАНИЯ
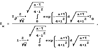
(57) Реферат: Изобретение относится к механической обработке и может быть использовано при назначении режима шлифования заготовок. Способ включает измерение температуры на глубине в поверхностном слое, вычисление коэффициента затухания температурного поля в поверхностном слое и вычисление температуры поверхности, для чего приведены соответствующие зависимости. Использование способа ведет к повышению качества и производительности шлифования за счет повышения точности определения температуры поверхности заготовки. 3 ил. Изобретение относится к механической обработке и может быть использовано при назначении режима шлифования заготовок. Известен способ измерения температуры поверхности при шлифовании (см. авт. свид. СССР 773453, кл. G 01 К 7/02, 1988 г.), в котором температуру измеряют термопарой, электроды которой расположены на поверхности шлифуемой заготовки, а замыкание электродов осуществляется шлифовальным кругом. К причинам, препятствующим достижению указанного ниже технического результата при использовании известного способа, относится то, что в известном способе температура измеряется лишь на входе абразивного зерна в заготовку и только при плоском попутном однопроходном шлифовании. Кроме того, определить температуру удается лишь при прохождении через зону последовательно расположенных и относительно длинных электродов (по сравнению с длиной зоны шлифования), что позволяет определить лишь среднюю по шлифуемой поверхности заготовки температуру. Известен способ определения температуры в зоне шлифования (см. Ящерицын П. И. , Цокур А.К., Еременко М.Л. Тепловые явления при шлифовании и свойства обработанных поверхностей. Минск: Наука и техника, 1973. С. 49-51), в котором температуру измеряют полуискусственной термопарой, электрод которой расположен в стыке разрезанной заготовки. К причинам, препятствующим достижению указанного ниже технического результата при использовании известного способа, относится то, что в известном способе термопара измеряет температуру, относящуюся к точке спая, наиболее удаленной от теплового источника, т.е. нижней части спая (см. там же, с. 52). Температура поверхности шлифуемой заготовки остается неизвестной. Наиболее близким способом того же назначения к заявляемому изобретению по совокупности признаков является способ определения температуры в зоне шлифования (см. авт. свид. СССР 1421499, кл. В 24 В 1/00, 07.09.1988 г.), в котором измеряют температуру нагрева на некоторой глубине в поверхностном слое заготовки, а затем вычисляют искомую температуру по формуле, принятый за прототип: ![]() где T – температура заготовки в рассматриваемой точке, oС;Т0 – начальная температура заготовки до действия на нее режущего зерна, oС; а – коэффициент температуропроводности материала обрабатываемой заготовки, м2/с; – время действия режущего зерна, с;l – расстояние от места действия режущего зерна до рассматриваемой точки, м. К причинам, препятствующим достижению указанного ниже технического результата при использовании известного способа, принятого за прототип, относится то, что в известном способе точность определения температуры Тк зависит от расстояния l: чем меньше l, тем выше точность расчета. Но с уменьшением l начинает сказываться на точности самой величины l кривизна дуги контакта шлифовальный круг-заготовка. Кроме того, вышеупомянутая зависимость была получена на основе решения одномерной математической модели, что по своей сути уже снижает точность решения. К тому же она не учитывает размеров спая термопары (толщины термоэлектрода), с помощью которой измерена T .
Сущность изобретения заключается в следующем.
Повышение производительности шлифования и при этом обеспечение заданного качества поверхностного слоя детали невозможно без точного определения количества тепловой энергии, поступающей в заготовку, так как для определения глубины дефектного поверхностного слоя необходимо знать температуру поверхности в зоне шлифования.
Технический результат – повышение качества и производительности шлифования за счет повышения точности определения температуры поверхности заготовки.
