Патент на изобретение №2186558
|
||||||||||||||||||||||||||
(54) КОСМЕТИЧЕСКИЕ КОМПОЗИЦИИ, СОДЕРЖАЩИЕ СОПОЛИМЕР ВИНИЛДИМЕТИКОНА И ДИМЕТИКОНА И КАТИОННЫЙ ПОЛИМЕР, И ИХ ПРИМЕНЕНИЕ
(57) Реферат: Изобретение относится к косметическим композициям для мытья и ухода за кератиновыми материалами, такими как волосы, кожа, ресницы, брови, ногти, губы, включающим в косметически приемлемой среде по крайней мере один сополимер диметикона с двойной связью и диметикона с вязкостью 106-100 106 сП и по крайней мере один катионный полимер, а также к способу обработки кератиновых материалов, таких как волосы. Технический результат: это сочетание придает такие косметические свойства кератиновым материалам, как способность к разглаживанию, легкость, мягкость, без явления повышения их жирности. 2 с. и 11 з.п. ф-лы.
Изобретение относится к новым косметическим композициям, включающим в косметически приемлемой среде по крайней мере один катионный полимер и по крайней мере один сополимер диметикона с двойной связью и диметикона. Хорошо известно, что волосы, которые сенсибилизированы (то есть повреждены и/или ослаблены) в различной степени под действием атмосферных факторов или под действием механических или химических обработок, таких как окраски, обесцвечивания и/или перманенты, часто трудно расчесывать или осуществлять их укладку, и они лишены мягкости. В композициях для мытья или ухода за кератиновыми материалами, такими как волосы, уже было рекомендовано использование компонентов с кондиционирующим действием, в частности катионных полимеров или силиконов, для облегчения расчесывания волос и для придания им мягкости и податливости. Однако вышеуказанные косметические преимущества, к сожалению, сопровождаются также, в случае сухих волос, некоторыми оцениваемыми как нежелательные косметическими эффектами, а именно утяжелением прически (отсутствие легкости волоса), отсутствием способности к разглаживанию (волос неоднороден от корня до кончика). Кроме того, использование катионных полимеров с этой целью имеет различные недостатки. В соответствии с их сильным сродством к волосам некоторые из этих полимеров осаждаются в значительной степени при частом использовании и приводят к нежелательным эффектам, таким как неприятная утяжеленность волос на ощупь, придание жесткости волосам и портящее прическу слипание волокон. Эти нежелательные последствия усиливаются в случае тонких волос, которые лишаются силы и объема. В итоге оказывается, что имеющиеся в настоящее время косметические композиции, содержащие катионные полимеры, не дают полностью удовлетворительных результатов. В настоящее время заявитель нашел, что сочетание описываемого ниже силиконового сополимера с вязкостью 106-100 106 сП с катионными полимерами позволяет устранить эти недостатки.
Таким образом, в результате значительных изысканий, проводимых по этой проблеме, в настоящее время заявителем найдено, что путем введения определяемого ниже силиконового сополимера с вязкостью 106-100 106 сП в композиции, в частности в композиции для ухода за волосами согласно уровню техники на основе катионных полимеров, можно ограничивать, даже ликвидировать, проблемы, обычно связанные с применением таких композиций, а именно, в частности, утяжеление волос (утяжеленность волос на ощупь при регулярном применении), отсутствие способности к разглаживанию и мягкости волос, при полном сохранении других полезных косметических свойств, которые присущи композициям на основе компонентов с кондиционирующим действием.
Кроме того, композиции согласно изобретению, наносимые на кожу, в частности, в форме пенного средства для принятия ванны или геля для душа, приводят к улучшению мягкости кожи.
Таким образом, согласно настоящему изобретению в настоящее время предлагаются новые косметические композиции, включающие в косметически приемлемой среде по крайней мере один определяемый ниже силиконовый сополимер с вязкостью 106-100 106 сП и по крайней мере один катионный полимер.
Другой предмет изобретения относится к применению определяемого ниже силиконового сополимера с вязкостью 106-100 106 сП в содержащей катионный полимер косметической композиции или для ее приготовления.
Ниже подробно описываются различные предметы изобретения. Все нижеприводимые используемые в настоящем изобретении значения и определения соединений пригодны для всех предметов изобретения.
Силиконовый сополимер получают в результате реакции присоединения в присутствии катализатора по крайней мере(а) одного полисилоксана формулы (I) ![]() в которой R1 означает группу, способную реагировать путем реакции присоединения цепи, такую как, например, атом водорода, алифатическая группа с 2-6 атомами углерода и с двойной связью, в частности винил, аллил или гексенил; группы R2 формулы (I) могут означать, в частности, алкил, алкенил, циклоалкил, арил, алкиларил или гидроксил, и могут включать, кроме того, функциональные группы, такие, как простые эфирные группы, аминогруппы; карбоксильные, гидроксильные, тиольные, сложноэфирные, сульфонатные, сульфатные группы; причем алкильные группы содержат, например, 1-20 атомов углерода; циклоалкильные группы содержат, например, 5 или 6 атомов углерода; арильными группами являются, в частности, фенильные группы; алкиларильные группы могут включать 7-20 атомов углерода; более предпочтительно R2 означает метил; n означает целое число, такое, что полисилоксан формулы (I) предпочтительно имеет кинематическую вязкость 1-1 106 мм2/с, причем n составляет, в частности, от 5 до 5000;(б) и по крайней мере одного силиконового соединения, содержащего по крайней мере одну и самое большее две группы, способные реагировать с группами R1 полисилоксана (а); причем по крайней мере одно из соединений типа (а) или (б) содержит алифатическую группу с 2-6 атомами углерода и с двойной связью. Соединения типа (б) представляют собой другой полисилоксан типа (а), в котором группы R1 полисилоксана (б) способны реагировать с группой R1 полисилоксана (а). Предпочтительно, силиконовые сополимеры получают, в частности, путем реакции присоединения в присутствии катализатора гидросилилирования (например, катализатора на основе платины) по крайней мере – (а) , -дивинилполидиметилсилоксана и– (б) , -дигидрополидиметилсилоксана.
Сополимер обычно имеет динамическую вязкость, измеряемую при температуре около 25oС и степени сдвига 0,01 Гц при усилии 1500 Па, в пределах 106-100 106 сП и предпочтительно 5 106-30 106 сП.
Все измерения динамической вязкости, приведенные в настоящей заявке, были проведены при температуре около 25oС при использовании вискозиметра Carri-Med, CSL2-500.
Кинематическую вязкость измеряют, например, при температуре 25oС согласно норме ASTM 445, приложение С.
Силиконовые сополимеры согласно изобретению являются в основном несшитыми.
Силиконовый сополимер, присутствующий в композиции согласно изобретению, может находиться в форме водной эмульсии.
Под водной эмульсией понимают эмульсию типа масло-в-воде, в которой силиконовый сополимер диспергирован в форме частиц или капелек в водной фазе, образующей непрерывную фазу эмульсии. Эта эмульсия может быть стабилизована с помощью обычной эмульгирующей системы. Эта силиконовая эмульсия может иметь размер капелек или частиц силикона от 10 нм до 50 мкм и предпочтительно от 0,3 мкм до 20 мкм. Размер частиц определяют путем лазерной гранулометрии. Эмульгирующая система включает поверхностно-активные вещества, обычно используемые в силиконовых эмульсиях. Эти поверхностно-активные вещества могут быть неионными, катионными, анионными или амфотерными или их смесями, такими как указываемые ниже.
Эмульгирующая система составляет 0,5-10 мас.% по отношению к общей массе эмульсии.
Получение этих силиконовых эмульсий описывается, в частности, в заявке на Европейский патент А-874017.
