Патент на изобретение №2185811
|
||||||||||||||||||||||||||
(54) КОМПОЗИЦИЯ ДЛЯ ОКИСЛИТЕЛЬНОГО ОКРАШИВАНИЯ КЕРАТИНОВЫХ ВОЛОКОН, СПОСОБ ИХ ОКРАШИВАНИЯ, НАБОР ДЛЯ ОКИСЛИТЕЛЬНОГО ОКРАШИВАНИЯ КЕРАТИНОВЫХ ВОЛОКОН
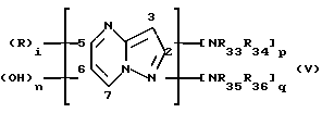
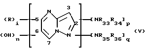
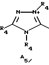
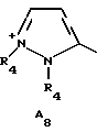
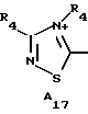
(57) Реферат: Предметом изобретения является композиция для окислительного окрашивания кератиновых волокон (волос), содержащая по меньшей мере прямой катионный краситель и одно пиразоло-[1,5-а]-пиримидиновое соединение в качестве окисляемого основания, а также способ окислительного окрашивания с использованием этой композиции. Изобретение обеспечивает окраску, устойчивую к агрессивным факторам (непогода, мытье, перманентная завивка, свет). 3 с. и 19 з.п. ф-лы. Предметом изобретения является композиция для окислительного окрашивания кератиновых волокон, содержащая по меньшей мере один прямой катионный краситель и по меньшей мере одно пиразоло-[1,5-а]-пиримидиновое соединение в качестве окисляемого основания, а также способ окислительного окрашивания с использованием названной композиции. Известны способы окрашивания кератиновых волокон, в частности волос человека, красящими композициями, содержащими предшественники окислительного красителя, в частности о- и п-фенилендиамины, о- и п-аминофенолы, бис-фенилалкилендиамины или гетероциклические соединения, которые обычно называют окисляемыми основаниями. Предшественники окислительных красителей, или окисляемые основания, представляют собой бесцветные или слегка окрашенные соединения, которые, вступая во взаимодействие с окислителями, могут в результате окислительной конденсации образовать окрашенные и красящие соединения. Известно также, что можно варьировать получаемые с помощью этих окисляемых оснований оттенки, используя эти окисляемые основания в сочетании с краскообразующими веществами, или модификаторами окраски, которые выбирают из числа ароматических м-диаминов, м-аминофенолов, м-дифенолов и некоторых гетероциклических соединений. Разнообразие молекул используемых окисляемых оснований и краскообразующих веществ позволяет получать богатую палитру цветов. Называемое “перманентным” окрашивание, получаемое благодаря окислительным красителям, должно при этом удовлетворять определенному ряду требований. Так, оно не должно иметь недостатков в плане токсикологии, позволять получение оттенков желаемой интенсивности окраски с хорошей стойкостью по отношению к внешним факторам (свету, непогоде, мытью, перманентной завивке, потению, истиранию). Красители должны быть также пригодными для окрашивания седых волос и быть по возможности наименее избирательными, то есть позволять получать как можно меньшую разницу в окраске по длине одного и того же кератинового волокна, которое, в действительности, может быть в различной степени сенсибилизировано (т.е. разрешено) на протяжении от конца до корня. Ранее уже было предложено, в частности в патентной заявке FR-A-2750048, использовать в качестве окисляемого основания пиразоло-[1,5-а]-пиримидины, индивидуально или в сочетании с одним или несколькими краскообразующими веществами. Однако получаемые при этом окраски не всегда достаточно сильны, хроматичны или устойчивы к различным агрессивным факторам, которые могут воздействовать на волосы. В настоящем документе Заявитель пришел к полностью неожиданному и удивительному открытию, что объединение по меньшей мере одного пиразоло-[1,5-а] -пиримидинового соединения в качестве окисляемого основания с по меньшей мере одним определенным ниже прямым катионным красителем позволяет получать сильные окраски, обладающие, кроме того, улучшенной устойчивостью по отношению к различным агрессивным факторам, которым могут быть подвергнуты волосы (шампуни, свет, непогода, перманентные завивки, потение, истирание и т.д. ). Это открытие является основой настоящего изобретения. Первым предметом настоящего изобретения является композиция для окислительного окрашивания кератиновых волокон, в частности кератиновых волокон человека, таких как волосы, отличающаяся тем, что она содержит в подходящей для окрашивания среде: – по меньшей мере одно пиразоло-[1,5-а]-пиримидиновое соединение в качестве окисляемого основания; – и по меньшей мере один прямой катионный краситель; причем композиция не содержит ферментной системы, способной вызывать окисление пиразоло-[1,5-а]-пиримидинов. Как было отмечено выше, красящая композиция по изобретению дает сильные окраски, которые, кроме того, обладают превосходной устойчивостью по отношению к различным агрессивным факторам (свет, непогода, мытье, перманентная завивка, потение, истирание). Предметом изобретения является также способ окислительного окрашивания кератиновых волокон с использованием этой красящей композиции. Пиразоло-[1,5-а] -пиримидины, пригодные для использования в качестве окисляемых оснований в композиции согласно изобретению, выбирают преимущественно из числа соединений приведенной ниже формулы V и их солевых аддуктов с кислотами или основаниями ![]() в которой R33, R34, R35 и R36, одинаковые или разные, обозначают атом водорода, C1-C4-алкил, арил, гидрокси-С1-С4-алкил, полигидрокси-С2-С4-алкил, С1-С4-алкокси-С1-С4-алкил, амино-С1-С4-алкил (аминогруппа может быть защищена ацетильной, уреидо- или сульфонильной группой), С1-С4-алкиламино-С1-С4-алкил, ди(С1-С4-алкил)амино-С1-С4-алкил (диалкилы могут образовывать 5- или 6-членный алифатический цикл или гетероцикл), гидрокси-С1-С4-алкил- или ди(гидрокси-С1-С4-алкил) амино-С1-С4-алкил; – радикалы R, одинаковые или разные, обозначают атом водорода, C1-C4-алкил, арил, гидрокси-С1-С4-алкил, полигидрокси-С2-С4-алкил, амино-С1-С4-алкил, С1-С4-алкиламино-С1-С4-алкил, ди(C1-C4-алкил) амино-С1-С4-алкил (диалкилы могут образовывать 5- или 6-членный алифатический цикл или гетероцикл), гидрокси-С1-С4-алкил- или