Патент на изобретение №2186211
|
||||||||||||||||||||||||||
(54) СПОСОБ ОПРЕДЕЛЕНИЯ ЗАПАСОВ НЕФТЯНОЙ ЗАЛЕЖИ
(57) Реферат: Изобретение относится к нефтяной промышленности и может быть использовано для определения запасов месторождений полосообразного строения типа русловых залежей. Техническим эффектом изобретения является повышение точности определения запасов нефти за счет определения ширины и краев полосообразной залежи при минимальном объеме гидродинамических исследований. Для этого на участке залежи полосообразного строения определяют расположение оси залежи. Проводят гидродинамические исследования скважины, не лежащей на оси залежи, с продолжительностью исследования, обеспечивающей получение на кривой восстановления давления двух отраженных сигналов давления от ближней и дальней границ залежи. Определяют время приходов отраженных сигналов давлений от ближнего и дальнего краев залежи и ширину полосы залежи. По объему залежи, коллекторским свойствам и свойствам пластовой жидкости определяют запасы нефти. Причем ось и ширину залежи определяют по приведенным математическим выражениям. 4 ил., 1 табл. Изобретение относится к нефтяной промышленности и может быть использовано для определения запасов месторождений полосообразного строения типа русловых залежей. Известен способ определения запасов нефтяной залежи, при котором размеры площади распространения залежи определяют оконтуриванием разведочными скважинами [1]. Недостатком способа является необходимость бурения разведочных скважин, в том числе и за контуром нефтеносности, по которым определяют границу залежи. Известен способ определения границы залежи по результатам гидродинамических исследований скважин [2]. Недостатком способа является необходимость использования при определении границы залежи коэффициента пьезопроводности, который определяют помимо самих гидродинамических исследований, что вносит дополнительную погрешность в результаты определений размеров залежи и тем самым и запасов нефти. Наиболее близким по технической сущности является способ определения границы раздела нефтяной и обводненной частей пласта с использованием результатов гидродинамических методов исследований [3]. Недостаткам способа является то, что, во-первых, способ неприменим на начальной стадии разработки при малом объеме бурения скважин, во-вторых, не рассматривается способ определения направления вектора ориентации залежи полосообразного строения и, в-третьих, не определено минимальное необходимое количество скважин, подлежащих исследованию. В изобретении решается задача определения ширины и краев полосообразной залежи при минимальном объеме гидродинамических исследований и повышения точности определения запасов нефти. Задача решается тем, что в способе определения запасов нефтяной залежи, включающем проведение гидродинамических исследований, согласно изобретению на участке залежи полосообразного строения определяют расположение оси залежи, проводят гидродинамические исследования скважины, не лежащей на оси залежи, с продолжительностью исследования, обеспечивающей получение на кривой восстановления давления двух отраженных сигналов давления от ближней и дальней границ залежи, определяют время приходов отраженных сигналов давлений от ближнего и дальнего краев залежи, определяют ширину полосы залежи и по объему залежи, коллекторским свойствам и свойствам пластовой жидкости определяют запасы нефти, причем ось залежи определяют из уравнения y = k x + b,где х, у – система координат, м, k – угловой коэффициент наклона оси залежи к оси х, b – свободный член, м, величину k определяют по формуле ![]() где z определяют из формулы ![]() (хi, yi) координаты i-ой скважины, м, i меняется от 1 до n; n – общее число скважин, расположенных на участке залежи полосообразного строения, свободный член b определяют по формуле ![]() ширину залежи Н, м, определяют по формуле ![]() t1, t2 – время приходов отраженных сигналов давления от ближнего и дальнего краев залежи, с, (хj, yj) – координаты скважины, в которой проводят гидродинамические исследования, м, abs – абсолютное значение аргумента. Сущность изобретения В залежи с прерывистой или периодически меняющейся структурой по площади могут быть выделены высокопродуктивные участки пласта в виде полос, чередующиеся с низкопродуктивными участками. Кроме того, нефтяная залежь может иметь в чистом виде полосообразное строение. При этом коллекторские свойства залежи внутри полосы существенно отличаются от тех же свойств на участках залежи за пределами полосы. Как правило, полосы относятся к высокопродуктивным зонам и определение их размеров представляет интерес как для оценки запасов нефти, так и для определения перспективы дальнейшей разработки нефтяного месторождения. Предлагаемое изобретение распространяется на месторождения, геологическое строение которых