Патент на изобретение №2186560
|
||||||||||||||||||||||||||
(54) КОМПОЗИЦИЯ ДЛЯ ОКИСЛИТЕЛЬНОЙ ОКРАСКИ КЕРАТИНОВЫХ ВОЛОКОН, СПОСОБ ИХ ОКРАСКИ, УПАКОВКА НАБОРА ДЛЯ ОКИСЛИТЕЛЬНОЙ ОКРАСКИ КЕРАТИНОВЫХ ВОЛОКОН
(57) Реферат: Предметом изобретения является композиция для окислительной окраски кератиновых волокон, в частности, волос, включающая в подходящей для окраски среде окисляемое гетероциклическое основание и производное 3-аминопиридина в качестве прямого красителя, а также способ окраски, при котором используют эту композицию и упаковку набора для окислительной окраски кератиновых волокон. Изобретение обеспечивает интенсивную, хроматичную окраску, обладающую незначительной избирательностью и хорошей устойчивостью к атмосферным факторам. 3 с. и 14 з.п. ф-лы, 2 табл. Предметом изобретения является композиция для окислительной окраски кератиновых волокон, в частности кератиновых волокон человека, таких, как волосы, включающая в подходящей для окраски среде, по крайней мере, одно окисляемое гетероциклическое основание и, по крайней мере, одно производное 3-аминопиридина в качестве прямого красителя, а также способ окраски, при котором используют эту композицию. Известно окрашивание кератиновых волокон, в частности человеческих волос, с помощью красящих композиций, содержащих предшественники окислительного красителя, в частности, о- или п-фенилендиамины, о- или п-аминофенолы, гетероциклические основания, обычно называемые окисляемыми основаниями. Предшественники окислительных красителей, или окисляемые основания, представляют собой бесцветные или слабоокрашенные соединения, которые в сочетании с окислителями могут в результате окислительной конденсации образовывать окрашенные и красящие соединения. Также известно, что можно изменять оттенки, получаемые с помощью этих окисляемых оснований, путем сочетания их с краскообразующими компонентами или модификаторами окраски, причем эти последние выбирают, в частности, среди ароматических м-диаминов, м-аминофенолов, м-дифенолов и некоторых гетероциклических соединений. Разнообразие молекул, используемых в качестве окисляемых оснований и краскообразующих компонентов, позволяет получать богатую палитру цветов. Также известно, что для дополнительного изменения получаемых оттенков и придания им отливов можно использовать, в сочетании с предшественниками окислительных красителей и краскообразующими компонентами, прямые красители, то есть окрашенные вещества, которые дают окраску в отсутствие окисляющего компонента. Эти прямые красители в своем преобладающем большинстве относятся к семейству нитросоединений бензольного ряда и имеют тот недостаток, когда их включают в красящие композиции, что приводят к окраскам, обладающим недостаточной стойкостью, в частности, по отношению к шампуням. Так называемая “перманентная” окраска, получаемая благодаря этим окислительным красителям, кроме того, должна удовлетворять некоторому числу требований. Так, она должна позволять получать оттенки желаемой интенсивности и обладать хорошей устойчивостью по отношению к внешним факторам (свет, непогода, мытье, перманентная завивка, потение, трения). Красители также должны обладать способностью закрашивать седые волосы и, наконец, должны быть как можно менее избирательными, то есть позволять получать по возможности незначительные различия в окраске вдоль одного и того же кератинового волокна, которое может быть в различной степени сенсибилизировано (то есть разрушено) между его концом и его корнем. Уже были предложены, в частности, в заявке на патент Франции А-2285851 композиции для окислительной окраски кератиновых волокон, содержащие ассоциацию бензольного окисляемого основания и прямого красителя семейства 3-аминопиридинов. Однако, окраски, получаемые при использовании таких композиций, в целом являются неудовлетворительными, в частности, с точки зрения их хроматичности и стойкости. Заявитель в настоящее время обнаружил, что можно получать новые краски, способные приводить к интенсивным и хроматическим окрашиваниям, мало избирательные и устойчивые к различным агрессивным воздействиям, которым могут подвергаться волокна, путем