Патент на изобретение №2185824
|
||||||||||||||||||||||||||
(54) ПРИМЕНЕНИЕ ТОПИРАМАТА ИЛИ ЕГО ПРОИЗВОДНЫХ ДЛЯ ПОЛУЧЕНИЯ ЛЕКАРСТВЕННОГО СРЕДСТВА ДЛЯ ЛЕЧЕНИЯ МАНИАКАЛЬНО-ДЕПРЕССИВНЫХ БИПОЛЯРНЫХ РАССТРОЙСТВ
(57) Реферат: Изобретение относится к области медицины, а именно к психиатрии. Млекопитающему вводят терапевтически эффективное количество топирамата. Способ позволяет эффективно лечит маниакальные и смешанные формы биополярного расстройства. 3 з.п. ф-лы. Предпосылки изобретения Соединения формулы I ![]() являются структурно новыми противоэпилептическими веществами, которые при испытаниях на животных показывают высокоэффективное противосудорожное действие (Maryanoff, В. Е. , Nortey, S.O., Gardocki, J.F., Shank, R.P. and Dodgson, S.P. J.Med.Chem. 30, 880-887, 1987; Maryanoff, В.Е., Costanzo, M.J. , Shank, R.P., Schupsky, J.J., Ortegon, M.E., and Vaught J.L. Bioorganic & Medicinal Chemistry Letters 3, 2653-2656, 1993, McComsey. D.F. and Maryanoff, B. E. , J.Org.Chem. 1995). Эти соединения включены в три патента США 4513006, 5384327 и 5498629. Одно из этих соединений сульфамат 2,3:4,5-бис-О-(1-метилэтилиден)- -D-фруктопиранозы, известный как топирамат, в клинических испытаниях при лечении эпилепсии человека показал эффективное действие в качестве дополнительного терапевтического средства или в качестве монотерапевтического средства при лечении простых и сложных частичных эпилептических припадков и повторных эпилептических припаков (E.Faught, В.J.Wilder, R. E.Ramsey, R.A.Reife, L.D.Kramer, G.W.Pledger, R.M.Karim et al., Epilepsia 36 (S4) 33, 1995; S.К. Sachdeo, R.C.Sachdeo, R.A.Reife, P.Lim and G.Pledger, Epilepsia 36 (S4) 33, 1995), и в настоящее время продается в качестве средства для лечения простых и сложных частичных эпилептических припадков, сопровождающихся или не сопровождающихся повторными эпилептическими припадками, в Великобритании, Финляндии, США и Швеции, а также во многих странах мира в настоящее время подаются заявки на патентование этого средства.
Противосудорожное действие соединений формулы I было первоначально обнаружено в традиционном испытании максимальным электрошоком (MES) на мышах (Shank, R.P., Gardocki, J.F., Vaught, J.L., Davis, C.B., Schupsky, J.J., Raffa, R. B. , Dodgson, S.J., Nortey, S.O., and Maryanoff, B.E., Epilepsia 35 450-460, 1994). Последующие исследования показали, что соединения формулы I являются также высокоэффективными при MES-испытаниях на крысах. Недавно было обнаружено, что топирамат эффективно подавляет действие на моделях эпилепсии у некоторых грызунов (J.Nakamura, S.Tamura, T.Kanda, A.Ishii, K.Ishihara, T. Serikawa, J. Yamada and M.Sasa, Eur.J.Pharmacol. 254 83-89, 1994) и на моделях животных с вызванной эпилепсией (A.Wauquier and S.Zhou, Epilepsy Res. 24, 73-77, 996, в печати).
В ходе проводимых в последнее время доклинических исследований топирамата были обнаружены неизвестные ранее фармакологические свойства, дающие основания предположить, что топирамат должен обладать эффективным действием при лечении маниакально-депрессивного биполярного расстройства (MDBD).