Такие эмульсии выпускаются, в частности, фирмой DOW CORNING под названием “катионная эмульсия DC2-1997”. Эта эмульсия содержит сополимер , -дивинилдиметикона и , -дигидродиметикона с динамической вязкостью примерно 15 106 сП, эмульгатор катионного типа, такой как цетилтриметил-аммонийхлорид, стабилизатор типа гидроксиэтилцеллюлозы и воду.
Силиконовый сополимер используют предпочтительно в количестве 0,05-10 мас. % по отношению к общей массе композиции. Более предпочтительно, это количество составляет 0,1-5 мас.% по отношению к общей массе композиции.
Используемые согласно настоящему изобретению катионные полимеры могут быть выбраны из всех катионных полимеров, уже известных в качестве улучшающих косметические свойства волос, обработанных детергентными композициями, а именно, в частности, композициями, описанными в заявке на Европейский патент А-0337354 и в заявках на патенты Франции А-2270846, 2383660, 2598611, 2470596 и 2519863.
В еще более общем виде, в смысле настоящего изобретения, выражение “катионный полимер” означает любой полимер, содержащий катионные группы и/или группы, ионизирующиеся до катионных групп.
Предпочтительные катионные полимеры выбирают из полимеров, которые содержат звенья, включающие первичные, вторичные, третичные и/или четвертичные аминогруппы, которые либо могут составлять часть основной полимерной цепи, либо могут находиться в боковом заместителе, непосредственно связанным с основной полимерной цепью.
Используемые катионные полимеры обычно имеют среднечисловую молекулярную массу около 500-5 106 и предпочтительно около 103-3 106.
Из катионных полимеров особенно можно назвать полимеры полиаминного, полиаминоамидного или четвертичного полиаммониевого типа. Они представляют собой известные продукты.
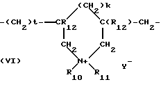
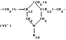
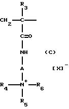
Полимеры полиаминного, полиаминоамидного или четвертичного полиаммониевого типа, используемые согласно настоящему изобретению, которые могут быть, в частности, указаны, представляют собой полимеры, описанные в патентах Франции 2505348 или 2542997. Из этих полимеров можно назвать(1) гомополимеры или сополимеры, происходящие от эфиров или амидов акриловой или метакриловой кислоты и включающие по крайней мере одно из звеньев следующих формул ![]() ![]() ![]() ![]() в которых R3, одинаковые или разные, означают атом водорода или радикал СН3; А, одинаковые или разные, означают линейную или разветвленную алкильную группу с 1-6 атомами углерода, предпочтительно с 2 или 3 атомами углерода, или гидроксиалкильную группу с 1-4 атомами углерода; R4, R5, R6 одинаковые или разные, означают алкильную группу с 1-18 атомами углерода или бензильный радикал и предпочтительно означают алкильную группу с 1-6 атомами углерода; R1 и R2, одинаковые или разные, означают атом водорода или алкильную группу с 1-6 атомами углерода и предпочтительно метил или этил; Х означает анион, происходящий от неорганической или органической кислоты, такой как метосульфат- или галоген-анион, такой как хлор- или бром-анион. Сополимеры формулы (I) могут содержать, кроме того, одно или несколько звеньев, происходящих от сомономеров, которые могут быть выбраны из группы, состоящей из акриламидов, метакриламидов, акриламиддиацетонов; акриламидов и метакриламидов, замещенных по атому азота низшими алкильными группами с 1-4 атомами углерода; акриловых или метакриловых кислот или их эфиров; виниллактамов, таких как винилпирролидон или винилкапролактам; сложных виниловых эфиров. Так, из этих сополимеров группы (1) можно назвать: – сополимеры акриламида и диметиламиноэтилметакрилата, кватернизованного диметилсульфатом или диметилгалогенидом, такие как сополимер, выпускаемый фирмой HERCULES под названием HERCOFLOC; – сополимеры акриламида и метакрилоилоксиэтилтриметиламмонийхлорида, описанные, например, в заявке на Европейский патент А-080976 и выпускаемые фирмой CIBA GEIGY под названием BINA QUAT Р 100; – сополимер акриламида и метакрилоилоксиэтилтриметиламмонийметосульфата, выпускаемый фирмой HERCULES под названием RETEN; – сополимеры винилпирролидона и диалкиламиноалкилакрилата или -метакрилата, кватернизованные или нет, такие как продукты, выпускаемые фирмой ISP под названием “GAFQUAT”, как, например, “GAFQUAT 734” или “GAFQUAT 755”, или продукты, называемые “COPOLYMER 845, 958 и 937”, причем эти полимеры подробно описаны в патентах Франции 2077143 и 2393573; – тройные сополимеры диметиламиноэтилметакрилата, винилкапролактама и винилпирролидона, такие как продукт, выпускаемый фирмой ISP под названием GAFFIX VC713; – сополимеры винилпирролидона и метакриламидопропилдиметиламина, выпускаемые, в частности, фирмой ISP под названием STYLESE СС 10; – и сополимеры винилпирролидона и кватернизованного диметиламинопропилметакриламида, такие как продукт, выпускаемый фирмой ISP под названием “GAFQUAT HS 100”; (2) производные простых эфиров целлюлозы с четвертичными аммониевыми группами, описанные в патенте Франции 1492597, и, в частности, полимеры, выпускаемые фирмой Union Carbide Corporation под названиями “JR” (JR 400, JR 125, JR 30М) или “LR” (LR 400, LR 30М). Эти полимеры также определены в словаре Ассоциации по парфюмерно-косметическим товарам и душистым веществам как четвертичные аммониевые производные гидроксиэтилцеллюлозы, прореагировавшие с замещенным триметиламмониевой группой эпоксидом; (3) катионные производные целлюлозы, такие как привитые сополимеры целлюлозы или производных целлюлозы, к которым привит водорастворимый четвертичный аммониевый мономер, описанные в патенте США 4131576, такие как гидроксиалкилцеллюлозы, как гидроксиметил-, гидроксиэтил-или гидроксипропилцеллюлозы, к которым привита, в частности, соль метакрилоилэтилтриметиламмония, метакриламидопропил-триметиламмония и диметилдиаллиламмония. Имеющимися в продаже продуктами, отвечающими этому определению, в особенности являются продукты, выпускаемые фирмой National Starch под названием “Celquat L200” и “Celquat H100”; (4) катионные полисахариды, описанные, в частности, в патентах США 3589578 и 4031307, такие как гуаровые смолы, содержащие катионные триалкиламмониевые группы. Используют, например, гуаровые смолы, модифицированные солью 2,3-эпоксипропилтриметиламмония, например, 2,3-эпоксипропилтриметиламмонийхлоридом. Такие продукты выпускаются, в частности, фирмой MEYHALL под торговыми названиями JAGUAR С 13S, JAGUAR С 15, JAGUAR С 17 или JAGUAR С 162; (5) полимеры, образованные пиперазинильными звеньями и алкиленовыми или гидроксиалкиленовыми двухвалентными радикалами с линейными или разветвленными цепями, возможно прерываемые атомами кислорода, серы, азота или ароматическими циклами или гетероциклами, а также продукты окисления и/или кватернизации этих полимеров. Такие полимеры, в частности, описаны в патентах Франции 2162025 и 2280361; (6) водорастворимые полиаминоамиды, получаемые, в частности, путем реакции поликонденсации соединения кислотного характера с полиамином; эти полиаминоамиды могут быть сшиты с помощью эпигалогенгидрина, диэпоксида, диангидрида, ненасыщенного диангидрида, бисненасыщенного производного, бисгалогенгидрина, бисазетидиния, бисгалогенацилдиамина, алкилдигалогенида, или с помощью