сочетания, по крайней мере, одного окисляемого гетероциклического основания и, по крайней мере, одного, соответствующим образом выбранного производного 3-аминопиридина в качестве прямого красителя. Это открытие составляет основу настоящего изобретения. Следовательно, первый предметом изобретения является композиция для окислительной окраски кератиновых волокон, и в частности, кератиновых волокон человека, таких, как волосы, отличающаяся тем, что она включает в подходящей для окраски среде – по крайней мере, одно окисляемое гетероциклическое основание и – в качестве прямого красителя, по крайней мере, одно производное 3-аминопиридина, выбираемое среди соединений следующей формулы (I): ![]() в которой В означает группу следующих формул (Iа) или (Ib): ![]() ![]() R означает (C1-C4)-алкил; R1 означает атом водорода или галогена, такого, как хлор, бром или фтор, (C1-C4)-алкил или (С1-С4)-алкоксил; R2 означает атом водорода, (С1-С4)-алкил или (С1-С4)-алкоксил; R4 означает атом водорода или галогена, такого как хлор, бром или фтор, (C1-С4)-алкил, нитрогруппу, аминогруппу или (C1-C4)-ациламиногруппу; R3 означает атом водорода, или R4 и R3 образуют шестичленный ненасыщенный цикл, содержащий гидроксильный заместитель, хелатированный с одним из атомов азота двойной азо-связи; А означает остаток -NR5R6, в котором R5 означает атом водорода, (С1-C4)-алкил, моногидрокси-(С1-С4)-алкил или полигидрокси-(С2-C4)-алкил; R6 означает атом водорода, (C1-C4)-алкил, моногидрокси-(С1-С4)-алкил или полигидрокси-(С2-С4)-алкил, фенил или радикал -СН2-SO3Nа; Х– означает одновалентный или двухвалентный анион, и его предпочтительно выбирают из атома галогена, такого как хлор, бром, фтор или йод, гидроксида, гидросульфата или (С1-С6)-алкилсульфата, такого, как например, метилсульфат или этилсульфат. Красящая композиция согласно изобретению приводит к интенсивным, хроматическим окраскам, обладающим незначительной избирательностью и превосходной устойчивостью одновременно по отношению к атмосферным факторам, таким как свет и непогода, и по отношению к потению и различным обработкам, которым могут подвергаться волосы. Эти свойства являются особенно замечательными в том, что касается хроматичности. Предметом изобретения также является способ окислительной окраски кератиновых волокон, при котором используют эту красящую композицию. Гетероциклическое окисляемое основание или гетероциклические окисляемые основания предпочтительно выбирают среди производных пиридина, производных пиримидина, производных пиразола и их солей присоединения с кислотой. Из производных пиридина в особенности можно назвать соединения, описанные, например, в патентах Великобритании 1026978 и 1153196, такие как 2,5-диаминопиридин, 2-(4-метоксифенил) амино-3-аминопиридин, 2,3-диамино-6-метоксипиридин, 2-( -метоксиэтил)амино-3-амино-6-метоксипиридин, 3,4-диаминопиридин, и их соли присоединения с кислотой.
Из производных пиримидина в особенности можно назвать соединения, описанные, например, в патенте ФРГ 2359399 или патентах Японии 88-169571 и 91-333495, такие как 2,4,5,6-тетрааминопиримидин, 4-гидрокcи-2,5,6-триаминопиримидин, и их соли присоединения с кислотой, а также пиразол-пиримидиновые производные, такие, как пиразол[1,5-а]пиримидин-3,7-диамин; 2-метилпиразол[1,5-а] пиримидин- 3,7-диамин; 2,5-диметилпиразол[1,5-а]пиримидин-3,7 -диамин; пиразол[1,5-а]пиримидин-3,5-диамин; 2,7-диметилпиразол[1,5-а] пиримидин-3,5-диамин; 3-аминопиразол[1,5-а] пиримидин-7-ол; 3-амино-5-метилпиразол[1,5-а]пиримидин-7-ол; 3-аминопиразол[1,5-а]пиримидин-5-ол; 2-(3-аминопиразол[1,5-а]пиримидин-7-иламино)этанол;3-амино-7- -гидроксиэтиламино-5-метилпиразол[1,5-а] пиримидин; 2-(7-аминопиразол[1,5-а] пиримидин-3-иламино)этанол; 2-[(3-аминопиразол[1,5-а] пиримидин-7-ил)-(2-гидроксиэтил)амино] этанол; 2-[(7-аминопиразол[1,5-а] -пиримидин-3-ил)-(2-гидроксиэтил)амино] этанол; 5,6-диметилпиразол[1,5-а] пиримидин-3,7-диамин; 2,6-диметилпиразол[1,5-а]-пиримидин-3,7-диамин; 2,5, N-7, N-7-тетраметилпиразол[1,5-а]пиримидин-3,7-диамин и их соли присоединения и их таутомерные формы, когда существует таутомерное равновесие.