представляет собой коллектора с периодически меняющейся структурой, преимущественно простираемой в одном направлении и ограниченной по ширине в другом направлении. При этом высокопродуктивные зоны чередуются с низкопродуктивными, образуя как параллельные полосы, так и ориентированные под углом друг к другу. Расположенные на этих полосах скважины характеризуются, в зависимости от принадлежности к одной из зон, как высокодебитные или как низкодебитные. Такие скважины составляют группу, относящуюся к одной зоне. Наибольший интерес для перспективы разработки месторождения представляют высокопродуктивные зоны. Расположение группы скважин, относящихся к одной полосе, повторяет ориентацию полосы и ее преимущественное простирание, что может быть использовано для определения оси залежи. Использование этого результата обеспечивает значительные преимущества при определении геометрии залежи, ее размеров и геологических запасов нефти. В изобретении решается задача определения ширины и граничных линий краев полосообразной залежи при минимальном объеме гидродинамических исследований и повышения точности определения запасов залежи. Одним из важных отличительных признаков изобретения является определение оси залежи по координатам разбуренного фонда скважин. В связи с тем, что местоположения скважин имеют большой разброс по залежи, то оказалось, что применение известного метода наименьших квадратов дает значительную погрешность в определении оси залежи, что показано на примере реализации способа. В связи с этим разработали такую методику определения оси залежи по массиву скважин, которая обеспечивает наиболее близкое среднеквадратичное расстояние скважин от оси залежи и дает наиболее точный результат в определении оси залежи. Такого результата достигают тем, что положение оси идет по нормали к скважинам, тогда как по известному методу наименьших квадратов минимизируют расстояния вдоль координатных осей. Определяют массив скважин, относящихся к одной высокопродуктивной зоне залежи. Для этого определяют дебиты скважин и используют данные о геологическом строении пласта. Признаками отношения скважины к высокопродуктивной зоне пласта являются высокие дебиты скважин, а также расположение скважин в одной геологической структуре. Методами математической статистики может быть определено расположение срединной линии массива скважин, которую принимают за ось залежи. Для рассматриваемого способа вместо известного метода наименьших квадратов предлагают новый оригинальный прием определения оси залежи, что является существенным отличительным признаком изобретения. Дело в том, что известный в математической статистике метод наименьших квадратов вносит большую погрешность в результаты определений оси залежи. Эта погрешность связана с тем, что положение оси залежи получают зависящим от выбора системы координат. Сущность изобретения поясняется чертежом, где на фиг.1 приведено влияние системы координат на расположение скважин в одной геологической структуре, на фиг. 2 указаны разные положения углов наклона залежи, на фиг.3 приведена кривая восстановления давления в исследуемой скважине в виде отклонения от прямолинейной асимтотической зависимости первоначального хода кривой давления, на фиг.4 – приведена карта залежи. Способ осуществляется следующим образом. Производят определение расположения оси залежи по средней линии размещения скважин внутри полосы. Наиболее важным вопросом является правильность определения оси залежи по массиву скважин, чему уделяют особое внимание. Это связано с малым количеством пробуренных скважин и их большим разбросом по участку залежи. Малое количество скважин объясняют возможностью применения способа на ранней стадии разбуривания месторождения с тем, чтобы использовать результаты применения способа при определении перспектив разработки месторождения. Большой разброс скважин связан с тем обстоятельством, что в процессе разведочного бурения скважины стремятся располагать на больших расстояниях с целью охвата разведкой большей площади. На фиг.1 приведена система координат (х, у) – 1 и система – 2 (х’, у’), повернутая на угол . Указанная одна скважина – 3 из массива скважин высокопродуктивной зоны и ось залежи – 4. Цифрой 5 обозначено расстояние от скважины до оси залежи, которое используют в известном методе наименьших квадратов, цифрой 6 обозначено то же расстояние с учетом поворота координатной системы на угол от первоначального положения. При замене координатных осей (х, у) на (у, х) расстояние отсчитывают вдоль горизонтальной оси – 7. По предлагаемому способу используют расстояние по нормали от скважины к оси залежи – 8.
Согласно методу наименьших квадратов (фиг.1) положение прямой линии, характеризующей среднестатическое расположение точек, определяют по минимуму суммы квадратов расстояний, отмеченных цифрой 5.