ди(гидрокси-С1-С4-алкил) амино-С1-С4-алкил, аминогруппу, С1-С4-алкил- или ди(С1-С4-алкил)аминогруппу, галоген, остаток карбоновой кислоты или сульфокислоты; – i равно 0, 1, 2 или 3; – р равно 0 или 1; – q равно 0 или 1; – n равно 0 или 1; при условии что: (i) сумма p+q отлична от 0; (ii) когда p+q=2, то n=0, а группы NR33R34 и NR35R36 занимают положения (2, 3), (5, 6), (6, 7), (3, 5) или (3, 7); (iii) когда p+q= 1, то n=1, а группа NR33R34 (или NR35R36) и группа ОН занимают положения (2, 3), (5, 6), (6, 7), (3, 5) или (3, 7). Пиразоло-[1,5-а] -пиримидины приведенной выше формулы V являются соединениями известными и, в частности, описаны в патентной заявке FR-A-2750048, содержание которой является составной частью настоящей заявки. Из пиразоло-[1,5-а]-пиримидинов формулы V, пригодных для использования в качестве окисляемых оснований в красящих композициях по изобретению, могут быть, в частности, названы: – пиразоло-[1,5- а]-пиримидин-3,7-диамин; – 2-метил-пиразоло-[1,5- а]-пиримидин-3,7-диамин; – 2,5-диметил-пиразоло-[1,5- а]-пиримидин-3,7-диамин; – пиразоло-[1,5- а]-пиримидин-3,5-диамин; – 2,7-диметилпиразоло-[1,5- а]-пиримидин-3,5-диамин; – 3-аминопиразоло-[1,5- а]-пиримидин-7-ол; – 3-амино-5-метилпиразоло-[1,5 -а]-пиримидин-7-ол; – 3-аминопиразоло-[1,5 -а]-пиримидин-5-ол; – 2-(3-аминопиразоло-[1,5 -а]-пиримидин-7-иламино)этанол; – 3-амино-5-метил-7-имидазолилпропиламино пиразоло-[1,5 -а]-пиримидин; – 3-амино-7- -гидроксиэтиламино -5-метил-пиразоло-[1,5 -а]-пиримидин;– 2(7-аминопиразоло-[1,5 -а]- пиримидин-3-иламино)этанол; – 2[(3-аминопиразоло-[1,5 -а] -пиримидин-7-ил)-(2-гидроксиэтил) амино] этанол; – 2[(7-аминопиразоло-[1,5 -а] -пиримидин-3-ил)-(2-гидроксиэтил) амино] этанол; – 5,6-диметилпиразоло-[1,5 -а]-пиримидин-3,7-диамин; – 2,6-диметилпиразоло-[1,5 -а]-пиримидин-3,7-диамин; – 2,5,N-7,N-7-тетраметилпиразоло-[1,5 -а]-пиримидин-3,7-диамин; и их солевые аддукты с кислотами или основаниями. Прямой катионный краситель или красители, которые могут быть использованы в красящей композиции по изобретению, выбирают преимущественно из числа катионных аминоантрахиноновых соединений, катионных моно- и диазосоединений и катионных нафтохинонов. В качестве примера могут быть, в частности, названы хлорид [8-[(п-аминофенил)азол] -7-гидрокси-2-нафтил] триметиламмония (называемый также Basic Brown 16 или Arianor Mahogany 306002 в Color Index), комбинация хлорида 3[(4-амино-6-бром-5,8-дигидро -1-гидрокси-8-имино-5-оксо-2-нафталенил)амино] -N, N, N-триметилбензаминия и хлорида 3-[(2,6-дибром-5,8-дигидро-1-гидрокси -8-амино 5-оксо-3-нафтил)амино] -N,N,N-триметилбензаминия (называемая также Basic Blue 99 или Arianor Steel Blue 306004 в Color Index), хлорид 7-гидрокси-8-[(2-метоксифенил)азо]-N,N,N-триметил-2-нафтаминия (называемый также Basic Red 76 или Arianor Madder Red в Color Index), хлорид [8-[(4-амино-2-нитрофенил) азо]-7-гидрокси-2-нафтил]триметиламмония (называемый также Basic Red 118 или Arianor Bordeaux 306006 в Color Index), комбинация хлорида [(8-[(4-амино-3-нитрофенил) азо-7-гидрокси-2-нафтил]триметиламмония и хлорида [8-[(4-амино-2-нитрофенил) азо]-7-гидрокси-2-нафтил]триметиламмония (называемая также Basic Brown 17 или Arianor Sienna Brown 306001 в Color Index), хлорид 3-[(4,5-дигидро-3-метил-5-оксо -1-фенил-1Н-пиразол-4-ил)азо]-N,N,N-триметилбензаминия (называемая также Basic Yellow 57 или Arianor Straw Yellow 306005 в Color Index), гидрохлорид 1-( -аминопропил)аминоантрахинона, метилсульфат 1-N-(метилморфолинийпропил)амино-4-гидроксиантрахинона и Basic Orange 69 (название Color Index).
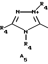
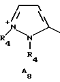
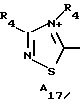
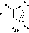
Прямой катионный краситель или красители, используемые в красящей композиции по изобретению, могут быть также выбраны из соединений приведенных ниже формул I, II, III, III’ и IV:а) соединения формулы I ![]() в которой D обозначает атом азота или группу -СН; – R1 и R2, одинаковые или разные, обозначают атом водорода, радикал С1-С4-алкил, который может быть замещен радикалом -CN, ОН или NH2, или вместе с атомом углерода бензольного цикла образуют кислород- или азотсодержащий гетероцикл, который может быть замещен одним или несколькими С1-С4-алкилами, или радикал 4′-аминофенил; – R3 и R3‘, одинаковые или разные, обозначают атом водорода или галогена, выбранный из хлора, брома, йода и фтора, радикал циано, С1-С4-алкокси или ацетокси; – Х– обозначает анион, преимущественно выбранный из хлорида, метилсульфата и ацетата; – А обозначает группу, выбранную из приведенных ниже структур А1-А19: ![]() ![]() ![]() ![]() ![]() ![]() ![]() ![]() ![]() ![]() ![]() ![]() ![]() ![]() ![]() ![]() ![]() ![]() ![]() в которых R4 обозначает С1-C4-алкил, который может быть замещен гидроксилом, a R5 обозначает С1-С4-алкокси-радикал при условии, что, когда D обозначает -СН, А обозначает А4 или А13 и R3 не является алкоксирадикалом, тогда R1 и R2 не могут быть одновременно атомами водорода; b) соединения формулы II ![]() в которой R6 обозначает атом водорода или С1-C4-алкил; – R7 обозначает атом водорода, радикал алкил, который может быть замещен радикалом -CN или аминогруппой, радикал 4′-аминофенил, или вместе с R6 образует кислород- и/или азотсодержащий гетероцикл, который может быть замещен C1-C4-алкилом; – R8 и R9, одинаковые или разные, обозначают атом водорода или галогена, выбранный из хлора, брома, йода и фтора, радикалы 1-С4-алкил, С1-С4-алкокси и -CN; – X– обозначает анион, преимущественно выбранный из хлорида, метилсульфата и ацетата; – В обозначает группу, выбранную из приведенных ниже структур В1-В6: ![]() ![]() ![]() ![]() ![]() ![]() в которых R10 обозначает С1-C4-алкил, R11 и R12, одинаковые или разные, обозначают атом водорода или C1-C4-алкил; с) соединения формул III и III’ ![]() ![]() в которых R13 обозначает атом водорода, С1-С4-алкокси или атом галогена, выбранный