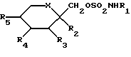
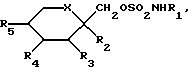
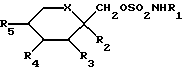
Сущность изобретенияБыло обнаружено, что соединения следующей формулы I: ![]() где Х обозначает О или СН2 и R1, R2, R3, R4 и R5 такие, как определено ниже, могут использоваться при лечении маниакально-депрессивного биполярного расстройства (MDBD). Подробное описание предпочтительных вариантов изобретения Сульфаматы по изобретению являются соединениями следующей формулы (I): ![]() где Х представляет СН2 или кислород; R1 представляет водород или алкил; и R2, R3, R4 и R5 независимо представляют водород или низший алкокси, где Х является кислородом, R2 и R3 и/или R4 и R5 вместе могут представлять метилендиоксигруппу формулы (II): ![]() где R6 и R7 являются одинаковыми или отличными друг от друга и представляют водород, низший алкил или представляют алкил и объединены с образованием циклопентильного или циклогексильного кольца. R1, в частности, представляет водород или алкил с 1-4 атомами углерода, такой как метил, этил и изопропил. В данном описании алкил включает алкил с прямой или разветвленной цепью. Алкильные группы для R2, R3, R4, R5, R6 и R7 содержат 1-3 атомов углерода и включают метил, этил, изопропил и н-пропил. Конкретная группа соединений формулы (I) является такой, где Х представляет кислород и оба R2 и R3, и R4 и R5 вместе представляют метилендиокси группы формулы (II), где 6 и R7 оба являются водородом, оба являются алкилом или объединены с образованием спироциклопентильного или циклогексильного кольца, в частности, когда R6 и R7 оба являются алкилом, таким, как метил. Вторая группа соединений является такой, где Х представляет СН2 и R4 и R5 объединены с образованием бензольного кольца. Третья группа соединений формулы (I) является такой, где R2 и R3 оба являются водородом. Соединения формулы (I) могут быть получены следующими способами: (а) Взаимодействием спирта формулы RCH2OH с хлорсульфаматом формулы ClSO2NH2 или ClSO2NHR1 в присутствии основания, такого как бутоксид калия или гидрид натрия, при температуре от около -20oС до 25oС и в растворителе, таком как толуол, ТГФ или диметилформамид, где R представляет группу следующей формулы (III): ![]() (б) Взаимодействием спирта формулы RCH2OH с сульфурилхлоридом формулы SO2Cl2 в присутствии основания, такого как триэтиламин или пиридин при температуре от около – 40oС до 25oС в растворителе, таком как диэтиловый эфир или метиленхлорид, с образованием хлорсульфата формулы RCH2OSO2Cl. Затем хлорсульфат формулы RCH2OSO2C1 может быть подвергнут взаимодействию с амином формулы R1NH2 при температуре от около 40oС до 25oС в растворителе, таком, как метиленхлорид или ацетонитрил, с образованием соединения формулы (I). Условия реакции (б) также описаны T.Tsuchiya et а1. в Tet. Letters, N 36, p. 3365-3368 (1978). (в) Взаимодействием хлорсульфата RCH2OSOC1 с азидом металла, таким как азид натрия в растворителе, таком как метиленхлорид или ацетонитрил, с получением азидосульфата формулы RCH2OSO2N3, как описано М.Hedayatullah, Tet.Lett. p. 2455-2458 (1975). Азидосульфат затем восстанавливают до соединения формулы (I), где R1 является водородом, путем каталитического гидрирования, например, с использованием благородного металла и H2 или путем нагревания с металлической медью в растворителе, таком, как метанол. Исходные вещества формулы RCH2OH являются коммерчески доступными или могут быть получены способами, известными из уровня техники. Например, исходные вещества формулы RCH2OH, где как и R2 и R3, так и R4 и R5 являются одинаковыми, имеют формулу (II), могут быть получены по способу R.F.Brady, описанному Carbohydrate Research, Vol.14, p.35-40 (1970), или взаимодействием триметилсилилового эфира енола кетона или альдегида формулы 6СОR7 или с фруктозой при температуре