Патент на изобретение №2186559
|
||||||||||||||||||||||||||
(54) ПРИМЕНЕНИЕ ВОДОРАСТВОРИМЫХ СОПОЛИМЕРОВ В КАЧЕСТВЕ АКТИВНЫХ ВЕЩЕСТВ В КОСМЕТИЧЕСКИХ СРЕДСТВАХ
(57) Реферат: Изобретение относится к новым водорастворимым сополимерам винилформамида и N-винил-N’-алкилимидазолиния, являющимся кондиционерами для волос, а также к средству для обработки волос, содержащему указанный сополимер и обладающему улучшенными кондиционирующими свойствами. 2 с.п.ф-лы, 1 табл. Изобретение относится к применению водорастворимых сополимеров в качестве компонентов косметических средств, а также к косметическим средствам, содержащим эти сополимеры. Полимеры находят широкое применение в косметике и медицине. В мылах, кремах и лосьонах они, например служат, как правило, в качестве вспомогательных средств композиции, например, в качестве загустителя, стабилизатора пены или водопоглотителя, или также служат для того, чтобы смягчить раздражающее действие других ингредиентов или чтобы улучшить кожное применение активных веществ. Их задача в косметических средствах для волос состоит в том, чтобы влиять на свойства волос. Так, к тому же используют кондиционер, чтобы улучшить расчесываемость сухих и мокрых волос, ощущение, блеск и вид, а также чтобы придать волосам антистатические свойства. Далее они могут действовать укрепляюще, образуя на волосах гидрофобные пленки. Предпочтительно используют водорастворимые полимеры с полярными, зачастую катионными функциональными группами, которые проявляют большое сродство к обусловленной структурой отрицательной поверхности волоса. Структура и способ действия различных полимеров для обработки волос описываются в Cosmetics & Toiletries, 103 (1988), 23. Стандартными полимерами для кондиционеров являются, например, катионная гидроксиэтилцеллюлоза, катионные полимеры на основе N-винилпирролидона, акриламида и хлорида диаллилдиметиламмония или силиконов. В патенте США 4713236 описаны кондиционеры для волос на основе полимеров, содержащих звенья в виде виниламина. При этом называют, в частности, поливиниламин, а также его соли, -замещенные поливиниламины, как, например, поли( -аминоакриловая кислота), или также сополимеры, которые наряду с виниламином содержат входящие в полимерную цепь сомономеры, как, например, виниловый спирт, акриловая кислота, акриламид, малеиновый ангидрид, винилсульфонат и 2-акриламидо-2-метилпропансульфокислота. Возможная применимость сополимеров с повторяющимися звеньями виниламина и виниламида карбоновой кислоты в качестве активного компонента кондиционера для волос не исследуется в этом документе.
В международной заявке на патент 96/03969 описывается средство по уходу за волосами, содержащее гомополимер N-винилформамида или сополимер из звеньев N-винилформамида и другого винилового мономера, выбранного из стиролов, сложных алкиловых эфиров акриловой и метакриловой кислоты, сложных виниловых эфиров формулы СН2=СН-ОСО-алкил, N-алкилзамещенных акриламидов и метакриламидов, сложных эфиров фумаровой, итаконовой и малеиновой кислот, простых виниловых эфиров, функционализированных гидроксилом акрилатов и метакрилатов, акриламида, не замещенных алкилом акриламидов и циклических амидов. В качестве конкретного примера циклического амида следует назвать винилпирролидон. Другими примерами виниловых мономеров являются вторичные, третичные и четвертичные амины, как, например, диметилдиаллиламмонийхлорид, трет-бутиламиноэтилметакрилат, диметиламиноэтилметакрилат, диэтиламиноэтилметакрилат, диметиламинопропилметакрилат и их кватернизированные производные.
В патенте Японии 06122725 описывают порошкообразные гомополимеры и сополимеры N-винилформамида. Эти полимеры находят применение, например, в качестве компонентов тонирующих веществ, материалов для хроматографии, носителей для иммунодиагностических веществ и наполнителей для красок и косметических средств. Пригодность этих полимеров в качестве кондиционеров, в частности в качестве кондиционеров для шампуней, не описывается.
Гидролизованные олигомеры N-винилформамида известны из патента США 5373076. В качестве гипотетических областей применения этих полимеров следует среди прочего назвать клеящие вещества, связующие средства, обработку воды, производство бумаги, транспортировку нефти и минералов, медицину и уход за телом.
Из европейского патента 510246, а также из патента Японии 3223304 известны сшитые поперечными связями преимущественно анионные гомо- и сополимеризаты N-виниламидов карбоновых кислот, которые используются в качестве водопоглотителей и загустителей, например, в косметике.
Сополимеризаты из акриламида и метакриловой кислоты, которые в качестве других мономеров могут содержать также N-виниламиды карбоновых кислот, находят также применение согласно патенту Германии 3427220 в качестве загустителей в косметических изделиях или фармацевтических готовых формах.