из хлора, брома, йода и фтора, или аминогруппу; – R14 обозначает атом водорода, C1-C4-алкил или, вместе с атомом углерода бензольного цикла, образует гетероцикл, который может включать атом кислорода и/или быть замещенным одним или несколькими С1-С4-алкилрадикалами; – R15 обозначает атом водорода или галогена, такого как хлор, бром, йод или фтор; – R16 и R17, одинаковые или разные, обозначают атом водорода или С1-С4-алкил; – D1 и D2, одинаковые или разные, обозначают атом азота или группу -СН; m равно 0 или 1, при условии, что, когда R13 обозначает незамещенную аминогруппу, то D1 и D2 одновременно обозначают группу -СН, а m=0, – Х– обозначает анион, преимущественно выбранный из хлорида, метилсульфата и ацетата; – Е обозначает группу, выбранную из приведенных ниже структур Е1-Е8: ![]() ![]() ![]() ![]() ![]() ![]() ![]() ![]() в которых R1 обозначает С1-С4-алкил; когда m= 0 и D1 обозначает атом азота, тогда Е может также обозначать группу, имеющую приведенную ниже структуру Е9 ![]() в которой R1 обозначает С1-С4-алкил. d) соединения формулы IV G – N = N – J, (IV) в которой символ G обозначает группу, выбранную из приведенных ниже структур G1-G3: ![]() ![]() ![]() в которых R18 обозначает С1-С4-алкил, фенил, который может быть замещен С1-С4-алкилом, или атом галогена (бром, хлор, йод или фтор); – R19 обозначает С1-С4-алкил или фенил; – R20 и R21, одинаковые или разные, обозначают C1-C4-алкил, фенил или вместе образуют в G1 бензольный цикл, замещенный одним или несколькими С1-С4-алкилами, С1-С4-алкокси или NO2, или образуют в G2 бензольный цикл, возможно замещенный одним или несколькими 1-C4-алкилами, С1-С4-алкокси или NO2; – R20 может, кроме того, обозначать атом водорода; – Z обозначает атом кислорода, серы или группу -NR19; – М обозначает группу -СН, -CR” (R” обозначает C1-C4-алкил) или -NR22(X–)r; – К обозначает группу -СН, -CR” (R” обозначает C1-C4-алкил) или -NR22(X–)r; – Р обозначает группу -СН, -CR” (R” обозначает C1-C4-алкил) или -NR22(X–)r; где r равно 0 или 1; – R22 обозначает атом O–, радикал С1-С4-алкокси или C1-C4-алкил; – R23 и R24, одинаковые или разные, обозначают атом водорода или галогена (бром, хлор, йод или фтор), С1-С4-алкил, C1-C4-алкокси или радикал -NO2; – X– обозначает анион, преимущественно выбранный из хлорида, йодида, метилсульфата, этилсульфата, ацетата и перхлората; при условии, что, – если R22 обозначает О–, то r равно 0; – если К, или P, или М обозначает -N-(С1-С4-алкил)Х–, то по меньшей мере один из радикалов R23 и R24 отличен от атома водорода; – если К обозначает -NR22(X–)r, то М=Р и обозначают -СН или -CR”; – если М обозначает -NR22(X–)r, то К=Р и обозначают -СН или -CR”; – если Р обозначает -NR22(Х–)r, то К=М и обозначают -СН или -CR”; – если Z обозначает атом серы, a R21 обозначает С1-С4-алкил, то R20 отличен от атома водорода; – если Z обозначает -NR22, a R19 обозначает С1-С4-алкил, то по меньшей мере один из радикалов R18, R19 или R20 группы со структурой G2 не является С1-С4-алкилом; – J обозначает: либо группу, обладающую приведенной ниже структурой J1: ![]() в которой R25 обозначает атом водорода, атом галогена (бром, хлор, йод или фтор), C1-C4-алкил, С1-С4-алкокси, радикал -ОН, -NO2, -NHR28, -NR29R30, -NHCO(С1-С4-алкил) или образует вместе с R26 5- или 6-членный цикл, который может содержать один или несколько гетероатомов, выбранных из азота, кислорода или серы; – R26 обозначает атом водорода, атом галогена (бром, хлор, йод или фтор), С1-С4-алкил, С1-С4-алкокси или образует вместе с R27 или R28 5- или 6-членный цикл, который может содержать один или несколько гетероатомов, выбранных из азота, кислорода или серы; – R27 обозначает атом водорода, радикал -ОН, -NHR28 или -NR29R30; – R28 обозначает атом водорода, С1-С4-алкил, моногидрокси-С1-С4-алкил, полигидрокси-С2-С4-алкил или фенил; – R29 и R30, одинаковые или разные, обозначают С1-С4-алкил, моногидрокси-С1-С4-алкил или полигидрокси-С2-С4-алкил; либо азотсодержащую 5- или 6-членную гетероциклическую группу, которая может также содержать другие гетероатомы и/или карбонильные группы и быть замещенной одним или несколькими радикалами: С1-С4-алкилом, аминогруппой или фенилом, в частности группу, имеющую приведенную ниже структуру J2: ![]() в которой R31 и R32, одинаковые или разные, обозначают атом водорода, С1-С4-алкил или фенил; – Y обозначает радикал -СО- или радикал ![]() – n равно 0 или 1, причем, когда n=1, тогда U обозначает радикал -СО-. В определенных выше структурах I-IV группы С1-С4-алкил и С1-С4-алкокси преимущественно обозначают метил, этил, бутил, метокси или этокси. Прямые катионные красители формул I, II, III и III’, пригодные для использования в красящих композициях по изобретению, являются известными соединениями и описаны, например, в патентных заявках WO 95/01772, WO 95/15144 и ЕР-А-0714954. Прямые катионные красители формулы IV, пригодные для использования в красящих композициях по изобретению, также являются известными соединениями и описаны, например, в патентных заявках FR-A-2189006, FR-A-2285851, FR-A-2140205 и дополнительных сертификатах к ним. Из числа катионных прямых красителей формулы I, пригодных для использования в красящих композициях по изобретению, можно выделить соединения, отвечающие приведенным в конце описания структурам I1-I52. Из приведенных структур I1-I52 особенно предпочтительны соединения, отвечающие структурам I1, I2, I14 И I31. Из числа катионных прямых красителей формулы II, пригодных для использования в красящих композициях по изобретению, можно выделить соединения, отвечающие приведенным в конце описания структурам II1-II12. Из числа катионных прямых красителей формулы III, пригодных для использования в красящих композициях по изобретению, можно выделить соединения, отвечающие приведенным в конце описания структурам III1-III18. Из приведенных структур III1-III18 особенно предпочтительны соединения, отвечающие структурам III4, III5 и III13. Из числа катионных прямых