Из производных пиразола в особенности можно назвать соединения, описанные в патентах или заявках на патенты ФРГ 3843892, 4133957, 4234886, 4234887; Франции 2733749 и 2735685; международных заявках на патент 94/08969 и 94/08970; такие как 4,5-диаминопиразол; 4,5-диамино-1-метилпиразол; 1-бензил-4,5-диаминопиразол; 3,4-диаминопиразол; 1-бензил-4,5-диамино-3-метилпиразол; 4-амино-1,3-диметил-5-гидразинопиразол; 4,5-диамино-3-метил-1-фенилпиразол; 4,5-диамино-3-метил-1-трет. -бутилпиразол; 4,5-диамино-1-метил-3-трет. -бутилпиразол; 4,5-диамино-1-этил-3-метилпиразол; 4,5-диамино-1-этил-3-(4′-метоксифенил)пиразол; 4,5-диамино-1-этил-3-гидроксиметилпиразол; 4,5-диамино-3-гидроксиметил-1-метилпиразол; 4,5-диамино-3-гидроксиметил-1-изопропил-пиразол; 4,5-диамино-3-метил-1-изопропилпиразол; и их соли присоединения с кислотой.
Окисляемое гетероциклическое основание или окисляемые гетероциклические основания составляют предпочтительно около 0,0005-12 мас.%, по отношению к общей массе красящей композиции согласно изобретению, и еще более предпочтительно около 0,005-6 мас.%, по отношению к этой массе.
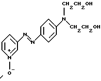
Производное или производные 3-аминопиридина формулы (I) согласно изобретению предпочтительно выбирают среди следующих соединений:4′-диметиламинобензол-1′,3-азо-1- метилпиридинийметосульфат формулы: ![]() 4′-бис( -гидроксиэтил)аминобензол-1′, 3-азо-1-метилпиридинийметосульфат формулы:![]() 4′-амино-8′-гидроксинафталин-1′, 3-азо-1-метилпиридинийметосульфат формулы: ![]() 4′-диметиламино-2′-нитробензол-1′, 3-азо-1-метилпиридинийметосульфат формулы: ![]() 4′-диметиламинобензол-1′,3-азо-1,6-диметилпиридинийметосульфат формулы: ![]() 4′-аминобензол-1′,3-азопиридин-N-оксид формулы: ![]() 4′-диметиламинобензол-1′,3-азопиридин-N-оксид формулы: ![]() 4′-N,N-бис( -гидроксиэтил)анинобензол-1′,3-азопиридин-N-оксид формулы:![]() 4′-диметиламино-2′-метилбензол-1′, 3-азо-1-этилпиридинийэтосульфат формулы: ![]() 4′-диметиламино-2′-метилбензол-1′,3-азо-1-бутилпиридинийбромид формулы: ![]() 4′-диметиламино-2′-хлорбензол-1′, 3-азо-1-метилпиридинийметосульфат формулы: ![]() 2′, 4′-диамино-5′-метилбензол-1′, 3-азо-1-метилпиридинийметосульфат формулы: ![]() 4′-фениламинобензол-1′,3-азо-1-метилпиридинийметосульфат формулы: ![]() 2′-ацетиламино-4′-диметиламинобензол-1′, 3-азо-1-этилпиридинийэтосульфат формулы: ![]() 2′, 4′-диамино-5′-метоксибензол-1′, 3-азо-1-метилпиридинийметосульфат формулы: ![]() и 2′-амино-4′-диметиламинобензол-1′, 3-азо-1-метилпиридинийметосульфат формулы: ![]() Производное или производные 3-аминопиридина формулы (I), используемые согласно изобретению, составляют предпочтительно около 0,001 – 10 мас.% по отношению к общей массе красящей композиции, и еще более предпочтительно около 0,01-5 мас.% по отношению к этой массе. Красящая композиция согласно изобретению, кроме того, может содержать один или несколько краскообразующих компонентов и/или одно или несколько окисляемых бензольных оснований и/или прямой краситель или прямые красители, отличающиеся от производных 3-аминопиридина формулы (I), в частности для модификации оттенков или обогащения их отливами. Из краскообразующих компонентов, которые могут присутствовать в красящей композиции согласно изобретению, можно, в частности, назвать н-фенилендиамины, м-аминофенолы, м-дифенолы, гетероциклические краскообразующие компоненты и их соли присоединения с кислотой. Когда эти дополнительные краскообразующие компоненты присутствуют, то они предпочтительно составляют около 0,0001-10 мас.