около 25oС, в растворителе, таком, как галоидзамещенный углеводород, например, метиленхлорид, в присутствии протонной кислоты, такой как хлороводородная кислота или кислота Льюиса, такая, как хлорид цинка. Взаимодействие триметилсилилового эфира енола описано G.L.Larson et al. в J.Org.Chem. Vol. 38, N 22, р.3935 (1973). Далее, карбоновые кислоты и альдегиды формул RCOOH и RCHO могут быть восстановлены до соединений формулы RCH2OH стандартными способами восстановления, например, взаимодействием с алюмогидридом лития, борогидридом натрия или комплексом боран-ТГФ в инертном растворителе, таком, как диглим, ТГФ или толуол, при температуре от около 0oС до 100oС, например, как описано Н.О. House в “Modern Synthetic Reactions”, 2nd Ed., pages 45-144 (1972). Соединения формулы I могут быть получены способом, описанным в патенте США 4513006, включенным в данное описание в качестве ссылки. Соединения формулы I включены как в виде различных отдельных изомеров, так и в виде их рацемических смесей, например, различные альфа и бета присоединения, т.е. ниже или выше плоскости рисунка, заместителей R2, R3, R4 и R5 к 6-членному кольцу. Предпочтительно атомы кислорода метилендиоксигруппы (II) присоединены с одной и той же стороны 6-членного кольца. Маниакально-депрессивное биполярное расстройство представляет собой прогрессирующее психическое расстройство неизвестной этиологии (F.Goodwin and K. R. Jamison, Manic-Depressive Illness, Oxford University Press, New York, 1990); однако предполагают, что рецидивы маниакально-депрессивного заболевания вызваны электрофизиологическим возбуждением (F.Goodwin and K.R.Jamison, Manic-Depressive Illness, Oxford University Press, New York, pp. 405-407, 1990). Было показано, что топирамат является эффективным для предотвращения вызванных припадков эпилепсии у крыс (A.Wauquier and S.Zhou, Epilepsy Res. 24 73-77, 1996, в печати). Для лечения маниакально-депрессивного биполярного расстройства соединения формулы (I) могут использоваться в дозе от около 50 до 200 мг в сутки, обычно разделенной на два приема, рассчитанной на среднего взрослого человека. Единица лекарственной формы содержит около 25 до 100 мг активного ингредиента. Для получения фармацевтических композиций по данному изобретению одно или несколько сульфаматных соединений формулы (I) тщательно смешивают с фармацевтическим носителем в соответствии с обычными способами приготовления фармацевтических смесей, при этом носитель может иметь самые различные формы в зависимости от формы препарата, желаемой для введения, например, перорального введения, посредством суппозитория или парентерального введения. При получении композиций для пероральной лекарственной формы можно использовать любую обычную фармацевтическую среду. Так, для жидких пероральных препаратов, таких как, например, суспензии, эликсиры и растворы, подходящие носители и добавки включают воду, гликоли, масла, спирты, вкусовые добавки, консерванты, красители и т.п.; для твердых пероральных препаратов, таких как, например, порошки, капсулы и таблетки, подходящие носители и добавки включают крахмалы, сахара, разбавители, гранулирующие вещества, смазывающие вещества, связующие вещества, разрыхлители и т.п. Таблетки и капсулы, благодаря легкости введения, являются наиболее удобной лекарственной формой для перорального введения, в этом случае обычно используют твердые фармацевтические носители. При желании таблетки могут иметь сахарное покрытие или энтеросолюбильное покрытие, нанесенное стандартными способами. Могут быть приготовлены суппозитории, в которых в качестве носителя используют масло какао. Для парентеральных препаратов носитель обычно включает стерильную воду, однако могут быть включены и другие ингредиенты, например, способствующие растворению или для консервации. Также могут быть приготовлены суспензии для инъекций, при этом могут использоваться подходящие жидкие носители, суспендирующие агенты и т.