красителей формулы III’, пригодных для использования в красящих композициях по изобретению, можно выделить соединения, отвечающие приведенным в конце описания структурам III’1-III’3. Из числа катионных прямых красителей формулы IV, пригодных для использования в красящих композициях по изобретению, можно выделить соединения, отвечающие приведенным в конце описания структурам (IV)1-(IV)77. Пиразоло-[1,5-а] -пиримидиновое соединение или соединения формулы V, соответствующие настоящему изобретению, и/или их солевые аддукты с кислотами или основаниями преимущественно составляют приблизительно от 0,0005 до 12 и предпочтительно приблизительно от 0,005 до 6% от общей массы красящей композиции. Катионный прямой краситель или красители, используемые согласно изобретению, преимущественно составляют приблизительно от 0,001 до 10 и предпочтительно приблизительно от 0,005 до 5% от общей массы красящей композиции. Подходящая для окрашивания среда (или носитель) обычно состоит из воды или смеси воды с по меньшей мере одним органическим растворителем для растворения не достаточно хорошо растворимых в воде соединений. В качестве органического растворителя могут быть, например, названы С1-С4-алканолы, такие как этанол и изопропиловый спирт; глицерин, гликоли и простые эфиры гликолей, такие как 2-бутоксиэтанол, пропиленгликоль, монометиловый эфир пропиленгликоля, моноэтиловый и монометиловый эфиры диэтиленгликоля, а также ароматические спирты, такие как бензиловый спирт или феноксиэтанол; аналогичные продукты и их смеси. Растворители могут присутствовать в количествах приблизительно от 1 до 40 и преимущественно приблизительно от 5 до 30% от общей массы красящей композиции. Величина рН красящей композиции в соответствии с изобретением обычно составляет приблизительно от 3 до 12 и предпочтительно приблизительно от 5 до 11. Ее можно довести до желаемого значения с помощью подкисляющих или подщелачивающих агентов, обычно применяемых при окрашивании кератиновых волокон. Из подкисляющих агентов, в качестве примера, можно назвать такие минеральные и органические кислоты, как соляная кислота, ортофосфорная кислота, серная кислота, карбоновые кислоты, такие как уксусная, винная, лимонная и молочная, и сульфоновые кислоты. Из подщелачивающих агентов, в качестве примера, можно назвать аммиак, карбонаты щелочных металлов, алканоламины, такие как моно-, ди- и триэтаноламины, 2-амино-2-метилпропанол, а также их производные, гидроксиды натрия или калия и соединения приведенной ниже формулы VI ![]() в которой W обозначает пропиленовый остаток, который может быть замещен гидроксильной группой или C1-С6-алкилом; R36, R37, R38 и R39, одинаковые или разные, обозначают атом водорода, C1-С6-алкил или гидрокси-С1-С6-алкил. Красящая композиция по изобретению может также содержать одно или несколько краскообразующих веществ, выбираемых из краскообразующих веществ, традиционно используемых при окислительном окрашивании, из которых можно, в частности, назвать м-фенилендиамины, м-аминофенолы, м-дифенолы и гетероциклические краскообразующие вещества, такие, например, как производные индола, индолина, пиридина и пиразолоны, а также их солевые аддукты с кислотами. Более конкретно, краскообразующие вещества выбирают из следующих соединений: 5-амино-2-метилфенол, 5-N-( -гидроксиэтил)амино-2-метилфенол, 3-аминофенол, 1,3-дигидроксибензол, 1,3-дигидрокси-2-метилбензол, 4-хлор-1,3-дигидроксибензол, 2,4-диамино-1-( -гидроксиэтокси)бензол, 2-амино-4( -гидроксиэтиламино)-1-метоксибензол, 1,3-диаминобензол, 1,3-бис-(2,4-диаминофенокси)пропан, сезамол, альфа-нафтол, 6-гидроксииндол, 4-гидроксииндол, 4-гидрокси-N-метилиндол, 6-гидроксииндолин, 2,6-дигидрокси-4-метилпиридин, 1-Н-3-метилпиразол-5-он, 1-фенил-3-метилпиразол-5-он и их солевые аддукты с кислотами.
В случае их присутствия краскообразующие вещества преимущественно составляют приблизительно от 0,0001 до 10 и предпочтительно приблизительно от 0,005 до 5% от общей массы красящей композиции.
Красящая композиция по изобретению может также содержать одно или несколько дополнительных окисляемых оснований, отличных от пиразоло-[1,5-а]-пиримидинов и/или один или несколько прямых некатионных красителей, в частности, для модификации оттенков окраски или для обогащения отлива.
Из дополнительных окисляемых оснований, которые могут быть использованы в красящих композициях по изобретению, могут быть названы п-фенилендиамины, бис-фенилалкилендиамины, п-аминофенолы, о-аминофенолы и гетероциклические основания.
Из числа п-фенилендиаминов можно, в частности, выделить в качестве примера п-фенилендиамин, п-толуилендиамин, 2-хлор-п-фенилендиамин, 2,3-диметил-п-фенилендиамин, 2,6-диметил-п-фенилендиамин, 2,6-диэтил-п-фенилендиамин, 2,5-диметил-п-фенилендиамин, N,N-диметил-п-фенилендиамин, N,N-диэтил-п-фенилендиамин, N, N-дипропил-п-фенилендиамин, 4-амино-N,N-диэтил-3-метиланилин, N,N-,бис( -гидроксиэтил)-п-фенилендиамин, 4-N,N-бис-( -гидроксиэтил)амино-2-метиланилин, 4-N, N-бис-( -гидроксиэтил)амино-2-хлоранилин, 2-( -гидроксиэтил)-п-фенилендиамин, 2-фтор-п-фенилендиамин, 2-изопропил-п-фенилендиамин, N-( -гидроксипропил)-п-фенилендиамин, 2-гидроксиметил-п-фенилендиамин, N, N-диметил-3-метил-п-фенилендиамин, N-этил-N-( -гидроксиэтил)-п-фенилендиамин, N-( , -дигидроксипропил)-п-фенилендиамин, N-(4′-аминофенил)-п-фенилендиамин, N-фенил-п-фенилендиамин, 2-( -гидроксиэтокси)-п-фенилендиамин, 2-( -ацетиламиноэтокси)-п-фенилендиамин, N-( -метоксиэтил)-п-фенилендиамин и их солевые аддукты с кислотами.
Наиболее предпочтительными из приведенных выше п-фенилендиаминов являются п-фенилендиамин, п-толуилендиамин, 2-изопропил-п-фенилендиамин, 2-( -гидроксиэтил)-п-фенилендиамин, 2-( -гидроксиэтокси)-п-фенилендиамин, 2,6-диметил-п-фенилендиамин, 2,6-диэтил-п-фенилендиамин, 2,3-диметил-п-фенилендиамин, N, N-бис( -гидроксиэтил)-п-фенилендиамин, 2-хлор-п-фенилендиамин, 2-( -ацетиламиноэтокси)-п-фенилендиамин и их солевые аддукты с кислотами.