%, по отношению к общей массе красящей композиции, и еще более предпочтительно около 0,005-5 мас.% по отношению к этой массе. Из окисляемых бензольных оснований, которые могут присутствовать в качестве дополнительных в красящей композиции согласно изобретению, можно, в частности, назвать п-фенилендиамины, п-аминофенолы, о-аминофенолы и двойные основания, такие, как бисфенилалкилендиамины. Когда эти бензольные основания присутствуют, они составляют предпочтительно около 0,0005-12 мас.% по отношению к общей массе красящей композиции согласно изобретению, и еще более предпочтительно около 0,005-6 мас.% по отношению к этой массе. Как правило, соли присоединения с кислотой, используемые в рамках красящих композиций согласно изобретению (окисляемые основания и краскообразующие компоненты), выбирают, в частности, среди гидрохлоридов, гидробромидов, сульфатов и тартратов, лактатов и ацетатов. Подходящая для окраски среда (или носитель) красящей композиции согласно изобретению обычно образована водой или смесью воды, по крайней мере, с одним органическим растворителем для солюбилизации соединений, которые недостаточно растворимы в воде. В качестве органического растворителя можно назвать, например, (С1-С4)-алканолы, такие, как этанол и изопропанол. Растворители могут находиться в количествах, предпочтительно составляющих около 1-40 мас.% по отношению к общей массе красящей композиции, и еще более предпочтительно около 5-30 мас.%. Величина рН красящей композиции согласно изобретению обычно составляет около 3-12 и предпочтительно около 5-12. Ее можно устанавливать при желаемом значении с помощью подкисляющих или подщелачивающих компонентов, обычно используемых при окраске кератиновых волокон. Из подкисляющих компонентов в качестве примера можно назвать неорганические или органические кислоты, такие как соляная кислота, ортофосфорная кислота, серная кислота, карбоновые кислоты, такие как уксусная кислота, винная кислота, лимонная кислота, молочная кислота, сульфокислоты. Из подщелачивающих компонентов в качестве примера можно назвать гидроксид аммония, карбонаты щелочных металлов, алканоламины, такие, как моно-, ди- и триэтаноламины, 2-метил-2-аминопропанол, а также их производные, гидроксиды натрия или калия и соединения следующей формулы (II): ![]() в которой W означает пропиленовый остаток, незамещенный или замещенный гидроксилом или (С1-С4)-алкилом; R7, R8, R9 и R10, одинаковые или разные, означают атом водорода, (C1-С4)-алкил или гидрокси-(С1-С4)-алкил. Красящая композиция согласно изобретению также может включать различные добавки, обычно используемые в композициях для окраски волос. Разумеется, специалист должен выбирать это или эти возможные дополнительные соединения таким образом, чтобы не ухудшать или существенно не ухудшать за счет этой или этих предусматриваемых добавок предпочтительные свойства, присущие красящей композиции согласно изобретению. Красящая композиция согласно изобретению может находиться в различных формах, таких, как жидкости, кремы, гели, возможно герметизированные, или в любой другой форме, подходящей для осуществления окраски кератиновых волокон, и в частности, человеческих волос. Предметом изобретения также является способ окраски кератиновых волокон, и в частности, кератиновых волокон человека, таких, как волосы, при котором используют красящую композицию, такую, как определено выше. Согласно этому способу, на волокна наносят