При повороте системы координат на угол следует брать минимум суммы квадратов расстояний, отмеченных цифрой 6, что приводит к другому результату определения средней линии. Более того, простая замена координат х на у и у на х, которая не должна оказывать влияние на положение оси залежи, приводит к отысканию минимума расстояний, обозначенных цифрой 7, что приводит к новому результату определения средней линии. Предлагаемый способ основан на минимизации расстояний скважин от оси залежи по нормали – 8.
Положение оси залежи по предлагаемому способу согласно принятой концепции определяют из уравненияy=kx+b,(1) где х, у – система координат, м, k – угловой коэффициент наклона оси залежи к оси х, b – свободный член, м, величину k определяют по формуле ![]() где z – вспомогательный параметр, определяемый из формулы ![]() (хi, yi) координаты i-ой скважины, i=1-n – общее число скважин, расположенных на участке залежи полосообразного строения, b свободный, м, определяют по формуле ![]() Доказательство преимуществ предлагаемого способа определения оси залежи в сравнении с методом наименьших квадратов состоит в следующем. Для сравнения используют два разных метода определения оси залежи по одному массиву скважин, расположенных внутри одной полосы высокопродуктивного участка: известный метод наименьших квадратов и по предлагаемому способу. Определения осей залежи производят для разных систем координат – при их развороте в пределах одного квадранта – от 0 до 90o. Вместо вращения осей координат, как указано на фиг.2, используют поворот массива скважин на фиксированные углы в пределах от 0 до n/2. В данном случае поворот массива скважин используют как вспомогательное средство для проведения доказательства, тогда как в действительности оси координат месторождения фиксированы по странам света. На фиг.2 показан участок высокопродуктивной зоны с массивом разбуренных скважин и контуром ограничивающей области. Сами скважины не указаны. Осуществляют вращение участка с разворотом на 1/16 часть круга. Всего показаны 5 положений участка под разными углами. При каждом положении залежи указаны осевые линии. Те из них, которые определяют методом наименьших квадратов, обозначены пунктирной линией, а по предлагаемому способу – штрихпунктиром. Перед рассмотрением фиг. 2 предварительно обращаются к формуле определения углового коэффициента наклона k (2). По этой формуле определяют два значения угловых коэффициентов, соответствующие двум знакам перед корнем. Обозначают через 1 угловой коэффициент, соответствующий знаку + и k2 – знаку -. Произведение корней k1 k2=-1, что свидетельствует о взаимной ортогональности определяемых осей. Обе оси соответствуют экстремальным значениям среднеквадратичных расстояний от скважин по нормали к оси. Причем одна из экстремальных значений соответствует минимуму расстояний, а другое – максимуму. По ориентации залежи не представляет затруднений определить, какая из осей соответствует минимуму, а какая максимуму. Далее будет показано, что при использовании метода наименьших квадратов определяют положения осей залежи со среднеквадратичными расстояниями от скважин, находящимися в диапазоне от их минимального до их максимального значения, тогда как по предлагаемому способу определяют положение оси, соответствующее только минимальному расстоянию, причем разница между максимальным и минимальным расстояниями отличается на порядок и более. На фиг. 2 указаны разные положения углов наклона залежи, при которых определяют положение ее оси двумя способами. Всего указано пять положений с разворотом осей каждый раз на угол /8. Они имеют углы наклона соответственно 0. /8, /4, 3 /8 и /2.При горизонтальном положении залежи, т.е. угле наклона 0, положения осей залежи, определяемые двумя методами, совпадают. Затем при увеличении угла наклона залежи получают ее две разные оси, причем ось, определяемая по предлагаемому способу, сохраняет неизменное положение относительно скважин, тогда как определяемое методом наименьших квадратов положение оси зависит от угла разворота залежи. Ось перемещается по залежи, причем среднеквадратические расстояния скважин до нее все время увеличиваются. Максимум увеличения достигается, когда залежь принимает вертикальное положение. При этом изменяющаяся ось залежи принимает горизонтальное положение, как указано на фиг.2, что соответствует максимуму среднеквадратических расстояний. Из изложенного следует непригодность использования для определения оси залежи метода наименьших квадратов и обоснованность применения предлагаемого способа как обеспечивающего наиболее близкое расположение оси залежи ко всему массиву скважин и его инвариантность по отношению к координатной