Из бис-фенилалкилендиаминов можно, в частности, назвать в качестве примера N,N’-бис( -гидроксиэтил)-N,N’-бис-(4′-аминофенил)-1,3-диаминопропанол, N, N’-бис-( -гидроксиэтил)-N,N’-бис-(4′-аминофенил) этилендиамин, N,N’-бис-(4-аминофенил) тетраметилендиамин, N,N’-бис-( -гидроксиэтил)-N,N’-бис-(4-аминофенил)тетраметилендиамин, N, N’-бис-(4-метиламинофенил) тетраметилендиамин, N,N’-бис(этил)-N,N’-бис-(4′-амино-3′-метилфенил)этилендиамин, 1,8-бис(2,5-диаминофенокси)-3,5-диоксаоктан и их солевые аддукты с кислотами.
Из числа п-аминофенолов можно, в частности, назвать п-аминофенол, 4-амино-3-метилфенол, 4-амино-3-фторфенол, 4-амино-3-гидроксиметилфенол, 4-амино-2-метилфенол, 4-амино-2-гидроксиметилфенол, 4-амино-2-метоксиметилфенол, 4-амино-2-аминометилфенол, 4-амино-2-( -гидроксиэтиламинометил)фенол, 4-амино-2-фторфенол и их солевые аддукты с кислотами.
Из о-аминофенолов можно, в частности, назвать в качестве примера 2-аминофенол, 2-амино-5-метилфенол, 2-амино-6-метилфенол, 5-ацетамидо-2-аминофенол и их солевые аддукты с кислотами.
Из гетероциклических оснований можно, в частности, назвать в качестве примера производные пиридина и пиримидина, отличные от соответствующих изобретению соединений формулы V, и производные пиразола.
Из производных пиридина можно, в частности, назвать соединения, описанные, например, в патентах GB 1026978 и GB 1153196, такие как 2,5-диаминопиридин, 2-(4-метоксифенил)амино-3-аминопиридин, 2,3-диамино-6-метоксипиридин, 2-( -метоксиэтил)амино-3-амино-6-метоксипиридин, 3,4-диаминопиридин и их солевые аддукты с кислотами.
Из производных пиримидина можно, в частности, назвать соединения, описанные, например, в германском патенте DE 2359399, или японских патентах JP 88-169571 и JP 91-10659, или патентной заявке WO 96/15765, такие как 2,4,5,6-тетрааминопиримидин, 4-гидрокси-2,5,6-триаминопиримидин, 2-гидрокси-4,5,6-триаминопиримидин, 2,4-дигидрокси-5,6-диамино-пиримидин и 2,5,6-триаминопиримидин.
Из производных пиразола можно назвать соединения, описанные в патентах DE 3843892 и DE 4133957 и патентных заявках WO 94/08969, WO 94/08970, FR-A-2733749 и DE 19543988, такие как 4,5-диамино-1-метилпиразол, 3,4-диаминопиразол, 4,5-диамино-1-(4′-хлорбензил)пиразол, 4,5-диамино-1,3-диметилпиразол, 4,5-диамино-3-метил-1-фенилпиразол, 4,5-диамино-1-метил-3-фенилпиразол, 4-амино-1,3-диметил-5-гидразинопиразол, 1-бензил-4,5-диамино-3-метилпиразол, 4,5-диамино-3-трет-бутил-1-метилпиразол, 4,5-диамино-1-третбутил-3-метилпиразол, 4,5-диамино-1-( -гидроксиэтил)-3-метилпиразол, 4,5-диамино-1-этил-3-метилпиразол, 4,5-диамино-1-этил-3-(4′-метоксифенил)пиразол, 4,5-диамино-1-этил-3-гидроксиметилпиразол, 4,5-диамино-3-гидроксиметил -1-метилпиразол, 4,5-диамино-3-гидроксиметил-1-изопропилпиразол, 4,5-диамино-3-метил-1-изопропилпиразол, 4-амино-5- (2′-аминоэтил) амино-1,3-диметилпиразол, 3,4,5-триаминопиразол, 1-метил-3,4,5-триаминопиразол, 3,5-диамино-1-метил-4-метиламинопиразол, 3,5-диамино-4-( -гидроксиэтил)амино-1-метилпиразол и их солевые аддукты с кислотами.
В случае их присутствия дополнительные окисляемые основания преимущественно составляют приблизительно от 0,0005 до 12 и предпочтительно приблизительно от 0,005 до 6% от общей массы красящей композиции.
В целом, пригодные для использования в настоящем изобретении солевые аддукты с кислотами (соединения формулы V, дополнительные окисляемые основания и краскообразующие вещества) выбирают более конкретно из числа гидрохлоридов, гидробромидов, сульфатов, цитратов, сукцинатов, тартратов, лактатов и ацетатов. Солевые аддукты с основаниями, пригодные для использования в красящих композициях по изобретению (соединения формулы V), получают, в частности, с гидроксидами натрия, калия, аммония и аминами.
Красящая композиция по изобретению может также содержать различные добавки, традиционно используемые в композициях для окрашивания волос, такие как анионные, катионные, неионогенные, амфотерные и цвиттерионные поверхностно-активные вещества или их смеси; анионные, катионные, неионные, амфотерные и цвиттерионные полимеры или их смеси; минеральные или органические загустители, такие, например, как неионные гуаровые смолы; антиоксиданты, пропиточные агенты, комплексообразующие агенты, отдушки, буферы, диспергенты; кондиционирующие агенты, такие, например, как летучие или нелетучие, модифицированные или немодифицированные силиконы; пленкообразующие агенты, керамиды, консерванты и матирующие агенты.
Само собой разумеется, что специалист должен предусмотреть, чтобы выбранное или выбранные им дополнительные соединения при их добавлении не ухудшили или существенно не ухудшили полезные свойства, изначально присущие композициям по изобретению.
Красящая композиция по изобретению может быть представлена в различных формах: в виде жидкостей, порошков, кремов гелей или в любом другом виде, пригодном для осуществления окрашивания кератиновых волокон, в частности человеческих волос.
Предметом изобретения является также способ окрашивания кератиновых волокон и, в частности, кератиновых волокон человека, таких как волосы, с использованием определенной выше красящей композиции.
Согласно этому способу на волокна наносят по меньшей мере одну определенную выше красящую композицию, при этом окраска проявляется при кислых, нейтральных или щелочных значениях рН с помощью неферментативного окисляющего агента, который добавляют непосредственно в момент применения красящей композиции или который присутствует в окислительной композиции, наносимой одновременно с красящей или после нее.