В европейском патенте 452758 описываются богатые углеводородами гели для кожного косметического и медицинского применения, которые наряду с различными поверхностно-активными веществами содержат в качестве другого компонента водорастворимый полимер, например поливинилформамид.
Кремы для ухода за телом, которые содержат полимер виниламина, модифицированный моноальдегидом, известны из патента США 5270379.
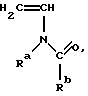
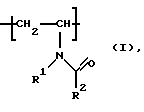
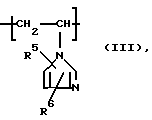
Из патента Германии 1495692 известны сополимеры, которые, например, находят применение в качестве укрепителей волос и построены из мономеров N-виниламида формулы![]() где Ra и Rb означают водород или алкил с 1-5 атомами углерода, и сомономер выбирается из простых виниловых эфиров, виниллактамов, винилгалогенидов, сложных виниловых эфиров одноосновных насыщенных карбоновых кислот, сложных эфиров метакриловой кислоты, амидов и нитрилов метакриловой кислоты и сложных эфиров, ангидридов и имидов малеиновой кислоты. В патенте Великобритании 1082016 описываются гомополимеры N-винил-N-метилацетамида или сополимеры этого соединения со сложными виниловыми эфирами, простыми виниловыми эфирами, сложными эфирами метакриловой кислоты, амидами и нитрилами метакриловой кислоты, гомополимеры виниловых соединений, производных малеиновой и фумаровой кислот, стирола, бутадиена и винилгалогенидов и их применение в готовых изделиях в виде шампуней, укрепляющих волосы средств и лаков для волос. В основе представленного изобретения лежит задача обеспечить новые полимеризаты с улучшенной активностью в имеющихся в распоряжении косметических изделиях. Задача по изобретению решается путем применения водорастворимых сополимеров, которые в качестве характерных структурных элементов содержат а) звенья виниламида карбоновой кислоты общей формулы I ![]() где R1и R2 независимо друг от друга означают водород, алкил, циклоалкил, арил или аралкил, и б) звенья общей формулы II ![]() где А означает химическую связь или алкиленовую группу, остатки R3 независимо друг от друга означают водород, алкил, циклоалкил, арил или аралкил, или вместе с атомом азота, с которым они связаны, образуют при необходимости однократно или многократно замещенное 5-7-членное гетероциклическое, ароматическое или неароматическое кольцо, которое при необходимости содержит один или два других гетероатома, выбранных из кислорода, азота и серы, причем гетероциклическое кольцо может быть аннелировано с другим пятичленным или шестичленным ароматическим или неароматическим кольцом, R4 означает водород, алкил или аралкил, а также соответствующих солей, образованных из них при присоединении кислот, в качестве компонента косметических средств. Предпочтительно применяемые по изобретению сополимеры имеют среднюю молекулярную массу в области примерно от 103 до 108 г/моль, предпочтительно примерно от 104 до 107 г/моль. Если не сделано никаких других указаний, при конкретном описании изобретения признаются следующие определения. Используемые алкильные остатки по изобретению включают насыщенные прямые или разветвленные углеродные цепочки с 1-12 атомами углерода. Например, можно назвать следующие остатки: алкильные остатки, содержащие 1-6 атомов углерода, как, например, метил, этил, н-пропил, изопропил, н-бутил, втор-бутил, 2- или 3-метилпентил, и остатки с цепочками большей длины, как, например, неразветвленный гептил, октил, нонил, децил, ундецил, лаурил и их однократно или многократно разветвленные аналоги. Используемые по изобретению алкиленовые остатки включают алкиленовые остатки с прямой цепочкой из 1-10 атомов углерода, как, например, метилен, этилен, пропилен, бутилен, пентилен и гексилен, а также алкиленовые остатки с разветвленной цепочкой, содержащие от 1 до 10 атомов углерода, как, например, 1,1-диметилбутилен, 1,3-диметилбутилен, 1,2-диметилпентилен и 1,3-диметилгексилен. Предпочтительны, однако, алкиленовые группы с прямой цепочкой из 1-6 атомов углерода. Используемые согласно изобретению циклоалкильные остатки включают, в частности, циклоалкильные остатки с 3-12 атомами углерода, как, например, циклопропил, циклобутил, циклопентил, циклогексил, циклогептил, циклооктил, циклопропилметил, циклопропилэтил, циклопропилпропил, циклобутилметил, циклобутилэтил, циклопентилэтил, -пропил, -бутил, -пентил, -гексил и тому подобные. Подходящие согласно изобретению аралкильные остатки включают фенил- и нафтилалкильные остатки с 1-12 атомами углерода в алкиле, причем алкильный участок с 1-12 атомами углерода является таким, как определено выше. Предпочтительными аралкильными остатками