системе. С применением гидродинамических исследований получают возможность определения геологического строения залежи. Края полос являются границами перехода из одной среды в другую. Эти границы оказывают экранирующее влияние на распространение зоны возмущения давления при проведении гидродинамических исследований скважин. Распространяющееся возмущение давления отражается вначале от границы полосы залежи, проходящей по ближнему краю, и возвращается в направлении самой скважины. Это отражение проявляется на кривой восстановления давления в исследуемой скважине в виде отклонения от прямолинейной асимптотической зависимости первоначального хода кривой давления в полулогарифмических координатах и переходе на новый асимптотический участок (фиг.3). То же самое повторяется при отражении возмущения давления от дальнего края залежи. Время возврата в скважину отраженных от краев залежи возмущений давления зависит от удаленности границы и эту зависимость используют для определения расстояний от краев залежи. Под влиянием двух отражений кривая восстановления давления формируется в виде трех участков (фиг.3), первый из которых в интервале времени t0-t1 соответствует однородному пласту (без отражений), второй участок в интервале t1-t2 – пласту с одной границей и третий участок после времени t2 – пласту с двумя границами. Время прихода отраженного сигнала определяют по кривой восстановления давления – моменту времени пересечения двух соседних асимптот. Из этой кривой для дальнейших определений используют два момента времени – t1 и t2, соответствующие отражениям возмущений давления от ближнего и дальнего краев залежи. Скважину для проведения гидродинамических исследований выбирают из массива скважин, относящихся к одной полосе высокопродуктивной зоны, с соблюдением условия, чтобы она не попадала на ось залежи. На технологию проведения гидродинамических исследований накладывается ограничение, связанное с тем, что продолжительность исследования скважины заранее не известна и ее определяют по ходу эксперимента в течение времени, при котором получают три асимптотических участка кривой восстановления давления. Далее рассматривают проведение гидродинамических исследований и их результаты. Гидродинамические исследования скважин методом восстановления давления проводят по следующей технологии. Выбранную для проведения исследования скважину, работающую с постоянным дебитом, останавливают на исследование. При этом продолжительность исследования определяют по результатам наблюдения за восстановлением давления. Во время исследования непрерывно замеряют величины восстановления забойного давления скважины посредством датчиков с дистанционной регистрацией показаний манометра и результаты измерений преобразуют построением графика в полулогарифмических координатах Р= f(1n t), где Р, МПа – восстановление давления, t, c – время исследования. Определяют после переходного участка, заканчивающегося к моменту t0 (фиг.3), выход на первую прямолинейную асимптоту, затем последующий переход на другой асимптотический участок в момент t1 и продолжают исследование до перехода кривой восстановления давления на следующий третий асимптотический участок в момент t2. После этого исследование прекращают, чем и определяют его продолжительность. Моменты t1 и t2 соответствуют времени прихода отраженных возмущений давления от ближнего и дальнего краев залежи. Далее определяют ширину Н полосы залежи по формуле: ![]() t1, t2 – время приходов отраженных сигналов давления от ближнего и дальнего краев залежи, с, (хj, yj) – координаты скважины, в которой проводят гидродинамические исследования, м, abs – абсолютное значение аргумента. Верхние и нижние граничные линии краев залежи увк, м, и унк, м определяют по формулам ![]() ![]() Из сопоставления расположения массива скважин по полосообразной залежи с найденными по предлагаемому способу ее размерами и размещением определяют слабодренируемые участки, особенно вблизи краев залежи, относящиеся к высокопродуктивной зоне и подлежащие последующему разбуриванию. По объему залежи, коллекторским свойствам и свойствам пластовой жидкости определяют запасы нефти Qгеол= M H h D m Г![]() , (8)где Qгеол– геологические запасы нефти, т, М – длина выбранного участка полосообразной залежи, м, Н – ширина полосы, м, h – толщина залежи, м, D – коэффициент нефтенасыщенности, m – коэффициент пористости, Г – удельная плотность жидкости, т/м3, – пересчетный коэффициент объема нефти на пластовые условия.
Применением предлагаемого способа обеспечивают повышение точности определения запасов нефти на 10% и уточняют перспективы разработки месторождения и разбуривания высокопродуктивных зон пласта.