олигомера, получающегося в результате реакции дифункционального соединения, реакционноспособного по отношению к бисгалогенгидрину, бисазетидинию, бисгалогенацилдиамину, алкилдигалогениду, эпигалогенгидрину, диэпоксиду или бисненасыщенному производному, причем сшивающий агент используют в количествах 0,025-0,35 моль на аминогруппу полиаминоамида; эти полиаминоамиды могут быть алкилированы или они содержат одну или несколько кватернизованных третичных аминогрупп. Такие полимеры описаны, в частности, в патентах Франции 2252840 и 2368508; (7) производные полиаминоамидов, получающиеся в результате реакции конденсации полиалкиленполиаминов с поликарбоновыми кислотами с последующим алкилированием с помощью бифункциональных агентов. Можно назвать, например, сополимеры адипиновой кислоты и диалкиламиногидроксиалкилдиалкилентриамина, в которых алкильный радикал содержит 1-4 атома углерода и предпочтительно означает метил, этил, пропил. Такие полимеры описаны, в частности, в патенте Франции 1583363. Из этих производных в особенности можно назвать сополимеры адипиновой кислоты и диметиламиногидроксипропилдиэтилентриамина, выпускаемые фирмой Sandoz под названием “Cartaretine F, F4 или F8”; (8) полимеры, получаемые путем взаимодействия полиалкиленполиамина, содержащего две первичные аминогруппы и по крайней мере одну вторичную аминогруппу, с дикарбоновой кислотой, выбираемой среди дигликолевой кислоты и насыщенных алифатических дикарбоновых кислот с 3-8 атомами углерода, причем молярное соотношение между полиалкиленполиамином и дикарбоновой кислотой составляет от 0,8: 1 до 1,4:1 и причем получаемый в результате полиаминоамид вводят во взаимодействие с эпихлоргидрином в молярном соотношении эпихлоргидрина ко вторичной аминогруппе полиаминоамида, составляющем от 0,5:1 до 1,8: 1. Такие полимеры описаны, в частности, в патентах США 3227615 и 2961347. Полимеры этого типа выпускаются, в частности, фирмой Hercules Inc. под названием “Hercosett 57” или же фирмой Hercules под названием “PD 170” или “Delsette 101” в случае сополимера адипиновой кислоты и эпоксипропилдиэтилентриамина; (9) циклополимеры алкилдиаллиламина или диалкилдиаллиламмония, такие как гомополимеры или сополимеры, включающие в качестве основной составляющей цепи звенья, отвечающие формулам (VI) или (VI’) ![]() ![]() в которых k и t равны 0 или 1, причем сумма (k+1) равна 1; R12 – означает атом водорода или метил; R10 и R11, независимо друг от друга, означают алкил с 1-22 атомами углерода; гидроксиалкил, в котором алкильная группа предпочтительно содержит 1-5 атомов углерода; амидоалкил, в котором алкил представляет собой низший алкил с 1-4 атомами углерода; или R10 и R11 вместе с атомом азота, с которым они связаны, могут означать гетероциклические группы, такие как пиперидинил или морфолинил; Y– означает анион, такой как бром-, хлор-, ацетат-, борат-, цитрат-, тартрат-, бисульфат-, бисульфит-, сульфат-, фосфат-анион. Эти полимеры описаны, в частности, в патенте Франции 2080759 и дополнительном свидетельстве к нему 2190406. R10 и R11, независимо друг от друга, предпочтительно означают алкил с 1-4 атомами углерода. Из вышеуказанных полимеров в особенности можно назвать гомополимер диметилдиаллиламмонийхлорида, выпускаемый фирмой CALGON под названием “MERQUAT 100”, и сополимеры диаллилдиметиламмонийхлорида и акриламида, выпускаемые под названием “MERQUAT 550”; (10) четвертичный диаммониевый полимер, включающий повторяющиеся звенья, которые отвечают формуле (VII) ![]() в которой R13, R14, R15 и R16, одинаковые или разные, означают алифатические, алициклические или арилалифатические радикалы с 1-20 атомами углерода или низшие гидроксиалкилалифатические радикалы; или R13, R14, R15 и R16, вместе или по отдельности, вместе с атомами азота, с которыми они связаны, образуют гетероциклы, возможно содержащие второй гетероатом, отличный от азота; или R13, R14, R15 и R16 означают линейный или разветвленный алкильный радикал с 1-6 атомами углерода, замещенный нитрильной, сложноэфирной, ацильной, амидной группой или группой -CO-O-R17-D или -CO-NH-R17-D, где R17 означает алкилен и D означает четвертичную аммониевую группу; A1 и B1 означают полиметиленовые группы с 2-20 атомами углерода, которые могут быть линейными или разветвленными, насыщенными или ненасыщенными, и могут содержать, связанные с основной цепью или включенные в нее, один или несколько ароматических циклов, или один или несколько атомов кислорода, серы, или сульфоксидные, сульфоновые, дисульфидные группы, аминогруппы, алкиламиногруппы, гидроксильные группы, четвертичные аммониевые группы, уреидогруппы, амидогруппы или сложноэфирные группы; и X– означает анион, происходящий от неорганической или органической кислоты; A1, R13 и R15 с двумя атомами азота, с которыми они связаны, могут образовывать пиперазиновый цикл; кроме того, если А1 означает линейный или разветвленный, насыщенный или ненасыщенный алкиленовый или гидроксиалкиленовый радикал, В1 также может означать группу (СН2)n-CO-D-OC-(СН2)n-, в которой D означает: а) остаток гликоля формулы -O-Z-O-, где Z означает линейный или разветвленный углеводородный радикал или группу, отвечающую одной из следующих формул: -(СН2-СН2-O)x-СН2-СН2– -[СН2-СН(СН3)-O]y-СН2-СН(СН3)-, где х и у означают целое число от 1 до 4, представляющее собой определенную и общую степень полимеризации, или любое число от 1 до 4, означающее среднюю степень полимеризации; б) остаток диамина с двумя вторичными аминогруппами, такого как производное пиперазина; в) остаток диамина с двумя первичными аминогруппами формулы -NH-Y-NH-, где Y означает линейный или разветвленный углеводородный радикал или двухвалентный радикал: -CH2-CH2-S-S-CH2-CH2-; г) уреиленовую группу формулы -NH-CO-NH-; X– предпочтительно означает такой анион, как хлор- или бром-анион. Эти полимеры обычно имеют среднечисловую молекулярную массу 1000-100000. Полимеры этого типа, в частности, описаны в патентах Франции 2320330, 2270846, 2316271, 2336434 и 2413907 и в патентах США 2273780, 2375853, 2388614, 2454547, 3206462, 2261002, 2271378, 3874870, 4001432, 3929990, 3966904, 4005193, 3025617, 4025627, 4025653, 4026945 и 4027020. Можно использовать в особенности полимеры, которые образованы повторяющимися звеньями, отвечающими формуле (а) ![]() в которой R1, R2, R3 и R4, одинаковые или разные, означают алкильный или гидроксиалкильный радикал примерно с 1-4 атомами углерода; n и р означают целые числа примерно от 2 до 20; и Х– – означает анион, происходящий от неорганической или органической кислоты. Особенно предпочтительным соединением формулы (а) является соединение, в котором R1, R2, R3 и R4 означают метильный радикал и n означает 3, р означает 6 и Х означает хлор, называемое по номенклатуре INCI (Ассоциации по парфюмерно-косметическим товарам и душистым веществам) гексадиметринхлорид; (11) четвертичные полиаммониевые полимеры, образованные звеньями формулы (VIII) ![]() в которой R18, R19, R20 и R21, одинаковые или разные, означают атом водорода или метил, этил, пропил, -гидроксиэтил, -гидроксипропил или -СН2СН2(ОСН2СН2)pОН,где р равно 0 или означает целое число от 1 до 6, при условии, что R18, R19, R20 и R21 одновременно не означают атом водорода; r и s, одинаковые или разные, означают целые числа от 1 