п. В настоящее время топирамат, предназначенный для перорального введения, доступен в виде круглых таблеток, содержащих 25 мг, 100 мг или 200 мг активного вещества. Таблетки содержат следующие неактивные ингредиенты: водную лактозу, предварительно желатинированный крахмал, микрокристаллическую целлюлозу, натрий крахмал гликолят, стеарат магния, очищенную воду, карнаубский воск, гидроксипропилметилцеллюлозу, двуокись титана, полиэтиленгликоль, синтетический оксид железа и полисорбат 80. Фармацевтические композиции по изобретению содержат на единицу лекарственной формы, например, таблетку, капсулу, порошок для инъекции, чайную ложку жидкости, суппозиторий и т.п. от около 25 до около 100 мг активного ингредиента. Формула изобретения
![]() где Х представляет CH2 или кислород; R1 представляет водород или алкил; R2, R3, R4 и R5 независимо представляет водород или низший алкил, когда Х является кислородом, R2 и R3 и/или R4 и R5 вместе могут представлять метилендиоксигруппу следующей формулы (II): ![]() где R6 и R7, одинаковые или отличные друг от друга, представляют водород, низший алкил или представляют алкил и объединены с образованием циклопентильного или циклогексильного кольца. 2. Способ по п. 1, где соединением формулы I является топирамат. 3. Способ по п. 1, где терапевтически эффективное количество составляет от около 50 до 200 мг. 4. Способ по п. 1, где указанное количество составляет от около 25 до 100 мг. MM4A – Досрочное прекращение действия патента СССР или патента Российской Федерации на изобретение из-за неуплаты в установленный срок пошлины за поддержание патента в силе
Дата прекращения действия патента: 25.06.2007
Извещение опубликовано: 20.07.2010 БИ: 20/2010
|
||||||||||||||||||||||||||


-D-фруктопиранозы, известный как топирамат, в клинических испытаниях при лечении эпилепсии человека показал эффективное действие в качестве дополнительного терапевтического средства или в качестве монотерапевтического средства при лечении простых и сложных частичных эпилептических припадков и повторных эпилептических припаков (E.Faught, В.J.Wilder, R. E.Ramsey, R.A.Reife, L.D.Kramer, G.W.Pledger, R.M.Karim et al., Epilepsia 36 (S4) 33, 1995; S.К. Sachdeo, R.C.Sachdeo, R.A.Reife, P.Lim and G.Pledger, Epilepsia 36 (S4) 33, 1995), и в настоящее время продается в качестве средства для лечения простых и сложных частичных эпилептических припадков, сопровождающихся или не сопровождающихся повторными эпилептическими припадками, в Великобритании, Финляндии, США и Швеции, а также во многих странах мира в настоящее время подаются заявки на патентование этого средства.
Противосудорожное действие соединений формулы I было первоначально обнаружено в традиционном испытании максимальным электрошоком (MES) на мышах (Shank, R.P., Gardocki, J.F., Vaught, J.L., Davis, C.B., Schupsky, J.J., Raffa, R. B. , Dodgson, S.J., Nortey, S.O., and Maryanoff, B.E., Epilepsia 35 450-460, 1994). Последующие исследования показали, что соединения формулы I являются также высокоэффективными при MES-испытаниях на крысах. Недавно было обнаружено, что топирамат эффективно подавляет действие на моделях эпилепсии у некоторых грызунов (J.Nakamura, S.Tamura, T.Kanda, A.Ishii, K.Ishihara, T. Serikawa, J. Yamada and M.Sasa, Eur.J.Pharmacol. 254 83-89, 1994) и на моделях животных с вызванной эпилепсией (A.Wauquier and S.Zhou, Epilepsy Res. 24, 73-77, 996, в печати).
В ходе проводимых в последнее время доклинических исследований топирамата были обнаружены неизвестные ранее фармакологические свойства, дающие основания предположить, что топирамат должен обладать эффективным действием при лечении маниакально-депрессивного биполярного расстройства (MDBD).
Сущность изобретения