красящую композицию, такую, как определено выше, причем цвет проявляется при кислом, нейтральном или щелочном значении рН с помощью окисляющего компонента, который добавляют к красящей композиции непосредственно в момент применения или который находится в окисляющей композиции, наносимой одновременно с красящей или после нее. Согласно одному, особенно предпочтительному варианту осуществления способа окраски согласно изобретению, вышеуказанную красящую композицию в момент применения смешивают с окисляющей композицией, содержащей в подходящей для окраски среде, по крайней мере, один окисляющий компонент, присутствующий в количестве, достаточном для проявления окраски. Полученную смесь затем наносят на кератиновые волокна и выдерживают в течение времени около 3-50 минут, предпочтительно около 5-30 минут, после чего волокна ополаскивают, моют шампунем, снова ополаскивают и высушивают. Окисляющий компонент, присутствующий в окисляющей композиции, такой, как определено выше, может быть выбран среди окисляющих компонентов, обычно используемых для окислительной окраски кератиновых волокон, и из которых можно назвать пероксид водорода, пероксид мочевины, броматы щелочных металлов, персоли, такие, как пербораты и персульфаты, надкислоты, ферменты, такие, как оксидоредуктазы с двумя электронами, пероксидазы и лакказы. Особенно предпочтительным является пероксид водорода. Значение рН окисляющей композиции, включающей окисляющий компонент, такой, как указанный выше, является таким, чтобы после смешения с красящей композицией величина рН полученной в результате композиции, наносимой на кератиновые волокна, составляла предпочтительно примерно от 3 до 12 и еще более предпочтительно от 5 до 11. Значение рН доводят до желаемой величины с помощью подкисляющих или подщелачивающих компонентов, обычно используемых при окраске кератиновых волокон, и таких, как указанные выше. Окисляющая композиция, такая, как определено выше, также может включать различные добавки, обычно используемые в композициях для окраски волос, и такие, как указанные выше. Композиция, которую в итоге наносят на кератиновые волокна, может находиться в различных формах, таких, как жидкости, кремы, гели или в любой другой форме, подходящей для осуществления окраски кератиновых волокон, и в частности, человеческих волос. Другим предметом изобретения является устройство с несколькими отделениями или “набор” для окраски или любая другая система упаковки с несколькими отделениями, первое отделение которого (которой) содержит красящую композицию, такую, как определено выше, а второе отделение содержит окисляющую композицию, такую, как определено выше. Эти устройства могут быть снабжены средством, позволяющим наносить на волосы желаемую смесь, таким, как приспособления, описанные в патенте Франции 2586913 на имя заявителя. Нижеследующие примеры предназначены для иллюстрации изобретения, не ограничивая его объема охраны. Примеры Сравнительные примеры окраски 1-4 Готовят красящие композиции (содержание в граммах), представленные в табл. 1. В момент применения каждую из вышеуказанных красящих композиций смешивают с эквивалентным по массе количеством 20 объемного пероксида водорода (6 мас.%), имеющего значение рН около 3. Каждую полученную смесь доводят до значения рН около 10 0,2 и наносят на 30 минут на пряди седых волос с 90% подвергнутых перманентной завивке седых волос. Волосы затем ополаскивают водой, моют обычным шампунем, снова ополаскивают, затем высушивают.