до 6; q равно 0 или означает целое число от 1 до 34; X– означает анион, такой как галоген-анион; А означает радикал дигалогенида или представляет собой предпочтительно группу -СН2-СН2-O-СН2-СН2-. Такие соединения, в частности, описаны в заявке на Европейский патент А-122324. Из них можно назвать, например, продукты, выпускаемые фирмой Miranol под названиями ![]() (12) четвертичные полимеры винилпирролидона и винилимидазола, такие как, например, продукты, выпускаемые фирмой B.A.S.F. под названиями Luviquat FC 905, FC 550 и FC 370;(13) полиамины, такие как Polyquart H, выпускаемый фирмой HENKEL, стандартизованный под названием “POLYET-HYLENEGLYCOL (15) TALLOW POLYAMINE” в словаре Ассоциации по парфюмерно-косметическим товарам и душистым веществам;(14) сшитые полимеры солей (мет) акрилоилокси-(С1-С4) -алкилтри-[(С1-С4)алкил] аммония, такие как полимеры, получаемые путем гомополимеризации диметиламиноэтилметакрилата, кватернизованного метилхлоридом, или путем сополимеризации, в частности, акриламида с диметиламиноэтилметакрилатом, кватернизованным метилгалогенидом (метилхлоридом), причем после гомо- или сополимеризации следует сшивка с помощью соединения с двойной связью, в частности, метиленбисакриламида. В особенности можно использовать сшитый сополимер акриламида и метакрилоилоксиэтилтриметиламмонийхлорида (в соотношении 20:80 по массе) в виде дисперсии, содержащей 50 мас.% вышеуказанного сополимера в минеральном масле. Эту дисперсию выпускает фирма ALLIED COLLOIDS под названием “SALCARE SC 92″. Можно также использовать сшитый гомополимер метакрилоилоксиэтилтриметиламмонийхлорида, содержащий около 50 мас.% гомополимера в минеральном масле или в жидком сложном эфире. Эти дисперсии выпускаются фирмой ALLIED COLLOIDS под названиями “SALCARE SC 95″ и “SALCARE SC 96″/Другими катионными полимерами, используемыми в рамках изобретения, являются катионные протеины или гидролизаты катионных протеинов; полиалкиленимины, в частности, полиэтиленимины; полимеры, содержащие винилпиридиновые или винилпиридиниевые звенья; конденсаты полиаминов и эпихлоргидрина; четвертичные полиуреилены и производные хитина. Из всех катионных полимеров, которые могут быть использованы в рамках настоящего изобретения, предпочтительно используют четвертичные производные простых эфиров целлюлозы, такие как продукты, выпускаемые фирмой UNION CARBIDE CORPORATION под названием “JR 400”; катионные циклополимеры, в частности, гомополимеры или сополимеры диметилдиаллиламмонийхлорида, выпускаемые фирмой CALGON под названиями “MERQUAT 100”, “MERQUAT 550” и “MERQUAT S”; четвертичные полимеры винилпирролидона и винилимидазола; сшитые гомополимеры или сополимеры солей метакрилоилокси-(C1-C4)-алкилтри-[(C1-C4)алкил]аммония и их смеси. Согласно изобретению катионный полимер или катионные полимеры могут составлять 0,001-20 мас. %, предпочтительно 0,01-10 мас.% и более предпочтительно 0,1-3 мас.%, по отношению к общей массе конечной композиции. Композиции согласно изобретению, кроме того, могут содержать по крайней мере одно поверхностно-активное вещество, которое обычно находится в количестве, составляющем около 0,1-60 мас.%, предпочтительно 3-40 мас.% и еще более предпочтительно 5-30 мас.%, по отношению к общей массе композиции. Это поверхностно-активное вещество может быть выбрано среди анионных, катионных, амфотерных, неионных поверхностно-активных веществ или их смесей. Пригодными для использования согласно настоящему изобретению поверхностно-активными веществами, в частности, являются следующие: (i) Анионное поверхностно-активное вещество (анионные поверхностно-активные вещества). В рамках настоящего изобретения их природа не носит в действительности критического характера. Так, в качестве примера анионных поверхностно-активных веществ, используемых индивидуально или в виде смесей в рамках настоящего изобретения, можно назвать (перечень не является исчерпывающим), в частности, соли (в особенности соли щелочных металлов, в частности натрия, соли аммония, соли аминов, соли аминоспиртов или соли магния) следующих соединений; алкилсульфаты, алкилоксисульфаты, алкиламидооксисульфаты, алкиларилполиоксисульфаты, моноглицеридсульфаты; алкилсульфонаты, алкилфосфаты, алкиламидосульфонаты, алкиларилсульфонаты, сульфонаты -олефинов, сульфонаты парафинов; алкилсульфосукцинаты, алкилоксисульфосукцинаты, алкиламидосульфосукцинаты; алкилсульфосукцинаматы; алкилсульфоацетаты; алкилоксифосфаты; ацилсаркозинаты; ацилизетионаты и N-ацилтаураты; причем алкильный или ацильный радикал всех этих различных соединений содержит предпочтительно 8-24 атома углерода, а арильный радикал предпочтительно означает фенильную или бензильную группу. Из используемых анионных поверхностно-активных веществ можно также назвать соли жирных кислот, такие как соли олеиновой, рицинолевой, пальмитиновой, стеариновой кислот, кислот кокосового масла или гидрированного кокосового масла; ациллактилаты, ацильный радикал которых содержит 8-20 атомов углерода. Можно также использовать поверхностно-активные вещества со слабоанионным характером, такие как алкил-D-галактозидуроновые кислоты и их соли, а также полиоксиалкиленированные (C6-C24) -алкилоксикарбоновые кислоты, полиоксиалкиленированные (С6-С24)-алкиларилоксикарбоновые кислоты, полиоксиалкиленированные (C6-C24) -алкиламидооксикарбоновые кислоты и их соли, в частности кислоты, включающие 2-50 этиленоксидных групп, и их смеси.
Из анионных поверхностно-активных веществ согласно изобретению предпочтительно используют алкилсульфатные и алкилоксисульфатные соли и их смеси.
(ii) Неионное поверхностно-активное вещество (неионные поверхностно-активные вещества).
Неионные поверхностно-активные вещества также представляют собой хорошо известные соединения (см. , в частности, в этом отношении M.R.Porter “Handbook of Surfactants”, изд. Blackie and Son (Глазго и Лондон), 1991 г., с. 116-178) и их природа в рамках настоящего изобретения не носит критического характера. Так, они могут быть выбраны (перечень не является исчерпывающим), в частности, среди спиртов, -диолов, алкилфенолов или полиэтоксилированных, полипропоксилированных или полиглицеринированных жирных кислот с жирной цепью, включающей, например, 8-18 атомов углерода, причем число этиленоксидных или пропиленоксидных групп может составлять, в частности, 2-50 и число глицериновых групп может составлять, в частности, 2-30. Можно также назвать сополимеры этиленоксида и пропиленоксида, конденсаты этиленоксида и пропиленоксида с жирными спиртами; полиэтоксилированные жирные амиды предпочтительно с 2-30 моль этиленоксида; полиглицеринированные жирные амиды, содержащие в среднем 1-5 глицериновых групп и в особенности 1,5-4 глицериновые группы; полиэтоксилированные жирные амины, содержащие предпочтительно 2-30 моль этиленоксида; оксиэтилинированные эфиры жирных кислот и сорбитана, содержащие 2-30 моль этиленоксида; эфиры жирных кислот и сахарозы; эфиры жирных кислот и полиэтиленгликоля; алкилполигликозиды; производные N-алкилглюкамина; аминоксиды, такие как (С10-С14)-алкиламиноксиды или N-ациламинопропилморфолиноксиды. Следует заметить, что алкилполигликозиды представляют собой неионные поверхностно-активные вещества, особенно предпочтительные в рамках настоящего изобретения.