являются фенилалкильные остатки с 1-6 атомами углерода в алкиле. Подходящими арильными остатками по изобретению являются, например, фенил и нафтил. В качестве примеров 5-7-членных азотсодержащих гетероциклических остатков могут быть названы: пятичленный остаток, как, например, пирролил, пирролинил, пирролидинил, 1,2- и 1,3-оксазолил, 1,2- и 1,3-тиазолил, 1,2- и 1,3-оксазолинил, 1,2- и 1,3-тиазолинил, 1,2- и 1,3-оксазолидинил, 1,2- и 1,3-тиазолидинил, пиразолил, пиразолинил, пиразолидинил, имидазолил, имидазолинил, имидазолидинил, 1,2,4-триазолил, 1,3,4-триазолил. Шестичленными остатками являются такие, как, например, пиридил и пиперидил, пиридазинил, пиримидинил, пиразинил, пиперазинил, 1,2-, 1,3- и 1,4-оксазинил, морфолинил, 1,2-, 1,3- и 1,4-тиазинил, 1,2,3-, 1,2,4-и 1,3,4-триазинил, 1,2,3-, 1,2,4- и 1,3,4-оксадиазинил, 1,2,3-, 1,2,4- и 1,3,4-тиадиазинил. Семичленными остатками являются, например, азепинил, 1,2-, 1,3- и 1,4-диазепинил, 1,2-, 1,3- и 1,4-оксазепинил, 1,2-, 1,3- и 1,4-тиазепинил. Примерами аннелированных гетероциклических остатков являются индолил, индазолил, бензимидазолил, бензоксазолил, бензтиазолил, хинолинил, изохинолинил, 1,2-дигидрохинолинил, фталазинил, хиназолинил, хиноксалинил, бензодиазепинил, бензоксазепинил и бензотиазепинил. Гетероциклические остатки по изобретению могут при необходимости быть замещены одним или несколькими, например 1, 2 или 3, в особенности 1 или 2 заместителями. Подходящие заместители выбираются из таких, как алкил, циклоалкил, арил, аралкил, гидроксил, O-алкил, O-арил, сульфгидрил, S-алкил, S-арил, аминогруппа, алкиламиногруппа, ариламиногруппа, диалкиламиногруппа, при необходимости в протонированной форме, N(алкил)3 + Z–, где Z означает остаток неорганической или органической кислоты, карбоксильную группу, альдегидную группу, алкилоксикарбонильную группу, амидную группу, алкиламидогруппу, диалкиламидогруппу, циангруппу и сульфоксил. В этом случае алкил, циклоалкил, арил и аралкил имеют приведенные выше значения. Предпочтительно сополимеры содержат в качестве характерных структурных элементов звенья виниламидов карбоновых кислот формулы I, где R1 и R2 независимо друг от друга означают водород или алкил. Особенно предпочтительно R1 означает водород и R2 означает алкил с 1-6 атомами углерода. В качестве предпочтительных звеньев формулы II сополимеры согласно изобретению содержат мономеры, где А означает химическую связь или алкильный остаток с 1-6 атомами углерода, в частности химическую связь; R4 означает водород или алкил с 1-6 атомами углерода, в частности водород; и остатки R3 вместе с атомом азота, с которым они связаны, являются 5-7-членным, при необходимости однократно или многократно замещенным гетероциклическим кольцом согласно приведенным выше определениям. Предпочтительными гетероциклическими остатками являются пяти- или шестичленные ароматические или неароматические кольца, которые при необходимости содержат другой гетероатом, выбранный из кислорода, азота и серы, предпочтительно азот. Если гетероциклическое кольцо замещено, то оно имеет один или два, предпочтительно один заместитель. Предпочтительными заместителями являются алкил с 1-6 атомами углерода, гидроксил, алкоксигруппа с 1-6 атомами углерода в алкиле, фенилоксигруппа, сульфгидрил, алкилтиогруппа с 1-6 атомами углерода в алкиле, фенилтиогруппа, аминогруппа, алкиламиногруппа с 1-6 атомами углерода в алкиле, фениламиногруппа, диалкиламиногруппа с 1-6 атомами углерода в алкиле, -N(/C1-C6/-алкил)3 + Z–, карбоксильная группа, алкилоксикарбонил с 1-6 атомами углерода в алкиле, амидная группа, алкиламидогруппа с 1-6 атомами углерода в алкиле, диалкиламидогруппа с 1-6 атомами углерода в алкиле, циангруппа и сульфоксил. Предпочтительными противоионами Z– являются Cl–, Вr–, Н2PO4 –, SO4 2-, NO3 –, НСОО–, фенил-SО3 –. Если гетероцикл содержит четвертичный атом азота, то противоион Х– имеет указанные для Z– значения. Предпочтительными аннелированными гетероциклами являются бензаннелированные гетероциклические кольца. Предпочтительными примерами мономеров формулы I являются N-винилформамид, N-винил-N-метилформамид, N-винил-N-этилформамид, N-винил-N-пропилформамид, N-винил-N-изопропилформамид, N-винил-N-бутилформамид, N-винил-N-(втop-бутил)фopмaмид, N-винил-N-(трет-бутил)-формамид, N-винил-N-пентилформамид, N-винилацетамид, N-винил-N-метилацетамид и N-винил-N-этилацетамид. Предпочтительными примерами мономеров формулы II являются при необходимости однозамещенные или многократно замещенные N-винилпирролы, N-винилимидазолы, N-винилимидазолины, N-винилпиридины, N-винилпиридазины, N-винилпиримидины, N-винилпиразины, N-винилиндолы, N-винилиндазолы