Цвет прядей оценивают до и после окраски по системе Munsell с помощью спектрофотометра СМ 2002 MINOLTA .Согласно системе оценок Munsell, цвет определяют по формуле: HV/C, где три параметра означают, соответственно, “Hue” или оттенок (Н), “Value” или интенсивность (V) и “Chroma” или насыщенность (С), причем косая дробь является просто условностью и не означает соотношения. Усиление окраски E может быть рассчитано при использовании уравнения Nickerson’a E=0/4C0dH+6dV+3dC,которое описывается, например, в “Journal of the Optical Society of America”, 34, 9, 550-570 (сентябрь 1944 г.). В этом уравнении E означает разницу в цвете между двумя прядями (в настоящем случае усиление окраски); dH, dV и dC означают изменение по абсолютной величине трех параметров Н, V и С, причем С0 означает насыщенность (цвета) пряди, по отношению к которой желают оценить различие в цвете.
Чем больше E, тем значительнее различие в цвете между двумя прядями и в настоящем случае тем значительнее усиление окраски (или степень окраски).
Результаты представлены в табл.2.
Констатируют, что красящие композиции примеров 1 и 3 согласно изобретению, то есть содержащие ассоциацию прямого красителя формулы (I), окисляемого гетероциклического основания и краскообразующего компонента, приводят к более интенсивным окраскам, чем красящие композиции примеров 2 и 4, не составляющих часть изобретения, поскольку они содержат окисляемое бензольное основание вместо окисляемого гетероциклического основания, и такие, которые описываются, например, в заявке на патент Франции А-2285851.
Формула изобретения
![]() в которой В означает группу следующих формул (Iа) или (Ib): ![]() ![]() R означает (С1-С4)-алкил; R1 означает атом водорода или галогена, такого как хлор, бром или фтор, (С1-С4)-алкил или (С1-С4)-алкоксил; R2 означает атом водорода, (С1-С4)-алкил или (С1-С4)-алкоксил; R4 означает атом водорода или галогена, такого как хлор, бром или фтор, (С1-С4)-алкил, нитрогруппу, аминогруппу или (С1-С4)-ациламиногруппу; R3 означает атом водорода, или R4 и R3 образует шестичленный ненасыщенный цикл, содержащий гидроксильный заместитель, хелатированный с одним из атомов азота двойной азо-связи; А означает остаток -NR5R6, в котором R5 означает атом водорода, (С1-С4)-алкил, моногидрокси-(С1-С4)-алкил или полигидрокси-(С2-С4)-алкил; R6 означает атом водорода, (С1-С4)-алкил, моногидрокси-(С1-С4)-алкил или полигидрокси-(С2-С4)-алкил, фенил или радикал -СН2-SO3Na; Х– означает одновалентный или двухвалентный анион, и его предпочтительно выбирают из атома галогена, такого как хлор, бром, фтор или йод, гидроксида, гидросульфата или (С1-С6)-алкилсульфата, такого как например, метилсульфат или этилсульфат. 2. Композиция по п. 1, отличающаяся тем, что окисляемое основание или окисляемые основания выбирают среди производных пиридина, производных пиримидина, производных пиразола и их солей присоединения с кислотой. 3. Композиция по п.2, отличающаяся тем, что производные пиридина выбирают среди 2,5-диаминопиридина, 2-(4-метоксифенил)амино-3-аминопиридина, 2,3-диамино-6-метоксипиридина, 2-( -метоксиэтил)амино-3-амино-6-метоксипиридина, 3,4-диаминопиридина и их солей присоединения с кислотой.
4. Композиция по п.2, отличающаяся тем, что производные пиримидина выбирают среди 2,4,5,6-тетрааминопиримидина, 4-гидрокси-2,5,6-триаминопиримидина, пиразол [1,5-а] пиримидин-3,7-диамина; 2-метилпиразол [1,5-а]пиримидин-3,7-диамина; 2,5-диметилпиразол[1,5-а] пирамидин-3,7-диамина; пиразол[1,5-а] пиримидин-3,5-диамина; 2,7-диметилпиразол [1,5-а]пиримидин-3,5-диамина; 3-аминопиразол [1,5-а] пиримидин-7-ола; 3-амино-5-метилпиразол[1,5-а] пиримидин-7-ола; 3-аминопиразол [1,5-а]пиримидин-5-ола; 2-(3-аминопиразол[1,5-а]пиримидин-7-иламино)этанола; 3-амино-7- -гидроксиэтиламино-5-метилпиразол[1,5-а] пиримидина; 2-(7-аминопиразол [1,5-а] пиримидин-3-иламино)этанола; 2-[(3-аминопиразол[1,5-а]пиримидин-7-ил)-(2-гидроксиэтил)амино] этанола; 2-[(7-аминопиразол[1,5-а]пиримидин-3-ил)-(2-гидроксиэтил)амино] этанола; 5,6-диметилпиразол[1,5-а]пиримидин-3,7-диамина; 2,6-диметилпиразол [1,5-а] пиримидин-3,7-диамина; 2,5, N-7,N-7-тетраметилпиразол[1,5-а] пиримидин-3,7-диамина и их солей присоединения и их таутомерных форм, когда существует таутомерное равновесие.