(iii) Амфотерное поверхностно-активное вещество (амфотерные поверхностно-активные вещества).
Амфотерные поверхностно-активные вещества, природа которых не носит критического характера в рамках настоящего изобретения, могут представлять собой (перечень не является исчерпывающим), в частности производные вторичных или третичных алифатических аминов, в которых алифатическим радикалом является линейная или разветвленная цепь, включающая 8-22 атомов углерода и содержащая по крайней мере одну анионную водорастворимую группу (например, карбоксилатную, сульфонатную, сульфатную, фосфатную или фосфонатную); можно назвать еще (С2-С20)-алкилбетаины, сульфобетаины, (С8-С20) -алкиламидо- (C1-C6)-алкилбетаины или (С8-С20)-алкиламидо-(С1-С6)-алкилсульфобетаины. Из производных аминов можно назвать продукты, выпускаемые под названием MIRANOL, такие как описанные в патентах США 2528378 и 2781354 и отвечающие структурамR2-CONHCH2CH2-N(R3(R4) (CH2COO-) (2), в которой R2 означает алкильный радикал, происходящий от кислоты R2-COOH, присутствующей в гидролизованном кокосовом масле; гептил, нонил или ундецил; R3 означает -гидроксиэтильную группу; иR4 означает карбоксиметильную группу; и R5-CONHCH2CH2-N(B)(С) (3), в которой В означает группу -СН2СН2ОХ’; С означает -(СН2)z-Y’, где z означает 1 или 2; X’ означает группу -СН2СН2-СООН или атом водорода; Y’ означает группу -СООН или радикал -СН2-СНОН-SО3Н; R5 означает алкильный радикал кислоты R9-COOH, присутствующей в кокосовом масле или в гидролизованном льняном масле; алкильный радикал, в частности, с 7, 9, 11 или 13 атомами углерода; алкильный радикал с 17 атомами углерода и его изоформу; ненасыщенный радикал с 17 атомами углерода. Эти соединения классифицированы в словаре Ассоциации по парфюмерно-косметическим товарам и душистым веществам, пятое издание, 1993 г., под названиями динатрийамфодиацетатное производное жирных кислот кокосового масла, динатрийлауроамфодиацетат, динатрийкаприламфодиацетат, динатрийкаприлоамфодиацетат, динатрийамфодипропионатное производное жирных кислот кокосового масла, динатрийлауроамфодипропионат, динатрийкаприламфодипропионат, динатрийкаприлоамфодипропионат, лауроамфодипропионовая кислота, амфодипропионовая кислота кокосового масла. В качестве примера можно назвать амфодиацетатное производное жирных кислот кокосового масла, выпускаемое фирмой RHONE POULENC под торговым названием “концентрированный MIRANOL C2M”. В композициях согласно изобретению предпочтительно используют смеси поверхностно-активных веществ и, в частности, смеси анионных поверхностно-активных веществ и смеси анионных поверхностно-активных веществ с амфотерными или неионными поверхностно-активными веществами. Особенно предпочтительной смесью является смесь, образованная по крайней мере одним анионным поверхностно-активным веществом и по крайней мере одним амфотерным поверхностно-активным веществом. Предпочтительно используют анионное поверхностно-активное вещество, выбираемое из группы, состоящей из (C12-C14)-алкилсульфатов натрия, триэтаноламина или аммония; (C12-C14)-алкилоксисульфатов натрия, триэтаноламина или аммония, оксиэтилинированных с помощью 2,2 моль этиленоксида; натрийизетионатного производного жирных кислот кокосового масла и -(C14-C16)-олефинсульфоната натрия и их смеси:либо с амфотерным поверхностно-активным веществом, таким как производные амина, называемые как динатрийамфодипропионатное производное жирных кислот кокосового масла и натрийамфопропионатное производное жирных кислот кокосового масла, выпускаемые, в частности, фирмой RHONE POULENC под торговым названием “MIRANOL C2M CONC” в виде водного раствора с 38% активного вещества или под названием MIRANOL С32; либо с амфотерным поверхностно-активным веществом цвиттерионного типа, таким как алкилбетаины, в частности бетаин на основе жирных кислот кокосового масла, выпускаемый фирмой HENKEL под названием “DEHYTON АВ 30” в виде водного раствора с 32% активного вещества. Еще более предпочтительно композиции согласно изобретению могут содержать, кроме того, по крайней мере одно катионное поверхностно-активное вещество. Катионные поверхностно-активные вещества могут быть выбраны из группы, состоящей из А) четвертичных аммониевых солей следующей общей формулы (IV) ![]() в которой X– означает анион, выбираемый из группы, состоящей из галоген-анионов (хлор-, бром- или йод-анионы) или (C2-C6) -алкилсульфат-анионов, в особенности метилсульфат-анионов, фосфат-анионов, алкилсульфонат- или алкиларилсульфонат-анионов, анионов, происходящих от органической кислоты, таких как ацетат- и лактат-анионы; и i) радикалы R1-R3, которые могут быть одинаковыми или разными, означают линейный или разветвленный алифатический радикал с 1-4 атомами углерода или ароматический радикал, такой как арил или алкиларил, причем алифатические радикалы могут включать гетероатомы, такие как, в частности, кислород, азот, сера, галогены; алифатические радикалы могут быть выбраны, например, среди алкильных, алкоксильных, алкиламидных радикалов; R4 означает линейный или разветвленный алкил с 16-30 атомами углерода. Предпочтительно катионным поверхностно-активным веществом является соль бегенилтриметиламмония, например, бегенилтриметиламмонийхлорид; ii) радикалы R1 и R2, которые могут быть одинаковыми или разными, означают линейный или разветвленный алифатический радикал с 1-4 атомами углерода или ароматический радикал, такой как арил или алкиларил; причем алифатические радикалы могут включать гетероатомы, такие как, в частности, кислород, азот, сера, галогены; алифатические радикалы могут быть выбраны, например, среди алкильных, алкоксильных, алкиламидных и гидроксиалкильных радикалов примерно с 1-4 атомами углерода; R3 и R4, одинаковые или разные, означают линейный или разветвленный алкил с 12-30 атомами углерода, причем вышеуказанный радикал содержит по крайней мере одну сложноэфирную или амидную функциональную группу; R3 и R4 выбирают, в частности, из (С12-С22) -алкиламидо- (С2-С22) -алкильных и (C12-C22) -алкилацетатных радикалов. Предпочтительно катионным поверхностно-активным веществом является соль (например, хлорид) стеарамидопропилдиметил(миристилацетат)аммония. Б) четвертичных аммониевых солей имидазолиния, как например соль следующей формулы (V) ![]() в которой R5 означает алкенил или алкил с 8-30 атомами углерода, например, происходящие от жирных кислот сала; R6 означает атом водорода, (C1-C4)-алкил или алкенил или алкил с 8-30 атомами углерода; R7 означает (C1-C4)-алкил; R8 означает атом водорода, (C1-C4)-алкил; Х означает анион, выбираемый из группы, состоящей из галоген-, фосфат-, ацетат-, лактат-, алкилсульфат-, алкилсульфонат- или алкиларилсульфонат-анионов. Предпочтительно R5 и R6 означают смесь алкенильных или алкильных радикалов с 12-21 атомами углерода, например, происходящими от жирных кислот сала; R7 означает метил, R8 означает атом водорода. Таким продуктом является, например, Quaternium-27 (словарь Ассоциации по парфюмерно-косметическим товарам и душистым веществам, 1997 г.) или Quaternium-83 (словарь