В соответствии с предпочтительным вариантом осуществления способа окрашивания по изобретению в момент применения осуществляют смешивание описанной выше красящей композиции с окислительной композицией, содержащей в подходящей для окрашивания среде по меньшей мере один неферментативный окислительный агент, присутствующий в количестве, достаточном для проявления окраски. Полученную при этом смесь наносят затем на кератиновые волокна и оставляют на приблизительно от 3 до 50 и предпочтительно приблизительно от 5 до 30 мин, после чего волокна ополаскивают, промывают шампунем, вновь ополаскивают и сушат.
Присутствующий в описанной выше окислительной композиции окислительный агент выбирают из числа окислительных агентов, традиционно используемых для окислительного окрашивания кератиновых волокон, из которых могут быть названы перекись водорода, перекись мочевины, броматы щелочных металлов, надкислоты и персоли, такие как пербораты и персульфаты. Наиболее предпочтительна перекись водорода.
Величина рН определенной выше окислительной композиции, содержащей окислительный агент, такова, что величина рН наносимой на кератиовые волокна результирующей композиции преимущественно составляет приблизительно от 3 до 12 и предпочтительно от 5 до 11. Эта величина корректируется по желанию с помощью подкисляющих или подщелачивающих агентов, обычно используемых при окрашивании кератиновых волокон и определенных выше.
Определенная выше окислительная композиция может также содержать различные добавки, традиционно используемые в композициях для окрашивания волос и определенные выше.
Композиция, которую в конечном итоге наносят на кератиновые волокна, может быть представлена в различных формах, таких как жидкости, кремы, гели, или в любой другой форме, подходящей для осуществления окрашивания кератиновых волокон, в частности волос человека.
Еще одним предметом изобретения является устройство с несколькими отделениями, или красильный “набор”, или любая другая система упаковки с несколькими отделениями, из которых первое отделение содержит определенную выше красящую композицию, а второе отделение содержит определенную выше окислительную композицию. Устройства могут быть дополнены приспособлением, позволяющим нанесение на волосы желаемой смеси. Такие устройства описаны в патенте FR-2586913, выданном на имя заявителя.
Приведенный далее пример предназначен для иллюстрирования изобретения, не ограничивая при этом его объема.
ПРИМЕР ОКРАШИВАНИЯ В ЩЕЛОЧНОЙ СРЕДЕПриготовили следующую композицию по изобретению: – пиразол-[1,5-а] -пиримидин-3,7-диамин, 2НСl (окисляемое основание) – 0,333 г; – прямой катионный краситель формулы 12 – 1 г; – этиловый спирт 96%-ный – 18 г; – пентанатриевая соль диэтилентриаминопентауксусной кислоты – 1,1 г; – 20%-ный аммиак – 10,0 г; – деминерализованная вода в достаточном количестве – до 100 г. В момент применения смешивают приведенную выше красящую композицию с равным по массе количеством 20%-ного по объему (6% по массе) раствора перекиси водорода с рН 3. Полученную смесь наносят на пряди натуральных седых волос с 90% седины на 30 мин. Пряди после этого ополаскивают, моют стандартным шампунем, вновь ополаскивают и сушат. Волосы окрашиваются в сильный оттенок фуксия. Формула изобретения
![]() в которой R33, R34, R35 и R36, одинаковые или разные, обозначают атом водорода, С1-С4-алкил, арил, гидрокси-С1-С4-алкил, полигидрокси-С2-С4-алкил, С1-C4-алкокси-С1-С4-алкил, амино-С1-С4-алкил (аминогруппа может быть защищена ацетильной, уреидо- или сульфонильной группой), C1-C4-алкиламино-С1-С4-алкил, ди(С1-С4-алкил)амино-С1-С4-алкил (диалкилы могут образовывать 5- или 6-членный алифатический цикл или гетероцикл), гидрокси-С1-С4-алкил- или ди(гидрокси-С1-С4-алкил)амино- С1-С4-алкил; радикалы R, одинаковые или разные, обозначают атом водорода, С1-С4-алкил, арил, гидрокси-С1-С4-алкил, полигидрокси-С2-С4-алкил, амино-С1-С4-алкил, С1-С4-алкиламино-С1-С4-алкил, ди(С1-С4-алкил)амино-С1-С4-алкил (диалкилы могут образовывать 5- или 6-членный алифатический цикл или гетероцикл), гидрокси-С1-С4-алкил- или ди(гидрокси-С1-С4-алкил)амино-С1-С4-алкил, аминогруппу, С1-С4-алкил- или ди(С1-С4-алкил)аминогруппу, галоген, остаток карбоновой кислоты или сульфокислоты; i равно 0, 1, 2 или 3; р равно 0 или 1; q равно 0 или 1; n равно 0 или 1; при условии что (i) сумма p+q отлична от 0; (ii) когда p+q= 2, то n= 0, а группы NR33R34 и NR35R36 занимают положения (2, 3), (5, 6), (6, 7), (3, 5) или (3, 7); (ii) когда p+q= l, то n= 1, а группа NR33R34 (или NR35R36) и группа ОН занимают положения (2, 3), (5, 6), (6, 7), (3, 5) или (3, 7). 3. Композиция по п. 2, отличающаяся тем, что пиразоло[1,5-а] -пиримидины формулы V могут быть выбраны из следующих соединений: пиразоло-[1,5-а] -пиримидин-3,7-диамин; 2-метил-пиразоло-[1,5-а] -пиримидин-3,7-диамин; -2,5-диметил-пиразоло-[1,5-а] -пиримидин-3,7-диамин; – пиразоло-[1,5-а] -пиримидин-3,5-диамин; -2,7-диметилпиразоло-[1,5-а] -пиримидин-3,5-диамин; -3-аминопиразоло-[1,5-а] -пиримидин-7-ол; -3-амино-5-метилпиразоло-[1,5-а] -пиримидин-7-ол; -3-аминопиразоло-[1,5-а] -пиримидин-5-ол; -2-(3-аминопиразоло-[1,5-а] -пиримидин-7-иламино)этанол; -3-амино-7- -гидроксиэтиламино-5-метил-пиразоло-[1,5-а] -пиримидин;-2-(7-аминопиразоло-[1,5-а] -пиримидин-3-иламино)этанол; -2[(3-аминопиразоло-[1,5-а] -пиримидин-7-ил)-(2-гидроксиэтил) амино] этанол; -2[(7-аминопиразоло-[1,5-а] -пиримидин-3-ил)-(2-гидроксиэтил) амино] этанол; -5,6-диметилпиразоло-[1,5-а] -пиримидин-3,7-диамин; -2,6-диметилпиразоло-[1,5-а] -пиримидин-3,7-диамин; -2,5, N-7, N-7-тетраметилпиразоло-[1,5-а] -пиримидин-3,7-диамин, и их солевые аддукты с кислотами или основаниями. 4. Композиция по п. 1, отличающаяся тем, что прямой катионный краситель или красители выбирают из числа катионных аминоантрахиноновых соединений, катионных моно- и диазосоединений и катионных нафтохинонов. 