5. Композиция по п.2, отличающаяся тем, что производные пиразола выбирают среди 4,5-диаминопиразола; 4,5-диамино-1-метилпиразола; 1-бензил-4,5-диаминопиразола; 3,4-диаминопиразола; 1-бензил-4,5-диамино-3-метилпиразола, 4-смино-1,3-диметил-5-гидразинопиразола; 4,5-диамино-3-метил-1-фенилпиразола; 4,5-диамино-3-метил-1-трет.-бутилпиразола; 4,5-диамино-1-метил-3-трет. -бутилпиразола; 4,5-диамино-1-этил-3-метилпиразола; 4,5-диамино-1-этил-3-(4′-метокси-фенил)пиразола; 4,5-диамино-1-этил-3-гидроксиметилпиразола; 4,5-диамино-3-гидроксиметил-1-метилпиразола; 4,5-диамино-3-гидроксиметил-1-изопропилпиразола; 4,5-диамино-3-метил-1-изопропилпиразол и их солей присоединения с кислотой.
6. Композиция по любому из пп.1-5, отличающаяся тем, что окисляемое гетероциклическое основание или окисляемые гетероциклические основания составляют 0,0005-12 мас.% по отношению к общей массе красящей композиции.
7. Композиция по п.6, отличающаяся тем, что окисляемое гетероциклическое основание или окисляемые гетероциклические основания составляют 0,005-6 мас. % по отношению к общей массе красящей композиции.
8. Композиция по п.1, отличающаяся тем, что производное или производные 3-аминопиридина формулы (I) выбирают среди следующих соединений:4′-диметиламинобензол-1′,3-азо-1-метилпиридинийметосульфат формулы ![]() 4′-бис( -гидроксиэтил)аминобензол-1′, 3-азометилпиридинийметосульфат формулы![]() 4′-амино-8′-гидроксинафталин-1′, 3-азо-1-метилпиридинийметосульфат формулы ![]() 4′-диметиламино-2′-нитробензол-1′, 3-азо-1-метилпиридинийметосульфат формулы ![]() 4′-диметиламинобензол-1′,3-азо1,6-диметилпиридинийметосульфат формулы ![]() 4′-аминобензол-1′,3-азопиридин-N-оксид формулы ![]() 4′-диметиламинобензол-1′,3-азопиридин-N-оксид формулы ![]() 4′-N,N- бис ( -гидроксиэтил)аминобензол-1′,3-азопиридин-N-оксид формулы![]() 4′-диметиламино-2′-метилбензол-1′, 3-азо-1-этилпиридинийэтосульфат формулы ![]() 4′-диметиламино-2′-метилбензол-1′,3-азо-1-бутилпиридинийбромид формулы ![]() 4′-диметиламино-2′-хлорбензол-1′, 3-азо-1-метилпиридиний-метосульфат формулы ![]() 2′, 4′-диамино-5′-метилбензол-1′, 3-азо-1-метилпиридинийметосульфат формулы ![]() 4′-фениламинобензол-1′,3-азо-1-метилпиридинийметосульфат формулы ![]() 2′-ацетиламино-4′-диметиламинобензол-1′, 3-азо-1-этилпиридинийэтосульфат формулы ![]() 2′-4′-диамино-5′-метоксибензол-1′, 3-азо-1-метилпиридинийметосульфат формулы ![]() и 2′-амино-4′-диметиламинобензол-1′, 3-азо-1-метилпиридинийметосульфат формулы ![]() 9. Композиция по п.1, отличающаяся тем, что производное или производные 3-аминопиридина формулы (I) составляют 0,001-10 мас.% по отношению к общей массе красящей композиции. 10. Композиция по любому из п.9, отличающаяся тем, что производные или производные 3-аминопиридина формулы (I) составляют 0,01-5 мас.% по отношению к общей массе красящей композиции. 