Пример осуществления способа.
Определяют запасы нефтяной залежи полосообразного строения с глубиной залегания пласта 4200 м, пластовым давлением 433 МПа и пластовой температурой 83oС.
На месторождении руслового типа добывают нефть с вязкостью, равной 4,2 мПа с, и удельной плотностью, равной 0,876 т/м3. Пористость пласта равна m= 0,14, коэффициент нефтенасыщенности D=0,52, объемный коэффициент нефти b= 1,21, пересчетный коэффициент объема нефти на пластовые условия = 0,875.На участке месторождения, относящегося к одной полосе высокопродуктивной зоны, расположен массив, состоящий из 22 скважин, т.е. n=22, приведенный на фиг. 4, на котором 1 – ось залежи, определяемая по предлагаемому способу. Здесь же для сопоставления приведена ось залежи 2, определяемая известным методом наименьших квадратов, а также ось залежи 3 с инверсией системы координат с (х, у) на (у, х). Приведены также граничные линии 4 и 5 верхнего и нижнего краев залежи, определяемые по предлагаемому способу. Для упрощения вычислений при определении оси залежи по предлагаемому способу вводят новую систему координат. Так, для рассматриваемого массива скважин с координатами, например, первой скважины х1=30100 м и у1=17500 м взамен координат (х, у) вводят новую систему (Х, У) по формулам преобразований Х=х-31000 (9) У=у-17000 (10) Тогда координаты первой скважины будут х1= 1.102 м, у1=5.102 м. Эти данные вместе с координатами остальных скважин приведены в таблице. В той же таблице приведены промежуточные расчетные данные для определения оси залежи. В результате вычислений получают суммы ![]() ![]() По этим данным из формулы (3) определяют величину z ![]() Далее из формулы (2) определяют коэффициент k со знаком (+) перед корнем ![]() Второй коэффициент k со знаком (-) перед корнем имеет отрицательное значение и соответствует направлению, ортогональному оси залежи, и поэтому его отбрасывают. Переходят к определению величины b. Для этого используют формулу (4) ![]() По найденным значениям k и b подставлением их в уравнение оси залежи (1) определяют ее уравнение для условий конкретного примера в виде y=0,47 X+371,8 (11).
Уравнение оси залежи, найденное по методу наименьших квадратов, имеет другой видy=0,456 X+401, (12)а при перестановке осей координат х на у и у на х уравление оси залежи приобретает третий вид y=05376 X+234,6 (13)Все три оси, соответствующие уравнениям (11) – (13), нанесены на карту залежи (фиг.4) – из которой видно их разное положение. В качестве численной характеристики разницы осей залежи угловой коэффициент наклона оси залежи к горизонтали k. Его расхождение для трех осей составило для условий примера 17,8%, что оказывает существенное влияние на определяемую величину запасов нефти. Таким образом, определяемое по методу наименьших квадратов положение оси залежи зависит от уклона залежи к координатным осям, дает завышенные величины среднеквадратических расстояний от скважин, что вносит методическую погрешность в определение запасов нефти, которая для данного примера составляет 17,8%, что свидетельствует о преимуществе предлагаемого способа. После возвращения к первоначальной координатной системе (х, у) уравнение оси залежи принимает следующий вид y=0,47 x+2822 (14)Для проведения гидродинамических исследований выбирают скважину с номером 10, т.е. принимают в формуле (5) j=10. Ее координаты из таблицы в новой системе равны х10=20 102, у10=11 102, что соответствует координатам старой системы х10=33000 м и у10=18100 м.
Проводят гидродинамические исследования скважины 10. Для этого скважину, работавшую с постоянным дебитом 80 т/сут, останавливают на исследование и наблюдают за восстановлением давления по показаниям дистанционного регистрирующего прибора. Результаты замеров преобразуют в график (фиг.3). Исследование продолжали до тех пор, пока не получили три асимптотических участка кривой восстановления давления. Продолжительность гидродинамического исследования составила 6 суток.