5. Композиция по п. 4, отличающаяся тем, что прямые катионные красители выбирают из следующих соединений: хлорид [8-[(п-аминофенил)азол] -7-гидрокси-2-нафтил] триметиламмония, комбинация хлорида 3[(4-амино-6-бром-5,8-дигидро-1-гидрокси-8-имино-5-оксо-2-нафталенил)амино] -N, N, N-триметилбензаминия и хлорида 3-[(2,6-дибром-5,8-дигидро-1-гидрокси-8-имино-5-оксо-3-нафтил)амино] -N, N, N-триметилбензаминия, хлорид 7-гидрокси-8-[(2-метоксифенил)азо] -N, N, N-триметил-2-нафтаминия, хлорид [8-[(4-амино-2-нитрофенил)азо] -7-гидрокси-2-нафтил] триметиламмония, комбинация хлорида [(8-[(4-амино-3-нитрофенил)азо] -7-гидрокси-2-нафтил] триметиламмония и хлорида [8-[(4-амино-2-нитрофенил)азо] -7-гидрокси-2-нафтил] триметиламмония, хлорид 3-[(4,5-дигидро-3-метил-5-оксо-1-фенил-1Н-пиразол-4-ил)азо] -N, N, N-триметилбензаминия, гидрохлорид 1-( -аминопропил)аминоантрахинона, метилсульфат 1-N-(метилморфолинийпропил)амино-4-гидроксиантрахинон и Basic Orange 69 .6. Композиция по п. 1, отличающаяся тем, что прямой катионный краситель или красители выбирают из соединений приведенных ниже формул I, II, III, III’ и IV: а) соединения формулы I ![]() в которой D обозначает атом азота или группу -СН; R1 и R2, одинаковые или разные, обозначают атом водорода, радикал С1-С4-алкил, который может быть замещен радикалом -CN, ОН или NH2, или вместе с атомом углерода бензольного цикла образуют кислород- или азотсодержащий гетероцикл, который может быть замещен одним или несколькими С1-С4-алкилами, или радикал 4′-аминофенил; R3 и R’3, одинаковые или разные, обозначают атом водорода или галогена, выбранный из хлора, брома, иода и фтора, радикал циано, C1-C4-алкокси или ацетокси; X– обозначает анион, преимущественно выбранный из хлорида, метилсульфата и ацетата; А обозначает группу, выбранную из приведенных ниже структур А1-А19: ![]() ![]() ![]() ![]() ![]() ![]() ![]() ![]() ![]() ![]() ![]() ![]() ![]() ![]() ![]() ![]() ![]() ![]() ![]() в которых R4 обозначает С1-С4-алкил, который может быть замещен гидроксилом, a R5 обозначает С1-С4-алкокси-радикал при условии, что, когда D обозначает -СН, А обозначает А4 или А13 и R3 не является алкокси-радикалом, тогда R1 и R2 не могут быть одновременно атомами водорода; b) соединения формулы II ![]() в которой R6 обозначает атом водорода или С1-С4-алкил; R7 обозначает атом водорода, радикал алкил, который может быть замещен радикалом -CN или аминогруппой, радикал 4′-аминофенил или вместе с R6 образует кислород- и/или азотсодержащий гетероцикл, который может быть замещен С1-С4-алкилом; R8 и R9, одинаковые или разные, обозначают атом водорода или галогена, выбранный из хлора, брома, иода и фтора, радикалы 1-С4-алкил, С1-С4-алкокси и -CN; X– обозначает анион, преимущественно выбранный из хлорида, метилсульфата и ацетата; В обозначает группу, выбранную из приведенных ниже структур В1-В6: ![]() ![]() ![]() ![]() ![]() ![]() в которых R10 обозначает С1-С4-алкил, R11 и R12, одинаковые или разные, обозначают атом водорода или С1-С4-алкил; с) соединения формул III и III’ ![]() ![]() в которых R13 обозначает атом водорода, С1-С4-алкокси или атом галогена, выбранный из хлора, брома, иода и фтора, или аминогруппу; R14 обозначает атом водорода, С1-С4-алкил или вместе с атомом углерода бензольного цикла образует гетероцикл, который может включать атом кислорода и/или быть замещенным одним или несколькими C1-C4-алкил-радикалами; R15 обозначает атом водорода или галогена, такого, как хлор, бром, иод или фтор; R16 и R17, одинаковые или разные, обозначают атом водорода или С1-С4-алкил; D1 и D2, одинаковые или разные, обозначают атом азота или группу -СН; m равно 0 или 1, при условии, что, когда R13 обозначает незамещенную аминогруппу, тогда D1 и D2 одновременно обозначают группу -СН, а m= 0, X– обозначает анион, преимущественно выбранный из хлорида, метилсульфата и ацетата; Е обозначает группу, выбранную из приведенных ниже структур Е1-Е8: ![]() ![]() ![]() ![]() ![]() ![]() ![]() ![]() в которых R1 обозначает С1-С4-алкил; когда m= 0 и D1 обозначает атом азота, тогда Е может также обозначать группу, имеющую приведенную ниже структуру Е9 ![]() в которой R1 обозначает С1-С4-алкил; d) соединения формулы IV G-N = N-J, в которой символ G обозначает группу, выбранную из приведенных ниже структур G1-G3: ![]() ![]() в которых R18 обозначает С1-С4-алкил, фенил, который может быть замещен С1-С4-алкилом, или атом галогена (бром, хлор, иод или фтор); R19 обозначает С1-С4-алкил или фенил; R20 и R21, одинаковые или разные, обозначают С1-С4-алкил, фенил или вместе образуют в G1 бензольный цикл, замещенный одним или несколькими С1-С4-алкилами, С1-С4-алкокси или NО2, или образуют в G2 бензольный цикл, возможно, замещенный одним или несколькими С1-C4-алкилами, C1-C4-алкокси или NO2; R20 может, кроме того, обозначать атом водорода; Z обозначает атом кислорода, серы или группу -NR19; М обозначает группу -СН, -CR” (R” обозначает С1-С4-алкил) или -NR22(X–)r; К обозначает группу -СН, -CR” (R” обозначает С1-С4-алкил) или -NR22(X–)r; Р обозначает группу -СН, -CR” (R” обозначает С1-С4-алкил) или -NR22(X–)r, где r равно 0 или 1; R22 обозначает атом O–, радикал С1-С4-алкокси или С1-С4-алкил; R23 и R24, одинаковые или разные, обозначают атом водорода или галогена (бром, хлор, иод или фтор), С1-С4-алкил, С1-С4-алкокси или радикал -NO2; X– обозначает анион, преимущественно выбранный из хлорида, иодида, метилсульфата, этилсульфата, ацетата и перхлората, при условии, что, если R22 обозначает O–, то r равно 0; если К или Р или М обозначает -N-(С1-С4-алкил)Х–, то по меньшей мере один из радикалов R23 и R24 отличен от атома водорода; если К обозначает -NR22(Х–)r, то М= Р и обозначают -СН или CR”; если М обозначает -NR22(X–)r, то К= Р и обозначают -СН или -CR”; если Р обозначает -NR22(Х–)r, то К= М и обозначают -СН или -CR”; если Z обозначает атом серы, a R21 обозначает