Указанный технический результат при осуществлении изобретения достигается тем, что, как и в известном способе, измеряют температуру на глубине в поверхностном слое, затем вычисляют температуру поверхности. Особенность заключается в том, что сначала вычисляют коэффициент затухания температурного поля в поверхностном слое по формуле![]() где f(Xu) – закон распределения плотности теплового потока в зоне шлифования; Ре=V l/а – критерий Пекле;Х=х/l – безразмерная координата точки; Хu – переменная интегрирования; Y=h/l – безразмерная глубина в поверхностном слое; V – скорость теплового источника (скорость заготовки), м/с; а – коэффициент температуропроводности материала заготовки, м2/с; l – длина дуги контакта шлифовальный круг-заготовка, м; х, h – реальные координаты (в системе координат, связанной с началом теплового источника) точки, в которой фактически измеряется температура, м, а затем вычисляют температуру поверхности по формуле Тпов = К Тизм, где Тизм – температура, измеренная на глубине в поверхностном слое.
Проведенный заявителем анализ уровня техники, включающий поиск по патентным и научно-техническим источникам информации, и выявление источников, содержащих сведения об аналогах заявленного изобретения, позволил установить, что заявитель не обнаружил источник, характеризующийся признаками, тождественными всем существенным признакам заявленного изобретения. Определение из перечня выявленных аналогов прототипа, как наиболее близкого по совокупности признаков аналога, позволил установить совокупность существенных по отношению к усматриваемому заявителем техническому результату отличительных признаков в заявленном способе, изложенных в формуле изобретения. Следовательно, заявленное изобретение соответствует условию “новизна”. Для проверки соответствия заявленного изобретения условию “изобретательский уровень” заявитель провел дополнительный поиск известных решений, чтобы выявить признаки, совпадающие с отличительными от прототипа признаками заявленного способа. Результаты поиска показали, что заявленное изобретение не вытекает для специалиста явным образом из известного уровня техники, определенного заявителем, не выявлено влияние предусматриваемых существенными признаками заявленного изобретения преобразований на достижение технического результата, в частности, заявленным изобретением не предусматриваются следующие преобразования:– дополнение известного средства какой-либо известной частью, присоединяемой к нему по известным правилам, для достижения технического результата, в отношении которого установлено влияние именно такого дополнения; – замена какой-либо части известного средства другой известной частью для достижения технического результата, в отношении которого установлено влияние именно такой замены; – исключение какой-либо части средства с одновременным исключением обусловленной ее наличием функции и достижением при этом обычного для такого исключения результата; – увеличение количества однотипных элементов, действий для усиления технического результата, обусловленного наличием в средстве именно таких элементов, действий; – выполнение известного средства или его части из известного материала для достижения технического результата, обусловленного известными свойствами этого материала; – создание средства, состоящего из известных частей, выбор которых и связь между которыми осуществлены на основании известных правил, рекомендаций, и достигаемый при этом технический результат обусловлен только известными свойствами частей этого средства и связей между ними. Описываемое изобретение не основано на изменении количественного признака, представлении таких признаков во взаимосвязи, либо изменении ее вида. Имеется в виду случай, когда известен факт влияния каждого из указанных признаков на технический результат, и новые значения этих признаков или их взаимосвязь могли быть получены исходя из известных зависимостей, закономерностей. Следовательно, заявленное изобретение соответствует условию “изобретательский уровень”. На чертежах изображено: на фиг.1 изображена схема закладки термоэлектрода и его изоляции от заготовки при сборке; на фиг.2 изображена схема образования спая термоэлектрода с металлом заготовки при шлифовании; на фиг.3 представлены зависимости температуры Т на глубине 15 мкм (термопара 1) и 65 мкм (термопара 2) при плоском встречном шлифовании от расстояния до начала теплового источника. Условия проведения эксперимента: круг 1 225х40х76 24А40НСМ17К5; материал заготовки – сталь 40Х, HRC 41…44; окружная скорость круга 28 м/с, скорость заготовки 5 м/мин, глубина шлифования 0,005 мм; охлаждение – полив 0,5%-ным содовым раствором с расходом 10 дм3/мин; длина дуги контакта заготовка-круг 1,06 мм. Сведения, подтверждающие возможность осуществления изобретения с получением вышеуказанного технического результата: термоэлектрод 3, защемленный между двумя частями заготовки 1 и изолированный пластинами 2 (см. фиг.1), шлифуют совместно с заготовкой со скоростью заготовки V3. При этом изолятор 2, выполненный из хрупкого материала (например, слюды), разрушается, а термоэлектрод 3, выполненный из вязкого материала, деформируется. Образуется спай. Температура, регистрируемая термопарой, относится к точке спая, расположенной на глубине h в поверхностном слое заготовки (см. фиг.2). Сигнал от термопары регистрируют на электронном осциллографе или с помощью аналого-цифрового преобразователя и компьютера записывают в файл. Зависимость температуры от времени преобразовывают к виду температура – координата х вдоль обрабатываемой поверхности заготовки в направлении вектора скорости V3, используя замену x = /V3Вычисляют длину дуги контакта шлифовальный круг-заготовка: для плоского шлифования периферией круга l = (dk t)0,5, где dk – диаметр круга, м; t – глубина шлифования, м. Затем вычисляют безразмерные координаты Х=x/l, Y=h/l, критерий Пекле Ре= V l/а (а – коэффициент температуропроводности материала заготовки, м2/c).