и N-винилбензимидазолы. Гетероциклические участки представлены при этом в виде свободных оснований или также нейтрализованными минеральными кислотами или органическими кислотами, или также в виде четвертичных оснований, причем кватернизация осуществляется преимущественно с помощью диметилсульфата, диэтилсульфата, хлористого метилена или бензилхлорида. Особенно предпочтительные гетероциклические мономеры выбираются из имидазольных или имидазолиевых мономеров следующих формул III и IV: ![]() где R5 и R6 независимо друг от друга выбираются из водорода, алкила, арила, аралкила или вместе означают бензаннелированное кольцо; ![]() где Х означает остаток неорганической или органической кислоты и R7 означает водород, алкил или аралкил, а также соответствующие производные имидазолина. Особенно предпочтительными мономерами формулы III являются соединения, в которых R5 и R6 независимо друг от друга означают водород или алкил с 1-6 атомами углерода, в особенности водород. Особенно предпочтительными мономерами формулы IV являются соединения, где R7 означает алкил с 1-6 атомами углерода или Х является хлором или бромом. Примерами имидазоловых и имидазолиновых мономеров являются N-винил-2-метилимидазол, N-винил-4-метилимидазол, N-винил-5-метилимидазол, N-винил-2-этилимидазол, хлорид N-винил-N’-метилимидазолия, хлорид N-винил-N’-этилимидазолия, N-винилимидазолин, N-винил-2-метилимидазолин, а также N-винил-2-этилимидазолин. Предпочтительными, кроме того, являются сополимеры, содержащие а) от 0,1 до 99,9, предпочтительно от 1 до 99, в особенности от 5 до 95 мол.% звеньев N-виниламида карбоновой кислоты формулы I, б) от 0,1 до 99,9, предпочтительно от 1 до 99, в особенности от 5 до 95 мол.% звеньев формулы II, в) от 0 до 99,8, предпочтительно от 0 до 98, в особенности от 0 до 90 мол. % различных ненасыщенных мономерных звеньев а) и б) с одной двойной связью; и г) от 0 до 5, предпочтительно от 0 до 4, в особенности от 0 до 3 мол.% ненасыщенных мономерных звеньев с как минимум двумя двойными связями. Примерами мономеров в) являются виниламины и их соли, как, например, виниламмонийгалогениды, виниловый спирт, винилформиат, винилацетат, винилпропионат, винилбутират, N-винилпирролидон, N-винилкапролактам, N-винилмочевины, простые виниловые эфиры с 1-6 атомами углерода, ненасыщенные карбоновые кислоты с одной этиленовой связью, содержащие 3-8 атомов углерода, и дикарбоновые кислоты с одной этиленовой связью, содержащие 3-8 атомов углерода, а также их сложные эфиры, амиды, ангидриды и нитрилы, олефины, а также винилароматические соединения. Подходящими дополнительными ненасыщенными мономерами в) с двойной связью являются винилформиат, винилацетат, винилпропионат, винилбутират, ненасыщенные карбоновые кислоты с 3-8 атомами углерода, как, например, акриловая кислота, метакриловая кислота, малеиновая кислота, кротоновая кислота, итаконовая кислота и винилуксусная кислота, а также их соли со щелочными и щелочноземельными металлами, сложные эфиры, амиды и нитрилы, например, метилакрилат, метилметакрилат, этилакрилат, этилметакрилат, пропилакрилат и бутилакрилат или сложные эфиры гликолей или полигликолей с ненасыщенными карбоновыми кислотами с двойными связями, причем каждый раз этерифицирована только одна гидроксильная группа гликолей и полигликолей, например гидроксиэтилакрилат, гидроксиэтилметакрилат, гидроксипропилакрилат, гидроксипропилметакрилат, гидроксибутилакрилат, гидроксибутилметакрилат или также сложные моноэфиры акриловой и метакриловой кислот с полиалкиленгликолями молярной массы от 1500 до 10000. Подходящими являются также сложные эфиры ненасыщенных карбоновых кислот, имеющих этиленовые связи, с аминоспиртами, как, например, диметиламиноэтилакрилат, диметиламиноэтилметакрилат, диэтиламиноэтилакрилат, диэтиламиноэтилметакрилат, диметиламинопропилакрилат, диметиламинопропилметакрилат, диэтиламинопропилакрилат, диэтиламинопропилметакрилат, диметиламинобутилакрилат и диэтиламинобутилакрилат. Основные акрилаты существуют при этом в виде свободных оснований, солей с минеральными кислотами, как, например, соляная кислота, серная кислота и азотная кислота, солей с органическими кислотами, как, например, муравьиная кислота или бензолсульфокислота, или в виде четвертичных ониевых соединений. Подходящими средствами для кватернизации являются, например, диметилсульфат, диэтилсульфат, хлористый метил, хлористый этил или хлористый бензил. Кроме того, в качестве мономеров в) годятся ненасыщенные амиды, как, например, акриламид, метакриламид, а также N-алкилмоноамиды и N-алкилдиамиды с алкильными остатками, содержащими от 1 до 6 атомов