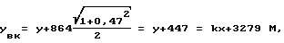
Кривая восстановления давления на забое скважины, полученная по результатам гидродинамических исследований (фиг. 3), имеет две точки излома с абсциссами 1n t1=11,01 и 1n2=12, 92, чему соответствуют моменты времени t1= 60480 с и t2=407940 с. По результатам гидродинамических исследований и координатам скважины из формулы (5) определяют ширину залежи Н, м![]() Определяют граничные линии верхнего и нижнего краев полосообразной залежи по формулам (6) и (7) ![]() ![]() Полученные три уравнения: для осевой линии и граничных линий краев залежи, полностью определяют ее геометрию. Для определения запасов нефти задаются величиной простирания полосы в направлении вектора ориентации, равной М=4000 м. После этого из уравнения (8) с использованием исходных данных определяют запасы залежи полосообразного строения. Qгеол=М Н h D m Г![]() =4000 864 6 0,52 0,14 0,876 0,875=11157069 т.
Таким образом, обосновано преимущество предлагаемого способа определения оси залежи в сравнении с методом наименьших квадратов, чем обеспечивают повышение точности определения запасов нефти. Отличие в определении оси залежи по коэффициенту уклона для условий данного примера составляет 17,8%.
Сведен к допустимо возможному минимуму объем гидродинамических исследований. В данном способе для решения задачи оказалось достаточным исследование одной скважины.
Определена ширина залежи, которая составила 864 м. Тем самым уточнена ранее оцененная ширина залежи, равная по результатам оценки 78 м. По предлагаемому способу определения ширины высокопродуктивной зоны имеет большую величину, что на 13% увеличивает расчетные запасы нефти в сравнении с ранее принятыми.
Расположение массива разбуренных скважин по площади залежи свидетельствует о недостаточно эффективном дренировании высокопродуктивной зоны.
Отсюда следует результат, что разбуренные на момент исследования высокодебитные скважины не полностью дренируют высокопродуктивную зону. Внутри полосы залежи расположены участки, не охваченные дренированием. К ним относятся, например, два участка вблизи краев залежи (фиг.4), примыкающие к скважинам 2, 3, 4 и к скважинам 16, 17 и 21.
Неразбуренные участки залежи, расположенные в пределах высокопродуктивной зоны, представляют перспективу для дальнейшей разработки месторождения.
Применением предлагаемого способа обеспечивают возможность определения запасов нефти при минимальном объеме гидродинамических исследований – по результатам исследований одной скважины, с повышением точности их определения на 10%. Тем самым уточняют перспективы разбуривания новых участков залежи и разработки месторождения.
Источники информации1. В.С. Мелик-Пашаев, М.Н. Кочетов, А.В. Кузнецов, Л.П. Долина. Методика определения параметров залежи нефти и газа для подсчета запасов объемным методом.- М.: Гостоптехиздат, 270 с., 1963. 2. Рахимкулов И.Ф. К расшифровке результатов исследования неоднородных пластов. Известия ВУЗов.- Баку: Нефть и газ, 8, 1964, с.31-37. 3. Померанец Л.И. Геофизические методы исследования нефтяных и газовых скважин.- М.: Недра, 1981, с.344-346. Формула изобретения
у= kх+b, где х, у – система координат, м; k – угловой коэффициент наклона оси залежи к оси х; b – свободный член, м, величину k определяют по формуле ![]() где z определяют из формулы ![]() (xi, уi) координаты i-й скважины, м, i меняется от 1 до n; n – общее число скважин, расположенных на участке залежи полосообразного строения, свободный член b определяют по формуле ![]() ширину залежи Н, м, определяют по формуле ![]() t1, t2 – время приходов отраженных сигналов давления от ближнего и дальнего краев залежи, с, (xj, yj) – координаты скважины, в которой проводят гидродинамические исследования, м, abs – абсолютное значение аргумента. РИСУНКИ
MM4A Досрочное прекращение действия патента Российской Федерации на изобретение из-за неуплаты в установленный срок пошлины за поддержание патента в силе
Дата прекращения действия патента: 31.03.2005
Извещение опубликовано: 10.03.2006 БИ: 07/2006
|
||||||||||||||||||||||||||

x + b,



. Указанная одна скважина – 3 из массива скважин высокопродуктивной зоны и ось залежи – 4. Цифрой 5 обозначено расстояние от скважины до оси залежи, которое используют в известном методе наименьших квадратов, цифрой 6 обозначено то же расстояние с учетом поворота координатной системы на угол 


/8. Они имеют углы наклона соответственно 0. 


, (8)