Ассоциации по парфюмерно-косметическим товарам и душистым веществам, 1997 г.), выпускаемые фирмой WITCO под названиями “REWOQUAT” W75, W90, W75PG, W75HPG. В) четвертичных диаммониевых солей формулы (VI) ![]() в которой R9 означает алифатический радикал примерно с 16-30 атомами углерода; R10, R11, R12, R13 и R14, одинаковые или разные, выбирают среди атома водорода или алкильного радикала с 1-4 атомами углерода; и Х означает анион, выбираемый из группы, состоящей из галоген-, ацетат-, фосфат-, нитрат- и метилсульфат-анионов. Такие четвертичные диаммониевые соли включают, в частности, пропандиаммонийдихлоридное производное жирных кислот сала. Г) четвертичных аммониевых солей, содержащих по крайней мере одну функциональную сложноэфирную группу следующей формулы (VII) ![]() в которой R15 выбирают среди (C1-C6)-алкильных радикалов и гидрокси- или дигидрокси-(C1-С6)-алкильных радикалов; R16 выбирают среди радикала R19-CO-; линейных или разветвленных, насыщенных или ненасыщенных углеводородных радикалов R20 с 1-22 атомами углерода; атома водорода; R18 выбирают среди радикала R21-CO-; линейных или разветвленных, насыщенных или ненасыщенных углеводородных радикалов R22 с 1-6 атомами углерода; атома водорода; R17, R19 и R21, одинаковые или разные, выбирают среди линейных или разветвленных, насыщенных или ненасыщеных углеводородных радикалов с 7-21 атомами углерода; n, р и r, одинаковые или разные, означают целые числа от 2 до 6; у означает целое число от 1 до 10; х и z, одинаковые или разные, означают целые числа от 0 до 10; X– означает простой или сложный, органический или неорганический анион; при условии, что сумма (х+у+z) составляет 1-15; когда х означает 0, тогда R16 означает R20, и, когда z означает 0, тогда R18 означает R22. В особенности используют соли аммония формулы (VII), в которой R15 означает метил или этил; х и у равны 1; z равно 0 или 1; n, p и r равны 2; R16 выбирают среди радикала R19-CO-; метила, этила или углеводородных радикалов с 14-22 атомами углерода; атома водорода; R17, R19 и R21, одинаковые или разные, выбирают среди линейных или разветвленных, насыщенных или ненасыщенных углеводородных радикалов с 7-21 атомами углерода; R18 выбирают среди радикала R21-CO-; атома водорода. Такие соединения выпускаются, например, фирмой HENKEL под названием DEHYQUART, фирмой STEPAN под названием STEPANQUAT, фирмой СЕСА под названием NOXAMIUM, фирмой REWO-WITCO под названием REWOQUAT WE 18. Из четвертичных аммониевых солей предпочтительны бегенилтриметиламмонийхлорид, или стеарамидопропилдиметил(миристилацетат)аммонийхлорид, выпускаемый фирмой VAN DYK под названием “CERAPHYL 70”, и выпускаемые фирмой WITCO под названиями QUATERNIUM-27 или QUATERNIUM-83. Катионное поверхностно-активное вещество обычно находится в концентрациях 0,1-10 мас. %, предпочтительно 0,5-7 мас.% и более предпочтительно 1-5 мас.%, по отношению к общей массе композиции. Композиция согласно изобретению также может содержать по крайней мере одну добавку, выбираемую среди загустителей, отдушек, перламутровых добавок, консервантов, силиконовых или нет солнцезащитных фильтров, витаминов, провитаминов; амфотерных, анионных или неионных полимеров; белков, белковых гидролизатов, 18-метилэйкозановой кислоты, гидроксикислот, пантенола; летучих или нелетучих, циклических или линейных или сшитых, модифицированных или нет, силиконов; керамидов, псевдокерамидов, растительных, животных, минеральных или синтетических масел, и любой другой добавки, обычно используемой в области косметики, которая не ухудшает свойств композиций согласно изобретению. Эти добавки находятся в композиции согласно изобретению в количествах, которые могут составлять 0-20 мас.% по отношению к общей массе композиции. Точное количество каждой добавки в соответствии с ее природой и функцией легко определяется специалистом. Композиции согласно изобретению в частности могут быть использованы для мытья или ухода за кератиновыми материалами, такими как волосы, кожа, ресницы, брови, ногти, губы, волосяной покров и в особенности волосы. Композиции согласно изобретению могут представлять смываемые или несмываемые средства для нанесения после мытья шампунем. Композиции согласно изобретению также могут представлять собой детергентные композиции, такие как шампуни, гели для душа, пенные средства для ванн или средства для удаления макияжа. В этом варианте осуществления изобретения композиции включают моющую, обычно водную, основу. Поверхностно-активное вещество или поверхностно-активные вещества, составляющие моющую основу, могут быть независимо друг от друга выбраны, индивидуально или в виде смесей, из анионных, амфотерных или неионных поверхностно-активных веществ, таких как указанные выше. Количество и качество моющей основы являются такими, которые достаточны для придания конечной композиции удовлетворительной пенообразующей и/или моющей способности. Так, согласно изобретению моющая основа может составлять 4-50 мас.%, предпочтительно 6-35 мас.% и еще более предпочтительно 8-25 мас.%, по отношению к общей массе конечной композиции. Предметом изобретения является также способ обработки кератиновых материалов, таких как кожа или волосы, отличающийся тем, что он состоит в нанесении на кератиновые материалы косметической композиции, такой как указанная выше, затем в осуществлении в случае необходимости ополаскивания водой. Таким образом, этот способ согласно изобретению позволяет сохранять прическу, осуществлять обработку, уход или мытье или удаление макияжа в случае кожи, волос или любого другого кератинового материала. Композиции согласно изобретению также могут находиться в форме композиций для перманента, распрямления, окраски или обесцвечивания волос, или в форме смываемых композиций, нанесения до или после окраски, обесцвечивания, перманента или распрямления волос или между двумя этапами перманента или распрямления волос. Композиции согласно изобретению также могут находиться в форме водных или водно-спиртовых лосьонов для ухода за кожей и/или волосами. Косметические композиции согласно изобретению могут находиться в форме геля, молочка, крема, эмульсии, густого лосьона или мусса и могут быть использованы для кожи, ногтей, ресниц, губ и в особенности волос. Композиции могут быть упакованы в различных формах, в частности в пульверизаторах, флаконах с дозатором или в аэрозольных баллонах, чтобы обеспечить нанесение композиции в распыленной форме или в виде пены. Такие формы упаковки показаны, например, когда желают получить спрей, лак или мусс для ухода за волосами. В нижеследующем или в вышеприведенном тексте проценты означают массовые проценты. Изобретение ниже более полно поясняется с помощью следующих примеров, которые не должны рассматриваться как ограничение описанными вариантами осуществления изобретения. В примерах АВ означает активное вещество. Пример 1 Получают ополаскиватель для волос согласно изобретению следующего состава: Смесь моно-, ди- или тристеарата глицерина – 1 г Глицерин – 0,5 г Поликватерниум-11 в виде водного раствора с 20% активного