углерода, например, N-метилакриламид, N, N-диметилакриламид, N-метилметакриламид, N-этилакриламид, N-пропилакриламид и трет-бутилакриламид, а также основные метакриламиды, как, например, диметиламиноэтилакриламид, ди-метиламиноэтилметакриламид, диэтиламиноэтилакриламид, диэтиламиноэтилметакриламид, диметиламинопропилакриламид, диметиламинопропилметакрил-амид, диэтиламинопропилакриламид и диэтиламинопропилметакриламид. В качестве мономеров в) могут быть использованы также простые виниловые эфиры с 1-6 атомами углерода, как, например, винилметиловый эфир, винилэтиловый эфир, винилпропиловый эфир, винилизопропиловый эфир, винилбутиловый эфир, винилизобутиловый эфир, винилпентиловый эфир и винилгексиловый эфир. Далее в качестве мономеров в) рассматриваются N-винилпирролидон, N-винилкапролактам, N-винилмочевина и замещенные N-винилмочевины, например N-винил-N’-метилмочевина и N-винил-N’-диметилмочевина. В качестве мономеров в) далее могут быть использованы ненасыщенные соединения с одной этиленовой связью, содержащие сульфогруппы, как, например, винилсульфокислота, аллилсульфокислота, металлилсульфокислота, стиролсульфокислота или 3-сульфопропиловый эфир акриловой кислоты, 3-сульфопропиловый эфир метакриловой кислоты и 2-акриламидо-2-метилпропансульфокислота. Кислотные группы рассматриваемых соединений могут быть представлены в виде свободных кислот, аммониевой соли, солей со щелочными и щелочноземельными металлами. Другая модификация сополимеризатов может быть достигнута тем, что полимеризуют от 0 до 5 мол.% звеньев мономеров г) вместе с как минимум двумя ненасыщенными соединениями с несопряженными двойными связями. Подобные сомономеры применяют обычно при сополимеризации в качестве средства, образующего поперечные связи. Совместное применение этих сомономеров во время сополимеризации способствует повышению молярных масс сополимеризатов. Подходящими соединениями этого вида являются, например, метиленбисакриламид, сложные эфиры акриловой кислоты и метакриловой кислоты с многоатомными спиртами, например, гликольдиакрилат, глицеринтриакрилат, гликольдиметакрилат, глицеринтриметакрилат, а также как минимум двукратно этерифицированные акриловой кислотой или метакриловой кислотой полиолы, как пентаэритрит и глюкоза. Подходящими средствами для образования поперечных связей являются, кроме того, дивинилбензол, дивинилдиоксан, простой пентаэритриттриаллиловый эфир, пентааллилсахароза, дивинилмочевина и дивинилэтиленмочевина. Использующиеся согласно изобретению сополимеризаты получают в соответствии с известным в литературе способом путем радикально инициируемой сополимеризации мономеров формулы I (мономеры а)) и формулы II (мономеры б)) и при необходимости в присутствии вышеназванных других мономеров в) и/или г) и возможного последующего частичного отщепления карбонильных группировок при гидролизе. Подходящие способы получения описаны, например, в заявках на европейские патенты 0071050, 0251182 и 0216387, на что соответственно четко ссылаются. Полимеризация может быть проведена в присутствии или также в отсутствии инертного растворителя или разбавителя. Так как полимеризация в отсутствии инертных растворителей или разбавителей в большинстве случаев приводит к разобщенным полимеризатам, предпочтительна полимеризация в инертном растворителе или разбавителе. Подходящими являются, например, такие инертные растворители, в которых растворимы N-виниламиды карбоновых кислот с прямыми цепочками. Для полимеризации в растворе годятся, например, инертные растворители, как, например, метанол, этанол, изопропанол, н-пропанол, н-бутанол, тетрагидрофуран, диоксан, вода, а также смеси названных инертных растворителей. Полимеризация может проводиться непрерывно или периодически. Ее осуществляют в присутствии образующих радикалы инициаторов, которые используют в количествах от 0,01 до 20, предпочтительно от 0,05 до 10 мас.%, считая на мономеры. При необходимости полимеризация может быть инициирована только при воздействии высокоэнергетического излучения, например электронного излучения или ультрафиолетового излучения. Чтобы получить полимеризаты с низкими молекулярными массами, например, от 1000 до 100000, предпочтительно от 5000 до 50000, полимеризацию целесообразно проводить в присутствии регуляторов. Подходящими регуляторами являются, например, органические соединения, содержащие серу в связанной форме. Сюда относятся меркаптосоединения, как, например, меркаптоэтанол, меркаптопропанол, меркаптобутанол, меркаптоуксусная кислота, меркаптопропионовая кислота, бутилмеркаптан, додецилмеркаптан. В качестве регуляторов годятся, кроме того, аллильные соединения, как, например, аллиловый спирт, альдегиды, как, например, формальдегид, ацетальдегид, пропионовый альдегид, масляный альдегид и изомасляный альдегид, муравьиная кислота, муравьинокислый аммоний, пропионовая кислота, гидразинсульфат и бутенолы. Если полимеризацию проводят в присутствии регуляторов, то последних требуется от 0,05 до 20 мас.