11. Композиция по п.1, отличающаяся тем, что она дополнительно содержит один или несколько краскообразующих компонентов и/или одно или несколько окисляемых бензольных оснований и/или прямой краситель или прямые красители, отличающиеся от производных 3-аминопиридина формулы (I), таких, как указанные в п.1. 12. Композиция по любому из пп.2-5, отличающаяся тем, что соли присоединения с кислотой выбирают среди гидрохлоридов, гидробромидов, сульфатов и тартратов, лактатов и ацетатов. 13. Композиция по п.1, отличающаяся тем, что подходящая для окраски среда образована водой или смесью воды, по крайней мере, с одним органическим растворителем. 14. Композиция по п.1, отличающаяся тем, что она имеет значение рН, составляющее 3-12. 15. Способ окраски кератиновых волокон, в частности волос, отличающийся тем, что на волокна наносят по крайней мере одну красящую композицию по любому из пп.1-14, и цвет проявляется при кислом, нейтральном или щелочном значении рН с помощью окисляющего компонента, который добавляют к красящей композиции непосредственно в момент применения, или который находится к окисляющей композиции, наносимой одновременно с красящей или после нее. 16. Способ по п.15, отличающийся тем, что окисляющий компонент, присутствующий в окисляющей композиции, выбирают среди пероксида водорода, пероксида мочевины, броматов щелочных металлов, персолей, таких, как пербораты, перкарбонаты и персульфаты, надкислот и ферментов. 17. Упаковка набора для окислительной окраски кератиновых волокон в частности волос, с отделением под красящую композицию по любому из пп.1-14, и отделением под окисляющую композицию. РИСУНКИ
MM4A Досрочное прекращение действия патента Российской Федерации на изобретение из-за неуплаты в установленный срок пошлины за поддержание патента в силе
Дата прекращения действия патента: 12.03.2004
Извещение опубликовано: 20.10.2005 БИ: 29/2005
|
||||||||||||||||||||||||||




-метоксиэтил)амино-3-амино-6-метоксипиридин, 3,4-диаминопиридин, и их соли присоединения с кислотой.
Из производных пиримидина в особенности можно назвать соединения, описанные, например, в патенте ФРГ 2359399 или патентах Японии 88-169571 и 91-333495, такие как 2,4,5,6-тетрааминопиримидин, 4-гидрокcи-2,5,6-триаминопиримидин, и их соли присоединения с кислотой, а также пиразол-пиримидиновые производные, такие, как пиразол[1,5-а]пиримидин-3,7-диамин; 2-метилпиразол[1,5-а] пиримидин- 3,7-диамин; 2,5-диметилпиразол[1,5-а]пиримидин-3,7 -диамин; пиразол[1,5-а]пиримидин-3,5-диамин; 2,7-диметилпиразол[1,5-а] пиримидин-3,5-диамин; 3-аминопиразол[1,5-а] пиримидин-7-ол; 3-амино-5-метилпиразол[1,5-а]пиримидин-7-ол; 3-аминопиразол[1,5-а]пиримидин-5-ол; 2-(3-аминопиразол[1,5-а]пиримидин-7-иламино)этанол;3-амино-7-
















0,2 и наносят на 30 минут на пряди седых волос с 90% подвергнутых перманентной завивке седых волос. Волосы затем ополаскивают водой, моют обычным шампунем, снова ополаскивают, затем высушивают.
Цвет прядей оценивают до и после окраски по системе Munsell с помощью спектрофотометра СМ 2002 MINOLTA
.
E может быть рассчитано при использовании уравнения Nickerson’a

