С1-С4-алкил, то R20 отличен от атома водорода; если Z обозначает -NR22, a R19 обозначает С1-С4-алкил, то по меньшей мере один из радикалов R18, R19, или R20 группы со структурой G2 не является С1-С4-алкилом; J обозначает либо группу, приведенной ниже структуры J1: ![]() в которой R25 обозначает атом водорода, атом галогена (бром, хлор, иод или фтор), С1-С4-алкил, С1-С4-алкокси, радикал -ОН, -NО2, -NHR28, -NR29R30, -NНСО(С1-С4-алкил) или образует вместе с R26 5- или 6-членный цикл, который может содержать один или несколько гетероатомов, выбранных из азота, кислорода или серы; R26 обозначает атом водорода, атом галогена (бром, хлор, иод или фтор), С1-С4-алкил, С1-С4-алкокси или образует вместе с R27 или R28 5- или 6-членный цикл, который может содержать один или несколько гетероатомов, выбранных из азота, кислорода или серы; R27 обозначает атом водорода, радикал -ОН, -NHR28 или -NR29R30; R28 обозначает атом водорода, С1-С4-алкил, моногидрокси-С1-С4-алкил, полигидрокси-С2-С4-алкил или фенил; R29 и R30, одинаковые или разные, обозначают С1-С4-алкил, моногидрокси-С1-С4-алкил или полигидрокси-С2-С4-алкил; либо азотсодержащую 5- или 6-членную гетероциклическую группу, которая может также содержать другие гетероатомы и/или карбонильные группы и быть замещенной одним или несколькими радикалами: С1-С4-алкилом, аминогруппой или фенилом, в частности, группу, имеющую приведенную ниже структуру J2: ![]() в которой R31 и R32, одинаковые или разные, обозначают атом водорода, C1-C4-алкил или фенил; Y обозначает радикал -СО- или радикал ![]() n равно 0 или 1, причем, когда n= 1, тогда U обозначает радикал -СО-. 7. Композиция по п. 6, отличающаяся тем, что прямые катионные красители формулы I выбирают из соединений, отвечающих приведенным ниже структурам I1-I52 (см. графическую часть). 8. Композиция по п. 6, отличающаяся тем, что прямые катионные красители формулы II выбирают из соединений, отвечающих приведенным ниже структурам II1-II12 (см. графическую часть). 9. Композиция по п. 6, отличающаяся тем, что прямые катионные красители формулы III выбирают из соединений, отвечающих приведенным ниже структурам III1-III18 (см. графическую часть). 10. Композиция по п. 6, отличающаяся тем, что прямые катионные красители формулы III’ выбирают из соединений, отвечающих приведенным ниже структурам III’1-III’3 (см. графическую часть). 11. Композиция по п. 6, отличающаяся тем, что прямые катионные красители формулы IV выбирают из соединений, отвечающих приведенным ниже структурам IV1-IV77 (см. графическую часть). 12. Композиция по п. 1, отличающаяся тем, что пиразоло-[1,5-а] -пиримидины и/или их солевые аддукты с кислотами или основаниями составляют от 0,0005 до 12% от общей массы красящей композиции. 13. Композиция по п. 12, отличающаяся тем, что пиразоло-[1,5-а] -пиримидины и/или их солевые аддукты с кислотами или основаниями составляют от 0,005 до 6% от общей массы красящей композиции. 14. Композиция по п. 1, отличающаяся тем, что прямой катионный краситель или красители составляют от 0,001 до 10% от общей массы красящей композиции. 15. Композиция по п. 14, отличающаяся тем, что прямой катионный краситель или красители составляют от 0,005 до 5% от общей массы композиции. 16. Композиция по п. 1, отличающаяся тем, что она дополнительно содержит одно или несколько краскообразующих веществ, выбираемых из м-фенилендиаминов, м-аминофенолов, м-дифенолов и гетероциклических краскообразующих веществ, таких, например, как производные индола, производные индолина, производные пиридина и пиразолоны и их солевых аддуктов с кислотами. 17. Композиция по п. 1, отличающаяся тем, что она содержит одно или несколько дополнительных окисляемых оснований, отличных от пиразоло-[1,5-а] -пиримидинов и/или один или несколько прямых некатионных красителей. 18. Композиция по п. 17, отличающаяся тем, что дополнительные окисляемые основания выбирают из п-фенилендиаминов, бис-фенилалкилендиаминов, п-аминофенолов, о-аминофенолов и гетероциклических оснований. 19. Композиция по п. 2, отличающаяся тем, что солевые аддукты с кислотами выбирают из гидрохлоридов, гидробромидов, сульфатов, цитратов, сукцинатов, тартратов, лактатов и ацетатов, а солевые аддукты с основаниями получают с гидроксидами натрия, калия, аммония и аминами. 20. Способ окислительного окрашивания кератиновых волокон, в частности, волос, отличающийся тем, что на названные волокна наносят по меньшей мере одну определенную в пп. 1-19 красящую композицию и проявляют цвет при кислых, нейтральных или щелочных значениях рН с помощью неферментативного окисляющего агента, который добавляют непосредственно в момент применения к красящей композиции или который присутствует в окислительной композиции, применяемой одновременно с красящей или после нее. 21. Способ по п. 20, отличающийся тем, что окисляющий агент выбирают из перекиси водорода, перекиси мочевины, броматов щелочных металлов, надкислот и персолей. 22. Набор для окислительного окрашивания кератиновых волокон, в частности, волос, с отделением под красящую композицию по пп. 1-19 и отделением под окислительную композицию, содержащую неферментативный окислительный агент. РИСУНКИ
MM4A Досрочное прекращение действия патента Российской Федерации на изобретение из-за неуплаты в установленный срок пошлины за поддержание патента в силе
Дата прекращения действия патента: 04.11.2003
Извещение опубликовано: 20.10.2005 БИ: 29/2005
|
||||||||||||||||||||||||||


-гидроксиэтиламино -5-метил-пиразоло-[1,5 -а]-пиримидин;
или Arianor Mahogany 306002
-аминопропил)аминоантрахинона, метилсульфат 1-N-(метилморфолинийпропил)амино-4-гидроксиантрахинона и Basic Orange 69












































-гидроксиэтил)амино-2-метилфенол, 3-аминофенол, 1,3-дигидроксибензол, 1,3-дигидрокси-2-метилбензол, 4-хлор-1,3-дигидроксибензол, 2,4-диамино-1-(










