%, считая на используемые при полимеризации мономеры. Полимеризацию мономеров проводят обычно в атмосфере инертного газа в отсутствии кислорода воздуха. Во время полимеризации следует обеспечить в целом хорошее смешивание участвующих в реакции соединений. В случае небольших смесей, при которых обеспечивается надежный отвод теплоты полимеризации, можно полимеризовать мономеры в периодических условиях, нагревая реакционную смесь до температуры полимеризации и затем проводя реакцию. Эти температуры находятся при этом в области от 40 до 180oС, причем можно работать при нормальном давлении, пониженном или также при повышенном давлении. Получают полимеризаты с высокой молекулярной массой, когда полимеризацию проводят в воде. Это можно, например, осуществить для получения водорастворимых полимеризатов в водном растворе в виде эмульсии воды в масле или по способу обратной суспензионной полимеризации. Чтобы уменьшить омыление мономерных N-виниламидов карбоновых кислот во время полимеризации в водном растворе, полимеризацию проводят предпочтительно в области значений рН от 4 до 9, в частности от 5 до 8. Во многих случаях еще дополнительно рекомендуется работать в присутствии буферов, например первичного или вторичного кислого фосфата натрия. Из описанных выше полимеризатов при известных условиях путем частичного отщепления группировки ![]() от звеньев N-виниламидов карбоновых кислот получают при образовании аминогрупп или аммониевых групп пригодные согласно изобретению сополимеризаты, которые в качестве мономера в) содержат виниламин или его соответствующее аммонийное производное. Гидролиз предпочтительно проводят в воде под действием кислот, оснований или ферментов, однако гидролиз может быть проведен также и в отсутствии названных гидролизующих средств. В зависимости от условий реакции при гидролизе, то есть от количества кислоты или основания в расчете на подвергающийся гидролизу полимеризат, а также от времени реакции и температуры реакции, наблюдается различная степень гидролиза. Гидролиз в общем и целом проводят так, чтобы гидролитически отщепилось от 0,1 до 99,9 мол. %, предпочтительно от 1 до 99 мол.% и в высшей степени предпочтительно от 5 до 95 мол.% остатков амидов карбоновых кислот. Для гидролиза годятся кислоты, например минеральные, как, например, галоидоводород (газообразный или в водном растворе), серная кислота, азотная кислота, фосфорная кислота (орто-, мета- или полифосфорная кислота) или органические кислоты, например карбоновые кислоты с 1-5 атомами углерода, как, например, муравьиная кислота, уксусная кислота или пропионовая кислота, или алифатические и ароматические сульфокислоты, как, например, метансульфокислота, бензолсульфокислота или толуолсульфокислота. При гидролизе кислотами значение рН составляет от 0 до 5. На отщепляющийся остаток карбоновой кислоты в полимеризате нужно от 0,05 до 1,5 эквивалентов кислоты, предпочтительно от 0,4 до 1,2. При гидролизе основаниями могут быть использованы гидроокиси металлов первой и второй главных групп периодической системы, например гидроокись лития, гидроокись натрия, гидроокись калия, гидроокись кальция, гидроокись стронция и гидроокись бария. Также годятся аммиак или алкильные производные аммиака, например алкиламины или ариламины, как, например, триэтиламин, моноэтаноламин, диэтаноламин, триэтаноламин, морфолин, пиперидин, пирролидин или анилин. При гидролизе основаниями требуются значения рН от 8 до 14. Эти основания могут использоваться в твердом, жидком или при необходимости также газообразном состоянии, в разбавленном или неразбавленном виде. Преимущественно используют аммиак, раствор едкого натра или раствор едкого кали. Гидролиз в области кислых или щелочных значений рН осуществляют при температурах от 20 до 170oС, преимущественно от 50 до 120oС. Гидролиз заканчивается через примерно 2-8 часов, преимущественно от 3 до 5 часов. Особенно пригодным оказался способ получения, при котором кислоты или основания добавлялись в водном растворе. После гидролиза проводят затем нейтрализацию, так чтобы рН гидролизованного раствора полимера составлял от 2 до 8, предпочтительно от 3 до 7. Нейтрализация необходима тогда, когда следует приостановить или замедлить гидролиз частично гидролизованных полимеризатов. Гидролиз может быть также проведен