вещества (АВ) (GAFQUAT 755 фирмы ISP) – 0,5 г АВ Поликватерниум-30 в виде водно-спиртового раствора с 22% АВ (MEXOMERE РХ фирмы CHIMEX) – 0,55 г АВ Бегенилтриметиламмонийхлорид (GENAMIN KDMP фирмы CLARIANT) – 1,45 г АВ Катионная эмульсия с 67% АВ сополимера полидиметилсилоксана с , -винильными группами и полидиметилсилоксана с атомами водорода в , -положениях (DC-1997 фирмы DOW CORNING) – 0,8 г АВСмесь цетилового спирта и стеарилового спирта (50/50 по массе) – 4 г Отдушка, консерванты – Достаточное количество Вода – Достаточное количество до общей массы 100 г Эту композицию наносят на вымытые и отжатые волосы. Оставляют ее на волосах в течение двух минут, затем ополаскивают водой. Обработанные этим ополаскивателем волосы являются мягкими, гладкими и легко расчесываются. Пример 2 Получают ополаскиватель для волос согласно изобретению следующего состава: Катионная эмульсия с 67% АВ сополимера полидиметилсилоксана с , -винильными группами и полидиметилсилоксана с атомами водорода в , -положениях (DC-1997 фирмы DOW CORNING) – 5 г АВСополимера SMDI и полиэтиленгликоля с концевыми алкильными группами (метил/С18) в виде 15% в матрице мальтодекстрин/вода (ACULYN 46 фирмы ROHM HAAS) – 0,45 г АВ Сшитый гомополимер этилтриметиламмонийметакрилатхлорида в виде 50%-ной обратной эмульсии в минеральном масле (SALCARE SC 95 фирмы CIBA GEIGY) – 0,55 г АВ Смесь цетилового спирта и стеарилового спирта (50/50 по массе) – 6 г Отдушка, консерванты – Достаточное количество Вода – Достаточное количество до общей массы 100 г Пример 3 Получают шампунь согласно изобретению следующего состава: Катионная эмульсия с 67% АВ сополимера полидиметилсилоксана с , -винильными группами и полидиметилсилоксана с атомами водорода в , -положениях (DC-1997 фирмы DOW CORNING) – 1,95 г АВЛаурилоксисульфат натрия, оксиэтиленированный 2,2 моль этиленоксида, в виде водного раствора с 70% АВ – 15,3 г АВ Поверхностно-активное производное имидазолина в виде водного раствора с 38% активного вещества (MIRANOL C2M концентрат фирмы RHODIA CHIMIE) – 3,05 г АВ Гуаровая смола, модифицированная 2,3-эпокси-пропилтриметиламмонийхлоридом (JAGUAR С13 S фирмы RHODIA CHIMIE) – 0,2 г Смесь стеарилового спирта (10%) и дистеарилового эфира (90%) – 1,5 г Смесь линейных спиртов (С18/С20/С22) (NAFOL 1822 С фирмы CONDEA) – 1,5 г Лауриловый спирт, оксиэтиленированный 2,5 моль этиленоксида – 0,75 г Моноизопропаноламид кислоты кокосового масла – 0,4 г Сшитая полиакриловая кислота – 0,2 г Витамин В3, витамин В6 – Достаточное количество Экстракты из плодов – Достаточное количество Консерванты, отдушка – Достаточное количество Моногидрат лимонной кислоты – Достаточное количество до рН 7,5 Деминерализованная вода – Достаточное количество до общей массы 100 гн Формула изобретения
(1) гомополимеров или сополимеров, происходящих от эфиров или амидов акриловой или метакриловой кислоты и включающих по крайней мере одно из звеньев следующих формул ![]() ![]() ![]() ![]() в которых R3, одинаковые или разные, означают атом водорода или радикал СН3; А, одинаковые или разные, означают линейную или разветвленную алкильную группу с 1-6 атомами углерода или гидроксиалкильную группу с 1-4 атомами углерода; R4, R5, R6, одинаковые или разные, означают алкильную группу с 1-18 атомами углерода или бензильный радикал; R1 и R2, одинаковые или разные, означают атом водорода или алкильную группу с 1-6 атомами углерода; Х означает анион, происходящий от неорганической или органической кислоты; (2) производных простых эфиров целлюлозы с четвертичными аммониевыми группами; (3) катионных производных целлюлозы, таких как привитые сополимеры целлюлозы или производные целлюлозы, к которым привит водорастворимый четвертичный аммониевый мономер; (4) катионных полисахаридов; (5) полимеров, образованных пиперазинильными звеньями и алкиленовыми или гидроксиалкиленовыми двухвалентными радикалами с линейными или разветвленными цепями, возможно прерываемыми атомами кислорода, серы, азота или ароматическими циклами или гетероциклами, а также продуктов окисления и/или кватернизации этих полимеров; (6) водорастворимых полиаминоамидов, получаемых, в частности, путем реакции поликонденсации соединения кислотного характера с полиамином; причем эти полиаминоамиды могут быть сшиты с помощью эпигалогенгидрина, диэпоксида, диангидрида, ненасыщенного диангидрида, бисненасыщенного производного, бисгалогенгидрина, бисазетидиния, бисгалоген-ацилдиамина, алкилдигалогенида или с помощью олигомера, получающегося в результате реакции дифункционального соединения, реакционноспособного по отношению к бисгалогенгидрину, бисазетидинию, бисгалогенацилдиамину, алкилдигалогениду, эпигалогенгидрину, диэпоксиду или бисненасыщенному производному, причем сшивающий агент используют в количествах 0,025-0,35 моль на аминогруппу полиаминоамида; и причем эти полиаминоамиды могут быть алкилированы или они содержат одну или несколько кватернизованных третичных аминогрупп; (7) производных полиаминоамидов, получающихся в результате реакции конденсации полиалкиленполиаминов с поликарбоновыми кислотами с последующим алкилированием с помощью бифункциональных агентов; (8) полимеров, получаемых путем взаимодействия полиалкиленполиамина, содержащего две первичные аминогруппы и по крайней мере одну вторичную аминогруппу, с дикарбоновой кислотой, выбираемой среди дигликолевой кислоты и насыщенных алифатических дикарбоновых кислоты с 3-8 атомами углерода; (9) циклополимеров алкилдиаллиламина или диалкилдиаллиламмония; (10) четвертичного диаммониевого полимера, включающего повторяющиеся звенья, которые отвечают формуле (VII) ![]() в которой R13, R14, R15 и R16, одинаковые или разные, означают алифатические, алициклические или арилалифатические радикалы с 1-20 атомами углерода или низшие гидрокси-алкилалифатические радикалы; или R13, R14, R15 и R16, вместе или отдельно, вместе с атомами азота, с которыми они связаны, образуют гетероциклы, возможно содержащие второй гетероатом, отличный от азота; или R13, R14, R15 и R16 означают линейный или разветвленный алкильный радикал с 1-6 атомами углерода, замещенный нитрильной, сложноэфирной, ацильной, амидной группой или группой -СО-О-R17-D или -СО-NH-R17-D, где R17 означает алкилен и D означает четвертичную аммониевую группу; А1 и В1 означают полиметиленовые группы с 2-20 атомами углерода, которые могут быть линейными или разветвленными, насыщенными или ненасыщенными, и могут содержать, связанные с основной цепью или включенные в нее, один или несколько ароматических циклов, или один или несколько атомов кислорода, серы, или сульфоксидные, сульфоновые, дисульфидные группы, аминогруппы, алкиламиногруппы, гидроксильные группы, четвертичные аммониевые группы, уреидогруппы, амидогруппы или сложноэфирные группы; и Х– означает анион, происходящий от неорганической или органической кислоты; А1, R13 и R15 с двумя атомами азота, с которыми они связаны, могут образовывать пиперазиновый цикл; кроме того, если А1 означает линейный или разветвленный, насыщенный или ненасыщенный алкиленовый или