Приняв закон распределения плотности теплового потока по зоне шлифования, например, нормально распределенным несимметричным (см. Резников А.Н., Резников Л. А. Тепловые процессы в технологических системах. М.: Машиностроение, 1990. С. 40), вычисляют коэффициент затухания температурного поля в поверхностном слое шлифуемой заготовки![]() После этого вычисляют температуру поверхности шлифуемой заготовки по формуле Tпoв = К Тизм, где Тизм – температура, измеренная с помощью полуискусственной термопары.
Экспериментальные исследования температур, полученных с использованием термоэлектродов различной толщины, показали, что толщина электрода определяет глубину расположения точки, в которой фактически измерена температура (см. фиг. 2). Подтверждение этому – кривые 1 и 2 на фиг.3 исходят из одной точки х=0 (температура во всех точках заготовки до появления теплового источника одинакова) и вновь пересекаются в точке х=1,06 мм (конец теплового источника). В пределах отрезка х=(0…1,06) мм заготовка нагревается, а затем (х>1,06 мм) температура Т2 превышает Т1, т.е. тепловой поток направлен уже из заготовки в окружающую среду – заготовка охлаждается.
Именно благодаря особенностям заявляемого способа появляется возможность определить температуру поверхности, на которую опираются все аналитические методы прогнозирования глубины дефектного поверхностного слоя при шлифовании заготовок. Полученная температура Тпов становится инвариантной к толщине термоэлектрода.
Таким образом, изложенные сведения свидетельствуют о выполнении при использовании заявляемого изобретения (способа) следующей совокупности условий:– средство, воплощающее заявленный способ при его осуществлении, предназначено для использования в промышленности, а именно в машиностроении, и может быть использовано при назначении режима шлифования заготовок; – для заявленного способа в том виде, как он охарактеризован в независимом пункте изложенной формулы изобретения, подтверждена возможность его осуществления с помощью описанных в заявке или известных до даты приоритета средств и методов; – следовательно, заявленное изобретение соответствует условию “промышленная применимость”. Формула изобретения
![]() где f(Xu) – закон распределения плотности теплового потока в зоне шлифования; Ре = V l/а – критерий Пекле;Х=х/l – безразмерная координата точки; Хu – переменная интегрирования; Y=h/l – безразмерная глубина в поверхностном слое; V – скорость теплового источника, равная скорости заготовки, м/с; а – коэффициент температуропроводности материала заготовки, м2/с; l – длина дуги контакта шлифовальный круг – заготовка, м; х, h – реальные координаты точки, в которой фактически измеряется температура, в системе координат, связанной с началом теплового источника м, а затем вычисляют температуру поверхности по формуле Тпов = К Тизм.
РИСУНКИ
MM4A Досрочное прекращение действия патента Российской Федерации на изобретение из-за неуплаты в установленный срок пошлины за поддержание патента в силе
Дата прекращения действия патента: 28.02.2003
Извещение опубликовано: 27.09.2004 БИ: 27/2004
|
||||||||||||||||||||||||||


– температура заготовки в рассматриваемой точке, oС;
– время действия режущего зерна, с;
l/а – критерий Пекле;