с помощью ферментов. При гидролизе сополимеризатов, содержащих звенья N-виниламидов карбоновых кислот, происходит при известных условиях связанная с этим дальнейшая модификация полимеризатов, сказывающаяся в том, что входящие в полимерную цепь сомономеры также гидролизуются. Так, образуются, например, звенья виниловых спиртов из входящих в полимерную цепь звеньев сложных виниловых эфиров. В зависимости от условий гидролиза входящие в полимерную цепь сложные виниловые эфиры могут быть полностью или частично омылены. При частичном гидролизе сополимеров, содержащих винилацетатные звенья, гидролизованный сополимеризат содержит наряду с неизмененными винилацетатными звеньями звенья виниловых спиртов, а также звенья N-виниламидов карбоновых кислот и виниламинов. Из звеньев ангидридов, сложных эфиров и амидов ненасыщенных карбоновых кислот с одной этиленовой связью при гидролизе образуются звенья карбоновых кислот. Входящие в полимерную цепь ненасыщенные карбоновые кислоты с одной этиленовой связью сами при гидролизе не изменяются. Также из входящих в полимерную цепь ненасыщенных нитрилов с одной двойной связью могут образовываться звенья амидов карбоновых кислот и карбоновых кислот. Степень гидролиза входящих в полимерную цепь сомономеров может быть легко определена аналитически. Аминофункции могут быть представлены как в виде свободных оснований, так и в виде солей в результате нейтрализации минеральными или органическими кислотами, как, например, муравьиная кислота, уксусная кислота, валериановая кислота, 2-этилгексановая кислота, лауриновая кислота, адипиновая кислота, бензойная кислота, n-метоксибензойная кислота, молочная кислота, лимонная кислота. Далее имеется возможность алкилирования или кватернизации незамещенных аминогрупп. Алкилирование или кватернизацию осуществляют при этом с помощью известных алкилирующих средств, как, например, алкилгалогениды, например, хлористый метил, бромистый метил, йодистый метил, бромистый этил, йодистый этил или бромистый бензил, или также диметилсульфат, или диэтилсульфат. Реакция может быть при этом проведена в водной среде, в инертных органических растворителях или также в смесях воды с растворителями, при необходимости в условиях межфазного катализа. Предпочтительно алкилирование и кватернизацию проводят в водной среде. Применяемые согласно изобретению сополимеризаты имеют молекулярные массы от 1000 до 10 млн, предпочтительно от 10 000 до 5 млн, что соответствует значениям К от примерно 5 до 300 или от 10 до 250, измеренным в 1% водных растворах при рН 7 и 25oС по Н. Fikentscher, Cellulose-Chemie, том 13, с. 58-64 и 71-74(1932). Описанные к настоящему времени сополимеризаты находят применение в качестве активных веществ в косметических изделиях, например, как кондиционеры для шампуней, средства для лечения заболевания волос, лосьоны, эмульсии, ополаскиватели, гели, пены и средства для предварительной и последующей обработки при окраске волос и длительной завивке, а также как средства с лечебными свойствами для укрепления волос и для укладки волос. Далее они могут использоваться в качестве загустителей в косметических композициях и в косметических изделиях для ухода за полостью рта. Неожиданно было обнаружено, что N-винилформамидные сополимеры по изобретению проявляют улучшенные свойства в косметических композициях. Более всего обращают на себя внимания эти улучшения свойств в составах для шампуней. Предпочтительно используют сополимеры по изобретению в обычных имеющихся в продаже шампунях вместе с лаурилсульфатом натрия или аммония в качестве основного поверхностно-активного вещества и при необходимости вместе с другими поверхностно-активными веществами, например алкилполигликозидами, кокамидопропилбетаинами, сложными эфирами сульфоянтарной кислоты, втор-алкансульфонатами, -олефинсульфонатами, продуктами конденсации белка с жирными кислотами, N-ацилсаркозинатами, тауридами, метилтауридами, тионатами жирных кислот, N-ацилглутаматами, производными карбоновых кислот с простыми эфирными связями, алкиловыми эфирами фосфорных кислот, алкилбетаинами, алкиламидопропальбетаинами, сульфобетаинами, простыми эфирами алкилсульфонатов и глицерина, кокосамфокарбоксиглицинатами и производными сорбитана. После применения N-винилформамидных сополимеров в вышеназванных шампунях улучшается, в частности, расчесываемость влажных волос. К тому же волосам придается блеск, объем и структура, а также исключительная прочность. Таким образом, шампуни обладают моющим, кондиционерным и укрепляющим действием (шампуни “3 в 1”), причем для достижения эффекта достаточно наличия полимеров даже в малых исходных количествах.