гидроксиалкиленовый радикал, B1 также может означать группу (СН2)n -CO-D- ОС-(СН2)n-, в которой D означает а) остаток гликоля формулы -О-Z-О-, где Z означает линейный или разветвленный углеводородный радикал или группу, отвечающую одной из следующих формул (СН2-СН2-О)х -СН2-СН2; -[СН2-СН(СН3)-О]у-СН2-СН(СН3)-, где х и у означают целое число от 1 до 4, представляющее собой определенную и общую степень полимеризации, или любое число от 1 до 4, означающее среднюю степень полимеризации; б) остаток диамина с двумя вторичными аминогруппами, такого как производное пиперазина; в) остаток диамина с двумя первичными аминогруппами формулы – NH-Y-NH-, где Y означает линейный или разветвленный углеводородный радикал или двухвалентный радикал; СН2-СН2-S-S-CH2-CH2-; г) уреиленовую группу формулы -NH-CO-NH-; (11) четвертичных полиаммониевых полимеров, образованных звеньями формулы (VIII) ![]() в которой R18, R19, R20 и R 21, одинаковые или разные, означают атом водорода или метил, этил, пропил, -гидроксиэтил, -гидроксипропил или – СН2 СН2(ОСН2СН2)рОН, где р = 0 или означает целое число от 1 до 6, при условии, что R18, R19, R20 и R21 одновременно не означают атом водорода;r и s, одинаковые или разные, означают целые числа от 1 до 6; q = 0 или означает целое число от 1 до 34; Х означает анион, такой как галоген-анион; А означает радикал дигалогенида или представляет собой предпочтительно группу -СН2-СН2-О-СН2-СН2-; (12) четвертичных полимеров винилпирролидона и винилимидазола; (13) полиаминов, стандартизованных под названием “POLYETHYLENEGLYCOL (15) TALLOW POLYAMINE” в словаре Ассоциации по парфюмерно-косметическим товарам и душистым веществам; (14) сшитых полимеров солей (мет)акрилоилокси-(С1-С4)-алкилтри-[(С1-С4)алкил)аммония; (15) полиалкилениминов, в частности, полиэтилениминов; полимеров, содержащих винилпиридиновые или винилпиридиниевые звенья, конденсатов полиаминов и эпихлоргидрина, четвертичных полиуреиленов и производных хитина, и по крайней мере один силиконовый сополимер с вязкостью 106-100 106 сП, получаемый в результате реакции присоединения, в присутствии катализатора, по крайней мере(а) одного полисилоксана формулы (I) ![]() в которой R1 означает группу, способную реагировать путем реакции присоединения цепи, такую как, например, атом водорода, алифатическая группа с 2-6 атомами углерода и с двойной связью, в частности, винил, аллил или гексенил; группы R2 формулы (I) означают алкильные группы с 1-20 атомами углерода, алкенильные группы с 1-20 отомами углерода, циклоалкильные группы с 5 или 6 атомами углерода, арил, алкиларил с 7-20 атомами углерода или гидроксил, и могут включать, кроме того, функциональные группы, такие как простые эфирные группы, аминогруппы; карбоксильные, гидроксильные, тиольные, сложноэфирные, сульфонатные, сульфатные группы; n означает целое число, такое, что полисилоксан формулы (1) предпочтительно имеет кинематическую вязкость от 1 до 1 106 мм2/с,(б) и по крайней мере одного силиконового соединения, содержащего по крайней мере одну и самое большее две группы, способные реагировать с группами R1 полисилоксана (а), и получаемого путем реакции присоединения, в присутствии катализатора гидросилилирования, по крайней мере (а) , – дивинилполидиметилсилсилоксана и (б) , – дигидрополидиметилсилоксана; причем по крайней мере одно из соединений типа (а) или (б) содержит алифатическую группу с 2-6 атомами углерода и с двойной связью.
2. Композиция по п.1, отличающаяся тем, что R2 означает метил.
3. Композиция по любому из п.1 или 2, отличающаяся тем, что силиконовый сополимер находится в форме водной эмульсии.
4. Композиция по любому из пп.1-3, отличающаяся тем, что силиконовый сополимер присутствует в концентрации 0,05-10 мас.%, по отношению к общей массе композиции.
5. Композиция по п.1, отличающаяся тем, что вышеуказанный катионный полимер выбирают среди четвертичных производных простых эфиров целлюлозы, циклополимеров, катионных полисахаридов, сополимеров винилпирролидона и метакриламидопропилдиметиламина, сшитых гомополимеров или сополимеров солей метакрилоилокси – (С1-С4) – алкилтри-[(C1-C4)-алкил]аммония и их смесей.
6. Композиция по любому из пп.1-5, отличающаяся тем, что катионный полимер находится в концентрации 0,001-20 мас.%, предпочтительно 0,01-10 мас. %, по отношению к общей массе композиции.
7. Композиция по любому из пп.1-6, отличающаяся тем, что она дополнительно содержит по крайней мере одно поверхностно-активное вещество, выбираемое среди анионных, неионных, амфотерных, катионных поверхностно-активных веществ и их смесей.
8. Композиция по п.7, отличающаяся тем, что поверхностно-активное вещество или поверхностно-активные вещества находятся в концентрации 0,1-60 мас. %, предпочтительно 3-40 мас.% и еще более предпочтительно 5-30 мас.% по отношению к общей массе композиции.
9. Композиция по любому из пп.1-8, отличающаяся тем, что она дополнительно содержит по меньшей мере одно катионное поверхностно-активное вещество.
10. Композиция по п.9, отличающаяся тем, что катионное поверхностно-активное вещество находится в концентрациях 0,1-10 мас.%, предпочтительно 0,5-7 мас.% и еще более предпочтительно 1-5 мас.% по отношению к общей массе композиции.
11. Композиция по любому из пп.1-8, отличающаяся тем, что она содержит по крайней мере одну добавку, выбираемую среди загустителей, отдушек, перламутровых добавок, консервантов, силиконовых или нет солнцезащитных фильтров, витаминов, провитаминов; амфотерных, анионных или неионных полимеров; белков, белковых гидролизатов, 18-метилэйкозановой кислоты, гидроксикислот, пантенола; летучих или нелетучих, циклических или линейных или сшитых, модифицированных или нет, силиконов; керамидов, псевдокерамидов; растительных, животных, минеральных или синтетических масел.
12. Композиция по любому из пп.1-11, отличающаяся тем, что она находится в форме шампуня, ополаскивателя для волос, композиции для перманента, распрямления, окраски иди обесцвечивания волос; смываемой композиции для нанесения между двумя этапами перманента или распрямления волос; моющей композиции для тела.
13. Способ обработки кератиновых материалов, таких как волосы, отличающийся тем, что он состоит в нанесении на вышеуказанные материалы косметической композиции по любому из пп.1-12, затем в осуществлении в случае необходимости ополаскивания водой.
MM4A – Досрочное прекращение действия патента СССР или патента Российской Федерации на изобретение из-за неуплаты в установленный срок пошлины за поддержание патента в силе
Дата прекращения действия патента: 20.10.2008
Извещение опубликовано: 20.07.2010 БИ: 20/2010
|
||||||||||||||||||||||||||

106 сП и по крайней мере один катионный полимер, а также к способу обработки кератиновых материалов, таких как волосы. Технический результат: это сочетание придает такие косметические свойства кератиновым материалам, как способность к разглаживанию, легкость, мягкость, без явления повышения их жирности. 2 с. и 11 з.п. ф-лы.

,
-дивинилполидиметилсилоксана и








-гидроксиэтил, 
FC 905, FC 550 и FC 370;