Хорошие эффекты кондиционирования и укрепления обнаруживают сополимеры по изобретению также в средствах для лечения заболевания волос, в лосьонах, эмульсиях, ополаскивателях, а также в средствах для укладки волос, как, например, гели и пены, и в средствах для предварительной и последующей обработки при окраске волос и длительной завивке, причем они обеспечивают хороший уход за волосами благодаря исключительным свойствам.
Далее сополимеры могут использоваться также в качестве кондиционеров и загустителей в средствах для ухода за кожей, как, например, кремы, мази, эмульсии и лосьоны, а также для ухода за полостью рта в зубных пастах, гелях и полосканиях для рта.
Объектом изобретения являются, таким образом, также косметические средства, содержащие как минимум один полимеризат согласно вышеупомянутому определению вместе с косметическим носителем и при необходимости в комбинации с другими косметически активными веществами.
Полимеризаты согласно изобретению содержатся в косметических средствах обычно от примерно 0,01 до 15 мас.%, например, от 0,1 до 10 мас.%, считая на общую массу средства. Наряду с обычными косметическими носителями могут содержаться другие обычные добавки, как, например, поверхностно-активные средства, загустители, образующие средства, агенты растворения, удерживающие влагу средства, связующие средства, вспенивающие средства, полимеры, такие, как, например, силиконы, средства для секвестрирования, хелатообразующие средства, модификаторы вязкости, вызывающие помутнение средства, стабилизаторы, средства, придающие жемчужный блеск, красители, ароматические вещества, органические растворители, консерванты, средства для установления рН и при необходимости другие средства кондиционирования.
Изобретение более подробно объясняется на основании следующих нелимитирующих примеров.
Пример полученияПолучение сополимера из 90 мол.% N-винилформамида и 10 мол.% хлорида N-винил-N’-метилимидазолия (сополимер 1) Смесь 180 г N-винилформамида, 44,4 г 45%-ного водного раствора хлорида N-винил-N’-метилимидазолия и 775,6 г воды нагревали в атмосфере азота до 70oС в лабораторном приборе, снабженном обратным холодильником и якорной мешалкой. После добавления раствора 0,6 г 2,2′-азобис(2-амидинопропан)-дигидрохлорида в 10 мл воды перемешивали 8 часов при температуре 70oС. При этом путем прибавления аммиака во время полимеризации предотвращали падение значения рН ниже 7. После охлаждения реакционной смеси получали прозрачный бесцветный раствор полимера с содержанием твердого вещества 20,1%. Величина К полимера (измерение для 0,1%-ной концентрации в 5%-ном растворе поваренной соли) составляла 104. Определение величины К описывается в статье Н. Fikentscher “Систематика целлюлоз на основе их вязкости в растворе”, Cellulose-Chemie 13, (1932) 58-64 и 71-74. Пример применения Сополимер I no примеру получения сравнивали в отношении его действия как кондиционера для волос с известными сополимерами 2 и 3. Сополимер 2 (уровень техники) Стандартный сополимеризат из акриламида и хлорида диаллилдиметиламмония с молекулярной массой примерно 1000000 (Merquat S фирмы Мерк Кальгон). Сополимер 3 (уровень техники) Стандартная катионная гидроксиэтилцеллюлозa (Celquat И 100 фирмы National Starch & Chem. Inv. Hold. Corp.). Для испытания в качестве кондиционеров для шампуней для волос названные сополимеризаты 1 – 3 добавляли в указанных количествах к соответствующему стандарту исследуемому шампуню с 15,0 мас.% лаурилсульфата натрия с 2-3 этиленоксидными звеньями (савонад NSO фирмы Хенкель КГ). Используя определенным образом спутанные волосы, исследовали влияние полимеров на расчесываемость влажных волос. Для чего спутанные волосы мыли и прополаскивали содержащим полимеры исследуемым шампунем и затем измеряли усилия для расчесывания. В холостом опыте использовали спутанные волосы, которые обрабатывались исследуемым шампунем без добавки. Результаты приводятся в таблице. Уменьшение силового воздействия при расчесывании рассчитывается по следующей формуле: ![]() Таким образом, высокие значения уменьшения силового воздействия во время расчесывания следует оценить положительно. Формула изобретения
![]() где Х означает остаток неорганической кислоты или средства кватернизации; R7 – алкил, представляющий собой кондиционер для волос. 2. Средство для обработки волос, содержащее лаурилсульфат натрия или аммония в качестве основного поверхностно-активного вещества и кондиционер на основе водорастворимого сополимера, включающего амидные звенья, отличающееся тем, что в качестве кондиционера содержит водорастворимый сополимер по п.1 в количестве 0,1-10% от веса средства. РИСУНКИ
MM4A Досрочное прекращение действия патента Российской Федерации на изобретение из-за неуплаты в установленный срок пошлины за поддержание патента в силе
Дата прекращения действия патента: 30.09.2003
Извещение опубликовано: 7.04.2005 БИ: 12/2005
|
||||||||||||||||||||||||||

-замещенные поливиниламины, как, например, поли(






